Flavonoid-Based Cocrystals: A Comprehensive Study on Their Synthesis, Characterization, Physicochemical Properties and Applications
Abstract
1. Introduction
1.1. Flavonoids and Their Interest to Food and Pharmaceutical Sciences
| Flavonoid | Biological or Pharmaceutical Properties | References |
|---|---|---|
| cyanidin | antioxidant, antibacterial, anti-inflammatory, antifungal, anti-cardiovascular | [9,10] |
| catechin | antioxidant, antiviral, anti-inflammatory, anti-cardiovascular | [11,12] |
| naringin | antiviral, antioxidant, anti-inflammatory, anti-cardiovascular | [13,14,15] |
| hesperidin | anti-inflammatory, anti-cardiovascular, antiviral | [16,17] |
| apigenin | antibacterial, antifungal, antiviral | [18,19] |
| baicalin | anti-cardiovascular, antibacterial, antifungal | [20,21] |
| luteolin | anti-inflammatory, anti-cardiovascular, antiviral | [22,23] |
| quercetin | antioxidant, antifungal, anti-inflammatory, anti-cardiovascular, antibacterial | [24,25] |
| kaempferol | antioxidant, antibacterial, antiviral, anticancer | [26,27] |
| myricetin | anti-inflammatory, anti-cardiovascular, antioxidant | [28,29] |
| genistein | anticancer, antioxidant, antifungal, antiviral | [30,31] |
1.2. Cocrystals: Supramolecular Assemblies and Principles of Non-Covalent Interactions
1.3. Importance of Cocrystals in Food and Pharmacy
1.4. Coformer Screening in Cocrystal Design
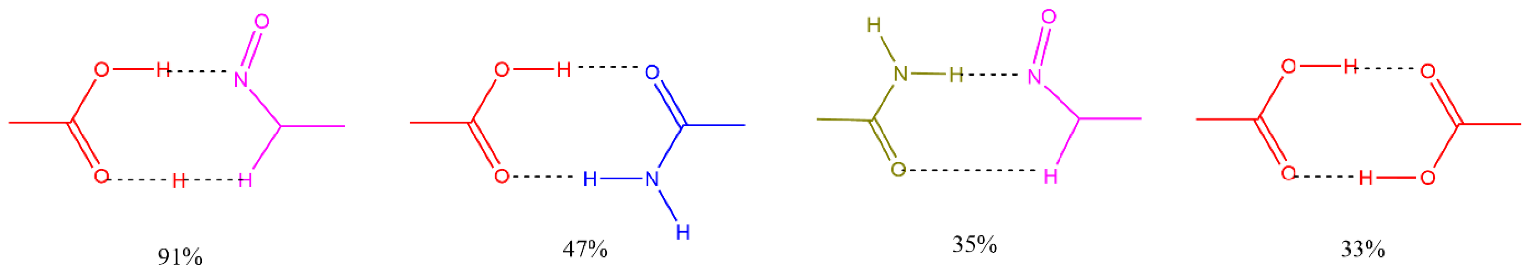
1.5. Key Supramolecular Synthons in Polyphenol-Based Cocrystal Formation
| SUBCLASS | Flavonoids | Functional Groups of Flavonoids Involved in Hydrogen Bonding with the Coformer/Solvent | Cocrystals | Cocrystal Solvates | Cocrystal Salts | Salts | Salt Solvates | References |
|---|---|---|---|---|---|---|---|---|
| FLAVONE | ![]() apigenin | 5OH 7OH 4C=O 4′OH | 6 | 2 | - | - | 1 | [39,65,66,67] |
| FLAVONOL | ![]() quercetin | 3OH 5OH 7OH 4C=O 3′OH 4′OH | 11 | 7 | - | - | - | [60,68,69,70,71,72,73,74,75,76] |
| FLAVANONE | ![]() hesperetin | 5OH 7OH 3′OH | 10 | - | 4 | 1 | - | [55,57,59,60,77,78,79,80,81,82,83] |
| FLAVANONOL | ![]() dihydromyricetin | 3OH 7OH 3′OH 4′OH 5′OH | 4 | 6 | 1 | - | - | [51,56,60,84,85,86,87] |
| ISOFLAVONE | ![]() daidzein | 7OH 4′OH | 2 | - | - | - | 1/0 | [54,84,88] |
![]() genistein | 7OH 4C=O 4′OH | 6 | - | - | - | 1/0 | [60,77,80,89,90,91] | |
| CHALCONE | ![]() xanthohumol | 4OH | 3 | 1 | - | - | - | [92,93] |
| CATECHIN | ![]() catechin | 3OH 7OH 3′OH 4′OH | 1 | 1 | - | - | - | [94] |
| Coformers with functional groups acting as hydrogen bond acceptors with flavonoids | ![]() | ![]() | ![]() | ![]() |
| 4,4′-Bipyridine (14) | 4,4′-Azobispyridine (5) | 4-(1-Benzofuran-2-yl)pyridine (1) | Praziquantel (3) | |
![]() | ![]() | ![]() | ![]() | |
| Pirfenidone (2) | Pentoxifylline (2) | Caffeine (7) | Betaine (4) | |
| Coformers with functional groups acting as hydrogen bond acceptors and/or donors with flavonoids | ![]() | ![]() | ![]() | ![]() |
| Diethylstilbestrol (4) | Proline (3) | Theophylline (7) | Isonicotinamide (5) | |
![]() | ![]() | ![]() | ![]() | |
| Nicotinamide (4) | Metamitron (2) | Carbamazepine (6) | Olaparib (2) | |
| Coformers capable of forming cocrystals, salts cocrystals and salts with flavonoids | ![]() | ![]() | ![]() | ![]() |
| Berberine chloride (5) | Piperazine (4) | Sophocarpine (1) | Norfloxacin (1) |
2. General Theoretical Background on the Preparation of Flavonoid-Based Cocrystals
3. Laboratory Strategies for Preparing Cocrystals and Techniques Employed for Their Characterization
4. Applications of Flavonoid Cocrystals
5. Conclusions and Future Outlook
Supplementary Materials
Author Contributions
Funding
Institutional Review Board Statement
Informed Consent Statement
Data Availability Statement
Conflicts of Interest
References
- Kozłowska, A.; Szostak-Węgierek, D. Flavonoids—Food Sources, Health Benefits, and Mechanisms Involved. In Bioactive Molecules in Food; Mérillon, J.-M., Ramawat, K.G., Eds.; Springer International Publishing: Cham, Switzerland, 2017; pp. 1–27. [Google Scholar]
- Rauter, A.P.; Ennis, M.; Hellwich, K.-H.; Herold, B.J.; Horton, D.; Moss, G.P.; Schomburg, I. Nomenclature of flavonoids (IUPAC Recommendations 2017). Chem. Int. 2018, 40, 35. [Google Scholar] [CrossRef]
- Panche, A.N.; Diwan, A.D.; Chandra, S.R. Flavonoids: An overview. J. Nutr. Sci. 2016, 5, e47. [Google Scholar] [CrossRef]
- Saini, D.; Kesharwani, R.K.; Keservani, R.K. The Flavonoids: Extraction and Applications; Apple Academic Press: Palm Bay, FL, USA, 2024. [Google Scholar] [CrossRef]
- Feng, C.H.; Martín, J.F.G. The Book of Flavonoids; Nova Science Publishers: New York, NY, USA, 2022. [Google Scholar]
- Shen, N.; Wang, T.; Gan, Q.; Liu, S.; Wang, L.; Jin, B. Plant flavonoids: Classification, distribution, biosynthesis, and antioxidant activity. Food Chem. 2022, 383, 132531. [Google Scholar] [CrossRef] [PubMed]
- Wang, T.-y.; Li, Q.; Bi, K.-s. Bioactive flavonoids in medicinal plants: Structure, activity and biological fate. Asian J. Pharm. Sci. 2018, 13, 12–23. [Google Scholar] [CrossRef] [PubMed]
- Mishra, N.; Ashique, S.; Gowda, B.H.J.; Farid, A.; Garg, A. Role of Flavonoids in Chronic Metabolic Diseases: From Bench to Clinic; Scrivener Publishing LLC: Hoboken, NJ, USA, 2024. [Google Scholar]
- Mattioli, R.; Francioso, A. Anthocyanins: A Comprehensive Review of Their Chemical Properties and Health Effects on Cardiovascular and Neurodegenerative Diseases. Molecules 2020, 25, 3809. [Google Scholar] [CrossRef] [PubMed]
- Dini, C.; Zaro, M.; Viña, S. Bioactivity and Functionality of Anthocyanins: A Review. Curr. Bioact. Compd. 2019, 15, 507–523. [Google Scholar] [CrossRef]
- Ciardullo, G.; Orlando, C.; Russo, N.; Marchese, E.; Galano, A.; Marino, T.; Prejanò, M. On the dual role of (+)-catechin as primary antioxidant and inhibitor of viral proteases. Comput. Biol. Med. 2024, 180, 108953. [Google Scholar] [CrossRef]
- Cheng, Z.; Zhang, Z.; Han, Y.; Wang, J.; Wang, Y.; Chen, X.; Shao, Y.; Cheng, Y.; Zhou, W.; Lu, X.; et al. A review on anti-cancer effect of green tea catechins. J. Funct. Foods 2020, 74, 104172. [Google Scholar] [CrossRef]
- Huang, X.; Wu, H.; Wu, X.; Su, W.; Li, P. Naringenin/naringin therapeutic effects and the role of intestinal microflora in them. Pharmacol. Res. 2025, 219, 107871. [Google Scholar] [CrossRef]
- Zhang, R.; Wu, S.; Ye, C.; Li, P.; Xu, B.; Wang, Y.; Yang, Z.; Chen, X.; Chen, J. In vivo metabolic effects of naringin in reducing oxidative stress and protecting the vascular endothelium in dyslipidemic mice. J. Nutr. Biochem. 2025, 139, 109866. [Google Scholar] [CrossRef]
- Viswanatha, G.L.; Shylaja, H.; Keni, R.; Nandakumar, K.; Rajesh, S. A systematic review and meta-analysis on the cardio-protective activity of naringin based on pre-clinical evidences. Phytother. Res. PTR 2022, 36, 1064–1092. [Google Scholar] [CrossRef] [PubMed]
- Lorzadeh, E.; Ramezani-Jolfaie, N.; Mohammadi, M.; Khoshbakht, Y.; Salehi-Abargouei, A. The effect of hesperidin supplementation on inflammatory markers in human adults: A systematic review and meta-analysis of randomized controlled clinical trials. Chem. Biol. Interact. 2019, 307, 8–15. [Google Scholar] [CrossRef] [PubMed]
- Parhiz, H.; Roohbakhsh, A.; Soltani, F.; Rezaee, R.; Iranshahi, M. Antioxidant and anti-inflammatory properties of the citrus flavonoids hesperidin and hesperetin: An updated review of their molecular mechanisms and experimental models. Phytother. Res. 2015, 29, 323–331. [Google Scholar] [CrossRef] [PubMed]
- Allemailem, K.S.; Almatroudi, A.; Alharbi, H.O.A.; AlSuhaymi, N.; Alsugoor, M.H.; Aldakheel, F.M.; Khan, A.A.; Rahmani, A.H. Apigenin: A Bioflavonoid with a Promising Role in Disease Prevention and Treatment. Biomedicines 2024, 12, 1353. [Google Scholar] [CrossRef]
- Khandelwal, N.; Chander, Y.; Kumar, R.; Riyesh, T.; Dedar, R.K.; Kumar, M.; Gulati, B.R.; Sharma, S.; Tripathi, B.N.; Barua, S.; et al. Antiviral activity of Apigenin against buffalopox: Novel mechanistic insights and drug-resistance considerations. Antivir. Res. 2020, 181, 104870. [Google Scholar] [CrossRef]
- Wang, T.; Shi, G.; Shao, J.; Wu, D.; Yan, Y.; Zhang, M.; Cui, Y.; Wang, C. In vitro antifungal activity of baicalin against Candida albicans biofilms via apoptotic induction. Microb. Pathog. 2015, 87, 21–29. [Google Scholar] [CrossRef]
- Zhao, D.; Du, B.; Xu, J.; Xie, Q.; Lu, Z.; Kang, Y. Baicalin promotes antibacterial defenses by modulating mitochondrial function. Biochem. Biophys. Res. Commun. 2022, 621, 130–136. [Google Scholar] [CrossRef]
- Jia, Z.; Nallasamy, P.; Liu, D.; Shah, H.; Li, J.Z.; Chitrakar, R.; Si, H.; McCormick, J.; Zhu, H.; Zhen, W.; et al. Luteolin protects against vascular inflammation in mice and TNF-alpha-induced monocyte adhesion to endothelial cells via suppressing IΚBα/NF-κB signaling pathway. J. Nutr. Biochem. 2015, 26, 293–302. [Google Scholar] [CrossRef]
- Men, X.; Li, S.; Cai, X.; Fu, L.; Shao, Y.; Zhu, Y. Antiviral Activity of Luteolin against Pseudorabies Virus In Vitro and In Vivo. Animals 2023, 13, 761. [Google Scholar] [CrossRef]
- Kleemann, R.; Verschuren, L.; Morrison, M.; Zadelaar, S.; van Erk, M.J.; Wielinga, P.Y.; Kooistra, T. Anti-inflammatory, anti-proliferative and anti-atherosclerotic effects of quercetin in human in vitro and in vivo models. Atherosclerosis 2011, 218, 44–52. [Google Scholar] [CrossRef]
- Baqer, S.H.; Al-Shawi, S.G.; Al-Younis, Z.K. Quercetin, the Potential Powerful Flavonoid for Human and Food: A Review. Front. Biosci. Elite Ed. 2024, 16, 30. [Google Scholar] [CrossRef]
- Jan, R.; Khan, M.; Asaf, S.; Lubna; Asif, S.; Kim, K.-M. Bioactivity and Therapeutic Potential of Kaempferol and Quercetin: New Insights for Plant and Human Health. Plants 2022, 11, 2623. [Google Scholar] [CrossRef]
- Xue, P.; Zhao, H.; You, X.; Yue, W. Structural and in vitro anticancer properties of the kaempferol–lactoferrin complex. Food Sci. Nutr. 2024, 12, 9046–9055. [Google Scholar] [CrossRef] [PubMed]
- Imran, M.; Saeed, F. Myricetin: A comprehensive review on its biological potentials. Food Sci. Nutr. 2021, 9, 5854–5868. [Google Scholar] [CrossRef] [PubMed]
- Wang, S.J.; Tong, Y.; Lu, S.; Yang, R.; Liao, X.; Xu, Y.F.; Li, X. Anti-inflammatory activity of myricetin isolated from Myrica rubra Sieb. et Zucc. leaves. Planta Med. 2010, 76, 1492–1496. [Google Scholar] [CrossRef] [PubMed]
- Zheng, X.; Zhang, J.; Liu, S.; Yu, Y.; Peng, Q.; Peng, Y.; Yao, X.; Peng, X.; Zhou, J. Biosynthesis and Anticancer Activity of Genistein Glycoside Derivatives. Anticancer Agents Med. Chem. 2024, 24, 961–968. [Google Scholar] [CrossRef]
- Rahman Mazumder, M.A.; Hongsprabhas, P. Genistein as antioxidant and antibrowning agents in in vivo and in vitro: A review. Biomed. Pharmacother. 2016, 82, 379–392. [Google Scholar] [CrossRef]
- Williamson, G. Bioavailability of Food Polyphenols: Current State of Knowledge. Annu. Rev. Food Sci. Technol. 2025, 16, 315–332. [Google Scholar] [CrossRef]
- Mir, S.A.; Dar, A.; Hamid, L.; Nisar, N.; Malik, J.A.; Ali, T.; Bader, G.N. Flavonoids as promising molecules in the cancer therapy: An insight. Curr. Res. Pharmacol. Drug Discov. 2024, 6, 100167. [Google Scholar] [CrossRef]
- Liga, S.; Paul, C.; Péter, F. Flavonoids: Overview of Biosynthesis, Biological Activity, and Current Extraction Techniques. Plants 2023, 12, 2732. [Google Scholar] [CrossRef]
- Berry, D.J.; Steed, J.W. Pharmaceutical cocrystals, salts and multicomponent systems; intermolecular interactions and property based design. Adv. Drug Deliv. Rev. 2017, 117, 3–24. [Google Scholar] [CrossRef]
- Aakeröy, C.B.; Sinha, A.S. Co-crystals: Introduction and Scope. In Co-Crystals: Preparation, Characterization and Applications; Aakeröy, C.B., Sinha, A.S., Eds.; The Royal Society of Chemistry: Croydon, UK, 2018. [Google Scholar]
- Yadav, B.; Gunnam, A.; Thipparaboina, R.; Nangia, A.K.; Shastri, N.R. Hepatoprotective Cocrystals of Isoniazid: Synthesis, Solid State Characterization, and Hepatotoxicity Studies. Cryst. Growth Des. 2019, 19, 5161–5172. [Google Scholar] [CrossRef]
- Luján-Torres, V.E.; Gutiérrez-Méndez, N.; Carballo-Carballo, D.E.; Leal-Ramos, M.Y.; Salmerón, I.; Pérez-Vega, S.B.; Martínez-Monteagudo, S. Co-crystallization of lactose-flavonoids using Panela cheese whey. J. Food Eng. 2023, 357, 111598. [Google Scholar] [CrossRef]
- Dias, J.L.; Lanza, M.; Ferreira, S.R.S. Cocrystallization: A tool to modulate physicochemical and biological properties of food-relevant polyphenols. Trends Food Sci. Technol. 2021, 110, 13–27. [Google Scholar] [CrossRef]
- Sinha, A.S.; Maguire, A.R.; Lawrence, S.E. Cocrystallization of Nutraceuticals. Cryst. Growth Des. 2015, 15, 984–1009. [Google Scholar] [CrossRef]
- Chettri, A.; Subba, A.; Singh, G.P.; Bag, P.P. Pharmaceutical co-crystals: A green way to enhance drug stability and solubility for improved therapeutic efficacy. J. Pharm. Pharmacol. 2024, 76, 1–12. [Google Scholar] [CrossRef]
- Mazzeo, P.P.; Canossa, S.; Carraro, C.; Pelagatti, P.; Bacchi, A. Systematic coformer contribution to cocrystal stabilization: Energy and packing trends. CrystEngComm 2020, 22, 7341–7349. [Google Scholar] [CrossRef]
- Groom, C.R.; Bruno, I.J.; Lightfoot, M.P.; Ward, S.C. The Cambridge Structural Database. Acta Crystallogr. Sect. B Struct. Sci. Cryst. Eng. Mater. 2016, 72, 171–179. [Google Scholar] [CrossRef]
- Abourahma, H. Enriching Undergraduate Students’ Learning with the Wealth of the Cambridge Structural Database. Cryst. Growth Des. 2024, 24, 6158–6163. [Google Scholar] [CrossRef]
- Singh, M.; Barua, H.; Jyothi, V.G.S.S.; Dhondale, M.R.; Nambiar, A.G.; Agrawal, A.K.; Kumar, P.; Shastri, N.R.; Kumar, D. Cocrystals by Design: A Rational Coformer Selection Approach for Tackling the API Problems. Encapsul. Nat. Polyphenol. Compd. A Rev. 2023, 15, 1161. [Google Scholar] [CrossRef]
- Wathoni, N.; Sari, W.A.; Elamin, K.M.; Mohammed, A.F.A.; Suharyani, I. A Review of Coformer Utilization in Multicomponent Crystal Formation. Molecules 2022, 27, 8693. [Google Scholar] [CrossRef] [PubMed]
- Roshni, J.; Karthick, T. A Comprehensive Review on Theoretical Screening Methods for Pharmaceutical Cocrystals. J. Mol. Struct. 2025, 1321, 139868. [Google Scholar] [CrossRef]
- Wong, S.N.; Fu, M.; Li, S.; Kwok, W.T.C.; Chow, S.; Low, K.-H.; Chow, S.F. Discovery of new cocrystals beyond serendipity: Lessons learned from successes and failures. CrystEngComm 2024, 26, 1505–1526. [Google Scholar] [CrossRef]
- Khandavilli, U.B.R.; Skořepová, E.; Sinha, A.S.; Bhogala, B.R.; Maguire, N.M.; Maguire, A.R.; Lawrence, S.E. Cocrystals and a Salt of the Bioactive Flavonoid: Naringenin. Cryst. Growth Des. 2018, 18, 4571–4577. [Google Scholar] [CrossRef]
- Li, Z.; Li, M.; Peng, B.; Zhu, B.; Wang, J.-r.; Mei, X. Improving Compliance and Decreasing Drug Accumulation of Diethylstilbestrol through Cocrystallization. Cryst. Growth Des. 2019, 19, 1942–1953. [Google Scholar] [CrossRef]
- Su, X.; Sun, J.; Liu, J.; Wang, Y.; Wang, J.; Tang, W.; Gong, J. Bifunctional Chiral Agent Enables One-pot Spontaneous Deracemization of Racemic Compounds. Angew. Chem. Int. Ed. 2024, 63, e202402886. [Google Scholar] [CrossRef]
- Xiao, Y.; Zhou, L.; Hao, H.; Bao, Y.; Yin, Q.; Xie, C. Cocrystals of Propylthiouracil and Nutraceuticals toward Sustained-Release: Design, Structure Analysis, and Solid-State Characterization. Cryst. Growth Des. 2021, 21, 1202–1217. [Google Scholar] [CrossRef]
- Li, X.; Liu, X.; Song, J.; Wang, C.; Li, J.; Liu, L.; He, X.; Zhao, X.; Sun, C.C. Drug–Drug Cocrystallization Simultaneously Improves Pharmaceutical Properties of Genistein and Ligustrazine. Cryst. Growth Des. 2021, 21, 3461–3468. [Google Scholar] [CrossRef]
- Bolus, L.; Wang, K.; Pask, C.; Lai, X.; Li, M. Cocrystallisation of Daidzein with pyridine-derived molecules: Screening, structure determination and characterisation. J. Mol. Struct. 2020, 1222, 128893. [Google Scholar] [CrossRef]
- Zhang, Y.; Li, Y.; Liu, L.; Guo, Q.; Sa, R.; Zhang, M.; Lou, B. Two Cocrystal Polymorphs of Palmatine Chloride with Racemic Hesperetin. Cryst. Growth Des. 2022, 22, 1073–1082. [Google Scholar] [CrossRef]
- Li, P.; Ramaiah, T.; Zhang, M.; Zhang, Y.; Huang, Y.; Lou, B. Two Cocrystals of Berberine Chloride with Myricetin and Dihydromyricetin: Crystal Structures, Characterization, and Antitumor Activities. Cryst. Growth Des. 2020, 20, 157–166. [Google Scholar] [CrossRef]
- Liu, L.; Wang, S.; Ouyang, J.; Chen, M.; Zhou, L.; Liu, Z.; Xu, L.; Chen, H.; Shehzad, H. Sustainable preparation of spherical particles of novel carbamazepine-hesperetin cocrystal via different crystallization strategies: From mechanism to application. Sep. Purif. Technol. 2023, 327, 124954. [Google Scholar] [CrossRef]
- Tokunaga, S.; Uchikoshi, C.; Hayashi, K.; Suzuki, H.; Ito, M.; Noguchi, S. Novel Pharmaceutical Cocrystals and Solvate Crystals of Nobiletin, a Citrus Flavonoid with Potent Pharmacological Activity. Chem. Pharm. Bull. 2023, 71, 633–640. [Google Scholar] [CrossRef]
- Wang, Y.; Qian, Y.-H.; Hong, M.-H.; Zhu, B.; Ren, G.-B.; Qi, M.-H. Preparation, characterization, and crystal structures of novel sophocarpine salts with improvements on stability and solubility. J. Mol. Struct. 2023, 1279, 134992. [Google Scholar] [CrossRef]
- Zhang, Y.; Zhu, B.; Ji, W.-J.; Guo, C.-Y.; Hong, M.; Qi, M.-H.; Ren, G.-B. Insight into the Formation of Cocrystals of Flavonoids and 4,4′-Vinylenedipyridine: Heteromolecular Hydrogen Bonds, Molar Ratio, and Structural Analysis. Cryst. Growth Des. 2021, 21, 2720–2733. [Google Scholar] [CrossRef]
- Ejarque, D.; Calvet, T.; Font-Bardia, M.; Pons, J. Cocrystals Based on 4,4′-bipyridine: Influence of Crystal Packing on Melting Point. Crystals 2021, 11, 191. [Google Scholar] [CrossRef]
- Fox, D.; Metrangolo, P.; Pasini, D.; Pilati, T.; Resnati, G.; Terraneo, G. Site-selective supramolecular synthesis of halogen-bonded cocrystals incorporating the photoactive azo group. CrystEngComm 2008, 10, 1132–1136. [Google Scholar] [CrossRef]
- Kusuma; Kanakaraju, K.; Lavanya, V.; Nangia, A. Temozolomide Cocrystals Exhibit Drug Sensitivity in Glioblastoma Cells. Proc. Natl. Acad. Sci. India Sect. A Phys. Sci. 2014, 84, 321–330. [Google Scholar] [CrossRef]
- Grothe, E.; Meekes, H.; Vlieg, E.; ter Horst, J.H.; de Gelder, R. Solvates, Salts, and Cocrystals: A Proposal for a Feasible Classification System. Cryst. Growth Des. 2016, 16, 3237–3243. [Google Scholar] [CrossRef]
- Makadia, J.; Seaton, C.C.; Li, M. Apigenin Cocrystals: From Computational Prescreening to Physicochemical Property Characterization. Cryst. Growth Des. 2023, 23, 3480–3495. [Google Scholar] [CrossRef]
- Zhang, J.; Shen, R.; Zhang, X.; Li, G.; Wang, X. A pharmaceutical cocrystal of apigenin with piperazine: Preparation, structural characterization, and dissolution performance. J. Mol. Struct. 2024, 1298, 137027. [Google Scholar] [CrossRef]
- Yanjie, Z.; Benyong, L.; Yali, H.; Xiaodong, H.; Huazhong, W. Crystal structure of 9,10-dimethoxy-5,6-dihydro-[1,3]dioxolo[4,5-g]isoquinolino[3,2-a]isoquinolin-7-ium 5-hydroxy-2-(4-hydroxyphenyl)-4-oxo-4H-chromen-7-olate trihydrate, C35H33NO12. Z. Krist. New Cryst. Struct. 2018, 233, 865–867. [Google Scholar] [CrossRef]
- Yang, D.; Cao, J.; Heng, T.; Xing, C.; Yang, S.; Zhang, L.; Lu, Y.; Du, G. Theoretical Calculation and Structural Analysis of the Cocrystals of Three Flavonols with Praziquantel. Cryst. Growth Des. 2021, 21, 2292–2300. [Google Scholar] [CrossRef]
- Wang, L.; Li, S.; Xu, X.; Xu, X.; Wang, Q.; Li, D.; Zhang, H. Drug-drug cocrystals of theophylline with quercetin. J. Drug Deliv. Sci. Technol. 2022, 70, 103228. [Google Scholar] [CrossRef]
- Duan, C.; Chen, Y.; Zhang, Y.; Liang, F.; Liu, W.; Xiao, X.; Xu, C.; Zhuang, T.; Hao, C.; Chen, Y. Two Cocrystals of Olaparib with Flavonoids toward Sustained Release: Structure, Dissolution Behavior, and Anticancer Activity Analysis. Cryst. Growth Des. 2022, 22, 4885–4894. [Google Scholar] [CrossRef]
- Haskins, M.M.; Kavanagh, O.N. Tuning the Pharmacokinetic Performance of Quercetin by Cocrystallization. Cryst. Growth Des. 2023, 23, 6059–6066. [Google Scholar] [CrossRef]
- Zhang, Z.; Li, D.; Luo, C.; Huang, C.; Qiu, R.; Deng, Z.; Zhang, H. Cocrystals of Natural Products: Improving the Dissolution Performance of Flavonoids Using Betaine. Cryst. Growth Des. 2019, 19, 3851–3859. [Google Scholar] [CrossRef]
- Liu, F.; Wang, L.-Y.; Li, Y.-T.; Wu, Z.-Y.; Yan, C.-W. Protective Effects of Quercetin against Pyrazinamide Induced Hepatotoxicity via a Cocrystallization Strategy of Complementary Advantages. Cryst. Growth Des. 2018, 18, 3729–3733. [Google Scholar] [CrossRef]
- Maciołek, U.; Mendyk, E.; Kuśmierz, M.; Kozioł, A.E. Binary Co-Crystals of Quercetin: Synthesis, Structure, and Spectroscopic Characterization. ChemPlusChem 2023, 88, e202300166. [Google Scholar] [CrossRef]
- Li, Z.; Zhou, J.; Zhang, K.; Zhang, Y.; Wu, S.; Gong, J. Playing with Isostructurality from Binary Cocrystals to Ternary Cocrystal Solvates of Quercetin: Tuning Colors of Pigment. Cryst. Growth Des. 2022, 22, 5322–5334. [Google Scholar] [CrossRef]
- Zhang, Y.-N.; Yin, H.-M.; Zhang, Y.; Zhang, D.-J.; Su, X.; Kuang, H.-X. Cocrystals of kaempferol, quercetin and myricetin with 4,4′-bipyridine: Crystal structures, analyses of intermolecular interactions and antibacterial properties. J. Mol. Struct. 2017, 1130, 199–207. [Google Scholar] [CrossRef]
- Zhang, Y.; Yang, R.; Yin, H.-M.; Zhou, B.; Hong, M.; Zhu, B.; Qi, M.-H.; Ren, G.-B. Cocrystals of flavonoids with 4,4′-ethylenebispyridine: Crystal structures analysis, dissolution behavior, and anti-tumor activity. J. Mol. Struct. 2022, 1252, 132150. [Google Scholar] [CrossRef]
- Jin, S.; Haskins, M.M.; Andaloussi, Y.H.; Ouyang, R.; Gong, J.; Zaworotko, M.J. Conformational Trimorphism in an Ionic Cocrystal of Hesperetin. Cryst. Growth Des. 2022, 22, 6390–6397. [Google Scholar] [CrossRef] [PubMed]
- Wang, J.; Dai, X.-L.; Lu, T.-B.; Chen, J.-M. Temozolomide–Hesperetin Drug–Drug Cocrystal with Optimized Performance in Stability, Dissolution, and Tabletability. Cryst. Growth Des. 2021, 21, 838–846. [Google Scholar] [CrossRef]
- Meng, L.; Li, D.; Zhu, Y.; Wang, J.; Deng, Z.; Zhang, H. Pirfenidone–flavonoid cocrystals with reduced solubility and dissolution rate. CrystEngComm 2023, 25, 5133–5140. [Google Scholar] [CrossRef]
- Chadha, K.; Karan, M.; Bhalla, Y.; Chadha, R.; Khullar, S.; Mandal, S.; Vasisht, K. Cocrystals of Hesperetin: Structural, Pharmacokinetic, and Pharmacodynamic Evaluation. Cryst. Growth Des. 2017, 17, 2386–2405. [Google Scholar] [CrossRef]
- Liu, Y.; Yang, F.; Zhao, X. Crystal Structure, Solubility, and Pharmacokinetic Study on a Hesperetin Cocrystal with Piperine as Coformer. Pharmaceutics 2022, 14, 94. [Google Scholar] [CrossRef]
- Ouyang, J.; Liu, L.; Li, Y.; Chen, M.; Zhou, L.; Liu, Z.; Xu, L.; Shehzad, H. Cocrystals of carbamazepine: Structure, mechanical properties, fluorescence properties, solubility, and dissolution rate. Particuology 2024, 90, 20–30. [Google Scholar] [CrossRef]
- Wang, Z.; Li, S.; Li, Q.; Wang, W.; Liu, M.; Yang, S.; Zhang, L.; Yang, D.; Du, G.; Lu, Y. A Novel Cocrystal of Daidzein with Piperazine to Optimize the Solubility, Permeability and Bioavailability of Daidzein. Molecules 2024, 29, 1710. [Google Scholar] [CrossRef]
- Sun, J.; Wang, Y.; Tang, W. Enantioselectivity of chiral dihydromyricetin in multicomponent solid solutions regulated by subtle structural mutation. Int. Union Crystallogr. J. 2023, 10, 164–176. [Google Scholar] [CrossRef]
- Liu, L.; Liu, M.; Zhang, Y.; Yin, H.; Su, X.; Zhang, Q.; Feng, Y.; Guo, Y.; Zou, D.; Liu, Y. The role of 3-OH in the self-assembly of pharmaceutical cocrystals of dihydroflavonol with 4,4′-bipyridine. New J. Chem. 2021, 45, 1626–1633. [Google Scholar] [CrossRef]
- Liu, L.; Li, Y.; Zhang, M.; Zhang, Y.; Lou, B. A Drug-Drug Cocrystal of Dihydromyricetin and Pentoxifylline. J. Pharm. Sci. 2022, 111, 82–87. [Google Scholar] [CrossRef]
- Lou, B.; Huang, Y.; Zheng, G.; Lin, Q. Crystal structure of 5,6-Dihydro-9,10-dimethoxybenzo[g]-1,3-benzodioxolo[5,6-a]chinolizinium 3-(4-hydroxyphenyl)-4-oxo-4H-chromen-7-olate-methanol-water (1/1/1), C36H33NO10. Z. Krist. New Cryst. Struct. 2017, 232, 913–915. [Google Scholar] [CrossRef][Green Version]
- Zhang, Y.-N.; Yin, H.-M.; Zhang, Y.; Zhang, D.-J.; Su, X.; Kuang, H.-X. Preparation of a 1:1 cocrystal of genistein with 4,4′-bipyridine. J. Cryst. Growth 2017, 458, 103–109. [Google Scholar] [CrossRef]
- Wang, Z.; Li, Q.; An, Q.; Gong, L.; Yang, S.; Zhang, B.; Su, B.; Yang, D.; Zhang, L.; Lu, Y.; et al. Optimized solubility and bioavailability of genistein based on cocrystal engineering. Nat. Prod. Bioprospect. 2023, 13, 30. [Google Scholar] [CrossRef] [PubMed]
- Zhang, Y.; Lou, B.; Huang, Y.; Zheng, G.; Lin, Q. Crystal structure of 2,3,9,10-tetramethoxy-5,6-dihydroisoquinolino[2,1-b]isoquinolin-7-ium 5-hydroxy-3-(4-hydroxyphenyl)-4-oxo-4H-chromen-7-olate methanol solvate, C37H35N1O10. Z. Krist. New Cryst. Struct. 2017, 232, 681–683. [Google Scholar] [CrossRef]
- Budziak, I.; Arczewska, M.; Kamiński, D.M. Formation of Prenylated Chalcone Xanthohumol Cocrystals: Single Crystal X-ray Diffraction, Vibrational Spectroscopic Study Coupled with Multivariate Analysis. Molecules 2019, 24, 4245. [Google Scholar] [CrossRef]
- Budziak-Wieczorek, I.; Maciołek, U. Synthesis and Characterization of a (−)-Epicatechin and Barbituric Acid Cocrystal: Single-Crystal X-ray Diffraction and Vibrational Spectroscopic Studies. ACS Omega 2021, 6, 8199–8209. [Google Scholar] [CrossRef]
- Leng, F.; Robeyns, K.; Leyssens, T. Urea as a Cocrystal Former—Study of 3 Urea Based Pharmaceutical Cocrystals. Encapsul. Nat. Polyphenol. Compd. A Rev. 2021, 13, 671. [Google Scholar] [CrossRef]
- Petrick, T.L.; Grünwald, A.; Braun, D.E. Flavone Cocrystals: A Comprehensive Approach Integrating Experimental and Virtual Methods. Cryst. Growth Des. 2024, 24, 4195–4212. [Google Scholar] [CrossRef]
- Panzade, P.; Wagh, A.; Harale, P.; Bhilwade, S. Pharmaceutical cocrystals: A rising star in drug delivery applications. J. Drug Target. 2024, 32, 115–127. [Google Scholar] [CrossRef]
- Laidler, K.J. Chemical Kinetics, 3rd ed.; Pearson Education: Harlow, UK, 1987. [Google Scholar]
- Anslyn, E.V.; Dougherty, D.A. Modern Physical Organic Chemistry; University Science Books: Sausalito, CA, USA, 2006. [Google Scholar]
- Kumar, A.; Nanda, A. In-silico methods of cocrystal screening: A review on tools for rational design of pharmaceutical cocrystals. J. Drug Deliv. Sci. Technol. 2021, 63, 102527. [Google Scholar] [CrossRef]
- Taylor, C.R.; Day, G.M. Evaluating the Energetic Driving Force for Cocrystal Formation. Cryst. Growth Des. 2018, 18, 892–904. [Google Scholar] [CrossRef] [PubMed]
- Bučar, D.-K.; Day, G.M.; Halasz, I.; Zhang, G.G.Z.; Sander, J.R.G.; Reid, D.G.; MacGillivray, L.R.; Duer, M.J.; Jones, W. The curious case of (caffeine)·(benzoic acid): How heteronuclear seeding allowed the formation of an elusive cocrystal. Chem. Sci. 2013, 4, 4417–4425. [Google Scholar] [CrossRef]
- Xia, Y.; Wei, Y.; Chen, H.; Qian, S.; Zhang, J.; Gao, Y. Competitive cocrystallization and its application in the separation of flavonoids. IUCrJ 2021, 8, 195–207. [Google Scholar] [CrossRef]
- Sun, Y.; Guo, M. Imaging supermolecular interactions of the pharmaceutical-cocrystal of apigenin-nicotinamide binding with serum albumin. Turk. J. Chem. 2023, 47, 554–571. [Google Scholar] [CrossRef]
- Xiao, Y.; Wu, C.; Zhou, L.; Yin, Q.; Yang, J. Cocrystal engineering strategy for sustained release and leaching reduction of herbicides: A case study of metamitron. Green Chem. 2022, 24, 8088–8099. [Google Scholar] [CrossRef]
- Hao, S.-Y.; Li, J.-Y.; Mu, C.-Q.; Liu, D.-S.; Yang, Y.; Li, Y.-T.; Liu, T.-M.; Wang, X.-K.; Liu, F. Hepatoprotective Pyrazinamide–Baicalein Cocrystal with a Rare Ratio of 7:3. Cryst. Growth Des. 2023, 23, 885–891. [Google Scholar] [CrossRef]
- Yin, H.-M.; Wu, N.; Zhou, B.-J.; Hong, M.-H.; Zhu, B.; Qi, M.-H.; Ren, G.-B. Slow-Release Drug–Drug Cocrystals of Oxaliplatin with Flavonoids: Delaying Hydrolysis and Reducing Toxicity. Cryst. Growth Des. 2021, 21, 75–85. [Google Scholar] [CrossRef]
- Saha, S.K.; Murmu, M.; Murmu, N.C.; Banerjee, P. Synthesis, characterization and theoretical exploration of pyrene based Schiff base molecules as corrosion inhibitor. J. Mol. Struct. 2021, 1245, 131098. [Google Scholar] [CrossRef]
- Yin, H.-M.; Xie, J.-Y.; Jiang, J.-Y.; Hong, M.; Zhu, B.; Ren, G.-B.; Qi, M.-H. Strategy to Tune the Performance of Two Drug Components: Drug–Drug Cocrystals of Lobaplatin with Flavonoids. Cryst. Growth Des. 2022, 22, 2602–2610. [Google Scholar] [CrossRef]
- Leng, F.; Robeyns, K. Urea as a Cocrystal Former-Study of 3 Urea Based Pharmaceutical Cocrystals. Pharmaceutics 2021, 13, 671. [Google Scholar] [CrossRef] [PubMed]
- Šilić, D.; Cetina-Čižmek, B.; Ross, S.A.; Hurt, A.; Antonijevic, M.; Douroumis, D. Optimization of Hot-Melt Extrusion Processing for the Synthesis of Ionic Cocrystals. Cryst. Growth Des. 2023, 23, 7355–7364. [Google Scholar] [CrossRef]
- Šilić, D.; Cetina-Čižmek, B.; Antonijevic, M.; Douroumis, D. One-Step Synthesis of a Drug–Drug Cocrystal Hydrate Using Hot Melt Extrusion. Cryst. Growth Des. 2024, 24, 8044–8055. [Google Scholar] [CrossRef]
- Asgarpour Khansary, M.; Shirazian, S.; Walker, G. Molecular engineering of cocrystallization process in holt melt extrusion based on kinetics of elementary molecular processes. Int. J. Pharm. 2021, 601, 120495. [Google Scholar] [CrossRef]
- Sarangi, S.; Remya, P.N.; Damodharan, N. Advances in solvent based cocrystallization: Bridging the gap between theory and practice. J. Drug Deliv. Sci. Technol. 2024, 95, 105619. [Google Scholar] [CrossRef]
- Pawar, N.; Saha, A.; Nandan, N.; Parambil, J.V. Solution Cocrystallization: A Scalable Approach for Cocrystal Production. Crystals 2021, 11, 303. [Google Scholar] [CrossRef]
- Souza, F.Z.R.d.; Almeida, A.C.d.; Ferreira, P.O.; Fernandes, R.P.; Caires, F.J. Screening of coformers for quercetin cocrystals through mechanochemical methods. Eclética Química 2022, 47, 64–75. [Google Scholar] [CrossRef]
- Fiore, C.; Antoniciello, F.; Roncarati, D.; Scarlato, V.; Grepioni, F.; Braga, D. Levofloxacin and Ciprofloxacin Co-Crystals with Flavonoids: Solid-State Investigation for a Multitarget Strategy against Helicobacter pylori. Encapsul. Nat. Polyphenol. Compd. A Rev. 2024, 16, 203. [Google Scholar] [CrossRef]
- Bhalla, Y.; Chadha, K.; Chadha, R.; Karan, M. Daidzein cocrystals: An opportunity to improve its biopharmaceutical parameters. Heliyon 2019, 5, e02669. [Google Scholar] [CrossRef]
- Xiao, Y.; Yang, W.; Zhou, L.; Hao, H.; Bao, Y.; Yin, Q.; Xie, C. Growth mechanism of the spherulitic propylthiouracil–kaempferol cocrystal: New perspectives into surface nucleation. CrystEngComm 2021, 23, 2367–2375. [Google Scholar] [CrossRef]
- Lu, Z.; Chen, H.; Mo, J.; Yuan, X.; Wang, D.; Zheng, X.; Zhu, W. Cocrystal of phloretin with isoniazid: Preparation, characterization, and evaluation. RSC Adv. 2023, 13, 10914–10922. [Google Scholar] [CrossRef] [PubMed]
- Liang, F.; Tan, X.; Hao, S.; Liu, W.; Duan, C.; Zhang, G.; Zhuang, T.; Chen, Y.; Hao, C. Synthesis and structural characterization of two novel olanzapine cocrystals with decreased or enhanced dissolution rate. J. Mol. Struct. 2022, 1255, 132340. [Google Scholar] [CrossRef]
- Jiang, J.; Wang, A.; Zhang, X.; Wang, Y.; Wang, Q.; Zhai, M.; Huang, Y.; Qi, R. The isonicotinamide cocrystal promotes inhibitory effects of naringenin on nonalcoholic fatty liver disease in mice. J. Drug Deliv. Sci. Technol. 2020, 59, 101874. [Google Scholar] [CrossRef]
- Cheng, G.-L.; Jiang, C.-J.; Xia, Y.-F. The crystal structure of 4,4′-bipyridine-5,6,7-trihydroxy-2-phenyl-4H-chromen-4-one-water(1/2/2), C40H32N2O12. Z. Krist. New Cryst. Struct. 2022, 237, 933–935. [Google Scholar] [CrossRef]
- Li, J.-Y.; Liu, F.; Li, Y.-Y.; Bao, X.-Y.; Li, Y.; Li, Y.-T.; Liu, R. Hepatoprotective cocrystal of ethionamide: A new attempt to refurbish old drug through crystal engineering. J. Cryst. Growth 2022, 582, 126523. [Google Scholar] [CrossRef]
- Liu, L.-x.; Su, X.; Zhang, Y.-n.; Yin, H.-m.; Zhang, Q.; Feng, Y.-r.; Guo, Y.-x.; Zou, D.-y.; Liu, Y.-l. A Cocrystal of Baicalein and 4,4′-Bipyridine with Zipper-Type Architecture. J. Chem. Crystallogr. 2021, 51, 363–371. [Google Scholar] [CrossRef]
- Zeng, X.; Zheng, C.; Qiu, S.; Jiang, X.; Wang, X.; Qian, K.; Pan, R.; Yang, J.; Ma, Y. Cocrystal of Naringenin and Norfloxacin: Crystal Transformation, Solubility, and Antibacterial and Anticancer Activities. Cryst. Growth Des. 2024, 24, 4416–4427. [Google Scholar] [CrossRef]
- Aree, T. How cyclodextrin encapsulation improves molecular stability of apple polyphenols phloretin, phlorizin, and ferulic acid: Atomistic insights through structural chemistry. Food Chem. 2023, 409, 135326. [Google Scholar] [CrossRef]
- Sakhiya, D.C.; Borkhataria, C.H. A review on advancement of cocrystallization approach and a brief on screening, formulation and characterization of the same. Heliyon 2024, 10, e29057. [Google Scholar] [CrossRef]
- Pando, C.; Cabañas, A.; Cuadra, I.A. Preparation of pharmaceutical co-crystals through sustainable processes using supercritical carbon dioxide: A review. RSC Adv. 2016, 6, 71134–71150. [Google Scholar] [CrossRef]
- Padrela, L.; Rodrigues, M.A.; Velaga, S.P.; Fernandes, A.C.; Matos, H.A.; de Azevedo, E.G. Screening for pharmaceutical cocrystals using the supercritical fluid enhanced atomization process. J. Supercrit. Fluids 2010, 53, 156–164. [Google Scholar] [CrossRef]
- Dias, J.L.; Rebelatto, E.A.; Hotza, D.; Bortoluzzi, A.J.; Lanza, M.; Ferreira, S.R.S. Production of quercetin-nicotinamide cocrystals by gas antisolvent (GAS) process. J. Supercrit. Fluids 2022, 188, 105670. [Google Scholar] [CrossRef]
- Dias, J.L.; Rebelatto, E.A.; Lanza, M.; Ferreira, S.R.S. Production of quercetin-proline cocrystals by means of supercritical CO2 antisolvent. Adv. Powder Technol. 2023, 34, 104222. [Google Scholar] [CrossRef]
- Pindelska, E.; Sokal, A.; Kolodziejski, W. Pharmaceutical cocrystals, salts and polymorphs: Advanced characterization techniques. Adv. Drug Deliv. Rev. 2017, 117, 111–146. [Google Scholar] [CrossRef]
- Wouters, J.; Quéré, L. Pharmaceutical Salts and Co-Crystals; The Royal Society of Chemistry: London, UK, 2011. [Google Scholar]
- Karimi-Jafari, M.; Padrela, L.; Walker, G.M.; Croker, D.M. Creating Cocrystals: A Review of Pharmaceutical Cocrystal Preparation Routes and Applications. Cryst. Growth Des. 2018, 18, 6370–6387. [Google Scholar] [CrossRef]
- Khan, S.; Zahoor, M.; Rahman, M.U.; Gul, Z. Cocrystals; basic concepts, properties and formation strategies. Z. Für Phys. Chem. 2023, 237, 273–332. [Google Scholar] [CrossRef]
- Reutzel-Edens, S.M. Analytical Techniques and Strategies for Salt/Co-crystal Characterization. In Pharmaceutical Salts and Co-Crystals; Wouters, J., Quéré, L., Eds.; The Royal Society of Chemistry: London, UK, 2011. [Google Scholar]
- Zhou, H.; Duan, C.; Qin, H.; Huang, C.; Hou, J.; Chen, Y.; Zhu, J.; Xu, C.; Jin, J.; Zhuang, T. Synthesis and structural characterization of a novel palbociclib-kaempferol cocrystal with improved tabletability and synergistic antitumor activity. J. Mol. Struct. 2023, 1281, 135101. [Google Scholar] [CrossRef]
- Luo, C.; Liang, W.; Chen, X.; Wang, J.; Deng, Z.; Zhang, H. Pharmaceutical cocrystals of naringenin with improved dissolution performance. CrystEngComm 2018, 20, 3025–3033. [Google Scholar] [CrossRef]
- Huang, S.; Xu, J.; Peng, Y.; Guo, M.; Cai, T. Facile Tuning of the Photoluminescence and Dissolution Properties of Phloretin through Cocrystallization. Cryst. Growth Des. 2019, 19, 6837–6844. [Google Scholar] [CrossRef]
- Sowa, M.; Ślepokura, K.; Matczak-Jon, E. Improving solubility of fisetin by cocrystallization. CrystEngComm 2014, 16, 10592–10601. [Google Scholar] [CrossRef]
- Luo, Y.; Chen, S.; Zhou, J.; Chen, J.; Tian, L.; Gao, W.; Zhang, Y.; Ma, A.; Li, L.; Zhou, Z. Luteolin cocrystals: Characterization, evaluation of solubility, oral bioavailability and theoretical calculation. J. Drug Deliv. Sci. Technol. 2019, 50, 248–254. [Google Scholar] [CrossRef]
- Sa, R.; Zhang, Y.; Deng, Y.; Huang, Y.; Zhang, M.; Lou, B. Novel Salt Cocrystal of Chrysin with Berberine: Preparation, Characterization, and Oral Bioavailability. Cryst. Growth Des. 2018, 18, 4724–4730. [Google Scholar] [CrossRef]
- Zhang, M.; Gu, D.-L.; Zhen, J.-F.; Lu, T.-B.; Dai, X.-L.; Chen, J.-M. A novel drug–drug cocrystal of tegafur and myricetin: Optimized properties of dissolution and tabletability. CrystEngComm 2023, 25, 6171–6179. [Google Scholar] [CrossRef]






Disclaimer/Publisher’s Note: The statements, opinions and data contained in all publications are solely those of the individual author(s) and contributor(s) and not of MDPI and/or the editor(s). MDPI and/or the editor(s) disclaim responsibility for any injury to people or property resulting from any ideas, methods, instructions or products referred to in the content. |
© 2025 by the authors. Licensee MDPI, Basel, Switzerland. This article is an open access article distributed under the terms and conditions of the Creative Commons Attribution (CC BY) license (https://creativecommons.org/licenses/by/4.0/).
Share and Cite
Maciołek, U.I.; Kosińska-Pezda, M.; Martínez-Senra, T.; Losada-Barreiro, S.; Bravo-Díaz, C. Flavonoid-Based Cocrystals: A Comprehensive Study on Their Synthesis, Characterization, Physicochemical Properties and Applications. Molecules 2025, 30, 4315. https://doi.org/10.3390/molecules30214315
Maciołek UI, Kosińska-Pezda M, Martínez-Senra T, Losada-Barreiro S, Bravo-Díaz C. Flavonoid-Based Cocrystals: A Comprehensive Study on Their Synthesis, Characterization, Physicochemical Properties and Applications. Molecules. 2025; 30(21):4315. https://doi.org/10.3390/molecules30214315
Chicago/Turabian StyleMaciołek, Urszula Izabela, Małgorzata Kosińska-Pezda, Tamara Martínez-Senra, Sonia Losada-Barreiro, and Carlos Bravo-Díaz. 2025. "Flavonoid-Based Cocrystals: A Comprehensive Study on Their Synthesis, Characterization, Physicochemical Properties and Applications" Molecules 30, no. 21: 4315. https://doi.org/10.3390/molecules30214315
APA StyleMaciołek, U. I., Kosińska-Pezda, M., Martínez-Senra, T., Losada-Barreiro, S., & Bravo-Díaz, C. (2025). Flavonoid-Based Cocrystals: A Comprehensive Study on Their Synthesis, Characterization, Physicochemical Properties and Applications. Molecules, 30(21), 4315. https://doi.org/10.3390/molecules30214315





























