Seasonal and Extraction-Dependent Variation in the Composition and Bioactivity of Essential Oils from Wild Rosmarinus officinalis L.
Abstract
1. Introduction
2. Results and Discussion
2.1. Effect of Extraction Method on the Yield
2.2. Effect of Extraction Method on the Chemical Composition of Essential Oil
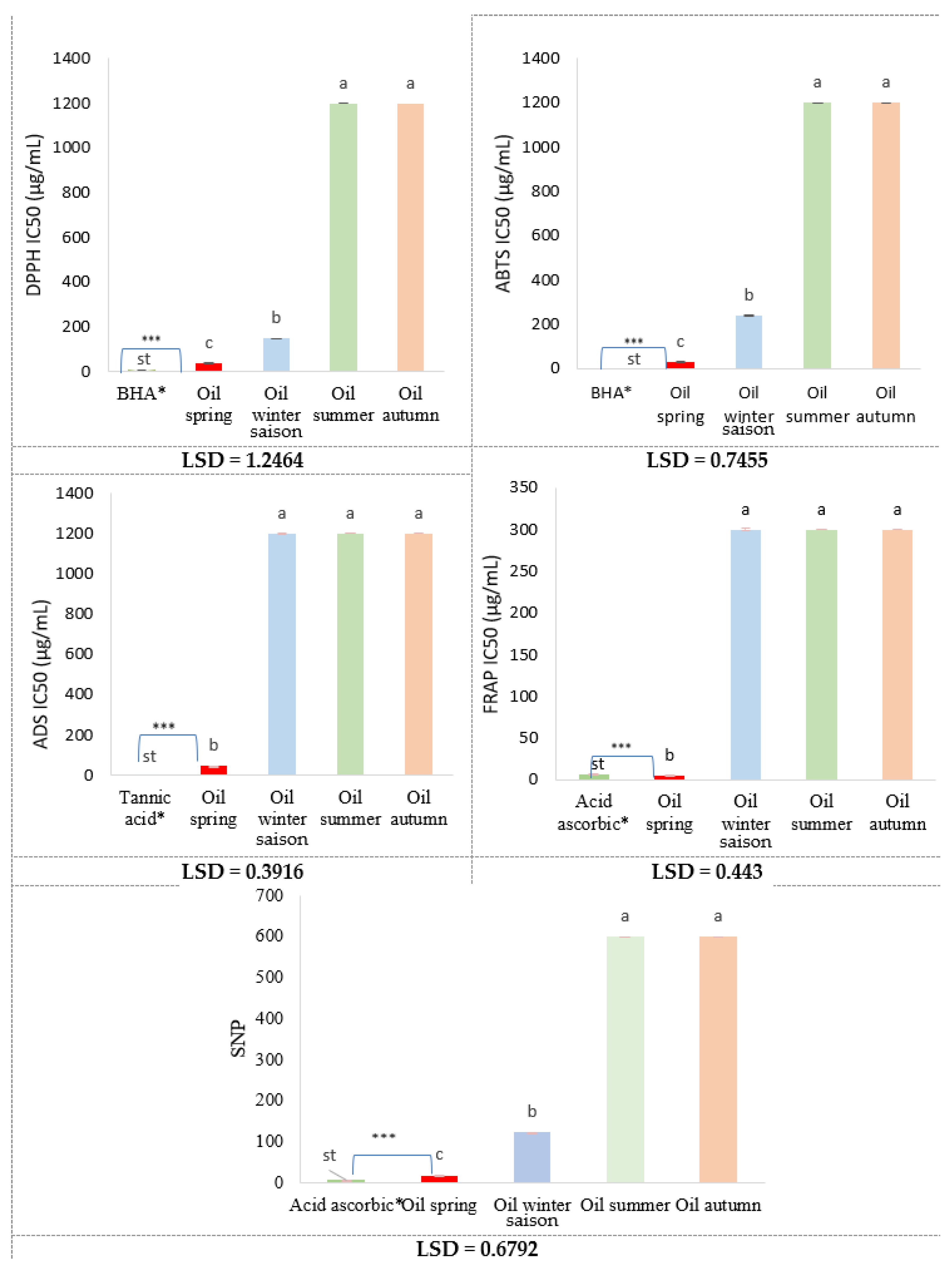
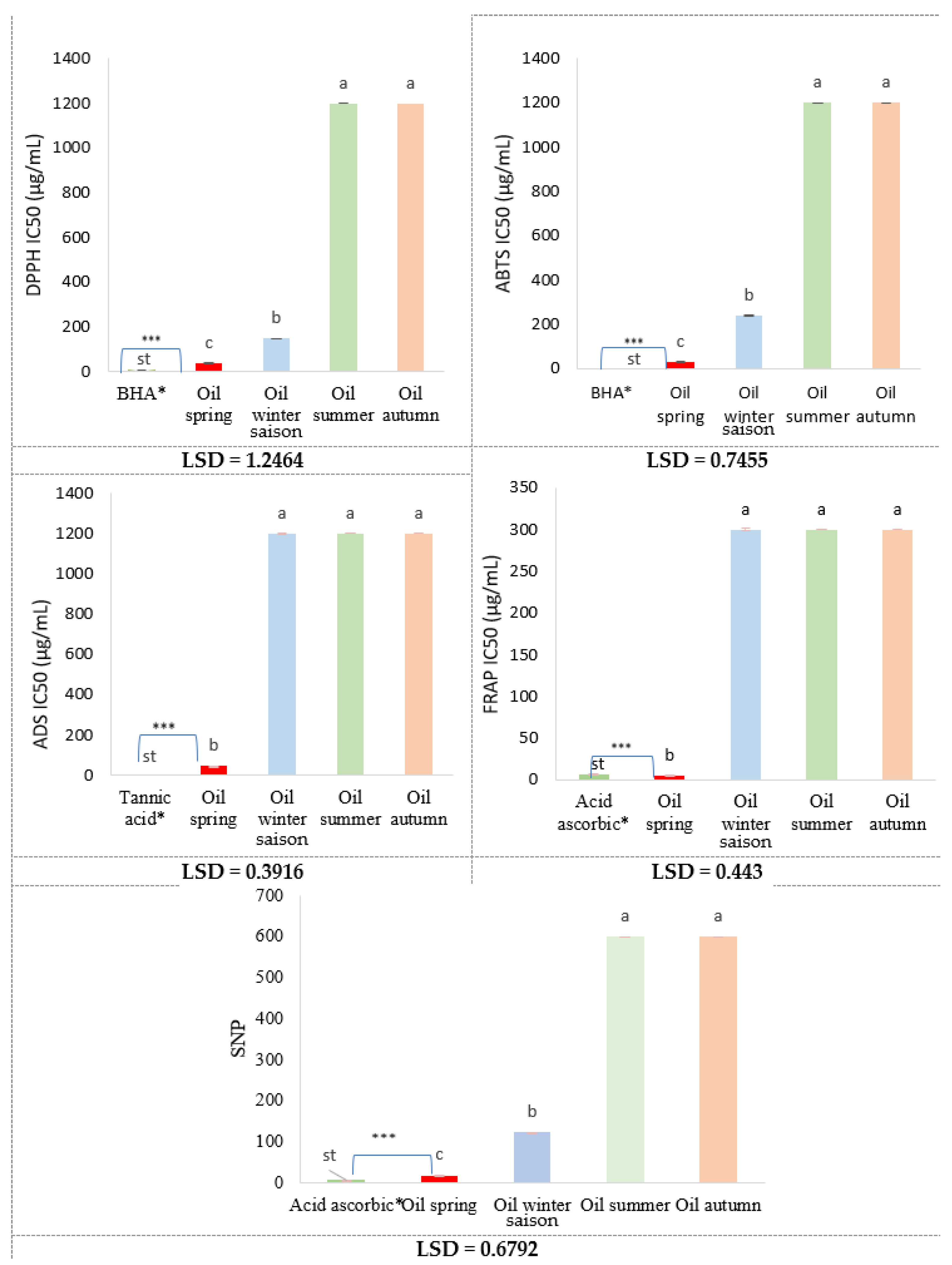
2.3. Antioxidant Activity
2.4. Antimicrobial Susceptibility Assay In Vitro
2.5. In Vito Anti-Inflammatory Activity
2.6. Acute Toxicity
2.7. Statistical Correlation and Structure Activity Relationships
3. Materials and Methods
3.1. Plant Material and Sampling
3.2. Chemicals and Reagents
3.3. Essential Oil Extraction
3.4. Essential Oil Analysis
3.5. Antioxidant Activity In Vitro
3.5.1. DPPH Radical Scavenging
3.5.2. ABTS Radical Scavenging
3.5.3. Ferric Reducing Antioxidant Power (FRAP) Assay
3.5.4. Superoxide Radical Scavenging (Alkaline DMSO Method)
3.5.5. Silver Nanoparticle (AgNP) Reduction Assay
3.6. Anti-Inflammatory Activity In Vitro
3.7. Antibacterial and Antifungal Activities In Vitro
3.8. Acute Toxicity
3.9. Statistical Analysis
4. Conclusions
Author Contributions
Funding
Institutional Review Board Statement
Informed Consent Statement
Data Availability Statement
Conflicts of Interest
References
- Yeddes, W.; Aidi Wannes, W.; Hammami, M.; Smida, M.; Chebbi, A.; Marzouk, B.; Saidani Tounsi, M. Effect of Environmental Conditions on the Chemical Composition and Antioxidant Activity of Essential Oils from Rosmarinus officinalis L. Growing Wild in Tunisia. J. Essent. Oil Bear. Plants 2018, 21, 972–986. [Google Scholar] [CrossRef]
- Aggoun, K.; Harkati, B.; Demirtaş, I.; Adem, Ş.; Jafari, D.A.; Hameed, Z.A.; Laouer, H.; Atoki, A.V.; Gouasmia, A.; Atanassova, M. Turgenia latifolia (L.) Hoffm: Chemical Profiling and Antioxidant, Anti-Inflammatory, and Anticancer Activities. Bull. Chem. Soc. Ethiop. 2025, 39, 937–953. [Google Scholar] [CrossRef]
- Fung Boix, Y.; Pimentel Victório, C.; Luiz Salgueiro Lage, C.; Machado Kuster, R. Volatile Compounds from Rosmarinus officinalis L. and Baccharis dracunculifolia DC. Growing in Southeast Coast of Brazil. Quím. Nova 2010, 33, 255–257. [Google Scholar] [CrossRef]
- Yesil-Celiktas, O.; Sevimli, C.; Bedir, E.; Vardar-Sukan, F. Inhibitory Effects of Rosemary Extracts, Carnosic Acid and Rosmarinic Acid on the Growth of Various Human Cancer Cell Lines. Plant Foods Hum. Nutr. 2010, 65, 158–163. [Google Scholar] [CrossRef]
- Kant, R.; Kumar, A. Review on Essential Oil Extraction from Aromatic and Medicinal Plants: Techniques, Performance and Economic Analysis. Sustain. Chem. Pharm. 2022, 30, 100829. [Google Scholar] [CrossRef]
- Boutekedjiret, C.; Bentahar, F.; Belabbes, R.; Bessiere, J.M. Extraction of Rosemary Essential Oil by Steam Distillation and Hydrodistillation. Flavour Fragr. J. 2003, 18, 481–484. [Google Scholar] [CrossRef]
- Hussain, A.I.; Anwar, F.; Chatha, S.A.S.; Jabbar, A.; Mahboob, S.; Nigam, P.S. Rosmarinus officinalis Essential Oil: Antiproliferative, Antioxidant and Antibacterial Activities. Braz. J. Microbiol. 2010, 41, 1070–1078. [Google Scholar] [CrossRef]
- Lucchesi, M.E.; Chemat, F.; Smadja, J. An Original Solvent Free Microwave Extraction of Essential Oils from Spices. Flavour Fragr. J. 2004, 19, 134–138. [Google Scholar] [CrossRef]
- Bozin, B.; Mimica-Dukic, N.; Samojlik, I.; Jovin, E. Antimicrobial and Antioxidant Properties of Rosemary and Sage (Rosmarinus officinalis L. and Salvia officinalis L., Lamiaceae) Essential Oils. J. Agric. Food Chem. 2007, 55, 7879–7885. [Google Scholar] [CrossRef]
- Bousbia, N.; Vian, M.A.; Ferhat, M.A.; Petitcolas, E.; Meklati, B.Y.; Chemat, F. Comparison of Two Isolation Methods for Essential Oil from Rosemary Leaves: Hydrodistillation and Microwave Hydrodiffusion and Gravity. Food Chem. 2009, 114, 355–362. [Google Scholar] [CrossRef]
- Mateus, E.M.; Lopes, C.; Nogueira, T.; Lourenço, J.A.A.; Curto, M.J.M. Pilot Steam Distillation of Rosemary (Rosmarinus officinalis L.) from Portugal. Silva Lusit. 2006, 14, 203–217. [Google Scholar]
- Arafa, G.K. Extract the Aromatic Oil of the Rosemary Plant by Steam Distillation and Hydro-Distillation Methods. Misr J. Agric. Eng. 2019, 36, 953–968. [Google Scholar] [CrossRef]
- Elyemni, M.; Louaste, B.; Nechad, I.; Elkamli, T.; Bouia, A.; Taleb, M.; Chaouch, M.; Eloutassi, N. Extraction of Essential Oils of Rosmarinus officinalis L. by Two Different Methods: Hydrodistillation and Microwave Assisted Hydrodistillation. Sci. World J. 2019, 2019, 3659432. [Google Scholar] [CrossRef] [PubMed]
- Sharifi-Rad, M.; Panda, J.; Mohanta, Y.K.; Pohl, P.; Zengin, G.; Moloney, M.G. Essential oil of Cleome coluteoides (Boiss.): Phytochemical constituents, antioxidant, antimicrobial, antiproliferative, anti-inflammatory, enzymatic inhibition, and Xanthine oxidase inhibitory properties. J. Herb. Med 2025, 52, 101036. [Google Scholar] [CrossRef]
- Sharifi-Rad, M.; Pohl, P.; Epifano, F.; Zengin, G.; Jaradat, N.; Messaoudi, M. Teucrium polium (L.): Phytochemical Screening and Biological Activities at Different Phenological Stages. Molecules 2022, 27, 1561. [Google Scholar] [CrossRef]
- Serralutzu, F.; Stangoni, A.; Amadou, B.; Tijan, D.; Re, G.A.; Marceddu, S.; Dore, A.; Bullitta, S. Essential Oil Composition and Yield of a Rosmarinus officinalis L. Natural Population with an Extended Flowering Season in a Coastal Mediterranean Environment and Perspectives for Exploitations. Genet. Resour. Crop Evol. 2020, 67, 1777–1793. [Google Scholar] [CrossRef]
- Lakušić, D.; Ristić, M.; Slavkovska, V.; Lakušić, B. Seasonal Variations in the Composition of the Essential Oils of Rosemary (Rosmarinus officinalis, Lamiaceae). Nat. Prod. Commun. 2013, 8, 131–141. [Google Scholar] [CrossRef]
- Daussy, J.; Staudt, M. Do Future Climate Conditions Change Volatile Organic Compound Emissions from Artemisia Annua? Elevated CO2 and Temperature Modulate Actual VOC Emission Rate but Not Its Emission Capacity. Atmos. Environ. X 2020, 7, 100082. [Google Scholar] [CrossRef]
- Ben Arfa, A.; Gouja, H.; Hannachi, H.; Isoda, H.; Neffati, M.; Najjaa, H. Seasonal Changes in Rosemary Species: A Chemotaxonomic Assessment of Two Varieties Based on Essential Oil Compounds, Antioxidant and Antibacterial Activities. PLoS ONE 2022, 17, e0273367. [Google Scholar] [CrossRef]
- Bejenaru, L.E.; Biţă, A.; Mogoşanu, G.D.; Segneanu, A.-E.; Radu, A.; Ciocîlteu, M.V.; Bejenaru, C. Polyphenols Investigation and Antioxidant and Anticholinesterase Activities of Rosmarinus officinalis L. Species from Southwest. Romania Flora. Molecules 2024, 29, 4438. [Google Scholar] [CrossRef]
- Aziz, Z.A.A.; Ahmad, A.; Setapar, S.H.M.; Karakucuk, A.; Azim, M.M.; Lokhat, D.; Rafatullah, M.; Ganash, M.; Kamal, M.A.; Ashraf, G.M. Essential Oils: Extraction Techniques, Pharmaceutical and Therapeutic Potential—A Review. Curr. Drug Metab. 2018, 19, 1100–1110. [Google Scholar] [CrossRef]
- Silva-Flores, P.G.; Pérez-López, L.A.; Rivas-Galindo, V.M.; Paniagua-Vega, D.; Galindo-Rodríguez, S.A.; Álvarez-Román, R. Simultaneous GC-FID Quantification of Main Components of Rosmarinus officinalis L. and Lavandula Dentata Essential Oils in Polymeric Nanocapsules for Antioxidant Application. J. Anal. Methods Chem. 2019, 2019, 2837406. [Google Scholar] [CrossRef]
- Melito, S.; Petretto, G.L.; Chahine, S.; Pintore, G.; Chessa, M. Seasonal Variation of Essential Oil in Rosmarinus Officinalis Leaves in Sardinia. Nat. Prod. Commun. 2019, 14, 1934578X19864005. [Google Scholar] [CrossRef]
- Sun, W.; Shahrajabian, M.H. Therapeutic Potential of Phenolic Compounds in Medicinal Plants—Natural Health Products for Human Health. Molecules 2023, 28, 1845. [Google Scholar] [CrossRef]
- Okoh, O.O.; Sadimenko, A.P.; Afolayan, A.J. Comparative Evaluation of the Antibacterial Activities of the Essential Oils of Rosmarinus officinalis L. Obtained by Hydrodistillation and Solvent Free Microwave Extraction Methods. Food Chem. 2010, 120, 308–312. [Google Scholar] [CrossRef]
- Yeddes, W.; Chalghoum, A.; Aidi-Wannes, W.; Ksouri, R.; Saidani Tounsi, M. Effect of Bioclimatic Area and Season on Phenolics and Antioxidant Activities of Rosemary (Rosmarinus officinalis L.) Leaves. J. Essent. Oil Res. 2019, 31, 432–443. [Google Scholar] [CrossRef]
- Tantry, M.A.; Shabir, S.; Khan, R.; Habib, A.; Akbar, S. Determination of Essential Oil Composition of Rosmarinus officinalis Growing as Exotic Species in Kashmir Valley. Chem. Nat. Compd. 2012, 47, 1012–1014. [Google Scholar] [CrossRef]
- Al Jaafreh, A.M. Evaluation of Antioxidant Activities of Rosemary (Rosmarinus officinalis L.) Essential Oil and Different Types of Solvent Extractions. Biomed. Pharmacol. J. 2024, 17, 323–339. [Google Scholar] [CrossRef]
- Morrison, J.F.; Tsai, H.M.; Bradshaw, P. Conditional-sampling schemes for turbulent flow, based on the variable-interval time averaging (VITA) algorithm. Exp. Fluids 1988, 7, 173–186. [Google Scholar] [CrossRef]
- Koçak, M.Z.; Karadağ, M.; Çelikcan, F. Essential Oil Composition of Salvia officinalis and Rosmarinus officinalis. J. Agric. 2021, 4, 39–47. [Google Scholar] [CrossRef]
- Aebisher, D.; Cichonski, J.; Szpyrka, E.; Masjonis, S.; Chrzanowski, G. Essential Oils of Seven Lamiaceae Plants and Their Antioxidant Capacity. Molecules 2021, 26, 3793. [Google Scholar] [CrossRef]
- Grzeszczak, J.; Wróblewska, A.; Klimowicz, A.; Gajewska, S.; Kucharski, Ł.; Koren, Z.C.; Janda-Milczarek, K. Antioxidant Activities of Ethanolic Extracts Obtained from α-Pinene-Containing Plants and Their Use in Cosmetic Emulsions. Antioxidants 2024, 13, 811. [Google Scholar] [CrossRef] [PubMed]
- Baccouri, B.; Rajhi, I. Potential Antioxidant Activity of Terpenes. In Terpenes Terpenoids—Recent Advances; IntechOpen: London, UK, 2021; pp. 53–62. [Google Scholar]
- Taibi, M.; Elbouzidi, A.; Haddou, M.; Baraich, A.; Gharsallaoui, A.; Mothana, R.A.; Alqahtani, A.M.; Asehraou, A.; Bellaouchi, R.; Addi, M. Evaluation of the Interaction Between Menthol and Camphor, Major Compounds of Clinopodium Nepeta Essential Oil: Antioxidant, Anti-inflammatory and Anticancer Activities Against Breast Cancer Cell Lines. Chem. Biodivers. 2025, 22, e202403098. [Google Scholar] [CrossRef]
- Krishnaiah, D.; Sarbatly, R.; Nithyanandam, R. A Review of the Antioxidant Potential of Medicinal Plant Species. Food Bioprod. Process. 2011, 89, 217–233. [Google Scholar] [CrossRef]
- Li, Y.; Huang, L.; Xu, Y.; Cheng, B.; Zhao, M. Antioxidant Mechanism of Rosmarinus officinalis Essential Oil Ameliorating Pulmonary Oxidative Stress by Activating NRF2 Signaling Pathway. Res. Sq. 2024. [Google Scholar] [CrossRef]
- Chrysargyris, A.; Evangelides, E.; Tzortzakis, N. Seasonal Variation of Antioxidant Capacity, Phenols, Minerals and Essential Oil Components of Sage, Spearmint and Sideritis Plants Grown at Different Altitudes. Agronomy 2021, 11, 1766. [Google Scholar] [CrossRef]
- Tekguler, B.; Koca, I.; Karadeniz, B.; Zannou, O.; Pashazadeh, H. Antioxidant Properties and Monoterpene Composition of 13 Different Pine Resin Samples from Turkey. Commagene J. Biol. 2021, 5, 208–213. [Google Scholar] [CrossRef]
- Wojtunik-Kulesza, K.; Dubiel, M.; Klimek, K. Metal Ion Reduction, Chelation, and Cytotoxicity of Selected Bicyclic Monoterpenes and Their Binary Mixture. Metabolites 2025, s15, 199. [Google Scholar] [CrossRef]
- Göze, İ.; Vural, N.; Ercan, N. Characterization of Essential Oil and Antioxidant Activities of Some Species of Salvia in Turkey. Nat. Volatiles Essent. Oils 2016, 3, 1–7. [Google Scholar]
- Beretta, G.; Artali, R.; Facino, R.M.; Gelmini, F. An Analytical and Theoretical Approach for the Profiling of the Antioxidant Activity of Essential Oils: The Case of Rosmarinus officinalis L. J. Pharm. Biomed. Anal. 2011, 55, 1255–1264. [Google Scholar] [CrossRef]
- Mishra, A.; Mishra, A.; Chattopadhyay, P. Assessment of in Vitro Sun Protection Factor of Calendula officinalis L. (Asteraceae) Essential Oil Formulation. J. Young Pharm. 2012, 4, 17–21. [Google Scholar] [CrossRef]
- Dawidowicz, A.L.; Olszowy, M. Does Antioxidant Properties of the Main Component of Essential Oil Reflect Its Antioxidant Properties? The Comparison of Antioxidant Properties of Essential Oils and Their Main Components. Nat. Prod. Res. 2014, 28, 1952–1963. [Google Scholar] [CrossRef] [PubMed]
- Bounimi, S.; Chebli, B. Synergistic Antioxidant Activity of Three Essential Oils of Lamiacea Family from Morocco. J. Environ. Eng. Sci. 2017, 3, 195–200. [Google Scholar]
- Gonzalez-Burgos, E.; Gomez-Serranillos, M.P. Terpene Compounds in Nature: A Review of Their Potential Antioxidant Activity. Curr. Med. Chem. 2012, 19, 5319–5341. [Google Scholar] [CrossRef] [PubMed]
- Poole, K. Pseudomonas Aeruginosa: Resistance to the Max. Front. Microbiol. 2011, 2, 65. [Google Scholar] [CrossRef]
- Li, X.Z.; Nikaido, H. Efflux-Mediated Drug Resistance in Bacteria: An Update. Drugs 2009, 69, 1555–1623. [Google Scholar] [CrossRef]
- Rouvier, F.; Brunel, J.M.; Pagès, J.M.; Vergalli, J. Efflux-Mediated Resistance in Enterobacteriaceae: Recent Advances and Ongoing Challenges to Inhibit Bacterial Efflux Pumps. Antibiotics 2025, 14, 778. [Google Scholar] [CrossRef]
- Lawrence, H.A.; Palombo, E.A. Activity of Essential Oils against Bacillus subtilis Spores. J. Microbiol. Biotechnol. 2009, 19, 1590–1595. [Google Scholar] [CrossRef]
- Nazzaro, F.; Fratianni, F.; De Martino, L.; Coppola, R.; De Feo, V. Effect of Essential Oils on Pathogenic Bacteria. Pharmaceuticals 2013, 6, 1451–1474. [Google Scholar] [CrossRef]
- Silva, N.; Alves, S.; Gonçalves, A.; Amaral, J.S.; Poeta, P. Antimicrobial Activity of Essential Oils from Mediterranean Aromatic Plants against Several Foodborne and Spoilage Bacteria. Food Sci. Technol. Int. 2013, 19, 503–510. [Google Scholar] [CrossRef]
- Bowbe, K.H.; Salah, K.B.H.; Moumni, S.; Ashkan, M.F.; Merghni, A. Anti-Staphylococcal Activities of Rosmarinus officinalis and Myrtus communis Essential Oils through ROS-Mediated Oxidative Stress. Antibiotics 2023, 12, 226. [Google Scholar] [CrossRef]
- Hussain, A.I.; Anwar, F.; Hussain Sherazi, S.T.; Przybylski, R. Chemical Composition, Antioxidant and Antimicrobial Activities of Basil (Ocimum basilicum) Essential Oils Depends on Seasonal Variations. Food Chem. 2008, 108, 986–995. [Google Scholar] [CrossRef] [PubMed]
- Balouiri, M.; Sadiki, M.; Ibnsouda, S.K. Methods for in Vitro Evaluating Antimicrobial Activity: A Review. J. Pharm. Anal. 2016, 6, 71–79. [Google Scholar] [CrossRef]
- Hulankova, R. Methods for Determination of Antimicrobial Activity of Essential Oils In Vitro—A Review. Plants 2024, 13, 2784. [Google Scholar] [CrossRef]
- Yang, J.; Goksen, G.; Zhang, W. Rosemary Essential Oil: Chemical and Biological Properties, with Emphasis on Its Delivery Systems for Food Preservation. Food Control 2023, 154, 110003. [Google Scholar] [CrossRef]
- Kamel, D.G.; Mansour, A.I.A.; El-Diin, M.A.H.N.; Hammam, A.R.A.; Mehta, D.; Abdel-Rahman, A.M. Using Rosemary Essential Oil as a Potential Natural Preservative during Stirred-like Yogurt Making. Foods 2022, 11, 1993. [Google Scholar] [CrossRef] [PubMed]
- Fiume, M.M.; Bergfeld, W.F.; Belsito, D.V.; Hill, R.A.; Klaassen, C.D.; Liebler, D.C.; Marks, J.G.; Shank, R.C.; Slaga, T.J.; Snyder, P.W.; et al. Safety Assessment of Rosmarinus officinalis (Rosemary)-Derived Ingredients as Used in Cosmetics. Int. J. Toxicol. 2018, 37, 12S–50S. [Google Scholar] [CrossRef]
- Khalifi Taghzouti, O.; Balouiri, M.; Ouedrhiri, W.; Chahad, A.E.; Romane, A. In Vitro Evaluation of the Antioxidant and Antimicrobial Effects of Globularia alypum L. Extracts. J. Mater. Environ. Sci. 2016, 7, 1988–1995. [Google Scholar]
- Barradas, T.N.; de Holanda e Silva, K.G. Nanoemulsions of Essential Oils to Improve Solubility, Stability and Permeability: A Review. Environ. Chem. Lett. 2021, 19, 1153–1171. [Google Scholar] [CrossRef]
- Sharmeen, J.B.; Mahomoodally, F.M.; Zengin, G.; Maggi, F. Essential Oils as Natural Sources of Fragrance Compounds for Cosmetics and Cosmeceuticals. Molecules 2021, 26, 666. [Google Scholar] [CrossRef]
- Shahrivari, S.; Alizadeh, S.; Ghassemi-Golezani, K.; Aryakia, E. A Comprehensive Study on Essential Oil Compositions, Antioxidant, Anticholinesterase and Antityrosinase Activities of Three Iranian Artemisia Species. Sci. Rep. 2022, 12, 7234. [Google Scholar] [CrossRef]
- Bunse, M.; Daniels, R.; Gründemann, C.; Heilmann, J.; Kammerer, D.R.; Keusgen, M.; Lindequist, U.; Melzig, M.F.; Morlock, G.E.; Schulz, H.; et al. Essential Oils as Multicomponent Mixtures and Their Potential for Human Health and Well-Being. Front. Pharmacol. 2022, 13, 956541. [Google Scholar] [CrossRef]
- Morais, S.V.d.; Mendonça, P.G.; Vasconcelos, C.C.; Lopes, P.L.A.; Garcia, J.B.S.; Calzerra, N.T.M.; Queiroz, T.M.d.; Lima, S.T.d.J.R.M.; Silva, G.E.B.; Lopes, A.J.O.; et al. Cuminaldehyde Effects in a MIA-Induced Experimental Model Osteoarthritis in Rat Knees. Metabolites 2023, 13, 397. [Google Scholar] [CrossRef]
- Mollica, F.; Gelabert, I.; Amorati, R. Synergic Antioxidant Effects of the Essential Oil Component γ-Terpinene on High-Temperature Oil Oxidation. ACS Food Sci. Technol. 2022, 2, 180–186. [Google Scholar] [CrossRef]
- Bian, M.; Ma, Q.Q.; Wu, Y.; Du, H.H.; Guo-hua, G. Small Molecule Compounds with Good Anti-Inflammatory Activity Reported in the Literature from 01/2009 to 05/2021: A Review. J. Enzym. Inhib. Med. Chem. 2021, 36, 2139–2159. [Google Scholar] [CrossRef] [PubMed]
- Abderrahim, A.; Belhamel, K.; Chalard, P.; Figuérédo, G. Correlation between Chemical Composition and Antioxidant Activity of the Essential Oils from Leaves and Berries of Schinus molle L. Growing in Two Areas of Bejaia (Algeria). J. Food Meas. Charact. 2018, 12, 1123–1134. [Google Scholar] [CrossRef]
- Figueiredo, A.C.; Barroso, J.G.; Pedro, L.G.; Scheffer, J.J.C. Factors Affecting Secondary Metabolite Production in Plants: Volatile Components and Essential Oils. Flavour Fragr. J. 2008, 23, 213–226. [Google Scholar] [CrossRef]
- Adams, R.P.; Thomas, P.; Rushforth, K. The Leaf Essential Oils of the New Conifer Genus, Xanthocyparis: Xanthocyparis Vietnamensis and X. nootkatensis. J. Essent. Oil Res. 2007, 19, 30–33. [Google Scholar] [CrossRef]
- Scherer, R.; Godoy, H.T. Antioxidant Activity Index (AAI) by the 2,2-Diphenyl-1-Picrylhydrazyl Method. Food Chem. 2009, 112, 654–658. [Google Scholar] [CrossRef]
- Re, R.; Pellegrini, N.; Proteggente, A.; Pannala, A.; Yang, M.; Rice-Evans, C. Antioxidant Activity Applying an Improved ABTS Radical Cation Decolorization Assay. Free Radic. Biol. Med. 1999, 26, 1231–1237. [Google Scholar] [CrossRef] [PubMed]
- Oyaizu, M. Antioxidative Activities of Browning Reaction Prepared from Glucosamine. Jpn. J. Nutr. 1986, 44, 307–315. [Google Scholar] [CrossRef]
- Kunchandy, E.; Rao, M.N.A. Oxygen Radical Scavenging Activity of Curcumin. Int. J. Pharm. 1990, 58, 237–240. [Google Scholar] [CrossRef]
- Özyürek, M.; Güngör, N.; Baki, S.; Güçlü, K.; Apak, R. Development of a Silver Nanoparticle-Based Method for the Antioxidant Capacity Measurement of Polyphenols. Anal. Chem. 2012, 84, 8052–8059. [Google Scholar] [CrossRef]
- Karthik, K.; Thangaswamy, V. Evaluation of Implant Success: A Review of Past and Present Concepts. J. Pharm. Bioallied Sci. 2013, 5, S117–S119. [Google Scholar] [CrossRef]
- El Atki, Y.; Aouam, I.; El Kamari, F.; Taroq, A.; Nayme, K.; Timinouni, M.; Lyoussi, B.; Abdellaoui, A. Antibacterial Activity of Cinnamon Essential Oils and Their Synergistic Potential with Antibiotics. J. Adv. Pharm. Technol. Res. 2019, 10, 63–67. [Google Scholar] [CrossRef]
- Hans, V.M.; Grover, H.S.; Deswal, H.; Agarwal, P. Antimicrobial Efficacy of Various Essential Oils at Varying Concentrations against Periopathogen Porphyromonas gingivalis. J. Clin. Diagn. Res. 2016, 10, ZC16. [Google Scholar] [CrossRef] [PubMed]
- Hurtado, R.; Peltroche, N.; Mauricio, F.; Gallo, W.; Alvítez-Temoche, D.; Vilchez, L.; Mayta-Tovalino, F. Antifungal Efficacy of Four Different Concentrations of the Essential Oil of Cinnamomum zeylanicum (Canela) against Candida albicans: An in Vitro Study. J. Int. Soc. Prev. Community Dent. 2020, 10, 724–730. [Google Scholar] [CrossRef] [PubMed]
- Messaoudi, M.; Rebiai, A.; Sawicka, B.; Atanassova, M.; Ouakouak, H.; Larkem, I.; Egbuna, C.; Awuchi, C.G.; Boubekeur, S.; Ferhat, M.A.; et al. Effect of Extraction Methods on Polyphenols, Flavonoids, Mineral Elements, and Biological Activities of Essential Oil and Extracts of Mentha pulegium L. Molecules 2022, 27, 11. [Google Scholar] [CrossRef]
- Prabuseenivasan, S.; Jayakumar, M.; Ignacimuthu, S. In Vitro Antibacterial Activity of Some Plant Essential Oils. BMC Complement. Altern. Med. 2006, 6, 39. [Google Scholar] [CrossRef]







| Seasons | Empirical Formula | TR | IR | Autumn | Winter | Spring | Summer | ||||||||
|---|---|---|---|---|---|---|---|---|---|---|---|---|---|---|---|
| Extraction Method | HD (%) | MD (%) | SD (%) | HD (%) | MD (%) | SD (%) | HD (%) | MD (%) | SD (%) | HD (%) | MD (%) | SD (%) | |||
| Constituent | |||||||||||||||
| Tricyclene | C10H16 | 4.37 | 922 | 0.54 | 0.74 | 1.47 | 0.73 | 0.87 | 1.33 | 0.92 | 0.64 | 1.62 | 0.83 | 0.67 | 0.9 |
| α-Thujene | C10H16 | 4.52 | 924 | 0.83 | 0.92 | 0.83 | 0.3 | 0.31 | 0.17 | 0.25 | 0.23 | 0.3 | |||
| α-Pinene | C10H16 | 4.74 | 926 | 7.31 | 9.2 | 18.27 | 10.31 | 12.08 | 18.62 | 12.31 | 11.29 | 21.72 | 15.88 | 12.89 | 14.64 |
| Camphene | C10H16 | 5.19 | 942 | 7.84 | 9.36 | 16.3 | 9.88 | 10.71 | 15.11 | 12.35 | 10.42 | 18.23 | 14.86 | 12.58 | 13.28 |
| Sabinene | C10H16 | 6.03 | 971 | 1.79 | / | / | / | / | / | / | 0.18 | / | / | / | / |
| β-Pinene | C10H16 | 6.13 | 974 | 1.92 | 2.66 | 1.73 | 3.35 | 3.05 | 2.26 | 5.02 | 4.32 | 2.33 | 1.61 | 1.68 | 1.67 |
| β-Myrcene | C10H16 | 6.79 | 988 | 0.37 | 0.48 | 0.74 | 0.59 | 0.73 | 0.72 | 0.66 | 0.66 | 0.75 | 0.53 | 0.63 | 0.57 |
| α-Phellandrene | C10H16 | 7.33 | 1001 | 0.28 | 0.21 | 0.5 | 0.3 | 0.23 | 0.24 | 0.3 | 0.27 | 0.37 | 0.4 | 0.46 | 0.45 |
| α-Terpinene | C10H16 | 7.98 | 1020 | 1.34 | 1.14 | 0.75 | 1.31 | 0.66 | 0.66 | 0.66 | 0.66 | 0.87 | 1.05 | 1.12 | 1.09 |
| p-Cymene | C10H16 | 8.48 | 1023 | 3.02 | 3.25 | 3.98 | 2.98 | 2.35 | 4 | 2.35 | 0.29 | 3.07 | 2.8 | 3.07 | 2.49 |
| 1,8-Cineole | C10H18O | 8.86 | 1027 | 7.65 | 8.5 | 12.54 | 10.96 | 12.84 | 13.49 | 13.96 | 14.53 | 13.59 | 10.06 | 11.73 | 9 |
| cis-Ocimene | C10H16 | 9.34 | 1034 | 0.18 | 0.2 | 0.18 | 0.15 | 0.12 | / | 0.26 | 0.26 | / | 0.12 | 0.14 | 0.14 |
| trans-β-Ocimene | C10H16 | 9.97 | 1045 | / | / | / | / | / | / | 0.1 | 0.13 | / | 0.04 | 0.04 | / |
| γ-Terpinene | C10H16 | 10.46 | 1103 | 2.33 | 1.68 | 0.73 | 1.88 | 0.86 | 0.57 | 0.99 | 0.82 | 0.75 | 1.21 | 1.32 | 1.27 |
| cis-Sabinene hydrate | C10H18O | 11.13 | 1112 | 0.63 | 0.19 | 0.43 | 0.41 | 0.15 | 0.23 | 0.36 | 0.13 | 0.21 | 0.17 | ||
| α-Terpinolene | C10H16 | 12.21 | 1120 | 1.05 | 0.72 | 0.37 | 0.78 | 0.54 | 0.32 | 0.53 | 0.5 | 0.43 | 0.71 | 0.79 | 0.72 |
| cis-β-Terpineol | C10H18O | 13.11 | 1138 | 0.58 | 1.02 | 0.32 | 0.3 | 0.18 | 0.26 | / | 0.11 | 0.15 | 0.12 | ||
| Linalool | C10H18O | 13.78 | 1141 | / | / | / | 2 | 0.2 | / | 0.15 | 0.24 | / | 0.08 | 0.09 | 0.1 |
| Camphor | C10H16O | 16.16 | 1158 | 23.53 | 30.78 | 22.92 | 24.48 | 33.63 | 22.91 | 33.03 | 36.52 | 21.95 | 31.29 | 35.37 | 24.13 |
| Borneol | C10H18O | 17.7 | 1176 | 5.3 | 6.57 | 1.42 | 5.44 | 6.52 | 3.56 | 3.77 | 3.46 | 1.49 | 3.66 | 4.07 | 3.11 |
| 4-Terpineol | C10H18O | 18.42 | 1191 | 6.48 | 4.63 | 0.82 | 3.93 | 2.61 | 0.97 | 2.11 | 2.04 | 0.59 | 1.73 | 2.11 | 1.47 |
| α-Terpineol | C10H18O | 19.34 | 1203 | 2.34 | 2.38 | 0.79 | 2.61 | 2.72 | 0.99 | 2.22 | 2.13 | 0.58 | 1.52 | 1.82 | 1.17 |
| Cuminic aldehyde | C10H12O | 22.24 | 1238 | 0.13 | 0.13 | 0.08 | / | / | / | / | / | / | / | / | |
| Bornyl acetate | C12H20O2 | 25.38 | 1285 | 1.38 | 1.41 | 0.68 | 1.29 | 1.4 | 0.96 | 1.17 | 1.17 | 0.71 | 1.46 | 1.71 | 1.47 |
| Thymol | C10H14O | 27.21 | 1290 | / | 0.08 | / | 0.09 | 0.07 | / | 0.05 | 0.05 | / | / | / | / |
| Carvacrol | C10H14O | 28.08 | 1299 | 0.18 | 0.13 | 0.07 | 0.06 | 0.06 | 0.13 | 0.07 | 0.06 | ||||
| α-Terpinyl acetate | C12H20O2 | 29.62 | 1347 | 1.03 | 0.57 | 1.65 | 0.11 | 0.05 | 0.05 | 0.1 | 0.1 | 0.07 | |||
| Eugenol | C10H12O2 | 30.39 | 1358 | 0.31 | |||||||||||
| α-Ylangene | C15H24 | 30.56 | 1373 | 0.12 | 0.12 | 0.4 | 0.16 | 0.12 | 0.29 | 0.11 | 0.11 | 0.35 | 0.11 | 0.12 | 0.26 |
| α-Copaene | C15H24 | 30.84 | 1375 | 0.31 | 0.38 | 1.5 | 0.38 | 0.32 | 1.25 | 0.26 | 0.34 | 1.26 | 0.32 | 0.33 | 0.92 |
| β-Elemene | C15H24 | 32.05 | 1391 | 0.09 | |||||||||||
| Eugenol methyl ether | C11H14O2 | 33.46 | 1410 | 1.77 | |||||||||||
| trans-Caryophyllene | C15H24 | 33.42 | 1418 | 0.98 | 0.08 | 2.5 | 0.1 | 0.5 | 1.47 | 0.76 | 0.76 | 1.99 | 1.03 | 0.95 | 2.85 |
| α-Humulene | C15H24 | 32.62 | 1449 | 0.33 | 0.06 | 0.24 | 0.08 | 0.08 | 0.23 | 0.11 | 0.09 | 0.36 | |||
| trans-β-Farnesene | C15H24 | 36.45 | 1453 | 0.07 | 0.06 | 0.22 | 0.06 | 0.06 | 0.2 | 0.06 | 0.05 | 0.15 | 0.08 | 0.07 | 0.2 |
| α-Amorphene | C15H24 | 37.12 | 1484 | 0.33 | 0.3 | 1.75 | 0.33 | 0.24 | 1.16 | 0.34 | 0.32 | 1.1 | 0.3 | 0.28 | 1.12 |
| α-Curcumene | C15H22 | 35.02 | 1489 | 0.17 | 0.04 | 0.02 | 0.13 | 0.03 | 0.03 | 0.09 | |||||
| β-Selinene | C15H24 | 34.63 | 1491 | 0.13 | 0.19 | 0.17 | |||||||||
| α-Muurolene | C15H24 | 38.59 | 1493 | 0.13 | 0.13 | 0.24 | 0.16 | 0.10 | 0.17 | 0.1 | 0.1 | 0.15 | 0.06 | 0.04 | 0.58 |
| γ-Cadinene | C15H24 | 39.29 | 1513 | 0.32 | 0.25 | 0.72 | 0.26 | 0.20 | 0.56 | 0.22 | 0.2 | 0.96 | 0.13 | 0.11 | 1.31 |
| δ-Cadinene | C15H24 | 39.9 | 1517 | 1.8 | 1.22 | 3.55 | 0.87 | 0.60 | 2.87 | 0.61 | 0.52 | 2.13 | 0.7 | 0.65 | 2.9 |
| trans-Cadina-1,4-diene | C15H24 | 37.58 | 1533 | 0.23 | 0.06 | 0.03 | 0.17 | 0.05 | 0.04 | 0.15 | 0.04 | 0.03 | 0.22 | ||
| α-Calacorene | C15H20 | 40.93 | 1546 | 0.34 | 0.14 | 0.4 | 0.15 | 0.04 | 0.35 | 0.06 | 0.03 | 0.22 | 0.09 | 0.06 | 0.35 |
| Elemicin | C12H16O3 | 42.62 | 1555 | 0.10 | |||||||||||
| Caryophyllene oxide | C15H24O | 43.09 | 1560 | 2.26 | 1.53 | 0.26 | 1.00 | 0.30 | 0.14 | 0.39 | 0.23 | 0.57 | 0.51 | 0.51 | |
| α-Cadinol | C15H26O | 47.34 | 1651 | 0.32 | 0.06 | 0.40 | 0.07 | 0.25 | 0.13 | 0.21 | 0.08 | 0.2 | |||
| α-Bisabolol | C15H26O | 49.24 | 1684 | 2.86 | 0.52 | 0.84 | 1.70 | 0.60 | 1.16 | 1.96 | 0.76 | 0.92 | 2.14 | 0.98 | 2.37 |
| Monoterpene hydrocarbons | 28.8 | 30.56 | 45.02 | 33.09 | 32.5 | 43.83 | 36.76 | 30.61 | 50.14 | 40.29 | 35.62 | 37.52 | |||
| Oxygenated monoterpene | 46.64 | 54.27 | 38.68 | 50.78 | 59.37 | 42.07 | 55.76 | 59.65 | 38.2 | 48.71 | 55.62 | 39.33 | |||
| Sesquiterpene hydrocarbons | 4.4 | 2.68 | 12.14 | 2.66 | 2.29 | 9.05 | 2.68 | 2.58 | 8.95 | 2.97 | 2.73 | 11.07 | |||
| Oxygenated sesquiterpene | 5.44 | 2.11 | 1.1 | 3.1 | 0.97 | 1.3 | 2.6 | 1.12 | 0.92 | 2.92 | 1.57 | 3.08 | |||
| Others | 2.41 | 1.98 | 0.68 | 4.81 | 1.51 | 0.96 | 1.22 | 1.22 | 0.71 | 1.56 | 1.81 | 1.54 | |||
| Total amount of compounds | 87.69 | 91.6 | 97.62 | 94.44 | 96.64 | 97.21 | 99.02 | 95.18 | 98.92 | 96.45 | 97.35 | 92.54 | |||
| Extraction yield (%) | 0.76 | 0.50 | 0.66 | 0.45 | 0.25 | 0.32 | 0.81 | 0.65 | 0.78 | 0.63 | 0.43 | 0.55 | |||
| Constituent | Country | Our Data (Algeria) | Italy | Brazil | South Africa | Morocco | Pakistan | Tunisia | Mexico | India. Kashmir | Iraq | Jordan | Turkey |
|---|---|---|---|---|---|---|---|---|---|---|---|---|---|
| references | This study | [23] | [3] | [25] | [13] | [7] | [26] | [22] | [27] | [28] | [29] | [30] | |
| Extraction Method Used | HD/MD/SD | HD | HD | HD/MD | HD/MD | HD | HD | HD | HD | SD | SD | HD | |
| Seasons/Month Harvest | Autumn/Winter/Spring/Summer | Autumn/Winter/Spring/Summer | September | January | May | November–December (Winter) | Spring | ND | July | August | May | ND | |
| Ratio | (%) | (%) | (%) | (%) | (%) | (%) | (%) | (%) | (%) | (%) | (%) | (%) | |
| α-Pinene | 7.31–21.72 | 25.6–30.2 | 9.5 | 5.7/8.14 | 15.82/15.4 | 12.3 | 8.83 | 9.43 | 16.33 | 7.41 | 1.7 | ND | |
| Camphene | 7.84–18.23 | 7.4–7.7 | 4 | 11.47/3.13 | 9.77/9.16 | 6 | 2.36 | 4.97 | 9.28 | 2.51 | ND | 22.45 | |
| β-Pinene | 1.61–5.02 | 0.8–3.1 | 7 | 1.12/1.06 | 3.56/3.72 | 0.2 | 2.82 | 4.75 | 5.97 | 1.17 | ND | ND | |
| 1.8-Cineole | 7.65–14.53 | 17.2–19.1 | 14 | 11.91/10.56 | 31.2/32.18 | 38.5 | 57.55 | 1.56 | 14.33 | 21.24 | 14.6 | 35.36 | |
| Camphor | 21.95–36.52 | 4.9–11.3 | 33.20 | 16.89/16.57 | 16.54/16.2 | 17.1 | 8.82 | 39.46 | 22.0 | 10.81 | 21.7 | 10.80 | |
| Borneol | 1.42–6.57 | 7.1–8.4 | ND | 5.74/5.85 | 1.47/1.64 | 3.25 | 5.54 | 2.79 | 3.35 | 3.87 | ND | 8.26 | |
| 4-Terpineol | 0.59–6.48 | 1.5–1.7 | 1.0 | 1.42/1.56 | 7.16/7.36 | 3.25 | 1.02 | 1.18 | 1.115 | 5.14 | 5.2 | ND | |
| Products | IC50 (µg/mL) | A0.5 (µg/mL) | |||
|---|---|---|---|---|---|
| DPPH (μg/mL) | ABTS (μg/mL) | ADS (μg/mL) | FRAP (μg/mL) | SNP (μg/mL) | |
| Oil spring | 39.22 ± 3.01 c | 30.71 ± 0.38 c | 45.58 ± 0.44 b | 4.63 ± 0.29 b | 19.06 ± 1.60 c |
| Oil winter | 148.96 ± 3.81 b | 240.54 ± 2.91 b | 1215 ± 3.12 a | 300 ± 1.12 a | 123.09 ± 0.57 b |
| Oil summer | 1280 ± 5.82 a | 1310 ± 4.12 a | 1311 ± 4.127 a | 324 ± 1.14 a | 617 ± 1.14 a |
| Oil autumn | 1210 ± 5.12 a | 1207 ± 5.12 a | 1224 ± 5.15 a | 313 ± 1.15 a | 603 ± 1.14 a |
| BHA * | 6.89 ± 0.12 | 1.91 ± 0.09 | NT | NT | NT |
| Tannic acid * | NT | NT | 3.125 ± 0105 | NT | NT |
| Ascorbic acid * | NT | NT | NT | 6.77 ± 1.15 | 7.14 ± 0105 |
| Strains Used | Microbial Inhibition | Seasons | |||||
|---|---|---|---|---|---|---|---|
| 50% | 25% | 15% | 10% | GNT | |||
| Gram-positive | Escherichia coliATCC 25922 | 21 | 21 | 17 | NI | 27 | Autumn |
| 22 | 15 | 15 | NI | 27 | Winter | ||
| 7 | 9 | 7 | NI | 26 | Spring | ||
| 27 | 21 | 13 | NI | 26 | Summer | ||
| Pseudomonas aeruginosaATCC 27853 | NI | NI | NI | NI | 26 | Autumn | |
| NI | NI | NI | NI | 26 | Winter | ||
| NI | NI | NI | NI | 26 | Spring | ||
| NI | NI | NI | NI | 26 | Summer | ||
| Gram-negative | Staphylococcus aureusATCC 25932 | NI | NI | NI | NI | 31 | Autumn |
| NI | NI | NI | NI | 32 | Winter | ||
| NI | NI | NI | NI | 33 | Spring | ||
| 11 | NI | NI | NI | 31 | Summer | ||
| Bacillus subtilisATCC 25973 | NI | NI | NI | NI | 24 | Autumn | |
| NI | NI | NI | NI | 24 | Winter | ||
| NI | NI | NI | NI | 24 | Spring | ||
| NI | NI | NI | NI | 23 | Summer | ||
| Yeast | Candida albicansATCC 10231 | NI | NI | NI | NI | / | Autumn |
| NI | NI | NI | NI | / | Winter | ||
| 45 | 32 | NI | NI | / | Spring | ||
| NI | NI | NI | NI | / | Summer | ||
| Oils Seasons | IC50 (µg/mL) |
|---|---|
| Oil spring | 326.54 ± 5.07 c |
| Oil winter | 4076.223 ± 6.2 b |
| Oil summer | 8112 ± 5.2 a |
| Oil autumn | 8043 ± 5.2 a |
| Diclofenac | 40.90 ± 0.89 |
Disclaimer/Publisher’s Note: The statements, opinions and data contained in all publications are solely those of the individual author(s) and contributor(s) and not of MDPI and/or the editor(s). MDPI and/or the editor(s) disclaim responsibility for any injury to people or property resulting from any ideas, methods, instructions or products referred to in the content. |
© 2025 by the authors. Licensee MDPI, Basel, Switzerland. This article is an open access article distributed under the terms and conditions of the Creative Commons Attribution (CC BY) license (https://creativecommons.org/licenses/by/4.0/).
Share and Cite
Guelifet, K.; Kherraz, K.; Messaoudi, M.; Ferhat, M.A.; Khattabi, L.; Bendrihem, K.A.; Zahnit, W.; Addad, D.; Benmohamed, M.; Azoudj, Y.; et al. Seasonal and Extraction-Dependent Variation in the Composition and Bioactivity of Essential Oils from Wild Rosmarinus officinalis L. Molecules 2025, 30, 4258. https://doi.org/10.3390/molecules30214258
Guelifet K, Kherraz K, Messaoudi M, Ferhat MA, Khattabi L, Bendrihem KA, Zahnit W, Addad D, Benmohamed M, Azoudj Y, et al. Seasonal and Extraction-Dependent Variation in the Composition and Bioactivity of Essential Oils from Wild Rosmarinus officinalis L. Molecules. 2025; 30(21):4258. https://doi.org/10.3390/molecules30214258
Chicago/Turabian StyleGuelifet, Khalil, Khaled Kherraz, Mohammed Messaoudi, Mohamed Amine Ferhat, Latifa Khattabi, Khadra Afaf Bendrihem, Wafa Zahnit, Dalila Addad, Mokhtar Benmohamed, Yacine Azoudj, and et al. 2025. "Seasonal and Extraction-Dependent Variation in the Composition and Bioactivity of Essential Oils from Wild Rosmarinus officinalis L." Molecules 30, no. 21: 4258. https://doi.org/10.3390/molecules30214258
APA StyleGuelifet, K., Kherraz, K., Messaoudi, M., Ferhat, M. A., Khattabi, L., Bendrihem, K. A., Zahnit, W., Addad, D., Benmohamed, M., Azoudj, Y., Harchaoui, L., Aggoun, K., Boumechhour, A., & Rastrelli, L. (2025). Seasonal and Extraction-Dependent Variation in the Composition and Bioactivity of Essential Oils from Wild Rosmarinus officinalis L. Molecules, 30(21), 4258. https://doi.org/10.3390/molecules30214258

