Abstract
Macrocyclic aromatic amide oligomers of various sizes containing tertiary amides and diphenyladamantane moieties were synthesized by condensation reactions using PhP3Cl2 or LiHMDS. The corresponding oligomers with secondary amides were obtained by removal of N-decyloxybenzyl groups from the amide nitrogen. X-ray crystal structure analysis showed that the oligomers with tertiary N-ethyl amides adopted folded conformations, consistent with the cis-preference of tertiary aromatic amides. In contrast, comparison of 1H NMR spectra and conformational analysis by force field calculations indicated that the oligomers with secondary amides adopted open conformations. These results also demonstrated that the synthetic strategy is effective for the preparation of macrocyclic molecules with large inner cavities.
1. Introduction
Macrocyclic compounds are widely used as platforms for artificial molecules with various functions [1]. In particular, many macrocyclic compounds with repeating structures have been synthesized so far, depending on the monomer design and choice of condensation reaction [2,3,4,5]. A major application of such macrocyclic compounds is molecular recognition [6]. For effective molecular recognition, it is important that the inside of the ring has an appropriate size and shape for the guest molecule. Moreover, through the incorporation of various functional groups into the inner pores of a macrocycle, the molecules can achieve precise molecular recognition through multipoint interaction.
Aromatic amides have been widely used as part of the repeating units in the synthesis of macrocyclic compounds [7,8]. We previously reported on the conformational properties of aromatic amides: aromatic secondary amides such as benzanilide exist in trans conformation both in the crystal and in solution, while the N-methylated derivative exists in cis conformation [9]. Utilizing this stereochemical property of aromatic amides, we synthesized macrocyclic aromatic amides linked by tertiary amides, which produced cavities of various sizes and shapes [10,11]. Furthermore, we demonstrated that a macrocycle composed of alternating secondary and tertiary amide bonds was synthesized by dealkylation of a cyclic oligomer having chemically removable alkyl groups, and that the resulting cyclic structure with a triangular-shaped large cavity due to alternating cis and trans conformations of the amide moieties [12,13].
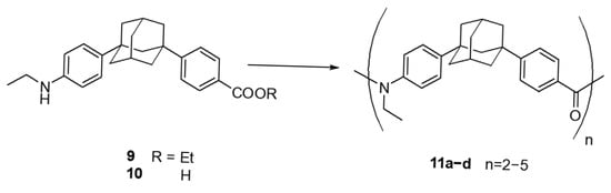
In this study, we designed and synthesized cyclic aromatic oligoamides containing the 1,3-diphenyladamantane skeleton as novel macrocyclic compounds with cavities of specific size and shape (Figure 1). First, derivatives of the macrocyclic compounds bearing tertiary amide groups, in which ethyl groups were introduced as substituents on the amide nitrogens, were synthesized and subjected to X-ray crystal structure analysis. Next, the macrocyclic compounds containing secondary amides were synthesized by first preparing cyclic compounds bearing N-decyloxybenzyl groups as substituents on the amide nitrogens, followed by removal of these substituents. The structures of the secondary amide derivatives were estimated from 1H NMR measurements in solution and conformational analysis using force field calculations, and then compared with those bearing tertiary amides. The bonding direction at the para position of the two phenyl groups of 1,3-diphenyladamantane corresponds to the bond angle of the sp3 hybridization orbital, and the spatial distance is about 9.75 Å according to the crystal structure [14]. The adamantane substructure is hydrophobic [15,16,17] and can impart lipophilicity even to compounds bearing highly polar substituents, such as aromatic secondary amides, which otherwise reduce solubility in organic solvents. This property is a distinctive feature of the adamantane unit.
Figure 1.
Outline of this paper.
2. Results and Discussion
2.1. Synthesis of Macrocyclic Compounds Comprising Tertiary Amide Moieties
2.1.1. Synthesis of a Monomer
A monomer for the synthesis of the cyclic amide bearing diphenyladamantane moieties was synthesized according to Scheme 1. First, 1,3-diphenyladamantane (2) was obtained by Friedel-Crafts type arylation of 1-bromoadamantane (1) [18,19]. Compound 2 was mononitrated with a mixed anhydride of acetic acid and nitric acid [20], followed by iodination using iodine with di(trifluoroacetoxy)iodobenzene [21] to give compound 4. The iodo group was then substituted by a cyano group by a Rosenmund–von Braun reaction using copper cyanide [22], and the resulting nitrile was hydrolyzed to give compound 6. After esterification of the carboxy group, the nitro group was reduced to an amino group by catalytic hydrogenation using Pd/C [23]. The subsequent reductive amination [24] was carried out in the presence of acetonitrile in tetrahydrofuran (THF) to give compound 9, which has an ethyl group on the amino nitrogen. Finally, compound 9 was hydrolyzed to give compound 10.
Scheme 1.
A synthetic route of monomer 10 (N-ethyl derivative).
2.1.2. Cyclization of the Monomer and Isolation of Cyclic Oligomers
Cyclization reactions (Scheme 2) of the monomers were carried out under two different reaction conditions (Table 1): (i) using lithium bis(trimethylsilyl)amide (LiHMDS) in THF with the ester 9 (Entry 1) [25,26] and (ii) using Ph3PCl2 in (CHCl2)2 with the carboxylic acid 10 (Entry 2). The distributions of the resulting cyclic oligomers were analyzed by gel permeation chromatography (GPC), and the GPC profiles of the crude products are shown in Figure 2.
Scheme 2.
Synthesis of cyclic dimer (11a), cyclic trimer (11b), cyclic tetramer (11c) and cyclic pentamer (11d) from compounds 9 and 10.
Table 1.
Product distributions of cyclic oligomers obtained from cyclization reactions using LiHMDS with the corresponding ester (Entry 1) and Ph3PCl2 with the corresponding carboxylic acid (Entry 2).
Figure 2.
GPC profiles of the crude products obtained in the reactions: LiHMDS in THF (Entry 1, solid line) and Ph3PCl2 in (CHCl2)2 (Entry 2, dashed line).
Cyclic dimers were the most abundant products under both reaction conditions. Under the condition using LiHMDS (Entry 1), the total yield of cyclic products (n = 2–5, 11a–d) was 54%. In the GPC profile, a broad peak appeared in the high molecular weight region above the pentamer. 1H NMR analysis of this fraction showed a signal at high field in the aromatic region (around 6.8 ppm), indicating the presence of chain oligomers. In contrast, under the condition using Ph3PCl2 (Entry 2), the total yield of cyclic products (n = 2–5, 11a–d) was 90%, and only a small proportion (<10%) of further cyclized or chain oligomers was obtained. Comparing the two reactions, the reaction using LiHMDS was favorable for the formation of larger cyclic products beyond the trimer (11b–d), since it could be conducted at room temperature and produced few byproducts other than those derived from the starting material. In addition, the ester intermediate could be directly employed as the starting material. On the other hand, the reaction using Ph3PCl2 was more effective for obtaining cyclic dimer (11a), although it required high temperature and generated Ph3PO as a byproduct in large amounts to be removed.
2.2. X-Ray Crystal Structure Analysis
Among the isolated cyclic oligoamides, single crystals of cyclic dimer (11a), cyclic trimer (11b), and cyclic tetramer (11c) suitable for X-ray structural analysis were obtained by recrystallization from CHCl3/ethyl acetate, CHCl3/methanol, and CHCl3/acetonitrile, respectively (Figure 3).
Figure 3.
Space-filling representations of the crystal structure of cyclic oligoamide molecules in the unit cell: (a) cyclic dimer 11a (one of the three independent molecules) (CCDC-2486609), (b) cyclic trimer 11b (CCDC-2486610), and (c) cyclic tetramer 11c (CCDC-2486611). Crystal structures are color-coded as follows: C (gray), O (red), N (blue), and H (white). For details of the crystal packing, see the Supporting Information.
For the cyclic dimer (11a), the crystal contained four crystallographically independent amide units, each corresponding to half of a molecule in the unit cell, resulting in three different conformations (1–3 in Figure 4). Conformation 2 at the center had different torsion angles of the amide bonds and dihedral angles between benzene rings at both ends of the amide bonds, whereas conformations 1 and 3 had the same value for these angles due to the symmetry operations. The molecules in the crystal formed a cavity in the center of the ring structure. The distance between the adamantane carbon across the ring was 6.332 Å, and the hydrogen-to-hydrogen distance was 5.525 Å (Figure 4). The cavity was occupied by the terminal methyl group of the N-ethyl substituent of the adjacent molecule.
Figure 4.
Crystal structure of cyclic dimer 11a. (a) Each molecule was shown in different colors and numbered 1–3. (b) Structure of molecule 2, which is color-coded as follows: C (gray), O (red), N (blue), and H (white). (c) List of amide torsion angles, benzene ring dihedral angles, and intramolecular distances between hydrogen atoms and between carbon atoms in each molecule.
In the crystal structure of the cyclic trimer (11b), all the amide groups adopted the cis form, and the ring exhibited a folded conformation (Figure 5). The central cavity of the ring structure was occupied by one of the adamantane moieties oriented inward due to molecular folding.
Figure 5.
(a) Crystal structure of cyclic trimer 11b. (b) List of amide torsion angles and benzene ring dihedral angles at each amide bond site. Crystal structures are color-coded as follows: C (gray), O (red), N (blue), and H (white).
In the crystal structure of the cyclic tetramer (11c), the amide groups also adopted cis form. The tetrameric ring structure had a center of symmetry, and the central cavity of the ring structure was filled by folding, giving the molecule a chair-shaped conformation (Figure 6).
Figure 6.
(a) Crystal structure of cyclic trimer 11c. (b) List of amide torsion angles and benzene ring dihedral angles at each amide bond site. Crystal structure is color-coded as follows: C (gray), O (red), N (blue), and H (white).
2.3. Synthesis of Cyclic Oligomers Comprising Secondary Amide Moieties
To investigate the structures of the NH analogs of macrocyclic compounds bearing diphenyladamantane moieties, we synthesized N-decyloxybenzyl analogs of 13a–13d. The N-decyloxybenzyl group should be removed under acidic condition such as trifluoroacetic acid (TFA) [27]. The corresponding monomer was prepared from compound 8 (Scheme 3). Reductive amination of 8 with 4-decyloxybenzylaldehyde in the presence of picoline-borane complex as a reducing reagent to afforded the N-decyloxybenzylated compound 12 [28]. Compound 12 was then cyclized under the same conditions for the N-ethyl derivatives (LiHMDS in THF, rt). The cyclic dimer to pentamer (13a–13d) were obtained by GPC separation of the crude products (Table 2).
Scheme 3.
Synthesis of N-decyloxybenzyl derivatives and subsequent dealkylation of the N-decyloxybenzyl groups.
Table 2.
Distributions of cyclic oligomers obtained from cyclization reactions of N-decyloxybenzyl monomer 12.
Finally, the N-decyloxybenzyl group of cyclized compounds 13a–13d were removed with TFA, affording the corresponding secondary amide derivatives 14a–14d.
2.4. Comparison of Preferential Conformations of the Macrocyclic Compounds in Solutions
1H NMR spectra of cyclic oligomers of N-decyloxybenzyl derivatives 13a–13d and corresponding NH derivatives 14a–14d were compared. (i.e., 13a vs. 14a, 13b vs. 14b, 13c vs. 14c and 13d vs. 14d). Except for the NH cyclic pentamer 14d, the NH cyclic compounds 14a–14c were insoluble in CDCl3; therefore, their 1H NMR spectra were recorded in DMSO-d6. In contrast, the N-decyloxybenzyl derivatives 13a–13c were insoluble in DMSO-d6. Thus, for comparison of the chemical shift values with those of the NH compounds 14a–14c, measurements were conducted in a mixed solvent of DMSO-d6 containing a small amount of CDCl3. As shown in Figure 7a, the chemical shift values of cyclic dimer 13a measured in CDCl3 and in the mixed DMSO-d6/CDCl3 solvent were nearly identical. Therefore, the same method was applied to cyclic trimer 13b and cyclic tetramer 13c, and the resulting data obtained were used for comparison.
Figure 7.
Comparison of 1H NMR spectra (the corresponding aromatic protons are indicated within the boxes.) of (a) cyclic dimer (13a vs. 14a), (b) cyclic trimer (13b vs. 14b), (c) cyclic tetramer (13c vs. 14c), (d) cyclic pentamer (13d vs. 14d). Solvents: a DMSO-d6 with 3 drops of CDCl3; b CDCl3; c DMSO-d6.
Comparison of the 1H NMR spectra of each ring size of cyclic oligomers showed significant differences in the chemical shifts between 13b (N-decyloxybenzyl cyclic trimer) and 14b (NH cyclic trimer) (Figure 7b), between 13c and 14c (Figure 7c), and between 13d and 14d (Figure 7d). In the aromatic region of NH cyclic trimer 14b, the proton signals appeared at lower field relative to those of N-decyloxybenzyl cyclic trimer 13b. This tendency was also observed for 14c and 14d. These results indicate that the aromatic protons of the cyclic tertiary amide compounds (13b–13d) are more shielded than those of the cyclic secondary amide compounds (14b–14d), consistent with the cis conformation of the tertiary amides. This suggests that the benzene rings of the cyclic tertiary amide compounds 13b–13d are in close proximity to each other, giving folded conformations in solution. On the other hand, the downfield shifts in the aromatic signals in the cyclic secondary amide compounds 14b–14d suggest that these compounds adopt open structures predominantly in solution.
In contrast, the signals of cyclic dimer in the aromatic region showed little difference in chemical shifts between 13a and 14a (Figure 7a), indicating that secondary and tertiary amide of cyclic dimer adopt cis conformation due to structural constraints.
2.5. Conformational Analysis of Cyclic Oligomers
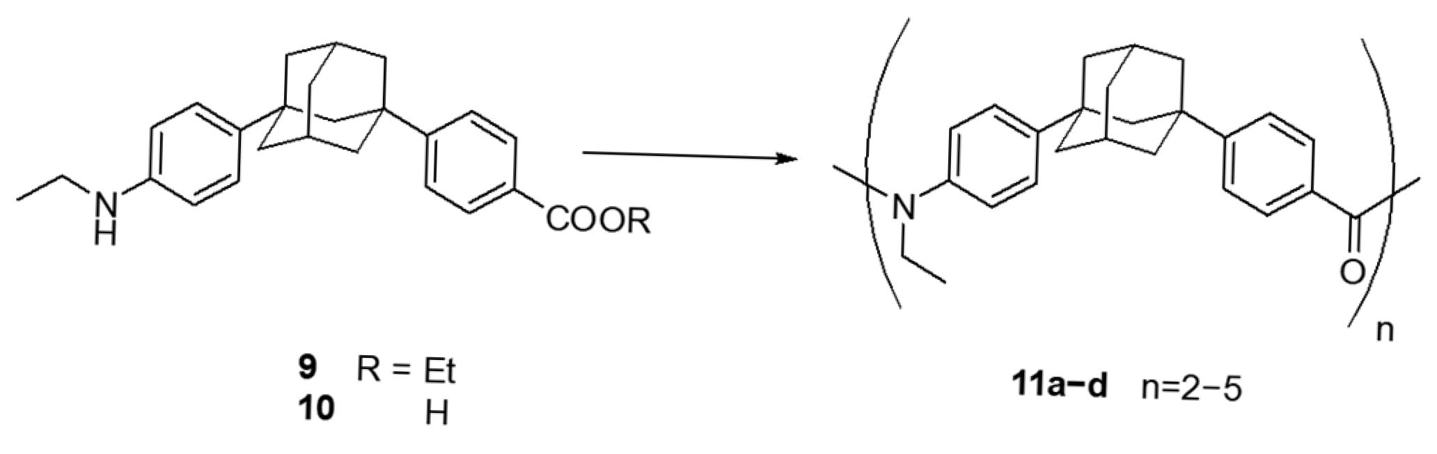
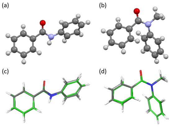
The conformations observed in solution often differ from the calculated low-energy structures because of solvent and entropic effects. Nevertheless, with an appropriate conformational analysis, the stable conformations of a macrocycle can be predicted with reasonable accuracy [29]. To investigate the conformational preferences of the diphenyladamantane-containing macrocyclic amides, conformational analyses based on force field calculations were performed. As a first step, the conformational features of secondary and tertiary aromatic amides were examined using benzanilide and N-methylbenzanilide as model compounds. The calculations were performed using the Monte Carlo Multiple Minimum (MCMM) method with the OPLS4 force field in CHCl3, as the implicit solvent. The most stable conformers obtained from these calculations were compared with previously reported their crystal structures.
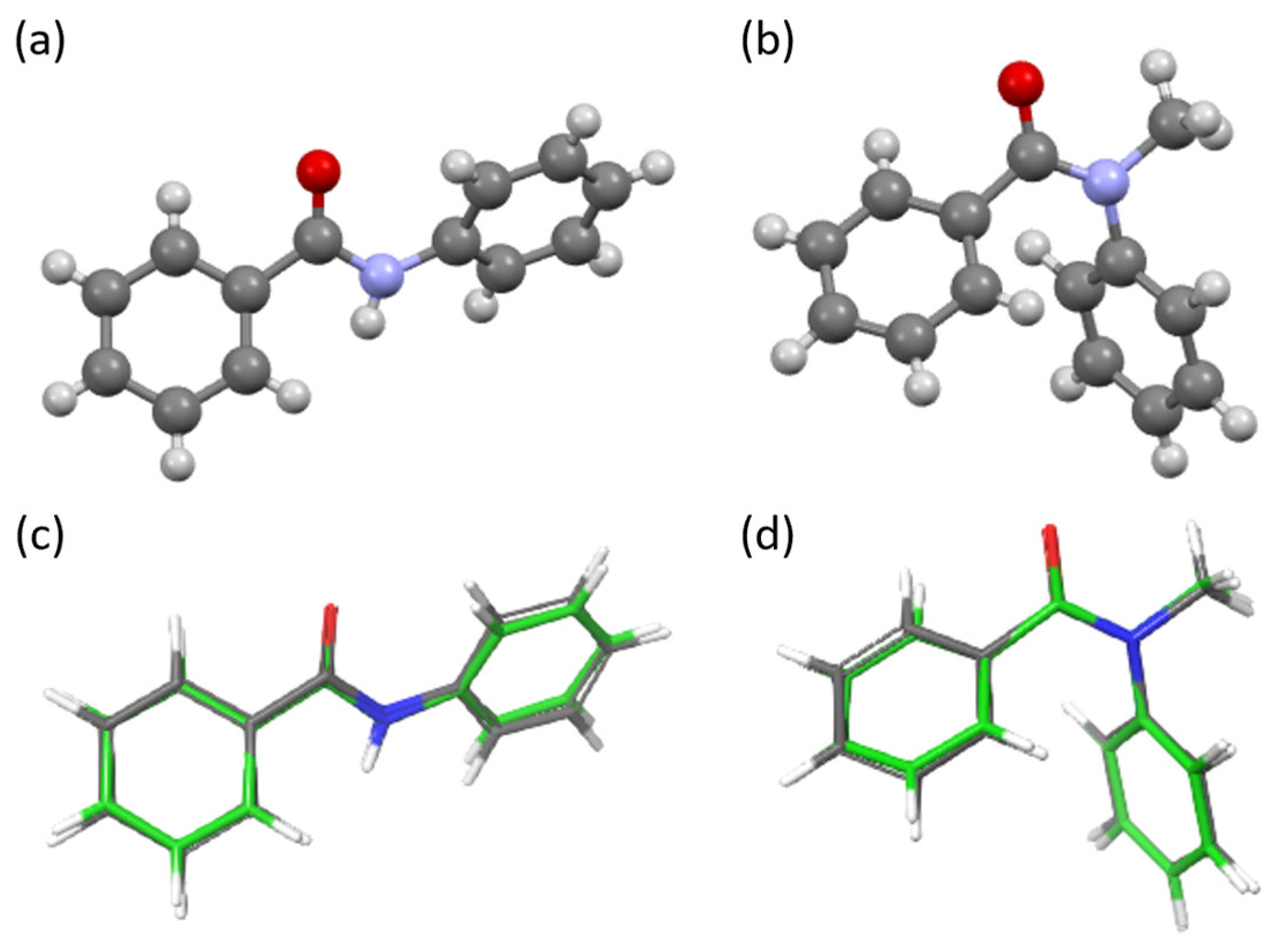
For benzanilide, the lowest-energy conformer identified was the trans isomer, in excellent agreement with the reported crystal structure (Figure 8a,c) [30]. The energy difference between the trans and cis conformers was 19.671 kcal/mol, consistent with the absence of the cis isomer in solution [31]. In contrast, for N-methylbenzanilide, the lowest-energy conformer was in the cis configuration, which also matched well with its reported crystal structure (Figure 8b,d). The trans conformer was higher in energy by 10.972 kcal/mol, in good agreement with the experimentally observed cis:trans ratio of 99:1 in CDCl3 solution. Notably, in the cis-form of N-methylbenzanilide, the spatial proximity of the two aromatic rings results in significant upfield shifts in the 1H NMR signals compared with the trans-form of benzanilide [31].
Figure 8.
Crystal structures of (a) benzanilide (CSD refcode BZANIL02), and (b) N-methylbenzanilide (CSD refcode JAZJOJ10). (c,d) Overlay diagrams of the crystal structures and calculated molecular structures of benzanilide (c) and N-methylbenzanilide (d). Calculated structures are shown in green; atoms in the crystal structure are color-coded as follows: C (gray), O (red), N (blue), and H (white).
Based on these findings, we conducted conformational analysis of the NH cyclic trimer (14b), cyclic tetramer (14c), and cyclic pentamer (14d) under the same computational conditions. The resulting lowest-energy structures were compared with their corresponding crystal structures of the N-ethyl derivatives and those expected from 1H NMR spectral data in solution.
The NH cyclic trimer 14b, composed of secondary amides, adopted an all-trans conformation in its lowest-energy structure (Figure 9a). In contrast, the N-ethyl cyclic trimer 11b, composed of tertiary amides, exhibited an all-cis conformation in crystal structure (Figure 5a). These structural differences correlated well with the observed downfield shifts in the aromatic proton signals in the NH cyclic trimer relative to the N-ethyl analog. A similar trend was observed for the corresponding tetramers 11c and 14c (Figure 6a and Figure 9b).
Figure 9.
Calculated molecular structures of (a) 14b, (b) 14c, and (c) 14d. Atoms are color-coded as follows: C (gray), O (red), N (blue), and H (white).
For the pentamers (11d and 14d), no crystal structure of the N-ethyl derivative 11d was obtained. However, 1H NMR spectra suggested a predominant population of cis-amide conformations in solution (Figure 7d). In contrast, both conformational analysis and 1H NMR data for the NH cyclic pentamer 14d indicated that it preferentially adopted an all-trans configuration (Figure 9c).
Taken together, the comparison of 1H NMR spectra, crystal structures, and computational conformational analyses revealed a consistent conformational behavior across the macrocyclic trimers to pentamers. Macrocyclic aromatic amides with tertiary amide linkages preferentially adopt a folded conformation with all cis-amide bonds in solution, whereas those with secondary amides preferentially adopt open conformations with all trans-amide bonds.
3. Materials and Methods
3.1. General
All starting materials and solvents were purchased from Aldrich (Tokyo, Japan), Wako (Osaka, Japan), and TCI Co., Ltd. (Tokyo, Japan). All commercially available reagents and solvents were used without further purification. FT-IR spectra were recorded on a JASCO (Tokyo, Japan) FT/IR-4100 using KBr tablets. 1H NMR spectra were recorded on a JEOL (Tokyo, Japan) JNM-ECS400 (400 MHz) spectrometer. Chemical shifts (δ) are given from TMS (0 ppm) in CDCl3, DMSO-d6, and coupling constants are expressed in hertz (Hz). The following abbreviations are used: s = singlet, d = doublet, t = triplet, q = quartet, dd = double doublet, m = multiplet. 13C-NMR spectra were recorded on JEOL JNM-ECS400 (100 MHz) spectrometer. Chemical shifts (δ) are given from 13CDCl3 (77.0 ppm). Mass spectroscopy and high-resolution mass spectroscopy were measured on a JEOL JMS700 MStation (FAB), Thermo Fisher Scientific (Waltham, MA, USA) Exactive (APCI), and ultrafleX-treme Bruker (Billerica, MA, USA) (MALDI-TOF-MS). These samples were dissolved in CHCl3 at a concentration of 10 mg/mL. DCTB (3-(4-tert-Butylphenyl)-2-methyl-2-propenylidene malononitrile) or dithranol or DHB (2,5-dihydroxybenzoic acid) were chosen as sample matrices and dissolved in CHCl3 or CHCl3:THF = 1:1. Dissolved samples were mixed with matrices (1:10 (v/v)) and applied to the plate for analysis. Preparative recycling gel permeation chromatography (GPC) was performed with a Japan Analytical Industry (Tokyo, Japan) LC-9204 instrument equipped with JAIGEL-1H/JAIGEL-2H columns using chloroform as an eluent.
3.2. Synthesis
- 1,3-Diphenyladamantane (2) [22]
1-Bromoadamantane (1) (20 g, 93 mmol) was dissolved in benzene (100 mL). Then tert-BuBr (10 mL) and AlCl3 (0.42 g, 1.9 mmol) were added, and the mixture was stirred at 85 °C for 10 min. After cooling, the reaction mixture was poured into water. Benzene was added with stirring for 1 h, and the mixture was filtered to remove a white solid. The organic layer was dried over anhydrous MgSO4 and concentrated in vacuo to give a crude product. The residue was purified by flash column chromatography (silica gel, toluene:n-hexane = 1:10) to give 2 (8.9 g, 31 mmol, 33%) as a white solid. M.p.: 96–98 °C. 1H NMR (400 MHz, 298 K, CDCl3): δ 7.40 (d, J = 8.2 Hz, 4H), 7.32 (t, J = 7.5 Hz, 4H), 7.19 (t, J = 7.1 Hz, 2H), 2.32 (m, 2H), 2.05 (s, 2H), 1.96 (d, J =2.9 Hz, 8H), 1.79 (t, J = 2.9 Hz, 2H). 13C NMR (100 MHz, 298 K, CDCl3): δ 150.5, 128.1, 125.7, 124.8, 48.9, 42.2, 37.2, 35.8, 29.5. FT–IR (KBr, cm−1): 3058, 2904, 2850, 1600, 1495, 1445. MS (FAB): m/z 289 [M + H]+. Anal. Calcd. for C22H24: C, 91.61; H, 8.39; Found: C, 91.21; H, 8.08.
- 1-(4-Nitrophenyl)-3-phenyladamantane (3) [22]
Compound 2 (3.5 g, 12 mmol) was dissolved in dichloromethane (16 mL) and acetic acid (11 mL). Then, acetic anhydride (4.3 mL) and fuming nitric acid (9.2 mL) in acetic acid (11 mL) were added dropwise into the solution at 0 °C. The reaction mixture was refluxed at 50 °C under an argon atmosphere. After 30 min, ethyl acetate was added to the reaction mixture. The organic layer was washed with water, sat. NaHCO3 and brine, dried over MgSO4 and evaporated to give a crude product. The crude product was purified by silica gel column chromatography (chloroform:n-hexane = 1:4) to give 3 (1.8 g, 5.3 mmol, 43%) as a white solid. M.p.: 101–103 °C. 1H NMR (400 MHz, 298 K, CDCl3): δ 8.17 (d, J = 8.9 Hz, 2H), 7.54 (d, J = 9.2 Hz, 2H), 7.39 (d, J = 7.3 Hz, 2H), 7.34 (t, J = 7.3 Hz, 2H), 7.21 (t, J = 7.3 Hz, 1H), 2.39–2.33 (m, 2H), 2.04 (s, 2H), 1.98 (dd, J = 6.7, 3.3 Hz, 8H), 1.83–1.79 (m, 2H). 13C NMR (100 MHz, 398 K, CDCl3): δ 158.1, 149.9, 128.2, 125.9, 124.7, 123.4, 48.5, 41.9, 41.9, 38.0, 37.1, 35.5, 29.3. FT–IR (KBr, cm−1): 2901, 2852, 1598, 1514, 1446, 1355. MS (FAB): m/z 334 [M + H]+. Anal. Calcd. for C22H23NO2: C, 79.25; H, 6.95; N, 4.20, Found: C, 79.00; H, 6.96; N, 4.16.
- 1-(4-Iodophenyl)-3-(4-nitrophenyl)adamantane (4) [22]
Compound 3 was dissolved in chloroform (28 mL). Then [bis(trifluoroacetoxy)iodo]benzene (2.1 g, 5.0 mmol) and I2 (1.1 g, 4.3 mmol) were added to the solution. The mixture was stirred at 50 °C under an argon atmosphere. After 2 h, chloroform was added to the reaction mixture. The reaction mixture was quenched with 5% Na2S2O3, and washed with water and brine, dried over. Na2SO4 and evaporated to give a crude product. The crude product was purified by silica gel column chromatography (n-hexane) to give 4 (1.5 g, 3.4 mmol, 86%) as a colorless solid. M.p.: 150–152 °C. 1H NMR (400 MHz, 298 K, CDCl3): δ 8.17 (d, J = 8.9 Hz, 2H), 7.64 (d, J = 8.7 Hz, 2H), 7.53 (d, J = 8.9 Hz, 2H), 7.13 (d, J = 8.4 Hz, 2H), 2.39–2.33 (m, 2H), 1.99–1.91 (m, 10H), 1.81–1.79 (m, 2H). 13C NMR (100 MHz, 298 K, CDCl3): δ 157.8, 149.6, 137.3, 127.0, 125.9, 123.4, 91.2, 48.3, 41.8, 41.7, 38.0, 37.0, 35.4, 29.1. FT–IR (KBr, cm−1): 2923, 2852, 1595, 1507, 1338. Anal. Calcd. for C22H22INO2·0.3 H2O: C, 56.86; H, 4.90; N, 3.01, Found: C, 56.62; H, 4.78; N, 2.96. Satisfactory MS data could not be obtained for this compound.
- 1-(4-Cyanophenyl)-3-(4-nitrophenyl)adamantane (5) [22]
Compound 4 (0.60 g × 2, 13 mmol) was dissolved in pyridine (40 mL). Then Copper (I) cyanide (1.2 g, 13 mmol) was added. The mixture was stirred at 120 °C for 22 h under an argon atmosphere. After cooling, Et2O was added to the reaction mixture. The organic layer was washed with an aqueous solution of ammonia, 2 M HCl, and brine, then dried over Na2SO4, and evaporated to give a crude product. The crude product was purified by silica gel column chromatography (toluene) to give 5 (0.71 g, 1.9 mmol, 85%) as a yellow solid. M.p.: 170–172 °C. 1H NMR (400 MHz, 298 K, CDCl3): δ 8.18 (d, J = 8.9 Hz, 2H), 7.63 (d, J = 8.5 Hz, 2H), 7.54 (d, J = 8.9 Hz, 2H), 7.49 (d, J = 8.5 Hz, 2H), 2.42–2.37 (m, 2H), 2.02–1.97 (m, 10H), 1.84–1.82 (m, 2H). 13C NMR (100 MHz, 298 K, CDCl3): δ 157.4, 155.2, 146.1, 132.1, 125.8, 125.7, 123.5, 118.9, 109.8, 48.0, 41.7, 41.5, 37.9, 35.3, 29.0. FT–IR (KBr, cm−1): 3075, 2917, 2848, 2224, 1594, 1516, 1343. MS (FAB): m/z 359 [M + H]+. Anal. Calcd. for C23H22N2O2·0.2 H2O: C, 76.30; H, 6.24; N, 7.74, Found: C, 76.18; H, 6.13; N, 7.65.
- 4-[3-(4-Nitrophenyl)adamantan-1-yl]benzoic acid (6)
Compound 5 (0.92 g, 2.5 mmol) was dissolved in EtOH (80 mL). Then 4 M NaOH aq. (80 mL) was added. The mixture was stirred at 80 °C under an argon atmosphere. After 18 h, the reaction mixture was evaporated to remove ethanol, and the residual aqueous mixture was neutralized with 6 M HCl with cooling and subsequently extracted with ethyl acetate. The organic layer was successively washed with brine, dried over MgSO4, and evaporated to give a crude product. The crude product was purified by trituration using chloroform to give compound 6 (0.9 g, 2.3 mmol, 90%) as a white solid. M.p.: 262–263 °C. 1H NMR (400 MHz, 313 K, DMSO-d6): δ 8.17 (d, J = 8.8 Hz, 2H), 7.89 (d, J = 8.2 Hz, 2H), 7.74 (d, J = 8.9 Hz, 2H), 7.56 (d, J = 8.4 Hz, 2H), 2.31–2.26 (m, 2H), 2.04 (s, 2H), 1.98–1.90 (m, 8H), 1.78–1.76 (m, 2H). 13C NMR (100 MHz, 313 K, DMSO-d6): δ 167.2, 158.0, 155.0, 145.5, 129.2, 128.2, 126.5, 125.1, 123.2, 47.1, 41.1, 41.0, 39.3, 37.2, 34.8, 28.7. FT–IR (KBr, cm−1): 3852, 3749, 3734, 3647, 3628, 2358, 1683, 1520, 1346. MS (FAB): m/z 378 [M + H]+. Anal. Calcd. for C23H23NO4: C, 73.19; H, 6.14; N, 3.71, Found: C, 72.71; H, 6.11; N, 3.73.
- Ethyl 4-[3-(4-nitrophenyl)adamantan-1-yl]benzoate (7)
Compound 6 (2.2 g, 5.9 mmol) was dissolved in EtOH (182 mL). Then conc. H2SO4 (3.0 mL) was added. The mixture was stirred at 110 °C under an argon atmosphere. After 2 h, the reaction mixture was evaporated to vaporize ethanol and neutralized with 4M NaOH aq. with cooling and subsequently extracted with chloroform. The organic layer was successively washed with brine, dried over MgSO4, and evaporated to give a crude product. The crude product was purified by silica gel column chromatography (chloroform:n-hexane = 1:1) to give 7 (2.2 g, 5.3 mmol, 90%) as a white solid. M.p.: 170–171 °C. 1H NMR (400 MHz, 298 K, CDCl3): δ 8.18 (d, J = 8.7 Hz, 2H), 8.00 (d, J = 6.6 Hz, 2H), 7.55 (d, J = 8.7 Hz, 2H), 7.45 (d, J = 6.6 Hz, 2H), 4.37 (q, J = 7.1 Hz, 2H), 2.40–2.36 (m, 2H), 2.5 (s, 2H), 2.00–1.98 (m, 8H), 1.83–1.81 (m, 2H). 13C NMR (100 MHz, 298 K, CDCl3): δ 166.5, 157.7, 155.0, 146.0, 129.5, 128.2, 125.9, 124.8, 123.5, 60.8, 48.2, 41.8, 41.7, 38.0, 37.5, 35.4, 29.2. FT–IR (KBr, cm−1): 2980, 2931, 2847, 1718, 1653, 1559, 1451, 1411, 1387, 1368. MS (FAB): m/z 406 [M + H]+. Anal. Calcd. for C25H27NO4: C, 74.05; H, 6.71; N, 3.45, Found: C, 73.68; H, 6.50; N, 3.40.
- Ethyl 4-(3-(4-aminophenyl)adamantan-1-yl)benzoate (8)
Compound 7 (2.0 g, 5.3 mmol) was dissolved in EtOH (300 mL). Then Pd/C (0.30 g) was added. The mixture was stirred at 50 °C under a hydrogen atmosphere. After 15 h, the reaction mixture was filtered to remove the catalyst. The organic layer was evaporated to give a crude product. The crude product was purified by silica gel column chromatography (ethyl acetate:toluene = 1:15) to give 8 (1.7 g, 4.6 mmol, 92%) as a white solid. M.p.: 97 °C. 1H NMR (400 MHz, 298 K, CDCl3): δ 7.99 (d, J = 8.7 Hz, 2H), 7.45 (d, J = 8.4 Hz, 2H), 7.18 (d, J = 8.4 Hz, 2H), 6.67 (d, J = 8.4 Hz, 2H), 4.36 (q, J = 7.1 Hz, 2H), 3.57 (s, 2H), 2.31–2.30 (m, 2H), 1.99 (s, 2H), 1.94–1.92 (m, 8H), 1.79–1.78 (m, 2H), 1.38 (t, J = 7.10 Hz, 3H). 13C NMR (100 MHz, 298 K, CDCl3): δ 166.6, 155.9, 144.1, 140.8, 129.4, 127.8, 125.6, 124.9, 115.0, 60.7, 48.9, 42.3, 42.1, 37.7, 36.4, 35.8, 29.4, 14.3. FT–IR (KBr, cm−1): 3441, 3358, 2906, 1707, 1624, 1517, 1281, 1110, 1018, 822, 778, 711. MS (FAB): m/z 358 [M + H]+. Anal. Calcd. for C25H29NO2: C, 79.96; H, 7.78; N, 3.73, Found: C, 80.28; H, 7.81; N, 3.68.
- Ethyl 4-{3-[4-(ethylamino)phenyl]adamantan-1-yl}benzoate (9)
Compound 8 (0.8 g, 0.2 mmol) was dissolved in THF (1.0 mL). Then acetonitrile (50 mL) and 10% Pd/C (0.25 g) were added to the solution. The mixture was stirred at room temperature under a hydrogen atmosphere. After 36 h, the reaction mixture was added to acetonitrile (10 mL) and 10% Pd/C (0.25 g) and stirred for 25 h. The reaction mixture was filtrate using cerite under reduced pressure to give 9 (56 mg, 0.14 mmol, 69%) as a white solid. M.p.: 80–81 °C. 1H NMR (400 MHz, 298 K, CDCl3): δ 7.98 (d, J = 8.7 Hz, 2H), 7.45 (d, J = 8.7 Hz, 2H), 7.20 (d, J = 8.9 Hz, 2H), 6.59 (d, J = 8.7 Hz, 2H), 4.36 (dd, J = 7.1, 7.1 Hz, 2H), 7.33 (dd, J = 7.1, 7.1 Hz, 2H), 2.31–2.29 (m, 2H), 1.99 (s, 2H), 1.94–1.91 (m, 8H), 1.79–1.75 (m, 2H), 1.38 (t, J = 7.1 Hz, 3H), 1.24 (t, J = 7.1 Hz, 3H). 13C NMR (100 MHz, 298 K, CDCl3): δ 166.7, 156.1, 146.2, 139.4, 129.5, 127.9, 127.6, 125.0, 112.6, 60.8, 49.0, 42.4, 42.2, 38.7, 37.8, 36.4, 35.9, 29.6, 15.0, 14.4. FT–IR (KBr, cm−1): 3388, 2895, 1703, 1523, 1289, 771. MS (FAB): m/z 404 [M + H]+. Anal. Calcd. for C27H33NO2: C, 80.36; H, 8.24; N, 3.47, Found: C, 79.99; H, 7.98; N, 3.28.
- 4-(3-(4-(Ethylamino)phenyl)adamantan-1-yl)benzoic acid (10)
Compound 9 (1.0 g, 2.5 mmol) was dissolved in EtOH (80 mL). Then 4 M NaOH aq. (80 mL) was added. The mixture was heated at 80 °C for 6 h under an argon atmosphere. After removal of ethanol in vacuo, the aqueous solution was acidified by addition of 6 M HCl. The water layer was filtrate under reduced pressure to give compound 10 (0.71 g, 1.9 mmol, 78%) as a pink solid. M.p.: 255–256 °C. 1H NMR (400 MHz, 298 K, DMSO-d6): δ 7.88 (d, J = 8.5 Hz, 2H), 7.52 (d, J = 8.5 Hz, 2H), 7.11 (d, J = 8.7 Hz, 2H), 6.50 (d, J = 8.7 Hz, 2H), 2.99 (q, J = 7.3, 7.1 Hz, 2H), 2.26–2.19 (m, 2H), 1.93–1.67 (m, 12H), 1.12 (t, J = 7.1 Hz, 3H). 13C NMR (100 MHz, 298 K, DMSO-d6): δ167.3, 155.6, 146.7, 137.8, 129.3, 128.1, 125.1, 111.9, 48.6, 41.9, 41.5, 37.6, 37.4, 35.8, 35.3, 29.0, 14.5. FT–IR (KBr, cm−1): 3284, 2899, 2852, 1686, 1609, 1513, 1448. MS (FAB): m/z 376 [M + H]+. Anal. Calcd. for C25H29NO2: C, 79.96; H, 7.78; N, 3.73, Found: C, 79.68; H, 7.68; N, 3.67.
- Cyclization reaction
- Synthesis from 9
To a solution of the compound 9 (0.081 g, 0.2 mmol) in dry THF (0.4 mL) under argon atmosphere was added 1.3 M LiHMDS solution in THF (0.15 mL, 0.21 mmol) and stirred at room temperature for 19 h. The organic layer was washed with water, 2 M HCl, and brine over Na2SO4, and concentrated in vacuo. The residue was purified by silica gel column chromatography (chloroform), followed by preparative GPC (chloroform as an eluent) to give products 11a–11d.
- Synthesis from 10
To a solution of the compound 10 (0.075 g, 0.20 mmol) in (CHCl2)2 (4 mL) under an argon atmosphere was added Ph3PCl2 (0.24 g, 7.2 mmol), and the mixture was stirred at 120 °C for 7 h. After cooling, the reaction mixture was poured into water and extracted with chloroform. The organic layer was washed with 2 M HCl, sat. NaHCO3 and brine, dried over Na2SO4, and concentrated in vacuo. The residue was purified by silica gel column chromatography (chloroform), followed by preparative GPC (chloroform as an eluent) to give products 11a–11d.
- Compound 11a (N-ethyl cyclic dimer)
Yield: 29 mg (0.041 mmol), 40%. Color, Habit: white, powder. M.p.: >300 °C. 1H NMR (400 MHz, 298 K, CDCl3): δ 7.19 (d, J = 8.4 Hz, 2H), 7.15 (d, J = 8.4 Hz, 2H), 7.07 (d, J = 8.4 Hz, 2H), 6.91 (d, J = 8.4 Hz, 2H), 3.95 (q, J = 6.8Hz, 2H), 2.29 (s, 2H), 2.05 (d, J = 8.0 Hz, 2H), 1.95 (d, J = 12 Hz, 2H), 1.77 (d, J = 11.6 Hz, 4H), 1.68 (s, 2H), 1.60 (s, 2H), 1.21 (t, J = 7.2 Hz, 3H) 13C NMR (100 MHz, 298 K, CDCl3): δ 169.9, 151.9, 148.9, 141.2, 133.6, 129.0, 127.3, 125.6, 124.1, 51.0, 45.6, 41.6, 41.3, 37.0, 35.6, 29.8, 29.4, 13.0. FT–IR (KBr, cm−1): 2926, 2902, 2243, 1626, 1606, 1513. MS (FAB): m/z 715 [M + H]+. Anal. Calcd. for C50H54N2O2·1.1CHCl3: C, 72.52; H, 6.56; N, 3.31, Found: C, 72.20; H, 6.95; N, 3.05.
- Compound 11b (N-ethyl cyclic trimer)
Yield: 5.0 mg (4.7 mmol), 6.9%. Color, Habit: white, powder. M.p.: 160–165 °C. 1H NMR (400 MHz, 298 K, CDCl3): δ 7.21 (d, J = 8.7 Hz, 6H), 7.17 (d, J = 8.7 Hz, 6H), 7.12 (d, J = 8.7 Hz, 6H), 6.92 (d, J = 8.7 Hz, 6H), 3.96 (q, J = 7.1 Hz, 6H), 2.21 (m, 6H), 1.90–1.82 (m, 18H), 1.74–1.69 (m, 18H), 1.22 (t, J = 7.0 Hz, 9H). 13C NMR (100 MHz, 298 K, CDCl3): δ 134.4, 129.4, 128.2, 126.0, 124.7, 47.8, 45.9, 43.2, 42.7, 37.8, 37.6, 36.4, 30.0, 13.6. FT–IR (KBr, cm−1): 2916, 1508, 820. HRMS (APCI): m/z [M + H]+ calcd for C75H82O3N3: 1072.6351; found: 1072.6356.
- Compound 11c (N-ethyl cyclic tetramer)
Yield: 3.5 mg (2.4 mmol), 4.8%. Color, Habit: yellow, prism crystals. M.p.: 158–160 °C. 1H NMR (400 MHz, 298 K, CDCl3): δ 7.22 (d, J = 8.4 Hz, 8H), 7.19 (d, J = 8.7 Hz, 8H), 7.12 (d, J = 8.4 Hz, 8H), 6.95 (d, J = 8.4 Hz, 8H), 3.94 (q, J = 6.8 Hz, 8H), 2.27–2.20 (m, 8H), 1.91–1.69 (m, 48H), 1.20 (t, J = 7.1 Hz, 3H). 13C NMR (100 MHz, 298 K, CDCl3): δ 151.8, 148.9, 133.8, 128.7, 127.5, 125.5, 124.2, 116.5, 48.4, 45.5, 42.1, 42.1, 37.3, 37.0, 35.7, 29.7, 29.4, 13.1. FT–IR (KBr, cm−1): 2919, 1645, 1509, 1278, 1015. HRMS (APCI): m/z [M + H]+ calcd for C100H109O4N4: 1429.8443; found: 1429.8449.
- Compound 11d (N-ethyl cyclic pentamer)
Yield: 1.4 mg (0.78 mmol), 1.9%. Color, Habit: yellow, prism crystals. M.p.: 152–153 °C. 1H NMR (400 MHz, 298 K, CDCl3): δ 7.25–7.11 (m, 30H), 7.00–6.94 (m,10H), 3.97–3.86 (m, 10H), 2.27–2.20 (m, 10H), 1.95–1.72 (m, 60H), 1.22–1.17 (m, 15H). 13C NMR (100 MHz, 298 K, CDCl3): δ 152.4, 149.5, 129.3, 128.1, 126.1, 124.7, 46.1, 42.7, 42.6, 37.9, 37.6, 36.3, 30.0, 13.7. FT–IR (KBr, cm−1):3645, 2903, 1644, 1512, 1385, 1117. HRMS (APCI): m/z [M + H]+ calcd for C125H136O5N5: 1787.0536; found: 1787.0498.
- Ethyl 4-(3-(4-((4-(decyloxy)benzyl)amino)phenyl)adamantan-1-yl)benzoate (12)
Compound 8 (0.24 g, 0.64 mmol) was dissolved in ethanol:acetic acid (10:1). Then, 4-decyloxybenzylaldehyde and borane-2-methylpyridine were added to the solution. The mixture was stirred at room temperature under an argon atmosphere. After 1 h, 10% HCl (3.3 mL) was added to the reaction mixture, which was stirred for 30 min. The mixture was then neutralized with 0.25% Na2CO3 and extracted with ethyl acetate. The organic layer was dried over Na2SO4 and concentrated in vacuo to give the crude product. The crude product was purified by silica gel column chromatography (toluene) to give 12 (0.38 g, 0.61 mmol, 89%) as a white solid. M.p.: 100 °C, 1H NMR (400 MHz, 298 K, CDCl3): δ 7.98 (d, J = 1.8 Hz, 2H), 7.45 (d, J = 1.8 Hz, 2H), 7.20 (d, J = 1.8 Hz, 2H), 6.86 (d, J = 1.8 Hz, 2H), 6.61–6.64 (m, 2H), 4.34–4.39 (m, 2H), 4.23 (s, 2H), 3.94 (t, J = 6.6 Hz, 2H), 3.87 (s, 1H), 2.30 (s, 2H), 2.00 (s, 2H), 1.92–1.94 (m, 8H), 1.73–1.80 (m, 4H), 1.22–1.48 (m, 18H), 0.86–0.90 (m, 3H). 13C NMR (100 MHz, 298 K, CDCl3): δ 166.6, 158.4, 155.9, 146.2, 139.6, 131.3, 129.4, 128.8, 127.8, 125.6, 124.9, 114.5, 112.6, 68.0, 60.7, 48.9, 48.0, 42.3, 42.1, 37.7, 36.3, 35.8, 31.8, 29.5, 29.5, 29.3, 29.3, 29.2, 26.0, 22.6, 14.3, 14.1. FT–IR (KBr, cm−1): 3851, 2357, 1698, 1514, 1471, 1278, 1103, 1015, 823. MS (FAB): m/z 620 [M + H]+. Anal. Calcd. for C42H55NO3: C, 81.12; H, 8.91; N, 2.25, Found: C, 80.89; H, 8.87; N, 2.25.
- Cyclization reaction
To a solution of the compound 12 (0.12 g, 0.19 mmol) in dry THF (0.4 mL) under argon atmosphere was added 1.3 M LiHMDS solution in THF (0.31 mL, 0.21 mmol) and stirred at room temperature for 2 h. The organic layer was washed with water, 2 M HCl, and brine over Na2SO4, and concentrated in vacuo. The residue was purified by silica gel column chromatography (chloroform), followed by preparative GPC (chloroform as an eluent) to give products 13a–13d.
- Compound 13a (N-decyloxybenzyl cyclic dimer)
Yield: 47 mg (0.041 mmol), 41%. Color, Habit: white, powder. M.p.: 110–121 °C. 1H NMR (400 MHz, 298 K, CDCl3): δ 7.22 (d, J = 2.2 Hz, 8H), 7.06 (d, J = 1.3 Hz, 8H), 6.78–6.82 (m, 8H), 5.01 (s, 4H), 3.91 (t, J = 6.6 Hz, 4H), 2.28 (s, 4H), 2.01 (d, J = 11.9 Hz, 4H), 1.92 (d, J = 11.9 Hz, 4H), 1.72–1.78 (m, 12H), 1.67 (s, 4H), 1.53 (s, 4H), 1.40–1.47 (m, 4H), 1.27–1.35 (m, 24H), 0.86–0.90 (m, 6H). 13C NMR (100 MHz, 298 K, CDCl3): δ 158.3, 151.9, 148.7, 141.5, 133.2, 129.9, 129.6, 128.9, 127.0, 125.3, 124.0, 114.2, 67.9, 41.4, 41.1, 37.2, 36.8, 31.8, 29.5, 29.5, 29.4, 29.2, 29.2, 26.0, 22.6, 14.1. FT–IR (KBr, cm−1): 3850, 3707, 3646, 2355, 667, 652, 643, 611. HRMS (APCI): m/z [M + H]+ calcd for C80H99O4N2: 1151.7502; found: 1151.7603.
- Compound 13b (N-decyloxybenzyl cyclic trimer)
Yield: 8.4 mg (4.9 mmol), 7.2%. Color, Habit: white, powder. M.p.: 92–105 °C. 1H NMR (400 MHz, 298 K, CDCl3): δ 7.23–7.18 (m, 12H), 7.11–7.06 (m, 12H), 6.83–6.76 (m, 12H), 5.01 (s, 6H), 3.92 (t, J = 6.6 Hz, 6H), 2.29–2.18 (m, 8H), 1.93–1.65 (m, 46H), 1.45–1.40 (m, 8H), 1.35–1.27 (m, 42H), 0.90–0.86 (m, 9H). 13C NMR (100 MHz, 298 K, CDCl3): δ 170.3, 158.3, 151.8, 148.8, 141.3, 133.5, 129.8, 129.7, 129.6, 128.8, 127.4, 125.4, 125.2, 124.0, 114.2, 70.5, 67.9, 54.4, 53.1, 47.1, 42.5, 42.0, 37.1, 36.9, 35.7, 31.8, 29.7, 29.5, 29.5, 29.4, 29.3, 29.3, 26.1, 22.6, 14.1. FT–IR (KBr, cm−1): 3910, 3849, 3590, 3048, 2958, 2927, 2846, 2800, 2355, 1727, 1642, 1515, 1375, 1255, 1096, 1015. HRMS (APCI): m/z [M + H]+ calcd for C120H148O6N3: 1727.1253; found: 1727.1402.
- Compound 13c (N-decyloxybenzyl cyclic tetramer)
Yield: 4.9 mg (2.2 mmol), 4.3%. Color, Habit: white, powder. M.p.: 75–87 °C. 1H NMR (400 MHz, 298 K, CDCl3): δ 7.25–7.00 (m, 32H), 6.88–6.71 (m, 16H), 5.00 (t, J = 6.8 Hz, 8H), 3.94–3.83 (m, 8H), 2.33–2.10 (m, 8H), 1.96–1.62 (m, 58H), 1.49–1.15 (m, 58H), 0.87 (t, J =6.4 Hz, 12H). 13C NMR (100 MHz, 298 K, CDCl3): δ 158.5, 129.8, 128.9, 127.4, 125.5, 124.2, 124.1, 114.4, 68.0, 42.1, 37.3, 37.0, 32.0, 29.7, 29.7, 29.5, 29.4, 26.2, 22.8, 14.2. FT–IR (KBr, cm−1): 2930, 1651, 1508, 1245, 974. HRMS (MALDI-TOF): m/z [M + Na]+ calcd for C160H196O8N4Na: 2325.498; found: 2324.545.
- Compound 13d (N-decyloxybenzyl cyclic pentamer)
Yield: 4.8 mg (1.7 mmol), 4.2%. Color, Habit: white, powder. M.p.: 82–94 °C. 1H NMR (400 MHz, 298 K, CDCl3): δ 7.25–7.00 (m, 40H), 6.89–6.70 (m, 20H), 4.98 (s, 10H), 3.89 (q, J = 6.6, 4.5 Hz, 10H), 2.38–2.11 (m, 10H), 2.03–1.64 (m, 70H), 1.46–1.16 (m, 70H), 1.46–1.16 (m, 70H), 0.87 (t, J = 7.1 Hz,15H). 13C NMR (100 MHz, 298 K, CDCl3): δ 158.3, 129.8, 129.5, 128.8, 127.2, 125.3, 124.1, 114.2, 70.5, 67.9, 42.1, 41.9, 37.2, 37.1, 36.9, 31.8, 29.6, 29.5, 29.5, 29.4, 29.3, 26.1, 22.6, 14.1. FT–IR (KBr, cm−1): 3973, 3915, 3857, 3748, 3586, 2927, 2854, 2362, 2328, 1696, 1642, 1507, 1452, 1248. HRMS (MALDI-TOF): m/z [M + Na]+ calcd for C200H245O10N5Na: 2900.871; found: 2899.935.
- Compound 14a (NH cyclic dimer)
Compound 13a (10 mg, 8.7 μmol) was dissolved in TFA (3.0 mL), and the resulting solution was stirred at 50 °C for 5 d. The reaction mixture was concentrated under reduced pressure to remove TFA. The residue was purified by centrifugation and resuspension in chloroform:toluene (1:15), yielding compound 14a (1.2 mg, 1.8 mmol, 21%) as a white solid. M.p.: 300 °C. 1H NMR (400 MHz, 298 K, DMSO-d6): δ 9.47 (s, 2H), 7.27–7.09 (m, 12H), 6.71 (d, J = 8.4 Hz, 4H), 2.25 (s, 4H), 2.05–1.92 (m, 10H), 1.81–1.63 (m, 14H). 13C NMR (100 MHz, 298 K, DMSO-d6): δ 128.9, 128.2, 125.3, 124.0, 28.9, 28.7, 22.1, 21.0, 14.0. FT–IR (KBr, cm−1): 3852, 3748, 3674, 3647, 2908, 1540, 1517, 1376, 823, 693. MS (FAB): m/z 659 [M + H]+. Anal. Calcd. for C46H46N2O2·0.35 TFA: C, 80.27; H, 6.69; N, 4.01, Found: C, 80.21; H, 6.74; N, 4.40.
- Compound 14b (NH cyclic trimer)
Compound 13b (4.5 mg, 2.1 µmol) was dissolved in TFA (2.6 mL), and the resulting solution was stirred at room temperature for 47 h. The reaction mixture was concentrated under reduced pressure to remove TFA. The residue was purified by centrifugation and resuspension in chloroform:toluene (1:15), yielding compound 14b (1.7 mg, 1.7 mmol, 65%) as a white solid. M.p.: 300 °C. 1H NMR (400 MHz, 298 K, DMSO-d6): δ 9.84 (s, 4H), 7.84 (d, J = 8.7 Hz, 6H), 7.63 (d, J = 8.7 Hz, 6H), 7.45 (d, J = 8.4 Hz, 6H), 7.25 (d, J = 8.9 Hz, 6H), 2.35 (s, 6H), 2.21–2.16 (m, 12H), 1.85–1.75 (m, 18H), 1.34 (s, 6H). 13C NMR (100 MHz, 298 K, CDCl3 + 3 drops of TFA-d): δ134.3, 131.4, 129.5, 127.9, 126.8, 56.1, 43.4, 42.0, 39.6, 38.9, 36.7. FT–IR (KBr, cm−1): 3735, 2922, 2849, 1653, 1608, 1559, 1457, 1405, 1328, 1261, 1013. HRMS (FAB): m/z [M + H]+ calcd for C69H70O3N3: 988.5322; found: 988.5418.
- Compound 14c (NH cyclic tetramer)
Compound 13c (3.6 mg, 1.6 μmol) was dissolved in TFA (1.9 mL), and the resulting solution was stirred at room temperature for 47 h. The reaction mixture was concentrated under reduced pressure to remove TFA. The residue was purified by centrifugation and resuspension in chloroform:toluene (1:15), yielding compound 14c (1.6 mg, 1.2 mmol, 77%) as a white solid. M.p.: 300 °C. 1H NMR (400 MHz, 298 K, DMSO-d6): δ 7.94 (d, J = 7.3 Hz, 8H), 7.74 (d, J = 8.2 Hz, 8H), 7.61 (d, J = 9.8 Hz, 8H), 7.53 (d, J = 7.7 Hz, 8H), 2.46 (s, 8H), 2.12 (s, 42H), 1.95 (s, 14H). 13C NMR (100 MHz, 298 K, TFA-d +CDCl3): δ131.1, 129.2, 127.6, 126.6, 126.5, 125.1, 55.9, 49.9, 42.9, 39.4, 38.7, 36.5, 31.0. FT–IR (KBr, cm−1): 3854, 3736, 2905, 2848, 1654, 1519, 1407, 1014, 826, 635. HRMS (MALDI-TOF): m/z [M + Na]+ calcd for C92H92O4N4Na: 1339.6996; found: 1340.734.
- Compound 14d (NH cyclic pentamer)
Compound 13d (1.9 mg, 0.66 μmol) was dissolved in TFA (1.1 mL), and the resulting solution was stirred at room temperature for 47 h. The reaction mixture was concentrated under reduced pressure to remove TFA. The residue was purified by centrifugation and resuspension in chloroform:toluene (1:15), yielding compound 14d (0.72 mg, 0.44 mmol, 64%) as a white solid. M.p.: 103–105 °C. 1H NMR (400 MHz, 298 K, CDCl3): δ 7.84–7.81 (m, 10H), 7.60–7.58 (m, 10H), 7.53–7.50 (m, 10H), 7.41–7.38 (m, 10H), 2.35 (s, 14H), 2.04–1.98 (m, 50H), 1.81 (s, 14H). 13C NMR (100 MHz, 298 K, CDCl3): δ 130.2, 127.6, 126.2, 126.1, 120.8, 49.3, 42.8, 42.7, 38.3, 37.6, 36.4, 30.1. FT–IR (KBr, cm−1): 3421, 2761, 748, 700, 445. HRMS (MALDI-TOF): m/z [M + Na]+ calcd for C115H115O5N5Na: 1668.879; found: 1668.918.
4. Conclusions
We synthesized cyclic aromatic amides composed of repeating units incorporating a diphenyladamantane skeleton. Single crystals of the ethyl-substituted derivatives (cyclic dimers, trimers, and tetramers) were obtained, and single-crystal X-ray analysis confirmed that all tertiary amide bonds in these macrocyclic compounds adopt the cis configuration. Furthermore, the cyclic trimer and tetramer were shown to adopt folded conformations both in the crystal and in solutions.
Cyclic compounds bearing an N-decyloxybenzyl group were then synthesized by a similar route, and the corresponding cyclic aromatic secondary amides were obtained by dealkylation. Structural analysis based on 1H NMR spectra combined with force field calculations suggested that these secondary amides adopt the trans configuration. Thus, macrocyclic aromatic amides with tertiary amide bonds preferentially adopt folded ring conformations, whereas those with secondary amide bonds favor open ring conformations.
In summary, we have successfully synthesized large-ring compounds with spacious internal cavities and demonstrated that their conformations are governed by the presence or absence of N-alkyl substituents on the amide nitrogens. These macrocyclic structures provide promising scaffolds for further functionalization toward the development of molecular recognition systems capable of accommodating guest molecules of various sizes.
Supplementary Materials
The following supporting information can be downloaded at: https://www.mdpi.com/article/10.3390/molecules30214185/s1, Section S1—X-ray crystallographic analysis, Section S2—1H and 13C NMR spectra, Section S3—References; Figure S1—ORTEP diagram of molecules A, B, and C in a crystal of 11a, Figure S2—ORTEP diagram of 11b, Figure S3—ORTEP diagram of 11c. Refs. [32,33,34] are cited in the Supplementary Materials.
Author Contributions
S.M.: writing—original draft, data curation, formal analysis, investigation; R.U.: investigation; K.T.: investigation; M.T.: investigation; S.K.: writing—review and editing, investigation; H.H.: writing—review and editing; I.A.: supervision, conceptualization, writing—review and editing. All authors have read and agreed to the published version of the manuscript.
Funding
This research received no external funding.
Institutional Review Board Statement
Not applicable.
Informed Consent Statement
Not applicable.
Data Availability Statement
Data will be made available on request.
Acknowledgments
The authors thank M. Koizumi at the Materials Analysis Division, Tokyo Institute of Technology, and S. Kado at the Center for Analytical Instrumentation, Chiba University for their assistance with mass spectrometry.
Conflicts of Interest
The authors declare no conflicts of interest.
References
- Kim, K.; Selvapalam, N.; Ko, Y.H.; Park, K.M.; Kim, D.; Kim, J. Functionalized Cucurbiturils and Their Applications. Chem. Soc. Rev. 2007, 36, 267–279. [Google Scholar] [CrossRef]
- Tahara, K.; Tobe, Y. Molecular Loops and Belts. Chem. Rev. 2006, 106, 5274–5290. [Google Scholar] [CrossRef] [PubMed]
- Griffin, R.W. Meta-Bridged Aromatic Compounds. Chem. Rev. 1963, 63, 45–54. [Google Scholar] [CrossRef]
- Cramer, F.; Hettler, H. Inclusion Compounds of Cyclodextrins. Naturwissenschaften 1967, 54, 625–632. [Google Scholar] [CrossRef]
- Pedersen, C.J. Cyclic Polyethers and Their Complexes with Metal Salts. J. Am. Chem. Soc. 1967, 89, 7017–7036. [Google Scholar] [CrossRef]
- Nakamura, T.; Kaneko, Y.; Nishibori, E.; Nabeshima, T. Molecular Recognition by Multiple Metal Coordination inside Wavy-Stacked Macrocycles. Nat. Commun. 2017, 8, 129. [Google Scholar] [CrossRef]
- Gong, B.; Shao, Z. Self-Assembling Organic Nanotubes with Precisely Defined, Sub-Nanometer Pores: Formation and Mass Transport Characteristics. Acc. Chem. Res. 2013, 46, 2856–2866. [Google Scholar] [CrossRef]
- Jiang, H.; Léger, J.-M.; Guionneau, P.; Huc, I. Strained Aromatic Oligoamide Macrocycles as New Molecular Clips. Org. Lett. 2004, 6, 2985–2988. [Google Scholar] [CrossRef]
- Azumaya, I.; Kagechika, H.; Fujiwara, Y.; Itoh, M.; Yamaguchi, K.; Shudo, K. Twisted Intramolecular Charge-Transfer Fluorescence of Aromatic Amides: Conformation of the Amide Bonds in Excited States. J. Am. Chem. Soc. 1991, 113, 2833–2838. [Google Scholar] [CrossRef]
- Katagiri, K.; Sawano, K.; Okada, M.; Yoshiyasu, S.; Shiroyama, R.; Ikejima, N.; Masu, H.; Kato, T.; Tominaga, M.; Azumaya, I. Synthesis, Crystal Structure and Dynamic Behavior of Naphthalene-Based Calix [3]Amide: Cyclic Trimers of 2-Alkylamino-6-Naphthoic Acid. J. Mol. Struct. 2008, 891, 346–350. [Google Scholar] [CrossRef]
- Azumaya, I.; Okamoto, T.; Imabeppu, F.; Takayanagi, H. Simple and Convenient Synthesis of Tertiary Benzanilides Using Dichlorotriphenylphosphorane. Tetrahedron 2003, 59, 2325–2331. [Google Scholar] [CrossRef]
- Masu, H.; Okamoto, T.; Kato, T.; Katagiri, K.; Tominaga, M.; Goda, H.; Takayanagi, H.; Azumaya, I. Construction of Macrocyclic Structure Using Conformational Properties of Secondary and Tertiary Aromatic Amides. Tetrahedron Lett. 2006, 47, 803–807. [Google Scholar] [CrossRef]
- Katagiri, K.; Tohaya, T.; Shirai, R.; Kato, T.; Masu, H.; Tominaga, M.; Azumaya, I. Folded-to-Unfolded Structural Switching of a Macrocyclic Aromatic Hexaamide Based on Conformation Changes in the Amide Groups Induced by N-Alkylation and Dealkylation Reactions. J. Mol. Struct. 2015, 1082, 23–28. [Google Scholar] [CrossRef]
- Tukada, H.; Mochizuki, K. Long-Range Magnetic Interactions in Trans-1,4-Cyclohexylene- and 1,3-Adamantylene-Bis(p-Nitrenylbenzene) by Π−σ−π Hyperconjugation. Org. Lett. 2001, 3, 3305–3308. [Google Scholar] [CrossRef]
- Harries, D.; Rau, D.C.; Parsegian, V.A. Solutes Probe Hydration in Specific Association of Cyclodextrin and Adamantane. J. Am. Chem. Soc. 2005, 127, 2184–2190. [Google Scholar] [CrossRef]
- Talewar, S.K.; Pardo, L.C.; Headen, T.F.; Halukeerthi, S.O.; Chikani, B.; Rosu-Finsen, A.; Salzmann, C.G. Hydrophobic Hydration of the Hydrocarbon Adamantane in Amorphous Ice. Faraday Discuss. 2024, 249, 69–83. [Google Scholar] [CrossRef]
- Tominaga, M.; Masu, H.; Azumaya, I. Construction and Charge-Transfer Complexation of Adamantane-Based Macrocycles and a Cage with Aromatic Ring Moieties. J. Org. Chem. 2009, 74, 8754–8760. [Google Scholar] [CrossRef]
- Chalais, S.; Cornélis, A.; Gerstmans, A.; Kołodziejski, W.; Laszlo, P.; Mathy, A.; Métra, P. Direct Clay-Catalyzed Friedel-Crafts Arylation and Chlorination of the Hydrocarbon Adamantane. Helv. Chim. Acta 1985, 68, 1196–1203. [Google Scholar] [CrossRef]
- Reichert, V.R.; Mathias, L.J. Expanded Tetrahedral Molecules from 1,3,5,7-Tetraphenyladamantane. Macromolecules 1994, 27, 7015–7023. [Google Scholar] [CrossRef]
- Olah, G.A.; Kuhn, S.J. Aromatic Substitution XII.1 Steric Effects in Nitronium Salt Nitrations of Alkylbenzenes and Halobenzenes. J. Am. Chem. Soc. 1962, 84, 3684–3687. [Google Scholar] [CrossRef]
- Findlay, J.A.; Patil, K.M.; Gardiner, M.G.; MacDermott-Opeskin, H.I.; O’Mara, M.L.; Kruger, P.E.; Preston, D. Heteroleptic Tripalladium(II) Cages. Chem. Asian J. 2022, 17, e202200093. [Google Scholar] [CrossRef] [PubMed]
- Mori, S.; Takeuchi, Y.; Tanatani, A.; Kagechika, H.; Fujii, S. Development of 1,3-Diphenyladamantane Derivatives as Nonsteroidal Progesterone Receptor Antagonists. Bioorg. Med. Chem. 2015, 23, 803–809. [Google Scholar] [CrossRef] [PubMed]
- Wei, Q.; Lazzeri, A.; Di Cuia, F.; Scalari, M.; Galoppini, E. New Epoxy Resins Cured with Tetraaminophenyladamantane (TAPA). Macromol. Chem. Phys. 2004, 205, 2089–2096. [Google Scholar] [CrossRef]
- Ikawa, T.; Fujita, Y.; Mizusaki, T.; Betsuin, S.; Takamatsu, H.; Maegawa, T.; Monguchi, Y.; Sajiki, H. Selective N-Alkylation of Amines Using Nitriles under Hydrogenation Conditions: Facile Synthesis of Secondary and Tertiary Amines. Org. Biomol. Chem. 2012, 10, 293–304. [Google Scholar] [CrossRef]
- Yokoyama, A.; Maruyama, T.; Tagami, K.; Masu, H.; Katagiri, K.; Azumaya, I.; Yokozawa, T. One-Pot Synthesis of Cyclic Triamides with a Triangular Cavity from Trans -Stilbene and Diphenylacetylene Monomers. Org. Lett. 2008, 10, 3207–3210. [Google Scholar] [CrossRef]
- Li, G.; Szostak, M. Highly Selective Transition-Metal-Free Transamidation of Amides and Amidation of Esters at Room Temperature. Nat. Commun. 2018, 9, 4165. [Google Scholar] [CrossRef]
- Muthayala, M.K.; Chhikara, B.S.; Parang, K.; Kumar, A. Ionic Liquid-Supported Synthesis of Sulfonamides and Carboxamides. ACS Comb. Sci. 2012, 14, 60–65. [Google Scholar] [CrossRef]
- Sato, S.; Sakamoto, T.; Miyazawa, E.; Kikugawa, Y. One-Pot Reductive Amination of Aldehydes and Ketones with α-Picoline-Borane in Methanol, in Water, and in Neat Conditions. Tetrahedron 2004, 60, 7899–7906. [Google Scholar] [CrossRef]
- Olanders, G.; Alogheli, H.; Brandt, P.; Karlén, A. Conformational analysis of macrocycles: Comparing general and specialized methods. J. Comput. Aided Mol. Des. 2020, 34, 231–252. [Google Scholar] [CrossRef]
- Wang, J.-L.; Xu, J.-S.; Wang, D.-Y.; Wang, H.; Li, Z.-T.; Zhang, D.-W. Anti-Parallel Sheet Structures of Side-Chain-Free γ-, δ-, and ε-Dipeptides Stabilized by Benzene–Pentafluorobenzene Stacking. CrystEngComm 2014, 16, 2078–2084. [Google Scholar] [CrossRef]
- Itai, A.; Toriumi, Y.; Tomioka, N.; Kagechika, H.; Azumaya, I.; Shudo, K. Stereochemistry of N-Methylbenzanilide and Benzanilide. Tetrahedron Lett. 1989, 30, 6177–6180. [Google Scholar] [CrossRef]
- Sheldrick, G.M. SHELXT—Integrated space-group and crystal-structure determination. Acta Crystallogr. 2014, A70, C1437. [Google Scholar] [CrossRef]
- Sheldrick, G.M. Crystal structure refinement with SHELXL. Acta Crystallogr. 2015, C71, 3–8. [Google Scholar]
- Spek, A.L. PLATON SQUEEZE: A tool for the calculation of the disordered solvent contribution to the calculated structure factors. Acta Crystallogr. 2015, C71, 9–18. [Google Scholar]
Disclaimer/Publisher’s Note: The statements, opinions and data contained in all publications are solely those of the individual author(s) and contributor(s) and not of MDPI and/or the editor(s). MDPI and/or the editor(s) disclaim responsibility for any injury to people or property resulting from any ideas, methods, instructions or products referred to in the content. |
© 2025 by the authors. Licensee MDPI, Basel, Switzerland. This article is an open access article distributed under the terms and conditions of the Creative Commons Attribution (CC BY) license (https://creativecommons.org/licenses/by/4.0/).











