Co-Exposure to Glyphosate and Polyethylene Microplastic Affects Their Toxicity to Chlorella vulgaris: Implications for Algal Health and Aquatic Risk
Abstract
1. Introduction
2. Results and Discussion
2.1. Effects of GLY and GLY-PE on the Toxicity of Microalgae
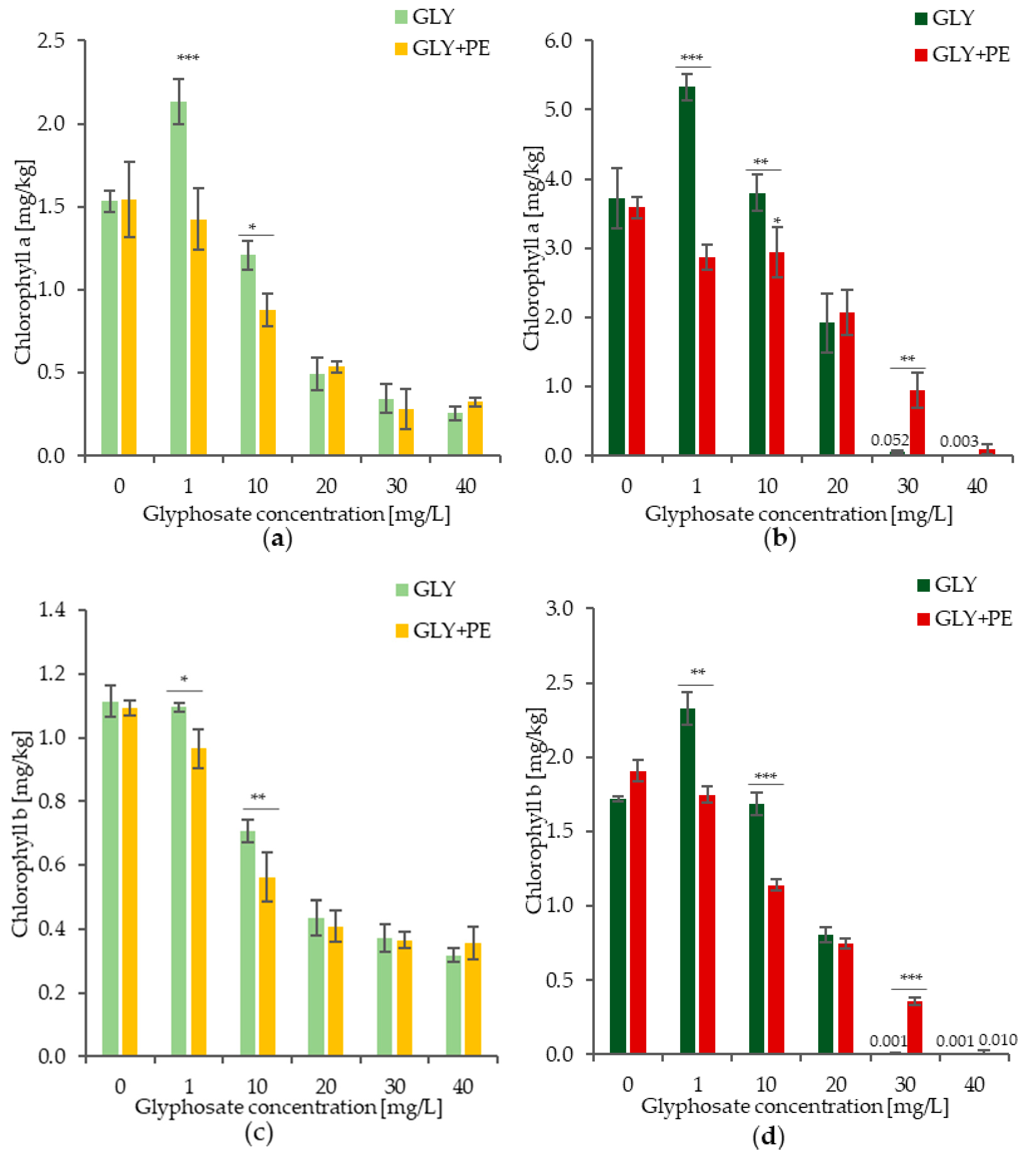
2.2. Effects of GLY and GLY-PE on Microalgal Chlorophyll Content Alteration by GLY and GLY-PE on the Growth of Microalgae
2.3. Morphological Properties
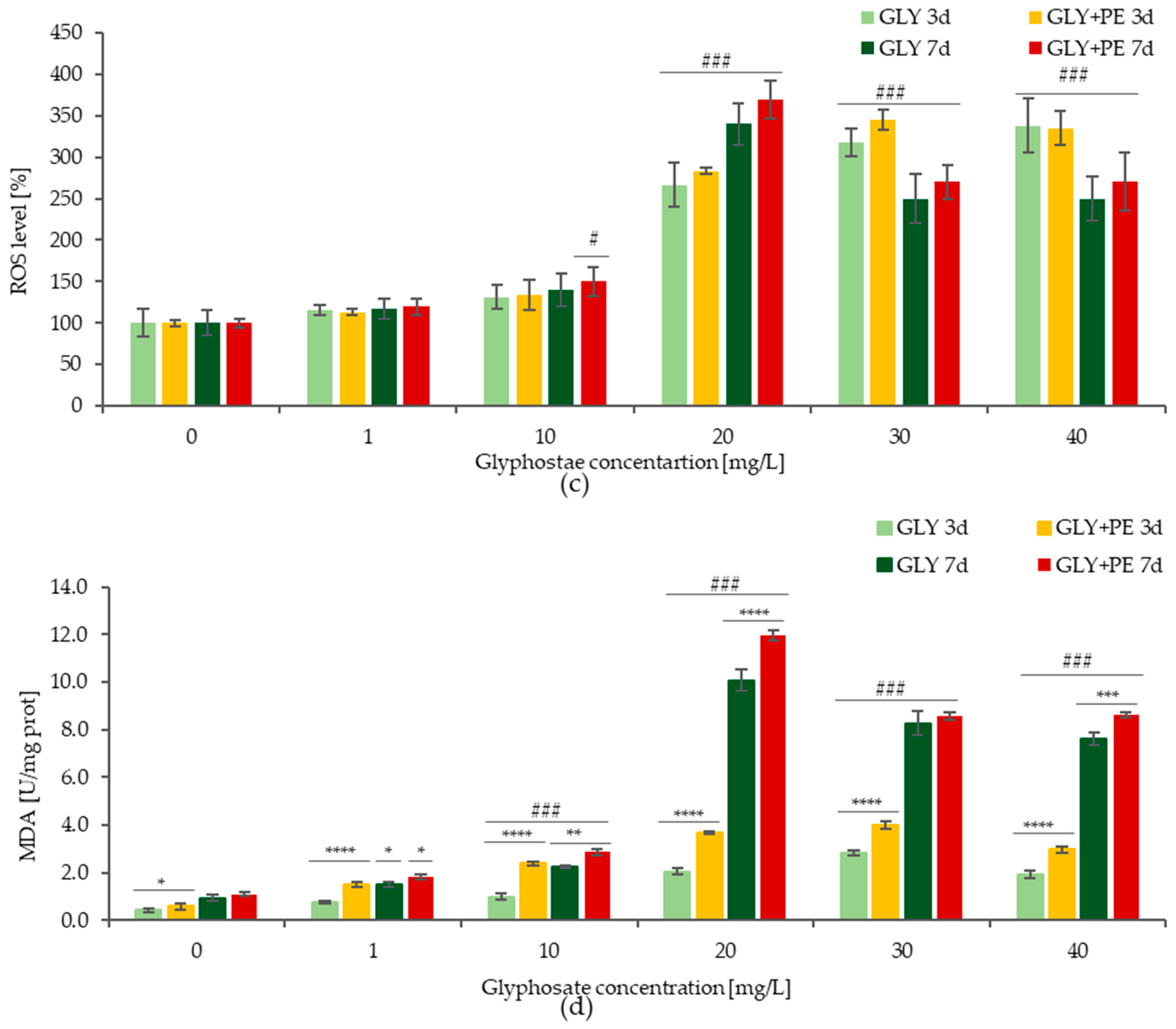
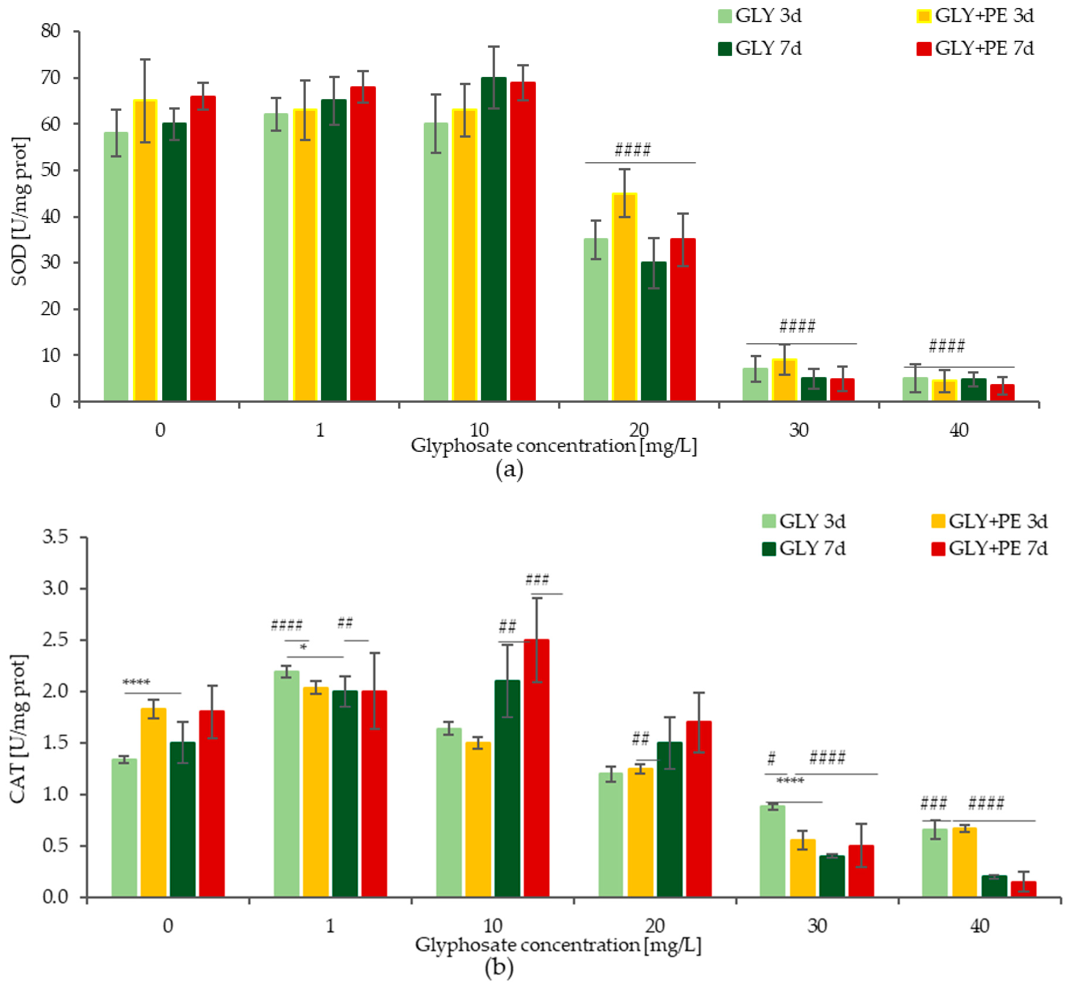
2.4. Effects of GLY and GLY-PE on SOD and CAT Activities and MDA and ROS Levels
3. Materials and Methods
3.1. Chemicals and Materials
3.2. Microalgae Cultivation
3.3. Toxicity Assay
3.4. Pigment Content
3.5. Morfological Properties
3.6. Statistical Analysis
4. Conclusions
Author Contributions
Funding
Institutional Review Board Statement
Informed Consent Statement
Data Availability Statement
Acknowledgments
Conflicts of Interest
Abbreviations
| PE | polyethylene |
| GLY | glyphosate |
| PE-MPs | polyethylene microplastics |
| PS-MPs | polystyrene microplastics |
| PS-NH2 | polystyrene cationic amino-modified nanoparticles |
| MDA | malondialdehyde |
| ROS | reactive oxygen species |
| SOD | superoxide dismutase |
| CAT | catalase |
| C. | Chlorella |
| SEM | Scanning Electron Microscopy |
Appendix A

References
- Kiran, B.R.; Kopperi, H.; Venkata Mohan, S. Micro/Nano-Plastics Occurrence, Identification, Risk Analysis and Mitigation: Challenges and Perspectives. Rev. Environ. Sci. Biotechnol. 2022, 21, 169–203. [Google Scholar] [CrossRef]
- Johannessen, C.; Shetranjiwalla, S. Role of Structural Morphology of Commodity Polymers in Microplastics and Nanoplastics Formation: Fragmentation, Effects and Associated Toxicity in the Aquatic Environment. Rev. Environ. Contam. Toxicol. 2021, 259, 123–169. [Google Scholar]
- Kumar, R.; Verma, A.; Shome, A.; Sinha, R.; Sinha, S.; Jha, P.K.; Kumar, R.; Kumar, P.; Shubham; Das, S.; et al. Impacts of Plastic Pollution on Ecosystem Services, Sustainable Development Goals, and Need to Focus on Circular Economy and Policy Interventions. Sustainability 2021, 13, 9963. [Google Scholar] [CrossRef]
- Plastic Europe. Plastics—The Fast Facts 2023. Available online: https://plasticseurope.org/knowledge-hub/plastics-the-fast-facts-2023/ (accessed on 20 November 2024).
- El-Sherif, D.M.; Eloffy, M.G.; Elmesery, A.; Abouzid, M.; Gad, M.; El-Seedi, H.R.; Brinkmann, M.; Wang, K.; Al Naggar, Y. Environmental Risk, Toxicity, and Biodegradation of Polyethylene: A Review. Environ. Sci. Pollut. Res. 2022, 29, 81166–81182. [Google Scholar] [CrossRef] [PubMed]
- Chen, M.; Khan, A.R.; Memon, M.S.; Iqbal, B. Microplastics and Nanoplastics across the Food Web: Challenges and Mitigation Strategies in Securing Human Health. Process Saf. Environ. Prot. 2025, 201, 107586. [Google Scholar] [CrossRef]
- Duke, S.O. Glyphosate: Uses Other Than in Glyphosate-Resistant Crops, Mode of Action, Degradation in Plants, and Effects on Non-Target Plants and Agricultural Microbes. In Reviews of Environmental Contamination and Toxicology; Knaak, J.B., Ed.; Springer: Berlin/Heidelberg, Germany, 2020; pp. 1–65. [Google Scholar]
- Pesticide Properties Database. Available online: https://sitem.herts.ac.uk/aeru/ppdb/en/ (accessed on 8 October 2024).
- Chen, J.; Rao, C.; Yuan, R.; Sun, D.; Guo, S.; Li, L.; Yang, S.; Qian, D.; Lu, R.; Cao, X. Long-Term Exposure to Polyethylene Microplastics and Glyphosate Interferes with the Behavior, Intestinal Microbial Homeostasis, and Metabolites of the Common Carp (Cyprinus carpio L.). Sci. Total Environ. 2022, 814, 152681. [Google Scholar] [CrossRef] [PubMed]
- Ogunbiyi, O.D.; Akamo, D.O.; Oluwasanmi, E.E.; Adebanjo, J.; Isafiade, B.A.; Ogunbiyi, T.J.; Alli, Y.A.; Ayodele, D.T.; Oladoye, P.O. Glyphosate-Based Herbicide: Impacts, Detection, and Removal Strategies in Environmental Samples. Groundw. Sustain. Dev. 2023, 22, 100961. [Google Scholar] [CrossRef]
- Ostera, J.M.; Puntarulo, S.; Manalga, G. Oxidative Effects of Glyphosate on the Lipophobic Intracellular Environment in the Microalgae. BIOCELL 2022, 46, 795–802. [Google Scholar] [CrossRef]
- Arora, N.; Bisht, B.; Thakur, N.; Vlaskin, M.S.; Kumar, V. Cultivation of Chlorella sorokiniana in Indoor and Outdoor Raceway Ponds under Glyphosate Stress for Bioproduct Production. Biomass Convers. Biorefin 2024, 14, 25307–25315. [Google Scholar] [CrossRef]
- Kaeoboon, S.; Suksungworn, R.; Sanevas, N. Toxicity Response of Chlorella Microalgae to Glyphosate Herbicide Exposure Based on Biomass, Pigment Contents and Photosynthetic Efficiency. Plant Sci. Today 2021, 8, 293–300. [Google Scholar] [CrossRef]
- Jaiswal, K.K.; Kumar, V.; Vlaskin, M.S.; Nanda, M. Impact of Glyphosate Herbicide Stress on Metabolic Growth and Lipid Inducement in Chlorella sorokiniana UUIND6 for Biodiesel Production. Algal Res. 2020, 51, 102071. [Google Scholar] [CrossRef]
- Motshekga, S.C.; Temane, L.T.; Orasugh, J.T.; Ray, S.S. Marine Algae and Their Importance. In Current Status of Marine Water Microbiology; Springer Nature Singapore: Singapore, 2023; pp. 67–124. [Google Scholar]
- Tomaselli, L. The Microalgal Cell. In Handbook of Microalgal Culture: Biotechnology and Applied Phycology; Richmond, A., Ed.; Blackwell: Oxford, UK, 2004; pp. 3–19. [Google Scholar]
- Safi, C.; Zebib, B.; Merah, O.; Pontalier, P.-Y.; Vaca-Garcia, C. Morphology, Composition, Production, Processing and Applications of Chlorella vulgaris: A Review. Renew. Sustain. Energy Rev. 2014, 35, 265–278. [Google Scholar] [CrossRef]
- Ahmad, M.T.; Shariff, M.; Yusoff, F.M.; Goh, Y.M.; Banerjee, S. Applications of Microalga Chlorella vulgaris in Aquaculture. Rev. Aquac. 2020, 12, 328–346. [Google Scholar] [CrossRef]
- Zhang, T.; Jiang, B.; Xing, Y.; Ya, H.; Lv, M.; Wang, X. Current Status of Microplastics Pollution in the Aquatic Environment, Interaction with Other Pollutants, and Effects on Aquatic Organisms. Environ. Sci. Pollut. Res. 2022, 29, 16830–16859. [Google Scholar] [CrossRef]
- Podbielska, M.; Szpyrka, E. Microplastics—An Emerging Contaminants for Algae. Critical Review and Perspectives. Sci. Total Environ. 2023, 885, 163842. [Google Scholar] [CrossRef]
- Barreto, M.; Lopes, I.; Oliveira, M. Micro(Nano)Plastics: A Review on Their Interactions with Pharmaceuticals and Pesticides. TrAC Trends Anal. Chem. 2023, 169, 117307. [Google Scholar] [CrossRef]
- Felten, V.; Toumi, H.; Masfaraud, J.-F.; Billoir, E.; Camara, B.I.; Férard, J.-F. Microplastics Enhance Daphnia magna Sensitivity to the Pyrethroid Insecticide Deltamethrin: Effects on Life History Traits. Sci. Total Environ. 2020, 714, 136567. [Google Scholar] [CrossRef]
- Yu, H.; Peng, J.; Cao, X.; Wang, Y.; Zhang, Z.; Xu, Y.; Qi, W. Effects of Microplastics and Glyphosate on Growth Rate, Morphological Plasticity, Photosynthesis, and Oxidative Stress in the Aquatic Species Salvinia cucullata. Environ. Pollut. 2021, 279, 116900. [Google Scholar] [CrossRef]
- Varshney, S.; Gora, A.H.; Kiron, V.; Siriyappagouder, P.; Dahle, D.; Kögel, T.; Ørnsrud, R.; Olsvik, P.A. Polystyrene Nanoplastics Enhance the Toxicological Effects of DDE in Zebrafish (Danio rerio) Larvae. Sci. Total Environ. 2023, 859, 160457. [Google Scholar] [CrossRef]
- Garrido, S.; Linares, M.; Campillo, J.A.; Albentosa, M. Effect of Microplastics on the Toxicity of Chlorpyrifos to the Microalgae Isochrysis galbana, Clone t-ISO. Ecotoxicol. Environ. Saf. 2019, 173, 103–109. [Google Scholar] [CrossRef]
- Horton, A.A.; Vijver, M.G.; Lahive, E.; Spurgeon, D.J.; Svendsen, C.; Heutink, R.; van Bodegom, P.M.; Baas, J. Acute Toxicity of Organic Pesticides to Daphnia magna Is Unchanged by Co-Exposure to Polystyrene Microplastics. Ecotoxicol. Environ. Saf. 2018, 166, 26–34. [Google Scholar] [CrossRef]
- Charles, S.; Wu, D.; Ducrot, V. How to Account for the Uncertainty from Standard Toxicity Tests in Species Sensitivity Distributions: An Example in Non-Target Plants. PLoS ONE 2021, 16, e0245071. [Google Scholar] [CrossRef] [PubMed]
- Cumberland, W.N.; Fong, Y.; Yu, X.; Defawe, O.; Frahm, N.; De Rosa, S. Nonlinear Calibration Model Choice between the Four and Five-Parameter Logistic Models. J. Biopharm. Stat. 2015, 25, 972–983. [Google Scholar] [CrossRef] [PubMed]
- Zhang, P.; Yan, Z.; Lu, G.; Ji, Y. Single and Combined Effects of Microplastics and Roxithromycin on Daphnia magna. Environ. Sci. Pollut. Res. 2019, 26, 17010–17020. [Google Scholar] [CrossRef] [PubMed]
- Arreguin-Rebolledo, U.; Páez-Osuna, F.; Valencia-Castañeda, G.; Arzate-Cárdenas, M.A.; Capparelli, M.V. Combined Effects of Polymethylmethacrylate Microplastics with Arsenic and Copper on the Euryhaline Rotifer Proales Similis. Aquat. Toxicol. 2025, 279, 107214. [Google Scholar] [CrossRef]
- Barreto, A.; Santos, J.; Calisto, V.; Rocha, L.S.; Amorim, M.J.B.; Maria, V.L. Cocktail Effects of Emerging Contaminants on Zebrafish: Nanoplastics and the Pharmaceutical Diphenhydramine. NanoImpact 2023, 30, 100456. [Google Scholar] [CrossRef]
- Gholamhosseini, A.; Banaee, M.; Zeidi, A.; Multisanti, C.R.; Faggio, C. Individual and Combined Impact of Microplastics and Lead Acetate on the Freshwater Shrimp (Caridina fossarum): Biochemical Effects and Physiological Responses. J. Contam. Hydrol. 2024, 262, 104325. [Google Scholar] [CrossRef]
- Yang, F.; Chen, Z.; Zhai, X.; Yang, G.-P.; He, Z. Effects of Polyethylene Microplastics on Growth and Halocarbon Release of Marine Microalgae. Huanjing Kexue/Environ. Sci. 2023, 44, 5852–5860. [Google Scholar] [CrossRef]
- Wang, X.; Zhao, Y.; Zhao, L.; Wan, Q.; Ma, L.; Liang, J.; Li, H.; Dong, J.; Zhang, M. Effects of Microplastics on the Growth, Photosynthetic Efficiency and Nutrient Composition in Freshwater Algae Chlorella vulgaris Beij. Aquat. Toxicol. 2023, 261, 106615. [Google Scholar] [CrossRef]
- Wu, Y.; Guo, P.; Zhang, X.; Zhang, Y.; Xie, S.; Deng, J. Effect of Microplastics Exposure on the Photosynthesis System of Freshwater Algae. J. Hazard. Mater. 2019, 374, 219–227. [Google Scholar] [CrossRef]
- Li, Z.; Dong, S.; Huang, F.; Lin, L.; Hu, Z.; Zheng, Y. Toxicological Effects of Microplastics and Sulfadiazine on the Microalgae Chlamydomonas reinhardtii. Front. Microbiol. 2022, 13, 865768. [Google Scholar] [CrossRef]
- Yang, W.; Gao, P.; Li, H.; Huang, J.; Zhang, Y.; Ding, H.; Zhang, W. Mechanism of the Inhibition and Detoxification Effects of the Interaction between Nanoplastics and Microalgae Chlorella pyrenoidosa. Sci. Total Environ. 2021, 783, 146919. [Google Scholar] [CrossRef] [PubMed]
- Zhao, T.; Tan, L.; Huang, W.; Wang, J. The Interactions between Micro Polyvinyl Chloride (MPVC) and Marine Dinoflagellate Karenia mikimotoi: The Inhibition of Growth, Chlorophyll and Photosynthetic Efficiency. Environ. Pollut. 2019, 247, 883–889. [Google Scholar] [CrossRef] [PubMed]
- Wang, Y.; Zhu, X.; Lao, Y.; Lv, X.; Tao, Y.; Huang, B.; Wang, J.; Zhou, J.; Cai, Z. TiO2 Nanoparticles in the Marine Environment: Physical Effects Responsible for the Toxicity on Algae Phaeodactylum tricornutum. Sci. Total Environ. 2016, 565, 818–826. [Google Scholar] [CrossRef] [PubMed]
- Castro, B.; Citterico, M.; Kimura, S.; Stevens, D.M.; Wrzaczek, M.; Coaker, G. Stress-Induced Reactive Oxygen Species Compartmentalization, Perception and Signalling. Nat. Plants 2021, 7, 403–412. [Google Scholar] [CrossRef]
- Rezayian, M.; Niknam, V.; Ebrahimzadeh, H. Oxidative Damage and Antioxidative System in Algae. Toxicol. Rep. 2019, 6, 1309–1313. [Google Scholar] [CrossRef]
- Shams, M.; Pokora, W.; Khadivi, A.; Aksmann, A. Superoxide Dismutase in Arabidopsis and Chlamydomonas: Diversity, Localization, Regulation, and Role. Plant Soil. 2024, 503, 751–771. [Google Scholar] [CrossRef]
- Lu, T.; Zhu, Y.; Xu, J.; Ke, M.; Zhang, M.; Tan, C.; Fu, Z.; Qian, H. Evaluation of the Toxic Response Induced by Azoxystrobin in the Non-Target Green Alga Chlorella pyrenoidosa. Environ. Pollut. 2018, 234, 379–388. [Google Scholar] [CrossRef]
- Tang, Y.; Xin, H.; Yang, S.; Guo, M.; Malkoske, T.; Yin, D.; Xia, S. Environmental Risks of ZnO Nanoparticle Exposure on Microcystis aeruginosa: Toxic Effects and Environmental Feedback. Aquat. Toxicol. 2018, 204, 19–26. [Google Scholar] [CrossRef]
- Iummato, M.M.; Fassiano, A.; Graziano, M.; dos Santos Afonso, M.; Ríos de Molina, M.D.C.; Juárez, Á.B. Effect of Glyphosate on the Growth, Morphology, Ultrastructure and Metabolism of Scenedesmus vacuolatus. Ecotoxicol. Environ. Saf. 2019, 172, 471–479. [Google Scholar] [CrossRef]
- Abbasi, S.; Amiranipour, S.; Karimi, J.; Mohsenzadeh, S.; Turner, A. Impacts of Polyethylene Microplastics on the Microalga, Spirulina (Arthrospira platensis). Environ. Pollut. 2023, 327, 121611. [Google Scholar] [CrossRef] [PubMed]
- Li, X.; Luo, J.; Zeng, H.; Zhu, L.; Lu, X. Microplastics Decrease the Toxicity of Sulfamethoxazole to Marine Algae (Skeletonema costatum) at the Cellular and Molecular Levels. Sci. Total Environ. 2022, 824, 153855. [Google Scholar] [CrossRef] [PubMed]
- Senousy, H.H.; Khairy, H.M.; El-Sayed, H.S.; Sallam, E.R.; El-Sheikh, M.A.; Elshobary, M.E. Interactive Adverse Effects of Low-Density Polyethylene Microplastics on Marine Microalga Chaetoceros calcitrans. Chemosphere 2023, 311, 137182. [Google Scholar] [CrossRef] [PubMed]
- OECD. Test No. 201: Freshwater Alga and Cyanobacteria, Growth Inhibition Test; OECD Publishing: Paris, France, 2011. [Google Scholar]
- Ritz, C.; Baty, F.; Streibig, J.C.; Gerhard, D. Dose-Response Analysis Using R. PLoS ONE 2015, 10, e0146021. [Google Scholar] [CrossRef]
- Gao, Y.; Ji, L.; Feng, J.; Lv, J.; Xie, S. Effects of Combined Nitrogen Deficient and Mixotrophic (+Glucose) Culture on the Lipid Accumulation of Parachlorella kessleri TY. Water 2021, 13, 3066. [Google Scholar] [CrossRef]
- Alici, E.; Arabaci, G. Determination of SOD, POD, PPO and CAT Enzyme Activities in Rumex obtusifolius L. Annu. Res. Rev. Biol. 2016, 11, 1–7. [Google Scholar] [CrossRef]
- Das, S.; Thiagarajan, V.; Chandrasekaran, N.; Ravindran, B.; Mukherjee, A. Nanoplastics Enhance the Toxic Effects of Titanium Dioxide Nanoparticle in Freshwater Algae Scenedesmus obliquus. Comp. Biochem. Physiol. Part C Toxicol. Pharmacol. 2022, 256, 109305. [Google Scholar] [CrossRef]
- Bradford, M.M. A Rapid and Sensitive Method for the Quantitation of Microgram Quantities of Protein Utilizing the Principle of Protein-Dye Binding. Anal. Biochem. 1976, 72, 248–254. [Google Scholar] [CrossRef]







Disclaimer/Publisher’s Note: The statements, opinions and data contained in all publications are solely those of the individual author(s) and contributor(s) and not of MDPI and/or the editor(s). MDPI and/or the editor(s) disclaim responsibility for any injury to people or property resulting from any ideas, methods, instructions or products referred to in the content. |
© 2025 by the authors. Licensee MDPI, Basel, Switzerland. This article is an open access article distributed under the terms and conditions of the Creative Commons Attribution (CC BY) license (https://creativecommons.org/licenses/by/4.0/).
Share and Cite
Podbielska, M.; Kus-Liśkiewicz, M.; Płoch, D.; Szpyrka, E. Co-Exposure to Glyphosate and Polyethylene Microplastic Affects Their Toxicity to Chlorella vulgaris: Implications for Algal Health and Aquatic Risk. Molecules 2025, 30, 3972. https://doi.org/10.3390/molecules30193972
Podbielska M, Kus-Liśkiewicz M, Płoch D, Szpyrka E. Co-Exposure to Glyphosate and Polyethylene Microplastic Affects Their Toxicity to Chlorella vulgaris: Implications for Algal Health and Aquatic Risk. Molecules. 2025; 30(19):3972. https://doi.org/10.3390/molecules30193972
Chicago/Turabian StylePodbielska, Magdalena, Małgorzata Kus-Liśkiewicz, Dariusz Płoch, and Ewa Szpyrka. 2025. "Co-Exposure to Glyphosate and Polyethylene Microplastic Affects Their Toxicity to Chlorella vulgaris: Implications for Algal Health and Aquatic Risk" Molecules 30, no. 19: 3972. https://doi.org/10.3390/molecules30193972
APA StylePodbielska, M., Kus-Liśkiewicz, M., Płoch, D., & Szpyrka, E. (2025). Co-Exposure to Glyphosate and Polyethylene Microplastic Affects Their Toxicity to Chlorella vulgaris: Implications for Algal Health and Aquatic Risk. Molecules, 30(19), 3972. https://doi.org/10.3390/molecules30193972

