1,2,4-Thiadiazolidin-3,5-Diones as Inhibitors of Cysteine Proteases
Abstract
1. Introduction
2. Results and Discussion
2.1. Stability of THIA Derivatives
2.2. Inhibitory Activities of THIAs on Cysteine Proteases
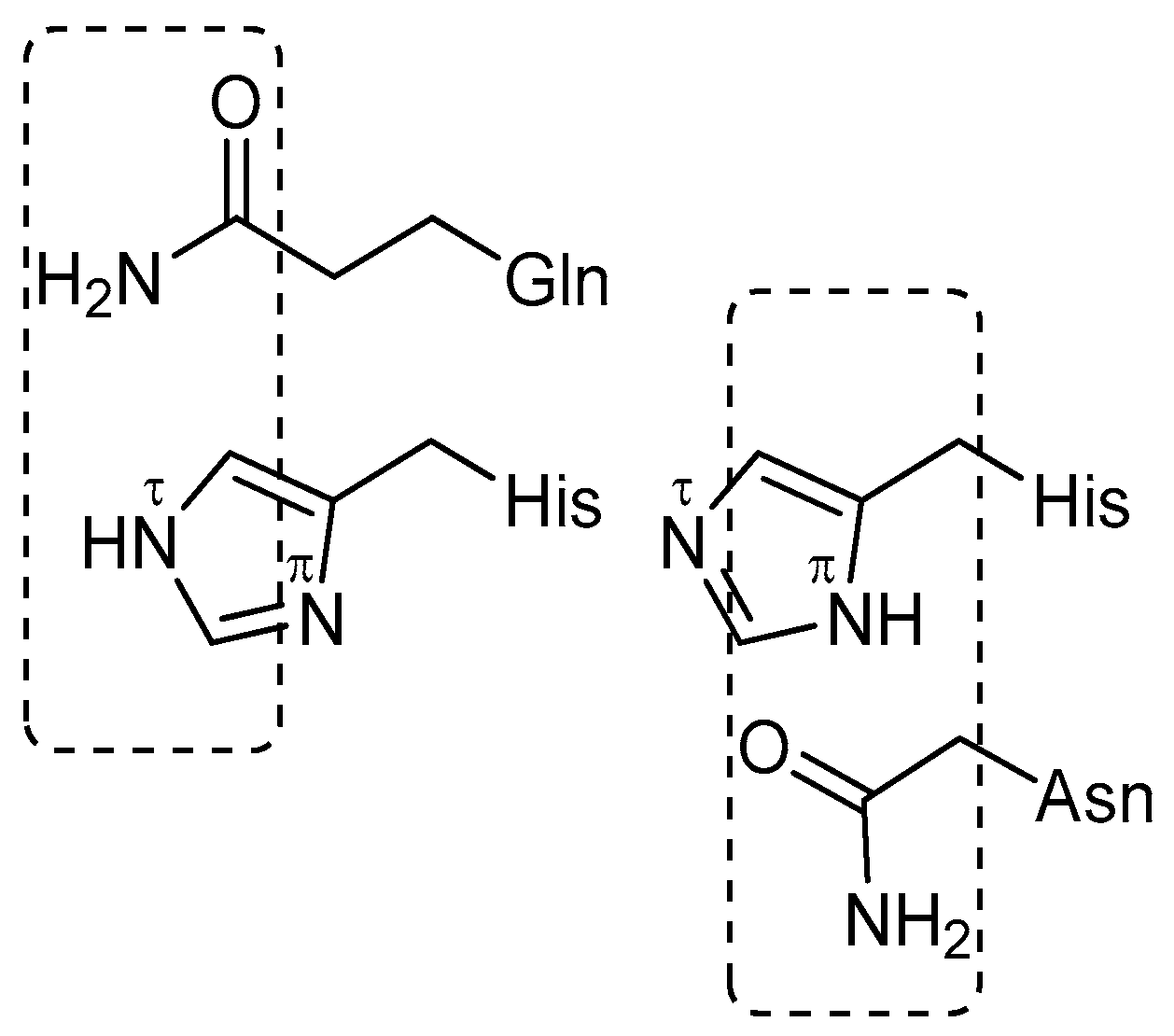
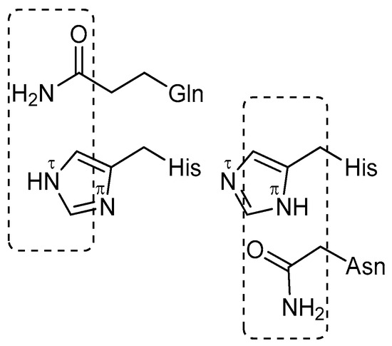
2.2.1. Selection of Substrates
2.2.2. Kinetic Mechanism of Inhibition
2.3. IC50 Values with Papain and Cathepsin L
2.4. IC50 Values with SARS-CoV-2 Cysteine Proteases
2.5. Molecular Modeling Studies
2.5.1. Ligand Analysis
2.5.2. Docking Calculations
2.5.3. Steered Molecular Dynamics Simulations
2.5.4. Investigation of the Molecular Bases of THIA Selectivity
2.5.5. Covalent Docking Simulation
3. Materials and Methods
3.1. Chemistry
3.2. Enzymes
3.2.1. Determination of IC50
3.2.2. Statistical Analysis
3.3. Molecular Modeling Studies
3.3.1. Conformational Analysis
3.3.2. Docking Studies on 3CLpro
3.3.3. Analysis of the Selected Docked Complexes
3.3.4. Steered Molecular Dynamics
3.3.5. Bioinformatics and Structural Analysis
3.3.6. Covalent Docking
4. Conclusions
5. Future Directions
Supplementary Materials
Author Contributions
Funding
Institutional Review Board Statement
Informed Consent Statement
Data Availability Statement
Conflicts of Interest
Abbreviations
| THIA | 1,2,4-thiadiazolidin-3,5-diones |
| RGS | Regulators of G protein signaling |
| SAR | Structure-activity relationships |
| 3CLpro | chymotrypsin-like cysteine protease |
| Mpro | Main protease |
| PLpro | Papain-like protease |
| DFT | Density functional theory |
| LC-MS | Liquid Chromatography Mass Spectrometry |
| FRET | Fluorescence resonance energy transfer |
| PICS | Proteomic Identification of Cleavage site Specificity |
| MM | Molecular Mechanics |
| C-PCM | Conductor-like polarizable continuum model |
| LUMO | Lowest unoccupied molecular orbital |
| NBO | Natural bond orbital |
| PDB | Protein Data Bank |
| ΔEGM | Energy difference from the global minimum |
| SASA | Solvent accessible surface area |
| SMD | Steered Molecular Dynamics |
References
- Martinez, A.; Alonso, M.; Castro, A.; Dorronsoro, I.; Gelpí, J.L.; Luque, F.J.; Pérez, C.; Moreno, F.J. SAR and 3D-QSAR studies on thiadiazolidinone derivatives: Exploration of structural requirements for glycogen synthase kinase 3 inhibitors. J. Med. Chem. 2005, 48, 7103–7112. [Google Scholar] [CrossRef] [PubMed]
- Turner, E.M.; Blazer, L.L.; Neubig, R.R.; Husbands, S.M. Small Molecule Inhibitors of Regulator of G Protein Signalling (RGS) Proteins. ACS Med. Chem. Lett. 2012, 9, 146–150. [Google Scholar] [CrossRef] [PubMed]
- Severino, B.; Corvino, A.; Fiorino, F.; Luciano, P.; Frecentese, F.; Magli, E.; Saccone, P.; Di Vaio, I.; Citi, V.; Calderone, V.; et al. 1,2,4-Thiadiazolidin-3,5-diones as novel hydrogen sulfide donors. Eur. J. Med. Chem. 2018, 143, 1677–1686. [Google Scholar] [CrossRef] [PubMed]
- Blazer, L.L.; Zhang, H.; Casey, E.M.; Husbands, S.M.; Neubig, R.R. A nanomolar-potency small molecule inhibitor of regulator of G-protein signaling proteins. Biochemistry 2011, 50, 3181–3192. [Google Scholar] [CrossRef]
- Schechter, I.; Berger, I.A. On the size of the active site in proteases. I. Papain. Biochem. Biophys. Res. Commun. 2012, 425, 497–502. [Google Scholar] [CrossRef]
- St Hilaire, P.M.; Willert, M.; Juliano, M.A.; Juliano, L.; Meldal, M. Fluorescence-Quenched Solid Phase Combinatorial Libraries in the Characterization of Cysteine Protease Substrate Specificity. J. Comb. Chem. 1999, 1, 509–523. [Google Scholar] [CrossRef]
- Turk, D.; Guncar, G.; Podobnik, M.; Turk, B. Revised definition of substrate binding sites of papain-like cysteine proteases. Biol. Chem. 1998, 379, 137–147. [Google Scholar] [CrossRef]
- Choe, Y.; Leonetti, F.; Greenbaum, D.C.; Lecaille, F.; Bogyo, M.; Brömme, D.; Ellman, J.A.; Craik, C.S. Substrate Profiling of Cysteine Proteases Using a Combinatorial Peptide Library Identifies Functionally Unique Specificities. J. Biol. Chem. 2006, 281, 12824–12832. [Google Scholar] [CrossRef]
- Gosalia, D.N.; Salisbury, C.M.; Ellman, J.A.; Diamond, S.L. High throughput substrate specificity profiling of serine and cysteine proteases using solution-phase fluorogenic peptide microarrays. Mol. Cell. Proteom. 2005, 4, 626–636. [Google Scholar] [CrossRef]
- Alves, L.C.; Melo, R.L.; Sanderson, S.J.; Mottram, J.C.; Coombs, G.H.; Caliendo, G.; Santagada, V.; Juliano, L.; Juliano, M.A. S1 subsite specificity of a recombinant cysteine proteinase, CPB, of Leishmania mexicana compared with cruzain, human cathepsin L and Papain using substrates containing non-natural basic amino acids. Eur. J. Biochem. 2001, 268, 1206–1212. [Google Scholar] [CrossRef]
- Fujishima, A.; Imai, Y.; Nomura, T.; Fujisawa, Y.; Yamamoto, Y.; Sugawara, T. The crystal structure of human cathepsin L complexed with E-64. FEBS Lett. 1997, 407, 47–50. [Google Scholar] [CrossRef] [PubMed]
- Varughese, K.I.; Ahmed, F.R.; Carey, P.R.; Hasnain, S.; Huber, C.P.; Stored, A.C. Crystal Structure of a Papain-E-64 Complex. Biochemistry 1989, 28, 1330–1332. [Google Scholar] [CrossRef] [PubMed]
- Tsuge, H.; Nishimura, T.; Tada, Y.; Asao, T.; Turk, D.; Turk, V.; Katunuma, N. Inhibition Mechanism of Cathepsin L-Specific Inhibitors Based on the Crystal Structure of Papain–CLIK148 Complex. Biochem. Biophys. Res. Commun. 1999, 266, 411–416. [Google Scholar] [CrossRef] [PubMed]
- Gour-Salin, B.J.; Lachance, P.; Magny, M.C.; Plouffe, C.; Ménard, R.; Storer, A.C. E64 [trans-epoxysuccinyl-L-leucylamido-(4-guanidino)butane] analogues as inhibitors of cysteine proteinases: Investigation of S2 subsite interactions. Biochem. J. 1994, 299 Pt 2, 389–392. [Google Scholar] [CrossRef][Green Version]
- Coulombe, R.; Grochulski, P.; Sivaraman, J.; Ménard, R.; Mort, J.S.; Cygler, M. Structure of human procathepsin L reveals the molecular basis of Inhibition by the prosegment. EMBO J. 1996, 15, 5492–5503. [Google Scholar] [CrossRef]
- Okamoto, D.N.; Oliveira, L.C.; Kondo, M.Y.; Cezari, M.H.; Szeltner, Z.; Juhász, T.; Juliano, M.A.; Polgár, L.; Juliano, L.; Gouvea, I.E. Increase of SARS-CoV 3CL peptidase activity due to macromolecular crowding effects in the milieu composition. Biol. Chem. 2010, 391, 1461–1468. [Google Scholar] [CrossRef]
- Zhang, L.; Lin, D.; Sun, X.; Curth, U.; Drosten, C.; Sauerhering, L.; Becker, S.; Rox, K.; Hilgenfeld, R. Crystal structure of SARS-CoV-2 main protease provides a basis for design of improved alpha-ketoamide inhibitors. Science 2020, 368, 409–412. [Google Scholar] [CrossRef]
- Konno, S.; Kobayashi, K.; Senda, M.; Funai, Y.; Seki, Y.; Tamai, I.; Schäkel, L.; Sakata, K.; Pillaiyar, T.; Taguch, A.; et al. 3CL Protease inhibitors with an electrophilic arylketone moiety as anti-SARS-CoV-2 agents. J. Med. Chem. 2022, 65, 2926–2939. [Google Scholar] [CrossRef]
- Kitamura, N.; Sacco, M.D.; Ma, C.; Hu, Y.; Townsend, J.A.; Meng, X.; Zhang, F.; Zhang, X.; Ba, M.; Szeto, T.; et al. Expedited Approach toward the Rational Design of Noncovalent SARS-CoV-2 Main Protease Inhibitors. J. Med. Chem. 2022, 65, 2848–2865. [Google Scholar] [CrossRef]
- Kneller, D.W.; Phillips, G.; O’Neill, H.M.; Tan, K.; Joachimiak, A.; Coates, L.; Kovalevsky, A. Room-temperature X-ray crystallography reveals the oxidation and reactivity of cysteine residues in SARS-CoV-2 3CL Mpro: Insights into enzyme mechanism and drug design. IUCrJ. 2020, 7 Pt 6, 1028–1035. [Google Scholar] [CrossRef]
- Kneller, D.W.; Phillips, G.; O’Neill, H.M.; Jedrzejczak, R.; Stols, L.; Langan, P.; Joachimiak, A.; Coates, L.; Kovalevsky, A. Structural plasticity of SARS-CoV-2 3CL Mpro active site cavity revealed by room temperature X-ray crystallography. Nat. Commun. 2020, 11, 3202. [Google Scholar] [CrossRef]
- Barretto, N.; Jukneliene, D.; Ratia, K.; Chen, Z.; Mesecar, A.D.; Baker, S.C. The papain-like protease of severe acute respiratory syndrome coronavirus has deubiquitinating activity. J. Virol. 2005, 79, 15189–15198. [Google Scholar] [CrossRef] [PubMed]
- Ratia, K.; Pegan, S.; Takayama, J.; Sleeman, K.; Coughlin, M.; Baliji, S.; Chaudhuri, R.; Fu, W.; Prabhakar, B.S.; Johnson, M.E.; et al. A noncovalent class of papain-like protease/deubiquitinase inhibitors blocks SARS virus replication. Proc. Natl. Acad. Sci. USA 2008, 105, 16119–16124. [Google Scholar] [CrossRef] [PubMed]
- Chou, C.-Y.; Lai, H.-Y.; Chen, H.-Y.; Cheng, S.-C.; Cheng, K.-W.; Chou, Y.-W. Structural basis for catalysis and ubiquitin recognition by the severe acute respiratory syndrome coronavirus papain-like protease. Acta Crystallogr. D Biol. Crystallogr. 2014, 70 Pt 2, 572–581. [Google Scholar] [CrossRef]
- Rut, W.; Lv, Z.; Zmudzinski, M.; Patchett, S.; Nayak, D.; Snipas, S.J.; El Oualid, F.; Huang, T.T.; Bekes, M.; Drag, M.; et al. Activity profiling and crystal structures of inhibitorbound SARS-CoV-2 papain-like protease: A framework for anti–COVID-19 drug design. Sci. Adv. 2020, 6, eabd4596. [Google Scholar] [CrossRef]
- Baez-Santos, Y.M.; St. John, S.E.; Mesecar, A.D. The SARS-coronavirus papain-like protease: Structure, function and Inhibition by designed antiviral compounds. Antivir. Res. 2015, 115, 21–38. [Google Scholar] [CrossRef]
- Lv, Z.; Cano, K.E.; Jia, L.; Drag, M.; Huang, T.T.; Olsen, S.K. Targeting SARS-CoV-2 Proteases for COVID-19 Antiviral Development. Front. Chem. 2022, 9, 819165. [Google Scholar] [CrossRef]
- Tashrifi, Z.; Khanaposhtani, M.M.; Larijani, B.; Mahdav, M. Dimethyl Sulfoxide: Yesterday’s Solvent, Today’s Reagent. Adv. Synth. Catal. 2019, 361, 65–86. [Google Scholar] [CrossRef]
- Korkmaz, B.; Attucci, S.; Juliano, M.A.; Kalupov, T.; Jourdan, M.L.; Juliano, L.; Gauthier, F. Measuring elastase, proteinase 3 and cathepsin G activities at the surface of human neutrophils with fluorescence resonance energy transfer substrate. Nat. Protoc. 2008, 3, 991–1000. [Google Scholar] [CrossRef]
- Niesor, E.J.; Boivin, G.; Rhéaume, E.; Shi, R.; Lavoie, V.; Goyette, N.; Picard, M.E.; Perez, A.; Thode, F.L.; Tardif, J.C. Inhibition of the 3CL Protease and SARS-CoV-2 Replication by Dalcetrapib. ACS Omega 2021, 6, 16584–16591. [Google Scholar] [CrossRef]
- Baici, A.; Schenker, P.; Wächter, M.; Rüedi, P. 3-Fluoro-2,4-dioxa-3-phosphadecalins as inhibitors of acetylcholinesterase. A reappraisal of kinetic mechanisms and diagnostic methods. Chem. Biodivers. 2009, 6, 261–282. [Google Scholar] [CrossRef]
- Portaro, F.C.; Santos, A.B.; Cezar, M.H.; Juliano, M.A.; Juliano, L.; Carmona, E. Probing the specificity of cysteine proteinases at subsites remote from the active site analysis of P4, P3, P2′ and P3′ variations in extended substrates. Biochem. J. 2000, 347 Pt 1, 123–129. [Google Scholar] [CrossRef]
- Abeles, R.H.; Alston, T.A. Enzyme inhibition by fluoro compounds. J. Biol. Chem. 1990, 265, 16705–16708. [Google Scholar] [CrossRef] [PubMed]
- Böhm, H.J.; Banner, D.; Bendels, S.; Kansy, M.; Kuhn, B.; Müller, K.; Obst-Sander, U.; Stahl, M. Fluorine in medicinal chemistry. Chembiochem 2004, 5, 637–643. [Google Scholar] [CrossRef] [PubMed]
- Olsen, J.A.; Banner, D.W.; Seiler, P.; Obst Sander, U.; D’Arcy, A.; Stihle, M.; Müller, K.; Diederich, F. A fluorine scan of thrombin inhibitors to map the fluorophilicity/fluorophobicity of an enzyme active site: Evidence for C-F…C=O interactions. Angew. Chem. Int. Ed. Eng. 2003, 42, 2507–2511. [Google Scholar] [CrossRef] [PubMed]
- Azarkan, M.; Maquoi, E.; Delbrassine, F.; Herman, R.; M’Rabet, N.; Esposito, R.C.; Charlier, P.; Kerff, F. Structures of the free and inhibitors-bound forms of Bromelain and ananain from Ananas comosus stem and in vitro study of their cytotoxicity. Sci. Rep. 2020, 10, 19570. [Google Scholar] [CrossRef]
- Barrett, A.J.; Kembhavi, A.A.; Brown, M.A.; Kirschke, H.; Knight, C.G.; Tamai, M.; Hanada, K. L-trans-Epoxysuccinyl-leucylamido(4-guanidino)butane (E-64) and its analogues as inhibitors of cysteine proteinases including cathepsins B, H and L. Biochem. J. 1982, 201, 189–198. [Google Scholar] [CrossRef]
- Jesus, H.C.R.; Solis, N.; Machado, Y.; Pablos, I.; Bell, P.A.; Kappelhoff, R.; Grin, P.M.; Sorgi, C.A.; Butler, G.S.; Overall, C.M. Optimization of quenched fluorescent peptide substrates of SARS-CoV-2 3CLpro main protease (Mpro) from proteomic identification of P6-P6′ active site specificity. J. Virol. 2024, 98, e0004924. [Google Scholar] [CrossRef]
- Osipiuk, J.; Azizi, S.A.; Dvorkin, S.; Endres, M.; Jedrzejczak, R.; Jones, K.A.; Kang, S.; Kathayat, R.S.; Kim, Y.; Lisnyak, V.G.; et al. Structure of papain-like protease from SARS-CoV-2 and its complexes with noncovalent inhibitors. Nat. Commun. 2021, 12, 743. [Google Scholar] [CrossRef]
- Nicholls, A.; Honig, B.A. Rapid Finite Difference Algorithm, Utilizing Successive Over-Relaxation to Solve Poisson-Boltzmann Equations. J. Comp. Chem. 1991, 12, 435–445. [Google Scholar] [CrossRef]
- Cossi, M.; Rega, N.; Scalmani, G.; Barone, V. Energies, structures, and electronic properties of molecules in solution with the C-PCM solvation model. J. Comp. Chem. 2003, 24, 669–681. [Google Scholar] [CrossRef]
- Ren, P.; Li, H.; Nie, T.; Jian, X.; Yu, C.; Li, J.; Su, H.; Zhang, X.; Li, S.; Yang, X.; et al. Discovery and Mechanism Study of SARS-CoV-2 3C-like Protease Inhibitors with a New Reactive Group. J. Med. Chem. 2023, 66, 12266–12283. [Google Scholar] [CrossRef]
- Venkatachalam, C.M.; Jiang, X.; Oldfield, T.; Waldman, M. LigandFit: A novel method for the shape-directed rapid docking of ligands to protein active sites. J. Mol. Graph. Model. 2003, 21, 289–307. [Google Scholar] [CrossRef] [PubMed]
- Świderek, K.; Moliner, V. Revealing the molecular mechanisms of proteolysis of SARS-CoV-2 Mpro by QM/MM computational methods. Chem Sci. 2020, 11, 10626–10630. [Google Scholar] [CrossRef] [PubMed]
- Hu, Q.; Xiong, Y.; Zhu, G.H.; Zhang, Y.N.; Zhang, Y.W.; Huang, P.; Ge, G.B. The SARS-CoV-2 main protease (Mpro): Structure, function, and emerging therapies for COVID-19. MedComm 2020, 3, e151. [Google Scholar] [CrossRef]
- Cho, E.; Rosa, M.; Anjum, R.; Mehmood, S.; Soban, M.; Mujtaba, M.; Bux, K.; Moin, S.T.; Tanweer, M.; Dantu, S.; et al. Dynamic Profiling of β-Coronavirus 3CL Mpro Protease Ligand-Binding Sites. J. Chem. Inf. Model. 2021, 61, 3058–3073. [Google Scholar] [CrossRef]
- Lodola, A.; Branduardi, D.; De Vivo, M.; Capoferri, L.; Mor, M.; Piomelli, D.; Cavalli, A. A catalytic mechanism for cysteine N-terminal nucleophile hydrolases, as revealed by free energy simulations. PLoS ONE 2012, 7, e32397. [Google Scholar] [CrossRef]
- Arafet, K.; Ferrer, S.; González, F.V.; Moliner, V. Quantum mechanics/molecular mechanics studies of the mechanism of cysteine protease inhibition by peptidyl-2,3-epoxyketones. Phys. Chem. Chem. Phys. 2017, 19, 12740–12748. [Google Scholar] [CrossRef]
- Bissantz, C.; Kuhn, B.; Stahl, M. A medicinal chemist’s guide to molecular interactions. J. Med. Chem. 2010, 53, 5061–5084. [Google Scholar] [CrossRef]
- Okimoto, N.; Suenaga, A.; Taiji, M. Evaluation of Protein-Ligand Affinity Prediction Using Steered Molecular Dynamics Simulations. J. Biomol. Struct. Dyn. 2017, 35, 3221–3231. [Google Scholar] [CrossRef]
- Hu, X.; Hu, S.; Wang, J.; Dong, Y.; Zhang, L.; Dong, Y. Steered Molecular Dynamics for Studying Ligand Unbinding of Ecdysone Receptor. J. Biomol. Struct. Dyn. 2018, 36, 3819–3828. [Google Scholar] [CrossRef]
- Patel, J.S.; Berteotti, A.; Ronsisvalle, S.; Rocchia, W.; Cavalli, A. Steered Molecular Dynamics Simulations for Studying Protein-Ligand Interaction in Cyclin-Dependent Kinase 5. J. Chem. Inf. Model. 2014, 54, 470–480. [Google Scholar] [CrossRef] [PubMed]
- Lee, E.; Rauscher, S. The Conformational Space of the SARS-CoV-2 Main Protease Active Site Loops Is Determined by Ligand Binding and Interprotomer Allostery. Biochemistry 2025, 64, 32–46. [Google Scholar] [CrossRef] [PubMed]
- Ullrich, S.; Nitsche, C. SARS-CoV-2 Papain-Like Protease: Structure, Function and Inhibition. Chembiochem 2022, 23, e202200327. [Google Scholar] [CrossRef] [PubMed]
- Fu, Z.; Huang, B.; Tang, J.; Liu, S.; Liu, M.; Ye, Y.; Liu, Z.; Xiong, Y.; Zhu, W.; Cao, D.; et al. The complex structure of GRL0617 and SARS-CoV-2 PLpro reveals a hot spot for antiviral drug discovery. Nat. Commun. 2021, 12, 488. [Google Scholar] [CrossRef]
- Shao, Q.; Xiong, M.; Li, J.; Hu, H.; Su, H.; Xu, Y. Unraveling the catalytic mechanism of SARS-CoV-2 papain-like protease with allosteric modulation of C270 mutation using multiscale computational approaches. Chem. Sci. 2023, 14, 4681–4696. [Google Scholar] [CrossRef]
- Biniossek, M.L.; Nägler, D.K.; Becker-Pauly, C.; Schilling, O. Proteomic identification of protease cleavage sites characterizes prime and non-prime specificity of cysteine cathepsins B, L, and S. J. Proteome Res. 2011, 10, 5363–5373. [Google Scholar] [CrossRef]
- Morris, G.M.; Huey, R.; Lindstrom, W.; Sanner, M.F.; Belew, R.K.; Goodsell, D.S.; Olson, A.J. AutoDock4 and AutoDockTools4: Automated docking with selective receptor flexibility. J. Comput. Chem. 2009, 30, 2785–2791. [Google Scholar] [CrossRef]
- Kim, M.J.; Yamamoto, D.; Matsumoto, K.; Inoue, M.; Ishida, T.; Mizuno, H.; Sumiya, S.; Kitamura, K. Crystal structure of papain-E64-c complex. Binding diversity of E64-c to papain S2 and S3 subsites. Biochem. J. 1992, 287 Pt 3, 797–803. [Google Scholar] [CrossRef]
- Xie, X.; Lan, Q.; Zhao, J.; Zhang, S.; Liu, L.; Zhang, Y.; Xu, W.; Shao, M.; Peng, J.; Xia, S.; et al. Structure-based design of pan-coronavirus inhibitors targeting host cathepsin L and calpain-1. Sig. Transduct. Target Ther. 2024, 9, 54. [Google Scholar] [CrossRef]
- Li, Q.; Wang, H.; Yang, W.L.; Yang, J.K. An approach combining deep learning and molecule docking for drug discovery of cathepsin L. Expert Opin. Drug Discov. 2023, 18, 347–356. [Google Scholar] [CrossRef]
- Ehmke, V.; Winkler, E.; Banner, D.W.; Haap, W.; Schweizer, W.B.; Rottmann, M.; Kaiser, M.; Freymond, C.; Schirmeister, T.; Diederich, F. Optimization of triazine nitriles as rhodesain inhibitors: Structure-activity relationships, bioisosteric imidazopyridine nitriles, and X-ray crystal structure analysis with human cathepsin L. ChemMedChem 2013, 8, 967–975. [Google Scholar] [CrossRef] [PubMed]
- Falke, S.; Lieske, J.; Herrmann, A.; Loboda, J.; Karničar, K.; Günther, S.; Reinke, P.Y.A.; Ewert, W.; Usenik, A.; Lindič, N.; et al. Structural Elucidation and Antiviral Activity of Covalent Cathepsin L Inhibitors. J. Med. Chem. 2024, 67, 7048–7067. [Google Scholar] [CrossRef]
- Linnevers, C.J.; McGrath, M.E.; Armstrong, R.; Mistry, F.R.; Barnes, M.G.; Klaus, J.L.; Palmer, J.T.; Klatz, B.A.; Bromme, D. Expression of human cathepsin K in Pichia pastoris and preliminary crystallographic studies of an inhibitor complex. Protein Sci. 1997, 6, 919–921. [Google Scholar] [CrossRef]
- Cunha, R.L.O.R.; Urano, M.E.; Chagas, J.R.; Almeida, P.C.; Bincoletto, C.; Tersariol, I.L.S.; Comasseto, J.V. Tellurium-based cysteine protease inhibitors: Evaluation of novel organotellurium(IV) compounds as inhibitors of human cathepsin B. Bioorg. Med. Chem. Lett. 2005, 15, 755–760. [Google Scholar] [CrossRef]
- van de Plassche, M.A.T.; Barniol-Xicota, M.; Verhelst, S.H.L. Peptidyl Acyloxymethyl Ketones as Activity-Based Probes for the Main Protease of SARS- CoV-2. ChemBioChem 2020, 21, 3383–3388. [Google Scholar] [CrossRef]
- Puhl, A.C.; Gomes, G.F.; Damasceno, S.; Godoy, A.S.; Noske, G.D.; Nakamura, A.M.; Gawriljuk, V.O.; Fernandes, R.S.; Monakhova, N.; Riabova, O.; et al. Pyronaridine Protects against SARS-CoV-2 Infection in Mouse. ACS Inf. Dis. 2022, 8, 1147–1160. [Google Scholar] [CrossRef]
- Fuzo, C.A.; Martins, R.B.; Fraga-Silva, T.F.C.; Amstalden, M.K.; DeLeo, T.C.; Souza, J.P.; Lima, T.M.; Faccioli, L.H.; Okamoto, D.N.; Juliano, M.A.; et al. Celastrol: A lead compound that inhibits SARS-CoV-2 replication, the activity of viral and human cysteine proteases, and virus-induced IL-6 secretion. Drug Dev. Res. 2022, 83, 1623–1640. [Google Scholar] [CrossRef]
- Ewig, C.S.; Berry, R.; Dinur, U.; Hill, J.R.; Hwang, M.J.; Li, H.; Liang, C.; Maple, J.; Peng, Z.; Stockfisch, T.P.; et al. Derivation of class II force fields. VIII. Derivation of a general quantum mechanical force field for organic compounds. J. Comput. Chem. 2001, 22, 1782–1800. [Google Scholar] [CrossRef]
- Fletcher, R. Unconstrained optimization. In Practical Methods of Optimization, 1st ed.; John Wiley & Sons Ltd.: New York, NY, USA, 1980; Volume 1, pp. 1–128. ISBN 978-0471277118. [Google Scholar]
- Frisch, M.J.; Trucks, G.W.; Schlegel, H.B.; Scuseria, G.E.; Robb, M.A.; Cheeseman, J.R.; Scalmani, G.; Barone, V.; Petersson, G.A.; Nakatsuji, H.; et al. Gaussian 16, Revision C.01; Gaussian, Inc.: Wallingford, CT, USA, 2016. [Google Scholar]
- Reed, E.; Weinstock, R.B.; Weinhold, F. Natural Population Analysis. J. Chem. Phys. 1985, 83, 735–746. [Google Scholar] [CrossRef]
- Hattori, S.I.; Higashi-Kuwata, N.; Hayashi, H.; Allu, S.R.; Raghavaiah, J.; Bulut, H.; Das, D.; Anson, B.J.; Lendy, E.K.; Takamatsu, Y.; et al. A small molecule compound with an indole moiety inhibits the main protease of SARS-CoV-2 and blocks virus replication. Nat. Commun. 2021, 12, 668. [Google Scholar] [CrossRef] [PubMed]
- Jaskolski, M.; Dauter, Z.; Shabalin, I.G.; Gilski, M.; Brzezinski, D.; Kowiel, M.; Rupp, B.; Wlodawer, A. Crystallographic models of SARS-CoV-2 3CLpro: In-depth assessment of structure quality and validation. IUCrJ 2021, 8 Pt 2, 238–256. [Google Scholar] [CrossRef] [PubMed]
- Laskowski, R.A.; MacArthur, M.W.; Moss, D.S.; Thornton, J.M. PROCHECK: A program to check the stereochemical quality of protein structures. J. Appl. Crystallogr. 1993, 26, 283–291. [Google Scholar] [CrossRef]
- Jorgensen, W.L.; Chandrasekhar, J.; Madura, J.D.; Impey, R.W.; Klein, M.L. Comparison of Simple Potential Functions for Simulating Liquid Water. J. Chem. Phys. 1983, 79, 926–935. [Google Scholar] [CrossRef]
- Vanommeslaeghe, K.; Hatcher, E.; Acharya, C.; Kundu, S.; Zhong, S.; Shim, J.E.; Darian, E.; Guvench, O.; Lopes, P.; Vorobyov, I.; et al. CHARMM General Force Field (CGenFF): A force field for drug-like molecules compatible with the CHARMM all-atom additive biological force fields. J. Comput. Chem. 2010, 31, 671–690. [Google Scholar] [CrossRef]
- Hoover, W.G. Canonical Dynamics: Equilibrium Phase-Space Distributions. Phys. Rev. A 1985, 31, 1695–1697. [Google Scholar] [CrossRef]
- Feller, S.E.; Zhang, Y.; Pastor, R.W.; Brooks, B.R. Constant Pressure Molecular Dynamics Simulation: The Langevin Piston Method. J. Chem. Phys. 1995, 103, 4613–4621. [Google Scholar] [CrossRef]
- Ryckaert, J.P.; Ciccotti, G.; Berendsen, H.J.C. Numerical Integration of the Cartesian Equations of Motion of a System with Constraints: Molecular Dynamics of n-Alkanes. J. Comput. Phys. 1977, 23, 327–341. [Google Scholar] [CrossRef]
- Darden, T.; York, D.; Pedersen, L. Particle Mesh Ewald: An N·log(N) Method for Ewald Sums in Large Systems. J. Chem. Phys. 1993, 98, 10089–10092. [Google Scholar] [CrossRef]
- Maple, J.R.; Hwang, M.J.; Stockfisch, T.P.; Dinur, U.; Waldman, M.; Ewig, C.S.; Hagler, A.T. Derivation of Class II Force Fields. I. Methodology and Quantum Force Field for the Alkyl Functional Group and Alkane Molecules. J. Comput. Chem. 1994, 15, 162–182. [Google Scholar] [CrossRef]
- Thompson, J.D.; Higgins, D.G.; Gibson, T.J. CLUSTAL W: Improving the sensitivity of progressive multiple sequence alignment through sequence weighting, position-specific gap penalties and weight matrix choice. Nucl. Acids Res. 1994, 22, 4673–4680. [Google Scholar] [CrossRef] [PubMed]
- Zoete, V.; Cuendet, M.A.; Grosdidier, A.; Michielin, O. SwissParam: A fast force field generation tool for small organic molecules. J. Comput. Chem. 2011, 32, 2359–2368. [Google Scholar] [CrossRef] [PubMed]
- Dodda, L.S.; de Vaca, I.C.; Tirado-Rives, J.; Jorgensen, W.L. LigParGen web server: An automatic OPLS-AA parameter generator for organic ligands. Nucleic Acids Res. 2017, 45, W331–W336. [Google Scholar] [CrossRef] [PubMed]
- Bianco, G.; Forli, S.; Goodsell, D.S.; Olson, A.J. Covalent docking using autodock: Two-point attractor and flexible side chain methods. Protein Sci. 2016, 25, 295–301. [Google Scholar] [CrossRef]
- Emsley, P.; Lohkamp, B.; Scott, W.G.; Cowtan, K. Features and development of Coot. Acta Crystallogr. D Biol. Crystallogr. 2010, 66 Pt 4, 486–501. [Google Scholar] [CrossRef]
- Cianni, L.; Feldmann, C.W.; Gilberg, E.; Gütschow, M.; Juliano, L.; Leitão, A.; Bajorath, J.; Montanari, C.A. Can Cysteine Protease Cross-Class Inhibitors Achieve Selectivity? J. Med. Chem. 2019, 62, 10497–10525. [Google Scholar] [CrossRef]



















![]() | ||
|---|---|---|
| Compounds | R | X |
| THIA-1 | ![]() | -H |
| THIA-2 | ![]() | -OCH3 |
| THIA-3 | ![]() | -H |
| THIA-4 | ![]() | -OCH3 |
| THIA-5 | ![]() | -OCH3 |
| THIA-6 | ![]() | -OCH3 |
| THIA-7 | ![]() | -OCH3 |
| THIA-8 | ![]() | -OCH3 |
| THIA-9 | ![]() | -CH3 |
| THIA-10 | ![]() | -F |
| Inhibitors | Papain (μM) | Cathepsin L (μM) | 3CLpro (μM) | PLpro (μM) |
|---|---|---|---|---|
| THIA-1 | 2.16 ± 0.09 | 14 ± 1 | 0.13 ± 0.01 | 25 ± 3 |
| THIA-2 | 1.28 ± 0.07 | 21 ± 2 | 0.12 ± 0.01 | 8.3 ± 0.8 |
| THIA-3 | 0.14 ± 0.02 | 0.12 ± 0.01 | 0.11 ± 0.01 | 8.5 ± 0.2 |
| THIA-4 | 0.071 ± 0.006 | 0.40 ± 0.05 | 0.13 ± 0.01 | 7.6 ± 0.9 |
| THIA-5 | 0.102 ± 0.003 | 0.15 ± 0.01 | 0.09 ± 0.01 | 3.9 ± 0.7 |
| THIA-6 | 0.010 ± 0.001 | 0.35 ± 0.02 | 0.03 ± 0.01 | 12.5 ± 0.9 |
| THIA-7 | 0.13 ± 0.01 | 0.42 ± 0.05 | 0.01 ± 0.01 | 14.4 ± 0.7 |
| THIA-8 | 2.4 ± 0.1 | 27 ± 2 | 0.19 ± 0.01 | 4.2 ± 0.1 |
| THIA-9 | 0.11 ± 0.01 | 0.21 ± 0.01 | 0.16 ± 0.08 | 10.4 ± 0.4 |
| THIA-10 | 0.011 ± 0.001 | 0.33 ± 0.03 | 0.02 ± 0.01 | 10 ± 1 |
| Cmp | DFT Conformer | ELUMO (kcal/mol) |
|---|---|---|
| THIA-7 | 1 A/B | −23.02 |
| THIA-10 | 1 A | −22.95 |
| THIA-3 | 1 A | −22.71 |
| THIA-9 | 1 A | −22.53 |
| THIA-4 | 1 A/B | −22.40 |
| THIA-5 | 1 A/B | −22.02 |
| THIA-6 | 1 A/B 2 A/B | −21.83 −21.82 |
| THIA-8 | 1 A/B 2 A/B | −20.41 −20.94 |
| THIA-1 | 1 A/B | −20.68 |
| THIA-2 | 1 A/B 2 A/B | −19.99 −19.82 |
| Complex | IC50 (3CLpro; μM) | Nonbonded Interaction Energies (kcal/mol) | Dist S1-SCys | DFT Conformer | ELUMO (kcal/mol) |
|---|---|---|---|---|---|
| THIA-2/3CLpro | 0.12 ± 0.01 | −37.77 | 3.43 | 1B | −19.82 |
| THIA-8/3CLpro | 0.19 ± 0.01 | −33.28 | 3.19 | 2B | −20.94 |
| THIA-7/3CLpro | 0.01 ± 0.01 | −31.07 | 3.34 | 1B | −23.02 |
| THIA-4/3CLpro | 0.13 ± 0.01 | −30.06 | 3.39 | 1B | −22.40 |
| THIA-10/3CLpro | 0.02 ± 0.01 | −25.50 | 3.05 | 1A | −22.95 |
Disclaimer/Publisher’s Note: The statements, opinions and data contained in all publications are solely those of the individual author(s) and contributor(s) and not of MDPI and/or the editor(s). MDPI and/or the editor(s) disclaim responsibility for any injury to people or property resulting from any ideas, methods, instructions or products referred to in the content. |
© 2025 by the authors. Licensee MDPI, Basel, Switzerland. This article is an open access article distributed under the terms and conditions of the Creative Commons Attribution (CC BY) license (https://creativecommons.org/licenses/by/4.0/).
Share and Cite
Juliano, M.A.; Persico, M.; Severino, B.; Tumbarello, G.; Okamoto, D.; Fernandes, K.R.; Trigo, G.; Tanaka, A.S.; Lacerda, J.T.; Tkachuck, O.; et al. 1,2,4-Thiadiazolidin-3,5-Diones as Inhibitors of Cysteine Proteases. Molecules 2025, 30, 3896. https://doi.org/10.3390/molecules30193896
Juliano MA, Persico M, Severino B, Tumbarello G, Okamoto D, Fernandes KR, Trigo G, Tanaka AS, Lacerda JT, Tkachuck O, et al. 1,2,4-Thiadiazolidin-3,5-Diones as Inhibitors of Cysteine Proteases. Molecules. 2025; 30(19):3896. https://doi.org/10.3390/molecules30193896
Chicago/Turabian StyleJuliano, Maria Aparecida, Marco Persico, Beatrice Severino, Giuseppe Tumbarello, Debora Okamoto, Karolina Rosa Fernandes, Gabriel Trigo, Aparecida Sadae Tanaka, José Thalles Lacerda, Oleh Tkachuck, and et al. 2025. "1,2,4-Thiadiazolidin-3,5-Diones as Inhibitors of Cysteine Proteases" Molecules 30, no. 19: 3896. https://doi.org/10.3390/molecules30193896
APA StyleJuliano, M. A., Persico, M., Severino, B., Tumbarello, G., Okamoto, D., Fernandes, K. R., Trigo, G., Tanaka, A. S., Lacerda, J. T., Tkachuck, O., Corvino, A., Fiorino, F., Scognamiglio, A., Frecentese, F., Santagada, V., Vertuccio, S., Caliendo, G., Juliano, L., & Fattorusso, C. (2025). 1,2,4-Thiadiazolidin-3,5-Diones as Inhibitors of Cysteine Proteases. Molecules, 30(19), 3896. https://doi.org/10.3390/molecules30193896












