Synthesis and Characterization of Glyco-SAMs on Gold Nanoparticles: A Modular Approach Towards Glycan-Based Recognition Studies
Abstract
1. Introduction
2. Results and Discussion
2.1. Synthesis of Benzaldehyde-Functionalized Carbohydrates
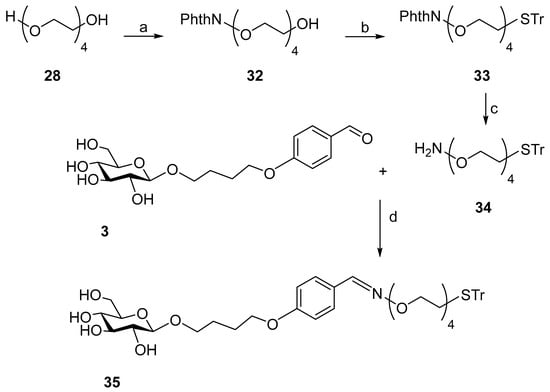
2.2. Synthesis of Linker and Dilution Spacers
2.3. Synthesis of Glyconanoparticles
2.4. Characterization of GNPs
2.5. Lectin Binding Experiments of GNPs
3. Materials and Methods
3.1. General
3.2. Syntheses
3.2.1. (E)-4-[4-(Dimethoxymethyl) Phenoxy] But-2-enyl 2,3,4,6-Tetra-O-acetyl-α-d-glucopyranoside (24)
3.2.2. 4-(4-Formylphenoxy) Butyl α-d-Glucopyranoside (4)
3.2.3. Allyl 2,3,6-Tri-O-acetyl-4-O-(2,3,4,6-tetra-O-acetyl-α-d-glucopyranosyl)-β-d-glucopyranoside (26)
3.2.4. (E)-4-(4-Dimethoxymethylphenoxy)-but-2-enyl 2,3,6-Tri-O-acetyl-4-O-(2,3,4,6-tetra-O-acetyl-α-d-glucopyranosyl)-β-d-glucopyranoside (27)
3.2.5. 4-(4-Formylphenoxy)-butyl 4-O-(α-d-Glucopyranosyl)-β-d-glucopyranoside (12)
3.2.6. Allyl-tetraethylene-glycol (29)
3.2.7. Allyl-(ω-O-phthalimido)-tetraethylene-glycol (30)
3.2.8. Allyl-(ω-hydroxylamino)-tetraethylene-glycol (31)
3.2.9. Aminooxy-(ω-3-thioacetylpropyl)-tetraethylene-glycol (1)
3.2.10. 3-Thioacetylpropyl-tetraethylene-glycol (2)
3.2.11. O-Phthalimido-tetraethylene glycol (32)
3.2.12. O-Phthalimido-(ω-thiotrityl)-tetraethylene glycol (33)
3.2.13. Aminooxy-(ω-thiotrityl)-tetraethylene-glycol (34)
3.2.14. 4-[4-(ω-Thiotrityl)-tetraethylene-glycolyl-benzaldehyde-oxime]-butyl β-d-glucopyranoside (35)
3.3. Formation of Saccharide-Functionalized Gold Nanoparticles
3.3.1. Synthesis and Characterization of Citrate Stabilized Gold Nanoparticles
3.3.2. Self-Assembly of Tetraethylene Glycol Linkers 1 and 2 on Gold Nanoparticles (AuNP)
3.3.3. Oxime Coupling of Benzaldehyde Functionalized Glycosides 3–20 to Aminooxy Coated Gold Nanoparticles
3.3.4. Determination of Carbohydrate Concentration on Gold Nanoparticles (Anthrone Test)
3.3.5. ConA Binding Study Using TEM
4. Conclusions
Supplementary Materials
Author Contributions
Funding
Institutional Review Board Statement
Informed Consent Statement
Data Availability Statement
Acknowledgments
Conflicts of Interest
References
- Ratner, D.M.; Adams, E.W.; Disney, M.D.; Seeberger, P.H. Tools for glycomics: Mapping interactions of carbohydrates in biological systems. ChemBioChem 2004, 15, 1375–1383. [Google Scholar] [CrossRef]
- Lindhorst, T.K. Struktur und Funktion von Kohlenhydraten. Chem. Unserer Zeit 2000, 34, 38–52. [Google Scholar] [CrossRef]
- Varki, A. Biological roles of oligosaccharides: All of the theories are correct. Glycobiology 1993, 3, 97–130. [Google Scholar] [CrossRef] [PubMed]
- Ito, S. The enteric surface coat on cat intestinal microvilli. J. Cell Biol. 1965, 27, 475–491. [Google Scholar] [CrossRef]
- Bennett, H.S. Morphological Aspects of Extracellular Polysaccharides. J. Histochem. Cytochem. 1963, 11, 14–23. [Google Scholar] [CrossRef]
- Ito, S. Form and function of the glycocalyx on free cell surfaces. Philos. Trans. B. Biol. Sci. 1974, 268, 55–66. [Google Scholar]
- Marth, J.D.; Grewal, P.K. Mammalian glycosylation in immunity. Nat. Rev. 2008, 8, 874–887. [Google Scholar] [CrossRef]
- Nuenke, R.L.; Cunningham, L.W. Preparation and structural studies of ovalbumin glycopeptides. J. Biol. Chem. 1961, 236, 2452–2460. [Google Scholar] [CrossRef] [PubMed]
- Schachter, H. The joys of HexNAc. The synthesis and function of N- and O-glycan branches. Glycoconj. J. 2000, 17, 465–483. [Google Scholar] [CrossRef]
- Haltiwanger, R.S.; Lowe, J.B. Role of Glycosylation in Development. Annu. Rev. Biochem. 2004, 73, 491–537. [Google Scholar] [CrossRef]
- Low, M.G.; Ferguson, M.A.; Silman, I. Cell-Surface Anchoring of Proteins via Glycosyl-Phosphatidylinositol Structures. Annu. Rev. Biochem. 1988, 57, 285–320. [Google Scholar]
- Ohtsubo, K.; Marth, J.D. Glycosylation in cellular mechanisms of health and disease. Cell 2006, 126, 855–867. [Google Scholar] [CrossRef]
- Dwek, R.A. Glycobiology: Toward Understanding the Function of Sugars. Chem. Rev. 1996, 96, 683–720. [Google Scholar] [CrossRef]
- Ono, M.; Hakomori, S. Glycosylation defining cancer cell motility and invasiveness. Glycoconj. J. 2004, 20, 71–78. [Google Scholar]
- Lis, H.; Sharon, N. Lectins: Carbohydrate-Specific Proteins That Mediate Cellular Recognition. Chem. Rev. 1998, 98, 637–674. [Google Scholar] [CrossRef] [PubMed]
- Simanek, E.E.; McGarvey, G.J.; Jablonowski, J.A.; Wong, C.-H. Selectin minus sign Carbohydrate Interactions: From Natural Ligands to Designed Mimics. Chem. Rev. 1998, 98, 833–862. [Google Scholar] [CrossRef] [PubMed]
- Hakomori, S.-I. Carbohydrate-carbohydrate interaction as an initial step in cell recognition. Pure Appl. Chem. 1991, 63, 473–482. [Google Scholar] [CrossRef]
- Hernaiz, M.J.; de la Fuente, J.M.; Barrientos, A.G.; Penades, S. A Model System Mimicking Glycosphingolipid Clusters to Quantify Carbohydrate Self-Interactions by Surface Plasmon Resonance. Angew. Chem. Int. Ed. 2002, 41, 1554–1557. [Google Scholar] [CrossRef]
- Lundquist, J.J.; Toone, E.J. The Cluster Glycoside Effect. Chem. Rev. 2002, 102, 555–578. [Google Scholar] [CrossRef]
- Kiessling, L.L.; Pohl, N.L. Strength in numbers: Non-natural polyvalent carbohydrate derivatives. Chem. Biol. 1996, 3, 71–77. [Google Scholar] [CrossRef]
- Garcia-Manyes, S.; Bucior, I.; Ros, R.; Anselmetti, D.; Sanz, F.; Burger, M.M.; Fernandez-Busquets, X. Proteoglycan mechanics studied by single-molecule force spectroscopy of allotypic cell adhesion glycans. J. Biol. Chem. 2006, 280, 5992–5999. [Google Scholar] [CrossRef]
- Bain, C.D.; Whitesides, G.M. Modeling organic surfaces with self-assembled monolayers. Angew. Chem. Int. Ed. Engl. 1989, 28, 506–528. [Google Scholar] [CrossRef]
- Marradi, M.; Chiodo, F.; Garcia, I.; Penades, S. Glyconanoparticles as multifunctional and multimodal carbohydrate systems. Chem. Soc. Rev. 2013, 42, 4728–4745. [Google Scholar] [CrossRef]
- Kim, Y.; Hyun, J.Y.; Shin, I. Multivalent glycans for biological and biomedical applications. Chem. Soc. Rev. 2021, 50, 10567–10593. [Google Scholar] [CrossRef] [PubMed]
- Svedhem, S.; Oehberg, L.; Borrelli, S.; Valiokas, R.; Andersson, M.; Oscarson, S.; Svensson, S.C.T.; Liedberg, B.; Konradsson, P. Synthesis and Self-Assembly of Globotriose Derivatives: A Model System for Studies of Carbohydrate-Protein Interactions. Langmuir 2002, 18, 2848–2858. [Google Scholar] [CrossRef]
- Dhayal, M.; Ratner, D.M. XPS and SPR Analysis of Glycoarray Surface Density. Langmuir 2009, 25, 2181–2187. [Google Scholar] [CrossRef]
- Seo, J.H.; Adachi, K.; Lee, B.K.; Kang, D.G.; Kim, Y.K.; Kim, K.R.; Lee, H.Y.; Kawai, T.; Cha, H.J. Facile and Rapid Direct Gold Surface Immobilization with Controlled Orientation for Carbohydrates. Bioconjugate Chem. 2007, 18, 2197–2201. [Google Scholar] [CrossRef]
- Boisselier, E.; Astruc, D. Gold nanoparticles in nanomedicine: Preparations, imaging, diagnostics, therapies and toxicity. Chem. Soc. Rev. 2009, 38, 1759–1782. [Google Scholar] [CrossRef] [PubMed]
- Faraday, M. The Bakerian Lecture: Experimental Relations of Gold (and Other Metals) to Light. Philos. Trans. R. Soc. 1857, 147, 145–181. [Google Scholar]
- Mie, G. Beiträge zur Optik trüber Medien, speziell kolloidaler Metallösungen. Ann. Phys. 1908, 25, 377–445. [Google Scholar] [CrossRef]
- Daniel, M.-C.; Astruc, D. Gold nanoparticles: Assembly, supramolecular chemistry, quantum-size-related properties, and applications toward biology, catalysis, and nanotechnology. Chem. Rev. 2004, 104, 293–346. [Google Scholar] [CrossRef]
- Niemeyer, C.M. Nanoparticles, Proteins, and Nucleic Acids: Biotechnology Meets Materials Science. Angew. Chem. Int. Ed. 2001, 40, 4128–4158. [Google Scholar] [CrossRef]
- Katz, E.; Willner, I. Integrated Nanoparticle–Biomolecule Hybrid Systems: Synthesis, Properties, and Applications. Angew. Chem. Int. Ed. 2004, 33, 6042–6108. [Google Scholar] [CrossRef] [PubMed]
- de la Fuente, J.M.; Penades, S. Glyconanoparticles: Types, synthesis and applications in glycoscience, biomedicine and material science. Biochim. Biophys. Acta 2006, 1760, 636–651. [Google Scholar] [PubMed]
- Chiodo, F.; Marradi, M.; Park, J. Galactofuranose-coated gold nanoparticles elicit a pro-inflammatory response in human monocyte-derived dendritic cells and are recognized by DC-SIGN. ACS Chem Biol. 2014, 9, 383–389. [Google Scholar] [CrossRef]
- Latxague, L.; Gaubert, A.; Barthelemy, P. Recent advances in the chemistry of glycoconjugate amphiphiles. Molecules 2018, 23, 89. [Google Scholar] [CrossRef]
- Vijayakumar, S.; Chen, J.; Kalaiselvi, V.; Divya, M.; González-Sánchez, Z.I.; Durán-Lara, E.F.; Vaseeharan, B. Antibacterial and antibiofilm activities of marine polysaccharide laminarin formulated gold nanoparticles: An ecotoxicity and cytotoxicity assessment. J. Env. Chem. Eng. 2021, 9, 105514. [Google Scholar] [CrossRef]
- Turkevitch, J.; Stevenson, P.C.; Hillier, J. A study of the nucleation and growth processes in the synthesis of colloidal gold. Disuss. Faraday Soc. 1951, 11, 55–75. [Google Scholar] [CrossRef]
- Enüstün, E.J.; Turkevitch, J. Coagulation of Colloidal Gold. J. Am. Chem. Soc. 1963, 85, 3317–3328. [Google Scholar] [CrossRef]
- Sajanlal, P.R.; Khatun, E.; Pradeep, T. Kirk-Othmer Encyclopedia of Chemical Technology; Wiley: Hoboken, NJ, USA, 2019. [Google Scholar]
- Broadbent, M.; Chadwick, S.J.; Brust, M.; Volk, M. Gold Nanoparticles for Photothermal and Photodynamic Therapy. ACS Omega 2024, 9, 44846–44859. [Google Scholar] [CrossRef]
- Giersig, M.; Mulvaney, P. Preparation of ordered colloid monolayers by electrophoretic deposition. Langmuir 1993, 9, 3404–3413. [Google Scholar] [CrossRef]
- Kimling, J.; Maier, M.; Okenve, B.; Kotaidis, V.; Ballot, H.; Plech, A. Turkevich method for gold nanoparticle synthesis revisited. J. Phys. Chem. B 2006, 110, 5700–5757. [Google Scholar] [CrossRef]
- Brust, M.; Walker, M.; Bethell, D.; Schiffrin, D.J.; Whyman, R. Synthesis of thiol-derivatised gold nanoparticles in a two-phase Liquid–Liquid system. J. Chem. Soc. Chem. Commun. 1994, 801–802. [Google Scholar] [CrossRef]
- Templeton, A.C.; Wuelfing, W.P.; Murray, R.W. Monolayer-protected cluster molecules. Acc. Chem. Res. 2001, 33, 27–36. [Google Scholar] [CrossRef]
- Rojo, J.; Diaz, V.; de la Fuente, J.M.; Segura, I.; Barrientos, A.G.; Riese, H.H.; Bernad, A.; Penades, S. Gold glyconanoparticles as new tools in antiadhesive therapy. ChemBioChem 2004, 5, 291–297. [Google Scholar] [CrossRef]
- Larsen, L.; Thygesen, M.B.; Guillaumie, F.; Willats, W.G.T.; Jensen, K.J. Solid-phase chemical tools for glycobiology. Carbohydr. Res. 2006, 341, 1209–1234. [Google Scholar] [CrossRef] [PubMed]
- Love, J.C.; Estroff, L.A.; Kriebel, J.K.; Nuzzo, R.G.; Whitesides, G.M. Self-Assembled Monolayers of Thiolates on Metals as a Form of Nanotechnology. Chem. Rev. 2005, 105, 1103–1169. [Google Scholar] [CrossRef]
- Prime, K.L.; Whitesides, G.M. Adsorption of proteins onto surfaces containing end-attached oligo(ethylene oxide): A model system using self-assembled monolayers. J. Am. Chem. Soc. 1993, 115, 10714–10721. [Google Scholar] [CrossRef]
- Fürstner, A. Olefin metathesis and beyond. Angew. Chem. Int. Ed. 2000, 39, 3012–3043. [Google Scholar] [CrossRef]
- Hoveyda, A.H.; Zhugralin, A.R. The remarkable metal-catalysed olefin metathesis reaction. Nature 2007, 450, 243–251. [Google Scholar] [CrossRef]
- Connon, S.J.; Blechert, S. Recent developments in olefin cross-metathesis. Angew. Chem. Int. Ed. 2003, 42, 1900–1923. [Google Scholar] [CrossRef] [PubMed]
- Lin, Y.A.; Chalker, J.M.; Floyd, N.; Bernardes, G.J.L.; Davis, B.G. Allyl Sulfides are Privileged Substrates in Aqueous Cross-Metathesis: Application to Site-Selective Protein Modification. J. Am. Chem. Soc. 2008, 130, 9642–9643. [Google Scholar] [CrossRef]
- Ritter, T.; Hejl, A.; Wenzel, A.G.; Funk, T.W.; Grubbs, R.H. A standard system of characterization for olefin metathesis catalysts. Organometallics 2006, 25, 5740–5745. [Google Scholar] [CrossRef]
- Kopitzki, S.; Jensen, K.S.; Thiem, J. Synthesis of Benzaldehyde Functionalized Glycans: Novel Approach Towards Glyco-SAMs as Tools for Surface Plasmon Resonance Studies. Chem. Eur. J. 2010, 16, 7017–7029. [Google Scholar] [CrossRef] [PubMed]
- Morgan, J.P.; Morill, C.; Grubbs, R.H. Selective Ring Opening Cross Metathesis of Cyclooctadiene and Trisubstituted Cycloolefins. Org. Lett. 2002, 4, 67–70. [Google Scholar] [CrossRef]
- Plettenburg, O.; Mui, C.; Bodmer-Narkevitch, V.; Wong, C.-H. Rapid preparation of glycolipid libraries by cross metathesis. Adv. Synth. Catal. 2002, 344, 622–626. [Google Scholar] [CrossRef]
- Schmidt, R.R.; Michel, J.; Roos, M. Glycosylimidate, 12 Direkte Synthese von O-α-und O-β-Glycosyl-imidaten. Liebigs Ann. Chem. 1984, 1343–1357. [Google Scholar] [CrossRef]
- Thygesen, M.B.; Sauer, J.; Jensen, K.J. Chemoselective capture of glycans for analysis on gold nanoparticles: Carbohydrate oxime tautomers provide functional recognition by proteins. Chem. Eur. J. 2009, 15, 1649–1660. [Google Scholar] [CrossRef]
- Jin, S.; Miduturu, C.V.; McKinney, D.C.; Silverman, S.K. Synthesis of Amine- and Thiol-Modified Nucleoside Phosphoramidites for Site-Specific Introduction of Biophysical Probes into RNA. J. Org. Chem. 2005, 70, 4284–4299. [Google Scholar] [CrossRef]
- Sperling, R.A.; Rivera Gil, P.; Zhang, F.; Zanella, M.; Parak, W.J. Biological applications of gold nanoparticles. Chem. Soc. Rev. 2008, 37, 1896–1908. [Google Scholar] [CrossRef]
- Zhou, W.; Gao, X.; Liu, D.; Chen, X. Gold Nanoparticles for In Vitro Diagnostics. Chem. Rev. 2015, 115, 10575–10636. [Google Scholar] [CrossRef]
- Levy, R.; Thanh, N.T.K.; Doty, R.C.; Hussain, I.; Nichols, R.J.; Schiffrin, D.J.; Brust, M.; Fernig, D.G. Rational and Combinatorial Design of Peptide Capping Ligands for Gold Nanoparticles. J. Am. Chem. Soc. 2004, 126, 10076–10084. [Google Scholar] [CrossRef]
- Grabar, K.C.; Freeman, R.G.; Hommer, M.B.; Natan, M.J. Preparation and Characterization of Au Colloid Monolayers. J. Anal. Chem. 1995, 67, 735–743. [Google Scholar] [CrossRef]
- Frens, G. Controlled Nucleation for the Regulation of the Particle Size in Monodisperse Gold Suspensions. Nat. Phys. Sci. 1973, 241, 20–22. [Google Scholar] [CrossRef]
- Carvalho de Souza, A.; Halkes, K.M.; Meeldijk, J.M.; Verkleij, A.J.; Vliegenthart, J.F.G.; Kamerling, J.P. Gold glyconanoparticles as probes to explore the carbohydrate-mediated self-recognition of marine sponge cells. ChemBioChem 2005, 6, 828–831. [Google Scholar] [CrossRef] [PubMed]
- Thygesen, M.B.; Sørensen, K.K.; Clo, E.; Jensen, K.J. Direct chemoselective synthesis of glyconanoparticles from unprotected reducing glycans and glycopeptide aldehydes. Chem. Commun. 2009, 6367–6369. [Google Scholar] [CrossRef] [PubMed]
- Thygesen, M.B.; Jensen, K.J. Carbohydrate-modified gold nanoparticles. Carbohydr. Nanotechnol. 2016, 79–98. [Google Scholar]
- Kopitzki, S.; Thiem, J. Short Synthetic Route to Benzaldehyde—Functionalized Idose and Talose Derivatives by Acetoxonium Ion Rearrangements. Eur. J. Org. Chem. 2013, 2013, 4008–4016. [Google Scholar] [CrossRef]
- Kopitzki, S.; Dilmaghani, K.A.; Thiem, J. Synthesis of benzaldehyde-functionalized Lewisx trisaccharide analogs for glyco-SAM formation. Tetrahedron 2013, 69, 10621–10636. [Google Scholar] [CrossRef]
- Wittmann, V.; Pieters, R.J. Bridging lectin binding sites by multivalent carbohydrates. Chem. Soc. Rev. 2013, 42, 4492–4503. [Google Scholar] [CrossRef]
- de Souza, A.C.; Halkes, K.M.; Meeldijk, J.M.; Verkleij, A.J.; Vliegenthart, J.F.G.; Kamerling, J.P. Synthesis of gold glyconanoparticles: Possible probes for the exploration of carbohydrate-mediated self-recognition of marine sponge cells. Eur. J. Org. Chem. 2004, 2004, 4323–4339. [Google Scholar] [CrossRef]
- Mrksich, M. A surface chemistry approach to studying cell adhesion. Chem. Soc. Rev. 2000, 29, 267–273. [Google Scholar] [CrossRef]
- Scherz, H.; Bonn, G. Analytical Chemistry of Carbohydrates; Thieme: Stuttgart, Germany, 1998. [Google Scholar]
- Chien, Y.-Y.; Jan, M.-D.; Adak, A.K.; Tzeng, H.-C.; Lin, Y.-P.; Chen, Y.-J.; Wang, K.-T.; Chen, C.-T.; Chen, C.-C.; Lin, C.C. Globotriose-functionalized gold nanoparticles as multivalent probes for Shiga-like toxin. ChemBioChem 2008, 9, 1100–1109. [Google Scholar] [CrossRef] [PubMed]
- Dubios, M.; Gilles, K.A.; Hamilton, J.K.; Rebers, P.A.; Smith, F. Colorimetric method for determination of sugars and related substances. Anal. Chem. 1956, 28, 350–356. [Google Scholar] [CrossRef]
- Koehler, L.H. Differentiation of carbohydrates by anthrone reaction rate and color intensity. Anal. Chem. 1952, 24, 1576–1579. [Google Scholar] [CrossRef]
- Lin, C.C.; Yeh, Y.C.; Yang, C.Y.; Chen, G.F.; Chen, Y.C.; Wu, Y.C.; Chen, C.C. Quantitative analysis of multivalent interactions of carbohydrate-encapsulated gold nanoparticles with concanavalin A. Chem. Commun. 2003, 2920–2921. [Google Scholar] [CrossRef] [PubMed]
- de la Fuente, J.M.; Eaton, P.; Barrientos, A.G.; Menendez, M.; Penades, S. Thermodynamic Evidence for Ca2+-Mediated Self-Aggregation of Lewis X Gold Glyconanoparticles. A Model for Cell Adhesion via Carbohydrate-Carbohydrate Interaction. J. Am. Chem. Soc. 2005, 127, 6192–6197. [Google Scholar] [CrossRef]
- Penney, D.P.; Powers, J.M.; Frank, M.; Churukian, C. Analysis and testing of biological stains—The biological stain comission procedures. Biotech. Histochem. 2002, 77, 237–275. [Google Scholar] [CrossRef]
- de Carlo, S.; Harris, J.R. Negative staining and cryo-negative staining of macromolecules and viruses for TEM. Micron 2011, 42, 117–131. [Google Scholar] [CrossRef]









![]() | |||
|---|---|---|---|
| Entry | Ratio 1:2 | Product | ΔλSP,max [b] |
| 1 | 1:0 | AuNP-1 | ~4 nm |
| 2 | 1:1 | AuNP-2 | ~3 nm |
| 3 | 1:2 | AuNP-3 | ~3 nm |
| 4 | 0:1 | AuNP-4 | ~6 nm |
![]() | |||||
|---|---|---|---|---|---|
| Entry | Nanoparticle | Carbohydrate Head Group | Ligand Density [e] | ||
| 1 | GNP-1 | AuNP-1 [b] | β-Glucopyranose | 3 | ~1280 [f] |
| 2 | GNP-2 | AuNP-1 [b] | α-Glucopyranose | 4 | ~1160 [f] |
| 3 | GNP-3 | AuNP-1 [b] | α-Mannopyranose | 5 | ~1260 [f] |
| 4 | GNP-4 | AuNP-1 [b] | β-Galactopyranose | 6 | ~1280 [f] |
| 5 | GNP-5 | AuNP-1 [b] | α-Idopyranose | 8 | ~1200 [f] |
| 6 | GNP-6 | AuNP-1 [b] | α-Talopyranose | 9 | ~1220 [f] |
| 7 | GNP-7 | AuNP-1 [b] | β-Cellobiose | 10 | ~1040 [g] |
| 8 | GNP-8 | AuNP-1 [b] | β-Lactose | 11 | ~1060 [g] |
| 9 | GNP-9 | AuNP-1 [b] | β-Maltose | 12 | ~1040 [g] |
| 10 | GNP-10 | AuNP-1 [b] | β-N-Acetyllactosamine | 13 | ~980 [g] |
| 11 | GNP-11 | AuNP-1 [b] | Lex | 14 | ~880 [h] |
| 12 | GNP-12 | AuNP-2 [c] | Lex | 14 | ~660 [h] |
| 13 | GNP-13 | AuNP-3 [d] | Lex | 14 | ~400 [h] |
| 14 | GNP-14 | AuNP-1 [b] | Lex-Glc | 15 | ~900 [h] |
| 15 | GNP-15 | AuNP-1 [b] | Lex-l-Gal | 16 | ~960 [h] |
| 16 | GNP-16 | AuNP-1 [b] | Lex-β-Fuc | 17 | ~880 [h] |
| 17 | GNP-17 | AuNP-1 [b] | Lea | 18 | ~880 [h] |
| 18 | GNP-18 | AuNP-1 [b] | Lex-L-Rha | 19 | ~920 [h] |
| 19 | GNP-19 | AuNP-1 [b] | Lex-d-l | 20 | ~900 [h] |
Disclaimer/Publisher’s Note: The statements, opinions and data contained in all publications are solely those of the individual author(s) and contributor(s) and not of MDPI and/or the editor(s). MDPI and/or the editor(s) disclaim responsibility for any injury to people or property resulting from any ideas, methods, instructions or products referred to in the content. |
© 2025 by the authors. Licensee MDPI, Basel, Switzerland. This article is an open access article distributed under the terms and conditions of the Creative Commons Attribution (CC BY) license (https://creativecommons.org/licenses/by/4.0/).
Share and Cite
Kopitzki, S.; Thiem, J. Synthesis and Characterization of Glyco-SAMs on Gold Nanoparticles: A Modular Approach Towards Glycan-Based Recognition Studies. Molecules 2025, 30, 3765. https://doi.org/10.3390/molecules30183765
Kopitzki S, Thiem J. Synthesis and Characterization of Glyco-SAMs on Gold Nanoparticles: A Modular Approach Towards Glycan-Based Recognition Studies. Molecules. 2025; 30(18):3765. https://doi.org/10.3390/molecules30183765
Chicago/Turabian StyleKopitzki, Sebastian, and Joachim Thiem. 2025. "Synthesis and Characterization of Glyco-SAMs on Gold Nanoparticles: A Modular Approach Towards Glycan-Based Recognition Studies" Molecules 30, no. 18: 3765. https://doi.org/10.3390/molecules30183765
APA StyleKopitzki, S., & Thiem, J. (2025). Synthesis and Characterization of Glyco-SAMs on Gold Nanoparticles: A Modular Approach Towards Glycan-Based Recognition Studies. Molecules, 30(18), 3765. https://doi.org/10.3390/molecules30183765


