Reconfigurable Microwave Absorption Properties and Principles of Double-Layer Metasurface Absorbers
Abstract
1. Introduction
2. Results and Discussion
2.1. Design of the Integrated Structure
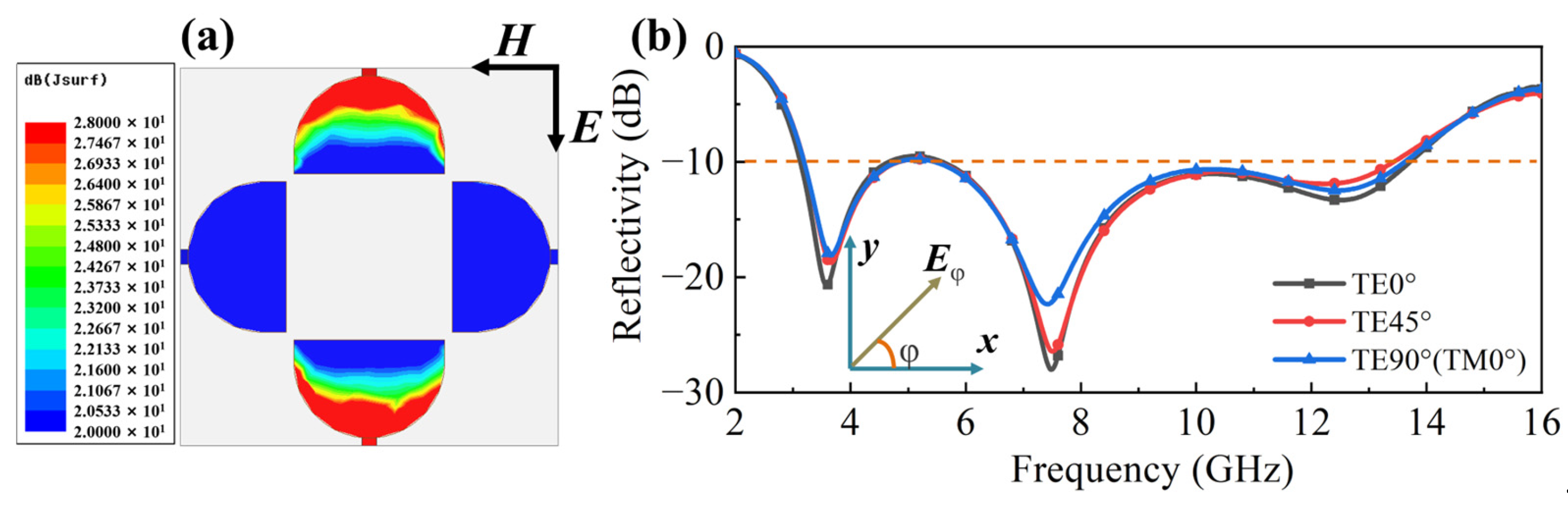
2.2. Analysis of the Functional Layers
2.3. Design of Bias Line
2.4. Measurement Results
3. Experiment
3.1. Geometric Structure of the Absorber
3.2. Experimental Setup

4. Conclusions
Author Contributions
Funding
Institutional Review Board Statement
Informed Consent Statement
Data Availability Statement
Conflicts of Interest
References
- Li, M.; Zhang, W. Design of a Multilayer Wideband Absorber Based on Frequency Selective Surface. Opt. Quant. Electron. 2023, 55, 926. [Google Scholar] [CrossRef]
- Pan, Y.; Dong, J.; Wang, M.; Luo, H.; Abdulkarim, Y.I. Inverse Design of Ultra-Wideband Transparent Frequency Selective Surface Absorbers Based on Evolutionary Deep Learning. J. Phys. D Appl. Phys. 2023, 56, 415002. [Google Scholar] [CrossRef]
- Ranjan, S.K.; Sahoo, S. A Review of Metamaterial-Based Microwave Absorbers and Sensors. J. Electron. Mater. 2024, 53, 571–595. [Google Scholar] [CrossRef]
- Celenk, E.; Lynch, C.; Tentzeris, M.M. An Ultrawideband All-Textile Metamaterial Absorber for Ku-, K-, and Ka-Band Applications. IEEE Antennas Wirel. Propag. Lett. 2024, 23, 1789–1793. [Google Scholar] [CrossRef]
- Hou, Z.; Cheng, J.; Kong, X.; Zou, Y.; Pan, H.; Pang, X.; Zhao, S. Design of Ultrabroadband Metamaterial Absorber With Angle-Insensitive Characteristics Covering the L, S, C, X, and Ku Bands. IEEE Antennas Wirel. Propag. Lett. 2025, 24, 1640–1644. [Google Scholar] [CrossRef]
- Yang, R.; Luo, Z.; Liang, J.C.; Dai, J.Y.; Cheng, Q.; Cui, T.J. Reconfigurable Metasurface with Multiple Functionalities of Frequency-Selective Rasorber, Frequency-Selective Surface, Absorber, and Reflector. Adv. Mater. Technol. 2025, 10, 2400966. [Google Scholar] [CrossRef]
- Almawgani, A.H.M.; Srilatha, K.; Madhav, B.T.P.; Venkatesh, B.; Sravan, C.V.S.A.; Rao, M.C.; Alhawari, A.R.H. Dual Band Metasurface Absorber with Insensitive Polarization and Incidence Angle for S and C Band Applications. J. Commun. Technol. Electron. 2023, 68, 1371–1378. [Google Scholar] [CrossRef]
- Liu, X.; Zhang, Y.; Li, M.; Feng, C.; Zhao, Y. Polarization and Angular Insensitive Perfect Metasurface Absorber in Near-Ultraviolet Region. J. Nanophotonics 2023, 17, 010501. [Google Scholar] [CrossRef]
- Weng, Z.; Guo, Y. Broadband Perfect Optical Absorption by Coupled Semiconductor Resonator-Based All-Dielectric Metasurface. Materials 2019, 12, 1221. [Google Scholar] [CrossRef]
- Wu, R.Y.; He, S.; Wu, J.W.; Bao, L.; Cui, T.J. Multi-Frequency Amplitude-Programmable Metasurface for Multi-Channel Electromagnetic Controls. Nanophotonics 2023, 12, 2433–2442. [Google Scholar] [CrossRef]
- Guo, X.; Luo, Y.; Chen, Z.N.; Yan, N.; An, W.; Ma, K. Multiple Tri-Beam Low Scanning Loss Metasurface Antenna for Wide-Angle Coverage by Superposing Focusing and Periodic Phases. IEEE Trans. Microw. Theory Techn. 2023, 71, 3466–3478. [Google Scholar] [CrossRef]
- Wang, J.; Zhao, X.-C.; Jiang, Y.-N.; Gu, W.-Q.; Xu, K.-D. Optimal Design of Broadband Linear-to-Circular Polarization Conversion Metasurface. Mater. Des. 2024, 242, 113004. [Google Scholar] [CrossRef]
- Yuan, X.; Zhou, H.; Ye, X.; Zhang, R.; Chen, M.; Zhang, X.; Li, W.; Chen, X.; Li, L.; Huang, Y.; et al. Impact of Power Spectrum in Geometrical Coding on the Scattering of Random Electromagnetic Coding Metasurface. IEEE Trans. Antenn. Propag. 2022, 70, 3489–3494. [Google Scholar] [CrossRef]
- Liu, X.; Shu, M.; Chen, X.; Zhang, A. Four-Dimensional Characteristic Matrix for Electromagnetic Coupling of Multilayer Sub-Wavelength Metasurface System. IEEE Trans. Electromagn. Compat. 2020, 62, 2765–2772. [Google Scholar] [CrossRef]
- Khan, H.A.; Majeed, A.; Zahra, H.; Kakepoto, F.G.; Abbas, S.M.; Alathbah, M. Transparent Conformal Metasurface Absorber for Ultrawideband Radar Cross Section Reduction. J. Phys. D Appl. Phys. 2024, 57, 135105. [Google Scholar] [CrossRef]
- Su, J.; Li, W.; Qu, M.; Yu, H.; Li, Z.; Qi, K.; Yin, H. Ultrawideband RCS Reduction Metasurface Based on Hybrid Mechanism of Absorption and Phase Cancellation. IEEE Trans. Antenn. Propag. 2022, 70, 9415–9424. [Google Scholar] [CrossRef]
- Peng, T.; Huang, W.; Zhou, X.; Zhou, T.; Xi, Q.; Yang, L. Ultrathin and Omnidirectional Absorbing Metasurface Designed for Electromagnetic Shielding of Discrete Sources. IEEE Antennas Wirel. Propag. Lett. 2024, 23, 4897–4901. [Google Scholar] [CrossRef]
- An, J.; Xu, C.; Ng, D.W.K.; Alexandropoulos, G.C.; Huang, C.; Yuen, C.; Hanzo, L. Stacked Intelligent Metasurfaces for Efficient Holographic MIMO Communications in 6G. IEEE J. Sel. Areas Commun. 2023, 41, 2380–2396. [Google Scholar] [CrossRef]
- Naveed, M.A.; Bilal, R.M.H.; Baqir, M.A.; Bashir, M.M.; Ali, M.M.; Rahim, A.A. Ultrawideband Fractal Metamaterial Absorber Made of Nickel Operating in the UV to IR Spectrum. Opt. Express 2021, 29, 42911–42923. [Google Scholar] [CrossRef]
- Liu, Z.; Guo, L.; Zhang, Q. Design of Dual-Band Terahertz Perfect Metamaterial Absorber Based on Circuit Theory. Molecules 2020, 25, 4104. [Google Scholar] [CrossRef]
- Li, J.; Yuan, Y.; Wu, Q.; Zhang, K. Bi-Isotropic Huygens’ Metasurface for Polarization-Insensitive Cross-Polarization Conversion and Wavefront Manipulation. IEEE Trans. Antenn. Propag. 2024, 72, 2445–2454. [Google Scholar] [CrossRef]
- Fu, C.; Zhang, L.; Liu, L.; Dong, S.; Yu, W.; Han, L. RCS Reduction on Patterned Graphene-Based Transparent Flexible Metasurface Absorber. IEEE Trans. Antenn. Propag. 2023, 71, 2005–2010. [Google Scholar] [CrossRef]
- Luo, H.; Wei, S.; Zhang, H.; Gong, K.; Liu, Q. A C-Band Polarization Conversion Metasurface Antenna with Broadband RCS-Reduction. IEEE Antennas Wirel. Propag. Lett. 2025, PP, 1–5. [Google Scholar] [CrossRef]
- Wu, Y.; Fu, C.; Jiang, Y.; Bian, J.; Gu, W. Angle-Insensitive Broadband Transparent Microwave Absorber with High Shielding Effectiveness. Opt. Lett. 2025, 50, 459–462. [Google Scholar] [CrossRef] [PubMed]
- Patel, S.K.; Parmar, J.; Katkar, V. Graphene-Based Multilayer Metasurface Solar Absorber with Parameter Optimization and Behavior Prediction Using Long Short-Term Memory Model. Renew. Energ. 2022, 191, 47–58. [Google Scholar] [CrossRef]
- Lei, Y.; Jia, X.; Zhang, J.; Hu, J.; Kang, Y.; Zou, T. An Ultra-Broadband Multi-Layer Dielectric Gradient Honeycomb Microwave Absorber Enhanced by the Double Layer Metasurface. Opt. Mater. 2024, 156, 116009. [Google Scholar] [CrossRef]
- Wen, J.; Ren, Q.; Peng, R.; Zhao, Q. Multi-Functional Tunable Ultra-Broadband Water-Based Metasurface Absorber with High Reconfigurability. J. Phys. D Appl. Phys. 2022, 55, 285103. [Google Scholar] [CrossRef]
- Darvishi Bahloli, M.; Bordbar, A.; Basiri, R.; Jam, S. A Tunable Multi-Band Absorber Based on Graphene Metasurface in Terahertz Band. Opt. Quant. Electron. 2022, 54, 708. [Google Scholar] [CrossRef]
- Bhattarai, K.; Silva, S.; Song, K.; Urbas, A.; Lee, S.J.; Ku, Z.; Zhou, J. Metamaterial Perfect Absorber Analyzed by a Meta-Cavity Model Consisting of Multilayer Metasurfaces. Sci. Rep. 2017, 7, 10569. [Google Scholar] [CrossRef]
- Zhang, K.-L.; Hou, Z.-L.; Bi, S.; Fang, H.-M. Modeling for Multi-Resonant Behavior of Broadband Metamaterial Absorber with Geometrical Substrate. Chin. Phys. B 2017, 26, 127802. [Google Scholar] [CrossRef]
- Ye, Y.; Yu, S.; Li, H.; Gao, Z.; Yang, L.; Zhao, T. Triple Fano Resonances Metasurface and Its Extension for Multi-Channel Ultra-Narrow Band Absorber. Results Phys. 2022, 42, 106025. [Google Scholar] [CrossRef]
- Zhang, S.; Wen, F.; Zhai, M.; Li, Z.; Ye, H.; Zhang, H.; Gu, Y.; Lei, Y.; Wang, W.; Zhang, Y.; et al. Terahertz Dynamic Multiband Perfect Absorber with a Digital Coding Graphene-Diamond Metasurface. Phys. Rev. Appl. 2024, 22, 024004. [Google Scholar] [CrossRef]
- Wu, Z.; Ren, Z.; Wang, J.; Hou, S.; Liu, Y.; Zhang, Q.; Mao, J.; Liu, X.; Cao, F. Realization of an Efficient Wide-Angle Solar Selective Absorber via the Impedance Matching. Sol. Energ. Mater. Sol. Cell 2022, 238, 111582. [Google Scholar] [CrossRef]
- Liu, Y.; Huang, R.; Ouyang, Z. Terahertz Absorber with Dynamically Switchable Dual-Broadband Based on a Hybrid Metamaterial with Vanadium Dioxide and Graphene. Opt. Express 2021, 29, 20839. [Google Scholar] [CrossRef]
- Li, W.; Ma, J.; Zhang, H.; Cheng, S.; Yang, W.; Yi, Z.; Yang, H.; Zhang, J.; Wu, X.; Wu, P. Tunable Broadband Absorber Based on a Layered Resonant Structure with a Dirac Semimetal. Phys. Chem. Chem. Phys. 2023, 25, 8489–8496. [Google Scholar] [CrossRef]
- Chung, M.; Jeong, H.; Kim, Y.-K.; Lim, S.; Baek, C.-W. Design and Fabrication of Millimeter-Wave Frequency-Tunable Metamaterial Absorber Using MEMS Cantilever Actuators. Micromachines 2022, 13, 1354. [Google Scholar] [CrossRef]
- Wang, B.-X.; Xu, C.; Duan, G.; Xu, W.; Pi, F. Review of Broadband Metamaterial Absorbers: From Principles, Design Strategies, and Tunable Properties to Functional Applications. Adv. Funct. Mater. 2023, 33, 2213818. [Google Scholar] [CrossRef]
- Azad, A.K.; Taylor, A.J.; Smirnova, E.; O’Hara, J.F. Characterization and Analysis of Terahertz Metamaterials Based on Rectangular Split-Ring Resonators. Appl. Phys. Lett. 2008, 92, 011119. [Google Scholar] [CrossRef]
- Mou, N.; Tang, B.; Li, J.; Zhang, Y.; Dong, H.; Zhang, L. Demonstration of Thermally Tunable Multi-Band and Ultra-Broadband Metamaterial Absorbers Maintaining High Efficiency during Tuning Process. Materials 2021, 14, 5708. [Google Scholar] [CrossRef]
- Kowerdziej, R.; Wróbel, J.; Kula, P. Ultrafast electrical switching of nanostructured metadevice with dual-frequency liquid crystal. Sci. Rep. 2019, 9, 20367. [Google Scholar] [CrossRef]
- Sbeah, Z.A.; Adhikari, R.; Sorathiya, V.; Chauhan, D.; Chang, S.H.; Dwivedi, R.P. A Review on Metamaterial Sensors Based on Active Plasmonic Materials. Plasmonics 2023, 18, 1619–1638. [Google Scholar] [CrossRef]
- Wang, J.; Yang, R.; Ma, R.; Tian, J.; Zhang, W. Reconfigurable Multifunctional Metasurface for Broadband Polarization Conversion and Perfect Absorption. IEEE Access 2020, 8, 105815–105823. [Google Scholar] [CrossRef]
- He, S.; Yang, H.; Jiang, Y.; Deng, W.; Zhu, W. Recent Advances in MEMS Metasurfaces and Their Applications on Tunable Lens. Micromachines 2019, 10, 505. [Google Scholar] [CrossRef]
- Deng, R.; Zhang, K.; Li, M.; Song, L.; Zhang, T. Targeted Design, Analysis and Experimental Characterization of Flexible Microwave Absorber for Window Application. Mater. Des. 2019, 162, 119–129. [Google Scholar] [CrossRef]
- Ghosh, S.; Srivastava, K.V. An Equivalent Circuit Model of FSS-Based Metamaterial Absorber Using Coupled Line Theory. IEEE Antennas Wirel. Propag. Lett. 2015, 14, 511–514. [Google Scholar] [CrossRef]
- Ahmed, F.; Hassan, T.; Shoaib, N. A Multiband Bianisotropic FSS with Polarization-Insensitive and Angularly Stable Properties. IEEE Antennas Wirel. Propag. Lett. 2020, 19, 1833–1837. [Google Scholar] [CrossRef]










| Parameters | d1 | d2 | p | a1 | b1 | c1 | r | a2 | b2 | c2 |
|---|---|---|---|---|---|---|---|---|---|---|
| Unit (mm) | 4 | 5 | 15 | 6 | 0.9 | 0.6 | 3 | 5.5 | 1 | 2 |
Disclaimer/Publisher’s Note: The statements, opinions and data contained in all publications are solely those of the individual author(s) and contributor(s) and not of MDPI and/or the editor(s). MDPI and/or the editor(s) disclaim responsibility for any injury to people or property resulting from any ideas, methods, instructions or products referred to in the content. |
© 2025 by the authors. Licensee MDPI, Basel, Switzerland. This article is an open access article distributed under the terms and conditions of the Creative Commons Attribution (CC BY) license (https://creativecommons.org/licenses/by/4.0/).
Share and Cite
He, Y.; Zhang, Z.; Wang, Q.; Wang, Q.; Fu, Q.; Zhang, Y. Reconfigurable Microwave Absorption Properties and Principles of Double-Layer Metasurface Absorbers. Molecules 2025, 30, 3608. https://doi.org/10.3390/molecules30173608
He Y, Zhang Z, Wang Q, Wang Q, Fu Q, Zhang Y. Reconfigurable Microwave Absorption Properties and Principles of Double-Layer Metasurface Absorbers. Molecules. 2025; 30(17):3608. https://doi.org/10.3390/molecules30173608
Chicago/Turabian StyleHe, Yun, Zhiming Zhang, Qingyang Wang, Qiyuan Wang, Qin Fu, and Yulu Zhang. 2025. "Reconfigurable Microwave Absorption Properties and Principles of Double-Layer Metasurface Absorbers" Molecules 30, no. 17: 3608. https://doi.org/10.3390/molecules30173608
APA StyleHe, Y., Zhang, Z., Wang, Q., Wang, Q., Fu, Q., & Zhang, Y. (2025). Reconfigurable Microwave Absorption Properties and Principles of Double-Layer Metasurface Absorbers. Molecules, 30(17), 3608. https://doi.org/10.3390/molecules30173608

