EGFR-Targeted Photodynamic Treatment of Triple Negative Breast Cancer Cell Lines Using Porphyrin–Peptide Conjugates: Synthesis and Mechanistic Insight
Abstract
1. Introduction
2. Results and Discussion
2.1. Chemistry
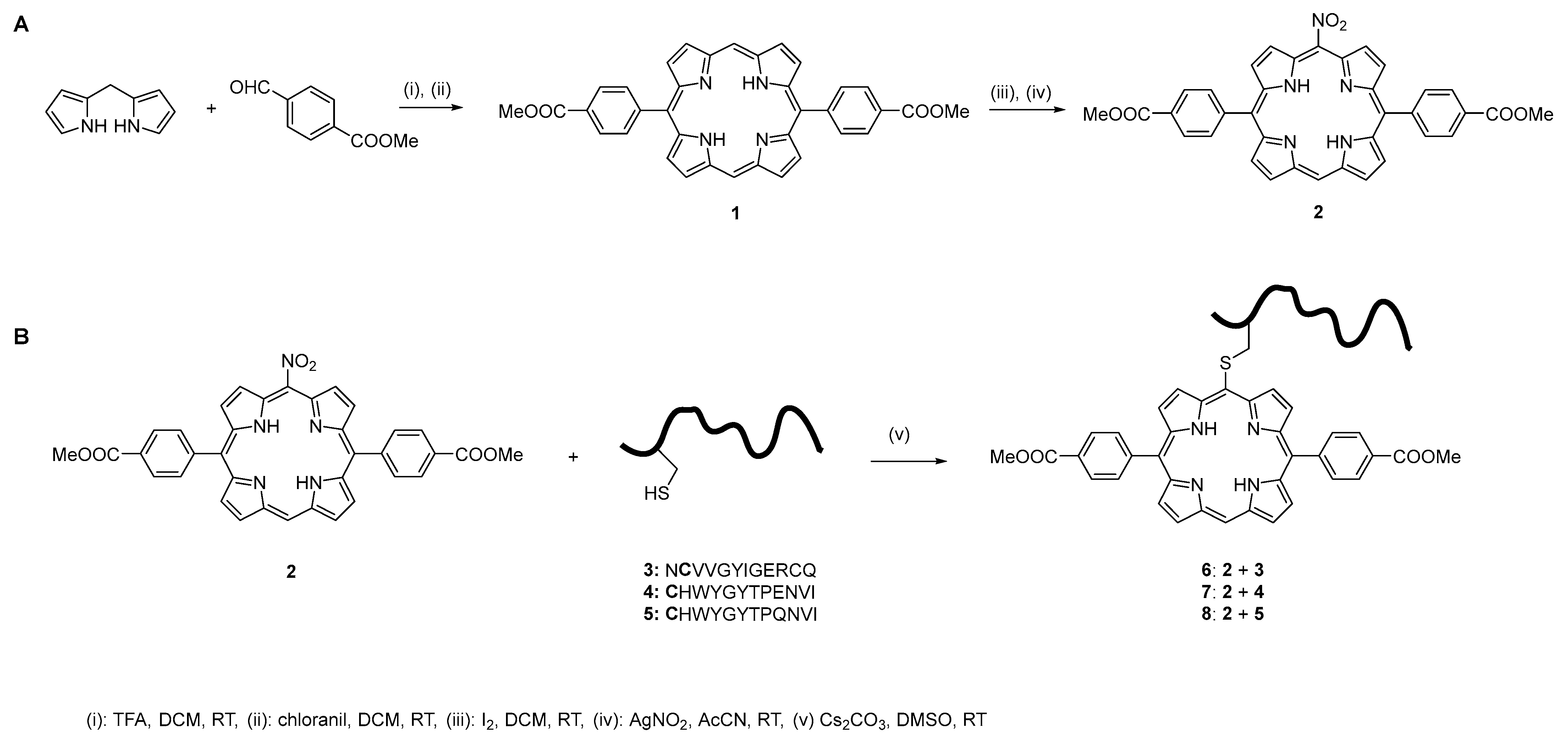
2.1.1. Porphyrin Synthesis
2.1.2. Synthesis of Peptides 3–5
2.1.3. Photostability
2.2. Biological Results
2.2.1. Cell Lines and EGFR Expression
2.2.2. Cellular Uptake
2.2.3. Photodynamic Activity
2.2.4. ROS Production
2.2.5. Cell Death Induction
2.2.6. Antimigratory Effects
3. Materials and Methods
3.1. General Remarks
3.2. Synthesis
3.2.1. The Synthesis of 5,15-Bis(4-carbomethoxyphenyl)porphyrin (1)
3.2.2. The Synthesis of 10-Nitro-5,15-bis(4-carbomethoxyphenyl)porphyrin (2)
3.2.3. Peptides (3–5)
3.2.4. Porphyrin–Peptide Conjugates (6–8)
3.3. Modeling and Docking
3.4. Photobleaching
3.5. Biological Studies
3.5.1. Cell Lines and Experimental Conditions
3.5.2. Evaluation of EGFR Protein Levels
3.5.3. Intracellular Uptake and Localization
3.5.4. Photodynamic Effects
3.5.5. Intracellular ROS Generation
3.5.6. Cell Death Induction Evaluation
3.5.7. Scratch Wound Healing Assay
3.5.8. Statistical Analysis
4. Conclusions
Supplementary Materials
Author Contributions
Funding
Institutional Review Board Statement
Informed Consent Statement
Data Availability Statement
Conflicts of Interest
References
- ReFaey, K.; Tripathi, S.; Grewal, S.S.; Bhargav, A.G.; Quinones, D.J.; Chaichana, K.L.; Antwi, S.O.; Cooper, L.T.; Meyer, F.B.; Dronca, R.S.; et al. Cancer Mortality Rates Increasing vs Cardiovascular Disease Mortality Decreasing in the World: Future Implications. Mayo Clin. Proc. Innov. Qual. Outcomes 2021, 5, 645–653. [Google Scholar] [CrossRef]
- Heron, M.; Anderson, R.N. Changes in the Leading Cause of Death: Recent Patterns in Heart Disease and Cancer Mortality. In NCHS Data Brief; National Center for Health Statistics (US): Hyattsville, MD, USA, 2016. [Google Scholar]
- Sung, H.; Ferlay, J.; Siegel, R.L.; Laversanne, M.; Soerjomataram, I.; Jemal, A.; Bray, F. Global Cancer Statistics 2020: GLOBOCAN Estimates of Incidence and Mortality Worldwide for 36 Cancers in 185 Countries. CA Cancer J. Clin. 2021, 71, 209–249. [Google Scholar] [CrossRef]
- Siegel, R.L.; Miller, K.D.; Fuchs, H.E.; Jemal, A. Cancer Statistics, 2021. CA Cancer J. Clin. 2021, 71, 7–33. [Google Scholar] [CrossRef]
- Denkert, C.; Liedtke, C.; Tutt, A.; Von Minckwitz, G. Breast Cancer 3 Molecular Alterations in Triple-Negative Breast Cancer—The Road to New Treatment Strategies Search Strategy and Selection Criteria. Lancet 2017, 389, 2430–2442. [Google Scholar] [CrossRef]
- Kumar, P.; Aggarwal, R. An Overview of Triple-Negative Breast Cancer. Arch. Gynecol. Obstet. 2016, 293, 247–269. [Google Scholar] [CrossRef]
- van den Ende, N.S.; Nguyen, A.H.; Jager, A.; Kok, M.; Debets, R.; van Deurzen, C.H.M. Triple-Negative Breast Cancer and Predictive Markers of Response to Neoadjuvant Chemotherapy: A Systematic Review. Int. J. Mol. Sci. 2023, 24, 2969. [Google Scholar] [CrossRef]
- Ferrari, P.; Scatena, C.; Ghilli, M.; Bargagna, I.; Lorenzini, G.; Nicolini, A. Molecular Mechanisms, Biomarkers and Emerging Therapies for Chemotherapy Resistant TNBC. Int. J. Mol. Sci. 2022, 23, 1665. [Google Scholar] [CrossRef]
- Dent, R.; Trudeau, M.; Pritchard, K.I.; Hanna, W.M.; Kahn, H.K.; Sawka, C.A.; Lickley, L.A.; Rawlinson, E.; Sun, P.; Narod, S.A. Triple-Negative Breast Cancer: Clinical Features and Patterns of Recurrence. Clin. Cancer Res. 2007, 13, 4429–4434. [Google Scholar] [CrossRef]
- Karim, A.M.; Eun Kwon, J.; Ali, T.; Jang, J.; Ullah, I.; Lee, Y.G.; Park, D.W.; Park, J.; Jeang, J.W.; Kang, S.C. Triple-Negative Breast Cancer: Epidemiology, Molecular Mechanisms, and Modern Vaccine-Based Treatment Strategies. Biochem. Pharmacol. 2023, 212, 115545. [Google Scholar] [CrossRef]
- Yin, L.; Duan, J.J.; Bian, X.W.; Yu, S.C. Triple-Negative Breast Cancer Molecular Subtyping and Treatment Progress. Breast Cancer Res. 2020, 22, 61. [Google Scholar] [CrossRef]
- Jiang, W.; Liang, M.; Lei, Q.; Li, G.; Wu, S. The Current Status of Photodynamic Therapy in Cancer Treatment. Cancers 2023, 15, 585. [Google Scholar] [CrossRef]
- Van Straten, D.; Mashayekhi, V.; De Bruijn, H.S.; Oliveira, S.; Robinson, D.J.; Hamblin, M. Oncologic Photodynamic Therapy: Basic Principles, Current Clinical Status and Future Directions. Cancers 2017, 9, 19. [Google Scholar] [CrossRef]
- Baptista, M.S.; Cadet, J.; Di Mascio, P.; Ghogare, A.A.; Greer, A.; Hamblin, M.R.; Lorente, C.; Nunez, S.C.; Ribeiro, M.S.; Thomas, A.H.; et al. Type I and Type II Photosensitized Oxidation Reactions: Guidelines and Mechanistic Pathways. Photochem. Photobiol. 2017, 93, 912–919. [Google Scholar] [CrossRef]
- Yang, F.; Xu, M.; Chen, X.; Luo, Y. Spotlight on Porphyrins: Classifications, Mechanisms and Medical Applications. Biomed. Pharmacother. 2023, 164, 114933. [Google Scholar] [CrossRef] [PubMed]
- Gustalik, J.; Aebisher, D.; Bartusik-Aebisher, D. Photodynamic Therapy in Breast Cancer Treatment. J. Appl. Biomed. 2022, 20, 98–105. [Google Scholar] [CrossRef]
- Detty, M.R.; Gibson, S.L.; Wagner, S.J. Current Clinical and Preclinical Photosensitizers for Use in Photodynamic Therapy. J. Med. Chem. 2004, 47, 3897–3915. [Google Scholar] [CrossRef]
- Gunaydin, G.; Gedik, M.E.; Ayan, S. Photodynamic Therapy—Current Limitations and Novel Approaches. Front. Chem. 2021, 9, 691697. [Google Scholar] [CrossRef]
- Udrea, A.M.; Smarandache, A.; Dinache, A.; Mares, C.; Nistorescu, S.; Avram, S.; Staicu, A. Photosensitizers-Loaded Nanocarriers for Enhancement of Photodynamic Therapy in Melanoma Treatment. Pharmaceutics 2023, 15, 2124. [Google Scholar] [CrossRef] [PubMed]
- Giuntini, F.; Alonso, C.M.A.; Boyle, R.W. Synthetic Approaches for the Conjugation of Porphyrins and Related Macrocycles to Peptides and Proteins. Photochem. Photobiol. Sci. 2011, 10, 759–791. [Google Scholar] [CrossRef] [PubMed]
- Agostinis, P.; Berg, K.; Cengel, K.A.; Foster, T.H.; Girotti, A.W.; Gollnick, S.O.; Hahn, S.M.; Hamblin, M.R.; Juzeniene, A.; Kessel, D.; et al. Photodynamic Therapy of Cancer: An Update. CA Cancer J. Clin. 2011, 61, 250–281. [Google Scholar] [CrossRef]
- Lemmon, M.A.; Schlessinger, J.; Ferguson, K.M. The EGFR Family: Not so Prototypical Receptor Tyrosine Kinases. Cold Spring Harb. Perspect. Biol. 2014, 6, a020768. [Google Scholar] [CrossRef] [PubMed]
- Iyer, R.S.; Needham, S.R.; Galdadas, I.; Davis, B.M.; Roberts, S.K.; Man, R.C.H.; Zanetti-Domingues, L.C.; Clarke, D.T.; Fruhwirth, G.O.; Parker, P.J.; et al. Drug-Resistant EGFR Mutations Promote Lung Cancer by Stabilizing Interfaces in Ligand-Free Kinase-Active EGFR Oligomers. Nat. Commun. 2024, 15, 2130. [Google Scholar] [CrossRef]
- Levantini, E.; Maroni, G.; Del Re, M.; Tenen, D.G. EGFR Signaling Pathway as Therapeutic Target in Human Cancers. Semin. Cancer Biol. 2022, 85, 253–275. [Google Scholar] [CrossRef]
- Tang, M.; Ni, J.; Yue, Z.; Sun, T.; Chen, C.; Ma, X.; Wang, L. Polyoxometalate-Nanozyme-Integrated Nanomotors (POMotors) for Self-Propulsion-Promoted Synergistic Photothermal-Catalytic Tumor Therapy. Angew. Chem.-Int. Ed. 2024, 63, e202315031. [Google Scholar] [CrossRef]
- Zhou, F.; Guo, H.; Xia, Y.; Le, X.; Tan, D.S.; Ramalingam, S.S.; Zhou, C. The Changing Treatment Landscape of EGFR-Mutant Non-Small-Cell Lung Cancer. Nat. Rev. Clin. Oncol. 2025, 22, 95–116. [Google Scholar] [CrossRef]
- Kim, A.; Jang, M.H.; Lee, S.J.; Bae, Y.K. Mutations of the Epidermal Growth Factor Receptor Gene in Triple-Negative Breast Cancer. J. Breast Cancer 2017, 20, 150. [Google Scholar] [CrossRef]
- Vale, N.; Ramos, R.; Cruz, I.; Pereira, M. Application of Peptide-Conjugated Photosensitizers for Photodynamic Cancer Therapy: A Review. Organics 2024, 5, 429–442. [Google Scholar] [CrossRef]
- Li, Q.; Ming, R.; Huang, L.; Zhang, R. Versatile Peptide-Based Nanosystems for Photodynamic Therapy. Pharmaceutics 2024, 16, 218. [Google Scholar] [CrossRef]
- Boohaker, R.J.; Lee, M.W.; Vishnubhotla, P.; Perez, J.M.; Khaled, A.R. The Use of Therapeutic Peptides to Target and to Kill Cancer Cells. Curr. Med. Chem. 2012, 19, 3794–3804. [Google Scholar] [CrossRef] [PubMed]
- Liu, R.; Li, X.; Xiao, W.; Lam, K.S. Tumor-Targeting Peptides from Combinatorial Libraries. Adv. Drug Deliv. Rev. 2017, 110–111, 13–37. [Google Scholar] [CrossRef] [PubMed]
- Zhu, Y.S.; Tang, K.; Lv, J. Peptide–Drug Conjugate-Based Novel Molecular Drug Delivery System in Cancer. Trends Pharmacol. Sci. 2021, 42, 857–869. [Google Scholar] [CrossRef]
- Ruoslahti, E. Tumor Penetrating Peptides for Improved Drug Delivery. Adv. Drug Deliv. Rev. 2017, 110–111, 3–12. [Google Scholar] [CrossRef] [PubMed]
- Sha, H.; Zou, Z.; Xin, K.; Bian, X.; Cai, X.; Lu, W.; Chen, J.; Chen, G.; Huang, L.; Blair, A.M.; et al. Tumor-Penetrating Peptide Fused EGFR Single-Domain Antibody Enhances Cancer Drug Penetration into 3D Multicellular Spheroids and Facilitates Effective Gastric Cancer Therapy. J. Control. Release 2015, 200, 188–200. [Google Scholar] [CrossRef] [PubMed]
- Hailing, T.; Yonghong, P.; Yufeng, Z.; Haitao, T. Challenges for the Application of EGFR-Targeting Peptide GE11 in Tumor Diagnosis and Treatment. J. Control. Release 2022, 349, 592–605. [Google Scholar] [CrossRef] [PubMed]
- Liu, Q.; Zhou, J.; Gao, J.; Ma, W.; Wang, S.; Xing, L. Rational Design of EGFR Dimerization-Disrupting Peptides: A New Strategy to Combat Drug Resistance in Targeted Lung Cancer Therapy. Biochimie 2020, 176, 128–137. [Google Scholar] [CrossRef]
- Zhao, N.; Williams, T.M.; Zhou, Z.; Fronczek, F.R.; Sibrian-Vazquez, M.; Jois, S.D.; Vicente, M.G.H. Synthesis of BODIPY-Peptide Conjugates for Fluorescence Labeling of EGFR Overexpressing Cells. Bioconjug. Chem. 2017, 28, 1566–1579. [Google Scholar] [CrossRef]
- Yu, L.; Wang, Q.; Wong, R.C.H.; Zhao, S.; Ng, D.K.P.; Lo, P.C. Synthesis and Biological Evaluation of Phthalocyanine-Peptide Conjugate for EGFR-Targeted Photodynamic Therapy and Bioimaging. Dye. Pigment. 2019, 163, 197–203. [Google Scholar] [CrossRef]
- Master, A.M.; Livingston, M.; Oleinick, N.L.; Sen Gupta, A. Optimization of a Nanomedicine-Based Silicon Phthalocyanine 4 Photodynamic Therapy (Pc 4-PDT) Strategy for Targeted Treatment of EGFR-Overexpressing Cancers. Mol. Pharm. 2012, 9, 2331–2338. [Google Scholar] [CrossRef] [PubMed]
- Chu, W.Y.; Tsai, M.H.; Peng, C.L.; Shih, Y.H.; Luo, T.Y.; Yang, S.J.; Shieh, M.J. PH-Responsive Nanophotosensitizer for an Enhanced Photodynamic Therapy of Colorectal Cancer Overexpressing EGFR. Mol. Pharm. 2018, 15, 1432–1444. [Google Scholar] [CrossRef]
- Bortnevskaya, Y.S.; Shiryaev, N.A.; Zakharov, N.S.; Kitoroage, O.O.; Gradova, M.A.; Karpechenko, N.Y.; Novikov, A.S.; Nikolskaya, E.D.; Mollaeva, M.R.; Yabbarov, N.G.; et al. Synthesis and Biological Properties of EGFR-Targeted Photosensitizer Based on Cationic Porphyrin. Pharmaceutics 2023, 15, 1284. [Google Scholar] [CrossRef]
- Fontenot, K.R.; Ongarora, B.G.; Leblanc, L.E.; Zhou, Z.; Jois, S.D.; Vicente, M.G.H. Targeting of the Epidermal Growth Factor Receptor with Mesoporphyrin IX-Peptide Conjugates. J. Porphyr. Phthalocyanines 2016, 20, 352–366. [Google Scholar] [CrossRef] [PubMed]
- Banfi, S.; Caruso, E.; Buccafurni, L.; Murano, R.; Monti, E.; Gariboldi, M.; Papa, E.; Gramatica, P. Comparison between 5,10,15,20-Tetraaryl- and 5,15-Diarylporphyrins as Photosensitizers: Synthesis, Photodynamic Activity, and Quantitative Structure-Activity Relationship Modeling. J. Med. Chem. 2006, 49, 3293–3304. [Google Scholar] [CrossRef]
- Banfi, S.; Caruso, E.; Fieni, E.; Buccafurni, L.; Gariboldi, M.B.; Ravizza, R.; Monti, E. Synthesis and Photodynamic Activity of Diaryl-Porphyrins Characterized by the Presence of Nitro Groups. J. Porphyr. Phthalocyanines 2006, 10, 1319–1326. [Google Scholar] [CrossRef]
- Caruso, E.; Malacarne, M.C.; Banfi, S.; Gariboldi, M.B.; Orlandi, V.T. Cationic Diarylporphyrins: In Vitro Versatile Anticancer and Antibacterial Photosensitizers. J. Photochem. Photobiol. B Biol. 2019, 197, 111548. [Google Scholar] [CrossRef]
- Costa, J.I.T.; Tomé, A.C.; Neves, M.G.P.M.S.; Cavaleiro, J.A.S. 5,10,15,20-Tetrakis(Pentafluorophenyl)Porphyrin: A Versatile Platform to Novel Porphyrinic Materials. J. Porphyr. Phthalocyanines 2011, 15, 1116–1133. [Google Scholar] [CrossRef]
- Dognini, P.; Chaudhry, T.; Scagnetti, G.; Assante, M.; Hanson, G.S.M.; Ross, K.; Giuntini, F.; Coxon, C.R. 5,10,15,20-Tetrakis(Pentafluorophenyl)Porphyrin as a Functional Platform for Peptide Stapling and Multicyclisation. Chem.-A Eur. J. 2023, 29, e202301410. [Google Scholar] [CrossRef] [PubMed]
- Dognini, P.; Killoran, P.M.; Hanson, G.S.; Halsall, L.; Chaudhry, T.; Islam, Z.; Giuntini, F.; Coxon, C.R. Using 19F NMR and Two-Level Factorial Design to Explore Thiol-Fluoride Substitution in Hexafluorobenzene and Its Application in Peptide Stapling and Cyclisation. Pept. Sci. 2021, 113, e24182. [Google Scholar] [CrossRef]
- Lash, T.D. What’s in a Name? The MacDonald Condensation. J. Porphyr. Phthalocyanines 2016, 20, 855–888. [Google Scholar] [CrossRef]
- Pereira, N.A.M.; Pinho E Melo, T.M.V.D. Recent Developments in the Synthesis of Dipyrromethanes. A Review. Org. Prep. Proced. Int. 2014, 46, 183–213. [Google Scholar] [CrossRef]
- Chevalier, F.; Geier, G.R.; Lindsey, J.S. Acidolysis of Intermediates Used in the Preparation of Core-Modified Porphyrinic Macrocycles. J. Porphyr. Phthalocyanines 2002, 6, 186–197. [Google Scholar] [CrossRef]
- Andrews, L.E.; Bonnett, R.; Kozyrev, A.N.; Appelman, E.H. Meso-Reactivity of Porphyrins and Related Compounds. Part 10. Direct Fluorination of Octaethylporphyrin with Caesium Fluoroxysulphate. J. Chem. Soc. Perkin Trans. 1 1988, 1, 1735–1738. [Google Scholar] [CrossRef]
- Naruta, Y.; Tani, F.; Maruyama, K. Meso-Perfluorination of Porphyrins with N-Fluoropyridinium Triflate. Tetrahedron Lett. 1992, 33, 1069–1072. [Google Scholar] [CrossRef]
- Kielmann, M.; Flanagan, K.J.; Norvaiša, K.; Intrieri, D.; Senge, M.O. Synthesis of a Family of Highly Substituted Porphyrin Thioethers via Nitro Displacement in 2,3,7,8,12,13,17,18-Octaethyl-5,10,15,20-Tetranitroporphyrin. J. Org. Chem. 2017, 82, 5122–5134. [Google Scholar] [CrossRef]
- Hossein-Nejad-Ariani, H.; Althagafi, E.; Kaur, K. Small Peptide Ligands for Targeting EGFR in Triple Negative Breast Cancer Cells. Sci. Rep. 2019, 9, 2723. [Google Scholar] [CrossRef] [PubMed]
- Li, Y.; Zhang, P.; Xie, Y.; Yang, J.; Yang, Y.; Shi, L.; Wu, W.; Li, Z. Photosensitizers with Multiple Degradation Modes for Efficient and Postoperatively Safe Photodynamic Therapy. Biomaterials 2023, 299, 122182. [Google Scholar] [CrossRef]
- Bonnett, R.; Martínez, G. Photobleaching of Sensitisers Used in Photodynamic Therapy. Tetrahedron 2001, 57, 9513–9547. [Google Scholar] [CrossRef]
- Troitskaya, O.; Novak, D.; Nushtaeva, A.; Savinkova, M.; Varlamov, M.; Ermakov, M.; Richter, V.; Koval, O. Egfr Transgene Stimulates Spontaneous Formation of Mcf7 Breast Cancer Cells Spheroids with Partly Loss of Her3 Receptor. Int. J. Mol. Sci. 2021, 22, 12937. [Google Scholar] [CrossRef]
- Vranic, S.; Gatalica, Z.; Wang, Z.Y. Update on the Molecular Profile of the MDA-MB-453 Cell Line as a Model for Apocrine Breast Carcinoma Studies. Oncol. Lett. 2011, 2, 1131–1137. [Google Scholar] [CrossRef]
- Peng, Q. Chapter 4 Correlation of Intracellular and Intratumoral Photosensitizer Distribution with Photodynamic Effect. In Comprehensive Series in Photosciences; Elsevier: Amsterdam, The Netherlands, 2001; Volume 2. [Google Scholar]
- Scow, J.S.; Madhavan, S.; Chaudhry, R.M.; Zheng, Y.; Duenes, J.A.; Sarr, M.G. Differentiating Passive from Transporter-Mediated Uptake by PepT1: A Comparison and Evaluation of Four Methods. J. Surg. Res. 2011, 170, 17–23. [Google Scholar] [CrossRef]
- Kessel, D.; Oleinick, N.L. Cell Death Pathways Associated with Photodynamic Therapy: An Update. Photochem. Photobiol. 2018, 94, 213–218. [Google Scholar] [CrossRef]
- Moor, A.C.E. Signaling Pathways in Cell Death and Survival after Photodynamic Therapy. J. Photochem. Photobiol. B Biol. 2000, 57, 1–13. [Google Scholar] [CrossRef]
- Ghasemi, M.; Liang, S.; Luu, Q.M.; Kempson, I. The MTT Assay: A Method for Error Minimization and Interpretation in Measuring Cytotoxicity and Estimating Cell Viability. In Methods in Molecular Biology; Springer: New York, NY, USA, 2023; Volume 2644. [Google Scholar]
- Madorran, E.; Ambrož, M.; Knez, J.; Sobočan, M. AnOverview of the Current State of Cell Viability Assessment Methods Using OECD Classification. Int. J. Mol. Sci. 2025, 26, 220. [Google Scholar] [CrossRef]
- de Melo Gomes, L.C.; de Oliveira Cunha, A.B.; Peixoto, L.F.F.; Zanon, R.G.; Botelho, F.V.; Silva, M.J.B.; Pinto-Fochi, M.E.; Góes, R.M.; de Paoli, F.; Ribeiro, D.L. Photodynamic Therapy Reduces Cell Viability, Migration and Triggers Necroptosis in Prostate Tumor Cells. Photochem. Photobiol. Sci. 2023, 22, 1341–1356. [Google Scholar] [CrossRef]
- Žárská, L.; Malá, Z.; Langová, K.; Malina, L.; Binder, S.; Bajgar, R.; Henke, P.; Mosinger, J.; Kolářová, H. Biological Evaluation of Photodynamic Effect Mediated by Nanoparticles with Embedded Porphyrin Photosensitizer. Int. J. Mol. Sci. 2022, 23, 3588. [Google Scholar] [CrossRef] [PubMed]
- Sai, D.L.; Lee, J.; Nguyen, D.L.; Kim, Y.P. Tailoring Photosensitive ROS for Advanced Photodynamic Therapy. Exp. Mol. Med. 2021, 53, 495–504. [Google Scholar] [CrossRef]
- Shi, X.; Zhang, C.Y.; Gao, J.; Wang, Z. Recent Advances in Photodynamic Therapy for Cancer and Infectious Diseases. Wiley Interdiscip. Rev. Nanomed. Nanobiotechnol. 2019, 11, e1560. [Google Scholar] [CrossRef]
- Lucky, S.S.; Soo, K.C.; Zhang, Y. Nanoparticles in Photodynamic Therapy. Chem. Rev. 2015, 115, 1990–2042. [Google Scholar] [CrossRef]
- Tada, D.B.; Baptista, M.S. Photosensitizing Nanoparticles and the Modulation of ROS Generation. Front. Chem. 2015, 3, 33. [Google Scholar] [CrossRef]
- Wen, J.; Luo, Y.; Gao, H.; Zhang, L.; Wang, X.; Huang, J.; Shang, T.; Zhou, D.; Wang, D.; Wang, Z.; et al. Mitochondria-Targeted Nanoplatforms for Enhanced Photodynamic Therapy against Hypoxia Tumor. J. Nanobiotechnol. 2021, 19, 440. [Google Scholar] [CrossRef]
- Cai, Y.; Chai, T.; Nguyen, W.; Liu, J.; Xiao, E.; Ran, X.; Ran, Y.; Du, D.; Chen, W.; Chen, X. Phototherapy in Cancer Treatment: Strategies and Challenges. Signal Transduct. Target. Ther. 2025, 10, 115. [Google Scholar] [CrossRef]
- An, J.; Tang, S.; Hong, G.; Chen, W.; Chen, M.; Song, J.; Li, Z.; Peng, X.; Song, F.; Zheng, W.H. An Unexpected Strategy to Alleviate Hypoxia Limitation of Photodynamic Therapy by Biotinylation of Photosensitizers. Nat. Commun. 2022, 13, 2225. [Google Scholar] [CrossRef]
- Yoo, J.O.; Ha, K.S. New Insights into the Mechanisms for Photodynamic Therapy-Induced Cancer Cell Death. Int. Rev. Cell Mol. Biol. 2012, 295, 139–174. [Google Scholar]
- Mishchenko, T.; Balalaeva, I.; Gorokhova, A.; Vedunova, M.; Krysko, D.V. Which Cell Death Modality Wins the Contest for Photodynamic Therapy of Cancer? Cell Death Dis. 2022, 13, 455. [Google Scholar] [CrossRef] [PubMed]
- Deng, H.; Zhou, Z.; Yang, W.; Lin, L.S.; Wang, S.; Niu, G.; Song, J.; Chen, X. Endoplasmic Reticulum Targeting to Amplify Immunogenic Cell Death for Cancer Immunotherapy. Nano Lett. 2020, 20, 1928–1933. [Google Scholar] [CrossRef] [PubMed]
- Turubanova, V.D.; Balalaeva, I.V.; Mishchenko, T.A.; Catanzaro, E.; Alzeibak, R.; Peskova, N.N.; Efimova, I.; Bachert, C.; Mitroshina, E.V.; Krysko, O.; et al. Immunogenic Cell Death Induced by a New Photodynamic Therapy Based on Photosens and Photodithazine. J. Immunother. Cancer 2019, 7, 350. [Google Scholar] [CrossRef]
- Agostinis, P.; Buytaert, E.; Breyssens, H.; Hendrickx, N. Regulatory Pathways in Photodynamic Therapy Induced Apoptosis. Photochem. Photobiol. Sci. 2004, 3, 721–729. [Google Scholar] [CrossRef] [PubMed]
- Duan, X.; Chen, B.; Cui, Y.; Zhou, L.; Wu, C.; Yang, Z.; Wen, Y.; Miao, X.; Li, Q.; Xiong, L.; et al. Ready Player One? Autophagy Shapes Resistance to Photodynamic Therapy in Cancers. Apoptosis 2018, 23, 587–606. [Google Scholar] [CrossRef]
- Castano, A.P.; Demidova, T.N.; Hamblin, M.R. Mechanisms in Photodynamic Therapy: Part One—Photosensitizers, Photochemistry and Cellular Localization. Photodiagnosis Photodyn. Ther. 2004, 1, 279–293. [Google Scholar] [CrossRef]
- Kabeya, Y.; Mizushima, N.; Yamamoto, A.; Oshitani-Okamoto, S.; Ohsumi, Y.; Yoshimori, T. LC3, GABARAP and GATE16 Localize to Autophagosomal Membrane Depending on Form-II Formation. J. Cell Sci. 2004, 117, 2805–2812. [Google Scholar] [CrossRef]
- Martins, W.K.; Belotto, R.; Silva, M.N.; Grasso, D.; Suriani, M.D.; Lavor, T.S.; Itri, R.; Baptista, M.S.; Tsubone, T.M. Autophagy Regulation and Photodynamic Therapy: Insights to Improve Outcomes of Cancer Treatment. Front. Oncol. 2021, 10, 610472. [Google Scholar] [CrossRef]
- Lu, Z.; Jiang, G.; Blume-Jensen, P.; Hunter, T. Epidermal Growth Factor-Induced Tumor Cell Invasion and Metastasis Initiated by Dephosphorylation and Downregulation of Focal Adhesion Kinase. Mol. Cell. Biol. 2001, 21, 4016–4031. [Google Scholar] [CrossRef]
- Wyckoff, J.B.; Jones, J.G.; Condeelis, J.S.; Segall, J.E. A Critical Step in Metastasis: In Vivo Analysis of Intravasation at the Primary Tumor. Cancer Res. 2000, 60, 2504–2511. [Google Scholar] [PubMed]
- Ohnishi, Y.; Yasui, H.; Kakudo, K.; Nozaki, M. Regulation of Cell Migration via the EGFR Signaling Pathway in Oral Squamous Cell Carcinoma Cells. Oncol. Lett. 2017, 13, 930–936. [Google Scholar] [CrossRef]
- Obidiro, O.; Battogtokh, G.; Akala, E.O. Triple Negative Breast Cancer Treatment Options and Limitations: Future Outlook. Pharmaceutics 2023, 15, 1796. [Google Scholar] [CrossRef]
- Caruso, E.; Cerbara, M.; Malacarne, M.C.; Marras, E.; Monti, E.; Gariboldi, M.B. Synthesis and Photodynamic Activity of Novel Non-Symmetrical Diaryl Porphyrins against Cancer Cell Lines. J. Photochem. Photobiol. B Biol. 2019, 195, 39–50. [Google Scholar] [CrossRef] [PubMed]
- Isik, S.; Ozcesmeci, M.; Burat, A.K.; Hamuryudan, E.; Can, O.; Serhatli, M. Anti-Angiogenic Effects of Cationic Zinc (II) Phthalocyanine Derivatives through Photodynamic Therapy. Sci. Rep. 2025, 15, 2498. [Google Scholar] [CrossRef] [PubMed]
- Alhoussein, J.; Merabishvili, K.; Ho, T.; Elkihel, A.; Cressey, P.; Tóth, Á.; Qian, A.; Hery, M.; Vergnaud, J.; Domenichini, S.; et al. Next Generation of Porphysomes for Improved Photodynamic Therapy Applications. J. Control. Release 2025, 381, 113621. [Google Scholar] [CrossRef]
- Li, Z.; Zhao, R.; Wu, X.; Sun, Y.; Yao, M.; Li, J.; Xu, Y.; Gu, J. Identification and Characterization of a Novel Peptide Ligand of Epidermal Growth Factor Receptor for Targeted Delivery of Therapeutics. FASEB J. 2005, 19, 1978–1985. [Google Scholar] [CrossRef]










Disclaimer/Publisher’s Note: The statements, opinions and data contained in all publications are solely those of the individual author(s) and contributor(s) and not of MDPI and/or the editor(s). MDPI and/or the editor(s) disclaim responsibility for any injury to people or property resulting from any ideas, methods, instructions or products referred to in the content. |
© 2025 by the authors. Licensee MDPI, Basel, Switzerland. This article is an open access article distributed under the terms and conditions of the Creative Commons Attribution (CC BY) license (https://creativecommons.org/licenses/by/4.0/).
Share and Cite
Malacarne, M.C.; Randisi, F.; Marras, E.; Giovannardi, S.; Dognini, P.; Simm, A.M.; Giuntini, F.; Gariboldi, M.B.; Caruso, E. EGFR-Targeted Photodynamic Treatment of Triple Negative Breast Cancer Cell Lines Using Porphyrin–Peptide Conjugates: Synthesis and Mechanistic Insight. Molecules 2025, 30, 3533. https://doi.org/10.3390/molecules30173533
Malacarne MC, Randisi F, Marras E, Giovannardi S, Dognini P, Simm AM, Giuntini F, Gariboldi MB, Caruso E. EGFR-Targeted Photodynamic Treatment of Triple Negative Breast Cancer Cell Lines Using Porphyrin–Peptide Conjugates: Synthesis and Mechanistic Insight. Molecules. 2025; 30(17):3533. https://doi.org/10.3390/molecules30173533
Chicago/Turabian StyleMalacarne, Miryam Chiara, Federica Randisi, Emanuela Marras, Stefano Giovannardi, Paolo Dognini, Alan Mark Simm, Francesca Giuntini, Marzia Bruna Gariboldi, and Enrico Caruso. 2025. "EGFR-Targeted Photodynamic Treatment of Triple Negative Breast Cancer Cell Lines Using Porphyrin–Peptide Conjugates: Synthesis and Mechanistic Insight" Molecules 30, no. 17: 3533. https://doi.org/10.3390/molecules30173533
APA StyleMalacarne, M. C., Randisi, F., Marras, E., Giovannardi, S., Dognini, P., Simm, A. M., Giuntini, F., Gariboldi, M. B., & Caruso, E. (2025). EGFR-Targeted Photodynamic Treatment of Triple Negative Breast Cancer Cell Lines Using Porphyrin–Peptide Conjugates: Synthesis and Mechanistic Insight. Molecules, 30(17), 3533. https://doi.org/10.3390/molecules30173533

