Next Article in Journal
Chemical Versus Biological Approaches to the Synthesis of Lactobionic Acid: A Review
Previous Article in Journal
The Elicitation of an Antigen-Specific Antibody Immune Response Using a Nanoparticulate Adjuvant Derived from Saponaria officinalis
Previous Article in Special Issue
Biological Activity Evaluation Against Fusarium oxysporum, Fusarium circinatum, and Meloidogyne incognita of Bioactives-Enriched Extracts of Ruta graveolens L.
 
 
Font Type:
Arial Georgia Verdana
Font Size:
Aa Aa Aa
Line Spacing:
Column Width:
Background:
Article

Essential Oils from Wild Albanian Lamiaceae: GC-MS Profiling, Biological Activity, and Enhanced Delivery via Nanoencapsulation

by
Elton Basha
1,*,
Erjon Mamoçi
2,
Aniket Sharma
3,
Entela Hodaj-Çeliku
4,
Sanije Zejnelhoxha
2,
Mădălina L. Medeleanu
5,
Sonia A. Socaci
5 and
Bledar Bisha
3
1
Department of Agri-Food Technology, Agricultural University of Tirana, 1025 Tirana, Albania
2
Department of Food Science and Biotechnology, Agricultural University of Tirana, 1025 Tirana, Albania
3
Department of Animal Science, University of Wyoming, Wyoming, WY 82071, USA
4
Department of Chemistry, Agricultural University of Tirana, 1025 Tirana, Albania
5
Department of Food Science, Faculty of Food Science and Technology, University of Agricultural Sciences and Veterinary Medicine of Cluj-Napoca, 400372 Cluj-Napoca, Romania
*
Author to whom correspondence should be addressed.
Molecules 2025, 30(16), 3329; https://doi.org/10.3390/molecules30163329
Submission received: 12 July 2025 / Revised: 29 July 2025 / Accepted: 4 August 2025 / Published: 9 August 2025
(This article belongs to the Special Issue Natural Products: Extraction, Analysis and Biological Activities)

Abstract

The growing demand for natural preservatives has driven interest in essential oils (EOs) from medicinal and aromatic plants. This study examines the potential of EOs from six wild populations of Albanian Lamiaceae, specifically Origanum vulgare subsp. hirtum, Thymbra capitata, and Satureja montana species, to be utilized for food conservation, among other possible uses. The EOs were extracted by hydrodistillation, and their chemical profiles were analyzed through GC-MS. DPPH and ABTS assays were performed to evaluate antioxidant activity. The antimicrobial efficacy of the oils was assessed using the broth microdilution method against six common foodborne pathogens: Salmonella enterica serovar Enteritidis, Escherichia coli, Pseudomonas aeruginosa, Stenotrophomonas maltophilia, Micrococcus luteus, and one fungus, Candida albicans. The most potent EOs in terms of yield and biological activity, resulting from O. vulgare subsp. hirtum and T. capitata, were encapsulated in oil-in-water emulsions, which were characterized for particle size and zeta potential. The results show that the populations of O.vulgare subsp. hirtum and T. capitata taken in the study belong to carvacrol chemotypes, and their EOs show strong antioxidant activity and are effective against all tested microorganisms. Nanoemulsions prepared with these EOs showed promising stability, indicating their potential as natural preservatives in food applications.

Graphical Abstract

1. Introduction

The demand for natural preservatives that can replace artificial additives in food products is increasing due to a growing focus over food safety and shelf-life enhancement [1,2]. Although synthetic preservatives are effective, they often provoke health and toxicity concerns, leading customers to prefer more natural food additives. This has led to a renewed interest in plant-based natural preservatives, especially essential oils (EOs) [2]. EOs are complex mixtures of volatile organic compounds that are extracted from plants and possess a variety of bioactive qualities, among which are antioxidant, antimicrobial, and anticarcinogenic effects [3]. From the many plant families, the Lamiaceae family, which includes medicinal and aromatic plants (MAPs) like Origanum, Thymbra, and Satureja geniuses, has been found to contain considerable amounts of EOs with strong biological activity, which suggests that they could be used as natural food preservatives [4].
In this group, Origanum vulgare subsp. hirtum L., Thymbra capitata (L.) Cav., and Satureja montana L. are three MAPs used for culinary and medicinal purposes which are extensively found wild-grown in Albania and make up considerable export volumes for the country.
Origanum vulgare subs. hirtum (L.) is a perennial shrub with small green bracts and white flowers. It is very common in the spontaneous flora of Albania, Croatia, Greece, and Turkey [5]. In Albania, it can be found in the central part, but mostly it spontaneously flourishes in the south of the country [6]. Locally known as “White Oregano” (internationally referred as Greek Oregano) and is one of the two Origanum vulgare L. subspecies found in Albania, the other being “Red oregano” (Origanum vulgare L. subsp. vulgare). Compared to the vulgare subspecies, White Oregano contains higher amounts of essential oil [7,8], a reason for which it is widely used to produce commercial oregano EO, whereas its leaves are commonly applied as a spice in the Mediterranean culture [9]. The EO of O. vulgare subs. hirtum shows high concentrations of carvacrol and thymol as major constituents, accompanied by other metabolites in lower concentrations such as p-Cymene and γ-Terpinene [7].
Thymbra capitata (L.) Cav., also referred to as Thymus capitatus or Satureja capitata (L.) Cav. or Coridothymus capitatus (L.) Rchb.f., is a perennial and ornamental shrub endemic of the Mediterranean region [10]. It is known, especially for its medicinal uses, since ancient times [11]. In Albania, it is primarily located in the southern region, where it is often referred as “wild oregano”, owing to its aromatic similarity to the widely utilized White Oregano, likely due to the presence of the same principal constituents [12]. The extracts and EOs of T. capitata have been extensively analyzed for their phytochemical composition, revealing over 90 chemicals. The EO from T. capitata is mainly composed of phenolic monoterpenes such as carvacrol and thymol. Other compounds like p-cymene, γ-terpinene, β-caryophyllene, linalool, and borneol are significantly present. Usually, hydrodistillation is used to extract T.capitata EO, which reveals three chemotypes: carvacrol, thymol, and a combination of both [13].
Satureja montana (commonly known as winter savory) is also a perennial aromatic herb in the Lamiaceae family, native to the Mediterranean region and southern Europe. In Albania it is mostly found in mountainous areas even though it could be encountered from sea level. Same as for the two species described above, it is widely valued for its culinary and medicinal properties and is mostly used as a spice. Its EO, same as O. vulgare subsp. hirtum and Thymbra capitata, has the principal components carvacrol and thymol, which commonly occur with their chemical precursors p-cymene and γ-terpinene [12].
Carvacrol and thymol, two phenolic compounds possessing significant antibacterial and antioxidant properties, are prevalent in EOs derived from the Lamiaceae species, including O. vulgare subsp. hirtum L., T. capitata, and S. montana [14]. These compounds are suitable for food preservation applications, as they have been shown to inhibit lipid oxidation and microbiological proliferation [15].
One of the primary functions of EOs in food preservation is their antioxidant action, preventing the oxidation of lipids and other food constituents, which can lead to rancidity and nutrient degradation. Phenolic substances in EOs, which can act as hydrogen donors and neutralize free radicals, are mainly responsible for their antioxidant properties [3]. EOs from Origanum, Thymbra, and Satureja species have been demonstrated in multiple studies to possess antioxidant properties, effectively scavenging free radicals and protecting food from oxidative damage [14,16]. The robust antioxidant capacity of T. capitata and O. vulgare EOs has been evidenced by their notable DPPH and ABTS radical scavenging activities [17]. Likewise, S. montana essential oils have shown antioxidant properties comparable to synthetic antioxidants such as butylated hydroxyanisole (BHA) and butylated hydroxytoluene (BHT) [18]. The antioxidant qualities of the Origanum and Thymbra species are largely attributed to their high concentrations of carvacrol and thymol, with carvacrol being especially potent because of its capacity to donate hydrogen atoms in order to neutralize free radicals [19].
Additionally, EOs have a well-established antimicrobial profile and have been studied for their ability to stop the growth of bacteria and fungi. It is thought that EOs’ antimicrobial properties stem from their capacity to denature proteins, damage cell membranes, and obstruct the microbial metabolism [20]. Strong activity against a variety of foodborne pathogens, such as S. Enteritidis, E. coli, P. aeruginosa, and C. albicans, has been shown by EOs derived from the Lamiaceae species, especially O. vulgare and T. capitata [21,22]. In a similar fashion as for the antioxidant properties, the principal bioactive compounds in the Origanum and Thymbra EO responsible for their antibacterial effects are thymol and carvacrol. Thymol has been shown to possess bactericidal properties against both Gram-negative and Gram-positive bacteria, including Salmonella enterica and Listeria monocytogenes [23]. Thymol is a multipurpose substance for food preservation because it has antifungal as well as antibacterial qualities [24]. These EOs’ broad-spectrum antimicrobial activity has prompted research into using them as natural food preservatives because they can control the growth of pathogens and spoilage microorganisms that cause foodborne illnesses.
Even though EOs show significant potential as natural preservatives, their application in food systems is usually limited by their volatility, especially impacting the organoleptic profile, inadequate solubility, and low stability under various environmental conditions, such as temperature and light. Encapsulation has been proposed and explored to enhance the stability, bioavailability, and controlled release of EOs in food matrices in order to overcome these challenges. By adding active ingredients to nanoscale delivery systems like nanoemulsions, preservation of EOs from deterioration and their functional qualities are enhanced [25].
Oil-in-water nanoemulsions have emerged as an effective delivery system for essential oils, as they can encapsulate hydrophobic compounds like EOs, protecting them from oxidation and enhancing their stability during storage [26]. Since the smaller droplet sizes improve the dispersion of EOs in food products, fostering a better interaction with microorganisms and enhancing their antimicrobial and antioxidant effects, nanoemulsions not only offer stability but also the benefit of increased bioavailability [27]. Origanum, Thymbra, and Satureja EOs have been successfully encapsulated in nanoemulsions in a number of studies, indicating their potential as useful food preservation ingredients [28,29,30].
Because of its varied climate and flora, the territory of Albania is very rich in different MAPs. The country’s natural landscapes host extensive wild populations of Origanum, Thymbra, and Satureja species, traditionally utilized for culinary and medicinal applications. Albanian Lamiaceae species are an appealing subject for investigation owing to their potential in food preservation, with their biodiversity and optimal growing conditions [12]. Despite the growing number of studies on the biological activities of these plants, the literature still lacks information regarding the distinctive chemical profiles, antioxidant, and antibacterial properties of Albanian varieties of Origanum vulgare subsp. hirtum, Thymbra capitata, and Satureja montana.
This work aims to fill this knowledge gap by examining the yield and chemical composition of EOs from these species sourced from various regions of Albania, assessing their bioactive properties, and exploring the viability of their nanoencapsulation for enhanced stability and efficacy in food systems and potential use as natural food preservatives.

2. Results and Discussion

2.1. Yield of Extracted EOs

EO yield (Table 1), expressed as a percentage of dry plant material, is a critical parameter in assessing a plant’s industrial potential for EO production. Origanum vulgare subsp. hirtum, commonly known as Greek Oregano, demonstrated the highest EO yields among the studied species. The essential oil of O. vulgare subsp. hirtum had a pale-yellow color with a medium yield of 3.945% (v/w), a medium percentage compared to other studies of wild populations from Albania [8,31]. These results are consistent with previous studies confirming O. vulgare subsp. hirtum has superior EO yields compared to other subspecies, and the yield of the population taken in study, if cultivated, could be improved with appropriate agronomical practices [7,32,33]. High yields in this species are often associated with rich contents of carvacrol and thymol, compounds known for their strong antimicrobial activity [34]. The high yield makes this plant a promising candidate for cultivation and commercial applications in food preservation, pharmaceuticals, and aromatherapy.
Thymbra capitata produced moderate yields with a medium of 1.205% (v/w), and sample TC-M nearly doubled the yield of TC-L. EOs resulted in a pale-yellow color. The variability in EO percentage is commonly attributed to edaphoclimatic factors, as well as plant age and genotype [35]. The authors could not identify reports of the Thymbra capitata EO yield from Albania. Similar yields have been reported in North African regions, typically ranging from 0.5% to 2.0% [36]. While the yield is lower than O. vulgare, T. capitata oils are also rich in phenolic monoterpenes like thymol and carvacrol, providing potent antimicrobial and antioxidant effects that justify its use despite moderate yields [37].
Satureja montana samples displayed the lowest EO yields in this study, with a medium yield of 0.56% (v/w) where the EO had a pale-yellow color. SM-D had a considerably higher EO yield compared to SM-B, which would make it more promising for industrial applications. However, these values fall within the range reported in prior reports from Albania and other countries where EO yields for this species are typically between 0.25% and 1.69%, depending on location and genotype [12,38,39,40]. Despite the lower oil output, the S. montana EO is often high in components associated with strong biological activities [41]. Therefore, despite lower yields, the species might hold significance in specialized applications where quality outweighs quantity.

2.2. Quantitative and Qualitative Analysis of the EOs

GC-MS analysis of the O. vulgare subsp. hirtum EOs (Figures S1 and S2) identified, in total, 26 different components, accounting for 96.68% and 97.37% of the EOs of OV-P and OV-L samples, respectively. The most abundant compound was carvacrol, followed by γ-Terpinene, p-Cymene, and thymol accounting, on average, for 77.2%, 5.6%, 3.42% and 1.28%, respectively (Table 2). These results are in line with another report of O. vulgare subsp. hirtum from south Albania where carvacrol composed 79.8% of the EOs [31]. The EO of O. vulgare subsp. hirtum is clearly a carvacrol-type, which is consistent with previous chemotaxonomic classifications of Greek Oregano [42]. Carvacrol is well known for its strong antioxidant, antimicrobial, and also anti-inflammatory properties [43].
Both oils are very similar in chemical composition with minor differences, which are unlikely to significantly alter the overall bioactivity profile.
GC-MS analysis of the T. capitata EOs (Figures S3 and S4) identified, in total, 19 different components, accounting for 93.65% and 91.6% of the EOs of TC-M and TC-L samples, respectively. The most abundant compound was carvacrol, followed by p-Cymene, and γ-Terpinene, accounting, on average, for 75.25%, 4.48%, and 3.37%, respectively (Table 3). Consistency in major components indicates genetic stability despite the environmental variability of these two populations.
T. capitata samples clearly fit the carvacrol chemotype, similar to Origanum oils, and confirms its high bioactivity profile effective against Gram-positive and Gram-negative bacteria [44] and fungi [45]. The high carvacrol levels exceed many commercial standards, and in the case of TC-M, even the maximum level of 75%, set by The International Organization for Standardization (ISO 14717:2008) [46], places these oils among the most potent natural antimicrobial agents in the Lamiaceae family.
GC-MS analysis of the S. montana EOs (Figures S5 and S6) identified, in total, 47 different components, accounting for 98.33% and 80.83% of the EOs of SM-B and SM-D samples, respectively. The most abundant compound was thymol, followed by p-Cymene, carvacrol methyl ether, and γ-Terpinene, accounting, on average, for 40.65%, 10.35%, 5.35%, and 5.05%, respectively (Table 4). Thymol was markedly higher in the SM-B sample with almost double the concentration of SM-D.
S. montana oils display a thymol chemotype, particularly in SM-B. This population presents the highest thymol concentration compared to other reports from Albania [12,38,47], making it a valuable candidate for cultivation and industrial applications. Thymol is associated with potent antiseptic and antibacterial properties [48], which could be suitable for food preservation. The higher thymol content in SM-B indicates a stronger bioactivity potential compared to SM-D. However, SM-D shows greater chemical diversity, possibly due to genetic biodiversity from ecological and geographic variability [12].
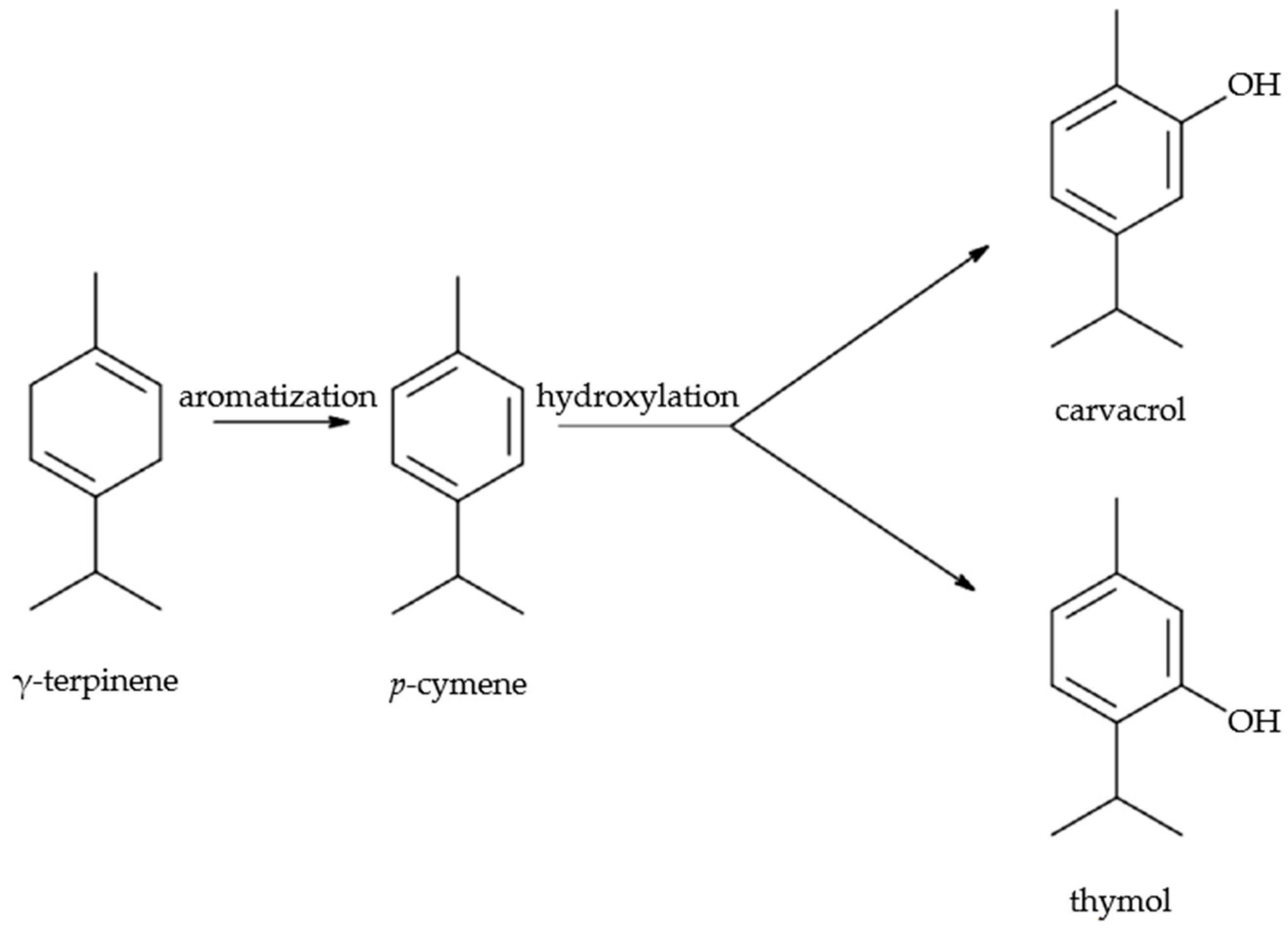
All three species contain biosynthetic precursors (γ-terpinene, p-cymene), showing enzymatic direction toward either carvacrol or thymol pathways (Figure 1) [49].
Carvacrol and thymol are isomeric oxygenated monoterpenes characterized by phenolic and hydroxyl structures that neutralize reactive oxygen species and free radicals through the transfer of electrons or hydrogen atoms [50]. Based on the carvacrol/thymol content, O. vulgare subsp. hirtum and T. capitata are stronger antioxidants/antimicrobials, while S. montana shows a slightly broader compositional complexity but lower potency. Oils rich in carvacrol (above 70%) are ideal for pharmaceutical and preservative uses. S. montana could appeal to niche markets that favor thymol-based formulations with milder olfactory characteristics.

2.3. Antioxidant Activity

Antioxidant activity was evaluated through the capacity of the EOs to neutralize the DPPH and ABTS radicals (Figure 2A,B). The results, expressed as the EO concentration capable of neutralizing 50% of the free radical (IC50), are reported in Table 5. Lower IC50 values (μg/mL) indicate stronger antioxidant activity.
EOs of oregano samples OV-L and OV-P exhibited the lowest IC50 values, especially in the ABTS assay, indicating the strongest antioxidant capacity among all tested oils. This correlates strongly with their high carvacrol content (74.6–79.8%), known for its effective free radical scavenging and hydrogen donation ability due to its hydroxyl group and lipophilic character enhancing membrane interaction [51]. T. capitata EOs, also rich in carvacrol (72.8–77.7%), showed a similarly high antioxidant performance, although they were slightly less potent than the O. vulgare, possibly due to marginally lower carvacrol levels and total phenolics.
S. montana EOs demonstrated weaker antioxidant activity, especially SM-B, with the highest DPPH IC50 (1200 μg/mL). Despite having high thymol content (52.8% in SM-B; 28.5% in SM-D), the antioxidant potency was significantly lower than that of carvacrol-rich oils. Although thymol is also a phenolic compound, it is generally less effective than carvacrol in radical scavenging due to differences in the redox potential, steric hindrance from methyl groups [52], and electronic resonance stabilization of the phenoxyl radical.
The ABTS assay proved more sensitive across all oils, in accordance with what is generally reported in other works [53].
Oxidative degradation of food lipids leads to rancidity, loss of flavor, discoloration, and a decrease in nutritional value. EOs rich in carvacrol (e.g., O. vulgare, T. capitata) showed strong antioxidant activity [54], indicating their potential as natural alternatives to synthetic antioxidants like BHT and BHA. Their ability to scavenge both lipophilic (DPPH) and hydrophilic (ABTS) radicals broadens their applicability in emulsions, fats, meat products, and oils. While S. montana EOs were less effective as antioxidants, their aromatic and antimicrobial properties may still be valuable as sensory enhancers and microbial inhibitors, especially in combination with other preservatives.

2.4. Antimicrobial Activity

Table 6 shows the antimicrobial activity of the six EOs using the broth microdilution method in accordance with CLSI guidelines [55].
MICs were determined and ranged from 0.15 to 2.5 mg/mL. C. albicans and S. maltophilia were the most susceptible organisms overall, while P. aeruginosa was the most resistant. P. aeruginosa is known for its resistance mechanisms, including low outer membrane permeability and active efflux systems, which limit the efficacy of hydrophobic substances like EOs [56].
O. vulgare subsp. hirtum EOs showed a strong activity (MIC ≤ 0.625 mg/mL) against E. coli, M. luteus, S. maltophilia, and C. albicans, likely due to high carvacrol content (74.6–79.8%), which is known to disrupt bacterial membranes and induce the leakage of cytoplasmic contents [22]. Slight differences in MIC values between OV-L and OV-P EOs may reflect minor differences in the thymol content or minor components.
In the T. capitata sample, TC-M showed broad-spectrum activity with very low MICs against C. albicans (0.156 mg/mL) and E. coli (0.312 mg/mL). TC-L had no inhibitory effect on P. aeruginosa, indicating the possible influence of a lower carvacrol content (4.9% less) and other minor constituents. Still, their antimicrobial potency is explained through their high carvacrol content (72.8–77.7%).
S. montana samples demonstrated the weakest antimicrobial activity, with the highest MIC levels on all tested strains compared to the other two species taken in the study. Lower efficacy is consistent with a lower carvacrol content and higher relative content of thymol and monoterpenes, with weaker antimicrobial effects (e.g., borneol, p-cymene).
Carvacrol is generally reported to have stronger antimicrobial activity than thymol, although both are potent and structurally similar phenolic compounds [57].
The variation in antimicrobial activity between the EOs of the same species can be attributed to small differences in chemical composition where the interaction among major and minor compounds could have synergistic or antagonistic interactions which explain the differences in MICs [58].
To our knowledge, this is the first report on the activity of the EO from S. montana on the multidrug-resistant S. maltophilia bacteria with MIC doses of 1.25 and 0.625 mg/mL, SM-B and SM-D, respectively.
To contextualize the observed MIC values of EOs, it is useful to compare them with conventional antibiotics. For instance, ciprofloxacin, a widely used fluoroquinolone, typically exhibits MICs of 0.015–0.25 µg/mL against Escherichia coli and Pseudomonas aeruginosa [59]. These values are significantly lower by mass than those observed in the studied EOs (typically 0.156–2.5 mg/mL), yet this comparison underscores the difference in mechanisms of action and possible synergistic use of antibiotics combined with EO compounds [60,61,62,63,64,65]. The use of natural products as antibiotic adjuvants to enhance the efficacy and mitigate resistance is increasingly recognized as a promising strategy. For example, in the study conducted by Ghan C., et al. (2025) [66], synergistic antimicrobial combinations of carvacrol significantly reduced the required antibiotic dose by 4- to 16-fold. This strategy significantly lowers the risk of antimicrobic resistance, not only because the antibiotic dose is significantly lowered, but also because antibiotics act by a specific mechanism of action, while EOs—particularly those rich in carvacrol and thymol—exert multi-targeted effects, including membrane destabilization, the disruption of proton gradients, disrupting the ATP metabolism, and interference with efflux pump activity [66,67]. This results in a promising strategy against multidrug-resistant pathogens which nowadays are a global concern [68]. On the other hand, in the context of food preservation, natural preservatives containing carvacrol and thymol have been shown to also be effective against biofilms [69,70,71,72], which are problematic even for the commonly used synthetic preservatives in the food industry. Although EOs cannot directly replace conventional antibiotics, their broad-spectrum antibacterial properties, synergistic potential with antibiotics, and multi-target mechanisms render them significant allies in the fight against bacteria.
On the other hand, EOs are generally recognized as safe (GRAS) when used at appropriate concentrations. In the context of targeting spoilage and pathogenic microorganisms, EOs from O. vulgare and T. capitata, due to their low MICs and broad-spectrum efficacy, are suitable for preserving perishable foods such as minced meats and sausages, ready-to-eat salads or dips, dairy products, etc. [73,74]. The strong aroma and flavor of carvacrol-rich oils may require dose optimization in combination with other hurdles (e.g., refrigeration, mild heat, or acids) [75] or better incorporation in delivery systems, such as edible films and coatings [76] or nanoemulsions [77] for an improved dispersion in aqueous food systems to enhance efficacy and minimize sensory impacts.
As encapsulation and nanoemulsion technologies can improve stability, solubility, and controlled release, minimizing the flavor impact while preserving efficacy, the most promising EOs were tested for incorporation in a nanoemulsion delivery system.

2.5. EOs Nanoemulsions

To be ideal candidates for incorporation into nanoemulsions, EOs should meet the following: high yield—to ensure feasibility and cost-effectiveness; strong antioxidant activity—to prevent oxidative deterioration; and potent antimicrobial activity—to inhibit or eliminate foodborne pathogens, chemical stability and compatibility with emulsifiers and food matrices.
From the plant species taken in our study, O. vulgare subps. hirtum and T. capitata provided the most prominent results, respectively represented by EOs of samples OV-L and TC-M which performed better. Specifically, OV-L had a slightly higher yield and slightly stronger antioxidant and antimicrobial activity compared to OV-P. TC-M, in general, performed better than the TC-L sample (Table 7). Nevertheless, high EO yields in O. vulgare subps. hirtum (3.8–4.1%) ensure scalability and economic viability. Although the yield is lower in T. capitata samples, its chemical richness in carvacrol, potent antifungal and antibacterial activity, and strong antioxidant action justify its use in targeted nanoemulsion formulations.
Nanoemulsions were formed using water and sunflower oil, which are all recognized as GRAS, and Tween 80, a permitted food additive by the Food and Drug Administration of the USA. Due to its safety profile, Tween 80 (T80), sometimes referred to as Polysorbate 80, is widely used and has been approved by the European Food Safety Authority (EFSA) for use in food items [78].
Results from the DLS (Dynamic Light Scattering) of nanoemulsions incorporating OV-L and TC-M EOs, for the particle size, polydispersity index (PDI), and Z-potential, which are key parameters influencing the stability, bioavailability, and functionality of EO nanoemulsions in food systems, are shown in Table 8.
According to the literature, emulsion droplets with size < 200 nm are ideal for improved optical clarity, enhanced bioavailability and penetration into microbial membranes, and greater colloidal stability due to a reduced gravitational separation [79]. The OV-L EO’s nanoemulsion particle size was in the optimal nano-range (<200 nm) with a mean size of 132.5 nm, which indicates well-dispersed and finely emulsified droplets; meanwhile, the TC-M EO’s nanoemulsion was in the nano-range, even though it was at the upper end limit.
The OV-L nanoemulsion mean PDI of 0.152 categorizes it into the moderately monodisperse range (0.1–0.3), which is typically considered suitable for nanoemulsion systems [80]. The significant variability between replicates suggests that additional process optimization may be necessary. On the other hand, the TC-M PDI value classifies it as very monodisperse (PDI < 0.1), indicating good droplet homogeneity and system stability. The standard deviation of 0.096 is relatively moderate and can likely be attributed to inherent batch variability rather than instability. Moreover, research on EO nanoemulsions stabilized with Tween 80 demonstrates that low polydispersity index values are associated with an extended shelf life and reduced phase separation [81].
Zeta potential may act as a partial indicator of the physical stability of the emulsion created. The higher the absolute value of the zeta potential, the more stable an emulsion is. To ensure the formation of a robust energy barrier against the coalescence of dispersed droplets, it has been advised to attain high-absolute zeta potential values (exceeding ±30 mV) in most prepared emulsions [82]. The formed nanoemulsions showed low zeta potential values, indicating a possible low stability. Nevertheless, analyzing the zeta potential for a nanoemulsion stabilized with Tween 80 is not always essential for understanding stability—and its interpretive value is limited, because Tween 80 provides a primarily steric, rather than electrostatic, stabilization by forming a hydrated, bulky layer around droplets, preventing coalescence through physical hindrance rather than electrostatic repulsion. For example, Tan, T.B., et al. [83] reported that no increase in particle size was seen for the Tween 80-stabilized nanodispersion, even when zeta potentials were brought near 0 mV, due to the non-ionic characteristics of the Tween 80 emulsifier, which impart stability via steric hindrance.
In summary, it can be deduced that both nanoemulsion formulations were good and need to be further tested for stability and efficacy, especially in specific food applications. The OV-L EO nanoemulsion offers the best size characteristics for transparent or colloidally stable food systems (e.g., beverages, edible films), though stabilization can be further optimized. TC-M demonstrates superior formulation, which is essential for prolonged commercial application.

3. Materials and Methods

3.1. Plant Material

Six plants, two of each concerned species, O. vulgare subsp. hirtum, T. capitata and S. montana, from wild-growing populations, were collected in August 2023, as they are known to accumulate higher amounts of essential oil when exposed to high radiation and temperature [35,84,85].
Information on the collection places of these populations is shown in Table 9.
The species identification for each population was carried out by the Genetics and Plant Breeding Laboratory, Agricultural University of Tirana, Albania, and the herbarium specimen vouchers were deposited in the same laboratory. The plant materials were dried in a well-ventilated, shaded area at room temperature, about 25 °C, and relative humidity around 50%. Once dried, stems were separated from leaves and flowers.

3.2. EOs Extraction

The EOs were extracted by hydrodistillation using a Clevenger apparatus [86]. One hundred grams of dried plant material were minced finely and put into a one-liter flask with 500 mL of distilled water. Distillation went on for three hours at a rate of three milliliters per minute. The oil yield was calculated as a percentage of volume by weight (% v/w) relative to the dry weight of the plant material. The obtained EOs were stored at 4 °C prior to analysis.

3.3. Reagents and Microbial Strains

Antioxidant radical screening reagents 2,2-diphenyl-1-picrylhydrazyl (DPPH) and 2,2’-azinobis(3-ethylbenzothiazoline-6-sulfonic acid) (ABTS)] were purchased from Alfa Aesar (Haverhill, MA, USA). Methanol was secured from VWR International (Fontenay-sous-Bois, France) and ethanol from Merk KGaA (Darmstadt, Germany).
The bacterial American-type culture collection strains S. enterica serovar Enteritidis (ATCC:49223), E. coli (ATCC:10535), P. aeruginosa (ATCC:9027), S. maltophilia (ATCC:13637), and M. luteus (ATCC:10240), along with one fungal isolate C. albicans (ATCC:10231), were procured from Microbiologics, Inc. (Saint Cloud, MN, USA); 96-well plates were secured from Corning Inc. (Corning, NY, USA). Blood agar medium and Mueller Hinton Broth were procured from Remel Inc. (Waltham, MA, USA), 0.5 Polymer McFarland Standard from Thermo Fisher Scientific (Waltham, MA, USA), and Dimethylsulfoxide (DMSO) from Sigma-Aldrich (Saint Louis, MO, USA).

3.4. Gas Chromatography–Mass Spectrometry

Gas Chromatography–Mass Spectrometry EO analyses were performed on a Shimadzu GC-2010-GCMSQP2010 (Kyoto, Japan) system operating at 70 eV. The temperature program was from 60 °C to 250 °C, at a rate of 5 °C/min. Helium was used as a carrier gas at a flow rate of 1.0 mL/min. The injection volume of each sample was 1 μL. Retention times for all compounds were determined according to Van den Dool and Kratz, 1963 [87], using n-alkanes as standards. The identification of the components was based on a comparison of their mass spectra with those of NIST21 and NIST107 [88], and by the comparison of their retention indices with the literature data, Adams, 2007 [89]. Component-relative concentrations were calculated based on GC peak areas without using correction factors. EOs were often subjected to co-chromatography with authentic compounds procured by Fluka, Sigma (Buchs, Switzerland).

3.5. Free Radical Scavenging Activity

The free radical scavenging activity of the essential oils was measured in vitro using DPPH and ABTS assays according to Brand-Williams et al., (1995) [90], and to Re et al., (1998) [91], respectively. The stock solution for the DPPH assay was prepared by dissolving 24 mg of DPPH in 100 mL of methanol and storing it at 20 °C. The working solution was obtained by diluting the DPPH stock solution with methanol to achieve an absorbance of about 0.98 ± 0.02 at 517 nm using a spectrophotometer (Biochrom Ltd. Libra S22—Cambridge, UK). The stock solution for the ABTS assay was prepared by dissolving ABTS in water at a concentration of 7 mM. The ABTS radical cation (ABTS•+) was generated by mixing the ABTS stock solution with potassium persulfate at a final concentration of 2.45 mM, followed by incubation in the dark at room temperature for 12–16 h. The working solution was then prepared by diluting the ABTS stock with ethanol until the absorbance reached approximately 0.70 ± 0.02 at 734 nm, as determined using the spectrophotometer.
Three mL aliquots of each solution were combined with 77 μL of the sample at 6 concentrations (50, 100, 200, 5000, 1000, and 2000 μg/mL) then thoroughly mixed. For the DPPH assay, mixtures were incubated in the dark at room temperature for 30 min, then the absorbance was measured at 517 nm. For the ABTS assay, the absorbance was recorded at 734 nm after 5–6 min of reaction in similar conditions. The controls were prepared as above but without essential oil. The activity was evaluated based on the percentage of the DPPH and ABTS radicals removed as the following equation:
Inhibition of the free radical (%) = [(Acontrol − Asample)/Acontrol] × 100
where Acontrol is the absorbance of the control which contains all the reaction components, except the test sample, and Asample is the absorbance of the test compound.
The result was calculated as the concentration of essential oil that inhibits 50% of the free radical (Inhibition Concentration—IC50).

3.6. Evaluation of Antimicrobial Activity by Microdilution Broth Method

The antimicrobial activities of the EOs were evaluated against a panel of clinical and foodborne pathogens using standard American Type Culture Collection strains (ATCC) and five bacteria, along with one fungal isolate. Stock cultures were maintained at 4 °C and subcultured immediately before use. Prior to EO treatment, bacterial strains were incubated at 37 °C and the fungal isolate at 28 °C, each for 18–20 h on blood agar, ensuring cultures were in optimal growth phase.
The MIC (Minimum Inhibitory Concentration) of each EO was determined using a broth microdilution method in 96-well plates following the Clinical & Laboratory Standards Institute (CLSI) protocols [54]. In brief, bacterial suspensions were adjusted to a final concentration of 105 CFU/mL cells standardized by 0.5 McFarland in Muller Hinton Broth (MHB) media. EO stock solutions were prepared at 100 mg/mL by dissolving them in DMSO. From this stock, a working solution of 5 mg/mL was subsequently diluted in MHB media, ensuring the final DMSO concentration is less than 5%. Serial 2-fold dilutions were performed to achieve EO concentrations ranging from 5.0 to 0.0097 mg/mL in the microplate wells. Finally, 100 µL of the bacterial suspension was added to each well. The plate setup included the 11th column as the media control (negative control) and the 12th column containing bacteria and media (positive control). Additionally, rows D and E were designated for solvent controls, with row D with only the EO (solvent control) and row E the DMSO (concentration used to dissolve EO) and bacteria served as the DMSO control. The plates were incubated at 37 °C for 24 h. MIC was determined using Tecan i-control 2.0 software (Infinite M Plex TECAN—Männedorf, Switzerland) to measure the Optical Density (OD) at 600 nm compared with the positive control. Everything was kept constant for determining antifungal activity except incubation, which was performed for 45–48 h, with the OD determined at 530 nm. MIC was determined as the lowest concentration of EO that inhibited the visible growth of the tested microorganism [92].

3.7. Encapsulation of EOs

The oregano and thyme EO nanoemulsions were prepared by using the method previously described by Bodea, Cătunescu, Palop, Fernandez, and Garre (2023) [93], with some modifications. Specifically, a total oil phase was formed with 2 mL of oregano EO and 1.35 mL of sunflower oil as the carrier oil. A coarse emulsion was first produced by mixing the oil phase and 2.5 mL Tween 80, followed by combining it with deionized water added dropwise under continuous stirring at room temperature. The emulsion formed after 4.15 mL of water was added. For the thyme EO nanoemulsion, the constituents were in slightly different concentrations: 1 mL of EO, 1.0125 mL of sunflower oil, and 1.875 mL of Tween 80. The coarse emulsion was homogenized by ultrasonification (USF) for 15 min at 100% amplitude to obtain the functionalized nanoemulsion. The maximum temperature of the samples during sonication was kept at 25 °C. Nanoemulsions were immediately stored in refrigeration and analyzed after two weeks.
The average droplet size and zeta potential were determined by dynamic light scattering (DLS) (Zetasizer Nano, Malvern, UK).

3.8. Statistical Analysis

All experiments were performed in triplicate and the standard deviation calculated. The IC50 value was determined by simple linear regression using the percentage inhibition data over the linear dose range. The standard deviation of the IC50 was calculated by error propagation, based on the standard errors of the slope and intercept. The analyses were performed with GraphPad Prism software 10.5.0.

4. Conclusions

From six wild populations of Albanian Lamiaceae, two specimens each of O. vulgare subsp. hirtum and T. capitata exhibited the carvacrol chemotype, whereas samples of S. montana showed the thymol chemotype. Oregano samples showed the highest essential oil yields, rendering them attractive for prospective industrial production.
The extracted essential oils demonstrated potent antioxidant properties and were effective against six widespread pathogens, encompassing both Gram-negative and Gram-positive bacteria, as well as a fungus, thus confirming their broad-spectrum antibacterial activity.
The most promising essential oils, with regard to yield and biological activity, derived from O. vulgare subsp. hirtum and T. capitata, were effectively encapsulated in nanoemulsions that could have a wide array of applications, including incorporation into food products due to their composition in permissible substances. Nevertheless, the stability and efficacy of these nanoemulsions need to be further tested, especially in real-food conditions. Consequently, perhaps alongside other obstacles, they may serve as effective alternatives to synthetic preservatives which are increasingly seen as undesirable.

Supplementary Materials

The following supporting information can be downloaded at: https://www.mdpi.com/article/10.3390/molecules30163329/s1, Figure S1: GC-MS chromatogram of O. vulgare subsp. hirtum EO—Sample OV-L; Figure S2: GC-MS chromatogram of O. vulgare subsp. hirtum EO—Sample OV-P; Figure S3. GC-MS chromatogram of Thymbra capitata EO—Sample TC-M; Figure S4. GC-MS chromatogram of Thymbra capitata EO—Sample TC-L; Figure S5. GC-MS chromatogram of Satureja montana EO—Sample SM-B; Figure S6. GC-MS chromatogram of Satureja montana EO—Sample SM-D.

Author Contributions

Conceptualization, E.B. and E.M.; methodology, E.M. and B.B.; validation, B.B., S.A.S. and E.M.; formal analysis, E.H.-Ç., A.S. and M.L.M.; investigation, E.B.; data curation, S.Z.; writing—original draft preparation, E.B. and S.Z.; writing—review and editing, B.B., S.A.S. and M.L.M.; project administration, E.B.; funding acquisition, E.M. All authors have read and agreed to the published version of the manuscript.

Funding

This publication was made possible with the financial support of the National Agency for Scientific Research, Technology and Innovation (NASRI), Albania. Its content is the responsibility of the authors; the opinion expressed in it is not necessarily the opinion of NASRI.

Institutional Review Board Statement

Not applicable.

Informed Consent Statement

Not applicable.

Data Availability Statement

The original contributions presented in the study are included in the article and Supplementary Materials; further inquiries can be directed to the corresponding authors.

Acknowledgments

The authors are thankful to Besnik Koçi from BioBes sh.p.k. for the organization and support in the expeditions for the collection of plant materials. The authors are also grateful to Alban Ibraliu for species identification and backing for EOs extraction.

Conflicts of Interest

The authors declare no conflicts of interest.

References

  1. Teshome, E.; Forsido, S.F.; Rupasinghe, H.P.V.; Keyata, E.O. Potentials of Natural Preservatives to Enhance Food Safety and Shelf Life: A Review. Sci. World J. 2022, 2022, 9901018. [Google Scholar] [CrossRef]
  2. Dong, H.; Xu, Y.; Zhang, Q.; Li, H.; Chen, L. Activity and Safety Evaluation of Natural Preservatives. Food Res. Int. 2024, 190, 114548. [Google Scholar] [CrossRef] [PubMed]
  3. Bakkali, F.; Averbeck, S.; Averbeck, D.; Idaomar, M. Biological Effects of Essential Oils—A Review. Food Chem. Toxicol. 2008, 46, 446–475. [Google Scholar] [CrossRef] [PubMed]
  4. Sun, J.; Sun, P.; Kang, C.; Zhang, L.; Guo, L.; Kou, Y. Chemical Composition and Biological Activities of Essential Oils from Six Lamiaceae Folk Medicinal Plants. Front. Plant Sci. 2022, 13, 919294. [Google Scholar] [CrossRef]
  5. Ietswaart, J.H. A Taxonomic Revision of the Genus Origanum (Labiatae); Leiden Botanical Series 4; Leiden University Press: The Hague, The Netherlands, 1980. [Google Scholar]
  6. Vangjeli, J.; Ruci, B.; Mullaj, A. Red Book of Albanian Flora; Institute of Biological Research, Academy of Sciences of Albania: Tirana, Albania, 1996. [Google Scholar]
  7. Kokkini, S. Taxonomy, Diversity and Distribution of Origanum Species. In Proceedings of the IPGRI International Workshop on Oregano, Bari, Italy, 8–12 May 1996; Padulosi, S., Ed.; CIHEAM Valenzano: Bari, Italy, 1997; pp. 122–132. [Google Scholar]
  8. Elezi, F.; Plaku, F.; Ibraliu, A.; Stefkov, G.; Karapandzova, M.; Kulevanova, S.; Aliu, S. Genetic Variation of Oregano (Origanum vulgare L.) for Etheric Oil in Albania. Agric. Sci. 2013, 4, 449–454. [Google Scholar] [CrossRef][Green Version]
  9. Koukoulitsa, C.; Karioti, A.; Bergonzi, M.C.; Pescitelli, G.; Di Bari, L.; Skaltsa, H. Polar Constituents from the Aerial Parts of Origanum vulgare L. ssp. hirtum Growing Wild in Greece. J. Agric. Food Chem. 2006, 54, 5388–5392. [Google Scholar] [CrossRef] [PubMed]
  10. Figueiredo, A.C.; Barroso, J.G.; Pedro, L.G.; Salgueiro, L.; Miguel, M.G.; Faleiro, M.L. Portuguese Thymbra and Thymus Species Volatiles: Chemical Composition and Biological Activities. Curr. Pharm. Des. 2008, 14, 3120–3140. [Google Scholar] [CrossRef] [PubMed]
  11. Pirintsos, S.A.; Bariotakis, M.; Kampa, M.; Sourvinos, G.; Lionis, C.; Castanas, E. The Therapeutic Potential of the Essential Oil of Thymbra capitata (L.) Cav., Origanum dictamnus L. and Salvia fruticosa Mill. and a Case of Plant-Based Pharmaceutical Development. Front. Pharmacol. 2020, 11, 522213. [Google Scholar] [CrossRef] [PubMed]
  12. Ibraliu, A.; Mi, X.; Elezi, F.; Sala, F. Analysis of Essential Oils of Three Wild Medicinal Plants in Albania. J. Med. Plants Res. 2011, 5, 58–62. [Google Scholar]
  13. Saoulajan, H.; Boujida, N.; El Mihyaoui, A.; El Baakili, A.; Alshahrani, M.M.; Lee, L.-H.; Bouyahya, A. Phytochemistry, Pharmacological Investigations, Industrial Applications, and Encapsulation of Thymbra capitata L.: A Review. Trends Food Sci. Technol. 2022, 129, 463–491. [Google Scholar] [CrossRef]
  14. Chorianopoulos, N.; Kalpoutzakis, E.; Aligiannis, N.; Mitaku, S.; Nychas, G.-J.E.; Haroutounian, S.A. Essential Oils of Satureja, Origanum, and Thymbra Species: Chemical Composition and Antibacterial Activities Against Foodborne Pathogens. J. Agric. Food Chem. 2004, 52, 8261–8267. [Google Scholar] [CrossRef] [PubMed]
  15. Ozogul, Y.; Karsli, G.T.; Yazgan, H.; Ozogul, F.; Regenstein, J.M. Enhanced Pathogen Control Through Thymol and Carvacrol Nanoemulsions: A Microfluidization Approach. Food Bioprocess Technol. 2025, 18, 5377–5387. [Google Scholar] [CrossRef]
  16. Sarac, N.; Ugur, A. Antimicrobial Activities of the Essential Oils of Origanum onites L., Origanum vulgare L. Subspecies hirtum (Link) Ietswaart, Satureja thymbra L., and Thymbra cilicicus Boiss. & Bal. Growing Wild in Turkey. J. Med. Food 2008, 11, 568–573. [Google Scholar] [CrossRef] [PubMed]
  17. Baratta, M.T.; Dorman, H.J.D.; Deans, S.G.; Figueiredo, A.C.; Barroso, J.G.; Ruberto, G. Antimicrobial and Antioxidant Properties of Some Commercial Essential Oils. Flavour Fragr. J. 1998, 13, 235–244. [Google Scholar] [CrossRef]
  18. Stoilova, I.; Bail, S.; Buchbauer, G.; Stoyanova, A.; Krastanov, A.; Staneva, D. Chemical Composition, Olfactory Evaluation and Antioxidant Effects of the Essential Oil of Satureja montana L. Nat. Prod. Commun. 2008, 3, 1035–1042. [Google Scholar] [CrossRef]
  19. Chroho, M.; Rouphael, Y.; Petropoulos, S.A.; Bouissane, L. Carvacrol and Thymol Content Affects the Antioxidant and Antibacterial Activity of Origanum compactum and Thymbra zygis Essential Oils. Antibiotics 2024, 13, 139. [Google Scholar] [CrossRef]
  20. Nazzaro, F.; Fratianni, F.; De Martino, L.; Coppola, R.; De Feo, V. Effect of Essential Oils on Pathogenic Bacteria. Pharmaceuticals 2013, 6, 1451–1474. [Google Scholar] [CrossRef]
  21. D’Amato, S.; Rossi, C.; Maggio, F.; Valbonetti, L.; Savini, V.; Paparella, A.; Serio, A. Antilisterial Effectiveness of Origanum vulgare var. hirtum and CoridoThymbra capitata Essential Oils and Hydrolates Alone and in Combination. Foods 2024, 13, 860. [Google Scholar] [CrossRef]
  22. Burt, S. Essential Oils: Their Antibacterial Properties and Potential Applications in Foods—A Review. Int. J. Food Microbiol. 2004, 94, 223–253. [Google Scholar] [CrossRef]
  23. Friedman, M.; Henika, P.R.; Mandrell, R.E. Bactericidal Activities of Plant Essential Oils and Some of Their Isolated Constituents Against Campylobacter jejuni, Escherichia coli, Listeria monocytogenes, and Salmonella enterica. J. Food Prot. 2002, 65, 1545–1560. [Google Scholar] [CrossRef]
  24. de Castro, R.D.; de Souza, T.M.; Bezerra, L.M.; Ferreira, G.L.; Costa, E.M.; Cavalcanti, A.L. Antifungal Activity and Mode of Action of Thymol and Its Synergism with Nystatin Against Candida Species Involved with Infections in the Oral Cavity: An In Vitro Study. BMC Complement. Altern. Med. 2015, 15, 417. [Google Scholar] [CrossRef]
  25. McClements, D.J. Nanoemulsions versus Microemulsions: Terminology, Differences, and Similarities. Soft Matter 2012, 8, 1719–1729. [Google Scholar] [CrossRef]
  26. Maurya, A.; Singh, V.K.; Das, S.; Prasad, J.; Kedia, A.; Upadhyay, N.; Dubey, N.K.; Dwivedy, A.K. Essential Oil Nanoemulsion as Eco-Friendly and Safe Preservative: Bioefficacy Against Microbial Food Deterioration and Toxin Secretion, Mode of Action, and Future Opportunities. Front. Microbiol. 2021, 12, 751062. [Google Scholar] [CrossRef]
  27. Singh, I.R.; Pulikkal, A.K. Preparation, Stability and Biological Activity of Essential Oil-Based Nanoemulsions: A Comprehensive Review. OpenNano 2022, 8, 100066. [Google Scholar] [CrossRef]
  28. Enayatifard, R.; Akbari, J.; Babaei, A.; Rostamkalaei, S.S.; Hashemi, S.M.H.; Habibi, E. AnTC-Microbial Potential of Nano-Emulsion Form of Essential Oil Obtained from Aerial Parts of Origanum vulgare L. as Food Additive. Adv. Pharm. Bull. 2021, 11, 327–334. [Google Scholar] [CrossRef] [PubMed]
  29. Jayari, A.; Donsì, F.; Ferrari, G.; Maaroufi, A. Nanoencapsulation of Thyme Essential Oils: Formulation, Characterization, Storage Stability, and Biological Activity. Foods 2022, 11, 1858. [Google Scholar] [CrossRef]
  30. Rinaldi, F.; Maurizi, L.; Conte, A.L.; Marazzato, M.; Maccelli, A.; Crestoni, M.E.; Hanieh, P.N.; Forte, J.; Conte, M.P.; Zagaglia, C.; et al. Nanoemulsions of Satureja montana Essential Oil: Antimicrobial and Antibiofilm Activity Against Avian Escherichia coli Strains. Pharmaceutics 2021, 13, 134. [Google Scholar] [CrossRef] [PubMed]
  31. Hodaj-Çeliku, E.; Tsiftsoglou, O.; Shuka, L.; Abazi, S.; Hadjipavlou-Litina, D.; Lazari, D. Antioxidant Activity and Chemical Composition of Essential Oils of Some Aromatic and Medicinal Plants from Albania. Nat. Prod. Commun. 2017, 12, 785–790. [Google Scholar] [CrossRef] [PubMed]
  32. Giannoulis, K.D.; Kamvoukou, C.-A.; Gougoulias, N.; Wogiatzi, E. Irrigation and Nitrogen Application Affect Greek Oregano (Origanum vulgare ssp. hirtum) Dry Biomass, Essential Oil Yield and Composition. Ind. Crops Prod. 2020, 150, 112392. [Google Scholar] [CrossRef]
  33. Baser, K.; Can, H. Aromatic biodiversity among the flowering plant taxa of Turkey. Pure Appl. Chem. 2002, 74, 527–545. [Google Scholar] [CrossRef]
  34. Adam, K.; Sivropoulou, A.; Kokkini, S.; Lanaras, T.; Arsenakis, M. Antifungal activities of Origanum vulgare subsp. hirtum, Mentha spicata, Lavandula angustifolia and Salvia fruticosa Essential Oils against Human Pathogenic Fungi. J. Agric. Food Chem. 1998, 46, 1738–1745. [Google Scholar] [CrossRef]
  35. Mugao, L.G. Factors Influencing Yield, Chemical Composition and Efficacy of Essential Oils. Int. J. Multidiscip. Res. Growth Eval. 2024, 5, 169–178. [Google Scholar] [CrossRef]
  36. Hedhili, L.; Romdhane, M.; Abderrabba, A.; Planche, H.; Cherif, I. Variability in essential oil composition of Tunisian Thymbra capitata (L.) Hoffmanns. et Link. Flavour Fragr. J. 2002, 17, 26–28. [Google Scholar] [CrossRef]
  37. Tagnaout, I.; Zerkani, H.; Hadi, N.; El Moumen, B.; El Makhoukhi, F.; Bouhrim, M.; Al-Salahi, R.; Nasr, F.A.; Mechchate, H.; Zair, T. Chemical Composition, Antioxidant and Antibacterial Activities of Thymbra broussonetii Boiss and Thymbra capitata (L.) Hoffmann and Link Essential Oils. Plants 2022, 11, 954. [Google Scholar] [CrossRef]
  38. Hajdari, A.; Elezaj, R.; Mulla, D.; Mustafa, B.; Quave, C.L.; Novak, J. Chemical Composition of the Essential Oil, Total Phenolics, Total Flavonoids and Antioxidant Activity of Methanolic Extracts of Satureja montana L. Rec. Nat. Prod. 2016, 10, 750–760. [Google Scholar]
  39. Said-Al Ahl, H.A.H.; Kačániova, M.; Mahmoud, A.A.; Hikal, W.M.; Čmiková, N.; Szczepanek, M.; Błaszczyk, K.; Al-Balawi, S.M.; Bianchi, A.; Smaoui, S.; et al. Phytochemical Characterization and Biological Activities of Essential Oil from Satureja montana L., a Medicinal Plant Grown under the Influence of Fertilization and Planting Dates. Biology 2024, 13, 328. [Google Scholar] [CrossRef]
  40. Zawiślak, G.; Nurzyńska-Wierdak, R. Variation in winter savory (Satureja montana L.) yield and essential oil production as affected by different plant density and number of harvests. Acta Sci. Pol. Hortorum Cultus 2017, 16, 159–168. [Google Scholar] [CrossRef]
  41. Serrano, C.; Matos, O.; Teixeira, B.; Ramos, C.; Neng, N.; Nogueira, J.; Nunes, M.L.; Marques, A. Antioxidant and Antimicrobial Activity of Satureja montana L. Extracts. J. Sci. Food Agric. 2011, 91, 1554–1560. [Google Scholar] [CrossRef]
  42. Kokkini, S.; Karousou, R.; Vokou, D. Pattern of Geographic Variations of Origanum vulgare Trichomes and Essential Oil Content in Greece. Biochem. Syst. Ecol. 1994, 22, 517–528. [Google Scholar] [CrossRef]
  43. Mączka, W.; Twardawska, M.; Grabarczyk, M.; Wińska, K. Carvacrol—A Natural Phenolic Compound with Antimicrobial Properties. Antibiotics 2023, 12, 824. [Google Scholar] [CrossRef]
  44. Maniki, E.; Kostoglou, D.; Paterakis, N.; Nikolaou, A.; Kourkoutas, Y.; Papachristoforou, A.; Giaouris, E. Chemical Composition, Antioxidant, and Antibiofilm Properties of Essential Oil from Thymbra capitata Plants Organically Cultured on the Greek Island of Lemnos. Molecules 2023, 28, 1154. [Google Scholar] [CrossRef] [PubMed]
  45. Salgueiro, L.; Pinto, E.; Gonçalves, M.J.; Pina-Vaz, C.; Cavaleiro, C.; Rodrigues, A.G.; Palmeira, A.; Tavares, C.; Costa-de-Oliveira, S.; Martinez-de-Oliveira, J. Chemical Composition and Antifungal Activity of the Essential Oil of Thymbra capitata. Planta Med. 2004, 70, 572–575. [Google Scholar] [CrossRef] [PubMed]
  46. ISO 14717:2008; Oil of Origanum, Spanish Type [Coridothymus capitatus (L.) Rchb.f.]. ISO: Geneva, Switzerland, 2008.
  47. Salihila, J.; Nuro, A. Chemical Characterisation of Essential Oil for Satureja montana Population from Burreli Area, Albania. Madridge J. Anal. Sci. Instrum. 2018, 4, 88–91. [Google Scholar] [CrossRef]
  48. Marchese, A.; Orhan, I.E.; Daglia, M.; Barbieri, R.; Di Lorenzo, A.; Nabavi, S.F.; Gortzi, O.; Izadi, M.; Nabavi, S.M. Antibacterial and Antifungal Activities of Thymol: A Brief Review of the Literature. Food Chem. 2016, 210, 402–414. [Google Scholar] [CrossRef]
  49. Krause, S.T.; Liao, P.; Crocoll, C.; Boachon, B.; Förster, C.; Leidecker, F.; Wiese, N.; Zhao, D.; Wood, J.C.; Buell, C.R.; et al. The Biosynthesis of Thymol, Carvacrol, and Thymohydroquinone in Lamiaceae Proceeds via Cytochrome P450s and a Short-Chain Dehydrogenase. Proc. Natl. Acad. Sci. USA 2021, 118, e2110092118. [Google Scholar] [CrossRef]
  50. Kachur, K.; Suntres, Z. The Antibacterial Properties of Phenolic Isomers, Carvacrol and Thymol. Crit. Rev. Food Sci. Nutr. 2020, 60, 3042–3053. [Google Scholar] [CrossRef]
  51. Yanishlieva, N.V.; Marinova, E.M.; Gordon, M.H.; Raneva, V.G. Antioxidant Activity and Mechanism of Action of Thymol and Carvacrol in Two Lipid Systems. Food Chem. 1999, 64, 59–66. [Google Scholar] [CrossRef]
  52. Mastelić, J.; Jerković, I.; Blažević, I.; Poljak-Blaži, M.; Borović, S.; Ivancić-Baće, I.; Smrečki, V.; Zarković, N.; Brčić-Kostić, K.; Vikić-Topić, D.; et al. Comparative Study on the Antioxidant and Biological Activities of Carvacrol, Thymol, and Eugenol Derivatives. J. Agric. Food Chem. 2008, 56, 3989–3996. [Google Scholar] [CrossRef]
  53. Olszowy, M.; Dawidowicz, A.L. Essential Oils as Antioxidants: Their Evaluation by DPPH, ABTS, FRAP, CUPRAC, and β-Carotene Bleaching Methods. Monatsh. Chem. 2016, 147, 2083–2091. [Google Scholar] [CrossRef]
  54. Ebhohimen, I.E.; Okolie, N.P.; Okpeku, M.; Unweator, M.; Adeleke, V.T.; Edemhanria, L. Evaluation of the Antioxidant Properties of Carvacrol as a Prospective Replacement for Crude Essential Oils and Synthetic Antioxidants in Food Storage. Molecules 2023, 28, 1315. [Google Scholar] [CrossRef] [PubMed]
  55. M100 Ed34; Performance Standards for Antimicrobial Susceptibility Testing, 34th Ed. Clinical & Laboratory Standards Institute: Wayne, PA, USA, 2024.
  56. Longbottom, C.J.; Carson, C.F.; Hammer, K.A.; Mee, B.J.; Riley, T.V. Tolerance of Pseudomonas aeruginosa to Melaleuca alternifolia (Tea Tree) Oil Is Associated with the Outer Membrane and Energy-Dependent Cellular Processes. J. Antimicrob. Chemother. 2004, 54, 386–392. [Google Scholar] [CrossRef]
  57. Gavaric, N.; Smole Mozina, S.; Kladar, N.V.; Bozin, B. Chemical Profile, Antioxidant and Antibacterial Activity of Thyme and Oregano Essential Oils, Thymol and Carvacrol and Their Possible Synergism. J. Essent. Oil Bear. Plants 2015, 18, 1013–1021. [Google Scholar] [CrossRef]
  58. Soulaimani, B. Comprehensive Review of the Combined Antimicrobial Activity of Essential Oil Mixtures and Synergism with Conventional Antimicrobials. Nat. Prod. Commun. 2025, 20, 1–22. [Google Scholar] [CrossRef]
  59. dos Santos Barbosa, C.R.; Scherf, J.R.; de Freitas, T.S.; de Oliveira, D.R.; de Oliveira, C.A.; Poser, G.L.; Micke, G.A. Effect of Carvacrol and Thymol on NorA Efflux Pump Inhibition in Multidrug-Resistant (MDR) Staphylococcus aureus Strains. J. Bioenerg. Biomembr. 2021, 53, 489–498. [Google Scholar] [CrossRef] [PubMed]
  60. Hamoud, R.; Zimmermann, S.; Reichling, J.; Wink, M. Synergistic Interactions in Two-Drug and Three-Drug Combinations (Thymol, EDTA and Vancomycin) Against Multidrug-Resistant Bacteria Including E. coli. Phytomedicine 2014, 21, 443–447. [Google Scholar] [CrossRef] [PubMed]
  61. Wijesundara, N.; Lee, S.; Cheng, Z.; Davidson, R.; Rupasinghe, H. Carvacrol Exhibits Rapid Bactericidal Activity Against Streptococcus pyogenes Through Cell Membrane Damage. Sci. Rep. 2021, 11, 409. [Google Scholar] [CrossRef]
  62. Gan, C.; Langa, E.; Valenzuela, A.; Ballestero, D.; Pino-Otín, M. Synergistic Activity of Thymol with Commercial Antibiotics Against Critical and High WHO Priority Pathogenic Bacteria. Plants 2023, 12, 1868. [Google Scholar] [CrossRef] [PubMed]
  63. Aleksic Sabo, V.; Nikolic, I.; Mimica-Dukic, N.; Knezevic, P. Anti-Acinetobacter baumannii Activity of Selected Phytochemicals Alone, in Binary Combinations and in Combinations with Conventional Antibiotics. Nat. Prod. Res. 2021, 35, 5964–5967. [Google Scholar] [CrossRef]
  64. Bisso Ndezo, B.; Tokam Kuate, C.R.; Dzoyem, J.P. Synergistic Antibiofilm Efficacy of Thymol and Piperine in Combination with Three Aminoglycoside Antibiotics Against Klebsiella pneumoniae Biofilms. Can. J. Infect. Dis. Med. Microbiol. 2021, 2021, 7029944. [Google Scholar] [CrossRef]
  65. Palaniappan, K.; Holley, R.A. Use of Natural Antimicrobials to Increase Antibiotic Susceptibility of Drug Resistant Bacteria. Int. J. Food Microbiol. 2010, 140, 164–168. [Google Scholar] [CrossRef]
  66. Gan, C.; Langa, E.; Wang, G.; Valenzuela, A.; Ballestero, D.; Pino-Otín, M. Mechanisms of Action and Resistance Prevention of Synergistic Thymol and Carvacrol Combinations with Antibiotics in Staphylococcus aureus and Acinetobacter baumannii. Nat. Prod. Bioprospect. 2025, 15, 36. [Google Scholar] [CrossRef] [PubMed]
  67. Farhadi, K.; Rajabi, E.; Varpaei, H.A.; Iranzadasl, M.; Khodaparast, S.; Salehi, M. Thymol and Carvacrol Against Klebsiella: Anti-Bacterial, Anti-Biofilm, and Synergistic Activities—A Systematic Review. Front. Pharmacol. 2024, 15, 1487083. [Google Scholar] [CrossRef]
  68. McEwen, S.A.; Collignon, P.J. Antimicrobial Resistance: A One Health Perspective. Microbiol. Spectr. 2018, 6. [Google Scholar] [CrossRef] [PubMed]
  69. Mohamed, S.H.; Mohamed, M.S.M.; Khalil, M.S.; Azmy, M.; Mabrouk, M.I. Combination of Essential Oil and Ciprofloxacin to Inhibit/Eradicate Biofilms in Multidrug-Resistant Klebsiella pneumoniae. J. Appl. Microbiol. 2018, 125, 84–95. [Google Scholar] [CrossRef]
  70. Touati, A.; Mairi, A.; Ibrahim, N.A.; Idres, T. Essential Oils for Biofilm Control: Mechanisms, Synergies, and Translational Challenges in the Era of Antimicrobial Resistance. Antibiotics 2025, 14, 503. [Google Scholar] [CrossRef]
  71. Jayakumar, D.; Mini, M.; Kumar, P.; Vaikkathillam, P.; Mohan, A.; Khan, S. Synergistic Effect of Thymol-Ciprofloxacin Combination on Planktonic Cells and Biofilm of Pseudomonas aeruginosa. Curr. Microbiol. 2023, 81, 1. [Google Scholar] [CrossRef] [PubMed]
  72. Miladi, H.; Zmantar, T.; Kouidhi, B.; Chaabouni, Y.; Mandouani, K.; Bakhrouf, A.; Mahdouani, K. Use of Carvacrol, Thymol, and Eugenol for Biofilm Eradication and Resistance Modifying Susceptibility of Salmonella enterica Serovar Typhimurium Strains to Nalidixic Acid. Microb. Pathog. 2017, 104, 56–63. [Google Scholar] [CrossRef]
  73. Santos, M.I.S.; Marques, C.; Mota, J.; Pedroso, L.; Lima, A. Applications of Essential Oils as Antibacterial Agents in Minimally Processed Fruits and Vegetables—A Review. Microorganisms 2022, 10, 760. [Google Scholar] [CrossRef] [PubMed]
  74. Holley, R.A.; Patel, D. Improvement in Shelf-Life and Safety of Perishable Foods by Plant Essential Oils and Smoke Antimicrobials. Food Microbiol. 2005, 22, 273–292. [Google Scholar] [CrossRef]
  75. Kabir, M.N.; Aras, S.; Allison, A.; Adhikari, J.; Chowdhury, S.; Fouladkhah, A. Interactions of Carvacrol, Caprylic Acid, Habituation, and Mild Heat for Pressure-Based Inactivation of O157 and Non-O157 Serogroups of Shiga Toxin-Producing Escherichia coli in Acidic Environment. Microorganisms 2019, 7, 145. [Google Scholar] [CrossRef] [PubMed]
  76. Zaharioudakis, K.; Salmas, C.E.; Andritsos, N.D.; Kollia, E.; Leontiou, A.; Karabagias, V.K.; Karydis-Messinis, A.; Moschovas, D.; Zafeiropoulos, N.E.; Avgeropoulos, A.; et al. Carvacrol, Citral, Eugenol and Cinnamaldehyde Casein-Based Edible Nanoemulsions as Novel Sustainable Active Coatings for Fresh Pork Tenderloin Meat Preservation. Front. Food Sci. Technol. 2024, 4, 1400224. [Google Scholar] [CrossRef]
  77. de Souza, R.L.; Dantas, A.G.B.; de Oliveira Melo, C.; Felício, I.M.; Oliveira, E.E. Nanotechnology as a Tool to Improve the Biological Activity of Carvacrol: A Review. J. Drug Deliv. Sci. Technol. 2022, 76, 103834. [Google Scholar] [CrossRef]
  78. EFSA FEEDAP Panel (EFSA Panel on Additives and Products or Substances used in Animal Feed). Scientific opinion on the safety and efficacy of polyoxyethylene (20) sorbitan monooleate as a feed additive for all animal species. EFSA J. 2016, 14, 4443. [Google Scholar] [CrossRef]
  79. McClements, D.J.; Rao, J. Food-Grade Nanoemulsions: Formulation, Fabrication, Properties, Performance, Biological Fate, and Potential Toxicity. Crit. Rev. Food Sci. Nutr. 2011, 51, 285–330. [Google Scholar] [CrossRef]
  80. Campolo, O.; Giunti, G.; Laigle, M.; Michel, T.; Palmeri, V. Essential Oil-Based Nano-Emulsions: Effect of Different Surfactants, Sonication and Plant Species on Physicochemical Characteristics. Ind. Crops Prod. 2020, 157, 112935. [Google Scholar] [CrossRef]
  81. Al-Asmari, F.; Koirala, P.; Rathod, N.B.; Alnemr, T.M.; Asiri, S.A.; Babeker, M.Y.; Li, L.; Nirmal, N.P. Antimicrobial Activity of Formulated Origanum and Thyme Essential Oil Nanoemulsions—A Comparative Study. Curr. Nutr. Food Sci. 2024, 20, e140923221094. [Google Scholar] [CrossRef]
  82. Zhao, Y.; Wang, C.; Chow, A.H.; Ren, K.; Gong, T.; Zhang, Z.; Zheng, Y. Self-Nanoemulsifying Drug Delivery System (SNEDDS) for Oral Delivery of Zedoary Essential Oil: Formulation and Bioavailability Studies. Int. J. Pharm. 2010, 383, 170–177. [Google Scholar] [CrossRef]
  83. Tan, T.B.; Yussof, N.S.; Abas, F.; Mirhosseini, H.; Nehdi, I.A.; Tan, C.P. Stability Evaluation of Lutein Nanodispersions Prepared via Solvent Displacement Method: The Effect of Emulsifiers with Different Stabilizing Mechanisms. Food Chem. 2016, 205, 155–162. [Google Scholar] [CrossRef] [PubMed]
  84. Tibaldi, G.; Fontana, E.; Nicola, S. Growing Conditions and Postharvest Management Can Affect the Essential Oil of Origanum vulgare L. ssp. hirtum (Link) Ietswaart. Ind. Crops Prod. 2011, 34, 1516–1522. [Google Scholar] [CrossRef]
  85. Dodoš, T.; Novaković, J.; Vujisić, L.; Marin, P.D.; Rajčević, N. Geographic Variability of Winter Savory Essential Oil. Ind. Crops Prod. 2024, 210, 118167. [Google Scholar] [CrossRef]
  86. The European Directorate for the Quality of Medicines & HealthCare. European Pharmacopoeia, 10th ed.; Method 2.8.12—Essential Oils in Herbal Drugs; Council of Europe: Strasbourg, France, 2020; pp. 307–308. [Google Scholar]
  87. Van den Dool, H.; Kratz, P.D. A Generalization of the Retention Index System Including Linear Temperature Programmed Gas–Liquid Partition Chromatography. J. Chromatogr. 1963, 11, 463–471. [Google Scholar] [CrossRef] [PubMed]
  88. Massada, Y. Analysis of Essential Oils by Gas Chromatography and Mass Spectrometry; Halsted Press: John Wiley & Sons: New York, NY, USA, 1976. [Google Scholar]
  89. Adams, R.P. Identification of Essential Oil Components by Gas Chromatography/Mass Spectrometry, 4th ed.; Allured Publishing Corporation: Carol Stream, IL, USA, 2007. [Google Scholar]
  90. Brand-Williams, W.; Cuvelier, M.E.; Berset, C. Use of a Free Radical Method to Evaluate Antioxidant Activity. LWT Food Sci. Technol. 1995, 28, 25–30. [Google Scholar] [CrossRef]
  91. Re, R.; Pellegrini, N.; Proteggente, A.; Pannala, A.; Yang, M.; Rice-Evans, C. Antioxidant Activity Applying an Improved ABTS Radical Cation Decolorization Assay. Free Radic. Biol. Med. 1999, 26, 1231–1237. [Google Scholar] [CrossRef] [PubMed]
  92. Puškárová, A.; Bučková, M.; Kraková, L.; Pangallo, D.; Kozics, K. The Antibacterial and Antifungal Activity of Six Essential Oils and Their Cyto/Genotoxicity to Human HEL 12469 Cells. Sci. Rep. 2017, 7, 8211. [Google Scholar] [CrossRef] [PubMed]
  93. Bodea, I.M.; Cătunescu, G.M.; Palop, A.; Fernandez, P.S.; Garre, A. Washing Solutions Containing Nanoemulsified Essential Oils as a Potential Substitute of Commercial Washes for the Decontamination of Escherichia coli O157:H7 on Cherry Tomatoes. LWT 2023, 190, 115549. [Google Scholar] [CrossRef]
Figure 1. Four main active compounds of extracted essential oils, which in mean constitute 87.5%, 83.1%, and 57.9% of the total amount of the EOs from O. vulgare subsp. hirtum, T. capitata, and S. montana samples, respectively.
Figure 1. Four main active compounds of extracted essential oils, which in mean constitute 87.5%, 83.1%, and 57.9% of the total amount of the EOs from O. vulgare subsp. hirtum, T. capitata, and S. montana samples, respectively.
Molecules 30 03329 g001
Figure 2. Free radicals used to assess the antioxidant activity of EOs. (A) DPPH (2,2-diphenyl-1-picrylhydrazyl) radical presenting a purple color (max. absorbance at 517 nm) and becoming colorless, usually after donation of a hydrogen by EO active compounds. (B) ABTS [2,2’-azinobis(3-ethylbenzothiazoline-6-sulfonic acid)] radical presenting a blue–green color (max. absorbance at 734 nm) that changes to colorless after EO active compounds donate a single electron or a hydrogen.
Figure 2. Free radicals used to assess the antioxidant activity of EOs. (A) DPPH (2,2-diphenyl-1-picrylhydrazyl) radical presenting a purple color (max. absorbance at 517 nm) and becoming colorless, usually after donation of a hydrogen by EO active compounds. (B) ABTS [2,2’-azinobis(3-ethylbenzothiazoline-6-sulfonic acid)] radical presenting a blue–green color (max. absorbance at 734 nm) that changes to colorless after EO active compounds donate a single electron or a hydrogen.
Molecules 30 03329 g002
Table 1. Yield of extracted EOs.
Table 1. Yield of extracted EOs.
Nr.SpeciesPlant CodeYield of Aerial Parts (% *)Yield (% *) of Leaves and Flowers Without Stems
1.Origanum
vulgare subsp. hirtum
OV-L4.066.19
2.OV-P3.836.11
3.Thymbra
capitata
TC-M1.663.00
4.TC-L0.752.30
5.Satureja
montana
SM-B0.390.80
6.SM-D0.730.79
* mL of EO per 100 g of dried plant material.
Table 2. Composition of the essential oils of O. vulgare subsp. hirtum.
Table 2. Composition of the essential oils of O. vulgare subsp. hirtum.
Compounds aAI bOV-P (% c)OV-L (% c)ID d
α-Thujene9241.160.97AI, MS
α-Pinene9310.950.75AI, MS, Co-GC
Camphene9450.540.66AI, MS
1-Octen-3-ol9830.60.6AI, MS
β-Myrcene9901.51.5AI, MS, Co-GC
δ-2-Carene10030.20.14AI, MS
α-Phellandrene10050.20.2AI, MS
α-Terpinene10160.981.03AI, MS
p-Cymene10253.83.04AI, MS, Co-GC
Sylvestrene10290.30.26AI, MS
Eucalyptol10300.36ndAI, MS
trans-Ocimene10380.10.08AI, MS
cis-Ocimene10500.10.06AI, MS
γ-Terpinene10595.85.4AI, MS, Co-GC
trans-Sabinenehydrate10700.460.34AI, MS
Terpinolene10850.10.07AI, MS
Linalool11020.1ndAI, MS, Co-GC
α-Thujone11040.10.07AI, MS
Camphor11430.150.13AI, MS
Terpinen-4-ol11810.150.09AI, MS, Co-GC
Thymol12942.320.23AI, MS, Co-GC
Carvacrol130474.6 79.8AI, MS
α-Ylangene13710.10.05AI, MS
β-Caryophyllene14171.11.2AI, MS, Co-GC
α-Humulene14540.160.2AI, MS, Co-GC
Caryophyllene oxide15820.750.5AI, MS, Co-GC
Total 96.6897.37
a Compounds listed in order of elution from an HP-5 MS capillary column; b AI: arithmetic indices as determined on an HP-5 MS capillary column using a homologous series of n-alkanes (C9-C23); c percentage (w/w) of the identified compound in the essential oil; and d identification method: AI = arithmetic index, MS = mass spectrum, Co-GC = co-injection with authentic compound, and nd = not detected.
Table 3. Composition of the essential oils of T. capitata.
Table 3. Composition of the essential oils of T. capitata.
Compounds aAI bTC-M (% c)TC-L (% c)ID d
α-Pinene9311.31.3AI, MS, Co-GC
β-Pinene9730.20.4AI, MS, Co-GC
Octen-3-ol9830.20.8AI, MS
β-Myrcene9920.11.3AI, MS, Co-GC
α-terpinene9310.91.0AI, MS, Co-GC
p-Cymene10244.44.56AI, MS, Co-GC
γ-terpinene10552.83.94AI, MS, Co-GC
cis-Sabinenehydrate10670.40.2AI, MS
Linalool11010.90.5AI, MS, Co-GC
Borneol11640.90.7AI, MS, Co-GC
4-carvomenthenol11850.70.5AI, MS, Co-GC
o-cymen-5-ol12800.20.2AI, MS, Co-GC
2-isopropyl-5-methyl-phenol12950.30.2AI, MS, Co-GC
Carvacrol130477.772.8AI, MS
5-isopropyl-2-methyl phenol1358nd0.3AI, MS
2-isopropyl-5-methyl-phenyl acetate13770.1ndAI, MS
Caryophyllene14191.952.2AI, MS, Co-GC
Spathulenol15780.10.2AI, MS
Carryophyllene oxide15830.50.5AI, MS, Co-GC
Total 93.6591.6
a Compounds listed in order of elution from an HP-5 MS capillary column; b AI: arithmetic indices as determined on an HP-5 MS capillary column using a homologous series of n-alkanes (C9-C23); c percentage (w/w) of the identified compound in the essential oil; and d identification method: AI = arithmetic index, MS = mass spectrum, Co-GC = co-injection with authentic compound, and nd = not detected.
Table 4. Composition of the essential oils of S. montana.
Table 4. Composition of the essential oils of S. montana.
Compounds aAI bSM-B (% c)SM-D (% c)ID d
α-Thujene9261.31.4AI, MS
α-Pinene9310.90.7AI, MS, Co-GC
Camphene9450.10.8AI, MS
β-Pinene9730.10.1AI, MS, Co-GC
Octen-3-ol983nd0.2AI, MS
β-Myrcene9921.41.0AI, MS, Co-GC
α-Phellandrene10031.030.9AI, MS
δ-2-Carene10080.20.3AI, MS
δ-3-Carene10151.31.4AI, MS, Co-GC
p-Cymene10248.911.8AI, MS, Co-GC
Limonene10270.60.9AI, MS
Eucalyptol10290.30.4AI, MS
trans-Ocimene10400.30.8AI, MS
cis-Ocimene10500.130.2AI, MS
γ-Terpinene10594.75.4AI, MS, Co-GC
cis-Sabinenehydrate10671.54.2AI, MS
Terpinolene10870.20.3AI, MS
trans-Sabinenehydrate10981.40.1AI, MS
Linalool11013.30.5AI, MS, Co-GC
α-Thujone11040.940.1AI, MS
β-Thujone11160.04trAI, MS
cis-p-Menth-2-en-1-ol11220.2trAI, MS
Camphor11430.30.3AI, MS
Borneol11642.42.8AI, MS, Co-GC
δ-Terpineol1169nd0.7AI, MS
Terpinene-4-ol11761.983.2AI, MS, Co-GC
p-Cymen-8-ol11870.30.1AI, MS
α-Terpineol11910.040.2AI, MS
Thymol methyl ether12361.980.1AI, MS
Carvacrol methyl ether12445.25.5AI, MS
Bornyl acetate12860.04ndAI, MS, Co-GC
Thymol129452.828.5AI, MS, Co-GC
Carvacrol13042.51.2AI, MS
Thymyl acetate13560.450.5AI, MS
α-Copaene13750.10.1AI, MS
β-Burbonene13840.10.2AI, MS
β-Caryophyllene1419nd2.3AI, MS, Co-GC
β-Copaene1428nd0.2AI, MS
γ-Elemene1434nd0.6AI, MS
Aromadendrene1438nd0.5AI, MS
Myltayl-4(12)-ene1443ndndAI, MS
α-Carryophyllene14530.60.2AI, MS, Co-GC
Allo-Aromadendrene14600.70.2AI, MS
Dauca-5,8-diene1474nd0.55AI, MS
γ-Muurolene1477nd0.25AI, MS
Spathulenol1578nd0.13AI, MS
Carryophyllene oxide1583nd1.0AI, MS, Co-GC
Total 98.3380.83
a Compounds listed in order of elution from an HP-5 MS capillary column; b AI: arithmetic indices as determined on an HP-5 MS capillary column using a homologous series of n-alkanes (C9-C23); c percentage (w/w) of the identified compound in the essential oil; and d identification method: AI = arithmetic index, MS = mass spectrum, Co-GC = co-injection with authentic compound, and nd = not detected. Concentrations below 0.05% are marked as tr (traces).
Table 5. Antioxidant activity of EOs expressed as IC50 values (μg/mL).
Table 5. Antioxidant activity of EOs expressed as IC50 values (μg/mL).
SpeciesEOs from SamplesDPPH μg/mLABTS μg/mL
Origanum
vulgare subsp. hirtum
OV-L530 ± 8110 ± 10
OV-P600 ± 12120 ± 8
Thymbra
capitata
TC-M530 ± 9180 ± 9
TC-L570 ± 8220 ±13
Satureja
montana
SM-B1200 ± 5460 ± 27
SM-D820 ± 4500 ± 14
Table 6. Minimum Inhibitory Concentration of essential oils against six pathogens.
Table 6. Minimum Inhibitory Concentration of essential oils against six pathogens.
SpeciesEO from
Sample
MIC (mg/mL)
E. coli
ATCC 10535
S. Enteritidis ATCC 49223P. aeruginosa ATCC 9027M. luteus
ATCC 10240
S. maltophilia ATCC 13637C. albicans
ATCC 10231
Origanum
vulgare subsp. hirtum
OV-L0.3121.2501.2500.3120.1560.312
OV-P0.6250.6251.2500.6250.1560.312
Thymbra
capitata
TC-M0.3120.6252.50.6250.1560.156
TC-L0.6251.250NO MIC0.6250.3120.156
Satureja
montana
SM-B0.6251.250NO MIC0.6251.2500.312
SM-D1.2502.52.50.6250.6250.625
Table 7. Comparison of yield, chemical composition, and biological activity of the essential oils from plants taken in study.
Table 7. Comparison of yield, chemical composition, and biological activity of the essential oils from plants taken in study.
SpeciesEO from SampleYield (% a)Key Active ComponentsAntioxidant Activity (DPPH/ABTS, μg/mL b)Antimicrobial Spectrum c
Origanum vulgare subsp. hirtumOV-L4.06Carvacrol (74.6%), γ-Terpinene530/110Broad, strong
OV-P3.83Carvacrol (79.8%),
γ-Terpinene
600/120Broad, strong
Thymbra capitataTC-M1.66Carvacrol (77.7%),
p-cymene
530/180Broad, strong
TC-L0.75Carvacrol (72.8%),
p-cymene
570/220Moderate, inactive against P. aeruginosa
Satureja montanaSM-B0.39Thymol (52.8%),
p-Cymene
1200/460Weak, inactive against P. aeruginosa
SM-D0.73Thymol (28.5%), p-Cymene820/500Weakest overall
a mL of EO per 100 g of dried plant material; b expressed as IC50 values; c tested against four Gram-negative and one Gram-positive bacteria and one fungus.
Table 8. Essential oil nanoemulsions characterizations.
Table 8. Essential oil nanoemulsions characterizations.
Nanoemulsion
of EO from Sample
Particle Size
(nm a)
PDIZ-Potential
(mV b)
OV-L132.4 ±15.30.152 ±0.126 −11.2 ± 2.8
TC-M191.8± 17.20.076 ±0.09−9.6 ± 0.5
a nm—nano meters; b mV—millivolts.
Table 9. Plant samples.
Table 9. Plant samples.
Nr.SpeciesLocationPlant
Code
Collection DateAltitude *
(m.a.s.l.)
Coordinates
Latitude (N)Longitude (E)
1.Origanum vulgare subsp. hirtumLukovë OV-L7 August 2023~5539°97′88″19°91′29″
2.Qafë PishëOV-P4 August 2023~120040°25′92″19°79′11″
3.Thymbra
capitata
MallakastërTC-M4 August 2023~5441°58′47″20°13′12″
4.Lukovë TC-L13 August 2023~17939°98′19″19°91′71″
5.Satureja
montana
Bego MauntainSM-B4 August 2023~150040°25′44″19°78′86″
6.Dajti MountainSM-D19 August 2023~72441°36′90″19°94′20″
* m.a.s.l.—meters above sea level.
Disclaimer/Publisher’s Note: The statements, opinions and data contained in all publications are solely those of the individual author(s) and contributor(s) and not of MDPI and/or the editor(s). MDPI and/or the editor(s) disclaim responsibility for any injury to people or property resulting from any ideas, methods, instructions or products referred to in the content.

Share and Cite

MDPI and ACS Style

Basha, E.; Mamoçi, E.; Sharma, A.; Hodaj-Çeliku, E.; Zejnelhoxha, S.; Medeleanu, M.L.; Socaci, S.A.; Bisha, B. Essential Oils from Wild Albanian Lamiaceae: GC-MS Profiling, Biological Activity, and Enhanced Delivery via Nanoencapsulation. Molecules 2025, 30, 3329. https://doi.org/10.3390/molecules30163329

AMA Style

Basha E, Mamoçi E, Sharma A, Hodaj-Çeliku E, Zejnelhoxha S, Medeleanu ML, Socaci SA, Bisha B. Essential Oils from Wild Albanian Lamiaceae: GC-MS Profiling, Biological Activity, and Enhanced Delivery via Nanoencapsulation. Molecules. 2025; 30(16):3329. https://doi.org/10.3390/molecules30163329

Chicago/Turabian Style

Basha, Elton, Erjon Mamoçi, Aniket Sharma, Entela Hodaj-Çeliku, Sanije Zejnelhoxha, Mădălina L. Medeleanu, Sonia A. Socaci, and Bledar Bisha. 2025. "Essential Oils from Wild Albanian Lamiaceae: GC-MS Profiling, Biological Activity, and Enhanced Delivery via Nanoencapsulation" Molecules 30, no. 16: 3329. https://doi.org/10.3390/molecules30163329

APA Style

Basha, E., Mamoçi, E., Sharma, A., Hodaj-Çeliku, E., Zejnelhoxha, S., Medeleanu, M. L., Socaci, S. A., & Bisha, B. (2025). Essential Oils from Wild Albanian Lamiaceae: GC-MS Profiling, Biological Activity, and Enhanced Delivery via Nanoencapsulation. Molecules, 30(16), 3329. https://doi.org/10.3390/molecules30163329

Article Metrics

Back to TopTop