A pH-Sensitive Glutathione Responsive Small-Molecule Probe TZ2 Sensitizes Lung Cancer Cells to Chemotherapy by Targeting Tumor Microenvironment
Abstract
1. Introduction
2. Results
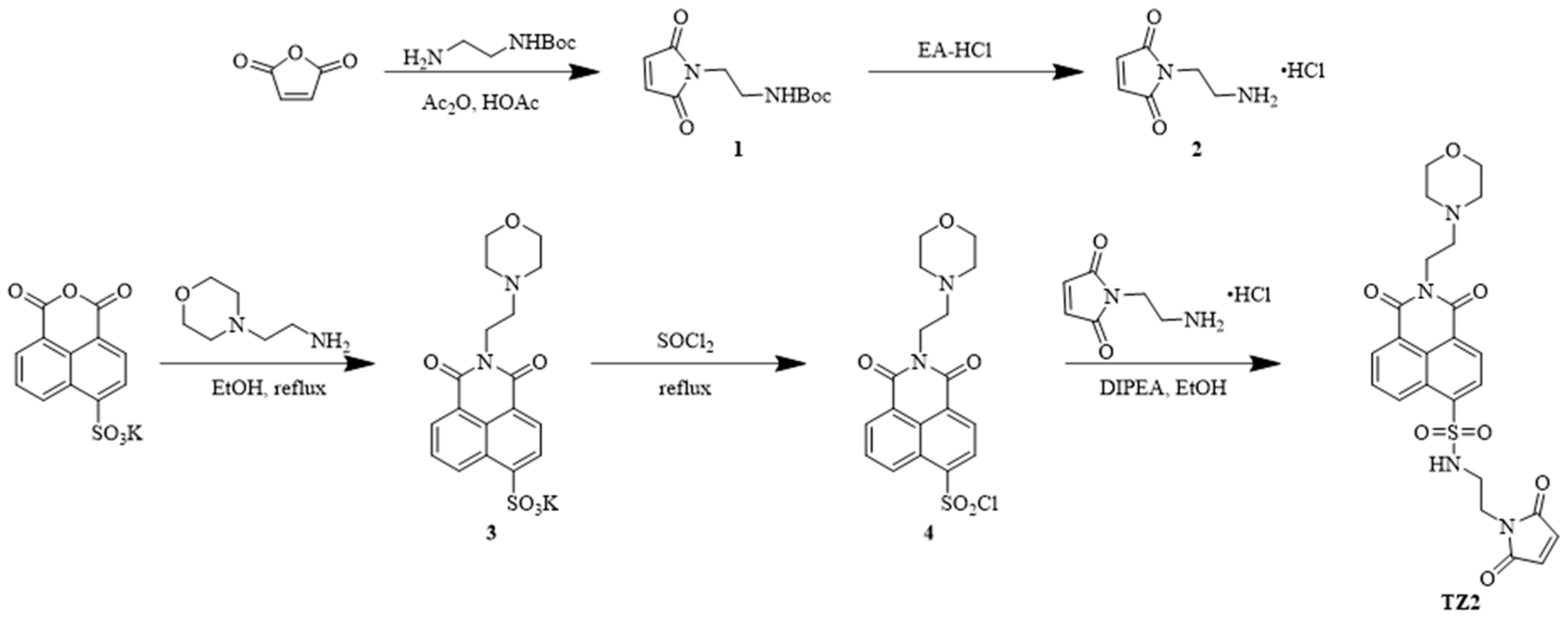
2.1. Design and Synthesis of TZ2
2.2. TZ2 Responses to GSH in a pH-Dependent Manner
2.3. In Situ Detection of Intracellular GSH Using TZ2
2.4. Antitumor Activity of TZ2
2.5. TZ2 Enhances Chemosensitivity in Lung Cancer Cells
3. Materials and Methods
3.1. Materials and Cell Lines
3.2. General Procedure for the Synthesis of Compounds TZ2
3.3. Method for Selective Reaction of TZ2 with GSH
3.4. Method for the Reaction Time of TZ2 with GSH
3.5. Determination of the Reaction Products Between TZ2 and GSH in Different pH
3.6. IC50 Value Determination
3.7. Cell Viability Assay
3.8. Fluorescence Imaging
3.9. Colony Formation Assay
3.10. Western Blotting
3.11. Statistical Analysis
4. Conclusions
Supplementary Materials
Author Contributions
Funding
Institutional Review Board Statement
Informed Consent Statement
Data Availability Statement
Conflicts of Interest
References
- Xiao, Y.; Yu, D. Tumor microenvironment as a therapeutic target in cancer. Pharmacol. Ther. 2021, 221, 107753. [Google Scholar] [CrossRef] [PubMed]
- Lopes, C.D.H.; Braganca Xavier, C.; Torrado, C.; Veneziani, A.C.; Megid, T.B.C. A Comprehensive Exploration of Agents Targeting Tumor Microenvironment: Challenges and Future Perspectives. J. Immunother. Precis. Oncol. 2024, 7, 283–299. [Google Scholar] [CrossRef] [PubMed]
- Wang, B.; Hu, S.; Teng, Y.; Chen, J.; Wang, H.; Xu, Y.; Wang, K.; Xu, J.; Cheng, Y.; Gao, X. Current advance of nanotechnology in diagnosis and treatment for malignant tumors. Signal. Transduct. Target. Ther. 2024, 9, 200. [Google Scholar] [CrossRef] [PubMed]
- De Martino, M.; Rathmell, J.C.; Galluzzi, L.; Vanpouille-Box, C. Cancer cell metabolism and antitumour immunity. Nat. Rev. Immunol. 2024, 24, 537. [Google Scholar] [CrossRef] [PubMed]
- Boedtkjer, E.; Pedersen, S.F. The Acidic Tumor Microenvironment as a Driver of Cancer. Annu. Rev. Physiol. 2020, 82, 103–126. [Google Scholar] [CrossRef] [PubMed]
- Czowski, B.J.; Romero-Moreno, R.; Trull, K.J.; White, K.A. Cancer and pH Dynamics: Transcriptional Regulation, Proteostasis, and the Need for New Molecular Tools. Cancers 2020, 12, 2760. [Google Scholar] [CrossRef] [PubMed]
- Wojtkowiak, J.W.; Rothberg, J.M.; Kumar, V.; Schramm, K.J.; Haller, E.; Proemsey, J.B.; Lloyd, M.C.; Sloane, B.F.; Gillies, R.J. Chronic autophagy is a cellular adaptation to tumor acidic pH microenvironments. Cancer. Res. 2012, 72, 3938–3947. [Google Scholar] [CrossRef] [PubMed]
- Koltai, T. The ph paradigm in cancer. Eur. J. Clin. Nutr. 2020, 74, 14–19. [Google Scholar] [CrossRef] [PubMed]
- Ward, C.; Meehan, J.; Gray, M.E.; Murray, A.F.; Argyle, D.J.; Kunkler, I.H.; Langdon, S.P. The impact of tumour pH on cancer progression: Strategies for clinical intervention. Explor. Target. Antitumor. Ther. 2020, 1, 71–100. [Google Scholar] [CrossRef] [PubMed]
- Ying, C.; Jin, C.; Zeng, S.; Chao, M.; Hu, X. Alkalization of cellular pH leads to cancer cell death by disrupting autophagy and mitochondrial function. Oncogene 2022, 41, 3886–3897. [Google Scholar] [CrossRef] [PubMed]
- Goma, P.; Rana, A.K. Current progress in ion-sensitive-field-effect-transistor for diagnostic and clinical biomedical applications. Silicon 2024, 16, 1–14. [Google Scholar] [CrossRef]
- Liu, S.; Wang, Z.; Qiu, S.; Deng, F. Mechanism in ph effects of electrochemical reactions: A mini-review. Carbon Lett. 2024, 34, 1269–1286. [Google Scholar] [CrossRef]
- Lin, B.; Fan, L.; Zhou, Y.; Ge, J.; Wang, X.; Dong, C.; Shuang, S.; Wong, M.S. A benzothiazolium-based fluorescent probe with ideal pKa for mitochondrial pH imaging and cancer cell differentiation. J. Mater. Chem. B 2020, 8, 10586–10592. [Google Scholar] [CrossRef] [PubMed]
- Venkatesh, Y.; Narayan, K.B.; Baumgart, T.; Petersson, E.J. Strategic Modulation of Polarity and Viscosity Sensitivity of Bimane Molecular Rotor-Based Fluorophores for Imaging α-Synuclein. J. Am. Chem. Soc. 2025, 147, 15115–15125. [Google Scholar] [CrossRef] [PubMed]
- Molnar, K.; Manneville, J.B. Emerging mechanobiology techniques to probe intracellular mechanics. Biol. Phys. Mech. 2025, 2, 12. [Google Scholar] [CrossRef]
- Schmitt, F.J.; Thaa, B.; Junghans, C.; Vitali, M.; Veit, M.; Friedrich, T. eGFP-pHsens as a highly sensitive fluorophore for cellular pH determination by fluorescence lifetime imaging microscopy (FLIM). Biochim. Biophys. Acta 2014, 1837, 1581–1593. [Google Scholar] [CrossRef] [PubMed]
- Zou, Y.; Chen, X.; Cheng, Z.; Chen, H.; Wu, J.; Liu, H.; Ye, Q. Evaluation of nitroreductase activity in nasopharyngeal carcinoma progression by an activatable two-photon fluorescent probe. Spectrochim. Acta A Mol. Biomol. Spectrosc. 2022, 281, 121616. [Google Scholar] [CrossRef] [PubMed]
- Yang, X.; Zhang, D.; Ye, Y.; Zhao, Y. Recent advances in multifunctional fluorescent probes for viscosity and analytes. Coord. Chem. Rev. 2022, 453, 214336. [Google Scholar] [CrossRef]
- Sun, Y.; Fu, M.; Bian, M.; Zhu, Q. Recent progress on small molecular temperature-sensitive fluorescent probes. Biotechnol. Bioeng. 2023, 120, 7–21. [Google Scholar] [CrossRef] [PubMed]
- Li, S.; Xiao, Y.; Chen, C.; Jia, L. Recent Progress in Organic Small-Molecule Fluorescent Probe Detection of Hydrogen Peroxide. ACS Omega 2022, 7, 15267–15274. [Google Scholar] [CrossRef] [PubMed]
- Wen, Y.; Jing, N.; Huo, F.; Yin, C. Recent progress of organic small molecule-based fluorescent probes for intracellular pH sensing. Analyst 2021, 146, 7450–7463. [Google Scholar] [CrossRef] [PubMed]
- Hou, J.-T.; Ren, W.X.; Li, K.; Seo, J.; Sharma, A.; Yu, X.-Q.; Kim, J.S. Fluorescent bioimaging of pH: From design to applications. Chem. Soc. Rev. 2017, 46, 2076–2090. [Google Scholar] [CrossRef] [PubMed]
- Wang, H.; Xu, X.; Ni, W.P.; Sun, R.; Zhang, Y.; Ge, J.F. Near-infrared pH-sensitive probes based on aza-Nile Blue for detecting interactions between mitochondria and lysosomes. Spectrochim. Acta A Mol. Biomol. Spectrosc. 2025, 338, 126169. [Google Scholar] [CrossRef] [PubMed]
- Chen, Z.; Shimizu, S.; Ji, S.; Pan, J.; Wang, Y.; Feng, R. A novel BODIPY-based fluorescent probe for naked-eye detection of the highly alkaline pH. Spectrochim. Acta A Mol. Biomol. Spectrosc. 2025, 325, 125083. [Google Scholar] [CrossRef] [PubMed]
- Lee, H.; Lee, S.; Han, M.S. Turn-On Fluorescent pH Probes for Monitoring Alkaline pHs Using Bis [2-(2’-hydroxyphenyl)benzazole] Derivatives. Sensors 2023, 23, 2044. [Google Scholar] [CrossRef] [PubMed]
- Kennedy, L.; Sandhu, J.K.; Harper, M.E.; Cuperlovic-Culf, M. Role of Glutathione in Cancer: From Mechanisms to Therapies. Biomolecules 2020, 10, 1429. [Google Scholar] [CrossRef] [PubMed]
- Xue, X.; Wang, M.; Cui, J.; Yang, M.; Ma, L.; Kang, R.; Tang, D.; Wang, J. Glutathione metabolism in ferroptosis and cancer therapy. Cancer Lett. 2025, 621, 217697. [Google Scholar] [CrossRef] [PubMed]
- Zhang, H.; Montesdeoca, N.; Tang, D.; Liang, G.; Cui, M.; Xu, C.; Servos, L.-M.; Bing, T.; Papadopoulos, Z.; Shen, M.; et al. Tumor-targeted glutathione oxidation catalysis with ruthenium nanoreactors against hypoxic osteosarcoma. Nat. Commun. 2024, 15, 9405. [Google Scholar] [CrossRef] [PubMed]
- Yu, H.; Guo, Y.; Zhu, W.; Havener, K.; Zheng, X. Recent advances in 1,8-naphthalimide-based small-molecule fluorescent probes for organelles imaging and tracking in living cells. Coord. Chem. Rev. 2021, 444, 214019. [Google Scholar] [CrossRef]
- Ma, Q.; Zhuo, W.; Zhai, Z.; Gong, G.; Zhang, T.; Xiao, H.; Zhou, Z.; Liu, Y. A new fluorescent probe for neutral to alkaline pH and imaging application in live cells. Spectrochim. Acta A Mol. Biomol. Spectrosc. 2021, 261, 120031. [Google Scholar] [CrossRef] [PubMed]
- Yu, Z.; Zhang, J.; Chen, J.; Zhao, L.; Yu, D.; Liu, L.; Dong, S. A New Fluorescent Probe Tool: ERNathG. Anal. Chem. 2023, 95, 4261–4265. [Google Scholar] [CrossRef] [PubMed]
- Zhang, J.; Wang, J.; Li, Y.; Zheng, Y.; Hai, P.; Zhang, J. Highly specific GSH-triggered bifunctional molecules to enable precise imaging and targeted therapy of cancer. Talanta 2025, 281, 126862. [Google Scholar] [CrossRef] [PubMed]





| Comp. | IC50 (μM) a | |||
|---|---|---|---|---|
| NCI-H460 | A549 | HepG2 | WI-38 | |
| TZ2 | >20 | 14.51 ± 0.76 | >20 | >20 |
Disclaimer/Publisher’s Note: The statements, opinions and data contained in all publications are solely those of the individual author(s) and contributor(s) and not of MDPI and/or the editor(s). MDPI and/or the editor(s) disclaim responsibility for any injury to people or property resulting from any ideas, methods, instructions or products referred to in the content. |
© 2025 by the authors. Licensee MDPI, Basel, Switzerland. This article is an open access article distributed under the terms and conditions of the Creative Commons Attribution (CC BY) license (https://creativecommons.org/licenses/by/4.0/).
Share and Cite
Zhong, C.; Lu, M.; Pan, G.; You, X.; Peng, Y.; Zeng, S.; Zhang, G. A pH-Sensitive Glutathione Responsive Small-Molecule Probe TZ2 Sensitizes Lung Cancer Cells to Chemotherapy by Targeting Tumor Microenvironment. Molecules 2025, 30, 3081. https://doi.org/10.3390/molecules30153081
Zhong C, Lu M, Pan G, You X, Peng Y, Zeng S, Zhang G. A pH-Sensitive Glutathione Responsive Small-Molecule Probe TZ2 Sensitizes Lung Cancer Cells to Chemotherapy by Targeting Tumor Microenvironment. Molecules. 2025; 30(15):3081. https://doi.org/10.3390/molecules30153081
Chicago/Turabian StyleZhong, Changle, Minghan Lu, Guanhao Pan, Xintong You, Yan Peng, Shulan Zeng, and Guohai Zhang. 2025. "A pH-Sensitive Glutathione Responsive Small-Molecule Probe TZ2 Sensitizes Lung Cancer Cells to Chemotherapy by Targeting Tumor Microenvironment" Molecules 30, no. 15: 3081. https://doi.org/10.3390/molecules30153081
APA StyleZhong, C., Lu, M., Pan, G., You, X., Peng, Y., Zeng, S., & Zhang, G. (2025). A pH-Sensitive Glutathione Responsive Small-Molecule Probe TZ2 Sensitizes Lung Cancer Cells to Chemotherapy by Targeting Tumor Microenvironment. Molecules, 30(15), 3081. https://doi.org/10.3390/molecules30153081

