Comparison of Ultrasound-Microwave-Assisted and Hot Reflux Extractions of Polysaccharides from Alpinia officinarum Hance: Optimization, Characterization, and Antioxidant Activity
Abstract
1. Introduction
2. Materials and Methods
2.1. Materials and Reagents
2.2. Extraction and Purification of A. officinarum Polysaccharides
2.2.1. Extraction, Purification, and One-Factor Experiment for Polysaccharides
2.2.2. Optimization of A. officinarum Polysaccharide Extraction
2.3. Carbohydrate and Total Proteins Determinations
2.4. Ultraviolet (UV) and Fourier-Transform Infrared Spectroscopy (IR) Spectra Analyses
2.5. Determination of Monosaccharide Composition
2.6. Molecular-Weight Determination
2.7. Microscopy Analyses
2.8. Thermal Analyses
2.9. Congo Red Conformation Test
2.10. Detection of Antioxidant Activity
2.10.1. Hydroxyl Radical (·OH) Scavenging Activity Detection
2.10.2. DPPH· Radical Scavenging Activity Detection
2.10.3. ABTS· Radical Scavenging Activity
2.10.4. O2−· Radical Scavenging Activity
2.10.5. Reducing Capacity Detection
2.10.6. Anti-Lipid Peroxidation Capacity Detection
2.11. Data Processing and Statistical Analysis
3. Results and Discussion
3.1. PAOR Single-Factor Experiment
3.2. RSM Results and ANOVA
3.3. Purification of Polysaccharides
3.4. Structural Analysis of Polysaccharide Fractions
3.4.1. Chemical Composition
3.4.2. Monosaccharide Composition
3.5. FT-IR and UV Analyses
3.6. Thermal Stability Properties
3.7. Congo Red Test
3.8. Molecular-Weight Analysis
3.9. Surface Microstructural Analysis
3.10. AFM Analyses of PAOR-1 and PAOR-2
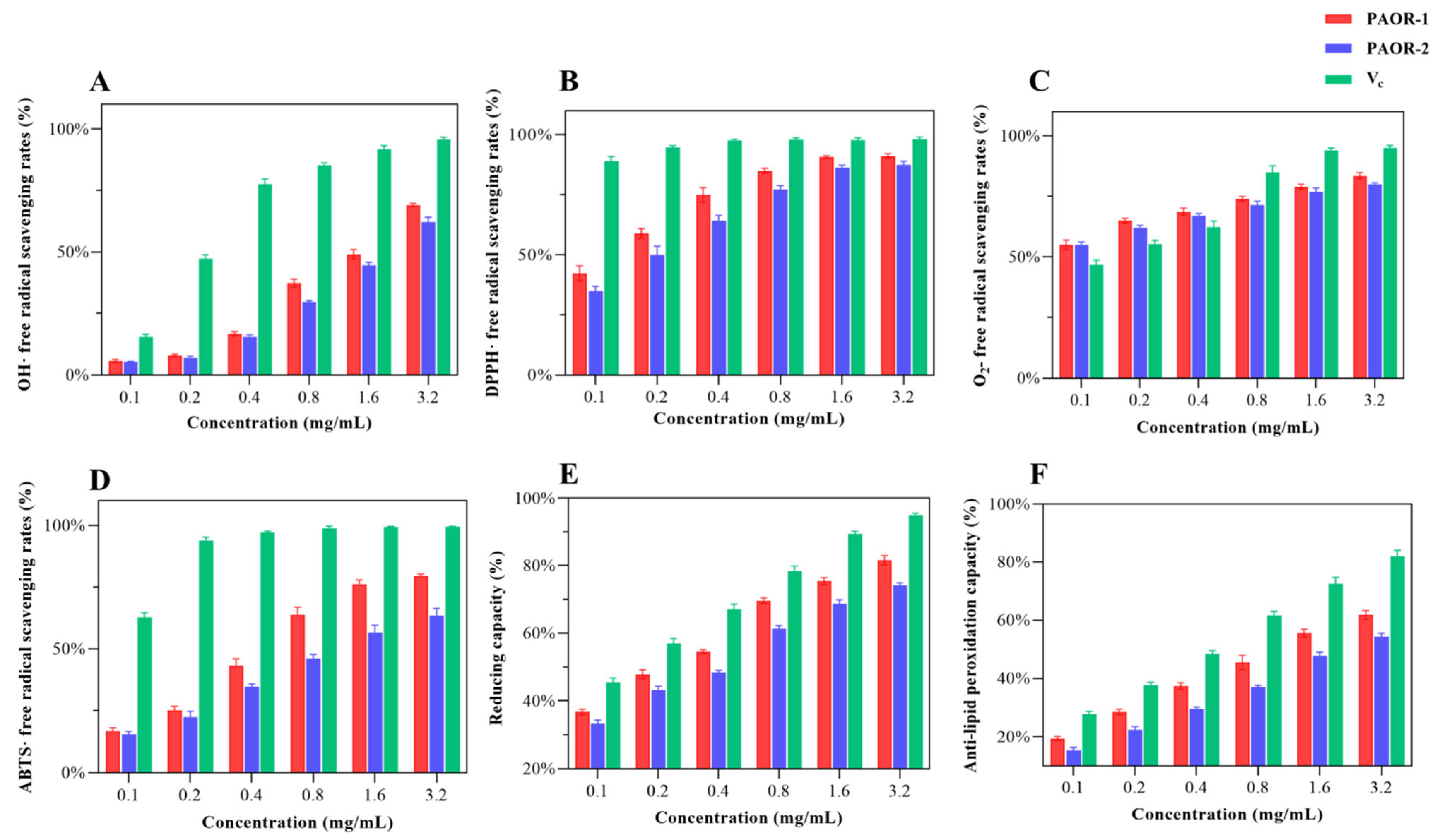
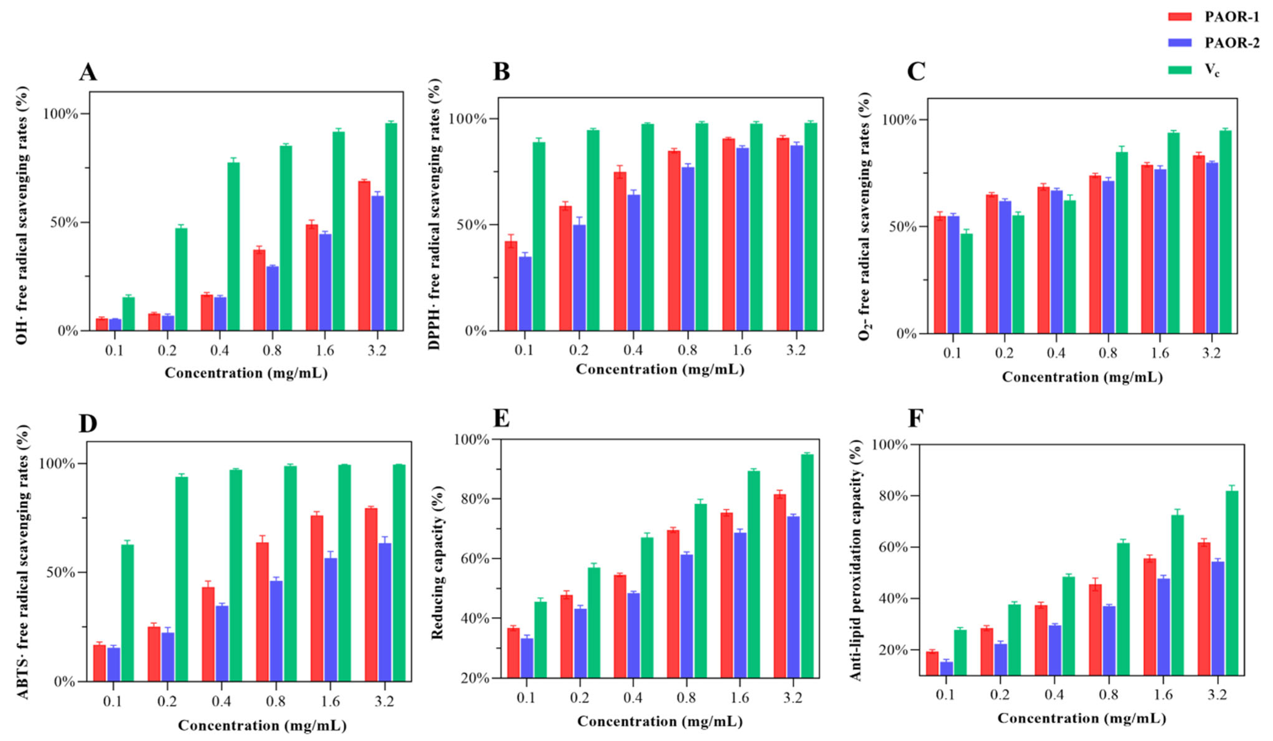
3.11. Antioxidant Activity In Vitro
4. Conclusions
Author Contributions
Funding
Institutional Review Board Statement
Informed Consent Statement
Data Availability Statement
Conflicts of Interest
References
- Zheng, X.W.; Zhang, Y.X.; Tan, Y.F.; Li, Y.H.; Xue, Q.R.; Li, H.L.; Zhang, X.G.; Pan, Y.P.; Xu, J.; Zhang, J.Q. Alpinia officinarum Hance extract ameliorates diabetic gastroparesis by regulating SCF/c-kit signaling pathway and rebalancing gut microbiota. Fitoterapia 2024, 172, 105730. [Google Scholar] [CrossRef] [PubMed]
- Al Garni, H.A.; El-Halawany, A.M.; Koshak, A.E.; Malebari, A.M.; Alzain, A.A.; Mohamed, G.A.; Ibrahim, S.R.M.; El-Sayed, N.S.; Abdallah, H.M. Potential antioxidant, α-glucosidase, butyrylcholinesterase and acetylcholinesterase inhibitory activities of major constituents isolated from Alpinia officinarum hance rhizomes: Computational studies and in vitro validation. SAR QSAR Environ. Res. 2024, 35, 391–410. [Google Scholar] [CrossRef] [PubMed]
- Liu, D.; Liang, J.Y.; Liu, Y.W. A New Diarylheptanoid from the Rhizomes of Alpinia officinarum. Chem. Nat. Compd. 2016, 52, 824–826. [Google Scholar] [CrossRef]
- Lei, X.; Wang, J.P.; Zuo, K.; Xia, T.L.; Zhang, J.F.; Xu, X.Y.; Liu, Q.; Li, X.L. Alpinia officinarum Hance: A comprehensive review of traditional uses, phytochemistry, pharmacokinetic and pharmacology. Front. Pharmacol. 2024, 15, 1414635. [Google Scholar] [CrossRef] [PubMed]
- Nair, A.; Manohar, S.M. A flow cytometric journey into cell cycle analysis. Bioanalysis 2021, 13, 1627–1644. [Google Scholar] [CrossRef] [PubMed]
- Wen, P.; Hu, T.G.; Linhardt, R.J.; Liao, S.T.; Wu, H.; Zou, Y.X. Mulberry: A review of bioactive compounds and advanced processing technology. Trends Food Sci. Technol. 2019, 83, 138–158. [Google Scholar] [CrossRef]
- Zhang, W.X.; Chao, I.C.; Hu, D.J.; Shakerian, F.; Ge, L.Y.; Liang, X.; Wang, Y.; Zhao, J.; Li, S.P. Comparison of Antioxidant Activity and Main Active Compounds Among Different Parts of Alpinia officinarum Hance Using High-Performance Thin Layer Chromatography-Bioautography. J. AOAC Int. 2019, 102, 726–733. [Google Scholar] [CrossRef] [PubMed]
- Wen, H.; Kuang, Y.J.; Lian, X.X.; Li, H.L.; Zhou, M.Y.; Tan, Y.F.; Zhang, X.G.; Pan, Y.P.; Zhang, J.Q.; Xu, J. Physicochemical Characterization, Antioxidant and Anticancer Activity Evaluation of an Acidic Polysaccharide from Alpinia officinarum Hance. Molecules 2024, 29, 1810. [Google Scholar] [CrossRef] [PubMed]
- Ouyang, J.; Sun, F.J.; Feng, W.; Xie, Y.H.; Ren, L.J.; Chen, Y.C. Antimicrobial Activity of Galangin and Its Effects on Murein Hydrolases of Vancomycin-Intermediate Staphylococcus aureus (VISA) Strain Mu50. Chemotherapy 2018, 63, 20–28. [Google Scholar] [CrossRef] [PubMed]
- Akhtar, M.S.; Khan, M.A.; Malik, M.T. Hypoglycaemic activity of Alpinia galanga rhizome and its extracts in rabbits. Fitoterapia 2002, 73, 623–628. [Google Scholar] [CrossRef] [PubMed]
- Zhang, J.X.; Liu, D.M.; Wen, C.T.; Liu, J.; Xu, X.; Liu, G.Y.; Kan, J.; Qian, C.L.; Jin, C.H. New light on Grifola frondosa polysaccharides as biological response modifiers. Trends Food Sci. Technol. 2022, 119, 565–578. [Google Scholar] [CrossRef]
- Liu, Y.Z.; Feng, Z.G.; Hu, Y.; Xu, X.M.; Kuang, T.T.; Liu, Y. Polysaccharides derived from natural edible and medicinal sources as agents targeting exercise-induced fatigue: A review. Int. J. Biol. Macromol. 2024, 256, 128280. [Google Scholar] [CrossRef] [PubMed]
- Gong, L.S.; Zhu, J.C.; Yang, Y.X.; Qiao, S.H.; Ma, L.; Wang, H.X.; Zhang, Y.H. Effect of polyethylene glycol on polysaccharides: From molecular modification, composite matrixes, synergetic properties to embeddable application in food fields. Carbohydr. Polym. 2024, 327, 121647. [Google Scholar] [CrossRef] [PubMed]
- Janik, W.; Jakubski, L.; Kudla, S.L.; Dudek, G. Modified polysaccharides for food packaging applications: A review. Int. J. Biol. Macromol. 2024, 258, 128916. [Google Scholar] [CrossRef] [PubMed]
- Wu, Q.M.; Hu, Y.; Yu, B.; Hu, H.; Xu, F.J. Polysaccharide-based tumor microenvironment-responsive drug delivery systems for cancer therapy. J. Control. Release 2023, 362, 19–43. [Google Scholar] [CrossRef] [PubMed]
- Wang, H.L.; Huang, G.L. Extraction, purification, structural modification, activities and application of polysaccharides from different parts of mulberry. Food Funct. 2024, 15, 3939–3958. [Google Scholar] [CrossRef] [PubMed]
- Wang, J.L.; Dai, G.N.; Shang, M.Y.; Wang, Y.P.; Xia, C.L.; Duan, B.Z.; Xu, L. Extraction, structural-activity relationships, bioactivities, and application prospects of Pueraria lobata polysaccharides as ingredients for functional products: A review. Int. J. Biol. Macromol. 2023, 243, 125210. [Google Scholar] [CrossRef] [PubMed]
- Wang, W.L.; Liu, X.Y.; Wang, L.X.; Song, G.R.; Jiang, W.; Mu, L.H.; Li, J.Y. Ficus carica polysaccharide extraction via ultrasound-assisted technique: Structure characterization, antioxidant, hypoglycemic and immunomodulatory activities. Ultrason. Sonochem. 2023, 101, 106680. [Google Scholar] [CrossRef] [PubMed]
- Chen, X.X.; Yang, J.; Shen, M.Y.; Chen, Y.; Yu, Q.; Xie, J.H. Structure, function and advance application of microwave-treated polysaccharide: A review. Trends Food Sci. Technol. 2022, 123, 198–209. [Google Scholar] [CrossRef]
- Ahmadi, S.; Yu, C.X.; Zaeim, D.; Wu, D.M.; Hu, X.X.; Ye, X.Q.; Chen, S.G. Increasing RG-I content and lipase inhibitory activity of pectic polysaccharides extracted from goji berry and raspberry by high-pressure processing. Food Hydrocoll. 2022, 126, 107477. [Google Scholar] [CrossRef]
- Gong, T.; Liu, S.L.; Wang, H.Z.; Zhang, M. Supercritical CO2 fluid extraction, physicochemical properties, antioxidant activities and hypoglycemic activity of polysaccharides derived from fallen Ginkgo leaves. Food Biosci. 2021, 42, 101153. [Google Scholar]
- Song, Z.Y.; Huang, G.L.; Huang, H.L. The ultrasonic-assisted enzymatic extraction, characteristics and antioxidant activities of lychee nuclear polysaccharide. Ultrason. Sonochem. 2024, 110, 107038. [Google Scholar] [CrossRef] [PubMed]
- Chen, L.H.; Cui, C.F.; Wang, Z.H.; Che, F.H.; Chen, Z.X.; Feng, S.B. Structural Characterization and Antioxidant Activity of β-Glucans from Highland Barley Obtained with Ultrasonic-Microwave-Assisted Extraction. Molecules 2024, 29, 684. [Google Scholar] [CrossRef] [PubMed]
- Hu, Z.Y.; Zhou, H.L.; Zhao, J.L.; Sun, J.Q.; Li, M.; Sun, X.S. Microwave-assisted extraction, characterization and immunomodulatory activity on RAW264.7 cells of polysaccharides from Trichosanthes kirilowii Maxim seeds. Int. J. Biol. Macromol. 2020, 164, 2861–2872. [Google Scholar] [CrossRef] [PubMed]
- Harman, D. About “Origin and evolution of the free radical theory of aging: A brief personal history, 1954–2009”. Biogerontology 2009, 10, 783. [Google Scholar] [CrossRef] [PubMed]
- Liu, Y.; Huang, G. Extraction and derivatisation of active polysaccharides. J. Enzyme Inhib. Med. Chem. 2019, 34, 1690–1696. [Google Scholar] [CrossRef] [PubMed]
- Yang, W.; Huang, G. Extraction methods and activities of natural glucans. Trends Food Sci. Technol. 2021, 112, 50–57. [Google Scholar] [CrossRef]
- Tang, Z.J.; Huang, G.L.; Huang, H.L. Ultrasonic-assisted extraction, analysis and properties of purple mangosteen scarfskin polysaccharide and its acetylated derivative. Ultrason. Sonochem. 2024, 109, 107010. [Google Scholar] [CrossRef] [PubMed]
- Tang, Z.; Huang, G. Antioxidant activity of polysaccharide from Garcinia mangostana rind and their derivatives. BMC Complement. Med. Ther. 2024, 24, 283. [Google Scholar] [CrossRef] [PubMed]
- Wang, Y.J.; Xiong, X.; Huang, G.L. Ultrasound-assisted extraction and analysis of maidenhairtree polysaccharides. Ultrason. Sonochem. 2023, 95, 106395. [Google Scholar] [CrossRef] [PubMed]
- Han, Q.H.; Liu, W.; Li, H.Y.; He, J.L.; Guo, H.; Lin, S.; Zhao, L.; Chen, H.; Liu, Y.W.; Wu, D.T.; et al. Extraction Optimization, Physicochemical Characteristics, and Antioxidant Activities of Polysaccharides from Kiwifruit (Actinidia chinensis Planch.). Molecules 2019, 24, 461. [Google Scholar] [CrossRef] [PubMed]
- Wang, L.; Zhang, B.; Xiao, J.; Huang, Q.; Li, C.; Fu, X. Physicochemical, functional, and biological properties of water-soluble polysaccharides from Rosa roxburghii Tratt fruit. Food Chem. 2018, 249, 127–135. [Google Scholar] [CrossRef] [PubMed]
- Yang, W.; Wu, J.; Liu, W.; Ai, Z.; Cheng, Y.; Wei, Z.; Zhang, H.; Ma, H.; Cui, F.; Zhou, C.J.F.B. Structural characterization, antioxidant and hypolipidemic activity of Grifola frondosa polysaccharides in novel submerged cultivation. Food Biosci. 2021, 42, 101187. [Google Scholar] [CrossRef]
- Halliwell, B.; Gutteridge, J.M.C. Oxygen free radicals and iron in relation to biology and medicine: Some problems and concepts. Arch. Biochem. Biophys. 1986, 246, 501–514. [Google Scholar] [CrossRef] [PubMed]
- Blois, M.S. Antioxidant determinations by the use of a stable free radical. Nature 1958, 181, 1199–1200. [Google Scholar] [CrossRef]
- Miller, N.J.; Rice-Evans, C.; Davies, M.J.; Gutteridge, J.M.; Bolwell, G.P. A novel method for measuring antioxidant capacity and its application to monitoring the antioxidant status in premature neonates. Clin. Sci. 1993, 84, 407–412. [Google Scholar] [CrossRef] [PubMed]
- Fridovich, I. Superoxide dismutases. Adv. Enzymol. Relat. Areas Mol. Biol. 1986, 58, 61–97. [Google Scholar] [PubMed]
- Benzie, I.F.F.; Strain, J.J. The ferric reducing ability of plasma (FRAP) as a measure of “antioxidant power”: The FRAP assay. Anal. Biochem. 1996, 239, 70–76. [Google Scholar] [CrossRef] [PubMed]
- Tang, Z.; Chen, Y.; Cai, C.; Ma, S.; Tan, Z. CO2-responsive ionic liquid for the sustainable extraction and separation of Rosa roxburghii polysaccharides. Int. J. Biol. Macromol. 2025, 308, 142708. [Google Scholar] [CrossRef] [PubMed]
- Li, J.C.; Chen, Z.X.; Shi, H.M.; Yu, J.; Huang, G.L.; Huang, H.L. Ultrasound-assisted extraction and properties of polysaccharide from Ginkgo biloba leaves. Ultrason. Sonochem. 2023, 93, 106295. [Google Scholar] [CrossRef] [PubMed]
- Ying, Z.; Han, X.X.; Li, J.R. Ultrasound-assisted extraction of polysaccharides from mulberry leaves. Food Chem. 2011, 127, 1273–1279. [Google Scholar] [CrossRef] [PubMed]
- He, L.A.; Yan, X.T.; Liang, J.; Li, S.J.; He, H.R.; Xiong, Q.P.; Lai, X.P.; Hou, S.Z.; Huang, S. Comparison of different extraction methods for polysaccharides from Dendrobium officinale stem. Carbohydr. Polym. 2018, 198, 101–108. [Google Scholar] [CrossRef] [PubMed]
- Maran, J.P.; Mekala, V.; Manikandan, S.J.C.p. Modeling and optimization of ultrasound-assisted extraction of polysaccharide from Cucurbita moschata. Carbohydr. Polym. 2013, 92, 2018–2026. [Google Scholar] [CrossRef] [PubMed]
- Zhang, W.T.; Duan, W.; Huang, G.L.; Huang, H.L. Ultrasonic-assisted extraction, analysis and properties of mung bean peel polysaccharide. Ultrason. Sonochem. 2023, 98, 7. [Google Scholar] [CrossRef] [PubMed]
- Zheng, Q.; Ren, D.Y.; Yang, N.; Yang, X.B. Optimization for ultrasound-assisted extraction of polysaccharides with chemical composition and antioxidant activity from the Artemisia sphaerocephala Krasch seeds. Int. J. Biol. Macromol. 2016, 91, 856–866. [Google Scholar] [CrossRef] [PubMed]
- Guo, X.M.; Qiao, Q.; Jin, Y.T.; Lei, H.X.; Guo, K.Y.; Zhao, Z.X.; Li, P.; Liu, A.Z.; Sun, R. Optimization of ultrasound-assisted extraction of two saponins from Paris polyphylla var. yunnanensis leaves using response surface methodology. Front. Sustain. Food Syst. 2024, 8, 12. [Google Scholar] [CrossRef]
- Ahmad, A.; Alkharfy, K.M.; Wani, T.A.; Raish, M. Application of Box-Behnken design for ultrasonic-assisted extraction of polysaccharides from Paeonia emodi. Int. J. Biol. Macromol. 2015, 72, 990–997. [Google Scholar] [CrossRef] [PubMed]
- Hou, F.R.; Song, S.S.; Yang, S.H.; Wang, Y.S.; Jia, F.J.; Wang, W.L. Study on the Optimization, Extraction Kinetics and Thermodynamics of the Ultrasound-Assisted Enzymatic Extraction of Tremella fuciformis Polysaccharides. Foods 2024, 13, 1408. [Google Scholar] [CrossRef] [PubMed]
- Huang, G.; Chen, F.; Yang, W.; Huang, H. Technology, Preparation, deproteinization and comparison of bioactive polysaccharides. Trends Food Sci. Technol. 2021, 109, 564–568. [Google Scholar] [CrossRef]
- Tang, Y.; Sheng, J.; He, X.; Sun, J.; Wei, Z.; Liu, G.; Li, C.; Lin, B.; Li, L. Novel antioxidant and hypoglycemic water-soluble polysaccharides from jasmine tea. Foods 2021, 10, 2375. [Google Scholar] [CrossRef] [PubMed]
- Cai, C.W.; Xu, X.H.; Xie, X.L.; Sun, S.J.; Sun, T.T.; Wu, W.X.; Fu, F.Q. Purification, characterization and in vitro anticoagulant activity of polysaccharides from Gentiana scabra Bunge roots. Carbohydr. Polym. 2016, 140, 308–313. [Google Scholar] [CrossRef] [PubMed]
- Wu, D.T.; Liu, W.; Han, Q.H.; Du, G.; Li, H.Y.; Yuan, Q.; Fu, Y.; Zhao, L.; Zhang, Q.; Li, S.Q.; et al. Physicochemical characteristics and antioxidant activities of non-starch polysaccharides from different kiwifruits. Int. J. Biol. Macromol. 2019, 136, 891–900. [Google Scholar] [CrossRef] [PubMed]
- Li, J.E.; Cui, S.W.; Nie, S.P.; Xie, M.Y. Structure and biological activities of a pectic polysaccharide from Mosla chinensis Maxim. cv. Jiangxiangru. Carbohydr. Polym. 2014, 105, 276–284. [Google Scholar] [CrossRef] [PubMed]
- Liu, Y.; Hu, C.F.; Feng, X.; Cheng, L.; Ibrahim, S.A.; Wang, C.T.; Huang, W. Isolation, characterization and antioxidant of polysaccharides from Stropharia rugosoannulata. Int. J. Biol. Macromol. 2020, 155, 883–889. [Google Scholar] [CrossRef] [PubMed]
- Chen, L.H.; Huang, G.L.; Hu, J.C. Preparation, deproteinization, characterisation, and antioxidant activity of polysaccharide from cucumber (Cucumis saticus L.). Int. J. Biol. Macromol. 2018, 108, 408–411. [Google Scholar] [CrossRef] [PubMed]
- Zhu, J.; Chen, Z.; Chen, L.; Yu, C.; Wang, H.; Wei, X.; Wang, Y. Comparison and structural characterization of polysaccharides from natural and artificial Se-enriched green tea. Int. J. Biol. Macromol. 2019, 130, 388–398. [Google Scholar] [CrossRef] [PubMed]
- Tang, Y.; Sheng, J.; He, X.; Sun, J.; Wei, Z.; Liu, G.; Li, C.; Lin, B.; Li, L. Effects of different extraction methods on the structural, antioxidant and hypoglycemic properties of red pitaya stem polysaccharide. Food Chem. 2023, 405, 134804. [Google Scholar] [CrossRef] [PubMed]
- Zhao, T.; Mao, G.; Feng, W.; Mao, R.; Gu, X.; Li, T.; Li, Q.; Bao, Y.; Yang, L.; Wu, X. Isolation, characterization and antioxidant activity of polysaccharide from Schisandra sphenanthera. Carbohydr. Polym. 2014, 105, 26–33. [Google Scholar] [CrossRef] [PubMed]
- Hou, S.; Tan, M.; Chang, S.; Zhu, Y.; Rong, G.; Wei, G.; Zhang, J.; Zhao, B.; Zhao, Q.-S. Effects of different processing (Paozhi) on structural characterization and antioxidant activities of polysaccharides from Cistanche deserticola. Int. J. Biol. Macromol. 2023, 245, 125507. [Google Scholar] [CrossRef] [PubMed]
- Yi, J.; Li, X.; Wang, S.; Wu, T.; Liu, P. Steam explosion pretreatment of Achyranthis bidentatae radix: Modified polysaccharide and its antioxidant activities. Food Chem. 2022, 375, 131746. [Google Scholar] [CrossRef] [PubMed]
- Duan, M.; Shang, H.; Chen, S.; Li, R.; Wu, H. Physicochemical properties and activities of comfrey polysaccharides extracted by different techniques. Int. J. Biol. Macromol. 2018, 115, 876–882. [Google Scholar] [CrossRef] [PubMed]
- Zeng, H.; Miao, S.; Zheng, B.; Lin, S.; Jian, Y.; Chen, S.; Zhang, Y. Molecular structural characteristics of polysaccharide fractions from Canarium album (Lour.) Raeusch and their antioxidant activities. Raeusch Their Antioxid. Act. 2015, 80, H2585–H2596. [Google Scholar] [CrossRef] [PubMed]
- Yin, C.; Fan, X.; Fan, Z.; Shi, D.; Gao, H. Optimization of enzymes-microwave-ultrasound assisted extraction of Lentinus edodes polysaccharides and determination of its antioxidant activity. Int. J. Biol. Macromol. 2018, 111, 446–454. [Google Scholar] [CrossRef] [PubMed]
- Chen, F.; Huang, S.; Huang, G.J.F. Function, Preparation, activity, and antioxidant mechanism of rice bran polysaccharide. Food Funct. 2021, 12, 834–839. [Google Scholar] [CrossRef] [PubMed]
- Zhong, Q.; Wei, B.; Wang, S.; Ke, S.; Chen, J.; Zhang, H.; Wang, H. The antioxidant activity of polysaccharides derived from marine organisms: An overview. Mar. Drugs 2019, 17, 674. [Google Scholar] [CrossRef] [PubMed]
- Kasote, D.M.; Katyare, S.S.; Hegde, M.V.; Bae, H. Significance of antioxidant potential of plants and its relevance to therapeutic applications. Int. J. Biol. Macromol. 2015, 11, 982. [Google Scholar] [CrossRef] [PubMed]
- Wang, Q.H.; Shu, Z.P.; Xu, B.Q.; Xing, N.; Jiao, W.J.; Yang, B.Y.; Kuang, H.X. Structural characterization and antioxidant activities of polysaccharides from Citrus aurantium L. Int. J. Biol. Macromol. 2014, 67, 112–123. [Google Scholar] [CrossRef] [PubMed]
- Wu, H.; Shang, H.; Guo, Y.; Zhang, H.; Wu, H. Comparison of different extraction methods of polysaccharides from cup plant (Silphium perfoliatum L.). Process Biochem. 2020, 90, 241–248. [Google Scholar] [CrossRef]
- Li, B.; Liu, S.; Xing, R.; Li, K.; Li, R.; Qin, Y.; Wang, X.; Wei, Z.; Li, P. Degradation of sulfated polysaccharides from Enteromorpha prolifera and their antioxidant activities. Carbohydr. Polym. 2013, 92, 1991–1996. [Google Scholar] [CrossRef] [PubMed]











| Factor Levels | Independent Variable | ||
|---|---|---|---|
| Material–Liquid Ratio (v/w) | B Extraction Time (min) | C Ultrasonic Power (W) | |
| −1 | 30 | 40 | 50 |
| 0 | 14 | 18 | 22 |
| 1 | 300 | 400 | 500 |
| No. | Factor | Yield (%) | ||
|---|---|---|---|---|
| A/(mL/g) | B/(min) | C/(W) | ||
| 1 | 30 | 14 | 400 | 16.55 |
| 2 | 50 | 14 | 400 | 17.43 |
| 3 | 30 | 22 | 400 | 16.98 |
| 4 | 50 | 22 | 400 | 18.15 |
| 5 | 30 | 18 | 300 | 15.78 |
| 6 | 50 | 18 | 300 | 17.14 |
| 7 | 30 | 18 | 500 | 17.56 |
| 8 | 50 | 18 | 500 | 17.89 |
| 9 | 40 | 14 | 300 | 15.23 |
| 10 | 40 | 22 | 300 | 17.12 |
| 11 | 40 | 14 | 500 | 17.53 |
| 12 | 40 | 22 | 500 | 16.69 |
| 13 | 40 | 18 | 400 | 18.63 |
| 14 | 40 | 18 | 400 | 18.11 |
| 15 | 40 | 18 | 400 | 18.41 |
| 16 | 40 | 18 | 400 | 18.33 |
| 17 | 40 | 18 | 400 | 18.25 |
| Source of Variation | Square Sum | Degrees of Freedom | Mean Square | F-Value | p-Value | Significance |
|---|---|---|---|---|---|---|
| Model | 14.08 | 9 | 1.56 | 50.23 | <0.0001 | ** |
| A | 1.72 | 1 | 1.72 | 55.07 | 0.0001 | ** |
| B | 0.59 | 1 | 0.59 | 18.80 | 0.0034 | ** |
| C | 2.42 | 1 | 2.42 | 77.67 | <0.0001 | ** |
| AB | 0.015 | 1 | 0.015 | 0.48 | 0.5101 | ns |
| AC | 0.27 | 1 | 0.27 | 8.51 | 0.0224 | * |
| BC | 1.86 | 1 | 1.86 | 59.80 | 0.0001 | ** |
| A2 | 0.42 | 1 | 0.42 | 13.40 | 0.0081 | ** |
| B2 | 2.46 | 1 | 2.46 | 79.06 | <0.0001 | ** |
| C2 | 3.71 | 1 | 3.71 | 119.06 | <0.0001 | ** |
| Residual | 0.22 | 7 | 0.031 | |||
| Lack of fit | 0.068 | 3 | 0.023 | 0.61 | 0.64 | ns |
| Pure error | 0.15 | 4 | 0.037 | |||
| Total error | 14.30 | 16 | ||||
| R2 = 0.9848 | Radj2 = 0.9651 | C.V.% = 1.01 | ||||
| Item | PAOR-1 | PAOR-2 |
|---|---|---|
| Yield (%) | 17.56 ± 1.62% a | 10.12 ± 3.45% b |
| Chemical characteristics (%) | ||
| Carbohydrate (%) | 84.12 ± 0.25% a | 78.4 ± 0.65% b |
| Protein (%) | 1.14 ± 0.32% a | 0.65 ± 0.15% a |
| Molecular weight (kDa) | ||
| Peak1 Mw (kDa) | 2.6 | 20.9 |
| Peak2 Mw (kDa) | ns | 8.1 |
| Monosaccharide composition (mol%) | ||
| D-Mannose | 14.69 | 17.75 |
| D-Glucosamine | ns | ns |
| L-Rhamnose | 8.72 | ns |
| D-Glucuronic acid | 4.42 | ns |
| D-Galacturonic acid | 22.88 | 16.37 |
| D-Glucose | 4.15 | 6.65 |
| D-Galactose | 25.55 | 35.19 |
| D-Xylose | 19.58 | 24.13 |
Disclaimer/Publisher’s Note: The statements, opinions and data contained in all publications are solely those of the individual author(s) and contributor(s) and not of MDPI and/or the editor(s). MDPI and/or the editor(s) disclaim responsibility for any injury to people or property resulting from any ideas, methods, instructions or products referred to in the content. |
© 2025 by the authors. Licensee MDPI, Basel, Switzerland. This article is an open access article distributed under the terms and conditions of the Creative Commons Attribution (CC BY) license (https://creativecommons.org/licenses/by/4.0/).
Share and Cite
Tang, H.; Zhou, B.; Sun, M.; Wang, Y.; Cheng, R.; Tan, T.; Yang, D. Comparison of Ultrasound-Microwave-Assisted and Hot Reflux Extractions of Polysaccharides from Alpinia officinarum Hance: Optimization, Characterization, and Antioxidant Activity. Molecules 2025, 30, 3031. https://doi.org/10.3390/molecules30143031
Tang H, Zhou B, Sun M, Wang Y, Cheng R, Tan T, Yang D. Comparison of Ultrasound-Microwave-Assisted and Hot Reflux Extractions of Polysaccharides from Alpinia officinarum Hance: Optimization, Characterization, and Antioxidant Activity. Molecules. 2025; 30(14):3031. https://doi.org/10.3390/molecules30143031
Chicago/Turabian StyleTang, Haibao, Baogang Zhou, Mengge Sun, Yihan Wang, Ran Cheng, Tao Tan, and Dongsheng Yang. 2025. "Comparison of Ultrasound-Microwave-Assisted and Hot Reflux Extractions of Polysaccharides from Alpinia officinarum Hance: Optimization, Characterization, and Antioxidant Activity" Molecules 30, no. 14: 3031. https://doi.org/10.3390/molecules30143031
APA StyleTang, H., Zhou, B., Sun, M., Wang, Y., Cheng, R., Tan, T., & Yang, D. (2025). Comparison of Ultrasound-Microwave-Assisted and Hot Reflux Extractions of Polysaccharides from Alpinia officinarum Hance: Optimization, Characterization, and Antioxidant Activity. Molecules, 30(14), 3031. https://doi.org/10.3390/molecules30143031

