Abstract
The pyrrolo[2,3-d]pyrimidine (7-deazapurine) scaffold is a unique heterocyclic system included in the composition of most nucleotides. In this study, series of the pyrrolo[2,3-d]pyrimidine-imines and 3-halo-substituted pyrrolo[2,3-d]pyrimidines were designed and prepared in high yields. Condensed pyrimidines are obtained via carbonyl-amine condensation and carbon-halogen bond formation. Pyrrolo[2,3-d]pyrimidine-imines containing a bromine substituent at position C-4 of the phenyl ring and azepine side-ring exhibited superior antitumor activity on the colon cancer HT-29 cell line; IC50 values were 4.55 and 4.01 µM, respectively. These results revealed an interesting pattern, where condensed pyrimidinones containing an azepine ring demonstrated selective antitumor activity on the colon cancer cell line HT-29. In addition, the molecular docking results suggest that compound 8g provided a thorough understanding of its interactions with the DDR2 active site. This could pave the way for further development and optimization of DDR-targeting drugs, contributing to advancements in cancer therapeutics. This lead compound may serve as design templates for further studies.
1. Introduction
Pyrimidine-based small molecules containing various five-membered heterocycles have been successfully used in clinical trials as antitumor inhibitors [1,2,3]. These include the monocarboxylate transporter 1 (MCT1) inhibitors AZD3965 and AR-C155858 [4,5,6,7], the WEE1 inhibitor AZD1775 [8,9], the anaplastic lymphoma kinase (ALK) inhibitors AZD3463 and AZD5363 [10,11,12,13], the DNA-dependent protein kinase (DNA-PK) inhibitor AZD7648 [14,15,16], and other AZD-related inhibitors [17,18] employed in cancer treatment (Figure 1).
Figure 1.
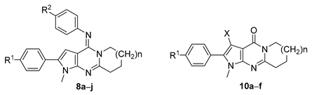
Structures of pyrimidine-based inhibitors from the AZD series used in cancer treatment, and the pyrrolo[2,3-d]pyrimidines 8a–j and 10a–f synthesized in this work.
The pyrrolo[2,3-d]pyrimidine (7-deazapurine) [19] scaffold is a unique heterocyclic system included in the composition of most nucleotides [20,21]. This includes DNA and RNA, plants [22], and biologically critical synthetic derivatives [23,24,25,26,27]. These condensed heterocyclic compounds contain a six-membered pyrimidine portion and a five-membered pyrrole ring. Tricyclic pyrrolo[2,3-d]pyrimidines have been shown to inhibit the BCL6 BTB domain protein-protein interaction [28]. We recently reported a facile synthesis of tricyclic pyrrolo[2,3-d]pyrimidinones containing 2-substituted-phenyl fragments in the pyrrole ring in high yield [29]. Antitumor evaluation of substituted 2-phenyl pyrrolo[2,3-d]pyrimidinones revealed enhanced antitumor activity due to the introduction of a phenyl group at position 2 of the pyrrole core and the presence of halogen substituents in the 2-phenyl portion. The importance of the 2-phenyl ring was confirmed during the investigation of the oxazolo[5,4-d]pyrimidine library [30].
Our research group has extensive experience and interest in N-heterocycles, especially in condensed pyrimidines [31,32,33,34,35,36,37,38,39,40]. We have studied their biological properties using various targets [41] and have probed their antitumor activity against human cancer cell lines [42]. The tricyclic pyrrolo[2,3-d]pyrimidine molecule contains several reaction centers; these include the nitrogen heteroatoms of the pyrimidine and pyrrole rings, the carbonyl group of the pyrimidine core, and the methylene side-ring. The presence of these substituents contributes to the increased reactivity of these electrophilic substitution reactions. These factors also contribute to the formation of deazapurine in the biosynthesis process and in the synthesis of various intermediates for the total synthesis of desired natural products and synthetic compounds. In addition, the tricyclic pyrrolo[2,3-d]pyrimidinones that are the subject of this research are synthetic analogues of the deoxyvasicinone [40,43] and mackinazolinone [44] alkaloids, where a pyrrole ring replaces the benzene ring (A-ring) (Figure 2).
Figure 2.
Natural-products-based derivatization.
We designed our tricyclic pyrrolo[2,3-d]pyrimidine-based compounds based on the presence of this core structure in several kinase-targeting scaffolds used in modern oncology treatments. In addition to the previously discussed structures, our design incorporates essential pharmacophoric components commonly found in FDA-approved anticancer drugs [45,46]. These components include a fused N-heterocycle that mimics purines or quinazolines (e.g., gefitinib and imatinib) [47,48]; electron-rich aryl substitutions that facilitate π-stacking interactions; and halogen groups that enhance binding affinity and metabolic stability. This combination reflects the rational hybridization of privileged fragments, aiming to retain drug-likeness while exploring novel spatial geometry and electronic distribution for selective anticancer activity.
Thus, we proceeded here to examine the chemical modification of the pyrrolo[2,3-d]pyrimidine core with a tricyclic ring, where we synthesized its imines via carbonyl-amine condensation and studied carbon-halogen bond formation at position C-3 of the pyrrole ring. All synthesized novel compounds were tested for their antitumor activity on human cancer cell lines, including HeLa (cervical), MCF-7 (breast), and HT-29 (colon).
2. Results and Discussion
2.1. Synthesis
ipso-Imination of ketone, carbonyl, and sulfoxide functional groups with amines (1°–3°) allows rapid access to the synthesis of imine-tethered compounds [49,50,51]. Tricyclic pyrrolo[2,3-d]pyrimidinones 6a and 6b contain the C=O group. Together with the neighboring nitrogen heteroatom of the pyrimidine ring, this moiety becomes an amide-type functional fragment. Therefore, we studied the ipso-imination of these tricyclic pyrimidinone ring systems via carbonyl-amine condensation. The three-step total synthesis of 6a and 6b was described in our earlier report. Trifluoromethanesulfonic anhydride (Tf2O) [52] was selected as an amide activation agent for carbonyl-amine condensation. Tf2O is an effective electrophilic activation agent for the cyclic amides [53], the chemo-selective synthesis process of imines [54], and even in nucleophilic substitution reactions towards various generated phosphates [55]. Except for an aniline, 4-halo-substituted phenyl anilines (7a–e) were selected for the condensation. The base additive 2-methoxypyridine was also used. The carbonyl-amine condensation was performed using dichloromethane (DCM) as a reaction solvent at low temperatures, from 0 °C to r.t. (25 °C). The transformation easily occurred under the above conditions, and the desired pyrrolo[2,3-d]pyrimidine-imines 8a–j were formed in good yield (45–99%) (Scheme 1). In summary, Tf2O/2-methoxypyridine-mediated carbonyl-amine condensation provided a convenient and mild pathway to pyrrolo[2,3-d]pyrimidine-imines 8a–j formation. No other condition for ipso-imination was investigated in these systems.
Scheme 1.
Synthesis of pyrrolo[2,3-d]pyrimidine-imines 8a–j.
It should be noted that the number of side-methylene rings of the pyrimidine system is not impacted for reactions yielding imines.
The introduction of novel carbon-carbon bonds in heterocyclic systems can be implemented using various Pd-catalyzed reactions in the presence of halo-tethered intermediates. In this context, we performed carbon-halogen bond formation in the tricyclic pyrrolo[2,3-d]pyrimidine system. Three types of N-halosuccinimides were used in electrophilic aromatic halogenations resulting in carbon-halogen bond formation. These are N-chlorosuccinimide (NCS) (9a), N-bromosuccinimide (NBS) (9b), and N-iodosuccinimide (NIS) (9c), all of which are common sources of halonium ions due to their ease of handling and low toxicities [56]. Thus, if pyrrolopyrimidinones (6a and 6b) and N-halosuccinimides (9a–c) were mixed in DCM, after stirring at room temperature for 1 h (9b,c) or reflux for 1 h (9a), the desired 3-halo-substituted pyrrolopyrimidinones 10a–f were produced (Scheme 2) in yields up to 99%.
Scheme 2.
Synthesis of 3-halo-substituted pyrrolopyrimidinones 10a–f.
All synthesized pyrrolo[2,3-d]pyrimidine-imines 8a–j and 10a–f were elucidated by 1H-NMR, 13C-NMR, and HRMS as described in the experimental section (see Supplementary Information), as well as X-ray analysis for (E)-N,2-Bis(4-chlorophenyl)-1-methyl-6,7,8,9-tetrahydropyrido[1,2-a]pyrrolo[2,3-d]pyrimidin-4(1H)-imine (8c) (Figure 3).
Figure 3.
Crystal structure of compound 8c (CCDC: 2169282).
In the 1H NMR spectra of the target compounds 8a–8j, the formation of the imine moiety was confirmed by the appearance of a characteristic singlet at δ 5.06–5.27 ppm, corresponding to the vinylic proton (=CH−), which is absent in the precursor compounds 6a and 6b. This signal is slightly deshielded due to conjugation with both aromatic and imine systems. The N-methyl protons appear consistently as a singlet at δ 3.59–3.70 ppm in all imine-containing compounds. Aliphatic methylene protons of the saturated rings (CH2-CH2-CH2) exhibit multiplet signals in the δ 1.90–4.20 ppm range, showing minimal but noticeable chemical shift differences compared to the precursors. Notably, the β-CH2 group (adjacent to the imine moiety) shows a downfield shift by approximately 0.10–0.15 ppm, likely due to the electron-withdrawing effect of the imine linkage. The aromatic regions (δ 6.80–7.60 ppm) of 8a–8j reflect the presence of two substituted aryl rings: the fixed 2-(4-halophenyl) group and the variable N-aryl or N-heteroaryl substituent. Fluorinated (8b, 8g) and trifluoromethyl (8e, 8j) derivatives display additional fine splitting caused by 19F-1H couplings, along with downfield shifts in both aromatic and aliphatic protons, indicating increased deshielding. In compounds 10a–10c (containing Cl, Br, I at position 3), the β-CH2 protons are observed around δ 2.48–2.50 ppm, while the CH2-N moiety appears as a triplet near δ 3.70 ppm. The N-methyl signal remains as a singlet at δ 3.10 ppm, shifted upfield compared to the imine-containing compounds. These changes confirm the substitution pattern on the pyrimidinone ring and suggest the absence of conjugated double bonds. The 13C NMR spectra of 8a–8j show the imine carbon (C=N) resonating from δ 151–154 ppm, while other quaternary sp2 carbons (C2, C4) appear at δ 145–149 ppm. The N-methyl carbon consistently shows up at δ 43.8–44.4 ppm. Aliphatic CH2 carbons show signals from δ 19.3–32.5 ppm, with slight deshielding in compounds bearing bulky or electron-withdrawing aryl groups at the imine nitrogen. In the CF3-substituted compounds (8e, 8j), additional signals for quaternary carbons and trifluoromethyl carbons are found in the δ 123–126 ppm range (q, J = 3.5–3.8 Hz), consistent with characteristic C-F couplings. The halo-containing compounds display a distinctive pattern: the carbonyl carbon (C=O) appears at δ 157–159 ppm, replacing the C=N signal. Adding halogens at position 3 results in new signals in the δ 90–106 ppm range, consistent with halogenated quaternary carbons. Notably, the iodine-bearing carbon in 10c and 10f shows the most downfield shift (δ ~ 106.05 ppm), aligning with literature data for iodinated heterocycles. HRMS confirmed the molecular formulas of all synthesized compounds, with the observed [M + H]+ signals closely matching the calculated values (within ≤3 mDa), confirming the proposed structures.
2.2. Antitumor Activity and Structure-Activity Relationship (SAR)
All the synthesized tricyclic pyrrolo[2,3-d]pyrimidines 8a–j and 10a–f were evaluated for their cytotoxic activity on cancer cell lines derived from the most common cancers: breast (MCF-7), cervical (HeLa), and colon (HT-29). Human cancer cell lines were treated with synthesized compounds, using doxorubicin (DOX) as a positive control, at concentrations of the compounds ranging from 0.001 to 6.561 μM. Cells were incubated at 37 °C for 72 h before measurement, and IC50 values were determined graphically. In our previous research [29], the cytotoxic activity of compounds 6a and 6b was also evaluated on the same human cancer cell lines used in the current study. Compound 6a exhibited an IC50 value of 6.55 ± 0.31 µM, while the IC50 for compound 6g was 7.61 ± 0.31 µM, against HeLa and HT-29 cell lines, respectively [29]. Table 1 shows that, among all tested pyrrolo[2,3-d]pyrimidines, only halo-compounds 10a and 10b displayed moderate activity against HeLa and MCF-7 cell lines, respectively. Other compounds were inactive and showed IC50 values ≥50 µM against these two cell lines. Among the tetrahydro derivatives, only compound 8a (R2 = H) exhibited moderate inhibition (IC50 = 19.22 µM), indicating that substitution at the N-aryl group is crucial. The introduction of electron-withdrawing groups (F, Cl, Br, and CF3) at this position (as seen in 8b–8e) resulted in a loss of activity. However, among the sixteen pyrrolo[2,3-d]pyrimidines synthesized, seven derivatives showed weak to high antitumor potency against HT-29 cell lines with IC50 values ≤50. Pyrrolo[2,3-d]pyrimidine-imines containing a bromine substituent at position C-4 of the phenyl ring and pentamethylene side-ring, (E)-2-(4-Bromophenyl)-1-methyl-N-phenyl-1,6,7,8,9,10-hexahydro-4H-pyrrolo[2′,3′:4,5]pyrimido-[1,2-a]azepin-4-imine (8f) and (E)-2-(4-Bromophenyl)-N-(4-fluorophenyl)-1-methyl-1,6,7,8,9,10-hexahydro-4H-pyrrolo[2′,3′:4,5]pyrimido[1,2-a]azepin-4-imine (8g), exhibited significant antitumor activity on HT-29 cell lines, with IC50 values 4.55 ± 0.23 and 4.01 ± 0.20 µM, respectively (Table 1).
Table 1.
In vitro cytotoxic activity of the synthesized pyrrolo[2,3-d]pyrimidines (8a–j and 10a–f).
It should be noted that both hexahydro derivatives have a bromine atom at R1 and either H or F at R2. This highlights the favorable impact of ring saturation and halogenation. However, further substitution at R2 diminished activity in 8h–8j. Among the halo-containing analogues, compound 10a exhibited modest activity across all three cell lines (IC50~23–28 µM), whereas 10b, 10c, 10e, and 10f displayed selective yet weaker activity. The presence of halogens (Br, I) at position 3 in the pyrrole ring appeared to be beneficial for cytotoxicity. Overall, SAR trends suggest that the cytotoxic potential is enhanced by a hexahydro scaffold, minimal substitution on the N-aryl ring, and selective halogenation, particularly for targeting colon cancer cells.
Derivatives 8f and 8g exhibited selective cytotoxicity against HT-29 colon cancer cells, with respective IC50 values of 4.55 ± 0.23 µM and 4.01 ± 0.20 µM. On the other hand, the inactivity of these leads on HeLa and MCF-7 cells (IC50 ≥ 50 µM) indicates specific tumor type selectivity. To assess their selectivity index (SI), the lead compounds were tested on non-cancerous human embryonic kidney (HEK-293) cells, yielding IC50 values of 195 ± 0.07 µM and 169 ± 0.10 µM for derivatives 8f and 8g, respectively. The selectivity index (SI) was then calculated as the ratio of the IC50 values for HEK-293 and HT-29 cells and is shown in Table 2.
Table 2.
IC50 values for human embryonic kidney (HEK-293) cells and SI values of 8f and 8g against the HT-29 cell line.
When comparing the previous [29] and the present work, an interesting and consistent pattern emerges, indicating that the synthesized pyrrolo[2,3-d]pyrimidines exhibit a selective affinity for colon HT-29 cells. This highlights a crucial factor in the development of anticancer drugs. In addition, the bromine substituent at position C-4 of the phenyl ring enhanced cytotoxic potency, while the 4-fluoro-imine fragment was more effective than the carbonyl (C=O) group (Figure 4). An increase in the number of methylene (-CH2-) groups results in more selective antitumor compounds; here, the azepine ring affects the activity. With SI values exceeding 42, both compounds demonstrate favorable selectivity toward cancer cells over normal cells. Although these compounds have lower overall antiproliferative potency than doxorubicin (IC50: 0.18–0.94 µM), their significantly higher selectivity indices suggest an improved therapeutic window, particularly for colon cancer models, for 8f and 8g. The mechanism of action of these potential antitumor compounds is being investigated to elucidate their further antitumor properties.
Figure 4.
The SAR of the highly active compounds 8f and 8g.
2.3. Docking Study
Discoidin domain receptors (DDRs) respond to collagen and play a crucial role in many cellular processes [57,58]. These activities include shaping tissues, promoting cell growth and differentiation, facilitating cell adhesion, and enabling tissue movement and repair [2]. Note that DDRs are a type of receptor tyrosine kinase (RTK) belonging to the same enzyme family as the epidermal growth factor receptor (EGFR). Although compounds 8f and 8g exhibited similar biological activities, 8g was chosen for docking due to its fluorine atom, which influences molecular recognition and binding interactions in silico. Compound 8g and avitinib (an EGFR receptor) have a similar structure; avitinib contains a pyrrolopyrimidine system. Several N-heterocycles, including pyrimidine [59], pyrazole [2,60,61], and pyrrolopyrimidines, have been shown to inhibit DDR1 or DDR2 [62]. Molecular docking studies using the Schrödinger platform [63,64] have identified compound 8g as a promising anticancer agent focused on the DDR2 active site. The docking simulations used the OPLS4 force field and the DDR2 X-ray crystal structure, which was obtained from the Protein Data Bank (PDB entry 6FER) [65]. The method was validated using a redocking procedure with the co-crystallized ligand. The docking analysis of compound 8g yielded a score of -7.856 kcal/mol, indicating its strong binding potential through multiple key interactions. Notable hydrogen bonds were formed between compound 8g and DDR2, including the conventional hydrogen bond between the pyrimidine nitrogen and Gln711 (2.37 Å), and aromatic hydrogen bonds involving Asp708 and the p-fluorophenyl group (2.27 Å), as well as Leu616 and the p-bromophenyl group (2.71 Å) (Figure 5A,B). Over 20 amino acid residues, including Arg780 and Tyr783, contributed to hydrophobic interactions. The elongated structure of compound 8g facilitated optimal alignment within the DDR2 binding cavity, thereby inhibiting its activity. These results suggest that compound 8g provided a thorough understanding of its interactions with the DDR2 active site. This could pave the way for further development and optimization of DDR-targeting drugs, contributing to advancements in cancer therapeutics.
Figure 5.
Docking result (A) and the 2D diagram (B) of 8g with DDR2.
In Slico ADME Studies of Compounds 8f and 8g
We evaluated the in silico absorption, distribution, metabolism, and excretion (ADME) properties of compounds 8f and 8g using the QikProp module from Schrödinger [66] (Table 3). The assessment revealed that both compounds have acceptable molecular weights and conform to Lipinski’s rule of five [67]. However, each compound violates one aspect of this rule due to its elevated lipophilicity, with QPlogPo/w values of 6.95 and 7.19, respectively. Both compounds lack hydrogen bond donors and have a moderate number of hydrogen bond acceptors (2.5 each) yet demonstrate excellent passive permeability. Their small polar surface area (PSA) of 24.41 Å2 promotes efficient membrane diffusion, as evidenced by their high Caco-2 permeability values (7667.0 for 8f and 10,000.0 for 8g). These findings suggest strong potential for gastrointestinal absorption and the ability to penetrate the blood–brain barrier (BBB) [68]. The estimated human oral absorption for both compounds is excellent (100%), as supported by binary prediction values of 1.
Table 3.
In silico ADME properties of leads 8f and 8g by the QikProp module.
Although high lipophilicity enhances absorption, it hampers water solubility. QPlogS values of −8.35 and −8.73 for 8f and 8g, respectively, are significantly below the ideal threshold of −5.0, indicating poor aqueous solubility. Regarding skin permeability, QPlogKp values indicate moderate permeability (−0.180 for 8f and −0.202 for 8g), which reduces the relevance for systemic delivery. Regarding distribution, the predicted plasma protein binding (QPlogKhsa) was also moderate, with values of 1.540 and 1.587, respectively, suggesting balanced tissue exposure. Both compounds are anticipated to undergo a single metabolic reaction (#metab = 1), which is indicative of metabolic stability and a lower risk of rapid clearance. However, the predicted QPlogHERG values of −6.218 and −6.094, respectively, raise a notable safety concern as values below −5 may signal potential cardiotoxicity associated with hERG K+ channel inhibition. Further investigation is necessary during optimization efforts. In summary, despite certain limitations, particularly in solubility and potential cardiotoxicity, both compounds present favorable ADME profiles.
3. Experimental Section
3.1. Chemistry
3.1.1. Materials and Methods
Chemical reagents were purchased from Adamas-beta (Shanghai, China) and Sigma-Aldrich (Merck Chemicals Co., Ltd., Shanghai, China). Visualization was performed using 254 nm UV light, and column chromatography was conducted with 200–300 mesh silica gel (Qingdao Haiyang Chemical Co., Qingdao, China), eluent petroleum ether/ethyl acetate (3:1). Melting points were determined using a Buchi B-540 melting point apparatus (BÜCHI Labortechnik AG, Flawil, Switzerland). The high-resolution mass spectra (HRMS) were recorded with AB SCIEX QSTAR Elite quadrupole time-of-flight mass spectrometry (AB SCIEX LLC, MA, USA). For 1H and 13C nuclear magnetic resonance (NMR) spectra, TMS was used as an internal standard and they were recorded using a Varian 400 and 600 MHz NMR spectrometer (Varian, Inc., Palo Alto, CA, USA) in CDCl3 and DMSO-D6.
3.1.2. General Synthetic Procedures for 6a and 6b
A solution of 2-amino pyrroles (4a and 4b, 10 mmol) and lactams (12 mmol) in dry dioxane (20 mL) was cooled to between 0 and 5 °C. Then, phosphorus oxychloride (POCl3; 2.3 mL, 25 mmol) was added dropwise, and the mixture was refluxed for one hour. After evaporating the solvent and excess POCl3 under reduced pressure, the resulting solid was suspended in dichloromethane (DCM; 100 mL). Then, 10% aqueous ammonia was added to adjust the pH to 9. The mixture was extracted twice with DCM (30 mL each time). The organic phase was washed with brine, dried over anhydrous sodium sulfate, filtered, and concentrated to yield a crude product. Purification by silica gel chromatography produced pure compounds 6a and 6b [29].
2-(4-Chlorophenyl)-1-methyl-6,7,8,9-tetrahydropyrido[1,2-a]pyrrolo[2,3-d]pyrimidin-4(1H)-one (6a). Yield 31%, yellow solid, m.p.171–173 °C. 1H NMR (600 MHz, CDCl3) δ 7.42–7.36 (m, 4H), 6.67 (s, 1H), 4.09 (t, J = 6.2 Hz, 2H), 3.69 (s, 3H), 2.97 (t, J = 6.7 Hz, 2H), 1.97 (p, J = 6.1 Hz, 2H), 1.92 (p, J = 6.3 Hz, 2H); 13C NMR (101 MHz, CDCl3) δ 159.13, 153.94, 148.10, 135.31, 133.92, 130.51, 129.95, 128.85, 105.90, 102.01, 41.59, 31.81, 30.07, 22.26, 19.37; HRMS (ESI): calcd for C17H17ClN3O [M + H]+: 314.1060, found 314.1058.
2-(4-Bromophenyl)-1-methyl-1,6,7,8,9,10-hexahydro-4H-pyrrolo[2’,3’:4,5]pyrimido[1,2-a]azepin-4-one (6b). Yield 71%, yellow solid, m.p.176–177 °C. 1H NMR (600 MHz, CDCl3) δ 7.56 (d, J = 8.4 Hz, 2H), 7.32 (d, J = 8.4 Hz, 2H), 6.67 (s, 1H), 4.40 (s, 2H), 3.70 (s, 3H), 3.05 (s, 2H), 1.83 (s, 4H), 1.76 (s, 2H); 13C NMR (101 MHz, CDCl3) δ 158.99, 158.75, 147.95, 135.48, 131.82, 130.96, 130.22, 122.09, 105.69, 102.31, 42.21, 37.62, 30.02, 29.63, 27.99, 25.53; HRMS (ESI): calcd for C18H19BrN3O [M + H]+: 372.0711, found 372.0710.
3.1.3. Synthetic Procedure for the Pyrrolo[2,3-d]pyrimidines 8a–j
Derivatives (6a or 6b) (5.0 mmol) and 2-OMe-Py (5.5 mmol) were added to anhydrous DCM. The reaction mixture was stirred for ten minutes at 0 °C. Next, 10 mmol of Tf2O was slowly added dropwise and stirred for 1 h. Next, the appropriate aromatic amines (7a–e) (10 mmol) were added. The reaction mixture was monitored by thin layer chromatography (TLC). The reaction mixture was washed with an aqueous solution of NaHCO3 and brine. The organic layer was then dried over anhydrous Na2SO4 and filtered. The filtrate was evaporated under reduced pressure, and the residue was purified by chromatography on a silica gel column to give the compounds 8a–j.
(E)-2-(4-Chlorophenyl)-1-methyl-N-phenyl-6,7,8,9-tetrahydropyrido[1,2-a]pyrrolo[2,3-d]pyrimidin-4(1H)-imine (8a). Yield 99%, yellow solid, m.p. 281–283. 1H NMR (400 MHz, CDCl3) δ 7.32–7.27 (m, 3H), 7.26 (d, J = 1.7 Hz, 1H), 7.16–7.11 (m, 2H), 7.06–7.00 (m, 1H), 6.95–6.90 (m, 2H), 5.10 (s, 1H), 4.16 (t, J = 6.2 Hz, 2H), 3.61 (s, 3H), 2.95 (t, J = 6.7 Hz, 2H), 2.03 (p, J = 6.1 Hz, 2H), 1.93 (p, J = 6.4 Hz, 2H). 13C NMR (101 MHz, CDCl3) δ 153.96, 151.70, 148.58, 145.48, 133.31, 132.66, 130.64, 129.63, 128.99, 128.65, 122.16, 122.10, 104.14, 101.84, 43.88, 32.51, 29.83, 22.85, 19.41. HRMS (ESI): calcd for C23H22ClN4 [M + H]+: 389.1533, found: 389.1502.
(E)-2-(4-Chlorophenyl)-N-(4-fluorophenyl)-1-methyl-6,7,8,9-tetrahydropyrido[1,2-a]pyrrolo[2,3-d]pyrimidin-4(1H)-imine (8b). Yield 48%, yellow solid, m.p. 240–242. 1H NMR (400 MHz, CDCl3) δ 7.35–7.30 (m, 2H), 7.18–7.14 (m, 2H), 7.02–6.95 (m, 2H), 6.90–6.83 (m, 2H), 5.16 (s, 1H), 4.14 (t, J = 6.2 Hz, 2H), 3.62 (s, 3H), 2.95 (t, J = 6.7 Hz, 2H), 2.03 (p, J = 6.0 Hz, 2H), 1.93 (p, J = 6.4 Hz, 2H). 13C NMR (101 MHz, CDCl3) δ (160.03, 157.65, d, J = 239.5 Hz), 153.94, 149.13, 145.53, 133.51, 132.91, 130.48, 129.69, 128.73, 123.14, 115.68, 115.46, 103.85, 101.74, 43.98, 32.50, 29.83, 22.83, 19.36. HRMS (ESI): calcd for C23H21ClFN4 [M + H]+: 407.1439, found: 407.1408.
(E)-N,2-Bis(4-chlorophenyl)-1-methyl-6,7,8,9-tetrahydropyrido[1,2-a]pyrrolo[2,3-d]pyrimidin-4(1H)-imine (8c). Yield 68%, yellow solid, m.p. 273–275. 1H NMR (400 MHz, CDCl3) δ 7.36–7.31 (m, 2H), 7.27–7.21 (m, 2H), 7.20–7.14 (m, 2H), 6.89–6.83 (m, 2H), 5.26 (s, 1H), 4.13 (t, J = 6.2 Hz, 2H), 3.61 (s, 3H), 2.95 (t, J = 6.7 Hz, 2H), 2.03 (p, J = 6.2 Hz, 2H), 1.93 (p, J = 6.1 Hz, 2H). 13C NMR (101 MHz, CDCl3) δ 153.94, 150.35, 148.65, 145.53, 133.57, 133.00, 130.46, 129.77, 128.97, 128.75, 126.96, 123.41, 103.86, 101.67, 43.93, 32.49, 29.85, 22.82, 19.37. HRMS (ESI): calcd for C23H21Cl2N4 [M + H]+: 423.1143, found: 423.1115.
(E)-N-(4-Bromophenyl)-2-(4-chlorophenyl)-1-methyl-6,7,8,9-tetrahydropyrido[1,2-a]pyrrolo[2,3-d]pyrimidin-4(1H)-imine (8d). Yield 99%, yellow solid, m.p. 262–264. 1H NMR (400 MHz, CDCl3) δ 7.41–7.31 (m, 4H), 7.20–7.15 (m, 2H), 6.84–6.79 (m, 2H), 5.27 (s, 1H), 4.13 (t, J = 6.2 Hz, 2H), 3.61 (s, 3H), 2.95 (t, J = 6.7 Hz, 2H), 2.02 (p, J = 6.2 Hz, 2H), 1.93 (p, J = 6.1 Hz, 2H). 13C NMR (101 MHz, CDCl3) δ 153.94, 150.86, 148.52, 145.53, 133.58, 133.03, 131.89, 130.45, 129.79, 128.75, 123.91, 114.50, 103.85, 101.65, 43.92, 32.48, 29.82, 22.82, 19.37. HRMS (ESI): calcd for C23H21BrClN4 [M + H]+: 467.0638, found: 467.0607.
(E)-2-(4-Chlorophenyl)-1-methyl-N-(4-(trifluoromethyl)phenyl)-6,7,8,9-tetrahydropyrido[1,2-a]pyrrolo[2,3-d]pyrimidin-4(1H)-imine (8e). Yield 61%, yellow solid, m.p. 202–204. 1H NMR (400 MHz, CDCl3) δ 7.54 (d, J = 8.7 Hz, 2H), 7.36–7.31 (m, 2H), 7.18–7.13 (m, 2H), 7.04 (d, J = 8.5 Hz, 2H), 5.20 (s, 1H), 4.19 (t, J = 6.2 Hz, 2H), 3.63 (s, 3H), 2.99 (t, J = 6.7 Hz, 2H), 2.05 (p, J = 6.2 Hz, 2H), 1.95 (p, J = 6.3 Hz, 2H). 13C NMR (101 MHz, CDCl3) δ 153.90, 148.51, 145.94, 133.85, 133.83, 130.13, 129.69, 128.81, (126.24, 126.21, 126.17, 126.13, q, J = 3.8 Hz), 124.47, 124.15, 123.36, 122.51, 122.45, 103.50, 101.64, 44.41, 32.47, 29.89, 22.76, 19.27. HRMS (ESI): calcd for C24H21ClF3N4 [M + H]+: 457.1407, found: 457.1374.
(E)-2-(4-Bromophenyl)-1-methyl-N-phenyl-1,6,7,8,9,10-hexahydro-4H-pyrrolo[2’,3’:4,5]pyrimido[1,2-a]azepin-4-imine (8f). Yield 45%, yellow solid, m.p. 188–190. 1H NMR (400 MHz, CDCl3) δ 7.52–7.47 (m, 2H), 7.38–7.32 (m, 2H), 7.24–7.15 (m, 3H), 7.09–7.04 (m, 2H), 5.06 (s, 1H), 4.65–4.59 (m, 2H), 3.65 (s, 3H), 3.21–3.15 (m, 2H), 2.02–1.94 (m, 2H), 1.88 (s, 4H). 13C NMR (101 MHz, CDCl3) δ 158.76, 149.66, 147.17, 131.92, 131.84, 130.24, 130.13, 129.80, 129.35, 125.63, 124.65, 122.72, 118.80, 103.64, 101.73, 47.18, 37.63, 30.06, 29.04, 27.23, 25.31. HRMS (ESI): calcd for C24H24BrN4 [M + H]+: 447.1184, found: 447.1150.
(E)-2-(4-Bromophenyl)-N-(4-fluorophenyl)-1-methyl-1,6,7,8,9,10-hexahydro-4H-pyrrolo[2’,3’:4,5]pyrimido[1,2-a]azepin-4-imine (8g). Yield 72%, yellow solid, m.p. 210-212. 1H NMR (400 MHz, CDCl3) δ 7.59–7.54 (m, 2H), 7.37–7.30 (m, 2H), 7.15–7.07 (m, 4H), 5.12 (s, 1H), 4.67–4.62 (m, 2H), 3.70 (s, 3H), 3.31–3.25 (m, 2H), 2.10–2.03 (m, 2H), 1.92 (s, 4H). 13C NMR (101 MHz, CDCl3) δ (162.86, 160.40, d, J = 248.0 Hz), 158.61, 150.52, 148.03, 132.15, 130.31, 129.01, 127.85, 123.55, 121.94, 116.56, 116.33, 102.96, 101.50, 48.77, 37.52, 30.19, 28.73, 27.05, 25.10. HRMS (ESI): calcd for C24H23BrFN4 [M + H]+: 465.1090, found: 465.1056.
(E)-2-(4-Bromophenyl)-N-(4-chlorophenyl)-1-methyl-1,6,7,8,9,10-hexahydro-4H-pyrrolo[2’,3’:4,5]pyrimido[1,2-a]azepin-4-imine (8h). Yield 61%, yellow solid, m.p. 240–242. 1H NMR (400 MHz, CDCl3) δ 7.52–7.47 (m, 2H), 7.25–7.21 (m, 2H), 7.13–7.08 (m, 2H), 6.87–6.82 (m, 2H), 5.24 (s, 1H), 4.59–4.53 (m, 2H), 3.61 (s, 3H), 3.06–3.01 (m, 2H), 1.91–1.78 (m, 6H). 13C NMR (101 MHz, CDCl3) δ 159.03, 148.30, 145.57, 133.15, 131.71, 130.87, 130.05, 128.98, 126.91, 123.35, 121.74, 104.05, 101.58, 44.19, 37.81, 29.83, 29.57, 27.41, 25.63. HRMS (ESI): calcd for C24H23BrClN4 [M + H]+: 481.0795, found: 481.0763.
(E)-N,2-Bis(4-bromophenyl)-1-methyl-1,6,7,8,9,10-hexahydro-4H-pyrrolo[2’,3’:4,5]pyrimido[1,2-a]azepin-4-imine (8i). Yield 77%, yellow solid, m.p. 247–249. 1H NMR (400 MHz, CDCl3) δ 7.52–7.47 (m, 2H), 7.40–7.35 (m, 2H), 7.12–7.08 (m, 2H), 6.83–6.78 (m, 2H), 5.25 (s, 1H), 4.59–4.53 (m, 2H), 3.61 (s, 3H), 3.06–3.01 (m, 2H), 1.90–1.79 (m, 7H). 13C NMR (101 MHz, CDCl3) δ 159.02, 150.61, 148.20, 145.60, 133.22, 131.91, 131.72, 130.85, 130.06, 123.90, 121.77, 114.49, 104.03, 101.57, 44.23, 37.81, 29.83, 29.57, 27.41, 25.63. HRMS (ESI): calcd for C24H23Br2N4 [M + H]+: 525.0289, found: 525.0256.
(E)-2-(4-Bromophenyl)-1-methyl-N-(4-(trifluoromethyl)phenyl)-1,6,7,8,9,10-hexahydro-4H-pyrrolo[2’,3’:4,5]pyrimido[1,2-a]azepin-4-imine (8j). Yield 95%, yellow solid, m.p. 188–190. 1H NMR (400 MHz, CDCl3) δ 7.52 (d, J = 8.3 Hz, 2H), 7.50–7.45 (m, 2H), 7.10–7.05 (m, 2H), 6.99 (d, J = 8.2 Hz, 2H), 5.19 (s, 1H), 4.60–4.54 (m, 2H), 3.62 (s, 3H), 3.05 (d, J = 5.7 Hz, 2H), 1.93–1.79 (m, 6H). 13C NMR (101 MHz, CDCl3) δ 159.00, 155.06, 147.94, 145.69, 133.41, 131.73, 130.76, 129.92, (126.20, 126.17, 126.13, 126.09, q, J = 3.5 Hz), 123.87, 123.55, 123.48, 122.10, 121.80, 103.87, 101.50, 44.28, 37.80, 29.84, 29.57, 27.40, 25.62. HRMS (ESI): calcd for C25H23BrF3N4 [M + H]+: 515.1058, found: 515.1024.
3.1.4. Synthetic Procedure for the Pyrrolo[2,3-d]pyrimidines 10a–f
A mixture of 6a or 6b (5.0 mmol) and NXS (9a–c) (5.5 mmol) in DCM was stirred at room temperature for 1 h. With 9a (N-chlorosuccinimide), the reaction mixture was refluxed for 1 h. The reaction was monitored by TLC. The reaction mixture was washed (saturated aqueous NaHCO3 solution), the organic layer dried over anhydrous Na2SO4, and filtered. The filtrate was evaporated under reduced pressure, and the residue was purified by chromatography on a silica gel column to give the compounds 10a–f.
3-Chloro-2-(4-chlorophenyl)-1-methyl-6,7,8,9-tetrahydropyrido[1,2-a]pyrrolo[2,3-d]pyrimidin-4(1H)-one (10a). Yield 77%, yellow solid, m.p. 161–163. 1H NMR (400 MHz, C6D6) δ 7.15–7.10 (m, 2H), 7.04–6.98 (m, 2H), 3.71 (t, J = 6.1 Hz, 2H), 3.10 (s, 3H), 2.49 (t, J = 6.6 Hz, 2H), 1.22–1.09 (m, 4H). 13C NMR (101 MHz, C6D6) δ 157.09, 154.53, 145.92, 134.20, 131.62, 129.68, 128.57, 127.55, 105.83, 103.29, 41.00, 31.51, 29.24, 21.64, 18.82. HRMS (ESI): calcd for C17H16Cl2N3O [M + H]+: 348.0670, found: 348.0644.
3-Bromo-2-(4-chlorophenyl)-1-methyl-6,7,8,9-tetrahydropyrido[1,2-a]pyrrolo[2,3-d]pyrimidin-4(1H)-one (10b). Yield 56%, yellow solid, m.p. 135–136. 1H NMR (400 MHz, C6D6) δ 7.14–7.10 (m, 2H), 7.01–6.96 (m, 2H), 3.70 (t, J = 6.1 Hz, 2H), 3.10 (s, 3H), 2.48 (t, J = 6.6 Hz, 2H), 1.20–1.07 (m, 4H). 13C NMR (101 MHz, C6D6) δ 157.28, 154.38, 146.57, 134.31, 131.84, 131.56, 128.52, 128.28, 104.58, 90.88, 41.03, 31.52, 29.47, 21.63, 18.80. HRMS (ESI): calcd for C17H16BrClN3O [M + H]+: 392.0165, found: 392.0138.
2-(4-Chlorophenyl)-3-iodo-1-methyl-6,7,8,9-tetrahydropyrido[1,2-a]pyrrolo[2,3-d]pyrimidin-4(1H)-one (10c). Yield 75%, yellow solid, m.p. 168–169. 1H NMR (400 MHz, C6D6) δ 7.13–7.09 (m, 2H), 6.96–6.91 (m, 2H), 3.68 (t, J = 6.1 Hz, 2H), 3.11 (s, 3H), 2.48 (t, J = 6.6 Hz, 2H), 1.19–1.06 (m, 4H). 13C NMR (101 MHz, C6D6) δ 157.61, 154.06, 147.47, 135.44, 134.44, 132.15, 129.65, 128.52, 106.63, 56.76, 41.08, 31.58, 29.87, 21.63, 18.79. HRMS (ESI): calcd for C17H16ClIN3O [M + H]+: 440.0027, found: 439.9998.
2-(4-Bromophenyl)-3-chloro-1-methyl-1,6,7,8,9,10-hexahydro-4H-pyrrolo[2’,3’:4,5]pyrimido[1,2-a]azepin-4-one (10d). Yield 60%, yellow solid, m.p. 224–226. 1H NMR (400 MHz, CDCl3) δ 7.64–7.59 (m, 2H), 7.35–7.31 (m, 2H), 4.41–4.35 (m, 2H), 3.59 (s, 3H), 3.06–3.00 (m, 2H), 1.86–1.80 (m, 4H), 1.79–1.72 (m, 2H). 13C NMR (101 MHz,CDCl3) δ 159.70, 157.90, 145.84, 131.89, 131.83, 130.62, 127.74, 122.98, 105.81, 102.78, 41.99, 37.65, 30.13, 29.59, 27.88, 25.45. HRMS (ESI): calcd for C18H18BrClN3O [M + H]+: 406.0322, found: 406.0295.
3-Bromo-2-(4-bromophenyl)-1-methyl-1,6,7,8,9,10-hexahydro-4H-pyrrolo[2’,3’:4,5]pyrimido[1,2-a]azepin-4-one (10e). Yield 81%, yellow solid, m.p. 208–209. 1H NMR (400 MHz, CDCl3) δ 7.64–7.59 (m, 2H), 7.35–7.29 (m, 2H), 4.41–4.35 (m, 2H), 3.59 (s, 3H), 3.06–3.01 (m, 2H), 1.83 (s, 4H), 1.79–1.73 (m, 2H). 13C NMR (101 MHz, CDCl3) δ 159.61, 158.04, 146.42, 132.52, 132.10, 131.85, 131.82, 128.46, 123.12, 104.03, 90.89, 42.08, 37.65, 30.38, 29.60, 27.86, 25.45. HRMS (ESI): calcd for C18H18Br2N3O [M + H]+: 449.9817, found: 449.9785.
2-(4-Bromophenyl)-3-iodo-1-methyl-1,6,7,8,9,10-hexahydro-4H-pyrrolo[2’,3’:4,5]pyrimido[1,2-a]azepin-4-one (10f). Yield 97%, yellow solid, m.p. 209–211. 1H NMR (400 MHz, CDCl3) δ 7.65–7.60 (m, 2H), 7.31–7.27 (m, 2H), 4.41–4.35 (m, 2H), 3.59 (s, 3H), 3.06–3.00 (m, 2H), 1.87–1.80 (m, 4H), 1.79–1.73 (m, 2H). 13C NMR (101 MHz, CDCl3) δ 159.34, 158.33, 147.45, 136.41, 132.40, 131.86, 131.81, 129.84, 123.26, 106.05, 56.91, 42.16, 37.75, 30.72, 29.63, 27.88, 25.49. HRMS (ESI): calcd for C18H18BrIN3O [M + H]+: 497.9678, found: 497.9641.
3.2. Biology
Cytotoxic Activity Assay
The MCF-7, HeLa, and HT-29 cell lines, obtained from the Chinese Type Culture Collection, CAS (Shanghai, China), were used as models for cytotoxicity screening. The samples were dissolved in dimethyl sulfoxide (DMSO) (50 μM) and stored at 4 °C. Cell viability was determined using the MTT assay. For the MTT assay, the target cells were seeded in 96-well plates and treated with the synthesized samples for 72 h. Then, 5 mg/mL MTT was added to the culture medium, and 10 μL/well was added. The plate was then incubated in the dark at 37 °C for 4 h. The medium was removed, and 100 μL of dimethyl sulfoxide was added per well. OD570 was measured using Spectra Max M5 (Molecular Devices, CA, USA). Cell viability (%) = ODcompound /ODDMSO × 100%. IC50 values were calculated using GraphPad Prism 9 (CA, USA) by nonlinear regression of the log-transformed data (X Log[X]), with the log (inhibitor) vs. normalized response-variable slope tool.
3.3. Molecular Docking
Docking simulations were conducted using Maestro version 12.8 from the 2021–2022 Schrödinger Suite [69,70]. The DDR2 crystal structure (PDB code 6FER, 2.87 Å resolution) was utilized from the RCSB Protein Data Bank (https://www.rcsb.org/structure/6FER, accessed on 9 May 2025). The Protein Preparation Wizard was used to add hydrogens and prepare the protein for ionization at pH 7.0. Missing residues were addressed using the Prime module, and water molecules beyond 5 Å were removed. Energy minimization was performed using the OPLS4 force field, followed by optimization with the LigPrep module. A grid box covering 12 Å from the centroid was defined for docking and was initially set based on co-crystallized ligands. We validated the docking protocol by redocking the bound ligand and subsequently docking compound 8g into the DDR2 active site.
ADME Pharmacokinetic Analysis
The ADME properties of the compounds were assessed using the QikProp module within the Maestro interface (Schrödinger Release 2022-1: QikProp, Schrödinger, LLC, New York, NY, 2021) [66]. Properties such as absorption, distribution, metabolism, and excretion were calculated in an accurate prediction mode. We determined parameters related to drug-likeness and dynamics, including hydrogen bond donors and acceptors, Lipinski’s rule of five, the water–octanol partition coefficient, human serum albumin binding, the van der Waals surface area of polar nitrogen and oxygen atoms, calculated central nervous system activity, predicted IC50 value for HERG K+ ion channels, apparent Caco-2 cell permeability, Madin-Darby canine kidney cell line permeability, skin permeability, aqueous solubility, and percent of human oral absorption.
4. Conclusions
We have designed the modification of the pyrrolo[2,3-d]pyrimidine core with the tricyclic ring by synthesizing its imines via Tf2O/2-methoxypyridine-mediated carbonyl-amine condensation. This was followed by studies on the carbon-halogen bond formation at position C-3 of the pyrrole ring using N-halosuccinimides. All novel compounds were evaluated for their anticancer potential against three types of cancer cell lines: breast (MCF-7), cervical (HeLa), and colon (HT-29) cells, which are relevant cell models for anticancer drug discovery. Two pyrrolo[2,3-d]pyrimidine-imines containing a bromine substituent at position C-4 of the phenyl ring and pentamethylene (azepine) side-ring, 8f and 8g, exhibited significant cytotoxic activity on HT-29 cells with IC50 values of 4.55 ± 0.23 and 4.01 ± 0.20 µM, respectively. These results revealed an interesting pattern, where condensed pyrimidinones containing an azepine ring demonstrated selective antitumor activity on the colon cancer cell line HT-29. In addition, the molecular docking of compound 8g with the DDR2 confirms its active site interactions. This could pave the way for further development and optimization of DDR-targeting drugs, contributing to advancements in cancer therapeutics. The physicochemical properties of the studied lead compounds need to be developed, especially their selectivity and water solubility, as these are essential for improving bioavailability in in vivo models. These compounds may serve as design templates for further studies.
Supplementary Materials
The following supporting information can be downloaded at: https://www.mdpi.com/article/10.3390/molecules30142917/s1, Figures S1–S48: The 1H and 13C NMR, along with the HRMS spectrum of compounds 8a–j and 10a–f.
Author Contributions
Writing—original draft preparation, B.S., and K.B.; methodology, B.S., Z.M., L.N., and R.K.; software and resources, S.G., C.N., and R.K.; review, editing, and supervision, K.B., H.A.A., and J.Z. All authors have read and agreed to the published version of the manuscript.
Funding
This work was financially supported by the National Key R&D Program of China (No. 2020YFE0205600), CAM Resources Data Base in the National Basic Science Data Center (No. NBSDC-DB-19), Organization of the laboratory for the creation of anticancer drugs (No. ALM-202310062530), and by the Chinese Academy of Sciences President’s International Fellowship Initiative (No. 2024VBA0021).
Data Availability Statement
The data that supports the structure confirmation of this study are available in the supplementary material of this article.
Acknowledgments
The authors thank Ben Prickril for revisions of the manuscript.
Conflicts of Interest
The authors declare no conflicts of interest.
References
- Ahmed, N.M.; Youns, M.M.; Soltan, M.K.; Said, A.M. Design, synthesis, molecular modeling and antitumor evaluation of novel indolyl-pyrimidine derivatives with EGFR inhibitory activity. Molecules 2021, 26, 1838. [Google Scholar] [CrossRef] [PubMed]
- Ruzi, Z.; Bozorov, K.; Nie, L.; Zhao, J.; Akber Aisa, H. Discovery of novel (E)-1-methyl-9-(3-methylbenzylidene)-6,7,8,9-tetrahydropyrazolo[3,4-d]pyrido[1,2-a]pyrimidin-4(1H)-one as DDR2 kinase inhibitor: Synthesis, molecular docking, and anticancer properties. Bioorg. Chem. 2023, 135, 106506. [Google Scholar] [CrossRef]
- Murtazaeva, Z.; Nasrullaev, A.; Buronov, A.; Gaybullaev, S.; Nie, L.; Numonov, S.; Khushnazarov, Z.; Turgunov, D.; Kuryazov, R.; Zhao, J.; et al. Imidazole Hybrids: A Privileged Class of Heterocycles in Medicinal Chemistry with New Insights into Anticancer Activity. Molecules 2025, 30, 2245. [Google Scholar] [CrossRef]
- Beloueche-Babari, M.; Casals Galobart, T.; Delgado-Goni, T.; Wantuch, S.; Parkes, H.G.; Tandy, D.; Harker, J.A.; Leach, M.O. Monocarboxylate transporter 1 blockade with AZD3965 inhibits lipid biosynthesis and increases tumour immune cell infiltration. Br. J. Cancer 2020, 122, 895–903. [Google Scholar] [CrossRef]
- Guan, X.; Rodriguez-Cruz, V.; Morris, M.E. Cellular Uptake of MCT1 Inhibitors AR-C155858 and AZD3965 and Their Effects on MCT-Mediated Transport of L-Lactate in Murine 4T1 Breast Tumor Cancer Cells. AAPS J. 2019, 21, 13. [Google Scholar] [CrossRef]
- Polanski, R.; Hodgkinson, C.L.; Fusi, A.; Nonaka, D.; Priest, L.; Kelly, P.; Trapani, F.; Bishop, P.W.; White, A.; Critchlow, S.E.; et al. Activity of the monocarboxylate transporter 1 inhibitor azd3965 in small cell lung cancer. Clin. Cancer Res. 2014, 20, 926–937. [Google Scholar] [CrossRef] [PubMed]
- Silva, A.; Antunes, B.; Batista, A.; Pinto-Ribeiro, F.; Baltazar, F.; Afonso, J. In vivo anticancer activity of azd3965: A systematic review. Molecules 2022, 27, 181. [Google Scholar] [CrossRef]
- Sand, A.; Piacsek, M.; Donohoe, D.L.; Duffin, A.T.; Riddell, G.T.; Sun, C.; Tang, M.; Rovin, R.A.; Tjoe, J.A.; Yin, J. WEE1 inhibitor, AZD1775, overcomes trastuzumab resistance by targeting cancer stem-like properties in HER2-positive breast cancer. Cancer Lett. 2020, 472, 119–131. [Google Scholar] [CrossRef] [PubMed]
- Chen, C.; Wang, Y.; Hu, M.-Q.; Li, H.; Chen, X.; Qiang, G.; Sun, Y.; Zhu, Y.; Li, B. Discovery of pyrrolo[2,3-d]pyrimidine-based molecules as a Wee1 inhibitor template. Biorg. Med. Chem. Lett. 2022, 75, 128973. [Google Scholar] [CrossRef]
- Ozates, N.P.; Soğutlu, F.; Lermioglu Erciyas, F.; Demir, B.; Gunduz, C.; Shademan, B.; Avci, C.B. Effects of rapamycin and AZD3463 combination on apoptosis, autophagy, and cell cycle for resistance control in breast cancer. Life Sci. 2021, 264, 118643. [Google Scholar] [CrossRef]
- Goker Bagca, B.; Ozates, N.P.; Asik, A.; Caglar, H.O.; Gunduz, C.; Biray Avci, C. Temozolomide treatment combined with AZD3463 shows synergistic effect in glioblastoma cells. Biochem. Biophys. Res. Commun. 2020, 533, 1497–1504. [Google Scholar] [CrossRef] [PubMed]
- Kolinsky, M.P.; Rescigno, P.; Bianchini, D.; Zafeiriou, Z.; Mehra, N.; Mateo, J.; Michalarea, V.; Riisnaes, R.; Crespo, M.; Figueiredo, I.; et al. A phase I dose-escalation study of enzalutamide in combination with the AKT inhibitor AZD5363 (capivasertib) in patients with metastatic castration-resistant prostate cancer. Ann. Oncol. 2020, 31, 619–625. [Google Scholar] [CrossRef] [PubMed]
- Toren, P.; Kim, S.; Cordonnier, T.; Crafter, C.; Davies, B.R.; Fazli, L.; Gleave, M.E.; Zoubeidi, A. Combination AZD5363 with Enzalutamide Significantly Delays Enzalutamide-resistant Prostate Cancer in Preclinical Models. Eur. Urol. 2015, 67, 986–990. [Google Scholar] [CrossRef] [PubMed]
- Hong, C.R.; Buckley, C.D.; Wong, W.W.; Anekal, P.V.; Dickson, B.D.; Bogle, G.; Hicks, K.O.; Hay, M.P.; Wilson, W.R. Radiosensitisation of SCCVII tumours and normal tissues in mice by the DNA-dependent protein kinase inhibitor AZD7648. Radiother. Oncol. 2022, 166, 162–170. [Google Scholar] [CrossRef]
- Fok, J.H.L.; Ramos-Montoya, A.; Vazquez-Chantada, M.; Wijnhoven, P.W.G.; Follia, V.; James, N.; Farrington, P.M.; Karmokar, A.; Willis, S.E.; Cairns, J.; et al. AZD7648 is a potent and selective DNA-PK inhibitor that enhances radiation, chemotherapy and olaparib activity. Nat. Commun. 2019, 10, 5065. [Google Scholar] [CrossRef]
- Goldberg, F.W.; Finlay, M.R.V.; Ting, A.K.T.; Beattie, D.; Lamont, G.M.; Fallan, C.; Wrigley, G.L.; Schimpl, M.; Howard, M.R.; Williamson, B.; et al. The Discovery of 7-Methyl-2-[(7-methyl[1,2,4]triazolo[1,5- a]pyridin-6-yl)amino]-9-(tetrahydro-2 H-pyran-4-yl)-7,9-dihydro-8 H-purin-8-one (AZD7648), a Potent and Selective DNA-Dependent Protein Kinase (DNA-PK) Inhibitor. J. Med. Chem. 2020, 63, 3461–3471. [Google Scholar] [CrossRef]
- Wu, Q.; Hua, A.; Sun, Y.; Ma, C.; Tian, W.; Huang, C.; Yu, H.; Jiao, P.; Wang, S.; Tong, H.; et al. Determination and pharmacokinetic study of AZD-3759 in rat plasma by ultra performance liquid chromatography with triple quadrupole mass spectrometer. Thorac. Cancer 2018, 9, 1383–1389. [Google Scholar] [CrossRef]
- Li, W.; He, X.; Liu, H.; Zhu, J.; Zhang, H.M. Successful treatment after toxic epidermal necrolysis induced by AZD-9291 in a patient with non-small cell lung cancer: A case report. World J. Clin. Cases 2021, 9, 8846–8851. [Google Scholar] [CrossRef]
- Seela, F.; Budow, S.; Peng, X. 7-Deazapurine (Pyrrolo[2,3-d]pyrimidine) 2’-Deoxyribonucleosides: Syntheses and Transformations. Curr. Org. Chem. 2012, 16, 161–223. [Google Scholar] [CrossRef]
- Perlíková, P.; Hocek, M. Pyrrolo[2,3-d]pyrimidine (7-deazapurine) as a privileged scaffold in design of antitumor and antiviral nucleosides. Med. Res. Rev. 2017, 37, 1429–1460. [Google Scholar] [CrossRef]
- Jesumoroti, O.J.; Beteck, R.M.; Jordaan, A.; Warner, D.F.; Legoabe, L.J. Exploration of 4-aminopyrrolo[2,3-d]pyrimidine as antitubercular agents. Mol. Divers. 2023, 27, 753. [Google Scholar] [CrossRef] [PubMed]
- McCarty, R.M.; Bandarian, V. Biosynthesis of pyrrolopyrimidines. Bioorg. Chem. 2012, 43, 15–25. [Google Scholar] [CrossRef] [PubMed]
- Ghorab, M.M.; Ragab, F.A.; Heiba, H.I.; Youssef, H.A.; El-Gazzar, M.G. Synthesis of novel pyrrole and pyrrolo[2,3-d]pyrimidine derivatives bearing sulfonamide moiety for evaluation as anticancer and radiosensitizing agents. Bioorg. Med. Chem. Lett. 2010, 20, 6316–6320. [Google Scholar] [CrossRef]
- Hassan Hilmy, K.M.; Khalifa, M.M.A.; Allah Hawata, M.A.; Aboalzeen Keshk, R.M.; El-Torgman, A.A. Synthesis of new pyrrolo[2,3-d]pyrimidine derivatives as antibacterial and antifungal agents. Eur. J. Med. Chem. 2010, 45, 5243–5250. [Google Scholar] [CrossRef]
- Mathison, C.J.N.; Yang, Y.; Nelson, J.; Huang, Z.; Jiang, J.; Chianelli, D.; Rucker, P.V.; Roland, J.; Xie, Y.F.; Epple, R.; et al. Antitarget Selectivity and Tolerability of Novel Pyrrolo[2,3- d]pyrimidine RET Inhibitors. ACS Med. Chem. Lett. 2021, 12, 1912–1919. [Google Scholar] [CrossRef]
- Xia, Z.; Huang, R.; Zhou, X.; Chai, Y.; Chen, H.; Ma, L.; Yu, Q.; Li, Y.; Li, W.; He, Y. The synthesis and bioactivity of pyrrolo[2,3-d]pyrimidine derivatives as tyrosine kinase inhibitors for NSCLC cells with EGFR mutations. Eur. J. Med. Chem. 2021, 224, 113711. [Google Scholar] [CrossRef]
- Gill, C.H.; Chate, A.V.; Shinde, G.Y.; Sarkate, A.P.; Tiwari, S.V. One-pot, four-component synthesis and SAR STUDIES of spiro[pyrimido[5,4-b]quinoline-10,5′-pyrrolo[2,3-d]pyrimidine] derivatives catalyzed by β-cyclodextrin in water as potential anticancer agents. Res. Chem. Intermed. 2018, 44, 4029–4043. [Google Scholar] [CrossRef]
- Al-Awar, R.; Isaak, M.; Chau, A.M.; Mamai, A.; Watson, I.; Poda, G.; Subramanian, P.; Wilson, B.; Uehling, D. Tricyclic inhibitors of the BCL6 BTB domain protein-protein interaction and uses thereof. WO2019119145, 27 June 2019. [Google Scholar]
- Song, B.; Nie, L.; Bozorov, K.; Kuryazov, R.; Zhao, J.; Aisa, H.A. Design, combinatorial synthesis and cytotoxic activity of 2-substituted furo[2,3-d]pyrimidinone and pyrrolo[2,3-d]pyrimidinone library. Mol. Divers. 2023, 27, 1767. [Google Scholar] [CrossRef] [PubMed]
- Zeng, Y.; Nie, L.; Niu, C.; Mamatjan, A.; Bozorov, K.; Zhao, J.; Aisa, H.A. Synthesis and Biological Activities of Dihydrooxazolo[5,4-d]-pyrrolo[1,2-a]pyrimidinones. Chin. J. Org. Chem. 2022, 42, 543–556. [Google Scholar] [CrossRef]
- Liu, F.; Hou, X.; Nie, L.F.; Bozorov, K.; Decker, M.; Huang, G. A Convenient One-pot Synthesis of 2,3-Disubstituted Thieno[2,3-d]pyrimidin-4(3H)-ones from 2H-Thieno[2,3-d][1,3]oxazine-2,4(1H)-diones, Aromatic Aldehydes and Amines. SynOpen 2018, 2, 0207–0212. [Google Scholar] [CrossRef]
- Nasrullaev, A.; Bozorov, K.; Bobakulov, K.; Zhao, J.; Nie, L.F.; Turgunov, K.K.; Elmuradov, B.; Aisa, H.A. Synthesis, characterization, and antimicrobial activity of novel hydrazone-bearing tricyclic quinazolines. Res. Chem. Intermed. 2019, 45, 2287–2300. [Google Scholar] [CrossRef]
- Bozorov, K.; Zhao, J.Y.; Aisa, H.A. Recent advances in ipso-nitration reactions. ARKIVOC 2016, 2017, 41–66. [Google Scholar] [CrossRef]
- Elmuradov, B.Z.; Bozorov, K.A.; Shakhidoyatov, K.M. Thieno[2,3-d]pyrimidin-4-ones 1. Condensation of 2,3-dimethyl- and 2,3-tri-, 2,3-tetra-, and 2,3-pentamethylene-7,8-dihydro-pyrrolo[1,2-a]thieno[2,3-d]pyriminidin-4(6H)-ones with aromatic aldehydes and furfural. Chem. Heterocycl. Compd. 2011, 46, 1393–1399. [Google Scholar] [CrossRef]
- Song, B.; Nie, L.; Bozorov, K.; Kuryazov, R.; Aisa, H.A.; Zhao, J. Parallel synthesis of condensed pyrimidine-thiones and their antitumor activities. Res. Chem. Intermed. 2023, 49, 1327–1348. [Google Scholar] [CrossRef]
- Zeng, Y.; Nie, L.; Liu, L.; Bozorov, K.; Zhao, J. Design, synthesis, biological evaluation of a new tricyclicthiazolopy-rimidinone derivatives as acetylcholinesterase inhibitors. J. Heterocycl. Chem. 2024, 61, 1542–1553. [Google Scholar] [CrossRef]
- Lu, T.; Nie, L.; Tang, D.; Bozorov, K.; Zhao, J.; Aisa, H.A. Synthesis of tricyclic pyrazolopyrimidine arylidene ester derivatives and their cytotoxic and molecular docking evaluations. J. Heterocycl. Chem. 2024, 61, 651–668. [Google Scholar] [CrossRef]
- Kuryazov, R.S.; Mukhamedov, N.S.; Dushamov, D.A.; Okmanov, R.Y.; Shakhidoyatov, K.M.; Tashkhodzaev, B. Quinazolines. 3*. synthesis of 6-bromo-8-chloro- sulfonylquinazoline- 2,4(1H,3H)-dione and its interaction with nucleophilic reagents. Chem. Heterocycl. Compd. 2010, 46, 585–591. [Google Scholar] [CrossRef]
- Turgunov, D.; Nie, L.; Nasrullaev, A.; Murtazaeva, Z.; Wang, B.; Kholmurodova, D.; Kuryazov, R.; Zhao, J.; Bozorov, K.; Aisa, H.A. Synthesis of Novel 7-Phenyl-2,3-Dihydropyrrolo[2,1-b]Quinazolin-9(1H)-ones as Cholinesterase Inhibitors Targeting Alzheimer’s Disease Through Suzuki–Miyaura Cross-Coupling Reaction. Molecules 2025, 30, 2791. [Google Scholar] [CrossRef]
- Zhao, Y.; Rong, H.; Bozorov, K.; Zhang, X.; Song, B.; Liu, W. [4 + 2] Cycloaddition of α-bromotrifluoromethylhydrazone with alkenes: Synthesis of trifluoromethyltetrahydropyridazines. RSC Adv. 2025, 15, 19417–19420. [Google Scholar] [CrossRef]
- Zeng, Y.; Nie, L.; Liu, L.; Niu, C.; Li, Y.; Bozorov, K.; Zhao, J.; Shen, J.; Aisa, H.A. Design, synthesis, in vitro evaluation of a new pyrrolo[1,2-a]thiazolo[5,4-d]pyrimidinone derivatives as cholinesterase inhibitors against Alzheimer’s disease. J. Heterocycl. Chem. 2022, 59, 1086–1101. [Google Scholar] [CrossRef]
- Guo, H.; Nie, L.; Bozorov, K.; Aisa, H.A.; Zhao, J. Synthesis and Antitumor Activity of Novel Linear Tricyclic Compounds Derived from Purine. Heterocycles 2022, 104, 1085–1097. [Google Scholar]
- Zhong, H.-J.; Leung, K.-H.; Lin, S.; Chan, D.S.-H.; Han, Q.-B.; Chan, S.L.-F.; Ma, D.-L.; Leung, C.-H. Discovery of deoxyvasicinone derivatives as inhibitors of NEDD8-activating enzyme. Methods 2015, 71, 71–76. [Google Scholar] [CrossRef] [PubMed]
- Jaouen, J.; Bailly, C. Alkaloids from Mackinlaya species and synthetic mackinazolinone derivatives: An overview. Biorg. Med. Chem. 2025, 117, 118018. [Google Scholar] [CrossRef]
- Adel, M.; Serya, R.A.T.; Lasheen, D.S.; Abouzid, K.A.M. Pyrrolopyrimidine, A Multifaceted Scaffold in Cancer Targeted Therapy. Drug Res (Stuttg) 2018, 68, 485–498. [Google Scholar] [CrossRef] [PubMed]
- Pathania, S.; Rawal, R.K. Pyrrolopyrimidines: An update on recent advancements in their medicinal attributes. Eur. J. Med. Chem. 2018, 157, 503–526. [Google Scholar] [CrossRef] [PubMed]
- Paez, J.G.; Jänne, P.A.; Lee, J.C.; Tracy, S.; Greulich, H.; Gabriel, S.; Herman, P.; Kaye, F.J.; Lindeman, N.; Boggon, T.J.; et al. EGFR Mutations in Lung Cancer: Correlation with Clinical Response to Gefitinib Therapy. Science 2004, 304, 1497–1500. [Google Scholar] [CrossRef]
- Buchdunger, E.; O.’Reilley, T.; Wood, J. Pharmacology of imatinib (STI571). Eur. J. Cancer 2002, 38, S28–S36. [Google Scholar] [CrossRef]
- Charette, A.B.; Grenon, M. Mild method for the synthesis of amidines by the electrophilic activation of amides. Tetrahedron Lett. 2000, 41, 1677–1680. [Google Scholar] [CrossRef]
- Ochiai, M.; Naito, M.; Miyamoto, K.; Hayashi, S.; Nakanishi, W. Imination of Sulfides and Sulfoxides with Sulfonylimino-λ3-Bromane under Mild, Metal-Free Conditions. Eur. J. 2010, 16, 8713–8718. [Google Scholar] [CrossRef]
- Vala, N.; Joshi, P.A.; Mishra, M. Catalytic activity of Mg–Al hydrotalcites and derived mixed oxides for imination reactions via an oxidative-dehydrogenation mechanism. New, J. Chem. 2020, 44, 8859–8868. [Google Scholar] [CrossRef]
- Devi Priya, D.; Lakshman, C.; Roopan, S.M. A review on various aspects of organic synthesis using Comins’ reagent. Mol. Divers. 2022, 26, 691–716. [Google Scholar] [CrossRef]
- Charette, A.B.; Mathieu, S.; Martel, J. Electrophilic Activation of Lactams with Tf2O and Pyridine: Expedient Synthesis of (±)-Tetraponerine T4. Org. Lett. 2005, 7, 5401–5404. [Google Scholar] [CrossRef] [PubMed]
- Kaiser, D.; Bauer, A.; Lemmerer, M.; Maulide, N. Amide activation: An emerging tool for chemoselective synthesis. Chem. Soc. Rev. 2018, 47, 7899–7925. [Google Scholar] [CrossRef] [PubMed]
- Huang, H.; Ash, J.; Kang, J.Y. Tf2O-Promoted Activating Strategy of Phosphate Analogues: Synthesis of Mixed Phosphates and Phosphinate. Org. Lett. 2018, 20, 4938–4941. [Google Scholar] [CrossRef] [PubMed]
- Lorpaiboon, W.; Bovonsombat, P. Halogen bond-induced electrophilic aromatic halogenations. Org. Biomol. Chem. 2021, 19, 7518–7534. [Google Scholar] [CrossRef]
- Coelho, N.M.; Wang, A.; McCulloch, C.A. Discoidin domain receptor 1 interactions with myosin motors contribute to collagen remodeling and tissue fibrosis. Biochim. Biophys. Acta 2019, 1866, 118510. [Google Scholar] [CrossRef]
- Mariadoss, A.V.A.; Wang, C.-Z. Exploring the Cellular and Molecular Mechanism of Discoidin Domain Receptors (DDR1 and DDR2) in Bone Formation, Regeneration, and Its Associated Disease Conditions. Int. J. Mol. Sci. 2023, 24, 14895. [Google Scholar] [CrossRef]
- Liu, L.; Hussain, M.; Luo, J.; Duan, A.; Chen, C.; Tu, Z.; Zhang, J. Synthesis and biological evaluation of novel dasatinib analogues as potent DDR1 and DDR2 kinase inhibitors. Chem. Biol. Drug Des. 2017, 89, 420–427. [Google Scholar] [CrossRef]
- Tan, X.; Li, C.; Yang, R.; Zhao, S.; Li, F.; Li, X.; Chen, L.; Wan, X.; Liu, X.; Yang, T.; et al. Discovery of Pyrazolo[3,4-d]pyridazinone Derivatives as Selective DDR1 Inhibitors via Deep Learning Based Design, Synthesis, and Biological Evaluation. J. Med. Chem. 2022, 65, 103–119. [Google Scholar] [CrossRef]
- Kuhn, B.; Ritter, M.; Benz, J.; Kocer, B.; Sarie, J.C.; Hochstrasser, R.; Rudolph, M.G.; Kadono, S.; Matsuura, T.; Murata, T.; et al. Novel potent and highly selective DDR1 inhibitors from integrated lead finding. Med. Chem. Res. 2023, 32, 1400–1425. [Google Scholar] [CrossRef]
- Sengupta, S.; Maji, L.; Das, P.K.; Teli, G.; Nag, M.; Khan, N.; Haque, M.; Matada, G.S.P. Explanatory review on DDR inhibitors: Their biological activity, synthetic route, and structure–activity relationship. Mol. Divers. 2025; Online ahead of print. [Google Scholar] [CrossRef]
- Ramachandran, B.; Kesavan, S.; Rajkumar, T. Molecular modeling and docking of small molecule inhibitors against NEK2. Bioinformation 2016, 12, 62–68. [Google Scholar] [CrossRef] [PubMed]
- Panwar, U.; Singh, S.K. Atom-based 3D-QSAR, molecular docking, DFT, and simulation studies of acylhydrazone, hydrazine, and diazene derivatives as IN-LEDGF/p75 inhibitors. Struct. Chem. 2021, 32, 337–352. [Google Scholar] [CrossRef]
- Nada, H.; Lee, K.; Gotina, L.; Pae, A.N.; Elkamhawy, A. Identification of novel discoidin domain receptor 1 (DDR1) inhibitors using E-pharmacophore modeling, structure-based virtual screening, molecular dynamics simulation and MM-GBSA approaches. Comput. Biol. Med. 2022, 142, 105217. [Google Scholar] [CrossRef] [PubMed]
- Ginex, T.; Madruga, E.; Martinez, A.; Gil, C. MBC and ECBL libraries: Outstanding tools for drug discovery. Front. Pharmacol. 2023, 14, 1244317. [Google Scholar] [CrossRef]
- Pollastri, M.P. Overview on the Rule of Five. Curr. Protoc. Pharmacol. 2010, 49, 9.12.1–9.12.8. [Google Scholar] [CrossRef]
- Banks, W.A. The blood-brain barrier: Connecting the gut and the brain. Regul. Pept. 2008, 149, 11–14. [Google Scholar] [CrossRef] [PubMed]
- Yusuf, A.J.; Abdullahi, M.I.; Nasir, I.; Yunusa, A.; Musa, A.M.; Muhammad, A.A.; Adegboyega, A.E. Identification of possible antimalarial constituent(s) from the leaves of Ochna kibbiensis: A phytochemical, in vivo and in silico approaches. Phytomedicine Plus 2025, 5, 100764. [Google Scholar] [CrossRef]
- Almogaddam, M.A.; Shoaib, T.H.; Mohamed, S.G.A.; Mohamed, G.A.; Ibrahim, S.R.M.; Hussein, H.G.A.; Sindi, I.A.; Alzain, A.A. Computational screening identifies depsidones as promising Aurora A kinase inhibitors: Extra precision docking and molecular dynamics studies. Netw. Model. Anal. Health Inform. Bioinform. 2024, 13, 17. [Google Scholar] [CrossRef]
Disclaimer/Publisher’s Note: The statements, opinions and data contained in all publications are solely those of the individual author(s) and contributor(s) and not of MDPI and/or the editor(s). MDPI and/or the editor(s) disclaim responsibility for any injury to people or property resulting from any ideas, methods, instructions or products referred to in the content. |
© 2025 by the authors. Licensee MDPI, Basel, Switzerland. This article is an open access article distributed under the terms and conditions of the Creative Commons Attribution (CC BY) license (https://creativecommons.org/licenses/by/4.0/).


