Targeted Restoration of T-Cell Subsets by a Fluorinated Piperazine Derivative β-Cyclodextrin Complex in Experimental Pulmonary Inflammation
Abstract
1. Introduction
2. Results and Discussion
- Day 3
- Day 7
- Day 14
3. Materials and Methods
3.1. Chemical Experimental Part
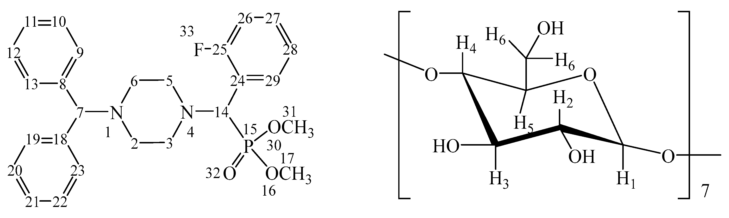
3.1.1. Synthesis and Structural Characterization of Chemical Compounds
3.1.2. Inclusion Complex of Dimethyl[(4-benzhydrylpiperazin-1-yl)(2-fluorophenyl)methyl]phosphonate with β-Cyclodextrin ((o-Fph)PPhβCD)
3.2. Biological Experimental Part
3.2.1. Experimental Animals
3.2.2. Experimental Design
3.2.3. Statistical Analysis
4. Study Limitations
5. Conclusions
Supplementary Materials
Author Contributions
Funding
Institutional Review Board Statement
Informed Consent Statement
Data Availability Statement
Acknowledgments
Conflicts of Interest
References
- Nasrin, S.; Tariqujjaman, M.; Sultana, M.; Zaman, R.A.; Ali, S.; Chisti, M.J.; Faruque, A.S.G.; Ahmed, T.; Fuchs, G.J.; Gyr, N.; et al. Factors associated with community acquired severe pneumonia among under five children in Dhaka, Bangladesh: A case control analysis. PLoS ONE 2022, 17, e0265871. [Google Scholar] [CrossRef]
- Anwar, S.; Alhumaydhi, F.A.; Rahmani, A.H.; Kumar, V.; Alrumaihi, F. A Review on Risk Factors, Traditional Diagnostic Techniques, and Biomarkers for Pneumonia Prognostication and Management in Diabetic Patients. Diseases 2024, 12, 310. [Google Scholar] [CrossRef] [PubMed]
- Torres, A.; Cilloniz, C.; Niederman, M.S.; Menéndez, R.; Chalmers, J.D.; Wunderink, R.G.; van der Poll, T. Pneumonia. Nat. Rev. Dis. Primers 2021, 7, 25. [Google Scholar] [CrossRef] [PubMed]
- Kashatnikova, D.A.; Khadzhieva, M.B.; Kolobkov, D.S.; Belopolskaya, O.B.; Smelaya, T.V.; Gracheva, A.S.; Kalinina, E.V.; Larin, S.S.; Kuzovlev, A.N.; Salnikova, L.E. Pneumonia and Related Conditions in Critically Ill Patients-Insights from Basic and Experimental Studies. Int. J. Mol. Sci. 2022, 23, 9896. [Google Scholar] [CrossRef]
- Pahal, P.; Rajasurya, V.; Sharma, S. StatPearls [Internet]. In Typical Bacterial Pneumonia; StatPearls Publishing: Treasure Island, FL, USA, 2022. Available online: https://www.ncbi.nlm.nih.gov/books/NBK534295/ (accessed on 11 May 2025).
- Pochepnia, S.; Grabczak, E.M.; Johnson, E.; Eyuboglu, F.O.; Akkerman, O.; Prosch, H. Imaging in pulmonary infections of immunocompetent adult patients. Breathe 2024, 20, 230186. [Google Scholar] [CrossRef]
- Moro-García, M.A.; Mayo, J.C.; Sainz, R.M.; Alonso-Arias, R. Influence of Inflammation in the Process of T Lymphocyte Differentiation: Proliferative, Metabolic, and Oxidative Changes. Front. Immunol. 2018, 9, 339. [Google Scholar] [CrossRef]
- Savage, P.A.; Klawon, D.E.; Miller, C.H. Regulatory T cell development. Annu. Rev. Immunol. 2020, 38, 421–453. [Google Scholar] [CrossRef]
- Takeuchi, Y.; Hirota, K.; Sakaguchi, S. Impaired T cell receptor signaling and development of T cell-mediated autoimmune arthritis. Immunol. Rev. 2020, 294, 164–176. [Google Scholar] [CrossRef]
- Yi, J.; Kawabe, T.; Sprent, J. New insights on T-cell self-tolerance. Curr. Opin. Immunol. 2020, 63, 14–20. [Google Scholar] [CrossRef]
- Khaiitova, M.D.; Zhumakova, S.S.; Satbayeva, E.M.; Kemelbekov, U.S.; Tursunkhodzhaeva, F.M.; Azamatov, A.A.; Tursymbek, S.N.; Sabirov, V.K.; Nurgozhin, T.S.; Yu, V.K.; et al. Experimental study of local anesthetic and antiarrhythmic activities of Fluorinated Ethynylpiperidine Derivatives. Braz. J. Med. Biol. Res. 2024, 57, e13429. [Google Scholar] [CrossRef]
- Khaiitova, M.; Trubachev, V.; Satbayeva, E.; Yu, V.; Nurgozhin, T.; Stankevičius, E.; Gassanov, Y.; Utelbayeva, Z.; Tassibekov, K. The Local Anesthetic Activity of 4-(but-2-yn-1-yl)-containing Piperidine Derivatives in Experimental Animal Models. FABAD J. Pharm. Sci. 2024, 49, 465–480. [Google Scholar] [CrossRef]
- Zhumakova, S.; Tokusheva, A.; Zharkynbek, T.; Balabekova, M.; Koks, S.; Seilkhanov, T.; Dembitsky, V.; Zazybin, A.; Aydemir, M.; Kemelbekov, U.; et al. Enhancing Aseptic Inflammation Resolution with 1-(2-Ethoxyethyl)-4-(pent-1-yn-1-yl)piperidin-4-yl Propionate: A Novel β-Cyclodextrin Complex as a Therapeutic Agent. Molecules 2024, 29, 5135. [Google Scholar] [CrossRef] [PubMed]
- Khaiitova, M.; Seitaliyeva, A.; Smagulova, G.; Ten, A.; Yu, V.; Satbayeva, E. Synthesis and experimental study of the local anesthetic activity of new modified piperazine derivatives. Farmacia 2023, 71, 154–164. [Google Scholar] [CrossRef]
- Yu, V.K.; Sycheva, Y.S.; Kairanbayeva, G.K.; Dembitsky, V.M.; Balabekova, M.K.; Tokusheva, A.N.; Seilkhanov, T.M.; Zharkynbek, T.Y.; Balapanova, A.K.; Tassibekov, K.S. Naphthaleneoxypropargyl-Containing Piperazine as a Regulator of Effector Immune Cell Populations upon an Aseptic Inflammation. Molecules 2023, 28, 7023. [Google Scholar] [CrossRef]
- Malmakova, A.Y.; Dalzhanova, G.A.; Praliyev, K.D.; Yu, V.K.; Akhmetsadyk, O.; Seylkhanov, T.M.; Berlin, K.D. Fluorophenyl-containing α-Aminophosphonates: Synthesis and Structure. Chem. J. Kaz. 2018, 61, 92–99. Available online: https://www.chemjournal.kz/index.php/journal/article/view/262 (accessed on 17 April 2025). (In Russian).
- Yu, V.K.; Malmakova, A.Y.; Dauletbai, P.; Praliyev, K.D.; Zhumakova, S.S.; Amirkulova, M.K.; Satbayeva, E.M.; Kadyrova, D.M. Novel Phosphorus Organic Compounds as potential Anesthetics. Chem. J. Kaz. 2019, 65, 76–84. (In Russian) [Google Scholar]
- Lebish, I.J.; Moraski, R.M. Mechanisms of immunomodulation by drugs. Toxicol. Pathol. 1987, 15, 338–345. [Google Scholar] [CrossRef]
- Dukhinova, M.; Kokinos, E.; Kuchur, P.; Komissarov, A.; Shtro, A. Macrophage-derived cytokines in pneumonia: Linking cellular immunology and genetics. Cytokine Growth Factor. Rev. 2021, 59, 46–61. [Google Scholar] [CrossRef]
- Kheradmand, F.; Zhang, Y.; Corry, D.B. Contribution of adaptive immunity to human COPD and experimental models of emphysema. Physiol. Rev. 2023, 103, 1059–1093. [Google Scholar] [CrossRef]
- Lao, P.; Chen, J.; Tang, L.; Zhang, J.; Chen, Y.; Fang, Y.; Fan, X. Regulatory T cells in lung disease and transplantation. Biosci. Rep. 2023, 43, BSR20231331. [Google Scholar] [CrossRef]
- Council of Europe. Appendix A of the European Convention for the Protection of Vertebrate Animals Used for Experimental and Other Scientific Purposes (ETS No. 123). Guidelines for Accommodation and Care of Animals (Article 5 of the convention). Approved by the Multilateral Consultation. Cons 2006, 123, 3. Available online: https://www.aaalac.org/about/AppA-ETS123.pdf/ (accessed on 19 May 2025).
- Legal Information System of Regulatory Legal Acts of the Republic of Kazakhstan: On Responsible Treatment of Animals [Electronic Resource]. Available online: https://adilet.zan.kz/rus/archive/docs/V1800016768/02.04.2018 (accessed on 22 May 2025).
- Gonçalves-de-Albuquerque, C.F.; Silva, A.R.; Burth, P.; de Moraes, I.M.; Oliveira, F.M.; Younes-Ibrahim, M.; dos Santos, M.C.; D’Ávila, H.; Bozza, P.T.; Faria Neto, H.C.; et al. Oleic acid induces lung injury in mice through activation of the ERK pathway. Mediat. Inflamm. 2012, 2012, 956509. [Google Scholar] [CrossRef] [PubMed]
- Rossi, J.F.; Frayssinet, P.; Matciyak, M.; Tupitsyn, N. Azoximer bromide and hydroxyapatite: Promising immune adjuvants in cancer. Cancer Biol. Med. 2024, 20, 1021–1034. [Google Scholar] [CrossRef] [PubMed]
- Alexia, C.; Cren, M.; Louis-Plence, P.; Vo, D.N.; El Ahmadi, Y.; Dufourcq-Lopez, E.; Lu, Z.Y.; Hernandez, J.; Shamilov, F.; Chernysheva, O.; et al. Polyoxidonium® Activates Cytotoxic Lymphocyte Responses Through Dendritic Cell Maturation: Clinical Effects in Breast Cancer. Front. Immunol. 2019, 10, 2693. [Google Scholar] [CrossRef]
- Dickey, B.F.; Thrall, R.S.; McCormick, J.R.; Ward, P.A. Oleic-acid-induced lung injury in the rat. Failure of indomethacin treatment or complement depletion to ablate lung injury. Am. J. Pathol. 1981, 103, 376–383. Available online: https://pubmed.ncbi.nlm.nih.gov/7234970/ (accessed on 15 May 2025).






| Groups | β-CD (Figure S1) | (o-Fph)PPhβCD (Figure S2) | (o-Fph)PPh (Figure S4) [16] | Note |
|---|---|---|---|---|
| C–H ar (C–OH) | – (1619.2–1639.0) | 1641.9 wide | 1585.5, 1612.4, 1699.1 | Changes in absorption in the complex compared to both β-CD and (o-Fph)PPh |
| P–C | – | 759.0 | 759.2 | Decreased absorption band intensity in the spectrum of the (o-Fph)PPhβCD |
| P=O (C–O–C) | (1028.0, 1080.3) | 1079.4 (1029.7) | 1052.3 | Shift in the P=O bond absorption (from 1052.3 to 1079.4 cm−1) |
| C–N (C–O–C) | (1157.9) | 1156.5 (1156.5) | 1187.4 | Shift in the C–N bond absorption (from 1187.4 to 1156.5 cm−1) |
| C–F (C–O–C) | (1250.3) | 1231.0 | 1227.6 | Shift in the C–F bond absorption (from 1227.6 to 1031.0 cm−1) |
| Atom No. | CHx Group | δ0, ppm (CDCl3) | δ, ppm (DMSO-d6) | ∆δ = δ − δ0 | |||
|---|---|---|---|---|---|---|---|
| 1H | 13C | 1H | 13C | 1H | 13C | ||
| (o-Fph)PPhβCD | |||||||
| 2ax,6ax | CH2 | 2.34 s | 52.23 | 2.27–2.45 m | 52.25 | 0.02 | 0.02 |
| 2eq,6eq | 2.34 s | 2.27–2.45 m | 0.02 | ||||
| 3ax,5ax | CH2 | 2.52–2.80 m | 52.91, 54.70 | 2.48–2.77 m | 52.95, 54.74 | −0.03 | 0.04 0.04 |
| 3eq,5eq | 2.52–2.80 m | 2.48–2.77 m | −0.03 | ||||
| 7 | CH | 4.43–4.47 m | 75.36 | 4.38–4.43 m | 75.48 | −0.04 | 0.12 |
| 8,18 | =C< | – | 142.19 | – | 143.25 | – | 1.06 |
| 9,13 | –CH= | 7.18–7.55 m | 129.09 | 7.18–7.55 m | 129.01 | 0 | −0.08 |
| 10,12 | –CH= | 7.1–7.55 m | 127.64 | 7.18–7.55 m | 128.04 | 0 | 0.40 |
| 11,21 | –CH= | 7.18–7.55 m | 127.54 | 7.18–7.55 m | 127.36 | 0 | −0.18 |
| 14 | CH | 4.32–4.38 m | 58.25 | 4.19–4.34 m | 57.90 | 0.10 | −0.35 |
| 19,23 | –CH= | 7.18–7.55 m | 129.09 | 7.18–7.55 m | 129.01 | 0 | −0.08 |
| 20,22 | –CH= | 7.18–7.55 m | 127.64 | 7.18–7.55 m | 128.04 | 0 | 0.40 |
| 17,31 | CH3O– | 3.37–3.40 m, 3.75–3.78 m | 56.50 | 3.38–3.40 m, 3.76–3.77 m | 56.40, 56.89 | 0 0 | −0.10 −0.39 |
| 24 | =C< | – | 115.92, 117.34 | – | 115.89, 118.99 | – | −0.03 1.65 |
| 25 | –FC= | – | 160.03, 162.46 | – | 160.44, 162.11 | – | 0.41 −0.35 |
| 26 | –CH= | 7.11–7.15 m | 115.92, 117.34 | 7.08–7.12 m | 115.89, 118.99 | −0.03 | −0.03 1.65 |
| 27 | –CH= | 7.81–7.92 m | 132.07 | 7.68–7.71 m | 132.29 | −0.17 | 0.22 |
| 28 | –CH= | 7.11–7.15 m | 124.82 | 7.08–7.12 m | 124.68 | −0.03 | −0.14 |
| 29 | –CH= | 7.18–7.55 m | 129.09 | 7.18–7.55 m | 130.83 | 0 | 1.74 |
| Β-CD | |||||||
| 1 | >CH | 4.76 s | 102.42 | 4.79 s | 102.70 | 0.01 | 0.38 |
| 2 | >CH | 3.22–3.27 m | 72.86 | 3.25–3.28 m | 73.21 | 0.02 | 0.35 |
| 3 | >CH | 3.48–3.55 m | 73.54 | 3.56–3.58 m | 73.75 | 0.05 | 0.21 |
| 4 | >CH | 3.27–3.29 m | 82.01 | 3.30–3.33 m | 82.22 | 0.04 | 0.21 |
| 5 | >CH | 3.49 s | 72.51 | 3.51–3.53 m | 72.46 | 0.03 | −0.05 |
| 6 | CH2 | 3.55–3.57 m | 60.42 | 3.60–3.63 m | 60.62 | 0.06 | 0.20 |
| Groups | M ± SD | ||
|---|---|---|---|
| Day 3 | Day 7 | Day 14 | |
| CD4+ | |||
| C (control) | 26.6 ± 3.0 | 26.6 ± 3.0 | 26.6 ± 3.0 |
| AP (acute pneumonia) | 11.2 ± 1.8 | 16.7 ± 2.6 | 18.2 ± 6.5 |
| AP/(o-Fph)PPhβCD | 32.8 ± 6.0 | 17.7 ± 2.6 | 22.8 ± 4.9 |
| AP/PO | 32.8 ± 10.8 | 19.0 ± 3.1 | 18.8 ± 3.7 |
| CD4+CD25+ | |||
| C (control) | 5.5 ± 1.6 | 5.5 ± 1.6 | 5.5 ± 1.6 |
| AP (acute pneumonia) | 4.0 ± 1.5 | 3.4 ± 0.4 | 3.3 ± 0.6 |
| AP(o-Fph)PPhβCD | 1.6 ± 0.4 | 3.0 ± 0.4 | 4.2 ± 0.8 |
| AP/PO | 0.9 ± 0.1 | 2.2 ± 0.5 | 2.2 ± 0.8 |
| Group Comparisons (t-Test p-Values) | p | Conclusion | ||
|---|---|---|---|---|
| Day 3 | Day 7 | Day 14 | ||
| CD4+ | ||||
| C vs. AP | 0.0001 | 0.0025 | – | A significant reduction in CD4+ levels was observed in the AP group—by 137.5% (day 3) and 59.3% (day 7). |
| C vs. (o-Fph)PPhβCD | – | 0.0043 | – | The difference in CD4+ levels in the AP/(o-Fph)PPhβCD group was statistically significant but moderate (16.7%). |
| C vs. PO | – | 0.0124 | 0.0172 | A slight decrease in CD4+ was noted in the AP/PO group—40.0% (day 7) and 41.5% (day 14). |
| AP vs. (o-Fph)PPhβCD | 0.0005 | – | – | A substantial threefold difference was observed in favor of (o-Fph)PPhβCD. |
| AP vs. PO | 0.0076 | – | – | A substantial threefold difference was observed in favor of PO. |
| (o-Fph)PPhβCD vs. PO | – | – | – | No significant difference was detected. |
| CD4+CD25+ | ||||
| C vs. AP | – | 0.0442 | 0.0462 | A statistically significant reduction of over 60% in CD4+CD25+ levels was observed in the AP group (days 7 and 14) |
| C vs. (o-Fph)PPhβCD | 0.0035 | 0.0276 | – | A substantial difference in CD4+CD25+ levels was noted in the AP/(o-Fph)PPhβCD group compared to the control—3.4-fold (day 3) and 1.8-fold (day 7). |
| C vs. PO | 0.0017 | 0.0090 | 0.0114 | In the AP/PO group, a significant difference in CD4+CD25+ levels compared to the control was observed—6.1-fold (day 3) and 2.5-fold (day 7). |
| AP vs. (o-Fph)PPhβCD | 0.0197 | – | – | Compared to the AP group, CD4+CD25+ levels in the AP/(o-Fph)PPhβCD group were significantly higher—2.5-fold (day 3). |
| AP vs. PO | 0.0072 | 0.0098 | – | In the AP/PO group, CD4+CD25+ levels were 4.4-fold higher (day 3) and showed a minor difference of 1.5-fold (day 7) compared to the AP group. |
| (o-Fph)PPhβCD vs. PO | – | 0.0511 | 0.0144 | A notable advantage was seen in favor of (o-Fph)PPhβCD over PO—36.4% (day 7) and 91.0% (day 14). |
| CD4+CD25+FoxP3+ | ||||
| C vs. AP | 0.0212 | 0.0449 | – | A significant 1.8-fold reduction in CD4+CD25+FoxP3+ levels was observed in the AP group compared to the control (days 7 and 14). |
| C vs. (o-Fph)PPhβCD | – | 0.0337 | – | A twofold decrease in CD4+CD25+FoxP3+ levels was noted in the AP/(o-Fph)PPhβCD group relative to the control (day 7). |
| C vs. PO | 0.0034 | 0.0403 | – | A marked reduction of twofold or more in CD4+CD25+FoxP3+ levels was observed in the AP group compared to the control (days 3 and 7). |
| AP vs. (o-Fph)PPhβCD | – | – | – | No significant difference was observed. |
| AP vs. PO | 0.0180 | – | – | A twofold reduction in CD4+CD25+FoxP3+ levels was recorded in the AP/PO group compared to the AP group (day 3). |
| (o-Fph)PPhβCD vs. PO | 00052 | – | – | A significant 2.7-fold difference in favor of (o-Fph)PPhβCD over PO was observed. |
Disclaimer/Publisher’s Note: The statements, opinions and data contained in all publications are solely those of the individual author(s) and contributor(s) and not of MDPI and/or the editor(s). MDPI and/or the editor(s) disclaim responsibility for any injury to people or property resulting from any ideas, methods, instructions or products referred to in the content. |
© 2025 by the authors. Licensee MDPI, Basel, Switzerland. This article is an open access article distributed under the terms and conditions of the Creative Commons Attribution (CC BY) license (https://creativecommons.org/licenses/by/4.0/).
Share and Cite
Yu, V.; Balabekova, M.; Ten, A.; Zharkynbek, T.; Koks, S.; Alimova, M.; Koizhaiganova, R.; Mussilim, M.; Malmakova, A.; Seilkhanov, T.; et al. Targeted Restoration of T-Cell Subsets by a Fluorinated Piperazine Derivative β-Cyclodextrin Complex in Experimental Pulmonary Inflammation. Molecules 2025, 30, 2741. https://doi.org/10.3390/molecules30132741
Yu V, Balabekova M, Ten A, Zharkynbek T, Koks S, Alimova M, Koizhaiganova R, Mussilim M, Malmakova A, Seilkhanov T, et al. Targeted Restoration of T-Cell Subsets by a Fluorinated Piperazine Derivative β-Cyclodextrin Complex in Experimental Pulmonary Inflammation. Molecules. 2025; 30(13):2741. https://doi.org/10.3390/molecules30132741
Chicago/Turabian StyleYu, Valentina, Marina Balabekova, Assel Ten, Tolganay Zharkynbek, Sulev Koks, Milana Alimova, Raushan Koizhaiganova, Meruyert Mussilim, Aigul Malmakova, Tulegen Seilkhanov, and et al. 2025. "Targeted Restoration of T-Cell Subsets by a Fluorinated Piperazine Derivative β-Cyclodextrin Complex in Experimental Pulmonary Inflammation" Molecules 30, no. 13: 2741. https://doi.org/10.3390/molecules30132741
APA StyleYu, V., Balabekova, M., Ten, A., Zharkynbek, T., Koks, S., Alimova, M., Koizhaiganova, R., Mussilim, M., Malmakova, A., Seilkhanov, T., & Tassibekov, K. (2025). Targeted Restoration of T-Cell Subsets by a Fluorinated Piperazine Derivative β-Cyclodextrin Complex in Experimental Pulmonary Inflammation. Molecules, 30(13), 2741. https://doi.org/10.3390/molecules30132741

