Surface and Antimicrobial Properties of Ester-Based Gemini Surfactants
Abstract
1. Introduction
2. Results
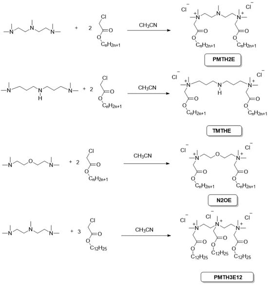
2.1. Synthesis
2.2. Surface Properties of Gemini Surfactants
2.3. Antimirobial Activity
2.4. Quantum Mechanical Calculations
3. Materials and Methods
4. Conclusions
Author Contributions
Funding
Institutional Review Board Statement
Informed Consent Statement
Data Availability Statement
Conflicts of Interest
Abbreviations
| CMC | critical micelle concentration |
| MIC | minimum inhibitory concentration |
| FMOs | frontier molecular orbitals |
| HOMO | highest occupied molecular orbital |
| LUMO | lowest unoccupied molecular orbital |
References
- Tehrani-Bagha, A.R.; Holmberg, K. Cationic Ester-Containing Gemini Surfactants: Adsorption at Tailor-Made Surfaces Monitored by SPR and QCM. Langmuir 2008, 24, 6140–6145. [Google Scholar] [CrossRef]
- Brycki, B.E.; Kowalczyk, I.H.; Szulc, A.; Kaczerewska, O.; Pakiet, M. Multifunctional Gemini Surfactants: Structure, Synthesis, Properties and Applications. In Application and Characterization of Surfactants; Najjar, R., Ed.; InTech: Rijeka, Croatia, 2017; ISBN 978-953-51-3325-4. [Google Scholar]
- Menger, F.M.; Keiper, J.S.; Azov, V. Gemini Surfactants with Acetylenic Spacers. Langmuir 2000, 16, 2062–2067. [Google Scholar] [CrossRef]
- Menger, F.M.; Littau, C.A. Gemini-Surfactants: Synthesis and Properties. J. Am. Chem. Soc. 1991, 113, 1451–1452. [Google Scholar] [CrossRef]
- Sharma, T.; Dohare, N.; Kumari, M.; Singh, U.K.; Khan, A.B.; Borse, M.S.; Patel, R. Comparative Effect of Cationic Gemini Surfactant and Its Monomeric Counterpart on the Conformational Stability and Activity of Lysozyme. RSC Adv. 2017, 7, 16763–16776. [Google Scholar] [CrossRef]
- Mirgorodskaya, A.B.; Kudryavtseva, L.A.; Pankratov, V.A.; Lukashenko, S.S.; Rizvanova, L.Z.; Konovalov, A.I. Geminal Alkylammonium Surfactants: Aggregation Properties and Catalytic Activity. Russ. J. Gen. Chem. 2006, 76, 1625–1631. [Google Scholar] [CrossRef]
- Kuperkar, K.; Modi, J.; Patel, K. Surface-Active Properties and Antimicrobial Study of Conventional Cationic and Synthesized Symmetrical Gemini Surfactants. J. Surfactants Deterg. 2012, 15, 107–115. [Google Scholar] [CrossRef]
- Chang, H.; Cui, Y.; Wang, Y.; Li, G.; Gao, W.; Li, X.; Zhao, X.; Wei, W. Wettability and Adsorption of PTFE and Paraffin Surfaces by Aqueous Solutions of Biquaternary Ammonium Salt Gemini Surfactants with Hydroxyl. Colloids Surf. A 2016, 506, 416–424. [Google Scholar] [CrossRef]
- Bhadani, A.; Singh, S. Novel Gemini Pyridinium Surfactants: Synthesis and Study of Their Surface Activity, DNA Binding, and Cytotoxicity. Langmuir 2009, 25, 11703–11712. [Google Scholar] [CrossRef]
- Kamal, M.S. A Review of Gemini Surfactants: Potential Application in Enhanced Oil Recovery. J. Surfactants Deterg. 2016, 19, 223–236. [Google Scholar] [CrossRef]
- Pal, N.; Saxena, N.; Mandal, A. Studies on the Physicochemical Properties of Synthesized Tailor-Made Gemini Surfactants for Application in Enhanced Oil Recovery. J. Mol. Liq. 2018, 258, 211–224. [Google Scholar] [CrossRef]
- Han, X.; Lu, M.; Fan, Y.; Li, Y.; Holmberg, K. Recent Developments on Surfactants for Enhanced Oil Recovery. Tenside Surfactants Deterg. 2021, 58, 164–176. [Google Scholar] [CrossRef]
- Cardoso, A.M.S.; Faneca, H.; Almeida, J.A.S.; Pais, A.A.C.C.; Marques, E.F.; de Lima, M.C.P.; Jurado, A.S. Gemini Surfactant Dimethylene-1,2-Bis(Tetradecyldimethylammonium Bromide)-Based Gene Vectors: A Biophysical Approach to Transfection Efficiency. Biochim. Biophys. Acta 2011, 1808, 341–351. [Google Scholar] [CrossRef] [PubMed]
- Pisárčik, M.; Devínsky, F. Surface Tension Study of Cationic Gemini Surfactants Binding to DNA. Cent. Eur. J. Chem. 2014, 12, 577–585. [Google Scholar] [CrossRef]
- Ahmady, A.R.; Hosseinzadeh, P.; Solouk, A.; Akbari, S.; Szulc, A.M.; Brycki, B.E. Cationic Gemini Surfactant Properties, Its Potential as a Promising Bioapplication Candidate, and Strategies for Improving Its Biocompatibility: A Review. Adv. Colloid Interface Sci. 2022, 299, 102581. [Google Scholar] [CrossRef]
- Brycki, B.; Szulc, A. Gemini Surfactants as Corrosion Inhibitors. A Review. J. Mol. Liq. 2021, 344, 117686. [Google Scholar] [CrossRef]
- Mahdavian, M.; Tehrani-Bagha, A.R.; Alibakhshi, E.; Ashhari, S.; Palimi, M.J.; Farashi, S.; Javadian, S.; Ektefa, F. Corrosion of Mild Steel in Hydrochloric Acid Solution in the Presence of Two Cationic Gemini Surfactants with and without Hydroxyl Substituted Spacers. Corros. Sci. 2018, 137, 62–75. [Google Scholar] [CrossRef]
- Mao, T.; Huang, H.; Liu, D.; Shang, X.; Wang, W.; Wang, L. Novel Cationic Gemini Ester Surfactant as an Efficient and Eco-Friendly Corrosion Inhibitor for Carbon Steel in HCl Solution. J. Mol. Liq. 2021, 339, 117174. [Google Scholar] [CrossRef]
- Rosen, M.J.; Li, F. The Adsorption of Gemini and Conventional Surfactants onto Some Soil Solids and the Removal of 2-Naphthol by the Soil Surfaces. J. Colloid Interface Sci. 2001, 234, 418–424. [Google Scholar] [CrossRef] [PubMed]
- Zhao, J.; Duan, H.; Jiang, R. Synergistic Corrosion Inhibition Effect of Quinoline Quaternary Ammonium Salt and Gemini Surfactant in H2S and CO2 Saturated Brine Solution. Corros. Sci. 2015, 91, 108–119. [Google Scholar] [CrossRef]
- Brycki, B.; Kowalczyk, I.; Kozirog, A. Synthesis, Molecular Structure, Spectral Properties and Antifungal Activity of Polymethylene-α,ω-Bis(N,N-Dimethyl-N-Dodecyloammonium Bromides). Molecules 2011, 16, 319–335. [Google Scholar] [CrossRef]
- Zhang, S.; Ding, S.; Yu, J.; Chen, X.; Lei, Q.; Fang, W. Antibacterial Activity, in Vitro Cytotoxicity, and Cell Cycle Arrest of Gemini Quaternary Ammonium Surfactants. Langmuir 2015, 31, 12161–12169. [Google Scholar] [CrossRef] [PubMed]
- Minbiole, K.P.C.; Jennings, M.C.; Ator, L.E.; Black, J.W.; Grenier, M.C.; LaDow, J.E.; Caran, K.L.; Seifert, K.; Wuest, W.M. From Antimicrobial Activity to Mechanism of Resistance: The Multifaceted Role of Simple Quaternary Ammonium Compounds in Bacterial Eradication. Tetrahedron 2016, 72, 3559–3566. [Google Scholar] [CrossRef]
- Dani, U.; Bahadur, A.; Kuperkar, K. Micellization, Antimicrobial Activity and Curcumin Solubilization in Gemini Surfactants: Influence of Spacer and Non-Polar Tail. Colloid Interface Sci. Commun. 2018, 25, 22–30. [Google Scholar] [CrossRef]
- Brycki, B.; Waligórska, M.; Szulc, A. The Biodegradation of Monomeric and Dimeric Alkylammonium Surfactants. J. Hazard. Mater. 2014, 280, 797–815. [Google Scholar] [CrossRef]
- Tehrani-Bagha, A.R.; Oskarsson, H.; van Ginkel, C.G.; Holmberg, K. Cationic Ester-Containing Gemini Surfactants: Chemical Hydrolysis and Biodegradation. J. Colloid Interface Sci. 2007, 312, 444–452. [Google Scholar] [CrossRef]
- Garcia, M.T.; Ribosa, I.; Kowalczyk, I.; Pakiet, M.; Brycki, B. Biodegradability and Aquatic Toxicity of New Cleavable Betainate Cationic Oligomeric Surfactants. J. Hazard. Mater. 2019, 371, 108–114. [Google Scholar] [CrossRef]
- Akram, M.; Anwar, S.; Ansari, F.; Bhat, I.A.; Kabir-ud-Din, K.-D. Bio-Physicochemical Analysis of Ethylene Oxide-Linked Diester-Functionalized Green Cationic Gemini Surfactants. RSC Adv. 2016, 6, 21697–21705. [Google Scholar] [CrossRef]
- Brycki, B.; Szulc, A. Gemini Alkyldeoxy-D-Glucitolammonium Salts as Modern Surfactants and Microbiocides: Synthesis, Antimicrobial and Surface Activity, Biodegradation. PLoS ONE 2014, 9, e84936. [Google Scholar] [CrossRef]
- Javadian, S.; Aghdastinat, H.; Tehrani-Bagha, A.; Gharibi, H. Self-Assembled Nano Structures of Cationic Ester-Containing Gemini Surfactants: The Surfactant Structure and Salt Effects. J. Chem. Thermodyn. 2013, 62, 201–210. [Google Scholar] [CrossRef]
- Akram, M.; Lal, H.; Kabir-ud-Din. Exploring the Binding Mode of Ester-Based Cationic Gemini Surfactants with Calf Thymus DNA: A Detailed Physicochemical, Spectroscopic and Theoretical Study. Bioorganic Chem. 2022, 119, 105555. [Google Scholar] [CrossRef]
- Pisárčik, M.; Polakovičová, M.; Markuliak, M.; Lukáč, M.; Devinsky, F. Self-Assembly Properties of Cationic Gemini Surfactants with Biodegradable Groups in the Spacer. Molecules 2019, 24, 1481. [Google Scholar] [CrossRef] [PubMed]
- Abdul Rub, M. Investigation of Micellar and Interfacial Phenomenon of Amitriptyline Hydrochloride with Cationic Ester-Bonded Gemini Surfactant Mixture in Different Solvent Media. PLoS ONE 2020, 15, e0241300. [Google Scholar] [CrossRef] [PubMed]
- Zhang, T.; Wang, C.; Sang, J.; Zhang, L.; Xiao, Y.; Lin, W. A Novel Ester-Bonded Gemini Quaternary Ammonium Salt with Good Antimicrobial Activity and Anti-Mold Performance for Wet Blue Leather. J. Am. Leather Chem. Assoc. 2022, 117, 131–140. [Google Scholar] [CrossRef]
- Pakiet, M.; Kowalczyk, I.; Leiva Garcia, R.; Akid, R.; Brycki, B. Cationic Clevelable Surfactants as Highly Efficient Corrosion Inhibitors of Stainless Steel AISI 304: Electrochemical Study. J. Mol. Liq. 2020, 315, 113675. [Google Scholar] [CrossRef]
- Pakiet, M.; Tedim, J.; Kowalczyk, I.; Brycki, B. Functionalised Novel Gemini Surfactants as Corrosion Inhibitors for Mild Steel in 50 mM NaCl: Experimental and Theoretical Insights. Colloids Surf. Physicochem. Eng. Asp. 2019, 580, 123699. [Google Scholar] [CrossRef]
- Brycki, B.E.; Szulc, A.; Kowalczyk, I.; Koziróg, A.; Sobolewska, E. Antimicrobial Activity of Gemini Surfactants with Ether Group in the Spacer Part. Molecules 2021, 26, 5759. [Google Scholar] [CrossRef]
- Brycki, B.; Szulc, A.; Brycka, J.; Kowalczyk, I. Properties and Applications of Quaternary Ammonium Gemini Surfactant 12-6-12: An Overview. Molecules 2023, 28, 6336. [Google Scholar] [CrossRef]
- Liu, D.; Yang, X.; Liu, P.; Mao, T.; Shang, X.; Wang, L. Synthesis and characterization of gemini ester surfactant and its application in efficient fabric softening. J. Mol. Liq. 2020, 299, 112236. [Google Scholar] [CrossRef]
- Tatsumi, T.; Zhang, W.; Kida, T.; Nakatsuji, Y.; Ono, D.; Takeda, T.; Ikeda, I. Novel Hydrolyzable and Biodegradable Cationic Gemini Surfactants: 1,3-bis[(Acyloxyalkyl)-dimethylammonio]-2-hydroxypropane Dichloride. J. Surfactants Deterg. 2000, 3, 167–172. [Google Scholar] [CrossRef]
- Tehrani-Bagha, A.R.; Holmberg, K. Cationic Ester-Containing Gemini Surfactants: Physical−Chemical Properties. Langmuir 2010, 26, 9276–9282. [Google Scholar] [CrossRef]
- Kaczerewska, O.; Leiva-Garcia, R.; Akid, R.; Brycki, B.; Kowalczyk, I.; Pospieszny, T. Effectiveness of O -Bridged Cationic Gemini Surfactants as Corrosion Inhibitors for Stainless Steel in 3 M HCl: Experimental and Theoretical Studies. J. Mol. Liq. 2018, 249, 1113–1124. [Google Scholar] [CrossRef]
- Obłąk, E.; Piecuch, A.; Rewak-Soroczyńska, J.; Paluch, E. Activity of Gemini Quaternary Ammonium Salts against Microorganisms. Appl. Microbiol. Biotechnol. 2019, 103, 625–632. [Google Scholar] [CrossRef] [PubMed]
- Obłąk, E.; Piecuch, A.; Krasowska, A.; Łuczyński, J. Antifungal Activity of Gemini Quaternary Ammonium Salts. Microbiol. Res. 2013, 168, 630–638. [Google Scholar] [CrossRef]
- Allen, R.A.; Jennings, M.C.; Mitchell, M.A.; Al-Khalifa, S.E.; Wuest, W.M.; Minbiole, K.P.C. Ester- and Amide-Containing multiQACs: Exploring Multicationic Soft Antimicrobial Agents. Bioorg. Med. Chem. Lett. 2017, 27, 2107–2112. [Google Scholar] [CrossRef] [PubMed]
- Kowalczyk, I.; Pakiet, M.; Szulc, A.; Koziróg, A. Antimicrobial Activity of Gemini Surfactants with Azapolymethylene Spacer. Molecules 2020, 25, 4054. [Google Scholar] [CrossRef]
- Balgavý, P.; Devinsky, F. Cut-off Effects in Biological Activities of Surfactants. Adv. Colloid Interface Sci. 1996, 66, 23–63. [Google Scholar] [CrossRef]
- Mechken, K.A.; Menouar, M.; Talbi, Z.; Saidi-Besbes, S.; Belkhodja, M. Self-Assembly and Antimicrobial Activity of Cationic Gemini Surfactants Containing Triazole Moieties. RSC Adv. 2024, 14, 19185–19196. [Google Scholar] [CrossRef]
- Hafidi, Z.; García, M.T.; Vazquez, S.; Martinavarro-Mateos, M.; Ramos, A.; Pérez, L. Antimicrobial and Biofilm-Eradicating Properties of Simple Double-Chain Arginine-Based Surfactants. Colloids Surf. B Biointerfaces 2025, 253, 114762. [Google Scholar] [CrossRef] [PubMed]
- Wani, F.A.; Amaduddin; Aneja, B.; Sheehan, G.; Kavanagh, K.; Ahmad, R.; Abid, M.; Patel, R. Synthesis of Novel Benzimidazolium Gemini Surfactants and Evaluation of Their Anti-Candida Activity. ACS Omega 2019, 4, 11871–11879. [Google Scholar] [CrossRef]
- Zhou, C.; Wang, Y. Structure–Activity Relationship of Cationic Surfactants as Antimicrobial Agents. Curr. Opin. Colloid Interface Sci. 2020, 45, 28–43. [Google Scholar] [CrossRef]
- Neubauer, D.; Jaśkiewicz, M.; Bauer, M.; Olejniczak-Kęder, A.; Sikorska, E.; Sikora, K.; Kamysz, W. Biological and Physico-Chemical Characteristics of Arginine-Rich Peptide Gemini Surfactants with Lysine and Cystine Spacers. Int. J. Mol. Sci. 2021, 22, 3299. [Google Scholar] [CrossRef] [PubMed]
- Fleming, I. Frontier Orbitals and Organic Chemical Reactions; John Wiley & Sons: New York, NY, USA, 1976. [Google Scholar]
- Nagabalasubramanian, P.B.; Karabacak, M.; Periandy, S. Vibrational Frequencies, Structural Confirmation Stability and HOMO–LUMO Analysis of Nicotinic Acid Ethyl Ester with Experimental (FT-IR and FT-Raman) Techniques and Quantum Mechanical Calculations. J. Mol. Struct. 2012, 1017, 1–13. [Google Scholar] [CrossRef]
- Kirishnamaline, G.; Magdaline, J.D.; Chithambarathanu, T.; Aruldhas, D.; Anuf, A.R. Theoretical Investigation of Structure, Anticancer Activity and Molecular Docking of Thiourea Derivatives. J. Mol. Struct. 2021, 1225, 129118. [Google Scholar] [CrossRef]
- Parr, R.G.; Pearson, R.G. Absolute Hardness: Companion Parameter to Absolute Electronegativity. J. Am. Chem. Soc. 1983, 105, 7512–7516. [Google Scholar] [CrossRef]
- Pearson, R.G. Chemical Hardness and Density Functional Theory. J. Chem. Sci. 2005, 117, 369–377. [Google Scholar] [CrossRef]
- Chattaraj, P.K.; Sarkar, U.; Roy, D.R. Electrophilicity Index. Chem. Rev. 2006, 106, 2065–2091. [Google Scholar] [CrossRef]
- Zhang, W.; Zhang, Z.; Zhao, S.; Hong, K.H.; Zhang, M.-Y.; Song, L.; Yu, F.; Luo, G.; He, Y.-P. Pyromellitic-Based Low Molecular Weight Gelators and Computational Studies of Intermolecular Interactions: A Potential Additive for Lubricant. Langmuir 2021, 37, 2954–2962. [Google Scholar] [CrossRef]
- Hajy Alimohammadi, M.; Javadian, S.; Gharibi, H.; Tehrani-Bagha, A.r.; Alavijeh, M.R.; Kakaei, K. Aggregation Behavior and Intermicellar Interactions of Cationic Gemini Surfactants: Effects of Alkyl Chain, Spacer Lengths and Temperature. J. Chem. Thermodyn. 2012, 44, 107–115. [Google Scholar] [CrossRef]
- Frisch, M.J.; Trucks, G.W.; Schlegel, H.B.; Scuseria, G.E.; Robb, M.A.; Cheeseman, J.R.; Scalmani, G.; Barone, V.; Petersson, G.A.; Nakatsuji, H.; et al. Gaussian 16, Revision C.01 2016; Gaussian, Inc.: Wallingford, CT, USA, 2016.
- Becke, A.D. Density-Functional Thermochemistry. III. The Role of Exact Exchange. J. Chem. Phys. 1993, 98, 5648–5652. [Google Scholar] [CrossRef]
- Becke, A.D. Density-Functional Thermochemistry. V. Systematic Optimization of Exchange-Correlation Functionals. J. Chem. Phys. 1997, 107, 8554–8560. [Google Scholar] [CrossRef]
- Lee, C.; Yang, W.; Parr, R.G. Development of the Colle-Salvetti Correlation-Energy Formula into a Functional of the Electron Density. Phys. Rev. B 1988, 37, 785–789. [Google Scholar] [CrossRef] [PubMed]







| Compounds | CMC [mM] | β | ΔG°mic [kJ/mol] |
|---|---|---|---|
| PMTH2E8 | 2.1 ± 0.1 | 0.20 | −23.09 |
| PMTH2E10 | 1.8 ± 0.1 | 0.40 | −29.89 |
| PMTH2E12 | 1.6 ± 0.1 | 0.53 | −34.56 |
| PMTH3E12 | 0.013 ± 0.004 | 0.40 | −51.86 |
| TMTHE14 | 0.08 ± 0.02 | 0.48 | −47.50 |
| TMTHE16 | 0.03 ± 0.01 | 0.52 | −54.33 |
| N2OE8 | 8.50 ± 0.11 | 0.90 | −34.77 |
| N2OE10 | 1.72 ± 0.09 | 0.71 | −39.86 |
| N2OE12 | 0.12 ± 0.04 | 0.57 | −49.56 |
| N2OE14 | 0.09 ± 0.01 | 0.61 | −52.93 |
| N2OE16 | 0.05 ± 0.01 | 0.63 | −57.14 |
| Compounds | MIC [mM] | |||
|---|---|---|---|---|
| S. aureus ATCC 6538 | E. coli ATCC 10536 | C. albicans ATCC 10231 | A. brasiliensis ATCC 16404 | |
| PMTH2E8 | 0.0195 | 0.039 | 0.0195 | 0.156 |
| PMTH2E10 | 0.0195 | 0.039 | 0.0195 | 0.156 |
| PMTH2E12 | 0.447 | 0.895 | 0.056 | 0.224 |
| PMTH3E12 | 0.651 | 1.302 | 0.0407 | 0.081 |
| TMTHE14 | 0.625 | 2.5 | 0.625 | 2.5 |
| TMTHE16 | 1.25 | 2.5 | 0.625 | 2.5 |
| N2OE8 | 0.068 | 0.272 | 0.136 | 0.544 |
| N2OE10 | 0.062 | 0.124 | 0.062 | 0.124 |
| N2OE12 | 0.456 | 0.911 | 0.057 | 0.228 |
| N2OE14 | 0.156 | 2.5 | 0.156 | 0.625 |
| N2OE16 | 0.3125 | 2.5 | 0.625 | 0.625 |
| N2OE12 | PMTH2E12 | PMTH3E12 | |
|---|---|---|---|
| EHOMO | −5.3949 | −5.0096 | −5.6268 |
| ELUMO | −1.0008 | −1.1709 | −2.3737 |
| Egap | 4.3941 | 3.8387 | 3.2531 |
| µ | −3.1979 | −3.0903 | −4.0002 |
| η | 2.1971 | 1.9194 | 1.6266 |
| σ | 0.2276 | 0.2605 | 0.3740 |
| ω | 2.3273 | 2.4877 | 4.9189 |
| ΔNmax | 1.4555 | 1.6100 | 2.4592 |
Disclaimer/Publisher’s Note: The statements, opinions and data contained in all publications are solely those of the individual author(s) and contributor(s) and not of MDPI and/or the editor(s). MDPI and/or the editor(s) disclaim responsibility for any injury to people or property resulting from any ideas, methods, instructions or products referred to in the content. |
© 2025 by the authors. Licensee MDPI, Basel, Switzerland. This article is an open access article distributed under the terms and conditions of the Creative Commons Attribution (CC BY) license (https://creativecommons.org/licenses/by/4.0/).
Share and Cite
Kowalczyk, I.; Szulc, A.; Koziróg, A.; Komasa, A.; Brycki, B. Surface and Antimicrobial Properties of Ester-Based Gemini Surfactants. Molecules 2025, 30, 2648. https://doi.org/10.3390/molecules30122648
Kowalczyk I, Szulc A, Koziróg A, Komasa A, Brycki B. Surface and Antimicrobial Properties of Ester-Based Gemini Surfactants. Molecules. 2025; 30(12):2648. https://doi.org/10.3390/molecules30122648
Chicago/Turabian StyleKowalczyk, Iwona, Adrianna Szulc, Anna Koziróg, Anna Komasa, and Bogumił Brycki. 2025. "Surface and Antimicrobial Properties of Ester-Based Gemini Surfactants" Molecules 30, no. 12: 2648. https://doi.org/10.3390/molecules30122648
APA StyleKowalczyk, I., Szulc, A., Koziróg, A., Komasa, A., & Brycki, B. (2025). Surface and Antimicrobial Properties of Ester-Based Gemini Surfactants. Molecules, 30(12), 2648. https://doi.org/10.3390/molecules30122648

