Recent Advances in Carbon-Based Catalysts for Heterogeneous Asymmetric Catalysis
Abstract
1. Introduction
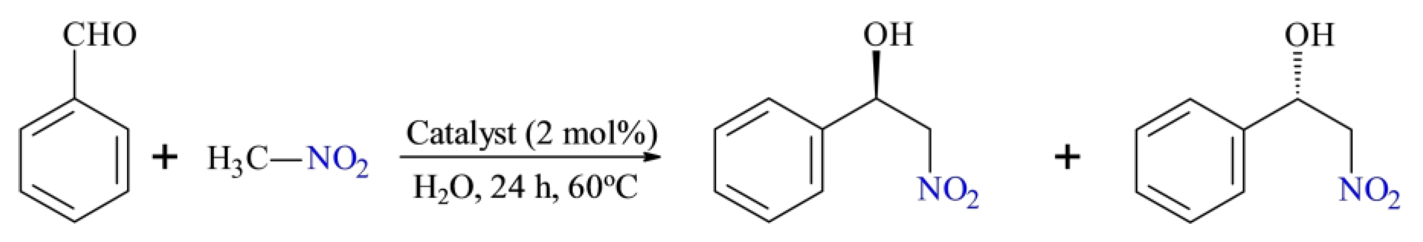
2. CNTs Based Asymmetric Catalysts
2.1. CNTs Based Organocatalysts
2.2. CNTs Based Metal Nanoparticles
2.3. CNTs Based Metal–Organic Complexes
3. Graphene-Based Catalysts
3.1. Graphene-Based Organocatalysts
3.2. Graphene-Based Metal–Organic Complexes
4. Other Carbon Materials Based Asymmetric Catalysts
5. Conclusions
Funding
Conflicts of Interest
References
- Heitbaum, M.; Glorius, F.; Escher, I. Asymmetric Heterogeneous Catalysis. Angew. Chem. Int. Ed. 2006, 45, 4732–4762. [Google Scholar] [CrossRef] [PubMed]
- Madhavan, N.; Jones, C.W.; Weck, M. Rational Approach to Polymer-Supported Catalysts: Synergy between Catalytic Reaction Mechanism and Polymer Design. Acc. Chem. Res. 2008, 41, 1153–1165. [Google Scholar] [CrossRef]
- Chen, M.; Zhang, Z.-M.; Yu, Z.; Qiu, H.; Ma, B.; Wu, H.-H.; Zhang, J. Polymer-Bound Chiral Gold-Based Complexes as Efficient Heterogeneous Catalysts for Enantioselectivity Tunable Cycloaddition. ACS Catal. 2015, 5, 7488–7492. [Google Scholar] [CrossRef]
- Baleizão, C.; Garcia, H. Chiral Salen Complexes: An Overview to Recoverable and Reusable Homogeneous and Heterogeneous Catalysts. Chem. Rev. 2006, 106, 3987–4043. [Google Scholar] [CrossRef]
- Baddeley, C.J.; Jones, T.E.; Trant, A.G.; Wilson, K.E. Fundamental Investigations of Enantioselective Heterogeneous Catalysis. Top. Catal. 2011, 54, 1348–1356. [Google Scholar] [CrossRef]
- McMorn, P.; Hutchings, G.J. Heterogeneous enantioselective catalysts: Strategies for the immobilisation of homogeneous catalysts. Chem. Soc. Rev. 2004, 33, 108–122. [Google Scholar] [CrossRef] [PubMed]
- Chun-Lei, W.; Ding, M.A. Carbon Nanomaterials and Their Heterogeneous Catalytic Application. Prog. Chem. 2009, 21, 1705–1721. [Google Scholar]
- Campisciano, V.; Gruttadauria, M.; Giacalone, F. Modified Nanocarbons for Catalysis. ChemCatChem 2019, 11, 90–133. [Google Scholar] [CrossRef]
- Wojaczyńska, E.; Zielińska-Błajet, M. Graphene-based materials for asymmetric catalysis. ARKIVOC 2022, 2023, 54–68. [Google Scholar] [CrossRef]
- Moya, J.F.; Rosales, C.; Fernández, I.; Khiar, N. Pyrene-tagged carbohydrate-based mixed P/S ligand: Spacer effect on the Rh(i)-catalyzed hydrogenation of methyl α-acetamidocinnamate. Org. Biomol. Chem. 2017, 15, 5772–5780. [Google Scholar] [CrossRef]
- Cunillera, A.; Blanco, C.; Gual, A.; Marinkovic, J.M.; Garcia-Suarez, E.J.; Riisager, A.; Claver, C.; Ruiz, A.; Godard, C. Highly Efficient Rh-catalysts Immobilised by π-π Stacking for the Asymmetric Hydroformylation of Norbornene under Continuous Flow Conditions. ChemCatChem 2019, 11, 2195–2205. [Google Scholar] [CrossRef]
- Yuan, Y.-C.; Abd El Sater, M.; Mellah, M.; Jaber, N.; David, O.R.P.; Schulz, E. Enantiopure isothiourea@carbon-based support: Stacking interactions for recycling a lewis base in asymmetric catalysis. Org. Chem. Front. 2021, 8, 4693–4699. [Google Scholar] [CrossRef]
- Iijima, S. Helical microtubules of graphitic carbon. Nature 1991, 354, 56–58. [Google Scholar] [CrossRef]
- Baughman, R.H.; Zakhidov, A.A.; de Heer, W.A. Carbon nanotubes--the route toward applications. Science 2002, 297, 787–792. [Google Scholar] [CrossRef]
- Mallakpour, S.; Khadem, E. Carbon nanotube–metal oxide nanocomposites: Fabrication, properties and applications. Chem. Eng. J. 2016, 302, 344–367. [Google Scholar] [CrossRef]
- Yue, Y.-N.; Meng, W.-J.; Liu, L.; Hu, Q.-L.; Wang, H.; Lu, J.-X. Amino acid-functionalized multi-walled carbon nanotubes: A metal-free chiral catalyst for the asymmetric electroreduction of aromatic ketones. Electrochim. Acta 2018, 260, 606–613. [Google Scholar] [CrossRef]
- Yue, Y.N.; Zeng, S.; Wang, H.; Wang, S.; Wang, H.; Lu, J.X. One-Pot Synthesis of d-Phenylalanine-Functionalized Multiwalled Carbon Nanotubes: A Metal-Free Chiral Material for the Asymmetric Electroreduction of Aromatic Ketones. ACS Appl. Mater. Interfaces 2018, 10, 23055–23062. [Google Scholar] [CrossRef]
- Demeese, C.; Lods, C.; Buisson, D.-A.; Gravel, E.; Namboothiri, I.N.N.; Doris, E. Supramolecular assembly of proline amphiphiles on carbon nanotubes as heterogenized catalyst for enantioselective aldol reactions in water. Chem. Eng. J. 2023, 476, 146702. [Google Scholar] [CrossRef]
- Qu, L.; Dai, L. Substrate-enhanced electroless deposition of metal nanoparticles on carbon nanotubes. J. Am. Chem. Soc. 2005, 127, 10806–10807. [Google Scholar] [CrossRef]
- Xing, L.; Du, F.; Liang, J.-J.; Chen, Y.-S.; Zhou, Q.-L. Preparation of Pt/SWNTs for heterogeneous asymmetric hydrogenation of ethyl pyruvate. J. Mol. Catal. A Chem. 2007, 276, 191–196. [Google Scholar] [CrossRef]
- Chen, Z.; Guan, Z.; Li, M.; Yang, Q.; Li, C. Enhancement of the performance of a platinum nanocatalyst confined within carbon nanotubes for asymmetric hydrogenation. Angew. Chem. Int. Ed. 2011, 50, 4913–4917. [Google Scholar] [CrossRef] [PubMed]
- Guan, Z.; Lu, S.; Chen, Z.; Li, C. An unexpected effect of water on the asymmetric hydrogenation of α-ketoesters on platinum nanoparticles confined in carbon nanotubes. J. Catal. 2013, 305, 19–26. [Google Scholar] [CrossRef]
- Sharma, P.; Sharma, R.K. Platinum functionalized multiwall carbon nanotube composites as recyclable catalyst for highly efficient asymmetric hydrogenation of methyl pyruvate. RSC Adv. 2015, 5, 102481–102487. [Google Scholar] [CrossRef]
- Guan, Z.; Lu, S.; Li, C. Enantioselective hydrogenation of α,β-unsaturated carboxylic acid over cinchonidine-modified Pd nanoparticles confined in carbon nanotubes. J. Catal. 2014, 311, 1–5. [Google Scholar] [CrossRef]
- Baleizão, C. Vanadyl salen complexes covalently anchored to single-wall carbon nanotubes as heterogeneous catalysts for the cyanosilylation of aldehydes. J. Catal. 2004, 221, 77–84. [Google Scholar] [CrossRef]
- Gheorghiu, C.C.; Machado, B.F.; Salinas-Martinez de Lecea, C.; Gouygou, M.; Roman-Martinez, M.C.; Serp, P. Chiral rhodium complexes covalently anchored on carbon nanotubes for enantioselective hydrogenation. Dalton Trans. 2014, 43, 7455–7463. [Google Scholar] [CrossRef]
- Xing, L.; Xie, J.H.; Chen, Y.S.; Wang, L.X.; Zhou, Q.L. Simply Modified Chiral Diphosphine: Catalyst Recycling via Non-covalent Absorption on Carbon Nanotubes. Adv. Synth. Catal. 2008, 350, 1013–1016. [Google Scholar] [CrossRef]
- Didier, D.; Schulz, E. π-Stacking interactions at the service of [Cu]-bis(oxazoline) recycling. Tetrahedron Asymmetry 2013, 24, 769–775. [Google Scholar] [CrossRef]
- Kitanosono, T.; Xu, P.; Kobayashi, S. Chiral Lewis acids integrated with single-walled carbon nanotubes for asymmetric catalysis in water. Science 2018, 362, 311–315. [Google Scholar] [CrossRef]
- Ogawa, T.; Kumagai, N.; Shibasaki, M. Self-assembling neodymium/sodium heterobimetallic asymmetric catalyst confined in a carbon nanotube network. Angew. Chem. Int. Ed. 2013, 52, 6196–6201. [Google Scholar] [CrossRef]
- Sureshkumar, D.; Hashimoto, K.; Kumagai, N.; Shibasaki, M. A modified preparation procedure for carbon nanotube-confined Nd/Na heterobimetallic catalyst for anti-selective catalytic asymmetric nitroaldol reactions. J. Org. Chem. 2013, 78, 11494–11500. [Google Scholar] [CrossRef] [PubMed]
- Hashimoto, K.; Kumagai, N.; Shibasaki, M. Self-assembled asymmetric catalyst engaged in a continuous-flow platform: An anti-selective catalytic asymmetric nitroaldol reaction. Org. Lett. 2014, 16, 3496–3499. [Google Scholar] [CrossRef] [PubMed]
- Hashimoto, K.; Kumagai, N.; Shibasaki, M. A carbon nanotube confinement strategy to implement homogeneous asymmetric catalysis in the solid phase. Chemistry 2015, 21, 4262–4266. [Google Scholar] [CrossRef]
- Nonoyama, A.; Hashimoto, K.; Saito, A.; Kumagai, N.; Shibasaki, M. Preparation of Nd/Na heterogeneous catalyst from bench-stable and inexpensive Nd salt for an anti-selective catalytic asymmetric nitroaldol reaction. Tetrahedron Lett. 2016, 57, 1815–1819. [Google Scholar] [CrossRef]
- Tao, L.; Li, C.; Ren, Y.; Li, H.; Chen, J.; Yang, Q. Synthesis of polymer/CNTs composites for the heterogeneous asymmetric hydrogenation of quinolines. Chin. J. Catal. 2019, 40, 1548–1556. [Google Scholar] [CrossRef]
- Belokon, Y.N.; North, M.; Parsons, T. Vanadium-catalyzed asymmetric cyanohydrin synthesis. Org. Lett. 2000, 2, 1617–1619. [Google Scholar] [CrossRef]
- Badr, S.M.; Azlouk, M.; Zor, E.; Bingol, H.; Durmaz, M. Primary amine–thiourea grafted graphene–based heterogeneous chiral catalysts for highly enantioselective Michael additions. Mol. Catal. 2022, 526, 112383. [Google Scholar] [CrossRef]
- Tan, R.; Li, C.; Luo, J.; Kong, Y.; Zheng, W.; Yin, D. An effective heterogeneous l-proline catalyst for the direct asymmetric aldol reaction using graphene oxide as support. J. Catal. 2013, 298, 138–147. [Google Scholar] [CrossRef]
- Azlouk, M.; Durmaz, M.; Zor, E.; Bingol, H. Graphene-based recyclable and bifunctional heterogeneous chiral catalyst for direct asymmetric aldol reaction. Mater. Chem. Phys. 2020, 239, 122298. [Google Scholar] [CrossRef]
- Wang, X.; Guo, J.; Qie, F.; Yan, Y. Enantioselective addition of diethylzinc to aromatic aldehydes catalyzed by chiral BINOL-functionalized nanoporous graphene oxides. J. Mater. Sci. 2019, 54, 6908–6916. [Google Scholar] [CrossRef]
- Wang, F.; Huang, T.; Rao, S.; Chen, Q.; Huang, C.; Tan, Z.; Ding, X.; Zou, X. Synthesis of GO-SalenMn and Asymmetric Catalytic Olefin Epoxidation. Catalysts 2019, 9, 824. [Google Scholar] [CrossRef]
- Berijani, K.; Farokhi, A.; Hosseini-Monfared, H.; Janiak, C. Enhanced enantioselective oxidation of olefins catalyzed by Mn-porphyrin immobilized on graphene oxide. Tetrahedron 2018, 74, 2202–2210. [Google Scholar] [CrossRef]
- Abbasi, V.; Hosseini-Monfared, H.; Hosseini, S.M. A heterogenized chiral imino indanol complex of manganese as an efficient catalyst for aerobic epoxidation of olefins. New J. Chem. 2017, 41, 9866–9874. [Google Scholar] [CrossRef]
- Abd El Sater, M.; Mellah, M.; Dragoe, D.; Kolodziej, E.; Jaber, N.; Schulz, E. Chiral Chromium Salen@rGO as Multipurpose and Recyclable Heterogeneous Catalyst. Chem. A Eur. J. 2021, 27, 9454–9460. [Google Scholar] [CrossRef] [PubMed]
- Hao, E.-J.; Li, G.-X.; Lv, Z.-Z.; Li, F.-S.; Chen, Y.-Q.; Lin, S.-J.; Shi, C.-Z.; Shi, L. “In situ immobilization” of a multicomponent chiral catalyst (MCC) via non-covalent interactions for heterogeneous asymmetric hydrogenation reactions. Org. Chem. Front. 2020, 7, 345–349. [Google Scholar] [CrossRef]
- Arora, Z.; Eftemie, D.-I.; Spinciu, A.; Maxim, C.; Hanganu, A.-M.; Tudorache, M.; Cojocaru, B.; Pavel, O.D.; Granger, P.; Andruh, M.; et al. Valmet Chiral Schiff-Base Ligands And Their Copper(II) Complexes as Organo, Homogeneous and Heterogeneous Catalysts for Henry, Cyanosilylation and Aldol Coupling Reactions. ChemCatChem 2021, 13, 4634–4644. [Google Scholar] [CrossRef]
- Mochalin, V.N.; Shenderova, O.; Ho, D.; Gogotsi, Y. The properties and applications of nanodiamonds. Nat. Nanotechnol. 2011, 7, 11–23. [Google Scholar] [CrossRef]
- Zheng, W.-W.; Hsieh, Y.-H.; Chiu, Y.-C.; Cai, S.-J.; Cheng, C.-L.; Chen, C. Organic functionalization of ultradispersed nanodiamond: Synthesis and applications. J. Mater. Chem. 2009, 19, 8432–8441. [Google Scholar] [CrossRef]
- Silva, A.R.; Freire, C.; de Castro, B. Jacobsen catalyst anchored onto an activated carbon as an enantioselective heterogeneous catalyst for the epoxidation of alkenes. Carbon 2004, 42, 3027–3030. [Google Scholar] [CrossRef]
- Silva, A.R.; Budarin, V.; Clark, J.H.; de Castro, B.; Freire, C. Chiral manganese(III) Schiff base complexes anchored onto activated carbon as enantioselective heterogeneous catalysts for alkene epoxidation. Carbon 2005, 43, 2096–2105. [Google Scholar] [CrossRef]
- Chronopoulos, D.D.; Tsakos, M.; Karousis, N.; Kokotos, C.G.; Tagmatarchis, N. Fullerene–proline hybrids: Synthesis, characterization and organocatalytic properties in aldol reactions. Mater. Lett. 2014, 137, 343–346. [Google Scholar] [CrossRef]
- Andrés, J.M.; González, M.; Maestro, A.; Naharro, D.; Pedrosa, R. Recyclable Chiral Bifunctional Thioureas Derived from [60]Fullerene and Their Use as Highly Efficient Organocatalysts for the Asymmetric Nitro-Michael Reaction. Eur. J. Org. Chem. 2017, 2017, 2683–2691. [Google Scholar] [CrossRef]
- Van Koten, G.; Meijer, M.; Ronde, N.; Vogt, D.; Klink, G. Methanofullerene-Based Palladium Bis(amino)aryl Complexes and Application in Lewis Acid Catalysis. Organometallics 2001, 20, 3993–4000. [Google Scholar] [CrossRef]
- Baker, S.N.; Baker, G.A. Luminescent Carbon Nanodots: Emergent Nanolights. Angew. Chem. Int. Ed. 2010, 49, 6726–6744. [Google Scholar] [CrossRef] [PubMed]
- Lim, S.Y.; Shen, W.; Gao, Z. Carbon quantum dots and their applications. Chem. Soc. Rev. 2015, 44, 362–381. [Google Scholar] [CrossRef]
- Filippini, G.; Amato, F.; Rosso, C.; Ragazzon, G.; Vega-Peñaloza, A.; Companyó, X.; Dell’Amico, L.; Bonchio, M.; Prato, M. Mapping the Surface Groups of Amine-Rich Carbon Dots Enables Covalent Catalysis in Aqueous Media. Chem 2020, 6, 3022–3037. [Google Scholar] [CrossRef]
- Bartolomei, B.; Corti, V.; Prato, M. Chiral Carbon Nanodots Can Act as Molecular Catalysts in Chemical and Photochemical Reactions. Angew. Chem. Int. Ed. 2023, 62, e202305460. [Google Scholar] [CrossRef]
- Liu, S.; He, Y.; Liu, Y.; Wang, S.; Jian, Y.; Li, B.; Xu, C. One-step hydrothermal synthesis of chiral carbon dots with high asymmetric catalytic activity for an enantioselective direct aldol reaction. Chem. Commun. 2021, 57, 3680–3683. [Google Scholar] [CrossRef]
- Luo, J.; Wang, S.; Ding, Y.; Shen, J.; Xu, C. Controlled synthesis of chiral carbon dots with high asymmetric catalytic properties and reproducibility for direct aldol reactions: The impact of functional groups of carbon sources. Carbon 2024, 228, 119393. [Google Scholar] [CrossRef]
- Bortolami, M.; Bogles, I.I.; Bombelli, C.; Pandolfi, F.; Feroci, M.; Vetica, F. Electrochemical Bottom-Up Synthesis of Chiral Carbon Dots from L-Proline and Their Application as Nano-Organocatalysts in a Stereoselective Aldol Reaction. Molecules 2022, 27, 5150. [Google Scholar] [CrossRef]
- Zhang, M.; Zhang, W.; Fan, X.; Ma, Y.; Huang, H.; Wang, X.; Liu, Y.; Lin, H.; Li, Y.; Tian, H.; et al. Chiral Carbon Dots Derived from Serine with Well-Defined Structure and Enantioselective Catalytic Activity. Nano Lett. 2022, 22, 7203–7211. [Google Scholar] [CrossRef]
- Rezaei, A.; Zheng, H.; Majidian, S.; Samadi, S.; Ramazani, A. Chiral Pseudohomogeneous Catalyst Based on Amphiphilic Carbon Quantum Dots for the Enantioselective Kharasch–Sosnovsky Reaction. ACS Appl. Mater. Interfaces 2023, 15, 54373–54385. [Google Scholar] [CrossRef] [PubMed]
- Carioscia, A.; Cocco, E.; Casacchia, M.E.; Gentile, G.; Mamone, M.; Giorgianni, G.; Incerto, E.; Prato, M.; Pesciaioli, F.; Filippini, G.; et al. Nitrogen-Rich Carbon Dots as Effective Catalysts in the 1,4-Reduction of α,β-Unsaturated Aldehydes via Ion Pair Asymmetric Nano-Organocatalysis. ACS Catal. 2024, 14, 13429–13438. [Google Scholar] [CrossRef]
- Guan, Y.; Chaffart, D.; Liu, G.; Tan, Z.; Zhang, D.; Wang, Y.; Li, J.; Ricardez-Sandoval, L. Machine learning in solid heterogeneous catalysis: Recent developments, challenges and perspectives. Chem. Eng. Sci. 2022, 248, 117224. [Google Scholar] [CrossRef]
- Benavides-Hernández, J.; Dumeignil, F. From Characterization to Discovery: Artificial Intelligence, Machine Learning and High-Throughput Experiments for Heterogeneous Catalyst Design. ACS Catal. 2024, 14, 11749–11779. [Google Scholar] [CrossRef]
- Xu, L.-C.; Frey, J.; Hou, X.; Zhang, S.-Q.; Li, Y.-Y.; Oliveira, J.C.A.; Li, S.-W.; Ackermann, L.; Hong, X. Enantioselectivity prediction of pallada-electrocatalysed C–H activation using transition state knowledge in machine learning. Nat. Synth. 2023, 2, 321–330. [Google Scholar] [CrossRef]
- Cuomo, A.E.; Ibarraran, S.; Sreekumar, S.; Li, H.; Eun, J.; Menzel, J.P.; Zhang, P.; Buono, F.; Song, J.J.; Crabtree, R.H.; et al. Feed-Forward Neural Network for Predicting Enantioselectivity of the Asymmetric Negishi Reaction. ACS Cent. Sci. 2023, 9, 1768–1774. [Google Scholar] [CrossRef]
- Gao, B.; Cai, L.; Zhang, Y.; Huang, H.; Li, Y.; Xue, X.-S. A Machine Learning Model for Predicting Enantioselectivity in Hypervalent Iodine(III) Catalyzed Asymmetric Phenolic Dearomatizations. CCS Chem. 2024, 6, 2515–2528. [Google Scholar] [CrossRef]





















Disclaimer/Publisher’s Note: The statements, opinions and data contained in all publications are solely those of the individual author(s) and contributor(s) and not of MDPI and/or the editor(s). MDPI and/or the editor(s) disclaim responsibility for any injury to people or property resulting from any ideas, methods, instructions or products referred to in the content. |
© 2025 by the authors. Licensee MDPI, Basel, Switzerland. This article is an open access article distributed under the terms and conditions of the Creative Commons Attribution (CC BY) license (https://creativecommons.org/licenses/by/4.0/).
Share and Cite
Zheng, Y.; Liu, T.; Tai, J.; Ma, N. Recent Advances in Carbon-Based Catalysts for Heterogeneous Asymmetric Catalysis. Molecules 2025, 30, 2643. https://doi.org/10.3390/molecules30122643
Zheng Y, Liu T, Tai J, Ma N. Recent Advances in Carbon-Based Catalysts for Heterogeneous Asymmetric Catalysis. Molecules. 2025; 30(12):2643. https://doi.org/10.3390/molecules30122643
Chicago/Turabian StyleZheng, Yidan, Tianze Liu, Jingyou Tai, and Ning Ma. 2025. "Recent Advances in Carbon-Based Catalysts for Heterogeneous Asymmetric Catalysis" Molecules 30, no. 12: 2643. https://doi.org/10.3390/molecules30122643
APA StyleZheng, Y., Liu, T., Tai, J., & Ma, N. (2025). Recent Advances in Carbon-Based Catalysts for Heterogeneous Asymmetric Catalysis. Molecules, 30(12), 2643. https://doi.org/10.3390/molecules30122643

