On the Stability of Steroids upon Gamma and E-Beam Irradiation and the Protective Effect of Inert Conditions
Abstract
1. Introduction
2. Results and Discussion
2.1. Gamma and E-Beam Irradiation Under Non-Inert and Non-Dried Conditions
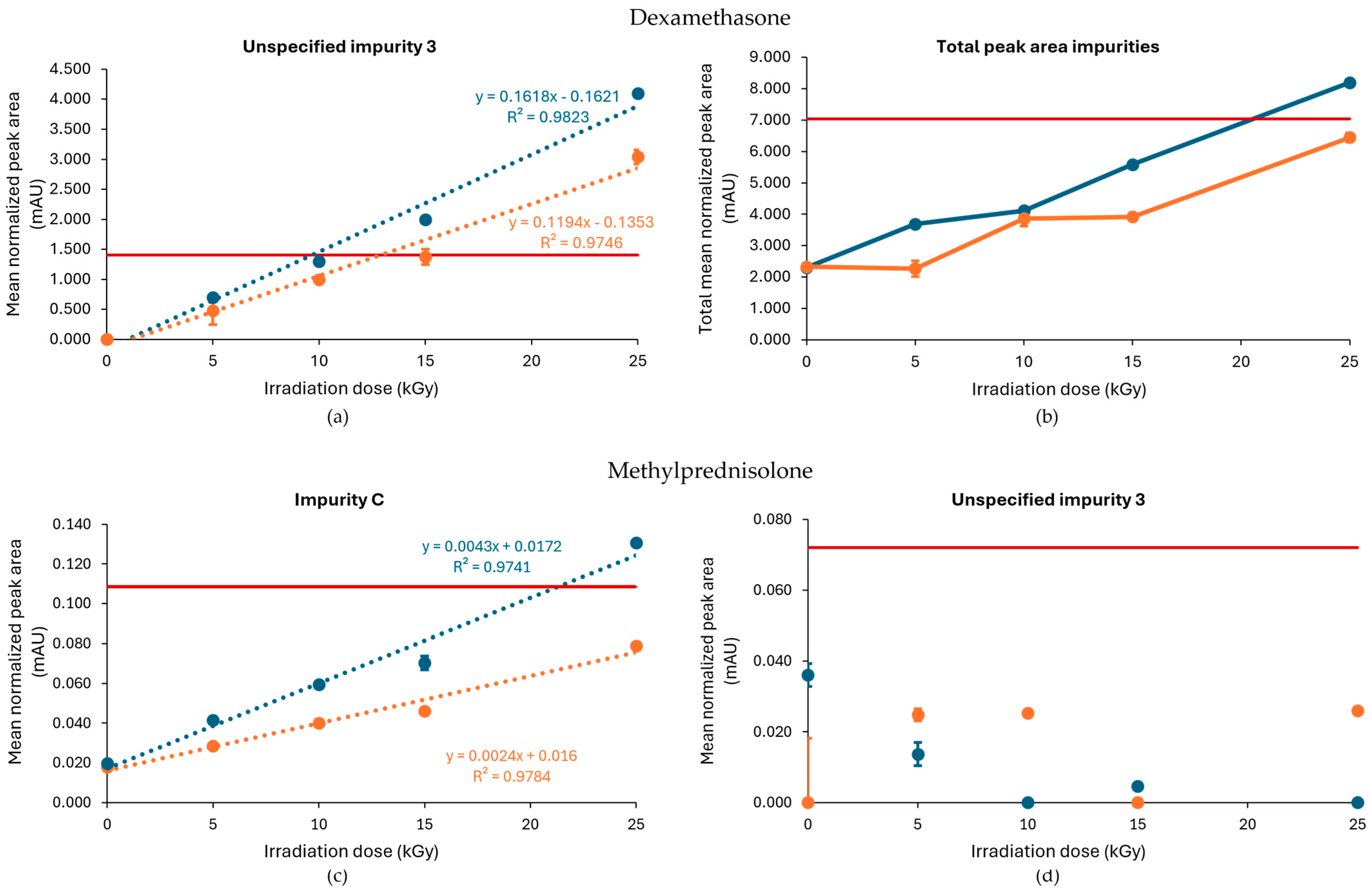
2.1.1. Dexamethasone
Related Substances
Relative Content
2.1.2. Methylprednisolone
Related Substances
Relative Content
2.1.3. Tetracycline Hydrochloride, Aciclovir, and Triamcinolone
Related Substances
Relative Content
2.2. Gamma and E-Beam Irradiation Under Inert Conditions
2.2.1. Dexamethasone
Related Substances
Relative Content
2.2.2. Methylprednisolone
Related Substances
Relative Content
2.3. Gamma and E-Beam Irradiation Under Dried Conditions
3. Materials and Methods
3.1. Active Pharmaceutical Ingredients
3.2. Chemicals
3.3. Sample Preparation for Irradiation Treatment
3.4. Storage and Transport
3.5. Irradiation Equipment, Process, and Conditions
3.6. Analytical Equipment
3.7. Assessment of Impurities and Relative Content by HPLC Analysis
3.8. Statistical Analysis
4. Conclusions
Author Contributions
Funding
Institutional Review Board Statement
Informed Consent Statement
Data Availability Statement
Conflicts of Interest
Abbreviations
| API | active pharmaceutical ingredient |
| AU | absorbance unit |
| Dmax,acc | maximum acceptable dose |
| E-beam | electron beam |
| EMA | European medicines agency |
| Gy | gray |
| HPLC | high-performance liquid chromatography |
| N | number of samples |
| Ph. Eur. | European Pharmacopoeia |
| RSD | relative standard deviation |
| SAL | sterility assurance level |
| UV/VIS | ultraviolet/visible light |
References
- European Commission. The Rules Governing Medicinal Products in the European Union Volume 4 EU Guidelines for Good Manufacturing Practice for Medicinal Products for Human and Veterinary Use; European Commission: Brussels, Belgium, 2022; Available online: https://health.ec.europa.eu/document/download/e05af55b-38e9-42bf-8495-194bbf0b9262_en?filename=20220825_gmp-an1_en_0.pdf (accessed on 11 February 2025).
- European Medicines Agency. Guideline on the Sterilisation of the Medicinal Product, Active Substance, Excipient and Primary Container; European Medicines Agency: Amsterdam, The Netherlands, 2019; Available online: https://www.ema.europa.eu/en/documents/scientific-guideline/guideline-sterilisation-medicinal-product-active-substance-excipient-and-primary-container_en.pdf (accessed on 11 February 2025).
- General Texts: 5.1.1. Methods of Preparation of Sterile Products. In European Pharmacopoeia 11.8; EDQM: Strasbourg, France, 2023.
- Jacobs, G.P. Irradiation of Pharmaceuticals: A Literature Review. Radiat. Phys. Chem. 2022, 190, 109795. [Google Scholar] [CrossRef]
- Kilińska, K.; Zalewski, P. Radiation Sterilization of Antibiotics in Solid State. Curr. Anal. Chem. 2021, 17, 1097–1103. [Google Scholar] [CrossRef]
- Kaczmarek, A.; Ogrodowczyk, M.; Gostyńska, A.; Jelińska, A. The Role of Pharmaceutical Analysis in Ensuring the Safety of Drug Radiation Sterilization. Acta Pol. Pharm.—Drug Res. 2023, 80, 219–233. [Google Scholar] [CrossRef]
- McKeen, L. Introduction to Food Irradiation and Medical Sterilization. In Plastics Design Library, The Effect of Sterilization on Plastics and Elastomers; McKeen, L., Ed.; William Andrew Publishing: Norwich, NY, USA, 2012; pp. 1–40. ISBN 978-1-4557-2598-4. [Google Scholar]
- Gamma Industry Processing Alliance; International Irradiation Association. A Comparison of Gamma, E-Beam, X-Ray and Ethylene Oxide Technologies for the Industrial Sterilization of Medical Devices and Healthcare Products. Available online: https://gipalliance.net/wp-content/uploads/2013/01/GIPA-WP-GIPA-iia-Sterilization-Modalities-FINAL-Version-2017-October-308772.pdf (accessed on 7 March 2025).
- Kane, M.P.; Tsuji, K. Radiolytic Degradation Scheme for 60Co-Irradiated Corticosteroids. J. Pharm. Sci. 1983, 72, 30–35. [Google Scholar] [CrossRef] [PubMed]
- Guo, Z.; Guo, A.; Guo, Q.; Rui, M.; Zhao, Y.; Zhang, H.; Zhu, S. Decomposition of Dexamethasone by Gamma Irradiation: Kinetics, Degradation Mechanisms and Impact on Algae Growth. Chem. Eng. J. 2017, 307, 722–728. [Google Scholar] [CrossRef]
- Khurshid, S.J.; Hussain, A.M. Radiation Sterilization of Pharmaceuticals. Specialist 1992, 8, 55–62. [Google Scholar]
- Boess, C.; Bögl, K.W. Influence of Radiation Treatment on Pharmaceuticals—A Review: Alkaloids, Morphine Derivatives, and Antibiotics. Drug Dev. Ind. Pharm. 1996, 22, 495–529. [Google Scholar] [CrossRef]
- Martínez-Sancho, C.; Herrero-Vanrell, R.; Negro, S. Study of Gamma-Irradiation Effects on Aciclovir Poly(d,l-Lactic-Co-Glycolic) Acid Microspheres for Intravitreal Administration. J. Control. Release 2004, 99, 41–52. [Google Scholar] [CrossRef] [PubMed]
- Van Cauwenbergh, T.; Theys, E.; Stroeykens, D.; Croonenborghs, B.; Gillet, A.; DeMent, A.; Van Schepdael, A.; Haghedooren, E. The Effect of Gamma and Ethylene Oxide Sterilization on a Selection of Active Pharmaceutical Ingredients for Ophthalmics. J. Pharm. Sci. 2022, 111, 2011–2017. [Google Scholar] [CrossRef] [PubMed]
- Marciniec, B.; Ogrodowczyk, M.; Dettlaff, K. Search for the Effect of E-Beam Irradiation on Some Steroids. Radiat. Phys. Chem. 2005, 72, 517–524. [Google Scholar] [CrossRef]
- Reinhardt, H.J.; Himmen, H.R. Inerting in the Chemical Industry; Hydrocarbon Processing: Houston, TX, USA, 2010. [Google Scholar]
- Monograph Dexamethasone. In European Pharmacopoeia, 11th ed.; EDQM: Strasbourg, France, 2023.
- Monograph Methylprednisolone. In European Pharmacopoeia, 11th ed.; EDQM: Strasbourg, France, 2023.
- Monograph Tetracycline Hydrochloride. In European Pharmacopoeia, 11th ed.; EDQM: Strasbourg, France, 2023.
- Abuhanoğlu, G.; Özer, A.Y. Radiation Effects on Pharmaceuticals. FABAD J. Pharm. Sci. 2010, 35, 203–217. [Google Scholar]
- Monograph Aciclovir. In European Pharmacopoeia, 11th ed.; EDQM: Strasbourg, France, 2023.
- Monograph Triamcinolone. In European Pharmacopoeia, 11th ed.; EDQM: Strasbourg, France, 2023.









| Dmax,acc (kGy) | Non-Inert | Inert | ||
|---|---|---|---|---|
| Without Dry Ice | With Dry Ice | Without Dry Ice | With Dry Ice | |
| Dexamethasone | ||||
| Gamma | 8 | 10 | 10 | 13 |
| E-beam | 9 | 9 | 10 | 15 |
| Methylprednisolone | ||||
| Gamma | NA | NA | 21 | 40 * |
| E-beam | 10 | 7 | 24 | 52 * |
| Without Dry Ice | With Dry Ice | |||||
|---|---|---|---|---|---|---|
| Samples | Relative Content (%) | RSD (%) | p-Value | Relative Content (%) | RSD (%) | p-Value |
| Dexamethasone (Gamma irradiation) | ||||||
| Non-processed | / | 0.6 | / | / | 1.6 | / |
| 5 kGy | 99.1 | 1.8 | 0.550 | 97.1 | 3.5 | 0.437 |
| 10 kGy | 100.2 | 1.1 | 0.676 | 98.9 | 0.4 | 0.473 |
| 15 kGy | 99.7 | 1.0 | 0.720 | 100.0 | 1.9 | 1.000 |
| 25 kGy | 101.6 | 0.6 | 0.042 * | 101.0 | 1.9 | 0.370 |
| Dexamethasone (E-beam irradiation) | ||||||
| Non-processed | / | 0.4 | / | / | 0.4 | / |
| 5 kGy | 102.9 | 0.6 | 0.029 * | 99.3 | 0.4 | 0.057 |
| 10 kGy | 101.7 | 0.9 | 0.029 * | 99.2 | 1.7 | 0.486 |
| 15 kGy | 100.7 | 0.7 | 0.114 | 98.7 | 0.5 | 0.029 * |
| 25 kGy | 99.8 | 0.6 | 0.686 | 99.2 | 0.5 | 0.114 |
| Methylprednisolone (Gamma irradiation) | ||||||
| The results on the content of methylprednisolone treated with gamma irradiation under non-inert and non-dried conditions are discussed in a previously published paper [14]. They found only a minor effect of the gamma irradiation on the relative content (98.6% to 100.5%). | ||||||
| Methylprednisolone (E-beam irradiation) | ||||||
| Non-processed | / | 0.3 | / | / | 0.3 | / |
| 5 kGy | 100.5 | 0.4 | 0.114 | 100.9 | 0.4 | 0.029 * |
| 10 kGy | 100.6 | 0.3 | 0.029 * | 100.2 | 0.2 | 0.486 |
| 15 kGy | 99.4 | 1.8 | 1.000 | 99.0 | 0.3 | 0.029 * |
| 25 kGy | 99.4 | 0.8 | 0.200 | / | / | / |
| Tetracycline Hydrochloride (Without Dry Ice) | ||||||||
| Related Substances Peak Area (mAU·min) | Non-Processed | 25 kGy | 35 kGy | 50 kGy | 60 kGy | Limits | ||
| 50 kGy | 2 × 25 kGy | 60 kGy | 2 × 30 kGy | |||||
| Impurity A (4-epitetracycline) | 3.52 | 3.98 | 3.71 | 4.52 | 6.18 | 3.52 | 5.25 | 7.37 3.0% |
| Impurity B (2-acetyl-2-decarbamoyltetracycline) | 1.56 | 1.49 | 1.51 | 1.50 | 1.49 | 1.52 | 1.47 | 3.68 1.5% |
| Impurity C (anhydrotetracycline) | 0.96 | 1.01 | 0.93 | 1.03 | 1.10 | 1.04 | 1.12 | 1.89 0.5% |
| Impurity D (4-epianhydrotetracycline) | 0.16 | 0.15 | 0.15 | 0.15 | 0.15 | 0.16 | 0.16 | 1.42 0.5% |
| Tetracycline hydrochloride (with dry ice) | ||||||||
| Related substances | Non-processed | 25 kGy | 35 kGy | 50 kGy | 60 kGy | Limits | ||
| 50 kGy | 2 × 25 kGy | 60 kGy | 2 × 30 kGy | |||||
| Impurity A (4-epitetracycline) | 4.66 | 2.95 | 3.48 | 3.20 | 4.06 | 2.79 | 5.04 | 7.37 3.0% |
| Impurity B (2-acetyl-2-decarbamoyltetracycline) | 1.51 | 1.52 | 1.46 | 1.51 | 1.42 | 1.50 | 1.42 | 3.68 1.5% |
| Impurity C (anhydrotetracycline) | 1.20 | 0.90 | 0.96 | 0.97 | 1.04 | 0.97 | 1.25 | 1.89 0.5% |
| Impurity D (4-epianhydrotetracycline) | 0.16 | 0.16 | 0.16 | 0.16 | 0.15 | 0.16 | 0.17 | 1.42 0.5% |
| Aciclovir (Without Dry Ice) | ||||||
| Related Substances Peak Area (mAU·min) | Non-Processed | 15 kGy | 25 kGy | 35 kGy | 50 kGy | |
| 50 kGy | 2 × 25 kGy | |||||
| Impurity B (guanine) | 0.49 | 0.56 | 0.60 | 0.62 | 0.65 | 0.66 |
| Limit impurity B (0.7%) | 4.05 | 3.86 | 4.01 | 3.92 | 3.99 | 3.78 |
| Impurity P (hydroxyethyl- guanine) | 0.05 * | 0.13 * | 0.15 * | 0.18 | 0.22 | 0.22 |
| Limit impurity P (0.15%) | 0.87 | 0.83 | 0.86 | 0.84 | 0.85 | 0.81 |
| Aciclovir (with dry ice) | ||||||
| Related substances | Non-processed | 15 kGy | 25 kGy | 35 kGy | 50 kGy | |
| 50 kGy | 2 × 25 kGy | |||||
| Impurity B (guanine) | 0.51 | 0.56 | 0.60 | 0.63 | 0.62 | 0.67 |
| Limit impurity B (0.7%) | 4.24 | 4.03 | 4.08 | 4.04 | 3.90 | 4.02 |
| Impurity P (hydroxyethyl- guanine) | 0.05 * | 0.10 * | 0.13 * | 0.17 * | 0.20 | 0.21 |
| Limit impurity P (0.15%) | 0.91 | 0.86 | 0.87 | 0.87 | 0.84 | 0.86 |
| Without Dry Ice | With Dry Ice | ||||||
|---|---|---|---|---|---|---|---|
| Samples | Relative Content (%) | RSD (%) | p-Value | Relative Content (%) | RSD (%) | p-Value | |
| Tetracycline hydrochloride | |||||||
| Non-processed | / | 0.2 | / | / | 0.4 | / | |
| 25 kGy | 99.3 | 1.1 | 0.492 | 100.5 | 1.0 | 0.519 | |
| 35 kGy | 101.1 | 1.4 | 0.367 | 99.6 | 0.6 | 0.465 | |
| 50 kGy | 50 kGy | 99.7 | 0.1 | 0.323 | 100.5 | 0.2 | 0.414 |
| 2 × 25 kGy | 99.4 | 1.4 | 0.229 | 97.7 | 2.0 | 0.094 | |
| 60 kGy | 60 kGy | 99.8 | 0.1 | 0.864 | 101.5 | 0.3 | 0.071 |
| 2 × 30 kGy | 99.5 | 0.9 | 0.576 | 98.8 | 0.3 | 0.078 | |
| Aciclovir | |||||||
| Non-processed | / | 0.9 | / | / | 0.9 | / | |
| 15 kGy | 99.5 | 0.7 | 0.617 | 101.4 | 0.9 | 0.317 | |
| 25 kGy | 102.6 | 0.5 | 0.016 * | 102.4 | 1.8 | 0.147 | |
| 35 kGy | 100.6 | 0.6 | 0.516 | 99.2 | 0.6 | 0.294 | |
| 50 kGy | 50 kGy | 99.5 | 3.3 | 0.617 | 98.6 | 2.5 | 0.453 |
| 2 × 25 kGy | 101.8 | 0.8 | 0.080 | 100.5 | 1.7 | 0.803 | |
| Triamcinolone | |||||||
| Non-processed | / | 0.3 | / | / | / | / | |
| 25 kGy | 100.3 | 0.6 | 0.346 | / | / | / | |
| 35 kGy | 98.4 | 1.3 | 0.051 | 98.1 | / | / | |
| 50 kGy | 50 kGy | 100.0 | 0.3 | 0.889 | 99.4 | / | / |
| 2 × 25 kGy | 98.6 | 0.4 | 0.002 * | 95.9 | / | / | |
| 60 kGy | 60 kGy | 100.1 | 0.5 | 0.728 | 98.8 | / | / |
| 2 × 30 kGy | 99.6 | 0.6 | 0.227 | 97.7 | / | / | |
| Without Dry Ice | With Dry Ice | |||||
|---|---|---|---|---|---|---|
| Samples | Relative Content (%) | RSD (%) | p-Value | Relative Content (%) | RSD (%) | p-Value |
| Dexamethasone (Gamma irradiation) | ||||||
| Non-processed | / | 1.0 | / | / | 0.9 | / |
| 5 kGy | 98.4 | 1.0 | 0.232 | 97.5 | 0.1 | 0.027 * |
| 10 kGy | 102.4 | 0.4 | 0.107 | 98.7 | 1.7 | 0.120 |
| 15 kGy | 99.0 | 2.0 | 0.511 | 97.4 | 0.4 | 0.014 * |
| 25 kGy | 101.8 | 1.6 | 0.256 | 99.7 | 1.9 | 0.952 |
| Dexamethasone (E-beam irradiation) | ||||||
| Non-processed | / | / | / | 1.7 | / | |
| 5 kGy | 101.8 | 2.2 | 0.248 | 102.0 | 1.1 | 0.248 |
| 10 kGy | 103.6 | 0.6 | 0.021 * | 103.7 | 0.5 | 0.021 * |
| 15 kGy | 97.9 | 0.2 | 0.021 * | 101.0 | 1.1 | 0.248 |
| 25 kGy | 98.2 | 1.2 | 0.248 | 99.3 | 1.0 | 0.564 |
| Methylprednisolone (Gamma irradiation) | ||||||
| Non-processed | / | 1.3 | / | / | 0.6 | / |
| 5 kGy | 98.2 | 1.5 | 0.248 | 108.0 | 1.2 | 0.021 * |
| 10 kGy | 103.1 | 2.2 | 0.043 * | 101.8 | 0.4 | 0.021 * |
| 15 kGy | 95.3 | 0.4 | 0.021 * | 104.1 | 0.8 | 0.021 * |
| 25 kGy | 98.5 | 0.8 | 0.083 | 103.8 | 0.7 | 0.021 * |
| Methylprednisolone (E-beam irradiation) | ||||||
| Non-processed | / | 0.9 | / | / | 0.1 | / |
| 5 kGy | 93.2 | 0.6 | 0.021 * | 102.5 | 0.8 | 0.021 * |
| 10 kGy | 96.3 | 1.7 | 0.021 * | 104.8 | 0.4 | 0.021 * |
| 15 kGy | 99.1 | 1.7 | 0.386 | 106.0 | 0.8 | 0.021 * |
| 25 kGy | 93.6 | 0.4 | 0.021 * | 101.2 | 0.8 | 0.043 * |
| Impurities After Irradiation | Without Dry Ice | With Dry Ice |
|---|---|---|
| Dexamethasone (Gamma irradiation under dry conditions) | ||
| Impurity J | >0.15% | <0.15% |
| Unspecified impurity 3 | >0.10% | >0.10% |
| Dexamethasone (E-beam irradiation under dry conditions) | ||
| Impurity J | >0.15% | >0.15% |
| Unspecified impurity 3 | >0.10% | >0.10% |
| Methylprednisolone (Gamma irradiation under dry conditions) | ||
| Unspecified impurity 1 | >0.10% | >0.10% |
| Unspecified impurity 3 | <0.10% | >0.10% |
| Impurity C | >0.15% | >0.15% |
| Methylprednisolone (E-beam irradiation under dry conditions) | ||
| Unspecified impurity 1 | >0.10% | >0.10% |
| Unspecified impurity 3 | <0.10% | >0.10% |
| Impurity C | >0.15% | >0.15% |
| Gamma irradiation | |
| Dexamethasone | 5, 10, 15, and 25 kGy |
| Methylprednisolone | 5, 10, 15, and 25 kGy |
| E-beam irradiation | |
| Dexamethasone | 5, 10, 15, and 25 kGy |
| Methylprednisolone | 5, 10, 15, and 25 kGy |
| Tetracycline hydrochloride | 25, 35, 50, and 60 kGy |
| Aciclovir | 15, 25, 35, and 50 kGy |
| Triamcinolone | 25, 35, 50, and 60 kGy |
| Dexamethasone | Methylprednisolone | Tetracycline Hydrochloride | Aciclovir | Triamcinolone | |
|---|---|---|---|---|---|
| Column brand | For all conditions Symmetry column (4.6 × 150 mm, 5 µm particle size) from Waters (Milford, MA, USA) | For all conditions Inertsil ODS-3 end-capped C18 column (4.6 × 150 mm, 3 µm particle size) from GL Sciences (Tokyo, Japan) | For all conditions PLRP-S 100 Å (4.6 × 250 mm, 5 µm) from Agilent Technologies (Santa Clara, CA, USA) | For all conditions Supelcosil end-capped C18 column (4.6 × 250 mm, 5 µm particle size) from Supelco (Bellefonte, PA, USA) | For all conditions Alltima AQ C18 column (4.6 × 250 mm; 5 µm particle size) from Alltech (Kildare, Ireland) |
| Column heater | E-beam (non-inert and non-dried conditions) SC100 heating immersion circulator, S21P water bath from Thermo Fisher Scientific (Waltham, MA, USA) Gamma (inert and dried conditions) heated bath circulator type ED from Julabo Labortechnik GmbH E-beam (inert and dried conditions) heated bath circulator type ED from Julabo Labortechnik GmbH | For all conditions heated bath circulator type ED from Julabo Labortechnik GmbH (Seelbach, Germany) | For all conditions heated bath circulator type ED from Julabo Labortechnik GmbH | / | / |
| HPLC pump | E-beam (non-inert and non-dried conditions) Dionex P680 pump (Sunnyvale, CA, USA) Gamma (inert and dried conditions) Hitachi LaChrom Elite HPLC L-2130 pump (Tokyo, Japan) E-beam (inert and dried conditions) Merck Hitachi HPLC L-6200 Intelligent Pump (Darmstadt, Germany) | E-beam (non-inert and non-dried conditions) Hitachi LaChrom Elite HPLC L-2130 pump Gamma and E-beam (inert and dried conditions) Merck Hitachi HPLC L-6200 Intelligent Pump | For all conditions Merck Hitachi HPLC L-6200 Intelligent Pump | For all conditions Hitachi LaChrom Elite HPLC L-2130 pump | For all conditions Merck Hitachi HPLC L-6200 Intelligent Pump |
| HPLC autosampler | E-beam (non-inert and non-dried conditions) Dionex ASI-100 Gamma (inert and dried conditions) Hitachi L-2200 autosampler E-beam (inert and dried conditions) Thermo Finnigan Surveyor Autosampler Plus from Thermo Fisher Scientific (Waltham, MA, USA) | E-beam (non-inert and non-dried conditions) Hitachi L-2200 autosampler Gamma and E-beam (inert and dried conditions) Thermo Finnigan Surveyor Autosampler Plus from Thermo Fisher Scientific | For all conditions Thermo Finnigan Surveyor Autosampler Plus from Thermo Fisher Scientific | For all conditions Hitachi L-2200 autosampler | For all conditions Thermo Finnigan Surveyor Autosampler Plus from Thermo Fisher Scientific |
| HPLC UV-detector | E-beam (non-inert and non-dried conditions) Dionex UVD170U Gamma (inert and dried conditions) Hitachi L-2400 UV-detector E-beam (inert and dried conditions) Merck Hitachi L-4000 UV detector | E-beam (non-inert and non-dried conditions) Hitachi L-2400 UV-detector Gamma and E-beam (inert and dried conditions) Merck Hitachi L-4000 UV detector | For all conditions Merck Hitachi L-4000 UV detector | For all conditions Hitachi L-2400 UV-detector | For all conditions Merck Hitachi L-4000 UV detector |
| Dexamethasone | Methylprednisolone | Tetracycline Hydrochloride | Aciclovir | Triamcinolone | |
| Column type | End-capped C18 4.6 × 150 mm, 5 µm | End-capped C18 4.6 × 150 mm, 3 µm | PLRP-S 100 Å 4.6 × 250 mm, 5 µm | End-capped C18 4.6 × 250 mm, 5 µm | Base-deactivated end-capped C18 4.6 × 250 mm, 5 µm |
| Column temperature | 45 °C | 45 °C | 60 °C | Room temperature | Room temperature |
| Mobile phase | A 25% ACN B 95% ACN | A H3PO4-THF-ACN-H2O (0.1:1.5:10:90 V/V/V/V) B H3PO4-THF-ACN-H2O (0.1:1.5:95:5 V/V/V/V) | (1) 80.0 g 2-methyl-2-propanol R (2) 200 mL water R (3) 100 mL of a 35 g/L solution of dipotassium hydrogen phosphate R (pH 9.0) (4) 200 mL of a 10 g/L solution of tetrabutylammonium hydrogen sulfate R (pH 9.0) (5) 10 mL of a 40 g/L solution of sodium edetate R (pH 9.0) (6) dilute to 1000.0 mL with water R | A ACN-phosphate buffer solution pH 3.1 (1:99 V/V) B ACN-phosphate buffer solution pH 2.5 (50:50 V/V) | Methanol–water (52.5:47.5 V/V) |
| Flow rate | 1.2 mL/min | 1.5 mL/min | 1.0 mL/min | 1.0 mL/min | 1.0 mL/min |
| Run time | Gamma (inert conditions) 55 min E-beam (normal, inert, and dried conditions) 60 min | E-beam (non-inert and non-dried conditions) 45 min Gamma and E-beam (inert and dried conditions) 40 min | 50 min | 50 min | 45 min |
| Detection wavelength | 254 nm | 247 nm | 254 nm | 254 nm | 238 nm |
| Injection volume | 20 µL | 10 µL | 20 µL | 10 µL | 20 µL |
| Autosampler temperature | Room temperature | Room temperature | 6 °C | Room temperature | 6 °C |
| E-Beam Irradiation Under Non-Inert and Non-Dried Conditions | ||||||||
| Aciclovir | Methylprednisolone | Dexamethasone | ||||||
| Time (min) | A | B | Time (min) | A | B | Time (min) | A | B |
| 0 | 100 | 0 | 0 | 83 | 17 | 0 | 100 | 0 |
| 5 | 100 | 0 | 14 | 83 | 17 | 15 | 100 | 0 |
| 27 | 70 | 30 | 30 | 52 | 48 | 40 | 0 | 100 |
| 40 | 70 | 30 | 35 | 83 | 17 | 45 | 100 | 0 |
| 45 | 100 | 0 | 45 | 83 | 17 | 60 | 100 | 0 |
| 50 | 100 | 0 | ||||||
| Gamma or E-beam irradiation under inert and dried conditions | E-beam irradiation under normal, inert, and dried conditions | Gamma irradiation under inert conditions | ||||||
| Methylprednisolone | Dexamethasone | Dexamethasone | ||||||
| Time (min) | A | B | Time (min) | A | B | Time (min) | A | B |
| 0 | 81 | 19 | 0 | 100 | 0 | 0 | 100 | 0 |
| 13 | 81 | 19 | 15 | 100 | 0 | 15 | 100 | 0 |
| 20 | 44 | 56 | 45 | 0 | 100 | 40 | 0 | 100 |
| 40 | 81 | 19 | 50 | 100 | 0 | 45 | 100 | 0 |
| 60 | 100 | 0 | 55 | 100 | 0 | |||
Disclaimer/Publisher’s Note: The statements, opinions and data contained in all publications are solely those of the individual author(s) and contributor(s) and not of MDPI and/or the editor(s). MDPI and/or the editor(s) disclaim responsibility for any injury to people or property resulting from any ideas, methods, instructions or products referred to in the content. |
© 2025 by the authors. Licensee MDPI, Basel, Switzerland. This article is an open access article distributed under the terms and conditions of the Creative Commons Attribution (CC BY) license (https://creativecommons.org/licenses/by/4.0/).
Share and Cite
Speleers, Q.; Meyers, A.; Rashid, H.; Dubbelboer, Y.; Vanneste, E.; Croonenborghs, B.; Gillet, A.; DeMent, A.; Van Schepdael, A.; Haghedooren, E. On the Stability of Steroids upon Gamma and E-Beam Irradiation and the Protective Effect of Inert Conditions. Molecules 2025, 30, 2605. https://doi.org/10.3390/molecules30122605
Speleers Q, Meyers A, Rashid H, Dubbelboer Y, Vanneste E, Croonenborghs B, Gillet A, DeMent A, Van Schepdael A, Haghedooren E. On the Stability of Steroids upon Gamma and E-Beam Irradiation and the Protective Effect of Inert Conditions. Molecules. 2025; 30(12):2605. https://doi.org/10.3390/molecules30122605
Chicago/Turabian StyleSpeleers, Quinten, Anke Meyers, Homaira Rashid, Yannick Dubbelboer, Elias Vanneste, Bart Croonenborghs, Annick Gillet, Aaron DeMent, Ann Van Schepdael, and Erik Haghedooren. 2025. "On the Stability of Steroids upon Gamma and E-Beam Irradiation and the Protective Effect of Inert Conditions" Molecules 30, no. 12: 2605. https://doi.org/10.3390/molecules30122605
APA StyleSpeleers, Q., Meyers, A., Rashid, H., Dubbelboer, Y., Vanneste, E., Croonenborghs, B., Gillet, A., DeMent, A., Van Schepdael, A., & Haghedooren, E. (2025). On the Stability of Steroids upon Gamma and E-Beam Irradiation and the Protective Effect of Inert Conditions. Molecules, 30(12), 2605. https://doi.org/10.3390/molecules30122605

