Abstract
Galaxamide, an N-methylated cyclo-pentapeptide containing five D-leucines isolated from Galaxaura filamentosa, has shown significant antitumor activity. This unique cyclo-pentapeptide offered a fresh skeleton for structural modifications. Herein, galaxamide and its 23 analogs (Gala01~Gala24) were designed and synthesized by substituting D-leucine with various proteinogenic amino acids or altering the amino acid configuration using the “3 + 2” strategy, and the in vitro antitumor activity of these cyclopeptides was studied utilizing the CCK-8 assay against two human tumor cell lines (A549 and K562) and one human normal cell line (293T). The total yields of galaxamide and its analogs reached 9.7% and 9.1–16.0%, respectively. CCK-8 assays demonstrated that these compounds showed broad-spectrum antitumor activity, with Gala04 exhibiting outstanding activity against K562 cells (IC50 = 4.2 µM). The anticancer efficacy of galaxamide analogs against tumor cell lines was significantly influenced by the quantity of D-leucines and the D-leucine position.
1. Introduction
The range of potency, specificity, and safety of the peptide chain strengthened by cyclization has shown the essential properties of cyclic peptides since insulin first began to be utilized in the clinic about a century ago [1]. Two thirds of the 460 peptides that have received FDA and EMA approval are in the cyclic form and are significant players in the contemporary pharmaceutical market [2]. The peptide chain becomes more conformationally stable due to the constraint imposed by cyclization, increasing the target protein binding affinity and lowering nonspecific binding because there are fewer possible configurations [3]. Reduced conformational flexibility reduces the possibility of molecules fitting into the protease catalytic site and improves proteome resistance [4]. By creating a bigger contact surface for interfering protein–protein interactions, cyclization also improves the effectiveness of peptide chains [5]. All things considered, peptide chain cyclization results in cyclic peptides that are fundamentally distinct from linear peptides [6].
It has been discovered that N-methylation significantly improves therapeutic efficiency and receptor selectivity while providing bioactive peptides with metabolic stability [7]. By decreasing the quantity of hydrogen-bond donors and inhibiting the creation of both intramolecular and intermolecular hydrogen bonds, N-methylation increases the hydrophobicity of peptides [8]. Furthermore, N-methylation promotes the creation of cis-peptide bonds; this not only impacts the structural properties of the antecedent and subsequent residue but also affects cyclic peptides’ backbone conformation [9]. Multiple N-methylations alter the structure of cyclic peptides in a regular pattern. The steric interactions between the inserted N-methyl group and the carbonyl oxygen and/or the α-substitution of the constituent amino acids determine the conformation of cyclic peptides, rather than the side chain’s function. This makes it possible to create peptides with stiff structures that, through altering their amino acid composition, have distinct functions [10].
Cancer is an atypical proliferation of cells and tissues that impacts individuals across all age groups, and the dangers connected with it may escalate as patients age. More than 277 kinds of cancer have been found and diagnosed to date, with the most common ones being bladder, prostate, lung, colon, rectum, bronchus, and lung cancers [11]. The vast majority of anticancer medications on the market are natural products, or mimics of natural products. In 2008, a unique cytotoxic cyclic pentapeptide known as galaxamide was discovered from a marine algae, Galaxaura filamentosa, that was collected from Xisha Island in the South China Sea [12]. According to the comparison of the structure and NMR data of galaxamide in [12], galaxamide is made up of five D-leucines, two of which are N-methylated, which is defined as cyclo-(D-Leu-D-N-Me-Leu-D-Leu-D-Leu -D-N-Me-Leu-D-Leu) (Figure 1). N-methylated amino acid was found to be an essential element providing cyclopeptides their anticancer potential [13]. Galaxamide demonstrated remarkable half-maximal inhibitory concentration (IC50) values of 4.26 and 4.63 µg/mL, respectively, against human renal cell carcinoma GRC-1 and human hepatocellular carcinoma Hep G2 cell lines, also demonstrating substantial in vitro antiproliferative properties. Furthermore, our data demonstrated that galaxamide could induce cell apoptosis through a mitochondria-mediated apoptosis pathway [14]. By substituting D-leucine with other amino acids or altering the D-leucine configuration, the galaxamide analogs were created [15]. A better understanding of the structure–activity relationship for galaxamide is urgently required to investigate its promising anticancer potential, as well for the structure-based design of new anticancer drugs.
Figure 1.
Structure of galaxamide and galaxamide analogs.
Here, galaxamide and its analogs were designed and synthesized by substituting D-leucine with various natural amino acids and altering the amino acid configuration at five positions (Figure 1, Gala01~Gala24). The in vitro antitumor activities were investigated utilizing the CCK-8 assay against two human tumor cell lines, A549 and K562, and one human normal cell line (293T). Gala04 was found to have the most superior antitumor activity against K562 (IC50 = 4.188 µM), compared with the activity of the normal cell line 293T (IC50 = 16.3 µM), and is worthy of further development.
2. Results and Discussion
2.1. Chemistry
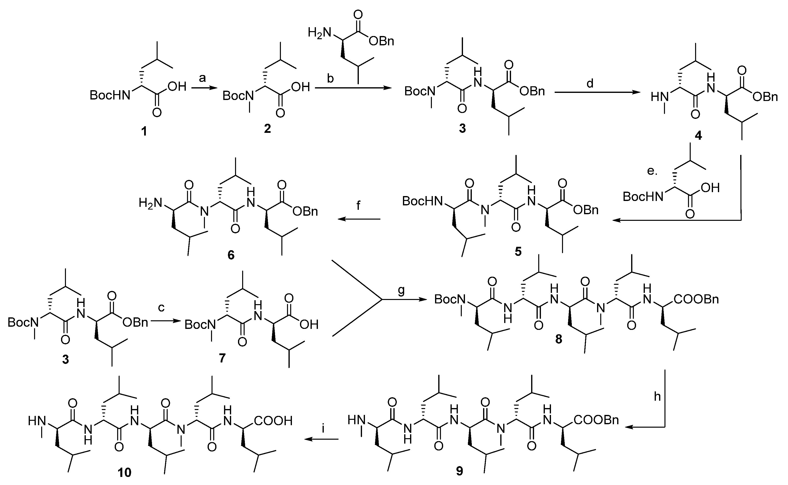
The “3 + 2” synthesis strategy divides the synthesis of cyclic pentapeptide into two fragments. One is a fragment containing three amino acids, and the other is a fragment containing two amino acids. Then, these two fragments are connected by chemical methods, and finally, a pentapeptide chain is formed. This method can improve the synthesis efficiency and the purity of the product. First of all, the traditional “3 + 2” strategy was used in the current effort to design and synthesize galaxamide. As showed in Scheme 1, readily accessible N-Boc-D-Leu-OH 1 was the starting material of our synthesis. It reacted with CH3I/NaH in THF to produce N-Boc-Me-D-Leu-OH 2 (90% yield). Dipeptide 3 was obtained via the condensation reaction of N-Boc-Me-D-Leu-OH and D-Leu-OBn·TosOH (85% yield). The condensation reagent utilized in this reaction was 1-(3-dimethylaminopropyl)-3-ethylcarbodiimide hydrochloride (EDCI), 1-hydroxybenzotriazole (HOBt), and N,N-diisopropylethylamine (DIPEA). The N-terminal Boc group was removed using trifluoroacetic acid (TFA) from dipeptide 3 to obtain the deprotected dipeptide 4 (90% yield). Tripeptide 5 was then synthesized by coupling of deprotected dipeptide 4 with N-Boc-D-Leu-OH 1 (85% yield). Subsequent removal of the N-terminal Boc group of 5 with TFA yielded the deprotected tripeptide 6 (90% yield). Deprotective dipeptide 7 was achieved by the removal of the C-terminal Bn group from dipeptide 3 through hydrogenation with Pd/C (90% yield). Then, N-terminal-Boc-protected dipeptide 7 and C-terminal-Bn-protected tripeptide 6 were condensation-reacted to produce the linear pentapeptide 8 (85% yield). The dried, unpurified free amine/free acid linear pentapeptide 10 was obtained from pentapeptide 8 (81% yield) by hydrogen deprotection of the Bn group with Pd/C and TFA removal of the Boc group, respectively. Scheme 1 displays the detailed general chemical synthesis of the precursor of galaxamide pentapeptide 10.
Scheme 1.
Synthesis of the precursor of galaxamide pentapeptide 10 a. Reagents and conditions: a, NaH, CH3I, THF, 0 °C, 12 h, 90%; b, EDCI, HOBt, DIPEA, DCM, 25 °C, 3 h, 85%; c, H2, 10% Pd/C, EtOH, 25 °C, 6 h, 90%; d, TFA, DCM, 0 °C, 3 h, 90%; e, EDCI, HOBt, DIPEA, DCM, 25 °C, 3 h, 85%; f, TFA, DCM, 0 °C, 3 h, 90%; g, EDCI, HOBt, DIPEA, DCM, 25 °C, 3 h, 85%; h, TFA, DCM 0 °C, 3 h, 90%; i, H2, 10% Pd/C, EtOH, 25 °C, 6 h, 90%.
A crucial step for the synthesis of galaxamide is macrolactamization. A preliminary analysis of peptide coupling agents for the production of galaxamide was carried out by the macrolactamization of 10 (Table 1). Both (2-(1H-benzotriazol-1-yl)-1,1,3,3-tetramethyluronium hexafluorop phosphat (HATU) and propanephosphonic acid anhydride (T3P) demonstrated poor conversion of the reaction (entries 1 and 2). It is interesting to note that using diphenylphosphoryl azide (DPPA) and pentafluorophenyl diphenylphosphinate (FDPP) yielded an incredibly clean profile for macrocycle galaxamide, leading to macrolactamization product in moderate yield (entry 4 and 5). Benzotriazol-1-yl-oxytripyrrolidino-phosphonium hexafluorophosphate (PyBOP) (entry 3) primarily yielded the expected product galaxamide. Additional reaction dilution reduced the generation of dimers. Galaxamide was produced in 50% yield when the reaction was carried out at a lower concentration (0.005 vs. 0.1 M) treatment with PyBOP and DMAP in CH3CN at room temperature. Moreover, a high dilution environment was simulated by slowly dosing 10 over 4 h, which prevented the production of dimers and allowed for the use of a more realistic reaction concentration of 0.1 M. Finally, silica gel column flash chromatography was used to separate and purify the final macrolactamization natural product galaxamide (Gala01).
Table 1.
Optimization of macrolactamization conditions a.
With the optimized synthetic process of galaxamide (Gala01), 23 galaxamide analogs (Gala02~Gala24) were designed and synthesized (Figure 1). On the one hand, compared to natural galaxamide, galaxamide analogs containing L-leucine might show greater suppression of cancer cells. A greater quantity of L-leucine incorporated in galaxamide would lead to improved anticancer activity. On the other hand, introduction of other natural amino acids to galaxamide by substituting for one of the leucine might have good effects on their antitumor activities. Using the similar “3 + 2” strategy and following the same procedures, various accessible natural amino acids were replaced in the different positions of galaxamide.
Two generations of galaxamide derivatives have been designed and synthesized, where the first generation primarily involved changing D-leucine to L-leucine and varying the D-leucine position and quantity (Gala02~Gala08, Figure 2), and the second generation substituted one of the leucine with other natural amino acids (Gala09~Gala26, Figure 3), including D-Proline, D-Phenylalanine, Glycine, D-Alanine, O-Methyl-D-Serine, O-Methyl-D-tyrosine, Methyl ester-D-Aspartic acid, 3-Fluoro-D-Phenylalanine, 2-Methyl-D-Phenylalanine, 4-Chloro-D-Phenylalanine, 4-Bromo-D-Phenylalanine, D-Cyclohexyl-Glycine, D-Phenyl-Glycine, D-Valine, D-Methionine, 3-Methyl-D-Phenylalanine, and 4-Methyl-D-Phenylalanine. All these analogs were synthesized with good total yields (9.1–16.0%), which is shown in detail in Figure 2 and Figure 3.
Figure 2.
The first generation of galaxamide derivatives a.a Total yield of all steps.

Figure 3.
The second generation of galaxamide derivatives a.a Total yield of all steps.
2.2. In Vitro Activity of Galaxamide and Its Analogs
Since the antitumor activity of natural galaxamide is good, we are interested in the antitumor potential of the obtained new analogs. To examine the anticancer activities of galaxamide and its analogs, two different human cancer cell lines, human non-small-cell lung cancer cells (A549) and human chronic myelogenous leukemia (K562), and one normal human cell line, human immortal embryonic kidney cells (293T), were selected for the in vitro cell models. IC50 values of galaxamide and its analogs on the three cell lines are shown in Table 2. In order to have a reference of the potency of the activity of the compounds studied, the results of the activity tests against (−)-β-elemene with recognized activity and/or used as a drug against the cell lines studied are usually added in Table 2. To our surprise, the results showed that multiple compounds had better anticancer activity than (−)-β-elemene, which was consistent with our original assumptions and proved the practicality of our developed method [16]. The synthetic galaxamide (Gala01) was also tested as the standard. The results showed that, for cancer cell A549, IC50 values of Gala01 (standard), Gala04, Gala08, Gala11, Gala12, Gala18, and Gala22 were all less than 20 µM, indicating that these cyclopeptides have superior anticancer activity than other analogs. For cancer cell K562, IC50 values of Gala02, Gala04, Gala05, Gala08, Gala15, Gala22, Gala23, and Gala24 were from 4.2 µM to 16.8 µM, implying that these analogs have better anticancer activity than other ones. For the normal cell 293T, most of the analogs showed no inhibiting effect as their IC50 was much higher. Furthermore, among these compounds, Gala04 was found to have the most superior activity against K562 (IC50 = 4.2 µM), compared with the activity of the normal cell line 293T (IC50 = 16.3 µM). It was also found that Gala04 has the best selectivity and highest safety and is thus worthy of further development for anticancer drugs for K562.
Table 2.
Activity of galaxamide and its analogs a.
Surprisingly, the anticancer efficacy of galaxamide analogs against tumor cell lines was significantly influenced by the quantity of D-leucines. With IC50 values of 14.0 µM, Gala01 demonstrated noteworthy anticancer activity against the A549 cell line. Meanwhile, the IC50 values of Gala03 to Gala07 were >20.0, 19.0, >20.0, >20.0, and >20.0 μM, respectively. Compared to the other analogs, Gala01 was more potent, indicating that compounds containing five D-amino acids have superior activity to analogs containing fewer D-amino acids than Gala03~Gala07. Furthermore, the anticancer efficacy of the analogs was significantly impacted by changing the D-leucine position. The best analog for preventing the proliferation of all cancer cells is Gala04, which has the D-leucine at position 1, 2, and 4. Its IC50 values are almost half that of Gala01, with 4.2 μM against K562 cell line. Gala02, which has a D-amino acid at position 1, exhibited a strong inhibitory impact against K562, with an IC50 value of 8.6 μM, in addition to Gala04. The reason behind this could be that a more stable and confined cyclic structure of galaxamide was attained when the D-amino acid was positioned at positions 1, 2, and 4. Gala04 showed the most stable cyclic configuration with the lowest energy and the most active amino acid residues for targeting cancer cells. Gala05 showed lower antitumor efficacy with D-amino acid in positions 3 and 5. Specifically, Gala04 showed twice as much anticancer potential as Gala05 on the K562 cell line with IC50 values of 10.2 μM, respectively. Gala06 (D-amino acid at positions 1, 3, and 5) showed a slightly altered antitumor efficacy compared to Gala04 against K562 with IC50 values of 28.8 μM. Since Gala05 and Gala06 showed less anticancer impact on the examined cancer cells, the restricted structure of the galaxamide analog might be partially broken when the D-amino acid was positioned at positions 3 and 5. Gala18 contains a bromine (-Br) group at the p-position of the benzyl ring and showed a value of 15.5 μM against the A549 cell line. Overall, the compounds with good anticancer activity mostly contain the bromine (-Br) group at the p-position of the benzyl ring, which is one spot worth paying attention to.
3. Materials and Methods
Commercially available reagents (TCI, Zwijndrecht, Belgium; InnoChem, LAAJOO, Beijing, China; Sigma-Aldrich, Steinheim, Germany) were used without further purification. If necessary, the reaction was carried out under nitrogen or argon atmosphere and dry solvents. All air-sensitive procedures were conducted in a nitrogen-filled glovebox or by Schlenk techniques under nitrogen. Column chromatography was carried out on 200–300 mesh silica gel using pressurized air. 1H NMR spectra and 13C NMR spectra were measured on Bruker DRX 500 and Bruker DRX 600 instruments (Bruker, Billerica, MA, USA). Chemical shifts δ are reported in parts per million (ppm) and relative to the undeuterated solvent residual signals of CDCl3 (1H: δ = 7.26 ppm; 13C: δ = 7.16 ppm) and DMSO-d6 (1H: δ = 2.5 ppm; 13C: δ = 39.5 ppm). Coupling constants J are given in Hertz (Hz) and refer to H–H-coupling. Multiplicities are designated as follows: s = singlet, d = doublet, t = triplet, q = quartet, and dd = doublet of doublet. When the multiplicity could not be identified, the chemical shift range of the signal was given (m = multiplet). HPLC analyses and purifications were performed on a Thermo Fisher LC system (Thermo Fisher Scientific, Waltham, MA, USA) with UV/Vis detector using CHIRALCEL columns. HRMS was performed on a XEVO G2-XS QTOF instrument (Waters Corporation, Milford, MA, USA).
3.1. Chemical Synthesis
3.1.1. Synthesis of 2
NaH (60% dispersion in mineral oil, 137.5 mmol, 3.5 equiv) was added in parts at 0 °C to a solution of L(D)-Leu (38.9 mmol, 1.0 equiv) in THF (0.5 M). Subsequently, CH3I (177.3 mmol, 4.5 equiv) was added after 30 min of stirring at 0 °C. Before being quenched with 50 mL of H2O, the reaction was agitated for 30 min at 0 °C and for an additional 4 h at room temperature. EtOAc was used to extract the mixture. After that, the aqueous solution was acidified to pH 5 with 1N HCl solution and extracted using EtOAc. Following a wash with brine, the mixed EtOAc extracts were dried over Na2SO4, filtered, and evaporated to produce 2 as a colorless oil [17]. The extra peaks are generated because the nitrogen atom in these compounds is bonded to three different groups; C–N bond rotation leads to the emergence of rotamers and consequent splitting in the NMR spectra, as referenced in the literature [18].
- N-Boc-Me-L-Leu-OH 2a. The 1a was synthesized according to the method of 2 from L-Leu (9.0 g, 38.9 mmol, 1.0 equiv), CH3I (25 g, 177.3 mmol, 4.5 equiv), and NaH (60% dispersion in mineral oil, 5.5 g, 137.5 mmol, 3.5 equiv). Following a wash with brine, the mixed EtOAc extracts were dried over Na2SO4, filtered, and evaporated to produce 2a (9.0 g, 36.7 mmol, 94% yield) as a white solid. [α]25D = −36.2 (c = 1.0, CHCl3). m.p. 55–56 °C. 1H NMR (600 MHz, CDCl3) δ 4.83 (t, J = 7.9 Hz, 1H, major), 4.71–4.52 (m, 1H, minor), 2.85 (s, 3H, major), 2.82 (s, 3H, minor), 1.75 (t, J = 7.8 Hz, 2H), 1.66–1.56 (m, 1H), 1.49 (s, 9H, major), 1.48 (s, 9H, minor), 0.97 (dd, J = 10.8, 6.6 Hz, 6H). 13C NMR (151 MHz, CDCl3) δ 178.0, 156.6 (major), 155.7 (minor), 57.0 (major), 56.2 (minor), 37.8 (major), 37.3 (minor), 30.7 (major), 30.6 (minor), 28.3, 24.9 (major), 24.7 (minor), 23.2 (major), 23.1 (minor), 21.3 (major), 21.1 (minor). HRMS (ESI+) calcd. for C12H23NO4 [M + Na]+: 268.1520; found: 268.1527.
- N-Boc-Me-D-Leu-OH 2b. The 1b was synthesized according to the method of 2 from D-Leu (9.0 g, 38.9 mmol, 1.0 equiv), CH3I (25 g, 177.3 mmol, 4.5 equiv), and NaH (60% dispersion in mineral oil, 5.5 g, 137.5 mmol, 3.5 equiv). Following a wash with brine, the mixed EtOAc extracts were dried over Na2SO4, filtered, and evaporated to produce 2b (8.8 g, 35.9 mmol, 91% yield) as a white solid. [α]25D = +36.2 (c = 1.0, CHCl3). m.p. 55–56 °C. 1H NMR (600 MHz, Chloroform-d) δ 4.87 (t, J = 7.7 Hz, 1H, major), 4.63 (dd, J = 11.2, 5.1 Hz, 1H, minor), 2.84 (s, 3H, major), 2.81 (s, 3H, minor), 1.79–1.64 (m, 2H), 1.64–1.53 (m, 1H), 1.48 (s, 9H, major), 1.47 (s, minor), 0.96 (dd, J = 11.4, 6.3 Hz, 6H). 13C NMR (151 MHz, Chloroform-d) δ 177.9 (major), 177.7 (minor), 156.5 (major), 155.7 (minor), 80.6 (major), 80.3 (minor), 57.1 (major), 56.1 (minor), 37.8 (major), 37.3 (minor), 30.6, 28.3 (major), 28.3 (minor), 24.9 (major), 24.6 (minor), 23.2 (major), 23.1 (minor), 21.2 (major), 21.1 (minor). HRMS (ESI+) calcd. for C12H23NO4 [M + Na]+: 268.1520; found: 268.1527.
3.1.2. Synthesis of Dipeptide 3
2 (40.8 mmol, 1.0 equiv) and L(D)-Leu-OBn·TosOH (44.9 mmol, 1.1 equiv) and HOBT (44.9 mmol, 1.1 equiv) were added to dry DCM (0.5 M) at 0 °C. At this temperature, the EDCI (44.9 mmol, 1.1 equiv) was slowly added. The reaction mixture was warmed to 23 °C and stirred for 12 h. After most of the DCM was removed in vacuo, the reaction solution was washed with two 800 mL portions of 0.5 N hydrochloric acid and two portions of saturated Na2CO3 solution. Then, the layers were separated, and the combined organic layer was dried over Na2SO4. The solvent was removed in vacuo to obtain dipeptide. The crude product was purified by silica gel chromatography (hexane/EtOAc = 98:2, v/v)) to obtain 3 as a white solid. The extra peaks are generated because the nitrogen atom in these compounds is bonded to three different groups, and C–N bond rotation leads to the emergence of rotamers and consequent splitting in the NMR spectra, as referenced in the literature [18].
- N-Boc-Me-L-Leu-L-Leu-OBn 3a. The 3a was synthesized according to the method of 3 from 2a (10.0 g, 40.8 mmol, 1.0 equiv) and L-Leu-OBn·TosOH (9.9 g, 44.9 mmol, 1.1 equiv), HOBT (6.0 g, 44.9 mmol, 1.1 equiv), and EDCI (8.5 g, 44.9 mmol, 1.1 equiv). The crude product was purified by silica gel chromatography (hexane/EtOAc = 90:10, v/v) to obtain 3a (15.0 g, 33.4 mmol, 82% yield) as a white solid. [α]25D = −272.8 (c = 1.0, CHCl3). m.p. 80–81 °C. 1H NMR (500 MHz, DMSO-d6) δ 8.23 (d, J = 7.8 Hz, 1H), 7.41–7.29 (m, 5H), 5.14–5.01 (m, 2H), 4.64 (s, 1H, major), 4.47 (s, 1H, minor), 4.43–4.27 (m, 1H), 2.70 (s, 3H), 1.69–1.40 (m, 6H), 1.39 (s, 9H, major), 1.36 (s, 9H, minor)., 0.95–0.70 (m, 12H). 13C NMR (151 MHz, DMSO-d6) δ 172.6, 171.9, 136.4, 128.8, 128.4, 128.3, 79.3, 66.4, 50.8, 30.2, 28.5, 24.9, 24.7, 23.2, 21.6. HRMS (ESI) m/z calcd. for C25H40N2O5 [M + Na]+: 471.2830; found: 471.2838.
- N-Boc-Me-D-Leu-L-Leu-OBn 3b. The 3b was synthesized according to the method of 3 from 2b (10.0 g, 40.8 mmol, 1.0 equiv) and L-Leu-OBn·TosOH (9.9 g, 44.9 mmol, 1.1 equiv), HOBT (6.0 g, 44.9 mmol, 1.1 equiv), and EDCI (8.5 g, 44.9 mmol, 1.1 equiv). The crude product was purified by silica gel chromatography (hexane/EtOAc = 90:10, v/v) to obtain 3b (14.7 g, 32.8 mmol, 80% yield) as a white solid. [α]25D = −245.8 (c = 1.0, CHCl3). m.p. 80–81 °C. 1H NMR (600 MHz, DMSO-d6) δ 8.21 (d, J = 37.5 Hz, 1H), 7.44–7.18 (m, 5H), 5.12 (s, 2H), 4.74 (s, 1H, major), 4.50 (s, 1H, minor), 4.37 (s, 1H), 2.70 (s, 3H), 1.59 (m, 6H), 1.40 (s, 9H), 0.98–0.72 (m, 12H). 13C NMR (151 MHz, DMSO-d6) δ 172.7, 171.6, 136.4, 128.8, 128.4, 128.3, 79.3, 66.4, 50.8, 38.0, 28.5, 24.8, 23.2, 21.6. HRMS (ESI) m/z calcd. for C25H40N2O5 [M + Na]+: 471.2830; found: 471.2838.
- N-Boc-Me-L-Leu-D-Leu-OBn 3c. The 3c was synthesized according to the method of 3 from 2a (10.0 g, 40.8 mmol, 1.0 equiv) and D-Leu-OBn·TosOH (9.9 g, 44.9 mmol, 1.1 equiv), HOBT (6.0 g, 44.9 mmol, 1.1 equiv), and EDCI (8.5 g, 44.9 mmol, 1.1 equiv). The crude product was purified by silica gel chromatography (hexane/EtOAc = 90:10, v/v) to obtain 3c (15.2 g, 33.9 mmol, 82% yield) as a white solid. [α]25D = −427.9 (c = 1.0, CHCl3). m.p. 80–81 °C. 1H NMR (600 MHz, DMSO-d6) δ 8.42–8.16 (m, 1H), 7.44–7.26 (m, 5H), 5.11 (d, J = 4.2 Hz, 2H), 4.71 (d, J = 8.5 Hz, 1H, major), 4.49 (d, J = 8.4 Hz, 1H, minor), 4.39–4.23 (m, 1H), 2.69 (s, 3H, major), 2.67 (s, 3H, minor), 1.73–1.41 (m, 6H), 1.40 (s, 9H, major), 1.38 (s, 9H, minor), 0.94–0.76 (m, 12H). 13C NMR (151 MHz, DMSO-d6) δ 172.7, 171.7, 136.4, 128.9, 128.5, 128.3, 79.3, 66.4, 50.80, 38.0, 28.5, 24.8, 23.3, 21.6. HRMS (ESI) m/z calcd. for C25H40N2O5 [M + Na]+: 471.2830; found: 471.2838.
- N-Boc-Me-D-Leu-D-Leu-OBn 3d. The 3d was synthesized according to the method of 3 from 2b (10.0 g, 40.8 mmol, 1.0 equiv) and D-Leu-OBn·TosOH (9.9 g, 44.9 mmol, 1.1 equiv), HOBT (6.0 g, 44.9 mmol, 1.1 equiv), and EDCI (8.5 g, 44.9 mmol, 1.1 equiv). The crude product was purified by silica gel chromatography (hexane/EtOAc = 90:10, v/v) to obtain 3d (14.8 g, 33.0 mmol, 79% yield) as a white solid. [α]25D = −215.6 (c = 1.0, CHCl3). m.p. 80–81 °C. 1H NMR (600 MHz, DMSO-d6) δ 8.20 (d, J = 7.8 Hz, 1H), 7.54–7.21 (m, 5H), 5.11 (q, J = 12.6 Hz, 2H), 4.67 (s, 1H, major), 4.49 (s, 1H, minor), 4.37 (d, J = 15.0 Hz, 1H), 2.73 (s, 3H), 1.73–1.43 (m, 6H), 1.40 (s, 9H), 0.94–0.73 (m, 12H). 13C NMR (151 MHz, DMSO-d6) δ 172.6, 171.9, 136.4, 128.8, 128.5, 128.3, 79.3, 66.4, 50.8, 28.5, 24.9, 24.7, 23.2, 21.5. HRMS (ESI) m/z calcd. for C25H40N2O5 [M + Na]+: 471.2830; found: 471.2838.
3.1.3. Synthesis of 4
The product 3 (33.4 mmol, 1.0 equiv) was dissolved in DCM (0.5 M), followed by addition of TFA (0.12 M). The reaction mixture was stirred at room temperature for 1 h. After that excess TFA and DCM was removed in vacuo to produce 4 as a colorless oil [19]. Such extra peaks are generated because the nitrogen atom in these compounds is bonded to three different groups, C–N bond rotation leads to the emergence of rotamers and consequent splitting in the NMR spectra, as referenced in the literature [18].
- N-Me-L-Leu-L-Leu-OBn 4a. The 4a was synthesized according to the method of 4 from 3a (15.0 g, 33.4 mmol, 1.0 equiv), TFA (10 mL), DCM (40 mL). After that excess TFA and DCM was removed in vacuo to produce 5a (10.0 g, 28.7 mmol, 86% yield) as a colorless oil. [α]25D = −272.8 (c = 1.0, CHCl3). 1H NMR (600 MHz, DMSO-d6) δ 8.20 (d, J = 8.2 Hz, 1H), 7.52–7.17 (m, 5H), 5.11 (d, J = 3.8 Hz, 2H), 4.42 (ddd, J = 10.5, 8.1, 4.5 Hz, 1H), 2.93 (t, J = 7.2 Hz, 1H), 2.15 (s, 3H), 1.64–1.59 (m, 2H), 1.55–1.48 (m, 1H), 1.27 (m, 2H), 1.04–0.69 (m, 12H). 13C NMR (151 MHz, DMSO-d6) δ 175.2, 172.8, 136.4, 128.9, 128.5, 128.4, 66.44, 62.7, 50.3, 43.1, 34.6, 24.8, 24.7, 23.3, 23.3, 22.9, 21.5. HRMS (ESI) m/z calcd. for C20H32N2O3 [M + H]+: 349.2486; found: 349.2487.
- N-Me-D-Leu-L-Leu-OBn 4b. The 4b was synthesized according to the method of 4 from 3b (15.0 g, 33.4 mmol, 1.0 equiv), TFA (10 mL), DCM (40 mL). After that excess TFA and DCM was removed in vacuo to produce 5b (9.8 g, 28.1 mmol, 84% yield) as a colorless oil. [α]25D = −245.8 (c = 1.0, CHCl3). 1H NMR (600 MHz, DMSO-d6) δ 8.25 (d, J = 8.0 Hz, 1H), 7.44–7.23 (m, 5H), 5.12 (s, 2H), 4.40 (dd, J = 11.2, 6.7 Hz, 1H), 2.97 (t, J = 7.3 Hz, 1H), 2.19 (s, 3H), 1.65 (m, 3H), 1.55 (d, J = 10.8 Hz, 1H), 1.31 (dt, J = 15.8, 6.9 Hz, 2H), 0.98–0.72 (m, 12H). 13C NMR (151 MHz, DMSO-d6) δ 175.4, 172.8, 136.4, 128.8, 128.5, 128.3, 66.4, 62.7, 50.6, 42.9, 34.7, 24.8, 24.8, 23.3, 23.1, 22.9, 21.4. HRMS (ESI) m/z calcd. for C20H32N2O3 [M + H]+: 349.2486; found: 349.2487.
- N-Me-L-Leu-D-Leu-OBn 4c. The 4c was synthesized according to the method of 4 from 3c (15.0 g, 33.4 mmol, 1.0 equiv), TFA (10 mL), DCM (40 mL). After that excess TFA and DCM was removed in vacuo to produce 5c (10.4 g, 29.8 mmol, 89% yield) as a colorless oil. [α]25D = −427.9 (c = 1.0, CHCl3). 1H NMR (600 MHz, DMSO-d6) δ 8.27 (d, J = 8.0 Hz, 1H), 7.44–7.25 (m, 5H), 5.11 (s, 2H), 4.36 (ddt, J = 7.5, 5.2, 2.8 Hz, 1H), 3.02–2.86 (m, 1H), 2.16 (d, J = 1.7 Hz, 3H), 1.70–1.55 (m, 3H), 1.53 (dt, J = 9.5, 3.6 Hz, 1H), 1.34–1.20 (m, 2H), 0.97–0.71 (m, 12H). 13C NMR (151 MHz, DMSO-d6) δ 175.5, 172.9, 136.4, 128.9, 128.5, 128.4, 66.4, 62.6, 50.6, 42.9, 34.6, 24.8, 24.8, 23.3, 23.1, 23.0, 21.4. HRMS (ESI) m/z calcd. for C20H32N2O3 [M + H]+: 349.2486; found: 349.2487.
- N-Me-D-Leu-D-Leu-OBn 4d. The 4d was synthesized according to the method of 4 from 3d (15.0 g, 33.4 mmol, 1.0 equiv), TFA (10 mL), DCM (40 mL). After that excess TFA and DCM was removed in vacuo to produce 5d (9.5 g, 27.3 mmol, 81% yield) as a colorless oil. [α]25D = −215.6 (c = 1.0, CHCl3). 1H NMR (600 MHz, DMSO-d6) δ 8.17 (d, J = 8.2 Hz, 1H), 7.35 (q, J = 8.5 Hz, 5H), 5.12 (d, J = 3.3 Hz, 2H), 4.46 (q, J = 9.4, 7.5 Hz, 1H), 2.93 (t, J = 7.4 Hz, 1H), 2.17 (s, 3H), 1.64 (m, 3H), 1.55 (d, J = 11.8 Hz, 1H), 1.38–1.17 (m, 2H), 1.03–0.67 (m, 12H). 13C NMR (151 MHz, DMSO-d6) δ 175.2, 172.8, 136.4, 128.9, 128.5, 128.4, 66.4, 62.8, 50.3, 43.1, 34.6, 24.8, 24.7, 23.3, 23.3, 22.9, 21.4. HRMS (ESI) m/z calcd. for C20H32N2O3 [M + H]+: 349.2486; found: 349.2487.
3.1.4. Synthesis of 7
Catalytic hydrogenation of 3 (33.4 mmol, 1.0 equiv) over 10% Pd/C (4.7 mmol, 0.1 equiv) was carried out at atmospheric pressure in methanol for 2 h. The mixture was filtered and concentrated in vacuo to obtain 7 [20]. The extra peaks are generated because the nitrogen atom in these compounds is bonded to three different groups, and C–N bond rotation leads to the emergence of rotamers and consequent splitting in the NMR spectra, as referenced in the literature [18].
- N-Boc-Me-L-Leu-L-Leu-OH 7a. The 7a was synthesized according to the method of 7 from 3a (15.0 g, 33.4 mmol, 1.0 equiv), 10% Pd/C (5 g, 4.7 mmol, 0.1 equiv), H2 (1 atm), 2 h. The mixture was filtered and concentrated in vacuo to give 7a (10.0 g, 27.9 mmol, 84% yield) as a colorless oil. [α]25D = −272.8 (c = 1.0, CHCl3). 1H NMR (600 MHz, DMSO-d6) δ 12.48 (s, 1H), 7.99 (d, J = 12.9 Hz, 1H), 4.63 (t, J = 8.0 Hz, 1H, major), 4.47 (d, J = 10.4 Hz, 1H, minor), 4.31–4.00 (m, 1H), 2.71 (s, 3H), 1.78–1.47 (m, 5H), 1.45–1.27 (m, 9H), 1.10–0.57 (m, 12H). 13C NMR (151 MHz, DMSO-d6) δ 174.4, 171.6, 152.2, 79.3, 50.5, 31.0, 28.5, 25.0, 24.8, 23.6, 23.4, 21.6. HRMS (ESI) m/z calcd. for C18H34N2O5 [M + Na]+: 381.2360; found: 381.2261.
- N-Boc-Me-D-Leu-L-Leu-OH 7b. The 7b was synthesized according to the method of 7 from 3b (15.0 g, 33.4 mmol, 1.0 equiv), 10% Pd/C (5 g, 4.7 mmol, 0.1 equiv), H2 (1 atm), 2 h. The mixture was filtered and concentrated in vacuo to give 7b (9.8 g, 27.3 mmol, 82% yield) as a colorless oil. [α]25D = −245.8 (c = 1.0, CHCl3). 1H NMR (600 MHz, DMSO-d6) δ 7.93 (dd, J = 25.2, 9.2 Hz, 1H), 4.63 (s, 1H, major), 4.47 (d, J = 10.6 Hz, 1H, minor), 4.35–4.10 (m, 1H), 2.72 (s, 3H), 1.68–1.47 (m, 5H), 1.40 (s, 9H), 1.00–0.64 (m, 12H). 13C NMR (151 MHz, DMSO-d6) δ 174.5, 171.6, 79.3, 56.8, 50.7, 38.0, 37.6, 30.3, 28.5, 25.0, 24.8, 23.6, 23.4, 21.6. HRMS (ESI) m/z calcd. for C18H34N2O5 [M + Na]+: 381.2360; found: 381.2261.
- N-Boc-Me-L-Leu-D-Leu-OH 7c. The 7c was synthesized according to the method of 7 from 3c (15.0 g, 33.4 mmol, 1.0 equiv), 10% Pd/C (5 g, 4.7 mmol, 0.1 equiv), H2 (1 atm), 2 h. The mixture was filtered and concentrated in vacuo to give 7c (9.5 g, 26.5 mmol, 79% yield) as a colorless oil. [α]25D = −427.9 (c = 1.0, CHCl3). 1H NMR (600 MHz, DMSO-d6) δ 12.47 (s, 1H), 7.98 (d, J = 12.9 Hz, 1H), 4.62 (t, J = 8.0 Hz, 1H, major), 4.46 (d, J = 10.4 Hz, 1H, minor), 4.31–4.00 (m, 1H), 2.71 (s, 3H), 1.78–1.47 (m, 5H), 1.45–1.27 (m, 9H), 1.10–0.57 (m, 12H). 13C NMR (151 MHz, DMSO-d6) δ 174.4, 171.6, 152.2, 79.3, 50.5, 31.0, 28.5, 25.0, 24.8, 23.6, 23.4, 21.6. HRMS (ESI) m/z calcd. for C18H34N2O5 [M + Na]+: 381.2360; found: 381.2261.
- N-Boc-Me-D-Leu-D-Leu-OH 7d. The 7d was synthesized according to the method of 7 from 3d (15.0 g, 33.4 mmol, 1.0 equiv), 10% Pd/C (5 g, 4.7 mmol, 0.1 equiv), H2 (1 atm), 2 h. The mixture was filtered and concentrated in vacuo to give 7d (10.3 g, 28.8 mmol, 86% yield) as a colorless oil. [α]25D = −215.6 (c = 1.0, CHCl3). 1H NMR (600 MHz, DMSO-d6) δ 7.92 (dd, J = 25.2, 9.2 Hz, 1H), 4.62 (s, 1H, major), 4.46 (d, J = 10.6 Hz, 1H, minor), 4.35–4.11 (m, 1H), 2.72 (s, 3H), 1.68–1.47 (m, 5H), 1.40 (s, 9H), 1.00–0.64 (m, 12H). 13C NMR (151 MHz, DMSO-d6) δ 174.5, 171.6, 79.3, 56.8, 50.7, 38.0, 37.6, 30.3, 28.5, 25.0, 24.8, 23.6, 23.4, 21.6. HRMS (ESI) m/z calcd. for C18H34N2O5 [M + Na]+: 381.2360; found: 381.2261.
3.1.5. Synthesis of 5
The product 4 (28.7 mmol, 1.0 equiv) and N-Boc-AA-OH (31.5 mmol, 1.1 equiv) and HOBT (31.5 mmol, 1.1 equiv) were added to dry DCM (0.5 M) at 0 °C. At this temperature, the EDCI (31.5 mmol, 1.1 equiv) was slowly added. The reaction mixture was warmed to 23 °C and stirred for 12 h. After most of the DCM was removed in vacuo, the reaction solution was washed with two portions of 0.5 N hydrochloric acid and two portions of saturated Na2CO3 solution. Then, the layers were separated, and the combined organic layer was dried over Na2SO4. The solvent was removed in vacuo to obtain dipeptide. The crude product was purified by silica gel chromatography (EtOAc/petroleum ether = 80:20, v/v) to obtain 5 as a white solid. The extra peaks are generated because the nitrogen atom in these compounds is bonded to three different groups, and C–N bond rotation leads to the emergence of rotamers and consequent splitting in the NMR spectra, as referenced in the literature [18].
- N-Boc-D-Leu-Me-D-Leu-D-Leu-OBn 5a. The 5a was synthesized according to the method of 5 from 4d (10.0 g, 28.7 mmol, 1.0 equiv) and N-Boc-D-Leu-OH (7.2 g, 31.5 mmol, 1.1 equiv), HOBT (4.2 g, 31.5 mmol, 1.1 equiv), and EDCI (6.0 g, 31.5 mmol, 1.1 equiv). The crude product was purified by silica gel chromatography (hexane/EtOAc = 80:20, v/v) to obtain 5h (12.8 g, 22.8 mmol, 78% yield) as a white solid. [α]25D = −267.6 (c = 1.0, CHCl3). m.p. 117–118 °C. 1H NMR (600 MHz, CDCl3) δ 7.28 (td, J = 13.7, 6.9 Hz, 5H), 6.45 (d, J = 8.3 Hz, 1H), 5.33–5.18 (m, 1H), 5.15–4.99 (m, 2H), 4.71–4.43 (m, 2H), 2.88 (s, 3H, major), 2.67 (s, 3H, minor), 1.77–1.49 (m, 9H), 1.40 (s, 9H, major), 1.35 (s, 9H, minor), 1.06–0.73 (m, 18H). 13C NMR (151 MHz, CDCl3) δ 174.6, 172.4, 170.5, 155.7, 135.6, 128.5, 128.5, 128.3, 128.1, 128.1, 66.8, 54.3, 50.7, 49.2, 41.6, 40.9, 35.6, 30.1, 28.3, 28.2, 24.8, 24.7, 24.6, 23.4, 23.0, 22.8, 21.9, 21.7, 21.6. HRMS (ESI) m/z calcd. for C31H51N3O6 [M + Na]+: 584.3670; found: 584.3672.
- N-Boc-D-Leu-Me-L-Leu-L-Leu-OBn 5b. The 5b was synthesized according to the method of 5 from 4a (10.0 g, 28.7 mmol, 1.0 equiv) and N-Boc-D-Leu-OH (7.2 g, 31.5 mmol, 1.1 equiv), HOBT (4.2 g, 31.5 mmol, 1.1 equiv), and EDCI (6.0 g, 31.5 mmol, 1.1 equiv). The crude product was purified by silica gel chromatography (hexane/EtOAc = 80:20, v/v) to obtain 5b (13.8 g, 24.6 mmol, 85% yield) as a white solid. [α]25D = −388.8 (c = 1.0, CHCl3). m.p. 117–118 °C. 1H NMR (600 MHz, DMSO-d6) δ 8.44 (d, J = 7.5 Hz, 1H, minor), 7.73 (d, J = 7.6 Hz, 1H, major), 7.45–7.17 (m, 5H), 7.09 (d, J = 7.0 Hz, 1H, major), 6.76 (d, J = 8.6 Hz, 1H, minor), 5.22–4.95 (m, 3H), 4.57–4.20 (m, 2H), 2.90 (s, 3H, major), 2.76 (s, 3H, minor), 1.76–1.39 (m, 7H), 1.34 (s, 9H), 1.26 (q, J = 7.0, 5.0 Hz, 2H), 1.00–0.65 (m, 18H). 13C NMR (151 MHz, DMSO-d6) δ 173.9, 172.5, 171.3, 156.4, 136.4, 128.9, 128.4, 128.2, 78.6, 66.3, 54.3, 51.1, 49.6, 36.9, 30.9, 28.6, 28.6, 24.9, 24.7, 24.7, 23.7, 23.5, 23.2, 22.0, 21.6, 21.5. HRMS (ESI) m/z calcd. for C31H51N3O6 [M + Na]+: 584.3670; found: 584.3672.
- N-Boc-L-Leu-Me-D-Leu-L-Leu-OBn 5c. The 5c was synthesized according to the method of 5 from 4b (10.0 g, 28.7 mmol, 1.0 equiv) and N-Boc-L-Leu-OH (7.2 g, 31.5 mmol, 1.1 equiv), HOBT (4.2 g, 31.5 mmol, 1.1 equiv), and EDCI (6.0 g, 31.5 mmol, 1.1 equiv). The crude product was purified by silica gel chromatography (hexane/EtOAc = 80:20, v/v) to obtain 5c (14.2 g, 25.3 mmol, 87% yield) as a white solid. [α]25D = −375.6 (c = 1.0, CHCl3). m.p. 117–118 °C. 1H NMR (600 MHz, DMSO-d6) δ 8.34 (d, J = 7.5 Hz, 1H, minor), 7.73 (d, J = 7.6 Hz, 1H, major), 7.50–7.17 (m, 5H), 7.17–6.67 (m, 1H), 5.27–4.83 (m, 3H), 4.64–4.16 (m, 2H), 2.90 (s, 3H, major), 2.76 (s, 3H, minor), 1.81–1.38 (m, 7H), 1.34 (s, 9H), 1.26 (q, J = 6.1, 5.0 Hz, 2H), 1.01–0.70 (m, 18H). 13C NMR (151 MHz, DMSO-d6) δ 173.8, 172.4, 171.2, 156.3, 136.3, 128.8, 128.3, 128.1, 78.6, 66.2, 54.19, 51.0, 49.5, 36.8, 30.8, 28.5, 28.5, 24.8, 24.6, 24.6, 23.6, 23.4, 23.1, 21.9, 21.5, 21.4. HRMS (ESI) m/z calcd. for C31H51N3O6 [M + Na]+: 584.3670; found: 584.3672.
- N-Boc-D-Leu-Me-D-Leu-L-Leu-OBn 5d. The 5d was synthesized according to the method of 5 from 4b (10.0 g, 28.7 mmol, 1.0 equiv) and N-Boc-D-Leu-OH (7.2 g, 31.5 mmol, 1.1 equiv), HOBT (4.2 g, 31.5 mmol, 1.1 equiv), and EDCI (6.0 g, 31.5 mmol, 1.1 equiv). The crude product was purified by silica gel chromatography (hexane/EtOAc = 80:20, v/v) to obtain 5d (13.5 g, 24.1 mmol, 83% yield) as a white solid. [α]25D = −255.8.6 (c = 1.0, CHCl3). m.p. 117–118 °C. 1H NMR (600 MHz, DMSO-d6) δ 8.21 (d, J = 7.7 Hz, 1H, minor), 8.12 (d, J = 7.6 Hz, 1H, major), 7.34 (m, 5H), 6.96 (d, J = 8.2 Hz, 1H), 5.14 (m, 1H), 5.10 (s, 2H), 4.69–4.10 (m, 2H), 2.94 (s, 3H, major), 2.55 (s, 3H, minor), 1.78–1.44 (m, 7H), 1.36 (s, 9H), 1.31–1.15 (m, 2H), 0.83 (m, 18H). 13C NMR (151 MHz, DMSO-d6) δ 173.8, 172.6, 171.5, 156.0, 136.4, 128.9, 128.4, 128.2, 78.3, 66.3, 53.9, 50.8, 49.4, 37.6, 30.8, 28.6, 28.5, 24.7, 24.7, 24.6, 23.7, 23.6, 23.2, 21.9, 21.6. HRMS (ESI) m/z calcd. for C31H51N3O6 [M + Na]+: 584.3670; found: 584.3672.
- N-Boc-L-Leu-Me-L-Leu-D-Leu-OBn 5e. The 5e was synthesized according to the method of 5 from 4c (10.0 g, 28.7 mmol, 1.0 equiv) and N-Boc-L-Leu-OH (7.2 g, 31.5 mmol, 1.1 equiv), HOBT (4.2 g, 31.5 mmol, 1.1 equiv), and EDCI (6.0 g, 31.5 mmol, 1.1 equiv). The crude product was purified by silica gel chromatography (hexane/EtOAc = 80:20, v/v) to obtain 5e (13.6 g, 24.2 mmol, 84% yield) as a white solid. [α]25D = −365.6 (c = 1.0, CHCl3). m.p. 117–118 °C. 1H NMR (600 MHz, DMSO-d6) δ 8.42 (dd, J = 14.4, 7.5 Hz, 1H, minor), 7.78 (d, J = 7.8 Hz, 1H, major), 7.34 (m, 5H), 7.05 (d, J = 7.0 Hz, 1H, major), 6.78 (d, J = 8.6 Hz, 1H, minor), 5.21–5.00 (m, 3H), 4.35 (d, J = 7.5 Hz, 2H), 2.83 (s, 3H, major), 2.73 (s, 3H, minor), 1.72–1.43 (m, 7H), 1.36 (s, 9H), 1.31 (s, 2H), 0.84 (m, 18H). 13C NMR (151 MHz, DMSO-d6) δ 173.8, 172.5, 171.2, 156.3, 136.3, 128.9, 128.5, 128.4, 128.4, 78.60, 66.4, 54.1, 50.9, 49.7, 37.1, 30.8, 28.6, 24.9, 24.7, 24.7, 23.7, 23.6, 23.0, 21.9, 21.8, 21.6. HRMS (ESI) m/z calcd. for C31H51N3O6 [M + Na]+: 584.3670; found: 584.3672.
- N-Boc-D-Leu-Me-L-Leu-D-Leu-OBn 5f. The 5f was synthesized according to the method of 5 from 4c (10.0 g, 28.7 mmol, 1.0 equiv) and N-Boc-D-Leu-OH (7.2 g, 31.5 mmol, 1.1 equiv), HOBT (4.2 g, 31.5 mmol, 1.1 equiv), and EDCI (6.0 g, 31.5 mmol, 1.1 equiv). The crude product was purified by silica gel chromatography (hexane/EtOAc = 80:20, v/v) to obtain 5f (13.0 g, 23.2 mmol, 80% yield) as a white solid. [α]25D = −369.6 (c = 1.0, CHCl3). m.p. 117–118 °C. 1H NMR (600 MHz, DMSO-d6) δ 8.43 (dd, J = 14.6, 7.4 Hz, 1H, minor), 7.79 (d, J = 7.7 Hz, 1H, major), 7.35 (q, J = 9.1, 8.7 Hz, 5H), 7.06 (d, J = 7.0 Hz, 1H, major), 6.79 (d, J = 8.6 Hz, 1H, minor), 5.12 (dd, J = 14.7, 5.5 Hz, 3H), 4.59–4.14 (m, 2H), 2.84 (s, 3H, major), 2.74 (s, 3H, minor), 1.83–1.43 (m, 7H), 1.37 (s, 9H), 1.22 (s, 2H), 0.85 (m, 18H). 13C NMR (151 MHz, DMSO-d6) δ 172.4, 128.8, 78.6, 54.1, 50.9, 49.6, 37.1, 30.7, 28.6, 24.9, 24.7, 24.6, 23.7, 23.6, 23.0, 21.9, 21.8, 21.5. HRMS (ESI) m/z calcd. for C31H51N3O6 [M + Na]+: 584.3670; found: 584.3672.
- N-Boc-L-Leu-Me-D-Leu-D-Leu-OBn 5g. The 5g was synthesized according to the method of 5 from 4d (10.0 g, 28.7 mmol, 1.0 equiv) and N-Boc-L-Leu-OH (7.2 g, 31.5 mmol, 1.1 equiv), HOBT (4.2 g, 31.5 mmol, 1.1 equiv), and EDCI (6.0 g, 31.5 mmol, 1.1 equiv). The crude product was purified by silica gel chromatography (hexane/EtOAc = 80:20, v/v) to obtain 5g (13.2 g, 23.5 mmol, 81% yield) as a white solid. [α]25D = −323.6 (c = 1.0, CHCl3). m.p. 117–118 °C. 1H NMR (600 MHz, CDCl3) δ 7.37–7.17 (m, 5H), 6.74 (d, J = 8.1 Hz, 1H), 5.16 (d, J = 15.8 Hz, 1H), 5.15–5.03 (m, 3H), 4.52 (td, J = 9.1, 4.6 Hz, 2H), 2.93 (s, 3H), 1.81–1.43 (m, 9H), 1.36 (s, 9H), 1.00–0.75 (m, 18H). 13C NMR (151 MHz, CDCl3) δ 174.5, 172.3, 170.5, 156.0, 135.6, 128.5, 128.1, 128.0, 79.7, 66.7, 54.7, 51.0, 49.3, 41.7, 40.4, 36.0, 30.4, 28.3, 24.9, 24.8, 24.7, 23.2, 23.2, 22.8, 21.8, 21.6, 21.5. HRMS (ESI) m/z calcd. for C31H51N3O6 [M + Na]+: 584.3670; found: 584.3672.
- N-Boc-D-Pro-Me-L-Leu-L-Leu-OBn 5h. The 5h was synthesized according to the method of 5 from 4a (10.0 g, 28.7 mmol, 1.0 equiv) and N-Boc-L-Pro-OH (6.7 g, 31.5 mmol, 1.1 equiv), HOBT (4.2 g, 31.5 mmol, 1.1 equiv), and EDCI (6.0 g, 31.5 mmol, 1.1 equiv). The crude product was purified by silica gel chromatography (hexane/EtOAc = 80:20, v/v) to obtain 5h (13.0 g, 23.8 mmol, 83% yield) as a white solid. [α]25D = −175.6 (c = 1.0, CHCl3). m.p. 158–159 °C. 1H NMR (600 MHz, CDCl3) δ7.39–7.26 (m, 5H, major), 7.17 (d, J = 7.9 Hz, 5H, minor), 5.40 (dd, J = 11.0, 4.5 Hz, 1H), 5.12 (q, J = 12.6 Hz, 2H), 4.64–4.49 (m, 2H), 3.65–3.50 (m, 1H), 3.47 (dd, J = 5.0, 2.1 Hz, 1H), 3.03 (s, 3H, minor)2.94 (s, 3H, major), 2.22–2.03 (m, 2H), 1.98–1.84 (m, 2H), 1.84–1.53 (m, 4H), 1.39 (s, 9H), 1.01–0.79 (m, 12H). 13C NMR (151 MHz, CDCl3) δ 174.0, 172.3, 171.2, 154.8, 136.0, 128.4, 127.9, 127.9, 66.4, 55.8, 55.0, 51.4, 47.0, 39.8, 35.7, 30.8, 29.5, 28.4, 25.0, 24.9, 23.4, 22.9, 21.6, 21.4. HRMS (ESI) m/z calcd. for C30H47N3O6 [M + Na]+: 586.3357; found: 586.3357.
- N-Boc-D-Phe-Me-L-Leu-L-Leu-OBn 5i. The 5i was synthesized according to the method of 5 from 4a (10.0 g, 28.7 mmol, 1.0 equiv) and N-Boc-D-Phe-OH (8.3 g, 31.5 mmol, 1.1 equiv), HOBT (4.2 g, 31.5 mmol, 1.1 equiv), and EDCI (6.0 g, 31.5 mmol, 1.1 equiv). The crude product was purified by silica gel chromatography (hexane/EtOAc = 80:20, v/v) to obtain 5i (15.0 g, 25.2 mmol, 88% yield) as a white solid. [α]25D = −333.0 (c = 1.0, CHCl3). m.p. 119–120 °C. 1H NMR (600 MHz, Chloroform-d) δ 7.45–7.11 (m, 10H), 6.77 (d, J = 8.1 Hz, 1H), 5.25 (d, J = 7.6 Hz, 1H), 5.19–5.02 (m, 3H), 4.78 (d, J = 7.6 Hz, 1H), 4.54 (d, J = 7.4 Hz, 1H), 2.98 (d, J = 7.4 Hz, 2H), 2.66 (s, 3H), 1.80–1.53 (m, 4H), 1.40 (d, J = 2.7 Hz, 9H), 0.97–0.75 (m, 12H). 13C NMR (151 MHz, Chloroform-d) δ 173.2, 172.2, 170.4, 155.5, 135.9, 135.7, 129.3, 128.6, 128.5, 128.2, 128.0, 127.1, 66.7, 54.9, 52.0, 51.0, 40.4, 39.2, 35.9, 30.5, 28.3, 24.9, 24.4, 23.1, 22.8, 21.9, 21.5. HRMS (ESI) m/z calcd. for C34H49N3O6 [M + Na]+: 618.3514; found: 618.3514.
- N-Boc-Gly-Me-L-Leu-L-Leu-OBn 5j. The 5j was synthesized according to the method of 5 from 4a (10.0 g, 28.7 mmol, 1.0 equiv) and N-Boc-Gly-OH (4.9 g, 31.5 mmol, 1.1 equiv), HOBT (4.2 g, 31.5 mmol, 1.1 equiv), and EDCI (6.0 g, 31.5 mmol, 1.1 equiv). The crude product was purified by silica gel chromatography (hexane/EtOAc = 80:20, v/v) to obtain 5j (11.5 g, 24.7 mmol, 79% yield) as a white solid. [α]25D = −205.3 (c = 1.0, CHCl3). m.p. 117–118 °C. 1H NMR (600 MHz, DMSO-d6) δ 8.20 (d, J = 7.6 Hz, 1H), 7.52–7.04 (m, 5H), 6.70 (t, J = 5.8 Hz, 1H), 5.11 (t, J = 13.2 Hz, 2H), 5.06 (s, 1H), 4.30 (ddd, J = 10.3, 7.5, 4.9 Hz, 1H), 3.93–3.65 (m, 2H), 2.82 (s, 3H, major), 2.77 (s, 3H, minor), 1.70–1.44 (m, 5H), 1.38 (s, 9H), 1.33 (d, J = 3.9 Hz, 1H), 0.96–0.64 (m, 12H). 13C NMR (151 MHz, DMSO-d6) δ 172.6, 171.6, 170.2, 156.2, 136.4, 128.9, 128.5, 128.4, 128.3, 78.5, 78.4, 66.5, 66.4, 54.2, 51.0, 42.5, 37.5, 30.1, 28.7, 24.7, 23.6, 23.2, 21.9, 21.6. HRMS (ESI) m/z calcd. for C27H43N3O6 [M + Na]+: 528.3044; found: 528.3043.
- N-Boc-D-Ala-Me-L-Leu-L-Leu-OBn 5k. The 5k was synthesized according to the method of 5 from 4a (10.0 g, 28.7 mmol, 1.0 equiv) and N-Boc-D-Ala-OH (5.9 g, 31.5 mmol, 1.1 equiv), HOBT (4.2 g, 31.5 mmol, 1.1 equiv), and EDCI (6.0 g, 31.5 mmol, 1.1 equiv). The crude product was purified by silica gel chromatography (hexane/EtOAc = 80:20, v/v) to obtain 5k (12.5 g, 24.3 mmol, 84% yield) as a white solid. [α]25D = −555.6 (c = 1.0, CHCl3). m.p. 105–106 °C. 1H NMR (600 MHz, Chloroform-d) δ 7.32 (dp, J = 14.9, 7.1, 6.5 Hz, 5H), 6.64 (d, J = 8.1 Hz, 1H), 5.34 (d, J = 7.4 Hz, 1H), 5.23–5.05 (m, 3H), 4.55 (t, J = 7.3 Hz, 2H), 2.93 (s, 3H), 1.74 (d, J = 8.1 Hz, 1H), 1.69–1.53 (m, 4H), 1.40 (s, 9H), 1.29 (d, J = 6.8 Hz, 3H), 1.01–0.75 (m, 12H). 13C NMR (151 MHz, Chloroform-d) δ 174.5, 172.3, 170.4, 155.6, 135.6, 128.5, 128.2, 128.1, 79.7, 66.8, 54.9, 51.0, 46.8, 40.6, 35.9, 30.5, 28.3, 24.9, 24.9, 23.1, 22.7, 21.7, 21.6, 18.0. HRMS (ESI) m/z calcd. for C28H45N3O6 [M + Na]+: 542.3201; found: 542.3209.
- N-Boc-O-Me-D-Ser-Me-L-Leu-L-Leu-OBn 5l. The 5l was synthesized according to the method of 5 from 4a (10.0 g, 28.7 mmol, 1.0 equiv) and N-Boc-O-Me-D-Ser-OH (6.9 g, 31.5 mmol, 1.1 equiv), HOBT (4.2 g, 31.5 mmol, 1.1 equiv), and EDCI (6.0 g, 31.5 mmol, 1.1 equiv). The crude product was purified by silica gel chromatography (hexane/EtOAc = 80:20, v/v) to obtain 5l (14.0 g, 25.5 mmol, 89% yield) as a white solid. [α]25D = −275.6 (c = 1.0, CHCl3). m.p. 121–122 °C. 1H NMR (600 MHz, DMSO-d6) δ 7.72 (d, J = 7.7 Hz, 1H), 7.46–7.24 (m, 5H), 7.12 (d, J = 6.7 Hz, 1H), 5.15–5.08 (m, 2H), 5.06 (d, J = 12.6 Hz, 1H), 4.58 (d, J = 6.8 Hz, 1H), 4.41–4.24 (m, 1H), 3.44 (t, J = 6.8 Hz, 2H), 3.22 (s, 3H), 2.91 (s, 3H, major), 2.77 (s, 3H, minor), 1.77–1.38 (m, 6H), 1.34 (s, 9H), 1.03–0.60 (m, 12H). 13C NMR (151 MHz, DMSO-d6) δ 172.5, 172.0, 171.3, 156.0, 136.4, 128.9, 128.4, 128.2, 78.9, 72.1, 66.3, 58.9, 54.5, 51.1, 50.7, 39.5, 36.9, 31.1, 28.5, 24.7, 24.5, 23.8, 23.2, 21.7, 21.5. HRMS (ESI) m/z calcd. for C29H47N3O7 [M + Na]+: 572.3306; found: 572.3307.
- N-Boc-O-Me-D-Tyr-Me-L-Leu-L-Leu-OBn 5m. The 5m was synthesized according to the method of 5 from 4a (10.0 g, 28.7 mmol, 1.0 equiv) and N-Boc-O-Me-D-Tyr-OH (9.3 g, 31.5 mmol, 1.1 equiv), HOBT (4.2 g, 31.5 mmol, 1.1 equiv), and EDCI (6.0 g, 31.5 mmol, 1.1 equiv). The crude product was purified by silica gel chromatography (hexane/EtOAc = 80:20, v/v) to obtain 5m (17.0 g, 27.2 mmol, 95% yield) as a white solid. [α]25D = −157.3 (c = 1.0, CHCl3). m.p. 120–121 °C. 1H NMR (600 MHz, Chloroform-d) δ 7.34 (ddd, J = 12.7, 7.5, 3.6 Hz, 5H), 7.12 (d, J = 8.2 Hz, 2H), 6.82 (d, J = 8.4 Hz, 3H), 5.29–5.00 (m, 4H), 4.74 (d, J = 7.4 Hz, 1H), 4.54 (td, J = 8.2, 6.1 Hz, 1H), 3.79 (s, 3H), 2.93 (d, J = 7.5 Hz, 2H), 2.68 (s, 3H), 1.84–1.52 (m, 4H), 1.40 (s, 9H), 1.35–1.24 (m, 2H), 0.95–0.76 (m, 12H). 13C NMR (151 MHz, Chloroform-d) δ 173.3, 172.2, 170.4, 158.8, 155.5, 130.3, 128.5, 128.0, 114.0, 66.7, 55.2, 54.9, 52.1, 51.0, 40.4, 38.3, 35.9, 30.5, 28.3, 24.9, 24.4, 23.1, 22.8, 22.0, 21.5. HRMS (ESI) m/z calcd. for C35H51N3O7 [M + Na]+: 648.3620; found: 648.3621.
- N-Boc-Methyl ester-D-Asp-Me-L-Leu-L-Leu-OBn 5n. The 5n was synthesized according to the method of 5 from 4a (10.0 g, 28.7 mmol, 1.0 equiv) and N-Boc-Methyl ester-D-Asp-OH (7.8 g, 31.5 mmol, 1.1 equiv), HOBT (4.2 g, 31.5 mmol, 1.1 equiv), and EDCI (6.0 g, 31.5 mmol, 1.1 equiv). The crude product was purified by silica gel chromatography (hexane/EtOAc = 80:20, v/v) to obtain 5n (14.0 g, 24.3 mmol, 84% yield) as a white solid. [α]25D = −269.7 (c = 1.0, CHCl3). m.p. 124–125 °C. 1H NMR (600 MHz, DMSO-d6) δ 7.80 (d, J = 7.7 Hz, 1H, minor), 7.74 (d, J = 7.8 Hz, 1H, major), 7.34 (m, 6H), 5.18–4.95 (m, 3H), 4.80–4.52 (m, 1H), 4.47–4.21 (m, 1H), 3.54 (d, J = 14.7 Hz, 3H), 3.00 (s, 3H, major), 2.91 (s, 3H, minor), 2.89–2.68 (m, 1H), 2.65–2.52 (m, 1H), 1.60 (m, 5H), 1.36 (s, 9H), 0.98–0.64 (m, 12H). 13C NMR (151 MHz, DMSO-d6) δ 172.50, 172.03, 171.22, 171.02, 155.39, 136.40, 128.85, 128.46, 128.19, 78.77, 66.34, 60.19, 51.93, 51.84, 51.07, 50.94, 47.07, 36.94, 36.64, 36.32, 30.95, 30.77, 28.49, 24.70, 23.74, 23.22, 21.82, 21.55. HRMS (ESI) m/z calcd. for C30H47N3O8 [M + Na]+: 600.3256; found: 600.3265.
- N-Boc-3-Flu-D-Phe-Me-L-Leu-L-Leu-OBn 5o. The 5o was synthesized according to the method of 5 from 4a (10.0 g, 28.7 mmol, 1.0 equiv) and N-Boc-3-Flu-D-Phe-OH (9.3 g, 31.5 mmol, 1.1 equiv), HOBT (4.2 g, 31.5 mmol, 1.1 equiv), and EDCI (6.0 g, 31.5 mmol, 1.1 equiv). The crude product was purified by silica gel chromatography (hexane/EtOAc = 80:20, v/v) to obtain 5o (15.5 g, 25.2 mmol, 88% yield) as a white solid. [α]25D = −555.6 (c = 1.0, CHCl3). m.p. 121–122 °C. 1H NMR (600 MHz, DMSO-d6) δ 7.66 (d, J = 7.8 Hz, 1H), 7.42 (d, J = 6.2 Hz, 1H), 7.38–7.24 (m, 5H), 7.20–6.88 (m, 3H), 5.16–5.06 (m, 2H), 5.04 (d, J = 12.4 Hz, 1H), 4.66 (q, J = 7.2 Hz, 1H), 4.31 (ddd, J = 12.0, 7.7, 5.0 Hz, 1H), 2.95–2.83 (m, 2H), 2.73 (s, 3H), 1.80–1.41 (m, 4H), 1.31 (s, 9H), 1.26–1.10 (m, 2H), 0.97–0.52 (m, 12H). 13C NMR (151 MHz, DMSO-d6) δ 172.8, 172.5, 171.2, 163.3, 161.7, 156.2, 136.4, 130.5, 130.4, 128.9, 128.5, 128.4, 128.3, 128.1, 126.1, 116.7, 116.6, 113.8, 113.7, 78.9, 66.2, 60.2, 54.4, 52.0, 51.1, 37.3, 36.7, 30.9, 28.5, 24.7, 24.1, 23.7, 23.2, 21.7, 21.4, 21.2. HRMS (ESI) m/z calcd. for C34H48FN3O6 [M + Na]+: 636.3420; found: 636.3421.
- N-Boc-2-Me-D-Phe-Me-L-Leu-L-Leu-OBn 5p. The 5p was synthesized according to the method of 5 from 4a (10.0 g, 28.7 mmol, 1.0 equiv) and N-Boc-2-Me-D-Ser-OH (8.8 g, 31.5 mmol, 1.1 equiv), HOBT (4.2 g, 31.5 mmol, 1.1 equiv), and EDCI (6.0 g, 31.5 mmol, 1.1 equiv). The crude product was purified by silica gel chromatography (hexane/EtOAc = 80:20, v/v) to obtain 5p (15.0 g, 24.6 mmol, 86% yield) as a white solid. [α]25D = −505.6 (c = 1.0, CHCl3). m.p. 142–143 °C. 1H NMR (600 MHz, Chloroform-d) δ 7.41–7.26 (m, 5H), 7.09 (s, 4H), 6.79 (d, J = 8.0 Hz, 1H), 5.21 (d, J = 7.5 Hz, 1H), 5.19–5.04 (m, 3H), 4.75 (d, J = 7.5 Hz, 1H), 4.54 (d, J = 7.4 Hz, 1H), 3.02–2.84 (m, 2H), 2.67 (s, 3H), 2.32 (s, 3H), 1.73–1.51 (m, 4H), 1.39 (s, 9H), 1.31 (td, J = 11.2, 10.3, 5.9 Hz, 1H), 1.05 (s, 1H), 1.01–0.70 (m, 12H). 13C NMR (151 MHz, Chloroform-d) δ 173.2, 172.2, 170.5, 155.6, 136.7, 135.7, 132.8, 129.2, 129.2, 128.5, 128.1, 128.0, 66.7, 54.9, 52.0, 51.0, 40.3, 38.7, 35.9, 30.6, 28.3, 24.9, 24.4, 23.1, 22.8, 21.9, 21.5, 21.0. HRMS (ESI) m/z calcd. for C35H51N3O6 [M + Na]+: 632.3420; found: 632.3421.
- N-Boc-4-Chl-D-Phe-Me-L-Leu-L-Leu-OBn 5q. The 5q was synthesized according to the method of 5 from 4a (10.0 g, 28.7 mmol, 1.0 equiv) and N-Boc-3-Chl-D-Phe-OH (9.4 g, 31.5 mmol, 1.1 equiv), HOBT (4.2 g, 31.5 mmol, 1.1 equiv), and EDCI (6.0 g, 31.5 mmol, 1.1 equiv). The crude product was purified by silica gel chromatography (hexane/EtOAc = 80:20, v/v) to obtain 5q (16.0 g, 25.4 mmol, 89% yield) as a white solid. [α]25D = −399.6 (c = 1.0, CHCl3). m.p. 151–152 °C. 1H NMR (600 MHz, DMSO-d6) δ 7.64 (d, J = 7.7 Hz, 1H), 7.42 (d, J = 6.1 Hz, 1H), 7.39–7.20 (m, 8H), 5.21–5.04 (m, 2H), 5.02 (d, J = 9.1 Hz, 1H), 4.66 (d, J = 7.2 Hz, 1H), 4.54–4.18 (m, 1H), 2.97–2.80 (m, 2H), 2.74 (s, 3H), 1.81–1.43 (m, 4H), 1.30 (s, 9H), 1.25 (m, 2H), 0.93–0.61 (m, 12H). 13C NMR (151 MHz, DMSO-d6) δ 172.8, 172.4, 171.2, 156.2, 136.4, 131.8, 131.8, 128.9, 128.5, 128.4, 128.1, 78.9, 66.2, 54.4, 52.0, 51.1, 36.9, 36.7, 31.0, 28.5, 24.7, 24.1, 23.7, 23.2, 21.8, 21.4. HRMS (ESI) m/z calcd. for C34H48ClN3O6 [M + Na]+: 652.3124; found: 652.3132.
- N-Boc-4-Bro-D-Phe-Me-L-Leu-L-Leu-OBn 5r. The 5r was synthesized according to the method of 5 from 4a (10.0 g, 28.7 mmol, 1.0 equiv) and N-Boc-4-Bro-D-Phe-OH (10.8 g, 31.5 mmol, 1.1 equiv), HOBT (4.2 g, 31.5 mmol, 1.1 equiv), and EDCI (6.0 g, 31.5 mmol, 1.1 equiv). The crude product was purified by silica gel chromatography (hexane/EtOAc = 80:20, v/v) to obtain 5r (17.0 g, 25.2 mmol, 88% yield) as a white solid. [α]25D = −375.6 (c = 1.0, CHCl3). m.p. 165–166 °C. 1H NMR (600 MHz, CDCl3) δ 7.48–7.22 (m, 6H), 7.08 (d, J = 7.9 Hz, 2H), 6.75 (d, J = 8.1 Hz, 1H), 5.28 (d, J = 7.7 Hz, 1H), 5.20–5.01 (m, 3H), 4.77 (q, J = 7.6 Hz, 1H), 4.53 (td, J = 8.5, 5.6 Hz, 1H), 2.93 (dd, J = 7.4, 3.9 Hz, 2H), 2.73 (s, 3H), 1.73–1.46 (m, 4H), 1.38 (s, 9H), 1.01–0.67 (m, 12H). 13C NMR (151 MHz, CDCl3) δ 172.8, 172.3, 170.3, 155.4, 135.6, 135.0, 131.7, 131.2, 131.1, 128.6, 128.5, 128.3, 128.2, 128.1, 121.1, 80.2, 66.8, 54.9, 51.7, 51.0, 40.4, 38.5, 36.0, 30.7, 28.3, 24.9, 24.5, 23.1, 22.8, 21.9, 21.5. HRMS (ESI) m/z calcd. for C34H48BrN3O6 [M + Na]+: 696.2619; found: 696.2614.
- N-Boc-D-Cyclohexyl-Gly-Me-L-Leu-L-Leu-OBn 5s. The 5s was synthesized according to the method of 5 from 4a (10.0 g, 28.7 mmol, 1.0 equiv) and N-Boc D-Cyclohexyl-Gly-OH (8.1 g, 31.5 mmol, 1.1 equiv), HOBT (4.2 g, 31.5 mmol, 1.1 equiv), and EDCI (6.0 g, 31.5 mmol, 1.1 equiv). The crude product was purified by silica gel chromatography (hexane/EtOAc = 80:20, v/v) to obtain 5s (15.0 g, 25.5 mmol, 89% yield) as a white solid. [α]25D = −275.6 (c = 1.0, CHCl3). m.p. 122–123 °C. 1H NMR (600 MHz, DMSO-d6) δ 8.62 (d, J = 7.5 Hz, 1H, minor), 7.75 (d, J = 7.6 Hz, 1H, major), 7.34 (m, 5H), 7.01 (d, J = 7.0 Hz, 1H), 5.11 (dd, J = 14.4, 6.5 Hz, 2H), 5.05 (d, J = 12.7 Hz, 1H), 4.48–4.21 (m, 1H), 4.18 (t, J = 7.6 Hz, 1H), 2.92 (s, 3H, major), 2.83 (s, 3H, minor), 1.75–1.48 (m, 10H), 1.34 (d, J = 18.2 Hz, 10H), 1.25–0.93 (m, 5H), 0.84 (m, 12H). 13C NMR (151 MHz, DMSO-d6) δ 173.2, 172.5, 171.4, 156.5, 136.4, 128.9, 128.9, 128.4, 128.1, 78.7, 66.3, 55.8, 54.3, 51.1, 37.1, 31.3, 29.2, 28.9, 28.6, 26.2, 26.2, 26.0, 24.8, 24.7, 23.8, 23.2, 21.5, 21.4. HRMS (ESI) m/z calcd. for C33H53N3O6 [M + Na]+: 610.3827; found: 610.3833.
- N-Boc-D-Phenyl-Gly-Me-L-Leu-L-Leu-OBn 5t. The 5t was synthesized according to the method of 5 from 4a (10.0 g, 28.7 mmol, 1.0 equiv) and N-Boc-D-Phenyl-Gly-OH (7.9 g, 31.5 mmol, 1.1 equiv), HOBT (4.2 g, 31.5 mmol, 1.1 equiv), and EDCI (6.0 g, 31.5 mmol, 1.1 equiv). The crude product was purified by silica gel chromatography (hexane/EtOAc = 80:20, v/v) to obtain 5t (15.0 g, 25.8 mmol, 90% yield) as a white solid. [α]25D = −335.6 (c = 1.0, CHCl3). m.p. 121–122 °C. 1H NMR (600 MHz, DMSO-d6) δ 8.05 (d, J = 7.6 Hz, 1H), 7.57–6.88 (m, 10H), 5.52 (d, J = 7.4 Hz, 1H), 5.11 (dd, J = 17.0, 8.8 Hz, 2H), 5.07 (s, 1H), 4.33 (dd, J = 7.6, 3.5 Hz, 1H), 2.87–2.65 (m, 3H), 1.75–1.38 (m, 5H), 1.36 (d, J = 7.6 Hz, 9H), 1.02–0.49 (m, 12H). 13C NMR (151 MHz, DMSO-d6) δ 172.6, 171.5, 171.3, 136.4, 128.9, 128.8, 128.6, 128.5, 128.4, 128.3, 78.9, 66.4, 55.9, 54.4, 51.0, 37.2, 30.9, 28.6, 24.7, 24.5, 23.6, 23.3, 21.6, 21.5. HRMS (ESI) m/z calcd. for C33H47N3O6 [M + Na]+: 604.3357; found: 604.3367.
- N-Boc-D-Val-Me-L-Leu-L-Leu-OBn 5u. The 5u was synthesized according to the method of 5 from 4a (10.0 g, 28.7 mmol, 1.0 equiv) and N-Boc-D-Val-OH (6.8 g, 31.5 mmol, 1.1 equiv), HOBT (4.2 g, 31.5 mmol, 1.1 equiv), and EDCI (6.0 g, 31.5 mmol, 1.1 equiv). The crude product was purified by silica gel chromatography (hexane/EtOAc = 80:20, v/v) to obtain 5u (13.5 g, 24.7 mmol, 86% yield) as a white solid. [α]25D = −275.6 (c = 1.0, CHCl3). m.p. 108–109 °C. 1H NMR (600 MHz, DMSO-d6) δ 8.23 (d, J = 7.7 Hz, 1H), 7.44–7.18 (m, 5H), 6.90 (d, J = 8.4 Hz, 1H), 5.16 (dd, J = 10.7, 4.5 Hz, 1H), 5.13–5.04 (m, 2H), 4.38–4.21 (m, 1H), 4.09 (t, J = 8.7 Hz, 1H), 2.99 (s, 3H, major), 2.67 (s, 3H, minor), 2.00–1.79 (m, 1H), 1.69–1.37 (m, 6H), 1.36 (s, 9H), 0.95–0.66 (m, 18H). 13C NMR (151 MHz, DMSO-d6) δ 173.4, 172.6, 171.5, 156.1, 136.4, 128.9, 128.5, 128.3, 78.4, 66.4, 56.3, 53.6, 50.8, 37.5, 31.1, 30.1, 28.6, 28.6, 24.6, 24.5, 23.7, 23.3, 22.0, 21.4, 19.2. HRMS (ESI) m/z calcd. for C30H49N3O6 [M + Na]+: 570.3514; found: 570.3524.
- N-Boc-D-Met-Me-L-Leu-L-Leu-OBn 5v. The 5v was synthesized according to the method of 5 from 4a (10.0 g, 28.7 mmol, 1.0 equiv) and N-Boc-D-Met-OH (7.8 g, 31.5 mmol, 1.1 equiv), HOBT (4.2 g, 31.5 mmol, 1.1 equiv), and EDCI (6.0 g, 31.5 mmol, 1.1 equiv). The crude product was purified by silica gel chromatography (hexane/EtOAc = 80:20, v/v) to obtain 5v (14.0 g, 23.6 mmol, 82% yield) as a white solid. [α]25D = −275.6 (c = 1.0, CHCl3). m.p. 95–96 °C. 1H NMR (600 MHz, DMSO-d6) δ 7.69 (d, J = 7.7 Hz, 1H), 7.35 (m, 5H), 7.22 (d, J = 6.7 Hz, 1H), 5.12 (d, J = 12.6 Hz, 2H), 5.06 (d, J = 12.7 Hz, 1H), 4.49 (d, J = 7.1 Hz, 1H), 4.32 (d, J = 10.3 Hz, 1H), 2.93 (s, 3H, major), 2.78 (s, 3H, minor), 2.47 (d, J = 7.4 Hz, 2H), 2.01 (s, 3H), 1.86–1.73 (m, 2H), 1.62 (td, J = 35.0, 31.7, 19.2 Hz, 6H), 1.36 (d, J = 14.4 Hz, 9H), 0.85 (m, 12H). 13C NMR (151 MHz, DMSO-d6) δ 173.2, 172.5, 171.2, 156.3, 136.4, 128.9, 128.4, 128.1, 78.8, 66.3, 54.4, 51.1, 50.2, 36.8, 31.1, 30.9, 30.0, 28.6, 28.6, 24.9, 24.7, 23.7, 23.2, 21.7, 21.5, 15.1. HRMS (ESI) m/z calcd. for C30H49N3O6S [M + Na]+: 602.3234; found: 602.3244.
- N-Boc-3-Me-D-Phe-Me-L-Leu-L-Leu-OBn 5w. The 5w was synthesized according to the method of 5 from 4a (10.0 g, 28.7 mmol, 1.0 equiv) and N-Boc-3-Me-D-Phe-OH (8.8 g, 31.5 mmol, 1.1 equiv), HOBT (4.2 g, 31.5 mmol, 1.1 equiv), and EDCI (6.0 g, 31.5 mmol, 1.1 equiv). The crude product was purified by silica gel chromatography (hexane/EtOAc = 80:20, v/v) to obtain 5w (15.0 g, 24.6 mmol, 86% yield) as a white solid. [α]25D = −475.4 (c = 1.0, CHCl3). m.p. 121–122 °C. 1H NMR (600 MHz, DMSO-d6) δ 7.64 (d, J = 7.7 Hz, 1H), 7.49–7.22 (m, 5H), 7.24–6.82 (m, 4H), 5.10 (t, J = 14.0 Hz, 2H), 5.04 (d, J = 12.5 Hz, 1H), 4.65 (t, J = 7.1 Hz, 1H), 4.42–4.15 (m, 1H), 2.97–2.73 (m, 2H), 2.67 (s, 3H), 2.25 (s, 3H), 1.82–1.44 (m, 4H), 1.30 (d, J = 21.2 Hz, 9H), 1.22 (m, 2H), 0.99–0.56 (m, 12H). 13C NMR (151 MHz, DMSO-d6) δ 173.1, 172.5, 171.2, 156.3, 137.6, 137.2, 136.4, 130.4, 128.9, 128.49, 128.4, 128.1, 127.6, 126.9, 78.9, 66.1, 54.4, 52.2, 51.1, 37.6, 36.7, 30.9, 28.5, 24.7, 24.0, 23.8, 23.3, 21.8, 21.5, 21.4. HRMS (ESI) m/z calcd. for C35H51N3O6 [M + Na]+: 632.3671; found: 632.3678.
- N-Boc-4-Me-D-Phe-Me-L-Leu-L-Leu-OBn 5x. The 5x was synthesized according to the method of 5 from 4a (10.0 g, 28.7 mmol, 1.0 equiv) and N-Boc-2-Me-D-Phe-OH (8.8 g, 31.5 mmol, 1.1 equiv), HOBT (4.2 g, 31.5 mmol, 1.1 equiv), and EDCI (6.0 g, 31.5 mmol, 1.1 equiv). The crude product was purified by silica gel chromatography (hexane/EtOAc = 80:20, v/v) to obtain 5x (14.5 g, 23.8 mmol, 83% yield) as a white solid. [α]25D = −356.7 (c = 1.0, CHCl3). m.p. 161–162 °C. 1H NMR (600 MHz, DMSO-d6) δ 7.61 (d, J = 7.6 Hz, 1H), 7.43 (d, J = 5.7 Hz, 1H), 7.40–7.23 (m, 4H), 7.09 (m, 4H), 5.28–4.93 (m, 3H), 4.62 (q, J = 6.9 Hz, 1H), 4.41–4.24 (m, 1H), 2.97–2.73 (m, 2H), 2.66 (s, 3H), 2.25 (s, 3H), 1.76–1.38 (m, 4H), 1.37–1.07 (m, 9H), 0.97–0.43 (m, 12H). 13C NMR (151 MHz, DMSO-d6) δ 173.1, 172.4, 171.2, 156.3, 136.4, 136.0, 134.1, 129.7, 129.2, 128.9, 128.4, 128.1, 78.9, 66.2, 54.4, 52.2, 51.1, 39.3, 37.2, 36.6, 30.9, 28.5, 24.7, 23.9, 23.7, 23.2, 21.8, 21.4, 21.1. HRMS (ESI) m/z calcd. for C35H51N3O6 [M + Na]+: 632.3671; found: 632.3678.
3.1.6. Synthesis of 6
The product 5 (24.6 mmol, 1.0 equiv) was dissolved in DCM (0.5 M), followed by addition of TFA (0.1 M). The reaction mixture was stirred at room temperature for 1 h. After that, excess TFA and DCM was removed in vacuo to produce 6 as a colorless oil.
3.1.7. Synthesis of 8
Products 6 (30.7 mmol, 1.1 equiv) and 7 (27.9 mmol, 1.0 equiv) and HOBT (30.7 mmol, 1.1 equiv) were added to dry DCM (0.5 M) at 0 °C. At this temperature, the EDCI (30.7 mmol, 1.1 equiv) was slowly added. The reaction mixture was warmed to 23 °C and stirred for 12 h. After most of the DCM was removed in vacuo, the reaction solution was washed with two 800 mL portions of 0.5 N hydrochloric acid and two 800 mL portions of saturated Na2CO3 solution. Then, the layers were separated, and the combined organic layer was dried over Na2SO4. The solvent was removed in vacuo to obtained dipeptide. The crude product was purified by silica gel chromatography (EtOAc/petroleum ether = 70:30, v/v) to obtain 8 as a white solid. The extra peaks are generated because the nitrogen atom in these compounds is bonded to three different groups, and C–N bond rotation leads to the emergence of rotamers and consequent splitting in the NMR spectra, as referenced in the literature [18].
- N-Boc-Me-D-Leu-D-Leu-D-Leu-Me-D-Leu-D-Leu-OBn 8a. The 8a was synthesized according to the method of 8 from 7d (10.0 g, 27.9 mmol, 1.0 equiv) and 6a (14.1 g, 30.7 mmol, 1.1 equiv), HOBT (4.1 g, 30.7 mmol, 1.1 equiv), and EDCI (5.9 g, 30.7 mmol, 1.1 equiv). The crude product was purified by silica gel chromatography (hexane/EtOAc = 70:30, v/v) to obtain 8a (19.4 g, 24.2 mmol, 84% yield) as a white solid. [α]25D = −175.6 (c = 1.0, CHCl3). m.p. 138–139 °C. 1H NMR (600 MHz, DMSO-d6) δ 8.24 (d, J = 8.0 Hz, 1H), 8.21–8.02 (m, 1H), 7.83 (m, 1H), 7.34 (m, 5H), 5.10 (d, J = 8.0 Hz, 3H), 4.82–4.43 (m, 2H), 4.43–4.06 (m, 2H), 2.92 (s, 3H, major), 2.67 (d, J = 18.0 Hz, 3H), 2.57 (s, 3H, minor), 1.79–1.19 (m, 25H), 0.84 (m, 30H). 13C NMR (151 MHz, DMSO-d6) δ 172.8, 172.6, 172.1, 171.3, 136.4, 128.9, 128.5, 128.2, 79.4, 66.3, 53.95, 50.8, 47.3, 41.6, 37.8, 37.7, 30.9, 28.5, 24.8, 24.7, 24.5, 23.6, 23.5, 23.4, 23.3, 22.1, 22.0, 22.0, 21.6. HRMS (ESI) m/z calcd. for C44H75N5O8 [M + Na]+: 824.5508; found: 824.5507.
- N-Boc-Me-L-Leu-L-Leu-D-Leu-Me-L-Leu-L-Leu-OBn 8b. The 8b was synthesized according to the method of 8 from 7a (10.0 g, 27.9 mmol, 1.0 equiv) and 6b (14.1 g, 30.7 mmol, 1.1 equiv), HOBT (4.1 g, 30.7 mmol, 1.1 equiv), and EDCI (5.9 g, 30.7 mmol, 1.1 equiv). The crude product was purified by silica gel chromatography (hexane/EtOAc = 70:30, v/v) to obtain 8b (19.5 g, 24.3 mmol, 87% yield) as a white solid. [α]25D = −164.7 (c = 1.0, CHCl3). m.p. 138–139 °C. 1H NMR (600 MHz, DMSO-d6) δ 8.13 (m, 1H), 8.01–7.84 (m, 1H), 7.68 (m, 1H), 7.35 (m, 5H), 5.16–5.06 (m, 2H), 4.87 (d, J = 198.8 Hz, 1H), 4.68–4.61 (m, 1H), 4.58–4.42 (m, 1H), 4.42–4.23 (m, 2H), 2.96 (s, 3H, major), 2.80 (s, 3H, minor), 2.69 (d, J = 5.1 Hz, 3H), 1.82–1.43 (m, 11H), 1.43–1.28 (m, 13H), 0.85 (m, 30H). 13C NMR (151 MHz, DMSO-d6) δ 172.6, 172.6, 172.0, 171.3, 171.0, 155.4, 136.4, 128.8, 128.5, 128.3, 79.4, 66.4, 55.3, 53.8, 50.8, 47.3, 41.3, 37.4, 30.7, 30.1, 28.4, 24.9, 24.7, 24.6, 24.6, 24.5, 23.6, 23.5, 23.3, 22.2, 22.1, 22.0, 21.6, 21.4. HRMS (ESI) m/z calcd. for C44H75N5O8 [M + Na]+: 824.5508; found: 824.5507.
- N-Boc-Me-D-Leu-L-Leu-L-Leu-Me-D-Leu-L-Leu-OBn 8c. The 8c was synthesized according to the method of 8 from 7b (10.0 g, 27.9 mmol, 1.0 equiv) and 6c (14.1 g, 30.7 mmol, 1.1 equiv), HOBT (4.1 g, 30.7 mmol, 1.1 equiv), and EDCI (5.9 g, 30.7 mmol, 1.1 equiv). The crude product was purified by silica gel chromatography (hexane/EtOAc = 70:30, v/v) to obtain 8c (18.7 g, 23.3 mmol, 83% yield) as a white solid. [α]25D = −154.2 (c = 1.0, CHCl3). m.p. 138–139 °C. 1H NMR (600 MHz, DMSO-d6) δ 8.46 (d, J = 7.6 Hz, 1H, minor), 8.28–7.98 (m, 1H, major), 7.98–7.50 (m, 2H), 7.34 (m, 5H), 5.10 (d, J = 6.8 Hz, 3H), 4.71–4.43 (m, 2H), 4.43–4.25 (m, 2H), 2.84 (s, 3H, major), 2.74 (s, 3H, minor), 2.70 (d, J = 15.3 Hz, 3H), 1.84–1.11 (m, 24H), 0.84 (m, 30H). 13C NMR (151 MHz, DMSO-d6) δ 173.0, 172.6, 172.5, 171.1, 136.3, 128.9, 128.5, 128.4, 128.4, 79.41, 66.4, 54.2, 51.0, 50.9, 48.2, 37.8, 30.9, 28.4, 25.0, 24.9, 24.7, 24.6, 23.7, 23.6, 23.5, 23.3, 22.0, 21.9, 21.6, 21.5. HRMS (ESI) m/z calcd. for C44H75N5O8 [M + Na]+: 824.5508; found: 824.5507.
- N-Boc-Me-D-Leu-L-Leu-D-Leu-Me-D-Leu-L-Leu-OBn 8d. The 8d was synthesized according to the method of 8 from 7b (10.0 g, 27.9 mmol, 1.0 equiv) and 6d (14.1 g, 30.7 mmol, 1.1 equiv), HOBT (4.1 g, 30.7 mmol, 1.1 equiv), and EDCI (5.9 g, 30.7 mmol, 1.1 equiv). The crude product was purified by silica gel chromatography (hexane/EtOAc = 70:30, v/v) to obtain 8d (17.9 g, 22.3 mmol, 79% yield) as a white solid. [α]25D = −145.6 (c = 1.0, CHCl3). m.p. 138–139 °C 1H NMR (600 MHz, DMSO-d6) δ 8.54–7.95 (m, 1H), 7.90–7.55 (m, 2H), 7.34 (m, 5H), 5.11 (t, J = 9.7 Hz, 3H), 4.77–4.42 (m, 2H), 4.42–4.22 (m, 2H), 2.79 (d, J = 64.4 Hz, 3H), 2.70 (d, J = 15.3 Hz, 3H), 1.79–1.44 (m, 11H), 1.38 (s, 13H), 0.99–0.66 (m, 30H). 13C NMR (151 MHz, DMSO-d6) δ 172.9, 172.6, 172.5, 171.1, 136.3, 128.9, 128.5, 128.4, 128.4, 79.4, 66.4, 54.2, 50.9, 50.9, 48.2, 39.6, 37.8, 30.9, 28.4, 25.0, 24.9, 24.7, 24.6, 23.7, 23.6, 23.5, 23.3, 22.0, 21.9, 21.6, 21.5. HRMS (ESI) m/z calcd. for C44H75N5O8 [M + Na]+: 824.5508; found: 824.5507.
- N-Boc-Me-L-Leu-D-Leu-L-Leu-Me-L-Leu-D-Leu-OBn 8e. The 8e was synthesized according to the method of 8 from 7c (10.0 g, 27.9 mmol, 1.0 equiv) and 6e (14.1 g, 30.7 mmol, 1.1 equiv), HOBT (4.1 g, 30.7 mmol, 1.1 equiv), and EDCI (5.9 g, 30.7 mmol, 1.1 equiv). The crude product was purified by silica gel chromatography (hexane/EtOAc = 70:30, v/v) to obtain 8e (19.1 g, 23.8 mmol, 84% yield) as a white solid. [α]25D = −134.6 (c = 1.0, CHCl3). m.p. 138–139 °C. 1H NMR (600 MHz, DMSO-d6) δ 8.24 (d, J = 8.0 Hz, 1H), 8.19–8.01 (m, 1H), 7.83 (m, 1H), 7.34 (m, 5H), 5.10 (d, J = 8.0 Hz, 3H), 4.72 (q, J = 7.9 Hz, 1H), 4.68–4.44 (m, 1H), 4.44–4.32 (m, 1H), 4.32–4.23 (m, 1H), 2.92 (s, 3H), 2.69–2.54 (m, 3H), 1.70–1.42 (m, 11H), 1.42–1.24 (m, 12H), 0.84 (m, 30H). 13C NMR (151 MHz, DMSO-d6) δ 172.8, 172.6, 172.1, 171.3, 136.4, 128.9, 128.5, 128.2, 79.4, 66.3, 53.9, 50.8, 47.3, 41.6, 37.8, 37.7, 30.9, 28.5, 24.8, 24.7, 24.6, 23.6, 23.5, 23.4, 23.3, 22.1, 22.0, 22.0, 21.6. HRMS (ESI) m/z calcd. for C44H75N5O8 [M + Na]+: 824.5508; found: 824.5507.
- N-Boc-Me-L-Leu-D-Leu-D-Leu-Me-L-Leu-D-Leu-OBn 8f. The 8f was synthesized according to the method of 8 from 4c (10.0 g, 27.9 mmol, 1.0 equiv) and 6f (14.1 g, 30.7 mmol, 1.1 equiv), HOBT (4.1 g, 30.7 mmol, 1.1 equiv), and EDCI (5.9 g, 30.7 mmol, 1.1 equiv). The crude product was purified by silica gel chromatography (hexane/EtOAc = 70:30, v/v) to obtain 8f (19.7 g, 24.6 mmol, 86% yield) as a white solid. [α]25D = −165.6 (c = 1.0, CHCl3). m.p. 138–139 °C. 1H NMR (600 MHz, DMSO-d6) δ 8.56–8.01 (m, 1H), 7.97–7.53 (m, 2H), 7.35 (dp, J = 15.6, 7.2 Hz, 5H), 5.11 (t, J = 9.7 Hz, 3H), 4.78–4.43 (m, 2H), 4.43–4.26 (m, 2H), 2.84 (s, 3H, major), 2.74 (s, 3H, minor), 2.70 (d, J = 15.3 Hz, 3H), 1.79–1.45 (m, 11H), 1.39 (s, 14H), 0.84 (m, 30H). 13C NMR (151 MHz, DMSO-d6) δ 172.8, 172.6, 172.1, 171.3, 136.4, 128.9, 128.5, 128.2, 79.4, 66.3, 53.95, 50.8, 47.3, 41.6, 37.8, 37.7, 30.9, 28.5, 24.8, 24.7, 24.5, 23.6, 23.5, 23.4, 23.3, 22.1, 22.0, 22.0, 21.6. HRMS (ESI) m/z calcd. for C44H75N5O8 [M + Na]+: 824.5508; found: 824.5507.
- N-Boc-Me-D-Leu-D-Leu-L-Leu-Me-D-Leu-D-Leu-OBn 8g. The 8g was synthesized according to the method of 8 from 7d (10.0 g, 27.9 mmol, 1.0 equiv) and 6g (14.1 g, 30.7 mmol, 1.1 equiv), HOBT (4.1 g, 30.7 mmol, 1.1 equiv), and EDCI (5.9 g, 30.7 mmol, 1.1 equiv). The crude product was purified by silica gel chromatography (hexane/EtOAc = 70:30, v/v) to obtain 8g (18.6 g, 23.2 mmol, 81% yield) as a white solid. [α]25D = −154.8 (c = 1.0, CHCl3). m.p. 138–139 °C. 1H NMR (600 MHz, DMSO-d6) δ 8.23 (d, J = 7.7 Hz, 1H), 8.11–7.90 (m, 1H), 7.76 (m, 8.4 Hz, 1H), 7.35 (m, 5H), 5.27–4.95 (m, 3H), 4.73 (m, 1H), 4.68–4.40 (m, 1H), 4.40–4.20 (m, 2H), 2.91 (s, 3H), 2.75–2.58 (m, 3H), 1.71–1.43 (m, 11H), 1.42–1.23 (m, 14H), 0.98–0.67 (m, 30H). 13C NMR (151 MHz, DMSO-d6) δ 172.6, 172.6, 172.0, 171.3, 171.0, 155.4, 136.4, 128.8, 128.5, 128.3, 79.4, 66.4, 55.3, 53.8, 50.8, 47.3, 41.3, 37.4, 30.7, 30.1, 28.4, 24.9, 24.7, 24.6, 24.6, 24.5, 23.6, 23.5, 23.3, 22.2, 22.1, 22.0, 21.6, 21.4. HRMS (ESI) m/z calcd. for C44H75N5O8 [M + Na]+: 824.5508; found: 824.5507.
- N-Boc-Me-L-Leu-L-Leu-D-Pro-Me-L-Leu-L-Leu-OBn 8h. The 8h was synthesized according to the method of 8 from 7a (10.0 g, 27.9 mmol, 1.0 equiv) and 6h (13.7 g, 30.7 mmol, 1.1 equiv), HOBT (4.1 g, 30.7 mmol, 1.1 equiv), and EDCI (5.9 g, 30.7 mmol, 1.1 equiv). The crude product was purified by silica gel chromatography (hexane/EtOAc = 70:30, v/v) to obtain 8h (19.0 g, 24.2 mmol, 88% yield) as a white solid. [α]25D = −178.9 (c = 1.0, CHCl3). m.p. 169–170 °C. 1H NMR (600 MHz, DMSO-d6) δ 8.19 (d, J = 7.6 Hz, 1H), 7.90 (m, 1H), 7.39–7.29 (m, 5H), 5.18–5.06 (m, 2H), 5.05–4.81 (m, 1H), 4.77–4.58 (m, 1H), 4.58–4.42 (m, 2H), 4.37–4.20 (m, 1H), 3.71 (d, J = 8.3 Hz, 1H), 3.57–3.38 (m, 1H), 2.91 (s, 3H, major), 2.69 (d, J = 7.7 Hz, 3H), 2.60 (d, J = 5.5 Hz, 1H, minor), 2.19–2.07 (m, 1H), 2.04–1.95 (m, 1H), 1.93–1.82 (m, 1H), 1.75–1.53 (m, 5H), 1.52–1.39 (m, 9H), 1.34–1.21 (m, 10H), 1.02–0.62 (m, 24H). 13C NMR (151 MHz, DMSO-d6) δ 172.6, 172.2, 171.5, 136.4, 128.9, 128.5, 128.3, 66.4, 56.9, 50.8, 47.1, 37.3, 35.0, 34.8, 31.6, 30.3, 28.5, 24.8, 24.7, 24.6, 23.7, 23.7, 23.3, 22.0, 21.5. HRMS (ESI) m/z calcd. for C43H71N5O8 [M + Na]+: 808.5195; found: 808.5203.
- N-Boc-Me-L-Leu-L-Leu-D-Phe-Me-L-Leu-L-Leu-OBn 8i. The 8i was synthesized according to the method of 8 from 7a (10.0 g, 27.9 mmol, 1.0 equiv) and 6i (15.2 g, 30.7 mmol, 1.1 equiv), HOBT (4.1 g, 30.7 mmol, 1.1 equiv), and EDCI (5.9 g, 30.7 mmol, 1.1 equiv). The crude product was purified by silica gel chromatography (hexane/EtOAc = 70:30, v/v) to obtain 8i (20.0 g, 23.9 mmol, 86% yield) as a white solid. [α]25D = −155.6 (c = 1.0, CHCl3). m.p. 141–142 °C. 1H NMR (600 MHz, DMSO-d6) δ 8.37–8.22 (m, 1H), 8.19 (d, J = 7.6 Hz, 1H), 7.63 (m 1H), 7.35 (m, 5H), 7.27–7.09 (m, 5H), 5.12 (dd, J = 15.7, 11.2 Hz, 2H), 5.08 (d, J = 7.2 Hz, 1H), 4.89 (q, J = 7.3 Hz, 1H), 4.66–4.38 (m, 1H), 4.38–4.17 (m, 2H), 2.98 (dd, J = 13.9, 5.9 Hz, 1H), 2.84 (s, 3H, major), 2.83–2.78 (m, 1H), 2.69 (d, J = 12.3 Hz, 3H), 2.55(s, 3H, minor), 1.67–1.44 (m, 7H), 1.44–1.17 (m, 14H), 0.96–0.65 (m, 24H). 13C NMR (151 MHz, DMSO-d6) δ 172.6, 172.0, 171.4, 155.4, 137.9, 136.4, 129.9, 129.7, 128.9, 128.8, 128.5, 128.3, 128.2, 126.7, 79.4, 66.4, 60.2, 53.9, 50.9, 41.6, 37.6, 30.8, 30.2, 28.4, 24.9, 24.8, 24.6, 23.7, 23.2, 22.0, 21.7, 21.6, 21.2. HRMS (ESI) m/z calcd. for C47H73N5O8 [M + Na]+: 858.5351; found: 858.5359.
- N-Boc-Me-L-Leu-L-Leu-Gly-Me-L-Leu-L-Leu-OBn 8j. The 8j was synthesized according to the method of 8 from 7a (10.0 g, 27.9 mmol, 1.0 equiv) and 6j (12.4 g, 30.7 mmol, 1.1 equiv), HOBT (4.1 g, 30.7 mmol, 1.1 equiv), and EDCI (5.9 g, 30.7 mmol, 1.1 equiv). The crude product was purified by silica gel chromatography (hexane/EtOAc = 70:30, v/v) to obtain 8j (17.5 g, 23.5 mmol, 84% yield) as a white solid. [α]25D = −167.5 (c = 1.0, CHCl3). m.p. 137–138 °C. 1H NMR (600 MHz, DMSO-d6) δ 8.60 (d, J = 7.6 Hz, 1H, minor), 8.23 (d, J = 7.6 Hz, 1H, major), 8.03–7.73 (m, 2H), 7.51–7.16 (m, 5H), 5.17–5.09 (m, 2H), 5.07 (t, J = 5.4 Hz, 1H), 4.64 (s, 1H, major), 4.50 (d, J = 6.4 Hz, 1H, minor), 4.41–4.24 (m, 2H), 3.97 (d, J = 5.1 Hz, 2H), 2.82 (s, 3H, major), 2.78 (s, 3H, minor), 2.71 (s, 3H), 1.57 (m, 10H), 1.40 (d, J = 9.9 Hz, 11H), 1.02–0.61 (m, 24H). 13C NMR (151 MHz, DMSO-d6) δ 172.6, 172.5, 171.5, 170.50, 169.5, 136.4, 128.9, 128.5, 128.4, 128.3, 66.4, 54.3, 51.0, 41.4, 41.1, 37.5, 30.2, 28.5, 25.0, 24.8, 24.7, 24.7, 23.7, 23.6, 23.2, 23.2, 23.0, 22.6, 21.9, 21.7, 21.6. HRMS (ESI) m/z calcd. for C40H67N5O8 [M + Na]+: 768.4882; found: 768.4892.
- N-Boc-Me-L-Leu-L-Leu-D-Ala-Me-L-Leu-L-Leu-OBn 8k. The 8k was synthesized according to the method of 8 from 7a (10.0 g, 27.9 mmol, 1.0 equiv) and 6k (12.9 g, 30.7 mmol, 1.1 equiv), HOBT (4.1 g, 30.7 mmol, 1.1 equiv), and EDCI (5.9 g, 30.7 mmol, 1.1 equiv). The crude product was purified by silica gel chromatography (hexane/EtOAc = 70:30, v/v) to obtain 8k (18.0 g, 23.7 mmol, 85% yield) as a white solid. [α]25D = −187.5 (c = 1.0, CHCl3). m.p. 128–129 °C. 1H NMR (600 MHz, DMSO-d6) δ 8.67–8.04 (m, 1H), 7.99 (dd, J = 29.8, 7.5 Hz, 1H), 7.72 (dd, J = 79.4, 8.9 Hz, 1H), 7.48–7.23 (m, J = 6.6 Hz, 5H), 5.16–5.08 (m, 2H), 5.06 (d, J = 7.9 Hz, 1H), 4.77–4.42 (m, 2H), 4.32 (dp, J = 17.5, 6.0, 5.5 Hz, 2H), 2.91 (s, 3H, major), 2.83 (s, 3H, minor), 2.70 (s, 3H), 1.83–1.47 (m, 9H), 1.40 (d, J = 6.9 Hz, 13H), 1.16 (d, J = 6.7 Hz, 3H), 0.98–0.54 (m, 24H). 13C NMR (151 MHz, DMSO-d6) δ 173.3, 173.1, 172.6, 171.3, 155.9, 136.4, 128.9, 128.5, 128.4, 128.2, 79.5, 66.5, 66.3, 54.4, 51.5, 51.1, 45.7, 44.7, 37.2, 31.1, 30.2, 28.4, 25.0, 24.9, 24.7, 24.7, 23.7, 23.6, 23.5, 23.4, 23.2, 22.2, 21.8, 21.6, 21.6, 21.3. HRMS (ESI) m/z calcd. for C41H69N5O8 [M + Na]+: 782.5039; found: 782.5032.
- N-Boc-Me-L-Leu-L-Leu-O-Me-D-Ser-Me-L-Leu-L-Leu-OBn 8l. The 8l was synthesized according to the method of 8 from 7a (10.0 g, 27.9 mmol, 1.0 equiv) and 6l (13.8 g, 30.7 mmol, 1.1 equiv), HOBT (4.1 g, 30.7 mmol, 1.1 equiv), and EDCI (5.9 g, 30.7 mmol, 1.1 equiv). The crude product was purified by silica gel chromatography (hexane/EtOAc = 70:30, v/v) to obtain 8l (19.1 g, 24.1 mmol, 86% yield) as a white solid. [α]25D = −198.6 (c = 1.0, CHCl3). m.p. 139–140 °C. 1H NMR (600 MHz, DMSO-d6) δ 8.14 (m, 1H), 7.97 (m, 1H), 7.74 (m, 1H), 7.47–7.16 (m, 5H), 5.11 (m, 2H), 5.06 (d, J = 9.6 Hz, 1H), 4.97–4.74 (m, 1H), 4.66–4.45 (m, 1H), 4.42–4.18 (m, 2H), 3.45 (d, J = 6.3 Hz, 2H), 3.22 (s, 3H, major), 3.17 (s, 3H, minor), 2.94 (s, 3H, major), 2.80 (s, 3H, minor), 2.70 (d, J = 5.2 Hz, 3H), 1.82–1.46 (m, 9H), 1.40 (d, J = 7.1 Hz, 13H), 1.00–0.63 (m, 24H). 13C NMR (151 MHz, DMSO-d6) δ 172.6, 172.4, 171.3, 171.0, 170.5, 156.0, 136.4, 128.8, 128.4, 128.4, 128.2, 79.4, 72.7, 72.2, 66.5, 66.3, 58.9, 54.6, 51.5, 51.1, 41.4, 38.9, 37.2, 31.3, 28.4, 24.9, 24.7, 24.6, 23.8, 23.5, 23.2, 21.8, 21.6, 21.5. HRMS (ESI) m/z calcd. for C42H71N5O9 [M + Na]+: 812.5144; found: 812.5152.
- N-Boc-Me-L-Leu-L-Leu-O-Me-D-Tyr-Me-L-Leu-L-Leu-OBn 8m. The 8m was synthesized according to the method of 8 from 7a (10.0 g, 27.9 mmol, 1.0 equiv) and 6m (16.1 g, 30.7 mmol, 1.1 equiv), HOBT (4.1 g, 30.7 mmol, 1.1 equiv), and EDCI (5.9 g, 30.7 mmol, 1.1 equiv). The crude product was purified by silica gel chromatography (hexane/EtOAc = 70:30, v/v) to obtain 8m (23.2 g, 26.6 mmol, 95% yield) as a white solid. [α]25D = −156.6 (c = 1.0, CHCl3). m.p. 141–142 °C. 1H NMR (600 MHz, DMSO-d6) δ 8.60–8.19 (m, 1H), 8.16 (d, J = 7.5 Hz, 1H), 7.65 (mm, 1H), 7.35 (m, 5H), 7.12 (d, J = 8.1 Hz, 2H), 6.76 (d, J = 8.0 Hz, 2H), 5.11 (q, J = 12.9 Hz, 3H), 4.83 (t, J = 7.4 Hz, 1H), 4.65–4.42 (m, 1H), 4.32 (m, 2H), 3.70 (d, J = 8.9 Hz, 3H), 2.91 (dd, J = 14.1, 5.8 Hz, 1H), 2.85 (s, 3H, major), 2.79–2.73 (m, 1H), 2.69 (d, J = 13.1 Hz, 3H), 2.56 (s, 3H, minor), 1.72–1.13 (m, 21H), 1.03–0.57 (m, 24H). 13C NMR (151 MHz, DMSO-d6) δ 172.6, 172.1, 171.4, 158.3, 136.4, 130.7, 129.7, 128.9, 128.5, 128.3, 128.2, 113.9, 79.4, 66.4, 55.3, 53.9, 50.9, 37.6, 30.9, 30.16, 28.43, 24.92, 24.78, 24.54, 23.67, 23.22, 21.96, 21.64. HRMS (ESI) m/z calcd. for C48H75N5O9 [M + H]+: 888.5457; found: 888.5456.
- N-Boc-Me-L-Leu-L-Leu-Methylester-D-Asp-Me-L-Leu-L-Leu-OBn 8n. The 8n was synthesized according to the method of 8 from 7a (10.0 g, 27.9 mmol, 1.0 equiv) and 6n (14.6 g, 30.7 mmol, 1.1 equiv), HOBT (4.1 g, 30.7 mmol, 1.1 equiv), and EDCI (5.9 g, 30.7 mmol, 1.1 equiv). The crude product was purified by silica gel chromatography (hexane/EtOAc = 70:30, v/v) to obtain 8n (20.0 g, 24.5 mmol, 88% yield) as a white solid. [α]25D = −139.8 (c = 1.0, CHCl3). m.p. 139–140 °C. 1H NMR (600 MHz, DMSO-d6) δ 8.70–8.27 (m, 1H), 7.80 (d, J = 8.2 Hz, 2H), 7.49–7.18 (m, 5H), 5.10 (d, J = 6.0 Hz, 2H), 5.07 (d, J = 9.1 Hz, 2H), 4.69–4.42 (m, 1H), 4.39–4.23 (m, 2H), 3.54 (s, 3H), 2.95 (d, J = 8.8 Hz, 3H), 2.91–2.85 (m, 1H), 2.75–2.63 (m, 3H), 2.61–2.52 (m, 1H), 1.73–1.17 (m, 21H), 1.05–0.55 (m, 24H). 13C NMR (151 MHz, DMSO-d6) δ 172.5, 171.8, 171.1, 136.4, 128.9, 128.5, 128.2, 66.4, 54.2, 51.9, 51.0, 41.5, 37.0, 36.6, 30.8, 28.4, 24.9, 24.7, 24.6, 24.4, 23.8, 23.6, 23.2, 21.9, 21.7, 21.5. HRMS (ESI) m/z calcd. for C43H71N5O10 [M + H]+: 840.5093; found: 840.5101.
- N-Boc-Me-L-Leu-L-Leu-3-Flu-D-Phe-Me-L-Leu-L-Leu-OBn 8o. The 8o was synthesized according to the method of 8 from 7a (10.0 g, 27.9 mmol, 1.0 equiv) and 6o (15.7 g, 30.7 mmol, 1.1 equiv), HOBT (4.1 g, 30.7 mmol, 1.1 equiv), and EDCI (5.9 g, 30.7 mmol, 1.1 equiv). The crude product was purified by silica gel chromatography (hexane/EtOAc = 70:30, v/v) to obtain 8o (21.2 g, 24.6 mmol, 88% yield) as a white solid. [α]25D = −145.6 (c = 1.0, CHCl3). m.p. 140–141 °C. 1H NMR (600 MHz, DMSO-d6) δ 8.47 (d, J = 6.8 Hz, 1H, major), 8.38 (d, J = 7.6 Hz, 1H, minor), 7.96 (d, J = 7.5 Hz, 1H, major), 7.86 (d, J = 7.5 Hz, 1H, minor), 7.63 (d, J = 8.7 Hz, 1H, major), 7.46 (d, J = 8.9 Hz, 1H, minor), 7.43–7.27 (m, 5H), 7.07 (m, 3H), 5.20–4.98 (m, 3H), 4.99–4.71 (m, 1H), 4.67–4.39 (m, 1H), 4.31 (m, 2H), 2.96 (dd, J = 13.4, 7.1 Hz, 1H), 2.88 (t, J = 15.5 Hz, 3H), 2.82–2.70 (m, 1H), 2.73–2.58 (m, 3H), 1.89–1.00 (m, 21H), 1.00–0.53 (m, 24H). 13C NMR (151 MHz, DMSO-d6) δ 172.6, 172.1, 171.2, 163.3, 161.7, 136.4, 136.3, 128.8, 128.8, 128.6, 128.4, 128.2, 126.0, 116.8, 116.6, 113.8, 113.7, 79.4, 66.6, 66.3, 60.2, 51.3, 51.1, 41.7, 37.7, 37.2, 36.9, 31.2, 30.2, 28.4, 24.9, 24.7, 24.6, 24.5, 23.7, 23.6, 23.4, 23.4, 23.2, 23.0, 21.9, 21.7, 21.6, 21.5. HRMS (ESI) m/z calcd. for C47H72FN5O8 [M + Na]+: 876.5257; found: 876.5254.
- N-Boc-Me-L-Leu-L-Leu-2-Me-D-Phe-Me-L-Leu-L-Leu-OBn 8q. The 8q was synthesized according to the method of 8 from 7a (10.0 g, 27.9 mmol, 1.0 equiv) and 6q (15.6 g, 30.7 mmol, 1.1 equiv), HOBT (4.1 g, 30.7 mmol, 1.1 equiv), and EDCI (5.9 g, 30.7 mmol, 1.1 equiv). The crude product was purified by silica gel chromatography (hexane/EtOAc = 70:30, v/v) to obtain 8q (21.1 g, 24.6 mmol, 88% yield) as a white solid. [α]25D = −156.6 (c = 1.0, CHCl3). m.p. 161–162 °C. 1H NMR (600 MHz, DMSO-d6) δ 8.59–8.15 (m, 1H), 7.98–7.63 (m, 1H), 7.57–7.25 (m, 5H), 7.22 (d, J = 7.5 Hz, 1H), 7.08 (m, 3H), 5.17–5.03 (m, 2H), 5.01 (dt, J = 11.2, 5.6 Hz, 1H), 4.92 (d, J = 7.5 Hz, 1H), 4.68–4.42 (m, 1H), 4.36 (dt, J = 14.1, 6.6 Hz, 1H), 4.32–4.19 (m, 1H), 3.02 (d, J = 11.0 Hz, 1H), 2.80 (dd, J = 15.1, 8.7 Hz, 1H), 2.75 (s, 1H), 2.68 (d, J = 10.4 Hz, 4H), 2.31 (s, 3H, major), 2.23 (s, 3H, minor), 1.80–1.44 (m, 6H), 1.45–1.20 (m, 13H), 0.96–0.59 (m, 24H). 13C NMR (151 MHz, DMSO-d6) δ 172.6, 172.5, 172.5, 171.2, 156.0, 136.4, 135.9, 134.0, 129.7, 129.1, 128.8, 128.8, 128.4, 128.4, 128.1, 79.4, 66.5, 66.2, 51.3, 51.1, 41.8, 41.5, 37.2, 36.9, 31.1, 30.1, 30.0, 28.4, 24.9, 24.7, 24.6, 23.7, 23.6, 23.4, 23.2, 23.1, 21.7, 21.5, 21.1. HRMS (ESI) m/z calcd. for C48H75N5O8 [M + Na]+: 872.5508; found: 872.5514.
- N-Boc-Me-L-Leu-L-Leu-3-Chl-D-Phe-Me-L-Leu-L-Leu-OBn 8p. The 8p was synthesized according to the method of 8 from 7a (10.0 g, 27.9 mmol, 1.0 equiv) and 6p (16.2 g, 30.7 mmol, 1.1 equiv), HOBT (4.1 g, 30.7 mmol, 1.1 equiv), and EDCI (5.9 g, 30.7 mmol, 1.1 equiv). The crude product was purified by silica gel chromatography (hexane/EtOAc = 70:30, v/v) to obtain 8p (22.2 g, 25.3 mmol, 90% yield) as a white solid. [α]25D = −116.6 (c = 1.0, CHCl3). m.p. 161–162 °C. 1H NMR (600 MHz, DMSO-d6) δ 8.45 (d, J = 6.7 Hz, 1H, major), 8.35 (d, J = 7.5 Hz, 1H, minor), 7.94 (d, J = 7.5 Hz, 1H, major), 7.85 (d, J = 7.5 Hz, 1H, minor), 7.64 (d, J = 8.5 Hz, 1H, major), 7.48 (d, J = 9.0 Hz, 1H, minor), 7.41–7.11 (m, 8H), 5.10 (m, 2H), 4.99 (m, 1H), 4.91 (d, J = 7.4 Hz, 1H), 4.67–4.40 (m, 1H), 4.41–4.19 (m, 2H), 3.00–2.69 (m, 5H), 2.68 (d, J = 9.9 Hz, 3H), 1.86–1.02 (m, 20H), 1.02–0.17 (m, 24H). 13C NMR (151 MHz, DMSO-d6) δ 172.6, 172.5, 172.2, 170.6, 155.3, 136.4, 131.7, 128.9, 128.8, 128.5, 128.4, 128.2, 79.5, 79.4, 66.6, 66.3, 51.3, 51.1, 50.8, 41.7, 37.7, 37.2, 37.0, 31.2, 30.2, 28.4, 24.9, 24.7, 24.5, 24.3, 23.7, 23.5, 23.4, 23.2, 23.1, 22.0, 22.0, 21.7, 21.5, 21.1. HRMS (ESI) m/z calcd. for C47H72ClN5O8 [M + Na]+: 892.4962; found: 892.4966.
- N-Boc-Me-L-Leu-L-Leu-3-Bro-D-Phe-Me-L-Leu-L-Leu-OBn 8r. The 8r was synthesized according to the method of 8 from 7a (10.0 g, 27.9 mmol, 1.0 equiv) and 6r (17.6 g, 30.7 mmol, 1.1 equiv), HOBT (4.1 g, 30.7 mmol, 1.1 equiv), and EDCI (5.9 g, 30.7 mmol, 1.1 equiv). The crude product was purified by silica gel chromatography (hexane/EtOAc = 70:30, v/v) to obtain 8r (24.0 g, 26.3 mmol, 94% yield) as a white solid. [α]25D = −175.6 (c = 1.0, CHCl3). m.p. 171–172 °C. 1H NMR (600 MHz, DMSO-d6) δ 8.44 (d, J = 6.8 Hz, 1H, major), 8.34 (d, J = 7.6 Hz, 1H, minor), 7.95 (d, J = 7.5 Hz, 1H, major), 7.86 (d, J = 7.4 Hz, 1H, minor), 7.64 (d, J = 8.6 Hz, 1H, major), 7.48 (d, J = 8.8 Hz, 1H, minor), 7.45 (m, 2H), 7.35 (m, 5H), 7.19 (m, 2H), 5.24–5.01 (m, 2H), 5.00–4.68 (m, 2H), 4.64–4.38 (m, 1H), 4.38–4.07 (m, 2H), 2.86 (m, 4H), 2.77 (d, J = 13.3 Hz, 1H), 2.67 (d, J = 8.7 Hz, 3H), 1.82–1.00 (m, 20H), 1.01–0.49 (m, 24H). 13C NMR (151 MHz, DMSO-d6) δ 173.0, 172.6, 171.1, 170.6, 156.0, 136.4, 132.1, 131.4, 131.0, 128.8, 128.8, 128.5, 128.4, 128.4, 128.1, 120.3, 79.4, 66.6, 66.2, 60.2, 51.4, 51.1, 50.8, 41.8, 41.5, 37.2, 36.9, 31.2, 28.4, 24.9, 24.7, 24.6, 23.7, 23.5, 23.4, 23.2, 23.1, 22.1, 22.0, 21.7, 21.7, 21.5, 21.1. HRMS (ESI) m/z calcd. for C47H72BrN5O8 [M + H]+: 936.4456; found: 936.4454.
- N-Boc-Me-L-Leu-L-Leu-D-Cyclohexyl-Gly-Me-L-Leu-L-Leu-OBn 8s. The 8s was synthesized according to the method of 8 from 7a (10.0 g, 27.9 mmol, 1.0 equiv) and 6s (14.9 g, 30.7 mmol, 1.1 equiv), HOBT (4.1 g, 30.7 mmol, 1.1 equiv), and EDCI (5.9 g, 30.7 mmol, 1.1 equiv). The crude product was purified by silica gel chromatography (hexane/EtOAc = 70:30, v/v) to obtain 8s (21.1 g, 25.4 mmol, 91% yield) as a white solid. [α]25D = −145.6 (c = 1.0, CHCl3). m.p. 140–141 °C. 1H NMR (600 MHz, DMSO-d6) δ 8.09 (d, J = 7.0 Hz, 1H, major), 7.98 (d, J = 7.5 Hz, 1H, minor), 7.90 (d, J = 8.8 Hz, 1H, major), 7.84 (dd, J = 14.0, 8.4 Hz, 1H, minor), 7.75–7.65 (m, 1H), 7.35 (m, 5H), 5.18–5.08 (m, 2H), 5.06 (d, J = 12.9 Hz, 1H), 4.62 (d, J = 8.1 Hz, 1H), 4.52–4.20 (m, 3H), 2.97 (s, 3H, major), 2.86 (s, 3H, minor), 2.69 (d, J = 7.4 Hz, 3H), 1.89–0.94 (m, 32H), 0.95–0.58 (m, 24H). 13C NMR (151 MHz, DMSO-d6) δ 172.7, 172.6, 172.5, 172.1, 170.7, 155.9, 136.4, 136.3, 128.9, 128.9, 128.6, 128.5, 128.2, 79.4, 66.5, 66.2, 54.5, 51.1, 41.4, 38.0, 37.1, 31.5, 29.2, 28.4, 26.2, 26.0, 26.0, 25.0, 24.9, 24.8, 24.6, 23.9, 23.5, 23.3, 23.3, 22.3, 21.6, 21.5, 21.4, 21.3. HRMS (ESI) m/z calcd. for C46H77N5O8 [M + Na]+: 850.5670; found:850.5675.
- N-Boc-Me-L-Leu-L-Leu-D-Phenyl-Gly-Me-L-Leu-L-Leu-OBn 8t. The 8t was synthesized according to the method of 8 from 7a (10.0 g, 27.9 mmol, 1.0 equiv) and 6t (14.8 g, 30.7 mmol, 1.1 equiv), HOBT (4.1 g, 30.7 mmol, 1.1 equiv), and EDCI (5.9 g, 30.7 mmol, 1.1 equiv). The crude product was purified by silica gel chromatography (hexane/EtOAc = 70:30, v/v) to obtain 8t (20.0 g, 24.3 mmol, 87% yield) as a white solid. [α]25D = −167.5 (c = 1.0, CHCl3). m.p. 140–141 °C. 1H NMR (600 MHz, DMSO-d6) δ 8.41 (d, J = 7.3 Hz, 1H), 8.19 (d, J = 7.5 Hz, 1H), 8.09–7.76 (m, 1H), 7.46–7.14 (m, 9H), 5.77 (q, J = 7.4, 6.8 Hz, 1H), 5.13 (d, J = 12.2 Hz, 2H), 5.08 (d, J = 12.7 Hz, 1H), 4.75–4.43 (m, 1H), 4.43–4.13 (m, 2H), 2.88 (s, 3H, minor), 2.75 (s, 3H, major), 2.69 (s, 3H), 1.84–1.07 (m, 20H), 1.09–0.24 (m, 24H). 13C NMR (151 MHz, DMSO-d6) δ 172.6, 171.7, 171.4, 171.0, 136.4, 128.9, 128.8, 128.5, 128.4, 128.3, 79.5, 66.4, 54.4, 51.5, 51.0, 40.8, 37.4, 31.1, 30.2, 28.4, 25.0, 24.7, 24.6, 24.4, 23.6, 23.5, 23.2, 22.2, 21.9, 21.6, 21.3. HRMS (ESI) m/z calcd. for C46H71N5O8 [M + Na]+: 844.5195; found: 844.5204.
- N-Boc-Me-L-Leu-L-Leu-D-Val-Me-L-Leu-L-Leu-OBn 8u. The 8u was synthesized according to the method of 8 from 7a (10.0 g, 27.9 mmol, 1.0 equiv) and 6u (13.7 g, 30.7 mmol, 1.1 equiv), HOBT (4.1 g, 30.7 mmol, 1.1 equiv), and EDCI (5.9 g, 30.7 mmol, 1.1 equiv). The crude product was purified by silica gel chromatography (hexane/EtOAc = 70:30, v/v) to obtain 8u (19.1 g, 24.1 mmol, 86% yield) as a white solid. [α]25D = −175.6 (c = 1.0, CHCl3). m.p. 128–129 °C. 1H NMR (600 MHz, DMSO-d6) δ 8.26 (d, J = 7.8 Hz, 1H), 7.99 (m, 1H), 7.85–7.63 (m, 1H), 7.49–7.26 (m, 5H), 5.14 (d, J = 6.1 Hz, 1H), 5.13–5.05 (m, 2H), 4.49 (t, J = 8.7 Hz, 2H), 4.31 (m, 2H), 2.96 (s, 3H), 2.70 (d, J = 4.2 Hz, 3H), 1.97 (q, J = 7.2 Hz, 1H), 1.68–1.43 (m, 9H), 1.43–1.36 (m, 10H), 1.35–1.22 (m, 3H), 0.85 (m, 30H). 13C NMR (151 MHz, DMSO-d6) δ 172.5, 172.4, 172.2, 171.3, 136.4, 128.8, 128.5, 128.3, 79.4, 66.4, 54.3, 53.6, 50.8, 41.3, 37.5, 31.0, 30.2, 28.5, 24.9, 24.7, 24.6, 23.5, 23.3, 22.1, 21.9, 21.4, 19.4. HRMS (ESI) m/z calcd. for C43H73N5O8 [M + Na]+: 810.5351; found: 810.5359.
- N-Boc-Me-L-Leu-L-Leu-D-Met-Me-L-Leu-L-Leu-OBn 8v. The 8v was synthesized according to the method of 8 from 7a (10.0 g, 27.9 mmol, 1.0 equiv) and 6v (14.7 g, 30.7 mmol, 1.1 equiv), HOBT (4.1 g, 30.7 mmol, 1.1 equiv), and EDCI (5.9 g, 30.7 mmol, 1.1 equiv). The crude product was purified by silica gel chromatography (hexane/EtOAc = 70:30, v/v) to obtain 8v (22.0 g, 26.9 mmol, 96% yield) as a white solid. [α]25D = −139.8 (c = 1.0, CHCl3). m.p. 118–119 °C. 1H NMR (600 MHz, DMSO-d6) δ 8.21 (d, J = 7.2 Hz, 1H, major), 8.17 (d, J = 7.4 Hz, 1H, minor), 7.99 (d, J = 7.3 Hz, 1H, major), 7.93 (d, J = 7.6 Hz, 1H, minor), 7.75 (d, J = 8.5 Hz, 1H, major), 7.63 (d, J = 8.7 Hz, 1H, minor), 7.48–6.87 (m, 5H), 5.17–5.07 (m, 2H), 5.07–5.00 (m, 1H), 4.79 (m, 1H), 4.66–4.39 (m, 1H), 4.39–4.17 (m, 2H), 2.96 (s, 3H, major), 2.81 (s, 3H, minor), 2.70 (d, J = 4.6 Hz, 3H), 2.42 (q, J = 6.2, 4.6 Hz, 2H), 2.04 (s, 3H, major), 1.98 (s, 3H, minor), 1.81–1.14 (m, 22H), 1.10–0.56 (m, 24H). 13C NMR (151 MHz, DMSO-d6) δ 172.6, 172.4, 171.3, 170.8, 136.4, 128.9, 128.5, 128.4, 128.2, 79.5, 66.5, 66.3, 54.5, 51.7, 51.1, 41.5, 37.9, 37.2, 31.2, 30.1, 29.7, 28.4, 24.9, 24.7, 23.7, 23.5, 23.4, 23.2, 22.2, 21.8, 21.6, 21.6, 21.5, 15.1. HRMS (ESI) m/z calcd. for C43H73N5O8S [M + Na]+: 842.5072; found: 842.5082.
- N-Boc-Me-L-Leu-L-Leu-3-Me-D-Phe-Me-L-Leu-L-Leu-OBn 8w. The 8w was synthesized according to the method of 8 from 7a (10.0 g, 27.9 mmol, 1.0 equiv) and 6w (15.6 g, 30.7 mmol, 1.1 equiv), HOBT (4.1 g, 30.7 mmol, 1.1 equiv), and EDCI (5.9 g, 30.7 mmol, 1.1 equiv). The crude product was purified by silica gel chromatography (hexane/EtOAc = 70:30, v/v) to obtain 8w (20.2 g, 23.6 mmol, 85% yield) as a white solid. [α]25D = −178.6 (c = 1.0, CHCl3). m.p. 122–123 °C. 1H NMR (600 MHz, DMSO-d6) δ 8.47 (d, J = 6.6 Hz, 1H, major), 8.36 (d, J = 7.3 Hz, 1H, minor), 7.95 (d, J = 7.4 Hz, 1H, major), 7.86 (d, J = 7.5 Hz, 1H, minor), 7.65 (d, J = 8.7 Hz, 1H, major), 7.47 (d, J = 9.2 Hz, 1H, minor), 7.35 (m, 5H), 7.24–6.88 (m, 4H), 5.23–5.04 (m, 2H), 5.01 (dd, J = 11.3, 4.8 Hz, 1H), 4.95–4.68 (m, 1H), 4.68–4.41 (m, 1H), 4.41–4.12 (m, 2H), 3.02–2.56 (m, 8H), 2.25 (d, J = 8.3 Hz, 3H), 1.81–1.56 (m, 3H), 1.45 (m, 17H), 1.19–0.95 (m, 1H), 0.96–0.45 (m, 24H). 13C NMR (151 MHz, DMSO-d6) δ 172.9, 172.6, 172.4, 171.9, 170.6, 156.0, 137.6, 137.1, 136.4, 130.4, 128.9, 128.9, 128.5, 128.2, 127.6, 126.9, 79.4, 66.6, 66.2, 57.0, 55.6, 54.4, 51.1, 41.8, 41.6, 37.7, 36.9, 31.1, 30.2, 30.1, 28.4, 24.9, 24.7, 24.6, 24.2, 23.7, 23.6, 23.5, 23.2, 23.1, 22.0, 21.9, 21.7, 21.7, 21.5, 21.5, 21.2. HRMS (ESI) m/z calcd. for C48H75N5O8 [M + Na]+: 872.5508; found: 872.5517.
- N-Boc-Me-L-Leu-L-Leu-4-Me-D-Phe-Me-L-Leu-L-Leu-OBn 8x. The 8x was synthesized according to the method of 8 from 7a (10.0 g, 27.9 mmol, 1.0 equiv) and 6x (15.6 g, 30.7 mmol, 1.1 equiv), HOBT (4.1 g, 30.7 mmol, 1.1 equiv), and EDCI (5.9 g, 30.7 mmol, 1.1 equiv). The crude product was purified by silica gel chromatography (hexane/EtOAc = 70:30, v/v) to obtain 8x (21.0 g, 24.6 mmol, 88% yield) as a white solid. [α]25D = −156.7 (c = 1.0, CHCl3). m.p. 142–143 °C. 1H NMR (600 MHz, DMSO-d6) δ8.47 (d, J = 6.6 Hz, 1H, major), 8.36 (d, J = 7.3 Hz, 1H, minor), 7.95 (d, J = 7.4 Hz, 1H, major), 7.86 (d, J = 7.5 Hz, 1H, minor), 7.65 (d, J = 8.7 Hz, 1H, major), 7.47 (d, J = 9.2 Hz, 1H, minor), 7.35 (m, 5H), 7.24–6.88 (m, 4H), 5.23–5.04 (m, 2H), 5.01 (dd, J = 11.3, 4.8 Hz, 1H), 4.95–4.68 (m, 1H), 4.68–4.41 (m, 1H), 4.41–4.12 (m, 2H), 3.02–2.56 (m, 8H), 2.25 (d, J = 8.3 Hz, 3H), 1.81–1.56 (m, 3H), 1.45 (m, 17H), 1.19–0.95 (m, 1H), 0.96–0.45 (m, 24H). 13C NMR (151 MHz, DMSO-d6) δ 172.9, 172.6, 172.4, 171.9, 170.6, 156.0, 137.6, 137.1, 136.4, 130.38, 128.9, 128.9, 128.5, 128.2, 127.6, 126.9, 79.4, 66.6, 66.3, 57.0, 55.6, 54.4, 51.1, 41.8, 41.6, 37.7, 36.9, 31.1, 30.2, 30.1, 28.4, 24.9, 24.7, 24.6, 24.2, 23.7, 23.6, 23.5, 23.3, 23.1, 22.0, 21.9, 21.7, 21.7, 21.5, 21.5, 21.2. HRMS (ESI) m/z calcd. for C48H75N5O8 [M + Na]+: 872.5508; found: 872.5517.
3.1.8. Synthesis of 9
The product 8 (33.4 mmol, 1.0 equiv) was dissolved in DCM (0.5 M), followed by the addition of TFA (0.12 M). The reaction mixture was stirred at room temperature for 1 h. After that, excess TFA and DCM was removed in vacuo to produce 9 as a colorless oil.
3.1.9. Synthesis of 10
Catalytic hydrogenation of 9 (33.4 mmol, 1.0 equiv) over 10% Pd/C (4.7 mmol, 0.1 equiv) was carried out at atmospheric pressure in methanol for 2 h. The mixture was filtered and concentrated in vacuo to obtain 10.
3.1.10. Synthesis of Gala
Route A using HATU conditions: After dissolving the resultant white solid 10 (2.5 mmol, 1 equiv) in THF (0.5 M), the solution was added to a suspension of 2-(7-Azabenzotriazol-1-yl)-N,N,N’,N’-tetramethyluronium hexafluorophosphate HATU (37.2 mmol, 15 equiv) and DIPEA (74.4 mmol, 30 equiv) in THF (1 mM) using a micro syringe pump (1.0 mL/h). The result was agitated for 24 h at room temperature. Lower pressure was used to concentrate the filtrate. Saturated NaHCO3, brine, 1% HCl, and ethyl acetate were used to wash the residue. Under lower pressure, the organic phase was dried (Na2SO4) and concentrated. By using column chromatography on silica gel (hexane/EtOAc = 60:40, v/v) to purify the crude product, Gala was obtained as an off-white solid [21].
Route B using T3P® conditions: A solution of 10 (0.348 mmol, 1 equiv) and pyridine (0.348 mmol, 1 equiv) in ethyl acetate (0.5 M) was stirred at 0 °C. N-Propanephosphonic acid anhydride (T3P®, 50% solution in ethyl acetate, 0.871 mmol, 2.5 equiv) was added dropwise. The reaction mixture was allowed to warm to room temperature and was stirred for 16 h. The reaction mixture was concentrated under reduced pressure and diluted with water, and the product was extracted with DCM. The organic solution was dried over Na2SO4 and concentrated. Chromatography on silica by using hexane/EtOAc = 60:40 v/v as the eluant obtained Gala [22].
Route C using DPPA conditions: To a 0 °C stirred solution of 10 (1 mmol, 1 equiv) in dry DMF (1 mM) was added N,N-diisopropylethylamine (6 mmol, 6 equiv) dropwise over 1 min followed by diphenyl phosphorazidate (DPPA) (4 mmol, 4 equiv); then, it was slowly brought to room temperature and stirred until the complete consumption of starting material; then, DMF was removed under reduced pressure. The resulting viscous solution was diluted with water and thoroughly extracted with EtOAc. The combined organic extracts were washed with 1N HCl, saturated with aqueous NaHCO3, dried over Na2SO4, and concentrated to obtain a residue, which was purified by silica gel flash column chromatograph [23].
Route D using FDPP conditions: The crude deprotected product 10 (0.221 mmol, 1 equiv) was suspended in anhydrous CH3CN (1 mM) and cooled to 0 °C, and pentafluorophenyldiphenylphosphinate (FDPP) reagent (0.221 mmol, 1 equiv) was added in one portion and stirred for 20 min at the same temperature. Then, DIPEA (0.442 mmol, 2 equiv) was slowly added over a period of 30 min. After the addition was over, the mixture was allowed to warm to room temperature and stirred for 26 h. The mixture was concentrated in vacuo, and the residue was purified by silica gel (100–200 mesh) flash column chromatograph to obtain Gala [24].
Route E using PyBOP conditions: 10 (0.053 mmol, 2 equiv) was dissolved in MeCN (4.3 mM) and was added dropwise over a 10 h period to a stirred solution of PyBOP (0.053 mmol, 2 equiv) and DMAP (0.079 mmol, 3 equiv) in MeCN (1 mM). The mixture was stirred for an additional 3 h. The solvent was removed under reduced pressure, and the residue was suspended in H2O and extracted with EtOAc. The organic layers were combined, washed with saturated Na2CO3 solution, brined, dried over Na2SO4, and concentrated under reduced pressure. The residue was purified by column chromatography (hexane/EtOAc = 60:40, v/v) [25].
- Cyclo(Me-D-Leu-D-Leu-D-Leu-Me-D-Leu-D-Leu) Gala01. The product 10a (134 mg, 0.22 mmol, 1 equiv) was dissolved in MeCN (4.3 mM) and reacted according to route E for macrolactamization. PyBOP (229 mg, 0.44 mmol, 2 equiv), DMAP (80 mg, 0.66 mmol, 3 equiv). The crude residue was purified by column chromatography (hexane/EtOAc = 60:40, v/v), obtaining compound Gala01 (62 mg, 0.10 mmol, 48% yield) as a white solid. [α]25D = −5.6 (c = 1.0, CHCl3). m.p. 200–201 °C. 1H NMR (600 MHz, DMSO-d6) δ 7.62 (d, J = 8.0 Hz, 1H), 7.38 (d, J = 8.2 Hz, 1H), 7.19 (d, J = 8.8 Hz, 1H), 5.10 (t, J = 7.6 Hz, 1H), 4.74 (dq, J = 35.7, 7.5 Hz, 2H), 4.48 (dd, J = 10.1, 5.2 Hz, 1H), 4.15 (dt, J = 13.2, 6.6 Hz, 1H), 2.98 (s, 3H), 2.72 (s, 3H), 1.69–1.14 (m, 15H), 0.87 (m, 30H). 13C NMR (151 MHz, DMSO-d6) δ 174.5, 172.2, 171.3, 170.8, 170.5, 57.9, 53.6, 51.3, 48.3, 47.7, 41.34, 41.7, 38.7, 37.2, 35.1, 31.3, 29.9, 25.2, 24.9, 24.8, 24.8, 24.7, 23.5, 23.4, 23.1, 23.0, 23.0, 22.0, 22.0, 21.9, 21.7. HRMS (ESI) m/z calcd. for C32H59N5O5 [M + Na]+: 616.4408; found: 616.4415.
- Cyclo(Me-L-Leu-L-Leu-D-Leu-Me-L-Leu-L-Leu) Gala02. The product 10b (134 mg, 0.22 mmol, 1 equiv) was dissolved in MeCN (4.3 mM) and reacted according to route E for macrolactamization. PyBOP (229 mg, 0.44 mmol, 2 equiv), DMAP (80 mg, 0.66 mmol, 3 equiv). The crude residue was purified by column chromatography (hexane/EtOAc = 60:40, v/v), obtaining compound Gala02 (60 mg, 0.10 mmol, 45% yield) as a white solid. [α]25D = −13.6 (c = 1.0, CHCl3). m.p. 200–201 °C. 1H NMR (600 MHz, DMSO-d6) δ 7.63 (d, J = 8.1 Hz, 1H), 7.39 (d, J = 8.2 Hz, 1H), 7.20 (d, J = 8.8 Hz, 1H), 5.11 (dd, J = 9.5, 6.2 Hz, 1H), 4.77 (td, J = 8.3, 5.6 Hz, 1H), 4.71 (q, J = 7.6 Hz, 1H), 4.49 (dd, J = 10.4, 5.2 Hz, 1H), 4.15 (ddd, J = 10.4, 8.1, 5.2 Hz, 1H), 2.98 (s, 3H), 2.73 (s, 3H), 1.75–1.32 (m, 15H), 1.02–0.61 (m, 30H). 13C NMR (151 MHz, DMSO-d6) δ 174.5, 172.3, 171.4, 170.8, 170.6, 57.9, 53.7, 51.4, 48.3, 47.7, 41.4, 41.1, 38.7, 37.2, 35.2, 31.3, 29.9, 25.3, 24.9, 24.9, 24.8, 24.8, 23.5, 23.4, 23.2, 23.0, 23.0, 22.1, 22.0, 21.9, 21.7. HRMS (ESI) m/z calcd. for C32H59N5O5 [M + Na]+: 616.4408; found: 616.4415.
- Cyclo(Me-D-Leu-L-Leu-L-Leu-Me-D-Leu-L-Leu) Gala03. The product 10c (134 mg, 0.22 mmol, 1 equiv) was dissolved in MeCN (4.3 mM) and reacted according to route E for macrolactamization. PyBOP (229 mg, 0.44 mmol, 2 equiv), DMAP (80 mg, 0.66 mmol, 3 equiv). The crude residue was purified by column chromatography (hexane/EtOAc = 60:40, v/v), obtaining compound Gala03 (63 mg, 0.11 mmol, 48% yield) as a white solid. [α]25D = −75.6 (c = 1.0, CHCl3). m.p. 200–201 °C. 1H NMR (600 MHz, DMSO-d6) δ 8.29 (d, J = 8.7 Hz, 1H), 7.45 (d, J = 8.9 Hz, 1H), 7.01 (d, J = 9.4 Hz, 1H), 5.06 (t, J = 7.8 Hz, 1H), 4.80 (td, J = 9.1, 5.5 Hz, 1H), 4.73–4.50 (m, 2H), 4.16 (td, J = 9.5, 5.1 Hz, 1H), 2.95 (s, 3H), 2.54 (s, 3H), 1.75–1.31 (m, 15H), 1.09–0.55 (m, 30H). 13C NMR (151 MHz, DMSO-d6) δ 173.7, 171.7, 171.5, 171.2, 169.7, 55.9, 53.5, 52.3, 47.6, 47.5, 41.6, 41.3, 40.9, 37.1, 34.9, 30.9, 29.3, 25.0, 25.0, 24.8, 24.8, 24.7, 23.4, 23.3, 23.2, 23.0, 22.9, 22.7, 22.3, 22.1, 21.4. HRMS (ESI) m/z calcd. for C32H59N5O5 [M + Na]+: 616.4408; found: 616.4415.
- Cyclo(Me-D-Leu-L-Leu-D-Leu-Me-D-Leu-L-Leu) Gala04. The product 10d (134 mg, 0.22 mmol, 1 equiv) was dissolved in MeCN (4.3 mM) and reacted according to route E for macrolactamization. PyBOP (229 mg, 0.44 mmol, 2 equiv), DMAP (80 mg, 0.66 mmol, 3 equiv). The crude residue was purified by column chromatography (hexane/EtOAc = 60:40, v/v), obtaining compound Gala04 (59 mg, 0.11 mmol, 0.45% yield) as a white solid. [α]25D = −55.6 (c = 1.0, CHCl3). m.p. 200–201 °C. 1H NMR (600 MHz, DMSO-d6) δ 8.28 (d, J = 8.7 Hz, 1H), 7.44 (d, J = 8.9 Hz, 1H), 7.00 (d, J = 9.4 Hz, 1H), 5.05 (t, J = 7.8 Hz, 1H), 4.79 (q, J = 3.6 Hz, 1H), 4.73–4.45 (m, 2H), 4.15 (q, J = 4.3 Hz, 1H), 2.94 (s, 3H), 2.53 (s, 3H), 1.76–1.26 (m, 15H), 1.02–0.65 (m, 30H). 13C NMR (151 MHz, DMSO-d6) δ 173.7, 171.7, 171.5, 171.2, 169.7, 55.9, 53.5, 52.3, 47.6, 47.5, 41.6, 41.3, 40.9, 37.1, 34.9, 30.9, 29.3, 25.0, 24.9, 24.8, 24.7, 24.6, 23.4, 23.3, 23.2, 23.0, 22.9, 22.7, 22.3, 22.1, 21.4. HRMS (ESI) m/z calcd. for C32H59N5O5 [M + Na]+: 616.4408; found: 616.4415.
- Cyclo(Me-L-Leu-D-Leu-L-Leu-Me-L-Leu-D-Leu) Gala05. The product 10e (134 mg, 0.22 mmol, 1 equiv) was dissolved in MeCN (4.3 mM) and reacted according to route E for macrolactamization. PyBOP (229 mg, 0.44 mmol, 2 equiv), DMAP (80 mg, 0.66 mmol, 3 equiv). The crude residue was purified by column chromatography (hexane/EtOAc = 60:40, v/v), obtaining compound Gala05 (60 mg, 0.10 mmol, 45% yield) as a white solid. [α]25D = −75.6 (c = 1.0, CHCl3). m.p. 200–201 °C. 1H NMR (600 MHz, DMSO-d6) δ 8.30 (d, J = 8.7 Hz, 1H), 7.46 (d, J = 8.8 Hz, 1H), 7.01 (d, J = 9.4 Hz, 1H), 5.06 (t, J = 7.7 Hz, 1H), 4.79 (dd, J = 9.2, 5.8 Hz, 1H), 4.64 (t, J = 8.4 Hz, 2H), 4.15 (dt, J = 9.5, 4.7 Hz, 1H), 2.95 (s, 3H), 2.54 (s, 3H), 1.88–1.15 (m, 15H), 1.15–0.41 (m, 30H). 13C NMR (151 MHz, DMSO-d6) δ 173.7, 171.7, 171.5, 171.1, 169.7, 55.9, 53.5, 52.3, 47.6, 47.51, 41.7, 41.2, 40.9, 37.1, 34.9, 30.9, 29.3, 25.0, 24.9, 24.8, 24.7, 24.7, 23.4, 23.4, 23.2, 23.0, 22.9, 22.7, 22.3, 22.1, 21.4. HRMS (ESI) m/z calcd. for C32H59N5O5 [M + Na]+: 616.4408; found: 616.4415.
- Cyclo(Me-L-Leu-D-Leu-D-Leu-Me-L-Leu-D-Leu) Gala06. The product 10f (134 mg, 0.22 mmol, 1 equiv) was dissolved in MeCN (4.3 mM) and reacted according to route E for macrolactamization. PyBOP (229 mg, 0.44 mmol, 2 equiv), DMAP (80 mg, 0.66 mmol, 3 equiv). The crude residue was purified by column chromatography (hexane/EtOAc = 60:40, v/v), obtaining compound Gala06 (69 mg, 0.12 mmol, 54% yield) as a white solid. [α]25D = −85.6 (c = 1.0, CHCl3). m.p. 200–201 °C. 1H NMR (600 MHz, DMSO-d6) δ 8.29 (d, J = 8.7 Hz, 1H), 7.45 (d, J = 8.8 Hz, 1H), 7.00 (d, J = 9.4 Hz, 1H), 5.05 (t, J = 7.7 Hz, 1H), 4.79 (td, J = 9.0, 5.5 Hz, 1H), 4.63 (t, J = 8.4 Hz, 2H), 4.15 (td, J = 9.5, 5.2 Hz, 1H), 2.94 (s, 3H), 2.53 (s, 3H), 1.76–1.14 (m, 16H), 0.97–0.58 (m, 30H). 13C NMR (151 MHz, DMSO-d6) δ 173.7, 171.7, 171.5, 171.2, 169.7, 55.9, 53.5, 52.3, 47.6, 47.5, 41.6, 41.3, 40.9, 37.1, 34.9, 30.9, 29.3, 25.0, 24.9, 24.8, 24.8, 24.7, 23.4, 23.4, 23.2, 23.0, 22.9, 22.8, 22.3, 22.1, 21.4. HRMS (ESI) m/z calcd. for C32H59N5O5 [M + Na]+: 616.4408; found: 616.4415.
- Cyclo(Me-D-Leu-D-Leu-L-Leu-Me-D-Leu-D-Leu) Gala07. The product 10g (134 mg, 0.22 mmol, 1 equiv) was dissolved in MeCN (4.3 mM) and reacted according to route E for macrolactamization. PyBOP (229 mg, 0.44 mmol, 2 equiv), DMAP (80 mg, 0.66 mmol, 3 equiv). The crude residue was purified by column chromatography (hexane/EtOAc = 60:40, v/v), obtaining compound Gala07 (65 mg, 0.11 mmol, 50% yield) as a white solid. [α]25D = −10.6 (c = 1.0, CHCl3). m.p. 199–200 °C. 1H NMR (600 MHz, DMSO-d6) δ 7.63 (d, J = 8.0 Hz, 1H), 7.39 (d, J = 8.2 Hz, 1H), 7.19 (d, J = 8.8 Hz, 1H), 5.11 (t, J = 7.6 Hz, 1H), 4.77 (d, J = 7.4 Hz, 1H), 4.71 (d, J = 7.8 Hz, 1H), 4.49 (dd, J = 10.1, 5.2 Hz, 1H), 4.27–3.96 (m, 1H), 2.99 (s, 3H), 2.73 (s, 3H), 1.73–1.26 (m, 15H), 0.87 (m, 30H). 13C NMR (151 MHz, DMSO-d6) δ 174.53, 172.27, 171.37, 170.84, 170.57, 57.94, 53.64, 51.37, 48.34, 47.69, 41.40, 41.09, 38.70, 37.23, 35.17, 31.34, 29.88, 25.26, 24.92, 24.87, 24.81, 24.77, 23.50, 23.40, 23.15, 23.02, 22.98, 22.06, 21.97, 21.91, 21.70. HRMS (ESI) m/z calcd. for C32H59N5O5 [M + Na]+: 616.4408; found: 616.4415.
- Cyclo(Me-L-Leu-L-Leu-D-Pro-Me-L-Leu-L-Leu) Gala08. The product 10h (131 mg, 0.22 mmol, 1 equiv) was dissolved in MeCN (4.3 mM) and reacted according to route E for macrolactamization. PyBOP (229 mg, 0.44 mmol, 2 equiv), DMAP (80 mg, 0.66 mmol, 3 equiv). The crude residue was purified by column chromatography (hexane/EtOAc = 60:40, v/v), obtaining compound Gala08 (65 mg, 0.11 mmol, 51% yield) as a white solid. [α]25D = −75.6 (c = 1.0, CHCl3). m.p. 230–231 °C. 1H NMR (600 MHz, DMSO-d6) δ 7.37 (d, J = 7.3 Hz, 1H), 6.89 (d, J = 7.5 Hz, 1H), 4.91 (t, J = 7.8 Hz, 1H), 4.75 (td, J = 8.5, 8.1, 5.3 Hz, 2H), 4.60 (dd, J = 10.5, 5.8 Hz, 1H), 4.33 (ddd, J = 11.6, 7.5, 4.2 Hz, 1H), 3.51 (t, J = 8.5 Hz, 1H), 3.45 (q, J = 5.3, 3.8 Hz, 1H), 3.02 (d, J = 11.7 Hz, 6H), 2.17 (q, J = 6.4 Hz, 1H), 2.04–1.91 (m, 1H), 1.88 (dd, J = 12.5, 6.6 Hz, 1H), 1.81–1.74 (m, 1H), 1.74–1.66 (m, 1H), 1.65–1.29 (m, 11H), 0.99–0.69 (m, 24H). 13C NMR (151 MHz, DMSO-d6) δ 173.9, 173.0, 171.3, 170.2, 169.5, 57.6, 56.0, 53.8, 50.2, 47.9, 46.4, 42.3, 36.8, 36.3, 31.0, 30.8, 28.5, 25.4, 25.2, 25.1, 24.9, 24.7, 23.7, 23.4, 23.3, 23.2, 22.7, 22.4, 22.0, 21.8. HRMS (ESI) m/z calcd. for C31H55N5O5 [M + Na]+: 600.4095; found: 600.4103.
- Cyclo(Me-L-Leu-L-Leu-D-Phe-Me-L-Leu-L-Leu) (Gala09). The product 10i (142 mg, 0.22 mmol, 1 equiv) was dissolved in MeCN (4.3 mM) and reacted according to route E for macrolactamization. PyBOP (229 mg, 0.44 mmol, 2 equiv), DMAP (80 mg, 0.66 mmol, 3 equiv). The crude residue was purified by column chromatography (hexane/EtOAc = 60:40, v/v), obtaining compound Gala09 (70 mg, 0.11 mmol, 51% yield) as a white solid. [α]25D = −55.6 (c = 1.0, CHCl3). m.p. 200–201 °C. 1H NMR (600 MHz, DMSO-d6) δ 7.60 (d, J = 7.8 Hz, 1H), 7.57 (d, J = 8.8 Hz, 1H), 7.46 (d, J = 8.1 Hz, 1H), 7.35–7.04 (m, 5H), 5.06 (dd, J = 9.8, 6.0 Hz, 1H), 4.87 (q, J = 7.9 Hz, 1H), 4.76 (q, J = 7.5 Hz, 1H), 4.58 (dd, J = 10.1, 5.6 Hz, 1H), 4.12 (td, J = 8.8, 5.7 Hz, 1H), 3.05 (dd, J = 13.1, 8.4 Hz, 1H), 2.97 (s, 3H), 2.76 (dd, J = 13.2, 6.2 Hz, 1H), 2.63 (s, 3H), 1.86–1.45 (m, 7H), 1.40 (q, J = 8.2, 7.3 Hz, 4H), 1.24–1.07 (m, 1H), 0.97–0.59 (m, 24H). 13C NMR (151 MHz, DMSO-d6) δ 174.2, 171.8, 171.3, 170.9, 170.4, 138.2, 129.7, 128.4, 126.6, 57.7, 53.7, 51.6, 51.2, 48.2, 41.4, 38.7, 37.8, 37.2, 35.2, 31.2, 29.8, 25.2, 24.8, 24.8, 24.7, 23.5, 23.4, 23.2, 22.2, 22.0, 21.9. HRMS (ESI) m/z calcd. for C35H57N5O5 [M + Na]+: 650.4252; found: 650.4259.
- Cyclo(Me-L-Leu-L-Leu-Gly-Me-L-Leu-L-Leu) Gala10. The product 10j (122 mg, 0.22 mmol, 1 equiv) was dissolved in MeCN (4.3 mM) and reacted according to route E for macrolactamization. PyBOP (229 mg, 0.44 mmol, 2 equiv), DMAP (80 mg, 0.66 mmol, 3 equiv). The crude residue was purified by column chromatography (hexane/EtOAc = 60:40, v/v), obtaining compound Gala10 (60 mg, 0.11 mmol, 51% yield) as a white solid. [α]25D = −65.5 (c = 1.0, CHCl3). m.p. 200–201 °C. 1H NMR (600 MHz, DMSO-d6) δ 8.34–7.84 (m, 1H), 7.76–7.38 (m, 1H), 7.22 (d, J = 4.3 Hz, 1H), 5.04 (t, J = 7.7 Hz, 1H), 4.83 (td, J = 9.0, 4.6 Hz, 1H), 4.60 (dd, J = 13.8, 9.1 Hz, 1H), 4.45 (dd, J = 9.7, 5.3 Hz, 1H), 4.09 (ddd, J = 10.8, 8.1, 4.8 Hz, 1H), 3.25 (d, J = 13.7 Hz, 1H), 3.01 (s, 3H), 2.64 (s, 3H), 1.78–1.30 (m, 12H), 1.03–0.62 (m, 24H). 13C NMR (151 MHz, DMSO-d6) δ 174.7, 171.7, 171.3, 170.3, 170.2, 58.1, 53.8, 51.8, 48.3, 43.12, 41.5, 38.3, 37.4, 35.1, 31.6, 31.5, 30.4, 25.3, 24.8, 24.8, 24.8, 23.6, 23.5, 23.4, 23.1, 22.3, 22.2, 22.0, 21.4. HRMS (ESI) m/z calcd. for C28H51N5O5 [M + Na]+: 560.3782; found: 560.3786.
- Cyclo(Me-L-Leu-L-Leu-D-Ala-Me-L-Leu-L-Leu) Gala11. The product 10k (125 mg, 0.22 mmol, 1 equiv) was dissolved in MeCN (4.3 mM) and reacted according to route E for macrolactamization. PyBOP (229 mg, 0.44 mmol, 2 equiv), DMAP (80 mg, 0.66 mmol, 3 equiv). The crude residue was purified by column chromatography (hexane/EtOAc = 60:40, v/v), obtaining compound Gala11 (59 mg, 0.11 mmol, 49% yield) as a white solid. [α]25D = −54.6 (c = 1.0, CHCl3). m.p. 191–192 °C. 1H NMR (600 MHz, DMSO-d6) δ 7.78 (d, J = 8.3 Hz, 1H), 7.21 (d, J = 8.4 Hz, 1H), 7.10 (d, J = 8.8 Hz, 1H), 5.13 (t, J = 7.6 Hz, 1H), 4.83 (td, J = 8.7, 5.0 Hz, 1H), 4.74 (dd, J = 8.7, 6.1 Hz, 1H), 4.40 (dd, J = 10.1, 5.1 Hz, 1H), 4.12 (ddd, J = 12.1, 8.2, 4.3 Hz, 1H), 3.01 (s, 3H), 2.63 (s, 3H), 1.80–1.65 (m, 2H), 1.65–1.29 (m, 10H), 1.12 (d, J = 6.3 Hz, 3H), 1.04–0.60 (m, 24H). 13C NMR (151 MHz, DMSO-d6) δ 174.88, 172.24, 171.62, 170.87, 170.38, 58.31, 53.56, 51.46, 48.43, 45.25, 41.50, 38.45, 37.38, 35.00, 31.48, 29.57, 25.30, 24.84, 24.81, 23.68, 23.55, 23.31, 23.06, 22.28, 22.07, 21.92, 21.31, 17.85. HRMS (ESI) m/z calcd. for C29H53N5O5 [M + Na]+: 574.3939; found: 574.3943.
- Cyclo(Me-L-Leu-L-Leu-O-Me-D-Ser-Me-L-Leu-L-Leu) Gala12. The product 10l (132 mg, 0.22 mmol, 1 equiv) was dissolved in MeCN (4.3 mM) and reacted according to route E for macrolactamization. PyBOP (229 mg, 0.44 mmol, 2 equiv), DMAP (80 mg, 0.66 mmol, 3 equiv). The crude residue was purified by column chromatography (hexane/EtOAc = 60:40, v/v), obtaining compound Gala12 (67 mg, 0.12 mmol, 52% yield) as a white solid. [α]25D = −75.6 (c = 1.0, CHCl3). m.p. 203–204 °C. 1H NMR (600 MHz, DMSO-d6) δ 7.80 (d, J = 8.2 Hz, 1H), 7.31 (d, J = 8.4 Hz, 1H), 7.09 (d, J = 9.0 Hz, 1H), 5.10 (t, J = 7.7 Hz, 1H), 4.82 (td, J = 8.2, 4.1 Hz, 2H), 4.45 (dd, J = 10.1, 4.9 Hz, 1H), 4.13 (ddd, J = 10.8, 8.2, 4.6 Hz, 1H), 3.63 (t, J = 8.6 Hz, 1H), 3.28 (dd, J = 9.4, 5.7 Hz, 1H), 3.23 (s, 3H), 2.99 (s, 3H), 2.67 (s, 3H), 1.78–1.65 (m, 2H), 1.64–1.31 (m, 10H), 1.05–0.57 (m, 24H). 13C NMR (151 MHz, DMSO-d6) δ 174.7, 171.5, 171.3, 170.7, 170.3, 71.7, 58.8, 58.0, 53.6, 51.4, 48.6, 48.4, 41.4, 38.4, 37.3, 35.1, 31.4, 29.7, 25.3, 25.0, 24.8, 23.6, 23.5, 23.3, 23.1, 22.2, 22.0, 22.0, 21.5. HRMS (ESI) m/z calcd. for C30H55N5O6 [M + Na]+: 604.4045; found: 604.4051.
- Cyclo(Me-L-Leu-L-Leu-O-Tyr-Me-L-Leu-L-Leu) Gala13. The product 10m (148 mg, 0.22 mmol, 1 equiv) was dissolved in MeCN (4.3 mM) and reacted according to route E for macrolactamization. PyBOP (229 mg, 0.44 mmol, 2 equiv), DMAP (80 mg, 0.66 mmol, 3 equiv). The crude residue was purified by column chromatography (hexane/EtOAc = 60:40, v/v), obtaining compound Gala13 (75 mg, 0.11 mmol, 52% yield) as a white solid. [α]25D = −34.6 (c = 1.0, CHCl3). m.p. 205–206 °C. 1H NMR (600 MHz, DMSO-d6) δ 7.57 (t, J = 7.9 Hz, 2H), 7.45 (d, J = 8.2 Hz, 1H), 7.25–6.99 (m, 2H), 6.91–6.66 (m, 2H), 5.04 (dd, J = 9.9, 6.0 Hz, 1H), 4.78 (dtd, J = 39.0, 8.5, 6.1 Hz, 2H), 4.57 (dd, J = 10.2, 5.6 Hz, 1H), 4.11 (ddd, J = 9.6, 7.9, 5.6 Hz, 1H), 3.70 (s, 3H), 2.96 (s, 3H), 2.94 (s, 1H), 2.69 (dd, J = 13.1, 6.4 Hz, 1H), 2.62 (s, 3H), 1.78–1.44 (m, 7H), 1.39 (m, 5H), 0.96–0.69 (m, 24H). 13C NMR (151 MHz, DMSO-d6) δ 174.1, 172.0, 171.3, 170.9, 170.4, 158.3, 130.7, 130.0, 113.9, 57.7, 55.4, 53.6, 51.5, 51.3, 48.2, 41.4, 38.8, 37.2, 36.9, 35.3, 31.2, 29.9, 25.2, 24.9, 24.8, 24.6, 23.5, 23.4, 23.4, 23.2, 22.2, 22.0, 21.9. HRMS (ESI) m/z calcd. for C36H59N5O6 [M + Na]+: 680.4358; found: 680.4365.
- Cyclo(Me-L-Leu-L-Leu-Methylester-D-Asp-Me-L-Leu-L-Leu) Gala14. The product 10n (138 mg, 0.22 mmol, 1 equiv) was dissolved in MeCN (4.3 mM) and reacted according to route E for macrolactamization. PyBOP (229 mg, 0.44 mmol, 2 equiv), DMAP (80 mg, 0.66 mmol, 3 equiv). The crude residue was purified by column chromatography (hexane/EtOAc = 60:40, v/v), obtaining compound Gala14 (70 mg, 0.11 mmol, 52% yield) as a white solid. [α]25D = −45.9 (c = 1.0, CHCl3). m.p. 204–205 °C. 1H NMR (600 MHz, DMSO-d6) δ 7.88 (d, J = 8.0 Hz, 1H), 7.28 (dd, J = 8.7, 6.4 Hz, 2H), 5.09 (dd, J = 9.6, 6.0 Hz, 1H), 4.99 (td, J = 9.6, 4.3 Hz, 1H), 4.80 (td, J = 8.9, 4.8 Hz, 1H), 4.47 (dd, J = 9.9, 5.0 Hz, 1H), 4.05 (ddd, J = 11.4, 8.0, 4.4 Hz, 1H), 3.55 (s, 3H), 3.00 (s, 3H), 2.78 (dd, J = 16.1, 10.1 Hz, 1H), 2.67 (s, 3H), 2.47 (dd, J = 16.1, 4.3 Hz, 1H), 1.78–1.28 (m, 13H), 0.88 (m, 24H). 13C NMR (151 MHz, DMSO-d6) δ 174.66, 171.57, 171.15, 171.05, 170.84, 170.33, 57.80, 53.77, 51.81, 51.64, 48.37, 46.57, 41.30, 38.24, 37.35, 36.25, 34.91, 31.40, 29.62, 25.25, 24.80, 24.78, 23.64, 23.49, 23.43, 23.11, 22.07, 22.01, 21.94, 21.45. HRMS (ESI) m/z calcd. for C31H55N5O7 [M + Na]+: 632.3994; found: 632.4000.
- Cyclo(Me-L-Leu-L-Leu-3-Flu-D-Phe-Me-L-Leu-L-Leu) Gala15. The product 10o (145 mg, 0.22 mmol, 1 equiv) was dissolved in MeCN (4.3 mM) and reacted according to route E for macrolactamization. PyBOP (229 mg, 0.44 mmol, 2 equiv), DMAP (80 mg, 0.66 mmol, 3 equiv). The crude residue was purified by column chromatography (hexane/EtOAc = 60:40, v/v), obtaining compound Gala15 (75 mg, 0.12 mmol, 53% yield) as a white solid. [α]25D = −54.8 (c = 1.0, CHCl3). m.p. 205–206 °C. 1H NMR (600 MHz, DMSO-d6) δ 7.59 (t, J = 9.1 Hz, 2H), 7.45 (d, J = 8.1 Hz, 1H), 7.27 (q, J = 7.4 Hz, 1H), 7.10–6.83 (m, 3H), 5.07 (dd, J = 10.0, 5.9 Hz, 1H), 4.89 (q, J = 7.8 Hz, 1H), 4.75 (q, J = 7.8 Hz, 1H), 4.58 (dd, J = 10.1, 5.6 Hz, 1H), 4.09 (td, J = 8.7, 5.6 Hz, 1H), 3.05 (dd, J = 13.2, 7.8 Hz, 1H), 2.97 (s, 3H), 2.79 (dd, J = 13.2, 6.8 Hz, 1H), 2.66 (s, 3H), 1.71–1.15 (m, 13H), 1.00–0.58 (m, 24H). 13C NMR (151 MHz, DMSO-d6) δ 174.2, 171.7, 171.3, 170.8, 170.4, 163.3, 141.2, 141.2, 130.3, 130.2, 125.9, 116.5, 116.4, 60.2, 57.7, 53.7, 51.6, 50.9, 48.3, 41.3, 38.7, 37.4, 37.2, 35.3, 31.2, 29.9, 25.2, 24.9, 24.8, 24.7, 23.5, 23.4, 23.3, 23.2, 22.2, 22.0, 21.9, 21.8. HRMS (ESI) m/z calcd. for C35H56FN5O5 [M + Na]+: 668.4158; found: 668.4164.
- Cyclo(Me-L-Leu-L-Leu-2-Me-D-Phe-Me-L-Leu-L-Leu) Gala16. The product 10p (145 mg, 0.22 mmol, 1 equiv) was dissolved in MeCN (4.3 mM) and reacted according to route E for macrolactamization. PyBOP (229 mg, 0.44 mmol, 2 equiv), DMAP (80 mg, 0.66 mmol, 3 equiv). The crude residue was purified by column chromatography (hexane/EtOAc = 60:40, v/v), obtaining compound Gala16 (75 mg, 0.12 mmol, 53% yield) as a white solid. [α]25D = −35.6 (c = 1.0, CHCl3). m.p. 235–236 °C. 1H NMR (600 MHz, DMSO-d6) δ 7.66 (d, J = 8.0 Hz, 1H), 7.50 (d, J = 8.6 Hz, 1H), 7.45 (d, J = 8.3 Hz, 1H), 7.18–6.85 (m, 4H), 5.04 (dd, J = 9.9, 6.1 Hz, 1H), 4.90 (td, J = 8.8, 5.6 Hz, 1H), 4.76 (q, J = 7.6 Hz, 1H), 4.57 (dd, J = 10.3, 5.4 Hz, 1H), 4.12 (td, J = 8.8, 5.3 Hz, 1H), 3.08 (dd, J = 13.5, 9.0 Hz, 1H), 2.96 (s, 3H), 2.75 (dd, J = 13.5, 5.6 Hz, 1H), 2.59 (s, 3H), 2.32 (s, 3H), 1.77–1.29 (m, 11H), 1.18–1.04 (m, 1H), 1.00–0.53 (m, 24H). 13C NMR (151 MHz, DMSO-d6) δ 174.2, 171.7, 171.3, 171.0, 170.3, 136.7, 136.1, 130.4, 130.1, 126.7, 125.9, 57.7, 53.6, 51.4, 49.9, 48.2, 41.4, 38.7, 37.2, 35.1, 34.9, 31.2, 29.8, 25.2, 24.8, 24.8, 24.6, 23.5, 23.4, 23.2, 22.1, 22.0, 21.9, 21.8, 19.5. HRMS (ESI) m/z calcd. for C36H59N5O5 [M + H]+: 664.4408; found: 664.4411.
- Cyclo(Me-L-Leu-L-Leu-4-Chl-D-Phe-Me-L-Leu-L-Leu) Gala17. The product 10q (149 mg, 0.22 mmol, 1 equiv) was dissolved in MeCN (4.3 mM) and reacted according to route E for macrolactamization. PyBOP (229 mg, 0.44 mmol, 2 equiv), DMAP (80 mg, 0.66 mmol, 3 equiv). The crude residue was purified by column chromatography (hexane/EtOAc = 60:40, v/v), obtaining compound Gala17 (80 mg, 0.12 mmol, 55% yield) as a white solid. [α]25D = −75.6 (c = 1.0, CHCl3).−67.5 m.p. 235–236 °C. 1H NMR (600 MHz, DMSO-d6) δ7.60 (d, J = 7.8 Hz, 1H), 7.55 (d, J = 8.6 Hz, 1H), 7.42 (dd, J = 20.0, 8.1 Hz, 1H), 7.30–7.16 (m, 4H), 5.04 (dt, J = 10.5, 5.2 Hz, 1H), 4.95–4.80 (m, 1H), 4.80–4.68 (m, 1H), 4.57 (dt, J = 11.6, 5.8 Hz, 1H), 4.18–3.81 (m, 1H), 3.03 (m, 1H), 2.97 (s, 3H), 2.76 (dd, J = 13.3, 6.4 Hz, 1H), 2.64 (d, J = 12.2 Hz, 3H), 1.76–1.20 (m, 12H), 1.03–0.53 (m, 24H). 13C NMR (151 MHz, DMSO-d6) δ 174.2, 171.8, 171.3, 170.9, 170.4, 138.2, 131.7, 129.7, 128.5, 128.4, 57.8, 57.7, 53.7, 51.5, 51.2, 48.2, 41.4, 38.7, 37.2, 35.2, 31.2, 29.9, 25.2, 24.8, 24.8, 24.7, 23.5, 23.4, 23.4, 23.2, 22.2, 22.0, 21.9, 21.9. HRMS (ESI) m/z calcd. for C35H56ClN5O5 [M + H]+: 684.3862; found: 684.3864.
- Cyclo(Me-L-Leu-L-Leu-4-Bro-D-Phe-Me-L-Leu-L-Leu) Gala18. The product 10r (159 mg, 0.22 mmol, 1 equiv) was dissolved in MeCN (4.3 mM) and reacted according to route E for macrolactamization. PyBOP (229 mg, 0.44 mmol, 2 equiv), DMAP (80 mg, 0.66 mmol, 3 equiv). The crude residue was purified by column chromatography (hexane/EtOAc = 60:40, v/v), obtaining compound Gala18 (85 mg, 0.12 mmol, 55% yield) as a white solid. [α]25D = −65.6 (c = 1.0, CHCl3). m.p. 245–246 °C. 1H NMR (600 MHz, DMSO-d6) δ 7.58 (dd, J = 17.6, 8.3 Hz, 2H), 7.45 (d, J = 8.1 Hz, 1H), 7.20 (m, 5H), 5.05 (t, J = 7.9 Hz, 1H), 4.87 (q, J = 8.0 Hz, 1H), 4.75 (q, J = 7.6 Hz, 1H), 4.57 (dd, J = 10.3, 5.6 Hz, 1H), 4.11 (q, J = 7.8 Hz, 1H), 3.04 (dd, J = 13.1, 8.5 Hz, 1H), 2.97 (s, 3H), 2.76 (dd, J = 13.3, 6.2 Hz, 1H), 2.63 (s, 3H), 1.92–1.08 (m, 13H), 1.04–0.53 (m, 24H). 13C NMR (151 MHz, DMSO-d6) δ 174.2, 171.8, 171.3, 170.9, 170.4, 138.2, 129.7, 128.5, 126.7, 57.7, 53.7, 51.2, 48.2, 41.4, 38.7, 37.8, 37.2, 35.2, 31.2, 29.9, 25.2, 24.8, 24.8, 24.7, 23.5, 23.4, 23.2, 22.2, 22.0, 21.9, 21.9. HRMS (ESI) m/z calcd. for C35H56BrN5O5 [M + H]+: 728.3357; found: 728.3360.
- Cyclo(Me-L-Leu-L-Leu-D-cyclohexyl-Gly-Me-L-Leu-L-Leu) Gala19. The product 10s (140 mg, 0.22 mmol, 1 equiv) was dissolved in MeCN (4.3 mM) and reacted according to route E for macrolactamization. PyBOP (229 mg, 0.44 mmol, 2 equiv), DMAP (80 mg, 0.66 mmol, 3 equiv). The crude residue was purified by column chromatography (hexane/EtOAc = 60:40, v/v), obtaining compound Gala19 (70 mg, 0.11 mmol, 51% yield) as a white solid. [α]25D = −35.6 (c = 1.0, CHCl3). m.p. 204–205 °C. 1H NMR (600 MHz, DMSO-d6) δ 7.63 (d, J = 7.8 Hz, 1H), 7.45 (d, J = 9.1 Hz, 1H), 7.39 (d, J = 7.8 Hz, 1H), 5.10 (dd, J = 10.2, 6.0 Hz, 1H), 4.71 (t, J = 7.4 Hz, 1H), 4.69–4.54 (m, 1H), 4.43 (t, J = 9.5 Hz, 1H), 4.24 (q, J = 7.6 Hz, 1H), 2.95 (s, 3H), 2.81 (s, 3H), 1.77 (d, J = 11.1 Hz, 1H), 1.73–1.56 (m, 8H), 1.57–1.22 (m, 10H), 1.13 (p, J = 12.9, 12.4 Hz, 3H), 0.97–0.73 (m, 26H). 13C NMR (151 MHz, DMSO-d6) δ 174.0, 172.5, 171.1, 171.0, 170.7, 57.5, 54.1, 53.7, 51.3, 48.2, 41.2, 37.0, 35.6, 31.1, 30.3, 29.8, 28.6, 26.5, 25.9, 25.2, 25.0, 24.7, 23.5, 23.2, 22.2, 22.1, 21.9, 21.7. HRMS (ESI) m/z calcd. for C34H61N5O5 [M + Na]+: 642.4565; found: 642.4571.
- Cyclo(Me-L-Leu-L-Leu-D-phenyl-Gly-Me-L-Leu-L-Leu) Gala20. The product 10t (140 mg, 0.22 mmol, 1 equiv) was dissolved in MeCN (4.3 mM) and reacted according to route E for macrolactamization. PyBOP (229 mg, 0.44 mmol, 2 equiv), DMAP (80 mg, 0.66 mmol, 3 equiv). The crude residue was purified by column chromatography (hexane/EtOAc = 60:40, v/v), obtaining compound Gala20 (70 mg, 0.11 mmol, 51% yield) as a white solid. [α]25D = −34.6 (c = 1.0, CHCl3). m.p. 204–205 °C. 1H NMR (600 MHz, DMSO-d6) δ 7.89 (d, J = 8.2 Hz, 1H), 7.77 (d, J = 8.8 Hz, 1H), 7.31 (m, 5H), 5.88 (d, J = 8.8 Hz, 1H), 5.08 (t, J = 7.8 Hz, 1H), 4.86 (td, J = 9.4, 4.0 Hz, 1H), 4.47 (dd, J = 9.9, 5.4 Hz, 1H), 4.20 (td, J = 9.4, 8.8, 4.7 Hz, 1H), 3.03 (s, 3H), 2.80 (s, 3H), 1.84–1.13 (m, 13H), 0.89 (m, 24H). 13C NMR (151 MHz, DMSO-d6) δ 174.8, 171.8, 171.3, 170.2, 138.8, 128.3, 128.1, 127.6, 58.5, 53.9, 53.4, 51.4, 48.5, 41.4, 38.4, 37.5, 35.0, 31.5, 30.1, 25.3, 24.9, 24.8, 24.8, 24.6, 23.6, 23.6, 23.3, 23.0, 22.3, 22.2, 21.9, 21.3. HRMS (ESI) m/z calcd. for C34H55N5O5 [M + Na]+: 636.4095; found: 636.4102.
- Cyclo(Me-L-Leu-L-Leu-D-Val-Me-L-Leu-L-Leu) Gala21. The product 10u (131 mg, 0.22 mmol, 1 equiv) was dissolved in MeCN (4.3 mM) and reacted according to route E for macrolactamization. PyBOP (229 mg, 0.44 mmol, 2 equiv), DMAP (80 mg, 0.66 mmol, 3 equiv). The crude residue was purified by column chromatography (hexane/EtOAc = 60:40, v/v), obtaining compound Gala21 (65 mg, 0.11 mmol, 50% yield) as a white solid. [α]25D = −38.7 (c = 1.0, CHCl3). m.p. 192–193 °C. 1H NMR (600 MHz, DMSO-d6) δ 7.62 (d, J = 7.8 Hz, 1H), 7.57 (d, J = 9.1 Hz, 1H), 7.37 (d, J = 7.7 Hz, 1H), 5.12 (dd, J = 10.3, 5.7 Hz, 1H), 4.70 (d, J = 7.4 Hz, 1H), 4.63 (dd, J = 10.4, 5.7 Hz, 1H), 4.38 (t, J = 9.4 Hz, 1H), 4.24 (d, J = 7.4 Hz, 1H), 2.95 (s, 3H), 2.83 (s, 3H), 2.04 (dt, J = 9.7, 6.7 Hz, 1H), 1.76–1.18 (m, 12H), 0.94–0.77 (m, 26H). 13C NMR (151 MHz, DMSO-d6) δ 173.9, 172.7, 171.1, 171.0, 170.7, 57.5, 55.3, 53.7, 51.5, 48.2, 41.2, 39.1, 37.0, 35.7, 31.1, 30.3, 29.9, 25.2, 25.0, 25.0, 24.7, 23.5, 23.5, 23.3, 23.1, 22.3, 22.2, 21.9, 21.7, 19.6, 18.9. HRMS (ESI) m/z calcd. for C31H57N5O5 [M + H]+: 602.4252; found: 602.4261.
- Cyclo(Me-L-Leu-L-Leu-D-Met-Me-L-Leu-L-Leu) Gala22. The product 10v (138 mg, 0.22 mmol, 1 equiv) was dissolved in MeCN (4.3 mM) and reacted according to route E for macrolactamization. PyBOP (229 mg, 0.44 mmol, 2 equiv), DMAP (80 mg, 0.66 mmol, 3 equiv). The crude residue was purified by column chromatography (hexane/EtOAc = 60:40, v/v), obtaining compound Gala22 (70 mg, 0.11 mmol, 52% yield) as a white solid. [α]25D = −54.7 (c = 1.0, CHCl3). m.p. 174–175 °C. 1H NMR (600 MHz, DMSO-d6) δ 7.71 (d, J = 8.1 Hz, 1H), 7.33 (d, J = 8.2 Hz, 1H), 7.26 (d, J = 8.9 Hz, 1H), 5.12 (dd, J = 9.5, 6.3 Hz, 1H), 4.81 (dq, J = 22.6, 7.3 Hz, 2H), 4.47 (dd, J = 10.1, 5.0 Hz, 1H), 4.16 (ddd, J = 10.7, 8.0, 5.0 Hz, 1H), 2.99 (s, 3H), 2.70 (s, 3H), 2.44–2.18 (m, 2H), 2.03 (s, 4H), 1.70 (m, 3H), 1.66–1.44 (m, 7H), 1.39 (m, 3H), 0.88 (m, 24H). 13C NMR (151 MHz, DMSO-d6) δ 174.6, 171.6, 171.5, 171.1, 170.4, 58.0, 53.6, 51.4, 48.5, 48.4, 41.4, 38.5, 37.3, 35.1, 31.5, 31.4, 30.0, 29.8, 25.3, 24.9, 24.8, 24.8, 23.6, 23.5, 23.4, 23.1, 22.0, 22.0, 21.6, 14.9. HRMS (ESI) m/z calcd. for C31H57N5O5S [M + Na]+: 634.3973; found: 634.3981.
- Cyclo(Me-L-Leu-L-Leu-3-Me-D-Phe-Me-L-Leu-L-Leu) Gala23. The product 10w (145 mg, 0.22 mmol, 1 equiv) was dissolved in MeCN (4.3 mM) and reacted according to route E for macrolactamization. PyBOP (229 mg, 0.44 mmol, 2 equiv), DMAP (80 mg, 0.66 mmol, 3 equiv). The crude residue was purified by column chromatography (hexane/EtOAc = 60:40, v/v), obtaining compound Gala23 (75 mg, 0.12 mmol, 53% yield) as a white solid. [α]25D = −45.6 (c = 1.0, CHCl3). m.p. 194–195 °C. 1H NMR (600 MHz, DMSO-d6) δ 7.62 (d, J = 7.9 Hz, 1H), 7.55 (d, J = 8.8 Hz, 1H), 7.45 (d, J = 8.1 Hz, 1H), 7.11 (t, J = 7.5 Hz, 1H), 7.05–6.87 (m, 3H), 5.06 (dd, J = 9.8, 6.1 Hz, 1H), 4.84 (d, J = 7.7 Hz, 1H), 4.76 (t, J = 7.5 Hz, 1H), 4.57 (dd, J = 10.4, 5.5 Hz, 1H), 4.13 (d, J = 7.6 Hz, 1H), 3.01 (dd, J = 13.1, 8.5 Hz, 1H), 2.97 (s, 3H), 2.71 (dd, J = 13.3, 6.2 Hz, 1H), 2.62 (s, 3H), 2.25 (s, 3H), 1.64–1.31 (m, 10H), 1.31–1.10 (m, 2H), 1.00–0.50 (m, 24H). 13C NMR (151 MHz, DMSO-d6) δ 174.2, 171.9, 171.3, 170.9, 170.4, 138.1, 137.4, 130.2, 128.4, 127.3, 126.7, 57.7, 53.6, 51.5, 51.1, 48.2, 41.4, 38.7, 37.8, 37.2, 35.2, 31.2, 29.8, 26.8, 25.2, 24.8, 24.8, 24.7, 23.5, 23.4, 23.2, 22.2, 22.0, 21.9, 21.4. HRMS (ESI) m/z calcd. for C36H59N5O5 [M + Na]+: 664.4408; found: 664.4412.
- Cyclo(Me-L-Leu-L-Leu-3-Me-D-Phe-Me-L-Leu-L-Leu) Gala24. The product 10x (145 mg, 0.22 mmol, 1 equiv) was dissolved in MeCN (4.3 mM) and reacted according to route E for macrolactamization. PyBOP (229 mg, 0.44 mmol, 2 equiv), DMAP (80 mg, 0.66 mmol, 3 equiv). The crude residue was purified by column chromatography (hexane/EtOAc = 60:40, v/v), obtaining compound Gala24 (71 mg, 0.11 mmol, 50% yield) as a white solid. [α]25D = −65.6 (c = 1.0, CHCl3). m.p. 204–205 °C. 1H NMR (600 MHz, DMSO-d6) δ 7.58 (t, J = 9.2 Hz, 2H), 7.45 (d, J = 8.1 Hz, 1H), 7.31–6.75 (m, 4H), 5.03 (dd, J = 9.8, 5.9 Hz, 1H), 4.83 (q, J = 7.9 Hz, 1H), 4.74 (q, J = 7.6 Hz, 1H), 4.57 (dd, J = 10.3, 5.6 Hz, 1H), 4.11 (q, J = 7.6 Hz, 1H), 3.02–2.97 (m, 1H), 2.96 (s, 3H), 2.71 (dd, J = 13.2, 6.2 Hz, 1H), 2.62 (s, 3H), 2.24 (s, 3H), 1.70–1.12 (m, 12H), 1.00–0.53 (m, 24H). 13C NMR (151 MHz, DMSO-d6) δ 174.1, 171.9, 171.3, 170.9, 170.4, 135.6, 135.0, 129.5, 129.1, 57.67, 53.6, 51.6, 51.2, 48.2, 41.4, 38.8, 37.4, 37.2, 35.3, 31.2, 29.9, 25.2, 24.9, 24.8, 24.6, 23.5, 23.4, 23.4, 23.2, 22.2, 22.0, 21.9, 21.1. HRMS (ESI) m/z calcd. for C36H59N5O5 [M + Na]+: 664.4408; found: 664.4412.
3.2. Biological Evaluations
3.2.1. Cell Culture
A549, K562, and 293T cells were purchased from the Cell Resource Center of the Institute of Basic Medicine, Chinese Academy of Medical Sciences. Both A549 cells and K562 cells were cultured in RPMI (full name: Roswell Park Memorial Institute) 1640 medium containing 10% FBS (full name: fetal bovine serum, product number: C04001-500, Vivacell, Shanghai, China) and 1% p/s (full name: penicillin-streptomycin, product number: 15140122, Gbico, Waltham, MA, USA) for culture. The 293T cells were all cultured in DMEM (full name: Dulbecco’s Modified Eagle Medium; cat. no.: C3113-0500, Vivacell, ShanghaiChina; containing 10% FBS and 1% p/s) for cultivation. These cells were cultured at 37 °C in an incubator containing 5% CO2.
3.2.2. CCK-8 Experiment
Multiple types of cells were seeded into 96-well plates and treated with different concentrations of Gala01~Gala26 for 48 h after they returned to normal. Then, the relative activity of the cells was detected according to the instructions of the CCK-8 kit (item number: MA0218, Meilunbio, Dalian, China) and analyzed and calculated using GraphPad Prism 8.0.1 software.
4. Conclusions
In conclusion, using a traditional “3 + 2” synthesis approach, we have optimized the final macrolactamization cyclization step. Galaxamide and 23 analogs were designed and synthesized by substituting D-leucine with other D- or L-proteinogenic amino acid at different positions. In vitro antitumor activities were investigated utilizing the CCK-8 assay against two human tumor cell lines, A549 and K562, and one human normal cell line (293T). With the two human tumor cell lines tested, broad-spectrum antitumor activity was observed for most of galaxamide analogs, in particular compound Gala04, which showed an outstanding antitumor activity on K562. Our research will yield a database that may be used to rationally design galaxamide analogs with enhanced anticancer activity, which holds promise for the creation of anticancer medications.
Supplementary Materials
The following supporting information can be downloaded at: https://www.mdpi.com/article/10.3390/molecules30112362/s1, Supplementary Materials include 1H and 13CNMRspectra.
Author Contributions
The manuscript was written through the contributions of all the authors. All authors have read and agreed to the published version of the manuscript.
Funding
This work was supported by the National Natural Science Foundation of China (22061032), the Natural Science Foundation of Inner Mongolia (2020MS02022), the Science and Technology Program of Inner Mongolia (2020GG0134), an opening fund from the State Key Laboratory of Bioorganic and Natural Products Chemistry of SIOC (21300-5206002), the “JUN-MA” High-level Talents Program of Inner Mongolia University (21300-5185121, 10000-21311201/136), the “Grassland Talents” Program of Inner Mongolia (12000-12102414, 12000-12102810, 21300-242927), the High-level Recruit Program of Inner Mongolia (12000-13000603), The Scientific and Technological Innovation Project of China Academy of Chinese Medical Sciences (CI2023E002, CI2021B009), Innovation Team and Talents Cultivation Program of National Administration of Traditional Chinese Medicine (ZYYCXTD-C-202205), the Fundamental Research Funds for the Central Public Welfare Research Institutes (ZZ16-YQ-044, ZZXT202207), and the Industrial Technology Innovation Program of IMAST (2022CYCX02002).
Institutional Review Board Statement
Not applicable.
Informed Consent Statement
Not applicable.
Data Availability Statement
The data supporting this article are available in the Supplementary Materials. Additional data may be obtained from the corresponding author upon request (guoduliu@imu.edu.cn).
Acknowledgments
We gratefully thank H. Meng from Inner Mongolia University, N. Zhu and Y. Gao from Inner Mongolia University of Technology, and Y. Ma and X. Dong for NMR, HRMS, and all other spectrometric assistance.
Conflicts of Interest
Chinese Patent ZL202510685368.4 related to this work has been filed.
References
- Bliss, M. Rewriting Medical History: Charles Best and the Banting and Best Myth. J. Hist. Med. Allied Sci. 1993, 48, 253–274. [Google Scholar] [CrossRef] [PubMed]
- Zorzi, A.; Deyle, K.; Heinis, C. Cyclic peptide therapeutics: Past, present and future. Curr. Opin. Chem. Biol. 2017, 38, 24–29. [Google Scholar] [CrossRef]
- Sohrabi, C.; Foster, A.; Tavassoli, A. Methods for generating and screening libraries of genetically encoded cyclic peptides in drug discovery. Nat. Rev. Chem. 2020, 4, 90–101. [Google Scholar] [CrossRef]
- Craik, D.J. Seamless Proteins Tie up Their Loose Ends. Science 2006, 311, 1563–1564. [Google Scholar] [CrossRef] [PubMed]
- Angelini, A.; Cendron, L.; Chen, S.; Touati, J.; Winter, G.; Zanotti, G.; Heinis, C. Bicyclic Peptide Inhibitor Reveals Large Contact Interface with a Protease Target. ACS Chem. Biol. 2012, 7, 817–821. [Google Scholar] [CrossRef]
- Appavoo, S.D.; Huh, S.; Diaz, D.B.; Yudin, A.K. Conformational Control of Macrocycles by Remote Structural Modification. Chem. Rev. 2019, 119, 9724–9752. [Google Scholar] [CrossRef]
- Haubner, R.; Finsinger, D.; Kessler, H. Stereoisomeric Peptide Libraries and Peptidomimetics for Designing Selective Inhibitors of the αvβ3 Integrin for a New Cancer Therapy. Angew. Chem. Int. Ed. 1997, 36, 1374–1389. [Google Scholar] [CrossRef]
- Gordon, D.J.; Tappe, R.; Meredith, S.C. Design and characterization of a membrane permeable N-methyl amino acid-containing peptide that inhibits Aβ1–40 fibrillogenesis. J. Peptide Res. 2002, 60, 37–55. [Google Scholar] [CrossRef]
- Kessler, H. Detection of Hindered Rotation and Inversion by NMR Spectroscopy. Angew. Chem. Int. Ed. 1997, 9, 219–235. [Google Scholar] [CrossRef]
- Chatterjee, J.; Mierke, D.F.; Kessler, H. Conformational Preference and Potential Templates of N-Methylated Cyclic Pentaalanine Peptides. Chem. Eur. J. 2008, 14, 1508–1517. [Google Scholar] [CrossRef]
- Richard, J.P.; Melikov, K.; Vives, E.; Ramos, C.; Verbeure, B.; Gait, M.J.; Chernomordik, L.V.; Lebleu, B. Cell-penetrating Peptides. J. Biol. Chem. 2003, 278, 585–590. [Google Scholar] [CrossRef]
- Xu, W.; Liao, X.; Xu, S.; Diao, J.; Du, B.; Zhou, X.; Pan, S. Isolation, Structure Determination, and Synthesis of Galaxamide, A Rare Cytotoxic Cyclic Pentapeptide from a Marine Algae Galaxaura filamentosa. Org. Lett. 2008, 10, 4569–4572. [Google Scholar] [CrossRef] [PubMed]
- Bai, D.; Yu, S.; Zhong, S.; Zhao, B.; Qiu, S.; Chen, J.; Lunagariya, J.; Liao, X.; Xu, S. d-Amino Acid Position Influences the Anticancer Activity of Galaxamide Analogs: An Apoptotic Mechanism Study. Int. J. Mol. Sci. 2017, 18, 544. [Google Scholar] [CrossRef] [PubMed]
- Xiao, X.; Liao, X.; Qiu, S.; Liu, Z.; Du, B.; Xu, S. Paper Synthesis, Cytotoxicity and Apoptosis Induction in Human Tumor Cells by Galaxamide and Its Analogues. Mar. Drugs 2014, 12, 4521–4538. [Google Scholar] [CrossRef]
- Li, D.; Liao, X.; Zhong, S.; Zhao, B.; Xu, S. Synthesis of Marine Cyclopeptide Galaxamide Analogues as Potential Anticancer Agents. Mar. Drugs 2022, 20, 158. [Google Scholar] [CrossRef] [PubMed]
- Liu, G.; Zhang, T.; Lv, R.; Cao, Y.; Zheng, L.; Cheng, Y.; Yang, J.; Zhou, S. Ni-catalyzed enantio- stereoselective synthesis of chiral chromans with quaternary allylic siloxanes and their antitumor activity. ChemRxiv 2023. [Google Scholar] [CrossRef]
- He, W.; Qiu, H.; Chen, Y.; Xi, J.; Yao, Z. Total synthesis of proposed structure of coibamide A, a highly N- and O-methylated cytotoxic marine cyclodepsipeptide. Tetrahedron Lett. 2014, 55, 6109–6112. [Google Scholar] [CrossRef]
- Jia, X.; Wang, Y.; Wang, N. Nickel-Catalyzed sp3 C–H Bond Activation from Decarboxylative Cross Coupling of α,β-Unsaturated Carboxylic Acids with Amides. Synlett 2014, 25, 1621–1625. [Google Scholar]
- Xiong, X.; Zhang, H.; Underwood, C.R.; Harpsøe, K.; Gardella, T.J.; Wöldike, M.F.; Mannstadt, M.; Gloriam, D.E.; Bräuner-Osborne, H.; Strømgaard, K. Total synthesis and structure–activity relationship studies of a series of selective G protein inhibitors. Nat. Chem. 2016, 8, 1035–1041. [Google Scholar] [CrossRef]
- Nemoto, H.; Ma, R.; Suzuki, I.; Shibuya, M. A New One-Pot Method for the Synthesis of α-Siloxyamides from Aldehydes or Ketones and Its Application to the Synthesis of (−)-Bestatin. Org. Lett. 2000, 2, 4245–4247. [Google Scholar] [CrossRef]
- Han, F.; Liu, G.; Jin, C.; Wang, J.; Liu, J.; Wang, L.; Chen, Y. Total Synthesis and Determination of the Absolute Configuration of Rakicidin C. Org. Lett. 2021, 23, 7069–7073. [Google Scholar] [CrossRef] [PubMed]
- Wang, Z.; Barrows, R.D.; Emge, T.J.; Knapp, S. Stereochemical Aspects of T3P Amidations. Org. Process Res. Dev. 2017, 21, 399–407. [Google Scholar] [CrossRef]
- Reddy, D.N.; Ballante, F.; Chuang, T.; Pirolli, A.; Marrocco, B.; Marshall, G.R. Design and Synthesis of Simplified Largazole Analogues as Isoform-Selective Human Lysine Deacetylase Inhibitors. J. Med. Chem. 2016, 59, 1613–1633. [Google Scholar] [CrossRef] [PubMed]
- Ren, R.; Ma, J.; Mao, Z.; Liu, Y.; Wei, B. Asymmetric synthesis of emericellamide B. Chin. Chem. Lett. 2015, 26, 1209–1215. [Google Scholar] [CrossRef]
- Ben, L.; Gaster, E.; Libman, A.; Pappo, D. Synthesis of Biaryl-Bridged Cyclic Peptides via Catalytic Oxidative Cross-Coupling Reactions. Angew. Chem. Int. Ed. 2020, 59, 4835–4839. [Google Scholar]
Disclaimer/Publisher’s Note: The statements, opinions and data contained in all publications are solely those of the individual author(s) and contributor(s) and not of MDPI and/or the editor(s). MDPI and/or the editor(s) disclaim responsibility for any injury to people or property resulting from any ideas, methods, instructions or products referred to in the content. |
© 2025 by the authors. Licensee MDPI, Basel, Switzerland. This article is an open access article distributed under the terms and conditions of the Creative Commons Attribution (CC BY) license (https://creativecommons.org/licenses/by/4.0/).





