A tetra-ortho-Chlorinated Azobenzene Molecule for Visible-Light Photon Energy Conversion and Storage
Abstract
1. Introduction
2. Results and Discussion
2.1. Molecule Design and Synthesis
2.2. Light Source Optimization
2.3. Photoisomerization Performance
2.4. Energy Storage Lifetime
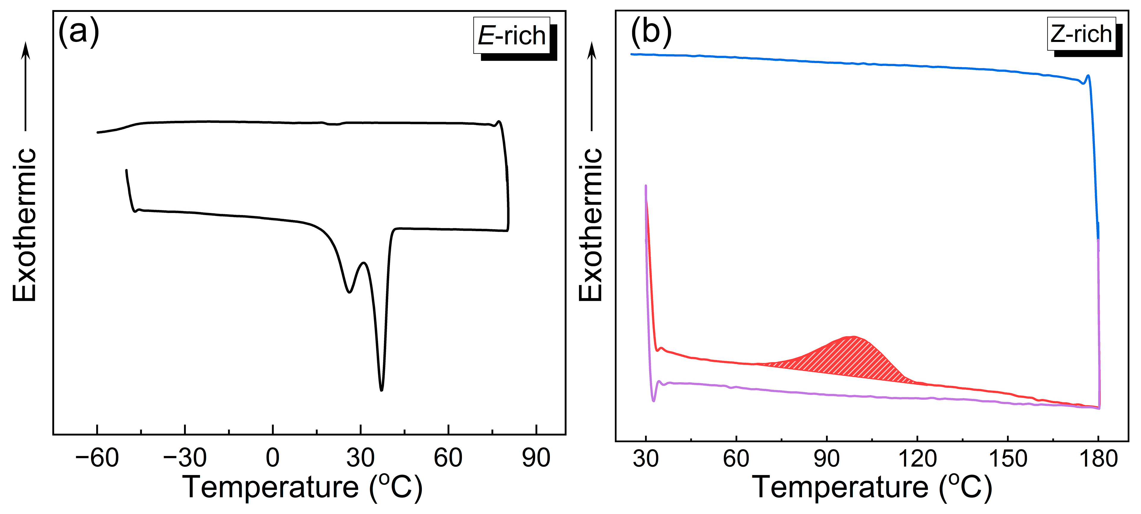
2.5. Phase Transition Property
2.6. Energy Storage Density
3. Materials and Methods
3.1. Materials
3.2. Synthesis
3.2.1. Synthesis of (E)-3,5-Dichloro-4-((2,6-dichlorophenyl)diazenyl)phenol (o-4ClAzo-OH)
3.2.2. Synthesis of (E)-1-(2,6-Dichloro-4-(octyloxy)phenyl)-2-(2,6-dichlorophenyl)diazene (o-4ClAzo-C8)
3.3. Characterization
3.4. UV-Vis Absorption Spectroscopy
3.5. Lifetime Measurements
3.6. DSC Measurements
3.7. Computational Studies
3.8. Statistical Analysis
4. Conclusions
Supplementary Materials
Author Contributions
Funding
Institutional Review Board Statement
Informed Consent Statement
Data Availability Statement
Acknowledgments
Conflicts of Interest
Abbreviations
| o-4ClAzo-OH | (E)-3,5-dichloro-4-((2,6-dichlorophenyl)diazenyl)phenol |
| o-4ClAzo-C8 | (E)-1-(2,6-dichloro-4-(octyloxy)phenyl)-2-(2,6-dichlorophenyl)diazene |
| UV–vis | Ultraviolet–visible |
| XRD | X-ray diffraction |
| DSC | Differential scanning calorimetry |
References
- Wang, Z.; Hölzel, H.; Moth-Poulsen, K. Status and challenges for molecular solar thermal energy storage system based devices. Chem. Soc. Rev. 2022, 51, 7313–7326. [Google Scholar] [CrossRef] [PubMed]
- Dong, L.Q.; Feng, Y.Y.; Wang, L.; Feng, W. Azobenzene-based solar thermal fuels: Design, properties, and applications. Chem. Soc. Rev. 2018, 47, 7339–7369. [Google Scholar] [CrossRef] [PubMed]
- Kolpak, A.M.; Grossman, J.C. Azobenzene-functionalized carbon nanotubes as high-energy density solar thermal fuels. Nano Lett. 2011, 11, 3156–3162. [Google Scholar] [CrossRef]
- Kucharski, T.J.; Tian, Y.C.; Akbulatov, S.; Boulatov, R. Chemical solutions for the closed-cycle storage of solar energy. Energy Environ. Sci. 2011, 4, 4449–4472. [Google Scholar] [CrossRef]
- Wu, Y.; Dong, L.; Tang, S.; Liu, X.; Han, Y.; Zhang, S.; Liu, K.; Feng, W. An innovative azobenzene-based photothermal fabric with excellent heat release performance for wearable thermal management device. Small 2024, 20, 2404310. [Google Scholar] [CrossRef]
- Xu, X.; Xing, Y.; Yin, Y.; Fang, W.; Wu, B.; Bei, P.; Feng, J.; Yu, H.; Wang, G.; Li, W.-Y. Flexible wearable fabrics for solar thermal energy storage and release in on-demand environments. Chem. Eng. J. 2023, 466, 143175. [Google Scholar] [CrossRef]
- Fei, L.; Zhang, Z.-Y.; Tan, Y.; Ye, T.; Dong, D.; Yin, Y.; Li, T.; Wang, C. Efficient and robust molecular solar thermal fabric for personal thermal management. Adv. Mater. 2023, 35, 2209768. [Google Scholar] [CrossRef]
- Fei, L.; Yu, W.; Tan, J.; Yin, Y.; Wang, C. High solar energy absorption and human body radiation reflection janus textile for personal thermal management. Adv. Fiber Mater. 2023, 5, 955–967. [Google Scholar] [CrossRef]
- Fei, L.; Yin, Y.; Yang, M.; Zhang, S.; Wang, C. Wearable solar energy management based on visible solar thermal energy storage for full solar spectrum utilization. Energy Storage Mater. 2021, 42, 636–644. [Google Scholar] [CrossRef]
- Fei, L.; Yin, Y.; Zhang, J.; Wang, C. A Visible energy management by photochromic solar thermal fuel using a color display. Sol. RRL 2020, 4, 2000499. [Google Scholar] [CrossRef]
- Wang, H.; Feng, Y.; Gao, J.; Fang, W.; Ge, J.; Yang, X.; Zhai, F.; Yu, Y.; Feng, W. Metallic-ion controlled dynamic bonds to co-harvest isomerization energy and bond enthalpy for high-energy output of flexible self-heated textile. Adv. Sci. 2022, 9, 2201657. [Google Scholar] [CrossRef] [PubMed]
- Zhao, R.; Li, Y.; Bai, J.; Mu, J.; Chen, L.; Zhang, N.; Han, J.; Liu, F.; Yan, S. Preparation of flexible photo-responsive film based on novel photo-liquefiable azobenzene derivative for solar thermal fuel application. Dye. Pigment. 2022, 202, 110277. [Google Scholar] [CrossRef]
- Zhang, Z.-Y.; He, Y.; Wang, Z.; Xu, J.; Xie, M.; Tao, P.; Ji, D.; Moth-Poulsen, K.; Li, T. Photochemical phase transitions enable coharvesting of photon energy and ambient heat for energetic molecular solar thermal batteries that upgrade thermal energy. J. Am. Chem. Soc. 2020, 142, 12256–12264. [Google Scholar] [CrossRef]
- Shangguan, Z.; Sun, W.; Zhang, Z.-Y.; Fang, D.; Wang, Z.; Wu, S.; Deng, C.; Huang, X.; He, Y.; Wang, R.; et al. A rechargeable molecular solar thermal system below 0 °C. Chem. Sci. 2022, 13, 6950–6958. [Google Scholar] [CrossRef]
- Ge, F.; Yu, W.; Yin, Y.; Wang, C. Solar-driven thermochromic fabric based on photothermal conversion for light intensity monitoring. J. Mater. Chem. A 2021, 9, 20565–20575. [Google Scholar] [CrossRef]
- Xu, X.; Wang, G. Molecular solar thermal systems towards phase change and visible light photon energy storage. Small 2022, 18, 2107473. [Google Scholar] [CrossRef] [PubMed]
- Kwaria, D.; McGehee, K.; Liu, S.; Kikkawa, Y.; Ito, S.; Norikane, Y. Visible-light-photomeltable azobenzenes as solar thermal fuels. ACS Appl. Opt. Mater. 2023, 1, 633–639. [Google Scholar] [CrossRef]
- Zhang, B.; Feng, Y.; Feng, W. Azobenzene-based solar thermal fuels: A review. Nano-Micro Lett. 2022, 14, 138. [Google Scholar] [CrossRef]
- Kimizuka, N.; Yanai, N.; Morikawa, M.-a. Photon upconversion and molecular solar energy storage by maximizing the potential of molecular self-assembly. Langmuir 2016, 32, 12304–12322. [Google Scholar] [CrossRef]
- Naimovičius, L.; Bharmoria, P.; Moth-Poulsen, K. Triplet–triplet annihilation mediated photon upconversion solar energy systems. Mater. Chem. Front. 2023, 7, 2297–2315. [Google Scholar] [CrossRef]
- Wang, Z.; Jones, B.E.; Franca, L.G.; Lawson, T.; Jevric, M.; Moth-Poulsen, K.; Evans, R.C. Multilayer films for photon upconversion-driven photoswitching. J. Mater. Chem. C 2024, 12, 19030–19034. [Google Scholar] [CrossRef] [PubMed]
- Bharmoria, P.; Ghasemi, S.; Edhborg, F.; Losantos, R.; Wang, Z.; Mårtensson, A.; Morikawa, M.-A.; Kimizuka, N.; İşci, Ü.; Dumoulin, F.; et al. Far-red triplet sensitized Z-to-E photoswitching of azobenzene in bioplastics. Chem. Sci. 2022, 13, 11904–11911. [Google Scholar] [CrossRef]
- Wu, W.; Yao, L.; Yang, T.; Yin, R.; Li, F.; Yu, Y. NIR-Light-induced deformation of cross-linked liquid-crystal polymers using upconversion nanophosphors. J. Am. Chem. Soc. 2011, 133, 15810–15813. [Google Scholar] [CrossRef]
- Siewertsen, R.; Neumann, H.; Buchheim-Stehn, B.; Herges, R.; Näther, C.; Renth, F.; Temps, F. Highly Efficient Reversible Z−E Photoisomerization of a Bridged Azobenzene with Visible Light through Resolved S1(n-π*) Absorption Bands. J. Am. Chem. Soc. 2009, 131, 15594–15595. [Google Scholar] [CrossRef]
- Hammerich, M.; Schutt, C.; Stahler, C.; Lentes, P.; Rohricht, F.; Hoppner, R.; Herges, R. Heterodiazocines: Synthesis and photochromic properties, trans to cis switching within the bio-optical window. J. Am. Chem. Soc. 2016, 138, 13111–13114. [Google Scholar] [CrossRef] [PubMed]
- Rullo, A.; Reiner, A.; Reiter, A.; Trauner, D.; Isacoff, E.Y.; Woolley, G.A. Long wavelength optical control of glutamate receptor ion channels using a tetra-ortho-substituted azobenzene derivative. Chem. Commun. 2014, 50, 14613–14615. [Google Scholar] [CrossRef]
- Bleger, D.; Schwarz, J.; Brouwer, A.M.; Hecht, S. o-Fluoroazobenzenes as readily synthesized photoswitches offering nearly quantitative two-way isomerization with visible light. J. Am. Chem. Soc. 2012, 134, 20597–20600. [Google Scholar] [CrossRef] [PubMed]
- Knie, C.; Utecht, M.; Zhao, F.; Kulla, H.; Kovalenko, S.; Brouwer, A.M.; Saalfrank, P.; Hecht, S.; Bléger, D. ortho-Fluoroazobenzenes: Visible light switches with very long-lived Z isomers. Chem.—Eur. J. 2014, 20, 16492–16501. [Google Scholar] [CrossRef]
- Konrad, D.B.; Savasci, G.; Allmendinger, L.; Trauner, D.; Ochsenfeld, C.; Ali, A.M. Computational design and synthesis of a deeply red-shifted and bistable azobenzene. J. Am. Chem. Soc. 2020, 142, 6538–6547. [Google Scholar] [CrossRef]
- Shi, Y.; Gerkman, M.A.; Qiu, Q.; Zhang, S.; Han, G.G.D. Sunlight-activated phase change materials for controlled heat storage and triggered release. J. Mater. Chem. A 2021, 9, 9798–9808. [Google Scholar] [CrossRef]
- Samanta, S.; Beharry, A.A.; Sadovski, O.; McCormick, T.M.; Babalhavaeji, A.; Tropepe, V.; Woolley, G.A. Photoswitching azo compounds in vivo with red light. J. Am. Chem. Soc. 2013, 135, 9777–9784. [Google Scholar] [CrossRef] [PubMed]
- Xu, X.; Wu, B.; Zhang, P.; Xing, Y.; Shi, K.; Fang, W.; Yu, H.; Wang, G. Arylazopyrazole-based dendrimer solar thermal fuels: Stable visible light storage and controllable heat release. ACS Appl. Mater. Interfaces 2021, 13, 22655–22663. [Google Scholar] [CrossRef]
- Huang, X.; Shangguan, Z.; Zhang, Z.-Y.; Yu, C.; He, Y.; Fang, D.; Sun, W.; Li, Y.-C.; Yuan, C.; Wu, S.; et al. Visible-light-induced reversible photochemical crystal–liquid transitions of azo-switches for smart and robust adhesives. Chem. Mater. 2022, 34, 2636–2644. [Google Scholar] [CrossRef]
- Zhao, J.; Zhang, Y.; Feng, X. Theoretical study on the isomerization mechanism of visible light-driven azobenzene-based materials. Comput. Theor. Chem. 2024, 1238, 114719. [Google Scholar] [CrossRef]
- Norikane, Y.; Hirai, Y.; Yoshida, M. Photoinduced isothermal phase transitions of liquid-crystalline macrocyclic azobenzenes. Chem. Commun. 2011, 47, 1770–1772. [Google Scholar] [CrossRef]
- Qiu, Q.; Gerkman, M.A.; Shi, Y.; Han, G.G.D. Design of phase-transition molecular solar thermal energy storage compounds: Compact molecules with high energy densities. Chem. Commun. 2021, 57, 9458–9461. [Google Scholar] [CrossRef] [PubMed]
- Li, X.; Cho, S.; Wan, J.; Han, G.G.D. Photoswitches and photochemical reactions for optically controlled phase transition and energy storage. Chem 2023, 9, 2378–2389. [Google Scholar] [CrossRef]
- Wu, S.; Zhang, Z.-Y.; Li, T.; Wang, R.; Li, T. Optically-controlled variable-temperature storage and upgrade of thermal energy by photoswitchable phase change materials. ACS Mater. Lett. 2023, 5, 2019–2027. [Google Scholar] [CrossRef]
- Jiang, Y.; Liu, J.; Luo, W.; Quan, X.; Li, H.; Huang, J.; Feng, W. High-energy and light-actuated phase change composite for solar energy storage and heat release. Surf. Interfaces 2021, 24, 101071. [Google Scholar] [CrossRef]
- Jiang, Y.; Liu, R.; Luo, W.; Hu, Y.; Wang, H.; Wang, C.; Li, X.; Huang, J. Photoguided AZO-phase change composite for high-energy solar storage and heat release at near ambient temperature. J. Energy Storage 2024, 101, 113974. [Google Scholar] [CrossRef]
- Merino, E. Synthesis of azobenzenes: The coloured pieces of molecular materials. Chem. Soc. Rev. 2011, 40, 3835–3853. [Google Scholar] [CrossRef] [PubMed]
- Olmsted, J.; Lawrence, J.; Yee, G.G. Photochemical storage potential of azobenzenes. Sol. Energy 1983, 30, 271–274. [Google Scholar] [CrossRef]
- Adamson, A.W.; Vogler, A.; Kunkely, H.; Wachter, R. Photocalorimetry. Enthalpies of photolysis of trans-azobenzene, ferrioxalate and cobaltioxalate ions, chromium hexacarbonyl, and dirhenium decarbonyl. J. Am. Chem. Soc. 1978, 100, 1298–1300. [Google Scholar] [CrossRef]
- Liang, R.; Yuan, B.; Zhang, F.; Feng, W. Azopyridine polymers in organic phase change materials for high energy density photothermal storage and controlled release. Angew. Chem. Int. Ed. 2025, 64, e202419165. [Google Scholar] [CrossRef]
- Ishiba, K.; Morikawa, M.; Chikara, C.; Yamada, T.; Iwase, K.; Kawakita, M.; Kimizuka, N. Photoliquefiable ionic crystals: A phase crossover approach for photon energy storage materials with functional multiplicity. Angew. Chem. Int. Ed. 2015, 54, 1532–1536. [Google Scholar] [CrossRef]








Disclaimer/Publisher’s Note: The statements, opinions and data contained in all publications are solely those of the individual author(s) and contributor(s) and not of MDPI and/or the editor(s). MDPI and/or the editor(s) disclaim responsibility for any injury to people or property resulting from any ideas, methods, instructions or products referred to in the content. |
© 2025 by the authors. Licensee MDPI, Basel, Switzerland. This article is an open access article distributed under the terms and conditions of the Creative Commons Attribution (CC BY) license (https://creativecommons.org/licenses/by/4.0/).
Share and Cite
Tang, S.; Zhang, Y.; Xia, J.; Qi, J.; Tang, F.; Zhai, F.; Dong, L. A tetra-ortho-Chlorinated Azobenzene Molecule for Visible-Light Photon Energy Conversion and Storage. Molecules 2025, 30, 2333. https://doi.org/10.3390/molecules30112333
Tang S, Zhang Y, Xia J, Qi J, Tang F, Zhai F, Dong L. A tetra-ortho-Chlorinated Azobenzene Molecule for Visible-Light Photon Energy Conversion and Storage. Molecules. 2025; 30(11):2333. https://doi.org/10.3390/molecules30112333
Chicago/Turabian StyleTang, Shuxin, Yating Zhang, Jun Xia, Jing Qi, Fan Tang, Fei Zhai, and Liqi Dong. 2025. "A tetra-ortho-Chlorinated Azobenzene Molecule for Visible-Light Photon Energy Conversion and Storage" Molecules 30, no. 11: 2333. https://doi.org/10.3390/molecules30112333
APA StyleTang, S., Zhang, Y., Xia, J., Qi, J., Tang, F., Zhai, F., & Dong, L. (2025). A tetra-ortho-Chlorinated Azobenzene Molecule for Visible-Light Photon Energy Conversion and Storage. Molecules, 30(11), 2333. https://doi.org/10.3390/molecules30112333

