Mechanochemical Functionalization of Oxidized Carbon Black with PLA
Abstract
1. Introduction
2. Results
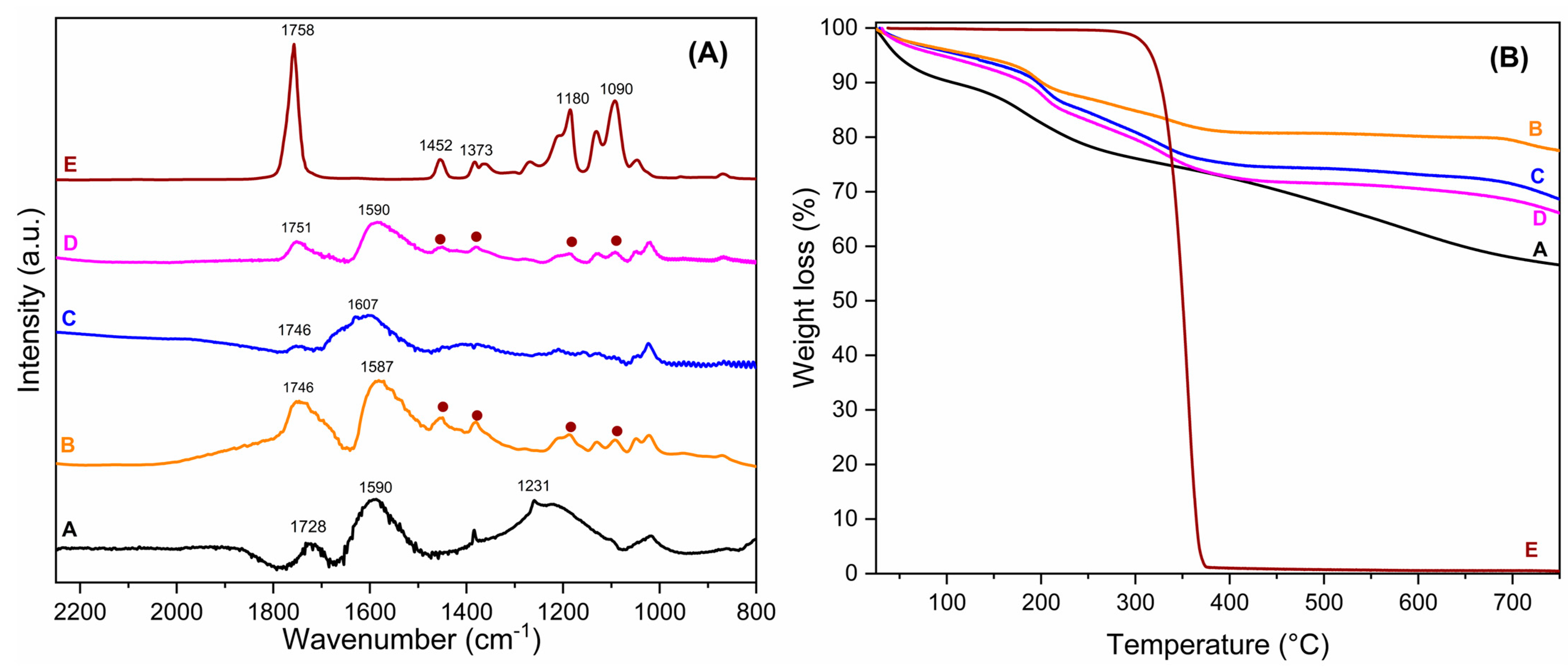
2.1. Functionalization of oCB with HMm PLA and LMm PLA
2.2. Effect of f-CB on Recycled PLA Processing
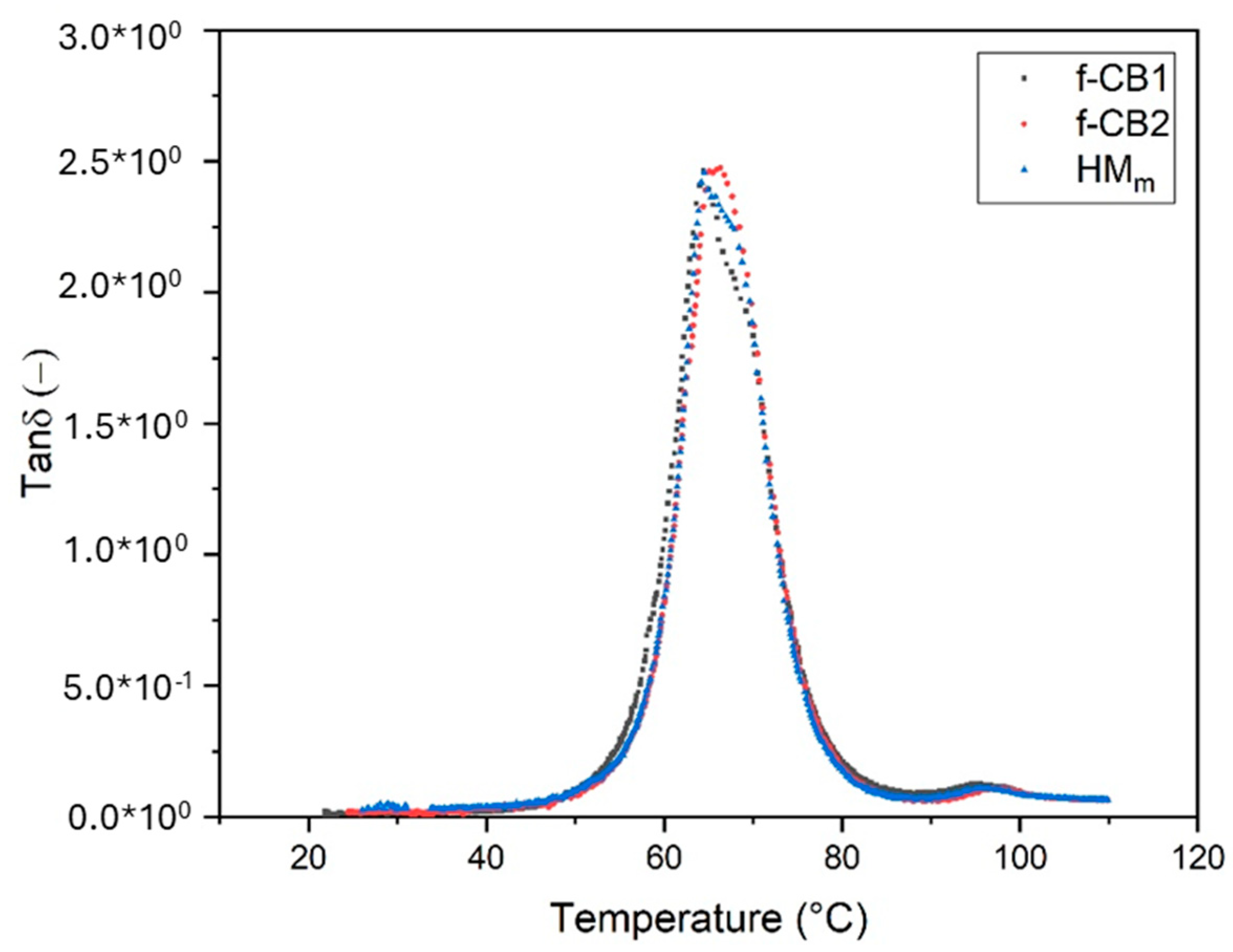
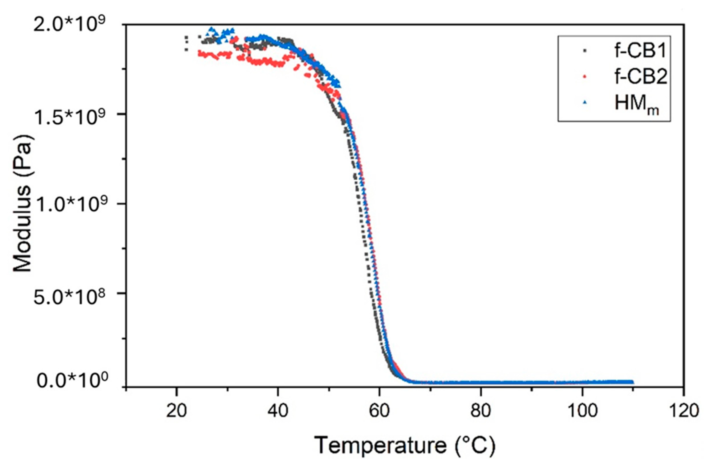
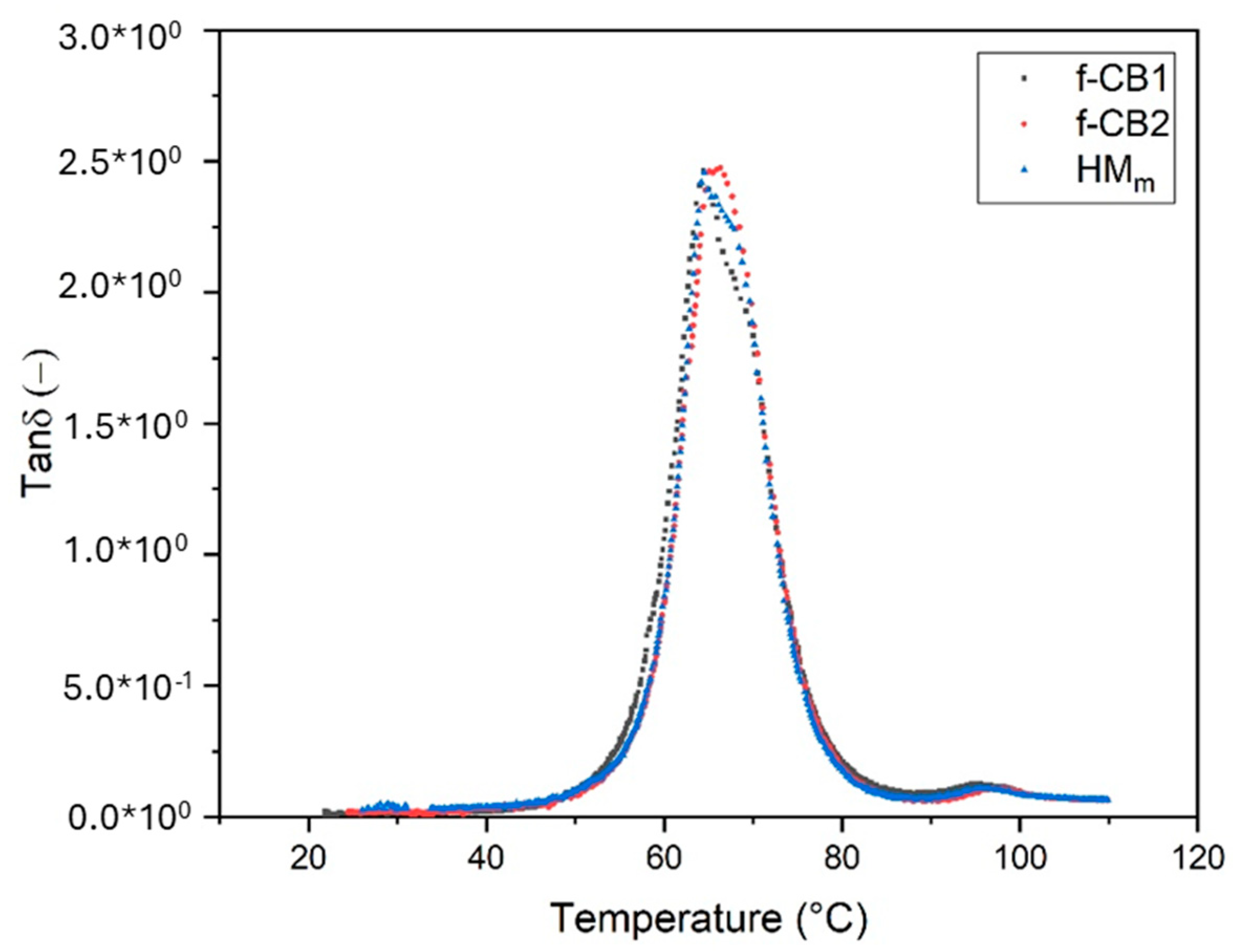
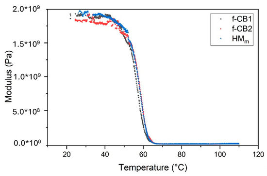
2.3. Mechanical Property Investigation
3. Materials and Methods
3.1. Oxidation of Carbon Black via Hummer’s Method
3.2. Functionalization of oCB with PLA via Ball Milling
3.3. Characterization
4. Conclusions
Author Contributions
Funding
Institutional Review Board Statement
Informed Consent Statement
Data Availability Statement
Acknowledgments
Conflicts of Interest
References
- Lu, J. Polymer Materials in Daily Life: Classification, Applications, and Future Prospects. E3S Web Conf. 2023, 406, 01034. [Google Scholar] [CrossRef]
- Rodrigues, M.O.; Abrantes, N.; Gonçalves, F.J.M.; Nogueira, H.; Marques, J.C.; Gonçalves, A.M.M. Impacts of Plastic Products Used in Daily Life on the Environment and Human Health: What Is Known? Environ. Toxicol. Pharmacol. 2019, 72, 103239. [Google Scholar] [CrossRef] [PubMed]
- Shekhar, N.; Mondal, A. Synthesis, Properties, Environmental Degradation, Processing, and Applications of Polylactic Acid (PLA): An Overview. Polym. Bull. 2024, 81, 11421–11457. [Google Scholar] [CrossRef]
- Khouri, N.G.; Bahú, J.O.; Blanco-Llamero, C.; Severino, P.; Concha, V.O.C.; Souto, E.B. Polylactic Acid (PLA): Properties, Synthesis, and Biomedical Applications—A Review of the Literature. J. Mol. Struct. 2024, 1309, 138243. [Google Scholar] [CrossRef]
- Kaptan, A.; Kartal, F. Advancements in Polylactic Acid Research: From Material Properties to Sustainable Applications. Eur. Mech. Sci. 2024, 8, 104–114. [Google Scholar] [CrossRef]
- Pérez-Fonseca, A.A.; González-López, M.E.; Robledo-Ortíz, J.R. Reprocessing and Recycling of Poly(Lactic Acid): A Review. J. Polym. Environ. 2023, 31, 4143–4159. [Google Scholar] [CrossRef]
- Hopewell, J.; Dvorak, R.; Kosior, E. Plastics Recycling: Challenges and Opportunities. Phil. Trans. R. Soc. B 2009, 364, 2115–2126. [Google Scholar] [CrossRef]
- Glaser, J.A. New Plastic Recycling Technology. Clean Technol. Environ. Policy 2017, 19, 627–636. [Google Scholar] [CrossRef][Green Version]
- Shen, L.; Worrell, E. Chapter 31—Plastic Recycling. In Handbook of Recycling, 2nd ed.; Meskers, C., Worrell, E., Reuter, M.A., Eds.; Elsevier: Amsterdam, The Netherlands, 2024; pp. 497–510. ISBN 978-0-323-85514-3. [Google Scholar]
- McKeown, P.; Jones, M.D. The Chemical Recycling of PLA: A Review. Sustain. Chem. 2020, 1, 1–22. [Google Scholar] [CrossRef]
- Payne, J.; Jones, M.D. The Chemical Recycling of Polyesters for a Circular Plastics Economy: Challenges and Emerging Opportunities. ChemSusChem 2021, 14, 4041–4070. [Google Scholar] [CrossRef]
- Chen, H.; Wan, K.; Zhang, Y.; Wang, Y. Waste to Wealth: Chemical Recycling and Chemical Upcycling of Waste Plastics for a Great Future. ChemSusChem 2021, 14, 4123–4136. [Google Scholar] [CrossRef] [PubMed]
- Chen, X.; Wang, Y.; Zhang, L. Recent Progress in the Chemical Upcycling of Plastic Wastes. ChemSusChem 2021, 14, 4137–4151. [Google Scholar] [CrossRef] [PubMed]
- Wachsen, O.; Platkowski, K.; Reichert, K.-H. Thermal Degradation of Poly-l-Lactide—Studies on Kinetics, Modelling and Melt Stabilisation. Polym. Degrad. Stab. 1997, 57, 87–94. [Google Scholar] [CrossRef]
- Speranza, V.; De Meo, A.; Pantani, R. Thermal and Hydrolytic Degradation Kinetics of PLA in the Molten State. Polym. Degrad. Stab. 2014, 100, 37–41. [Google Scholar] [CrossRef]
- Cheung, M.-F.; Carduner, K.R.; Golovoy, A.; Van Oene, H. Studies on the Role of Organophosphites in Polyester Blends: II. The Inhibition of Ester-Exchange Reactions. J. Appl. Polym. Sci. 1990, 40, 977–987. [Google Scholar] [CrossRef]
- Beltrán, F.R.; Gaspar, G.; Dadras Chomachayi, M.; Jalali-Arani, A.; Lozano-Pérez, A.A.; Cenis, J.L.; de la Orden, M.U.; Pérez, E.; Martínez Urreaga, J.M. Influence of Addition of Organic Fillers on the Properties of Mechanically Recycled PLA. Environ. Sci. Pollut. Res. 2021, 28, 24291–24304. [Google Scholar] [CrossRef]
- Pluta, M. Melt Compounding of Polylactide/Organoclay: Structure and Properties of Nanocomposites. J. Polym. Sci. B Polym. Phys. 2006, 44, 3392–3405. [Google Scholar] [CrossRef]
- Fukushima, K.; Murariu, M.; Camino, G.; Dubois, P. Effect of Expanded Graphite/Layered-Silicate Clay on Thermal, Mechanical and Fire Retardant Properties of Poly(Lactic Acid). Polym. Degrad. Stab. 2010, 95, 1063–1076. [Google Scholar] [CrossRef]
- Gordobil, O.; Delucis, R.; Egüés, I.; Labidi, J. Kraft Lignin as Filler in PLA to Improve Ductility and Thermal Properties. Ind. Crops Prod. 2015, 72, 46–53. [Google Scholar] [CrossRef]
- Tesfaye, M.; Patwa, R.; Gupta, A.; Kashyap, M.J.; Katiyar, V. Recycling of Poly (Lactic Acid)/Silk Based Bionanocomposites Films and Its Influence on Thermal Stability, Crystallization Kinetics, Solution and Melt Rheology. Int. J. Biol. Macromol. 2017, 101, 580–594. [Google Scholar] [CrossRef]
- Ajaj, Y.; AL-Salman, H.N.K.; Hussein, A.M.; Khaleel Jamee, M.; Abdullaev, S.; Omran, A.A.; Morad Karim, M.; Abdulwahid, A.S.; Mahmoud, Z.H.; Kianfar, E. Effect and Investigating of Graphene Nanoparticles on Mechanical, Physical Properties of Polylactic Acid Polymer. Case Stud. Chem. Environ. Eng. 2024, 9, 100612. [Google Scholar] [CrossRef]
- Valapa, R.B.; Pugazhenthi, G.; Katiyar, V. Effect of Graphene Content on the Properties of Poly(Lactic Acid) Nanocomposites. RSC Adv. 2015, 5, 28410–28423. [Google Scholar] [CrossRef]
- D’Urso, L.; Acocella, M.; Guerra, G.; Iozzino, V.; De Santis, F.; Pantani, R. PLA Melt Stabilization by High-Surface-Area Graphite and Carbon Black. Polymers 2018, 10, 139. [Google Scholar] [CrossRef]
- Wang, X.; Zhuang, Y.; Dong, L. Study of Carbon Black-Filled Poly(Butylene Succinate)/Polylactide Blend. J. Appl. Polym. Sci. 2012, 126, 1876–1884. [Google Scholar] [CrossRef]
- Frackowiak, S.; Ludwiczak, J.; Leluk, K.; Orzechowski, K.; Kozlowski, M. Foamed Poly(Lactic Acid) Composites with Carbonaceous Fillers for Electromagnetic Shielding. Mater. Des. 2015, 65, 749–756. [Google Scholar] [CrossRef]
- Huang, J. Carbon Black Filled Conducting Polymers and Polymer Blends. Adv. Polym. Technol. 2002, 21, 299–313. [Google Scholar] [CrossRef]
- Vidakis, N.; Petousis, M.; Michailidis, N.; Mountakis, N.; Argyros, A.; Spiridaki, M.; Moutsopoulou, A.; Papadakis, V.; Charitidis, C. High-Density Polyethylene/Carbon Black Composites in Material Extrusion Additive Manufacturing: Conductivity, Thermal, Rheological, and Mechanical Responses. Polymers 2023, 15, 4717. [Google Scholar] [CrossRef]
- D′Urso, L.; Acocella, M.R.; De Santis, F.; Guerra, G.; Pantani, R. Poly(l-Lactic Acid) Nucleation by Alkylated Carbon Black. Polymer 2022, 256, 125237. [Google Scholar] [CrossRef]
- Wei, Q.-Y.; Fang, Y.-D.; Sun, Z.-B.; Zeng, Y.; Zhang, J.; Lei, J.; Xu, L.; Lin, H.; Zhong, G.-J.; Li, Z.-M. Fabrication of PLA/CB Composites with Excellent Electrical Conductivity and Stiffness-Ductility Balance Based on Coupling Extensional Stress with Thermal Field. Compos. Part A Appl. Sci. Manuf. 2023, 169, 107516. [Google Scholar] [CrossRef]
- Hinsken, H.; Moss, S.; Pauquet, J.-R.; Zweifel, H. Degradation of Polyolefins during Melt Processing. Polym. Degrad. Stab. 1991, 34, 279–293. [Google Scholar] [CrossRef]
- Zhou, J.; Hsu, T.-G.; Wang, J. Mechanochemical Degradation and Recycling of Synthetic Polymers. Angew. Chem. Int. Ed. 2023, 62, e202300768. [Google Scholar] [CrossRef] [PubMed]
- James, S.L.; Friščić, T. Mechanochemistry. Chem. Soc. Rev. 2013, 42, 7494–7496. [Google Scholar] [CrossRef] [PubMed]
- Do, J.-L.; Friščić, T. Mechanochemistry: A Force of Synthesis. ACS Cent. Sci. 2017, 3, 13–19. [Google Scholar] [CrossRef]
- Lee, G.S.; Moon, B.R.; Jeong, H.; Shin, J.; Kim, J.G. Mechanochemical Synthesis of Poly(Lactic Acid) Block Copolymers: Overcoming the Miscibility of the Macroinitiator, Monomer and Catalyst under Solvent-Free Conditions. Polym. Chem. 2019, 10, 539–545. [Google Scholar] [CrossRef]
- Blachnio, M.; Zienkiewicz-Strzalka, M.; Derylo-Marczewska, A.; Nosach, L.V.; Voronin, E.F. Chitosan–Silica Composites for Adsorption Application in the Treatment of Water and Wastewater from Anionic Dyes. Int. J. Mol. Sci. 2023, 24, 11818. [Google Scholar] [CrossRef]
- Friščić, T.; Mottillo, C.; Titi, H.M. Mechanochemistry for Synthesis. Angew. Chem. 2020, 132, 1030–1041. [Google Scholar] [CrossRef]
- James, S.L.; Adams, C.J.; Bolm, C.; Braga, D.; Collier, P.; Friščić, T.; Grepioni, F.; Harris, K.D.M.; Hyett, G.; Jones, W.; et al. Mechanochemistry: Opportunities for New and Cleaner Synthesis. Chem. Soc. Rev. 2012, 41, 413–447. [Google Scholar] [CrossRef]
- Friščić, T. New Opportunities for Materials Synthesis Using Mechanochemistry. J. Mater. Chem. 2010, 20, 7599–7605. [Google Scholar] [CrossRef]
- Pagola, S. Outstanding Advantages, Current Drawbacks, and Significant Recent Developments in Mechanochemistry: A Perspective View. Crystals 2023, 13, 124. [Google Scholar] [CrossRef]
- Samir, A.; Ashour, F.H.; Hakim, A.A.A.; Bassyouni, M. Recent Advances in Biodegradable Polymers for Sustainable Applications. NPJ Mater. Degrad. 2022, 6, 68. [Google Scholar] [CrossRef]
- Kiani, A.; Sozio, N.; Acocella, M.R. Sustainable Functionalization of Carbon Black via Dry Ball Milling. Mol. Syst. Des. Eng. 2023, 8, 942–949. [Google Scholar] [CrossRef]
- Wang, N.; Zhang, X.; Ma, X.; Fang, J. Influence of Carbon Black on the Properties of Plasticized Poly(Lactic Acid) Composites. Polym. Degrad. Stab. 2008, 93, 1044–1052. [Google Scholar] [CrossRef]
- Ebqa’ai, M.; Tamimi, M.F.; Kassick, A.J.; Averick, S.E.; Nelson, T.L. One-Pot Phenolic-Initiated Mechanochemical Synthesis of Poly(Lactic Acid) Nanoparticles: Application of the Artificial Neural Network Algorithm to Perform Sensitivity Assessment Models. Macromolecules 2022, 55, 9740–9750. [Google Scholar] [CrossRef]
- Peng, K.; Mubarak, S.; Diao, X.; Cai, Z.; Zhang, C.; Wang, J.; Wu, L. Progress in the Preparation, Properties, and Applications of PLA and Its Composite Microporous Materials by Supercritical CO2: A Review from 2020 to 2022. Polymers 2022, 14, 4320. [Google Scholar] [CrossRef]
- Delgado, P.A.; Brutman, J.P.; Masica, K.; Molde, J.; Wood, B.; Hillmyer, M.A. High Surface Area Carbon Black (BP-2000) as a Reinforcing Agent for Poly[(−)-Lactide]. J. Appl. Polym. Sci. 2016. [Google Scholar] [CrossRef]
- Paiva, M.C.; Zhou, B.; Fernando, K.A.S.; Lin, Y.; Kennedy, J.M.; Sun, Y.-P. Mechanical and Morphological Characterization of Polymer–Carbon Nanocomposites from Functionalized Carbon Nanotubes. Carbon 2004, 42, 2849–2854. [Google Scholar] [CrossRef]
- Santulli, F.; Lamberti, M.; Mazzeo, M. A Single Catalyst for Promoting Reverse Processes: Synthesis and Chemical Degradation of Polylactide. ChemSusChem 2021, 14, 5470–5475. [Google Scholar] [CrossRef]
- Hummers, W.S.; Offeman, R.E. Preparation of Graphitic Oxide. J. Am. Chem. Soc. 1958, 80, 1339. [Google Scholar] [CrossRef]







| Entry | Sample | Mn a (kDa) | Mw a (kDa) | Ð a |
|---|---|---|---|---|
| 1 | LMm PLA | 9.7 | 10 | 1.1 |
| 2 | HMm PLA (first batch) before extrusion | 51 | 96 | 1.9 |
| 3 | HMm PLA (first batch) after extrusion | 52 | 96 | 1.9 |
| 4 | HMm PLA (first batch)/f-CB1 composite | 50 | 94 | 1.9 |
| 5 | HMm PLA (second batch) before extrusion | 51 | 96 | 1.9 |
| 6 | HMm PLA (second batch) after extrusion | 59 | 102 | 1.7 |
| 7 | HMm PLA (second batch)/f-CB2 composite | 60 | 102 | 1.7 |
| Entry | Sample | Tg (°C) | Tcc (°C) | Tm (°C) | ΔHcc (J/g) | ΔHm (J/g) |
|---|---|---|---|---|---|---|
| 1 | HMm PLA (first batch) before extrusion | 62 | 120 | 150 | 15.5 | 20.5 |
| 2 | HMm PLA (first batch) after extrusion at 170 °C | 62 | 113 | 150 | 25.3 | 25.4 |
| 3 | Composite of f-CB1 with processed PLA (first batch) after extrusion at 170 °C | 62 | 117 | 151 | 30.4 | 31 |
| 4 | HMm PLA (second batch) before extrusion | 61 | 121 | 150 | 17.5 | 25.1 |
| 5 | HMm PLA (second batch) after extrusion at 170 °C | 61 | 121 | 151 | 14 | 21.2 |
| 6 | Composite of f-CB2 with processed PLA (second batch) after extrusion at 170 °C | 61 | 121 | 151 | 17.4 | 25.2 |
Disclaimer/Publisher’s Note: The statements, opinions and data contained in all publications are solely those of the individual author(s) and contributor(s) and not of MDPI and/or the editor(s). MDPI and/or the editor(s) disclaim responsibility for any injury to people or property resulting from any ideas, methods, instructions or products referred to in the content. |
© 2024 by the authors. Licensee MDPI, Basel, Switzerland. This article is an open access article distributed under the terms and conditions of the Creative Commons Attribution (CC BY) license (https://creativecommons.org/licenses/by/4.0/).
Share and Cite
Kiani, A.; Naddeo, M.; Santulli, F.; Volpe, V.; Mazzeo, M.; Acocella, M.R. Mechanochemical Functionalization of Oxidized Carbon Black with PLA. Molecules 2025, 30, 94. https://doi.org/10.3390/molecules30010094
Kiani A, Naddeo M, Santulli F, Volpe V, Mazzeo M, Acocella MR. Mechanochemical Functionalization of Oxidized Carbon Black with PLA. Molecules. 2025; 30(1):94. https://doi.org/10.3390/molecules30010094
Chicago/Turabian StyleKiani, Aida, Mattia Naddeo, Federica Santulli, Valentina Volpe, Mina Mazzeo, and Maria Rosaria Acocella. 2025. "Mechanochemical Functionalization of Oxidized Carbon Black with PLA" Molecules 30, no. 1: 94. https://doi.org/10.3390/molecules30010094
APA StyleKiani, A., Naddeo, M., Santulli, F., Volpe, V., Mazzeo, M., & Acocella, M. R. (2025). Mechanochemical Functionalization of Oxidized Carbon Black with PLA. Molecules, 30(1), 94. https://doi.org/10.3390/molecules30010094

