Abstract
Given the natural origins of flavylium derivatives, their chemical modifications, and their large potential uses in food, medicine, or green chemistry, the present review is a comprehensive study of flavylium-derived compounds. Several topics such as the green extraction and isolation techniques of flavylium derivatives including their chemical modifications and various characterization tools such as NMR, HPLC, and mass spectrometry are discussed in the review. Furthermore, the use of these derivatives in medicine, food, and materials science is presented, highlighting their relevance and the need for further investigation. Therefore, by examining the advantages and disadvantages of natural and synthetic sources, the review asserts the increased relevance of flavylium-based compounds in active molecules.
1. Introduction
Natural and synthetic flavylium derivatives belong to the class of flavonoids, a large family of polyphenolic compounds whose structural variety allows a wide range of applications in various domains, including food and biomedical sciences [1,2,3]. Flavylium compounds include anthocyanins (mono- or diglucosides), anthocyanidins (the aglycons of anthocyanins), and 3-deoxyanthocyanins (without the glucoside in position 3, but holding a glucoside unit in position 5) [4,5].
The flavylium cation ring (AH+), present in anthocyanidins mainly in 7-hydroxylated form, is probably the most versatile natural chromophore. It consists of a positively charged aromatic pyrylium ring (ring C, Figure 1a), supplemented by an additional ring (ring A) to create an efficient benzopyrylium conjugated π system. This system seems to be similar to the π systems observed in coumarin and naphthalene. In addition, a single bond stemming from C2 on the electron-deficient pyrylium ring accommodates a benzene ring, leading to an even more extensive conjugation system [6].
Figure 1.
(a) The flavylium cation (b) Chemical structures of the anthocyanidins most spread in nature (found in more than 90% of the natural anthocyanins).
The natural anthocyanidins differ from each other in the number of hydroxyl groups attached to ring B and their degree of methylation, as well as glycosyl fragments linked at different positions of ring C or A, which may be acylated with aliphatic or aromatic acids [7].
Anthocyanins are a group of water-soluble plant flavonoid pigments, whose colors range from pink to blue. They are responsible for the color in many fruits and vegetables which makes them one of the most abundant categories of natural pigments in the plant kingdom. Anthocyanins have also been shown to act by repelling herbivores and parasites and defending plants form various stresses. The variations of colors observed in anthocyanins are linked to changes in the surrounding pH environment. As the pH level fluctuates, the structural configuration of anthocyanins suffers modifications, resulting a shift in their observable coloration. In nature, anthocyanins primarily exist as heterozide, while their aglycon forms, known as anthocyanidins, structurally stem from the flavylium (2-phenyl-1- benzopyrylium) cation, exhibiting variations in the positioning of hydroxy and methoxy groups (Figure 1) [8,9,10,11].
Selected examples of representative anthocyanins present in plant sources are shown in Table 1.
Table 1.
The most important anthocyanins found in different plant sources.
Beyond their primary function of pigments for natural dyes, the naturally occurring flavylium derivatives are also responsible for several beneficial effect of the anthocyanins on the food quality or human health, as it will be discussed later in this review. Obviously, the possibility of synthesizing nature-inspired flavylium derivatives, holding the same 2-phenyl-1- benzopyrylium structural unit and different functional groups which could provide improved or new characteristics, attracted considerable scientific interest in the past years. The limited availability of natural anthocyanins was another reason for exploring alternative chemical pathways. Consequently, diverse types of synthetic flavylium derivatives were synthesized, characterized, and evaluated for various applications. Examples of some relevant structures are presented in Table 2. Pyranoanthocyanins, the flavylium derivatives that possess an additional pyranic ring in the anthocyanin structure were included here as well, because apart from the natural forms identified mainly in wines or obtained by microbial methods, they were also synthesized from anthocyanidins or by an entirely chemical synthetic route [16,17].
Table 2.
Selected examples of synthetic flavylium derivatives with 2-phenyl-1-benzopyrilium structural units, reported in the literature.
This review intends to present a comparative overview of recent developments in the synthesis/isolation, characterization, and potential preventive or therapeutic effects of the natural and synthetic flavylium derivatives. In our view it is the first attempt to discuss both categories, allowing us to better understand how nature-inspired research can lead toward structures with different substitution patterns which are able to create additional application possibilities in various fields.
2. Isolation of Anthocyanins by Different Extraction Techniques
2.1. Extraction of Anthocyanins by Using Organic Solvents
Various solvents are used to extract anthocyanins, including methanol, ethanol, citric acid, water acidified with acetic acid, and ethanol in hydrochloric acid medium [22].
Table 3 provides a detailed overview of the extraction conditions used to recover anthocyanins from different vegetable sources where the key parameters that influence the extraction process, such as solvent composition, temperature, extraction time, and type of plant material used were selected.
Table 3.
Extraction conditions applied for the recovery of anthocyanins from different matrices.
Lovelin et al. used a method in which plum fruits were thoroughly cleaned and washed before anthocyanin was extracted using ethanol and citric acid because of its low toxicity. The extraction was carried out using citric acid and ethanol 1 mol/L at a ratio of 80:20 with grounded plum fruit skins. The extraction process involved constant stirring using a magnetic stirrer and was conducted at different times (30, 50, and 80 min) and temperatures (25, 40, and 60 °C). The optimal condition for maximizing the total anthocyanin content was found to be an extraction at a temperature of 40 °C for a duration of 80 min (105.5 mg/100 g) [22].
Zardo et al. performed an extraction of anthocyanins from blueberry pomace which was conducted without the use of organic solvents, as the extract was intended for use in foods. Water, supplemented with 1% w/v citric acid, was employed as the solvent. The extraction process was carried out in batch mode, using an apparatus consisting of a jacketed cell wrapped in aluminum foil to maintain a constant temperature and shield the solution from light. A thermostatic bath was used for temperature control, and constant stirring was maintained using a magnetic stirrer. Experimental treatments included different combinations of temperature (60 and 80 °C) and time (5, 15, and 45 min), resulting in a total of six treatments. Each batch consisted of 4 g of wet pomace and 60 mL of extraction solution, with a ratio of 1:15 determined to be optimal through preliminary experiments. To evaluate the effectiveness of each extraction, an exhaustive extraction was performed using methanol until no significant staining of the extract was observed. A reduction in the concentration of anthocyanins in the extract was noted when the extraction temperature was set at 80 °C for extended periods. The highest yield was obtained under the extraction conditions of 80 °C for 5 min. In this scenario, 1944.07 ± 46.7 mg of monomeric anthocyanins (specifically, cyanidin-3-glucoside) were obtained per 100 g of pomace on a dry weight basis. This outcome accounts for 81.41% of the total anthocyanin concentration [23].
Patil G. et al. extracted anthocyanins from red radish peels using different extraction mediums. Initially, 50 g of red radish peels were mixed with 100 mL of the chosen extraction medium. The mixture was then ground using a food processor for a standardized duration of three minutes. The solid-liquid ratio was maintained at 1:2 for all extractions. Various extraction mediums were tested, including water, acidified water (1% HCl), different combinations of water and ethanol at varying ratios (ranging from 0 to 80% ethanol), and different combinations of ethanol and acidified water at varying ratios (ranging from 0 to 80% ethanol in acidified water (1% HCl)). It was considered prudent to employ a solution of alcohol in acidified water, with the concentration of HCl maintained at 1%. After extraction, the anthocyanin extract was filtered through muslin cloth to remove any solid particles. It is important to note that only one extraction was performed for each sample to evaluate the efficiency of each extraction medium, with the filter cake being discarded after the initial extraction. The blend of 50% ethanol and acidified water yielded the highest anthocyanin content (37.26 mg/100 mL) [24].
Flores F.P. et al. analyzed the capacity of acetone, ethanol, and methanol to extract anthocyanins from both whole blueberries and pomace. The acetonic extraction involved the use of 70% aqueous acetone solution acidified with 0.01% (v/v) HCl. The blueberries or pomace were grinded, extracted with acidified acetone, filtered, the residue was re-extracted, extracted with chloroform and finally the aqueous layer was evaporated. For the methanol extraction, blanched whole blueberries were ground with pure methanol acidified with 0.01% (w/v) citric acid. The third extraction was conducted using freeze-dried blueberry pomace for 24 h with 80% (v/v) aqueous ethanol solution. For whole blueberries the methanol-based extraction yielded the highest concentration (627.2 mg/L) while the acetone-based extraction produced a substantial yield which was slightly less effective (364.1 mg/L). For pomace the acetone extraction generated a higher yield (982.2 mg/L) compared to ethanol (813.7 mg/L) [25].
Galvão A.C. et al. examined the efficacy of solutions containing water, alcohols, and various organic acids (including citric, adipic, and nicotinic acids) for the extraction of anthocyanins from jabuticaba fruit skins and red cabbage leaves. The experiment involved preparing binary solutions of water with ethanol, water with methanol, and water with isopropanol, each with a molar fraction of 50%. These solutions were created using a semi-analytical scale. Pure solvents and binary solutions were examined both with and without dissolved organic acids. The concentrations of citric and adipic acids were tested at 0.1, 0.5, and 1.0 mol/kg, while nicotinic acid concentrations were assessed at 0.01, 0.03, and 0.06 mol/kg. The highest extraction capacity from jabuticaba skins (36.40 mg/L) was observed using a solution containing water, methanol, and citric acid. Similarly, for the extraction from red cabbage, the highest extraction capacity (56.80 mg/L) was observed using a solution composed of water, methanol, and adipic acid. However, despite yielding the best results, the use of methanol containing solution is not recommended. As alternative ethanol solution was used. For the extraction of anthocyanins from jabuticaba skins, the solution comprising water, ethanol, and citric acid and the obtained yield was 32.06 mg/L of total monomeric anthocyanins. Similarly, for cabbage leaves, the solution of water, ethanol, and adipic acid resulted in a value of 53.82 mg/L of total monomeric anthocyanins [26].
Chatterjee D. et al. aimed to optimize the solvent system composition by incorporating Generally Recognized as Safe status reagents such as water, ethanol, and citric acid. In order to obtain aqueous extracts of food-grade colors from eggplant peels, various parameters were manipulated, including the amount of citric acid, the ratio of water to ethanol, solvent to peels ratio, rotary shaker speed (100, 150, and 180 rpm), and extraction temperature (ambient, 40 °C, 60 °C, and 80 °C) to achieve the optimal yield of color from the peels. Following extraction, the extracts underwent centrifugation for 5 min at 4 °C. Subsequently, the extracts were concentrated using a rotavac system at 40–45 °C and 0.005 MPaHg, and finally, by purging with a gentle stream of nitrogen. The filtered extracts were stored at 4 °C until analysis. At a temperature of 60 °C the researchers obtained a total anthocyanin content of 19.75 g/kg [27].
Kowalska et al. searched for an alternative method to extract anthocyanins that was cheap, easy to apply, and which can be used in food products without raising a concern about food safety. They found that glycerol, possessing lower polarity compared to water, serves as a viable substitute extraction solvent when compared to ethanol. The results indicate that the most efficient extraction of anthocyanins from black chokeberry and elderberry fruits was achieved using water-glycerol extraction systems. Specifically, optimal efficiency was observed with glycerol concentrations of 50% at extraction temperatures of 20 °C and 50 °C, as well as a glycerol concentration of 65% at an extraction temperature of 80 °C. These conditions were identified as yielding the highest levels of anthocyanin extraction from the fruits, highlighting the effectiveness of glycerol-based extraction systems in this process. The results demonstrated that glycerol-water extracts from elderberry fruits exhibited a comparable concentration of anthocyanins to extracts obtained using 50% ethanol [28].
Zannou et al. investigated the efficacy of extracting anthocyanins from borage flowers utilizing a green solvent system composed of choline chloride and glycerol, natural deep eutectic solvents (NADES). The analysis of borage extracts revealed the presence of four distinct anthocyanins: cyanidin-3-glucoside, cyanin chloride, cyanidin-3-rutinoside, and pelargonidin-3-glucoside [29].
Asni H. et al. wanted to apply the eutectic solvent potassium carbonate (K2CO3)-glycerol to extract anthocyanin pigments from mangosteen peel. The extraction process commences with the preparation of raw mangosteen peel materials, wherein fresh mangosteen peel is carefully selected and washed with clean water. Subsequently, the mangosteen skin is drained, cut into small pieces, and dried in an oven at 50 °C for 12 h. Following drying, the mangosteen skin is ground until it achieves a smooth consistency. Next, the extraction is performed as follows: the extraction equipment is set up, and the mangosteen peel is placed into a three-necked flask. Eutectic solvent is added in a specific ratio, with the ratio of mangosteen peel to eutectic solvent at different values (1:4, 1:5, 1:6, 1:7, 1:8). The extraction takes place for 120 min. After extraction, the mixture is filtered using filter paper to separate the filtrate from the residue. The extracted filtrate is then concentrated using a rotary vacuum evaporator. This extraction procedure is repeated for subsequent treatments. The best results were obtained when using a molar ratio of K2CO3:Glycerol of 1:7 with a ratio of mangosteen peel: eutectic solvent of 1:8; the anthocyanin content was 263.976 mg/L [30].
2.2. Ultrasound Assisted Anthocyanin Extraction
The ultrasound assisted extraction can enhance the extraction of anthocyanins compared to the simple solvent extraction method, in a shorter extraction time. However, the mechanical effects and cavitation generated by ultrasound during the process can potentially damage the anthocyanin structure. Therefore, is crucial to monitor the ultrasonic conditions [31,32].
Xu H. et al. used ultrasound-assisted extraction to enhance the extraction of anthocyanins from purple-fleshed potatoes. This method involved breaking the potato cells using ultrasonic cavitation, which disrupted the cell wall and released the cytoplasm containing anthocyanins. The researchers conducted single-factor experiments to optimize the ethanol extraction concentration and determine the best extracting agent, solid-liquid ratio, and ultrasound time. The ultrasound-assisted extraction method achieved a relatively high anthocyanin extraction rate from purple-fleshed potatoes when the ultrasound time was set at 15 min (0.36% extraction rate). Shorter ultrasound times led to incomplete extraction and lower extraction rates. Conversely, longer ultrasound times beyond 15 min resulted in a gradual decrease in anthocyanin extraction rates [33].
Hu A.-J. et al. investigated the extraction of anthocyanins from blueberry pomace using multi-frequency ultrasonication, with a specific focus on evaluating the impact of ultrasonic power, temperature, and extraction time. In this study, the extraction process was carried out at different ultrasonic powers (250 W, 350 W, 450 W, 550 W, and 650 W) for 40 min at 50 °C using ethanol (60% v/v) at the solid-liquid ratio of 1:20 g/mL as extraction solvent and two different frequencies: single and dual-frequency ultrasound (80 kHz and 40 + 80 kHz). The maximum anthocyanin yield (10.78 mg/g) was attained using dual-frequency ultrasound (40 kHz and 80 kHz), with an ultrasonic power of 350 W [34].
Zhang S. et al. performed an ultrasound-assisted to improve the anthocyanin extraction from Vitis davidii Foex. Pomace using natural deep eutectic solvents (choline chloride-glycerol) at different liquid-solid ratios (10–60 mL/g), ultrasonic times (20–60 min), temperatures (303.15–353.15 K), and ultrasonic powers (280–630 W). The highest total anthocyanin content (3.682 ± 0.051 mg/g) yield was obtained using a liquid-solid ratio of 34 mL/g, an ultrasonic power of 430 W at a temperature of 323.15 K [35].
Devi L.M. et al. aimed to study the effect of ultrasound-assisted extraction factors on total phenolics, flavonoids, and anthocyanin content, with the additional objective of optimizing the extraction process. The extract was obtained by dissolving 1 g of black rice bran in a solution of 25 mL of acidified ethanol (comprising 70% ethanol and 1 M hydrochloric acid). The solution was subjected to sonication at various combinations between time (from 20 to 60 min) and ultrasonic power (from 100 to 300 W). Following sonication, the solution underwent homogenization using a magnetic stirrer for 15 min. Subsequently, centrifugation was conducted at 4500 rpm for 15 min to obtain the supernatant. The best parameters for obtaining the highest total anthocyanin content (11.27 mg cyanidin-3-glucoside/L) were 40 min at 200 W [36].
2.3. Microwave Assisted Anthocyanin Extraction
Microwave assisted extraction is the process of extracting chemicals or bioactive compounds such as essential oils and flavonoids from plants, herbs, and other natural sources by quickly heating the solvent in contact with the sample using microwave radiation to facilitate the extraction of specific compounds from the solvent. It is necessary that the selected solvent to be capable of dissolving the compound of interest. One of the significant advantages of MAE is the using of short processing times leading to reducing energy consumption and lower manufacturing costs [37]. Table 4 includes the conditions applied for microwave-assisted extraction (MAE) of anthocyanins from various matrices.
Table 4.
Conditions applied for microwave-assisted extraction of anthocyanins from different matrices.
Sun Y. et al. proceeded a microwave-assisted extraction on red raspberries. Frozen fruit samples (60 ± 0.5 g) were processed by crushing them into pieces. These pieces were then placed into a double-neck flask equipped with a cooling system to cool them at room temperature. The flask was filled with an appropriate volume of extraction solvent, consisting of 1.5 M HCl and 95% ethanol (in a ratio of 15:85). This sample was then subjected to microwave extraction using a microwave extractor. The resulting solution was then filtered through paper under vacuum, with the filtrate collected in a volumetric flask. Any residue remaining in the flask was subjected to a second extraction under the same conditions to ensure maximum extraction efficiency. When microwave-assisted extraction was performed with a solvent-to-sample ratio of 4:1 for a duration of 12.1 min at 366 W, the extraction efficiency for total anthocyanins reached 43.42 mg/100 g extract. Eight different types of anthocyanins were identified: cyanidin-3-sophoroside, cyanidin-3-(2-glucosylrutinoside), cyanidin-3-sambubioside, cyanidin-3-rutinoside, cyanidin-3-xylosylrutinoside, cyanidin-3-glucoside [38].
Grigoras C. et al. performed a solvent free microwave assisted extraction of anthocyanins procedure from sweet cherries. Approximately 50 g of fresh fruits were placed in a 250 mL glass vessel without any solvent and exposed to microwave irradiation at 1000 W for four cycles, each lasting 45 s. After each irradiation cycle, the extracted juice accumulated in the vessel was collected in a phial. The combined extracts from the four cycles constitute the crude extract, which was then centrifuged at 7000 rpm for 5 min at 10 °C. The resulting supernatant was promptly frozen at −80 °C to facilitate subsequent lyophilization. This process yielded a red, thin layer of dry extract. The anthocyanins found in sweet cherries were 30 mg/100 g of fresh fruit cyanidin-3-O-glucoside and 60 mg/100 g of fresh fruit cyanidin-3-O-rutinoside [39].
Duan W. et al. applied microwave-assisted extraction to bring out antioxidant compounds from Chinese bayberry. 0.50 g of bayberry powder was put in a tube then it was blended with an extraction solvent, 1% HCl in 95% ethanol (solid to liquid ratio 1:50). The sample was mixed and irradiated with a power of 800 W, an 80 °C temperature for 15 min (ideal extraction conditions). The utmost yield of total anthocyanins obtained was 2.95 ± 0.08 mg/g [40].
Lutsi N. et al. optimized the anthocyanin extraction process from cocoa shell waste using microwave-assisted extraction. The most favorable conditions were a particle size of 0.105 mm in the extraction, an extraction time of 2 min, and a microwave power 100 W in citric acid:distilled water. The optimal response value for anthocyanin concentration was 11.85 × 10−4 M [41].
Evitasari R.T. performed a natural deep eutectic solvent (NADES) microwave-assisted extraction of anthocyanin content in purple sweet potatoes (Ipomoea batatas L.) using different material to solvent ratio, microwave power, and extraction time. The deep eutectic solvent was obtained by reacting citric acid and ethylene glycol with a mole ratio of 1:4. The optimum operating conditions were: solid to solvent ratio of 1:29 (w/v), 270 W microwave power for 193 s, with an optimum total anthocyanin content value of 311.64 mg/L [42].
Alchera F. et al. proceeded with a microwave-assisted extraction using sugar-based NADES (glucose:glycerol:lactic acid in a molar ratio of 1:2:5) as solvent mainly from blueberry peels. A 2 g lyophilized sample was mixed with the correct volume of NADES in a glass vial and then in a high-pressure digestor which can control the temperature. The optimized extraction conditions were determined as follows: the power of microwave of 800 W, extraction heat of 60 °C and the extraction time of 30 min. These conditions resulted in a total anthocyanins content of 634.71 mg/100 g of extract [43].
2.4. Anthocyanin Extraction in the Presence of Enzymes
Enzyme-assisted extraction of plant bioactive compounds provides multiple advantages, including mild conditions (lower temperature and pH levels), avoiding flammable, volatile, or hazardous solvents, and high specificity for substrates. The aim of using enzymes is to break down the cell wall components of the plant material, which facilitates the release of anthocyanins and other bioactive compounds making the process more efficient and to facilitate the compatibility with purification process. The mild extraction conditions minimize the degradation of sensitive compounds such as anthocyanins preserving their antioxidant properties [44]. Some examples of efficient enzymes and extraction conditions are included in Table 5 and the 3D structures of the three most relevant are presented in Figure 2.
Cell wall degrading enzymes, such as cellulases, pectinases, proteases, xylanases, β-glucosidases, and α-amylases can effectively break down the cell structure, leading to improved extraction of intracellular contents [45,46].
Tran C.-T. et al. studied an enzyme-assisted extraction to produce anthocyanin pigment from purple sweet potatoes. Alpha-amylase was added to dried purple sweet potato powder at a ratio of 1% enzyme to powder weight. The mixture was then incubated for 60 min in a thermostatically controlled shake incubator set at 65 °C and pH 4. Subsequently, anthocyanins were extracted in a water-ethanol mixed solution with a volume ratio of 40/60 mL/mL. The extraction conditions were optimized by varying extraction time (30–70 min) and temperature (5–70 °C). The ideal extraction conditions were determined to be at a temperature of 65 °C and for a duration of 60 min with an obtained anthocyanin concentration of 165 mg/L [46].
Figure 2.
3D structures of cellobiohydrolase from Trichoderma reesei (PDB: 6GRN) [47], pectinase from Aspergillus niger (PDB: 1QCX) [48], and alpha-amylase from Bacillus licheniformis (PDB:1OB0) [49]. The enzyme structures were download from protein data bank and the figures were obtained using PyMOL 2.5.4 software.
Figure 2.
3D structures of cellobiohydrolase from Trichoderma reesei (PDB: 6GRN) [47], pectinase from Aspergillus niger (PDB: 1QCX) [48], and alpha-amylase from Bacillus licheniformis (PDB:1OB0) [49]. The enzyme structures were download from protein data bank and the figures were obtained using PyMOL 2.5.4 software.

Jiang Y. et al. tried to develop a technique, known as radio frequency-assisted enzymatic extraction for extracting anthocyanins from A. trifoliata flowers using both the Plackett–Burman (PBD) and Box–Behnken (BBD) experimental designs. The best extraction conditions involved using 0.1% each of cellulase and pectinase (based on the weight of A. trifoliata powder), maintaining a pH of 4, using 50% ethanol, having a liquid-solid ratio of 20 mL/g, with a 5 cm gap between radio frequency electrodes, for a duration of 10 min at 40 °C. These conditions resulted in a crude yield of 26.55% and an anthocyanin content of 50.87 mg cyanidin-3-O-glucoside (C3G) equivalents/100 g of powder [50].
Roy et al. described the extraction process of anthocyanins making use of Zymomonas mobilis to produce ethanol via the Entner–Doudoroff pathway. Utilizing Zymomonas mobilis for fermenting grapes offers several notable advantages compared to Saccharomyces cerevisiae in maximizing anthocyanin extraction. The organism demonstrates resilience to elevated sugar concentrations, possesses a heightened tolerance to osmotic stress, thrives in environments with increased ethanol levels, and sustains viability in lower pH conditions. Moreover, the fermentation process with Zymomonas mobilis does not necessitate strict oxygen control, streamlining its industrial applications. The best recovery of anthocyanins (delphinidin, cyanidin, petunidin, peonidin, and malvidin), 77 mg, was obtained at a fermentation time of 50 h [51].
Amulya et al. optimized enzyme-assisted extraction of anthocyanins from eggplant peel to enhance the recovery of anthocyanins using cellulase enzyme using different temperatures, enzyme concentrations, and time durations. The optimal conditions were 37.32 °C, 5% enzyme concentration, and 1 h in duration resulting in a total anthocyanin content of 578.665 mg C3G/L. This approach not only improved antioxidant activity but also increased anthocyanin yield in comparison with conventional solvent extraction [45].
Swer et al. studied a cellulase-assisted extraction of anthocyanins from Sohiong fruit at five different values of temperature, enzyme concentration, and extraction time. The best level of total anthocyanin content, 9.89 ± 0.24 mg C3G/g, was achieved at 45.6 °C, 12.9% enzyme concentration for an extraction time of 4 h [52].
Lotfi et al. used an aqueous solution of Pectinex at different concentrations, extraction time, and 40 °C to extract anthocyanins from saffron tepals using enzyme-assisted extraction. The optimal conditions to obtain 6.7 mg/g anthocyanins were a temperature of 40 °C, pH of 3.5, extraction time of 60 min, and 5% enzyme concentration [53].
Li et al. used the enzyme-assisted extraction of anthocyanins from the residue of mulberry wine using pectinase enzyme and optimized the extraction process through response surface method testing different liquid to material ratios, pH values, temperatures, and extraction time. The best conditions, which led to an anthocyanin content of 6.04 mg/g, were a liquid to material ratio was 1:20, extraction time was 58 min, pH was 5.9, and extraction temperature was 45 °C [54].
Tecucianu et al. applied an enzyme-assisted extraction on oven-dried and freeze-dried red cabbage using cellulase and pectinase. They used 0.2% cellulase in acetate buffer (pH 4.5) at 40 °C or pectinase in acetate buffer (pH 5) at 55 °C with a solid to enzyme ratio of 1:7 for three incubation times. In the meantime, a combination of equal volumes of cellulase and pectinase in acetate buffer (pH 4.7) at 47 °C for 180 min was performed. The best total anthocyanin content, 708 ± 8.5 mg/100 g dry weight, was attained using both cellulase and pectinase for freeze-dried cabbage [55].
Table 5.
Examples of enzymes used for anthocyanin extraction and the working conditions.
Table 5.
Examples of enzymes used for anthocyanin extraction and the working conditions.
| Source of Anthocyanins | Enzyme | Source of Enzyme | Reaction pH | Total Anthocyanin Content | Reference |
|---|---|---|---|---|---|
| Purple sweet potato | α-amylase | Bacillus licheniformis | 4 | 165 mg/L | [46] |
| A. trifoliata flowers | Cellulase and pectinase | Trichoderma reesei and Aspergillus niger | 4 | 50.87 mg C3G/100 g | [50] |
| Saffron tepals | Pectinex (cellulase, pectinase, and hemicellulose) | Aspergillus aculeatus | 3.5 | 6.7 mg/g | [53] |
| Red cabbage | Cellulase and pectinase | Aspergillus niger and Aspergillus aculeatus | 4.7 | 708 ± 8.5 mg/100 g | [55] |
2.5. Supercritical CO2 Assisted Extraction of Anthocyanins
Supercritical fluid extraction (SFE) is a separation method based on the use of supercritical fluids instead of organic solvents to extract desired components from solid materials. Due to the unique properties of supercritical fluids, which can penetrate plant materials more effectively, higher yields of anthocyanins can be achieved. Carbon dioxide (CO2) has been widely used in food applications due to its advantages including mild critical conditions (31.1 °C and 73.8 bar), non-explosive, non-flammable, non-toxic, available in pure form, cheap and relatively inert to several media [56]. Tested conditions for supercritical CO2 assisted extraction of anthocyanins from different matrices were included in Table 6.
Table 6.
Conditions applied for supercritical CO2 assisted extraction of anthocyanins from different matrices.
Rizkiyah N. et al. used a combination of supercritical carbon dioxide to rip and open the top layer pore of Hibiscus sabdariffa (Roselle) and subcritical water extraction to extract anthocyanins from raw material. For the first stage, supercritical CO2 extraction, roselle powder weighing 3 ± 0.005 g was added to the extraction vessel. The chiller temperature was set to 6 °C, and extraction proceeded for 60 min. The back-pressure regulator’s heater maintained a temperature of 50 °C. Following CO2 pump activation, ethanol was introduced into the system at a rate of 0.24 mL/min (VEtoh/VCO2). Pressure was adjusted according to the back pressure regulator, while flow rate was managed by a CO2 pump, and temperature was maintained using an oven. The second step used the leftover roselle residue, weighing 200 ± 5 mg, previously obtained sample was transferred to an extraction vessel. The extraction proceeded for 5 min. Pressure adjustments were made using the back pressure regulator, flow rate was managed by a water pump, and temperature was controlled with an oven. For the first stage, the ideal parameters were 20 MPa pressure, 40 °C temperature, and a flow rate of 4.875 mL/min. This configuration led to a total phenolic content of 93.55 mg/100 g. Regarding subcritical water extraction, the optimal conditions were found to be 12 MPa pressure, 140 °C temperature, and a flow rate of 8 mL/min. Under these settings a total anthocyanin content of 1142.61 mg/100 g was achieved [57].
Chatterjee D. et al. aimed to study supercritical carbon dioxide, for extracting color from eggplant peel. For extraction, the peels were pre-treated with a 10% citric acid solution for 1 min before being loaded into the extraction vessel. Testing parameters included extraction pressure (10, 12, 15 MPa), temperature (60, 80 °C), time (90 min–60 min static time plus 30 min dynamic time), and a CO2 flow rate of 2 L/min. The most effective conditions determined for the studied extraction to obtain high anthocyanin content (17.04 g/kg dry weight of peel) from eggplant peels were a temperature of 60 °C and a pressure of 10 MPa [27].
Jiao G. et al. used supercritical CO2 in conjunction with water as a co-solvent in order to investigate how pressure, temperature, and extraction time affect the yield of total anthocyanin extraction from haskap berry pulp. The extraction process consisted of two phases: static and dynamic. During the static phase, the temperature and pressure were stabilized. Once the desired time elapsed, the static/dynamic valve was opened, and the restrictor valve was adjusted to allow supercritical carbon dioxide to pass through the extraction vessel at approximately 10 mL/min, marking the dynamic stage. The extract was collected in a vial, and CO2 was released through a flow meter. After extraction, when the pressure dropped to 0 MPa and the temperature decreased to room temperature, residual berry samples were removed from the vessel, and methanol was used to collect the remaining extract. The washing solution was combined with the initially collected extract, constituting the total extract for the experiment [58].
To ensure careful extraction, the static and dynamic stages were repeated five times. Water was initially added along with the starting materials in the extraction vessel. For the second to fifth extractions, water was introduced into the vessel by the co-solvent pump at a rate of 2.7 mL/min for 2 min without opening the system. The best yield of total anthocyanins, 52.7%, was realized under the conditions of 45 MPa pressure, 65 °C temperature, a ratio of 5.4 g of water to 3.2 g of paste, along with a static time of 15 min and a dynamic time of 20 min [58].
3. Chemical Synthesis Pathways of Bio-Inspired Flavylium Compounds
The chemical synthesis of flavylium derivatives related to the anthocyanidins was comprehensively reviewed by Cruz et al. [59]. Therefore, only a short presentation of the main methods will be performed here to provide a more informal overview of the synthetic steps and the possibility to select the best one for the synthesis of similar structures. The most relevant methods reported in the literature for the chemical synthesis of flavylium derivatives are presented in the following sections.
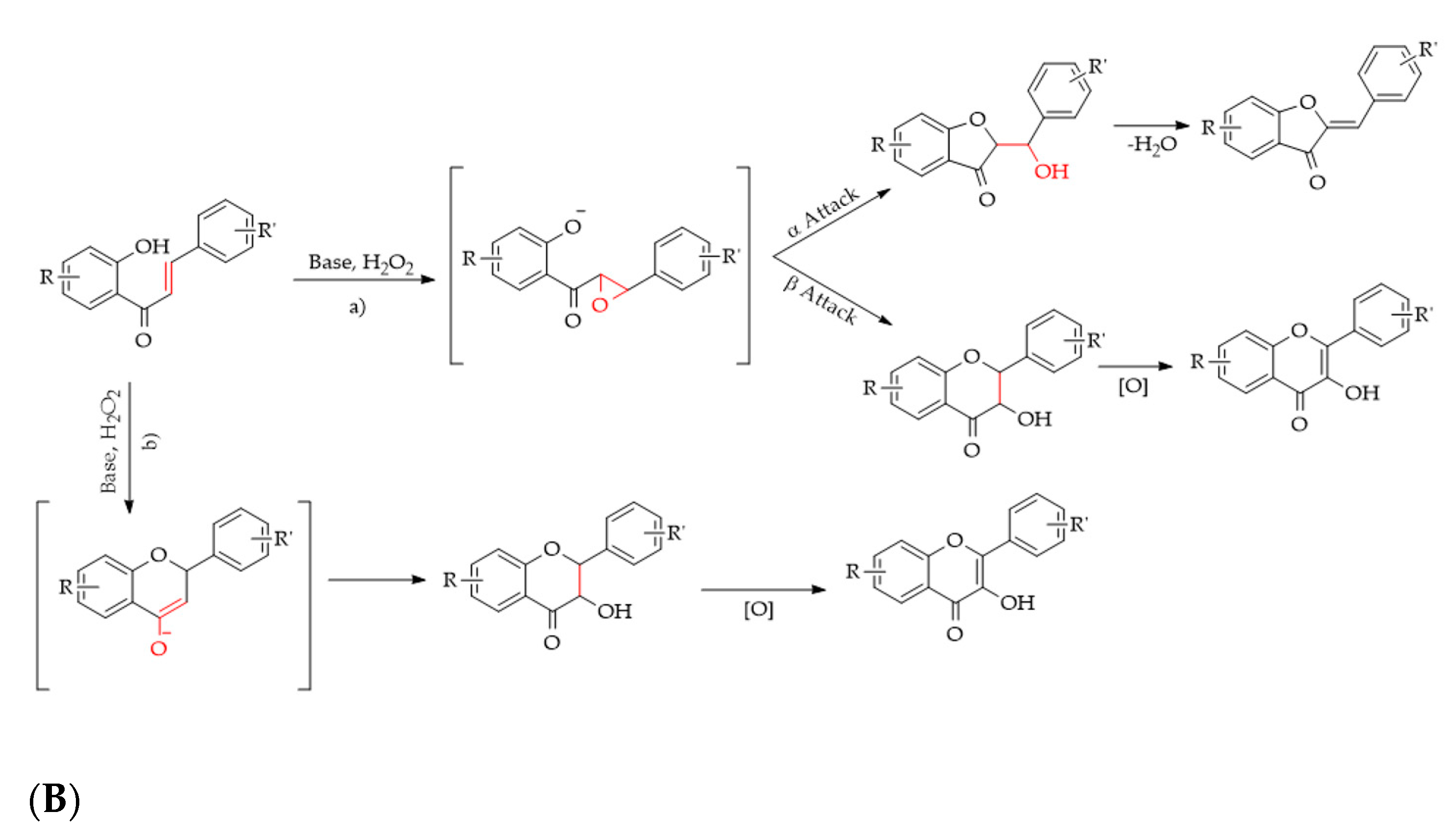
3.1. The Algar-Flynn-Oyamada Method
This method involves the oxidation of 2′-hydroxychalcone with hydrogen peroxide in alkaline alcohol solution. However, the reported reaction yields of 5-substituted flavonols were low [60]. As an alternative, Shen et al. used sodium carbonate with hydrogen peroxide to obtain a series (14) of 5- substituted flavonols with moderate to high yields. In terms of reaction conditions, it has been concluded that a combination of methanol/water in a ratio of 2:1 was the most effective reaction medium, and the mixture of 5 eq. sodium carbonate and 2.5 eq. hydrogen peroxide (for 1 eq. chalcone) proved to be the best base. The highest yield of 86% was obtained when R2 = R3 = R4 = R5 = H, R1 = R6 = OCH3 (Scheme 1A) [61].

Scheme 1.
(A) Synthesis of 5-substituted flavonols from hydroxychalcones using the Algar-Flynn-Oyamada method. (B) Algar-Flynn-Oyamada reaction’s mechanism.
Two hypotheses have been proposed for the mechanism underlying the AFO reaction (Scheme 1B).
The first hypothesis suggests a sequence in which 2-hydroxychalcone is converted to chalcone epoxide. Subsequent cyclization of the epoxide could take place at either the alpha or beta position, resulting in the formation of aurone or flavonol, respectively. The alternative hypothesis for flavonol formation begins with the cyclization of the chalcone anion, followed by the electrophilic attack of hydrogen peroxide at the C-3 carbon atom of the anion, leading to further flavonol formation. Alternatively, these two steps may be combined in a concerted process [61].
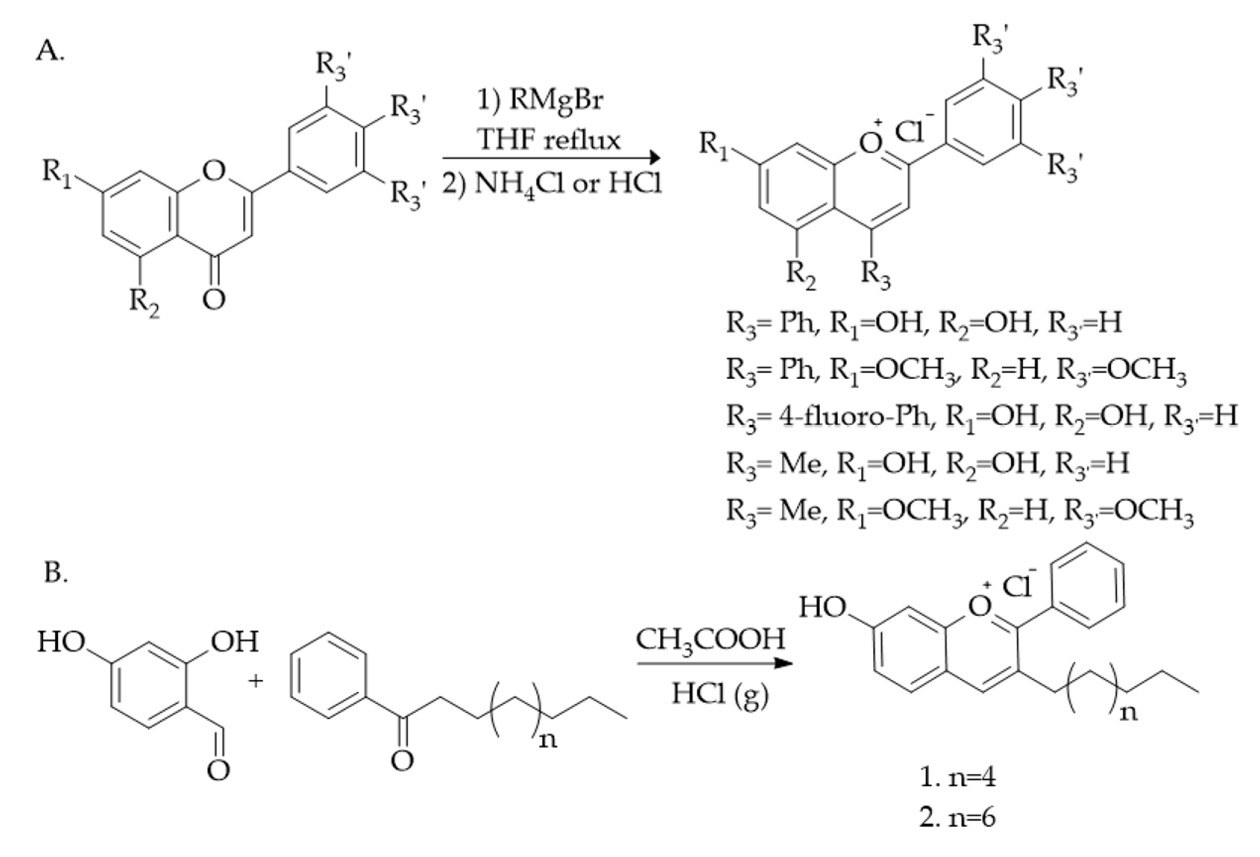
3.2. Flavylium Compounds Synthesis by Condensation
A convenient approach to the synthesis of 4-ethoxyflavylium salts involves a one-step acid condensation of o-hydroxyacetophenone and its derivatives with aromatic aldehydes and ethyl orthoformate in the presence of 70% perchloric acid. Alternatively, these salts can be prepared by cyclodehydration of o-hydroxychalcones with ethyl orthoformate and perchloric acid [62]. The main routes for chemical synthesis of flavylium derivatives by condensation reactions are presented in Scheme 2.

Scheme 2.
The main routes for the chemical synthesis of flavylium derivatives by condensation reactions. (A). Roehri-Stoeckel’s synthesis; (B). Fernandes’s synthesis; (C). Bülow’s synthesis; (D). Kueny-Stotz’s synthesis; (E). Robertson’s synthesis; (F). Petrov’s synthesis.
Yakovenko V. I. et al. performed a one-step condensation of 5-bromoresacetophenone with the corresponding aromatic aldehydes and ethyl orthoformate in the presence of 70% perchloric acid. This method directly yields 4-ethoxy-6-bromo-7-hydroxyflavylium salts [62].
Two main synthetic approaches have been widely used to obtain flavylium compounds: the first approach involves the condensation reaction of 2-hydroxybenzaldehydes with acetophenones and the second approach utilizes reductive or oxidative reagents, which are applied to various types of flavonoid compounds [63].
Roehri-Stoeckel C. et al. utilized as source components flavones and Grignard reagents (Scheme 2 route A). These compounds can undergo a reaction resulting in the formation of 4-substituted flavylium salts. In comparison to common 3-deoxyanthocyanidins (aglycones), 4-substituted flavylium salts exhibit characteristic hypsochromic spectral shifts. Additionally, a strong absorption is observed in the near-UV range, typically between 370–390 nm [63].
For the second path, the condensation reactions of 4-N,N-dimethylaminobenzaldehyde and 4-N,N-dimethylaminocinnamaldehyde were carried out using 2, 3, and 7-hydroxy-4-methylflavylium chloride [63].
Fernandes A. C. et al. described a one-step procedure for synthesizing various flavylium salts with alkyl side chains in their 3-, 4-, 5-, or 6-positions (Scheme 2 route B). The synthesis of compounds, featuring alkyl side chains with eight and ten carbon atoms in the 3-positions of the flavylium salts, was achieved through a reaction between 2,4-dihydroxybenzaldehyde and decanophenone or dodecanophenone. Compound 1 was isolated with a yield of 36%, while compound 2 was isolated with a yield of 43% [64].
The acid-catalyzed condensation of phloroglucinol with benzoylacetone and benzoylpyruvic acid, as demonstrated by Bülow et al. resulted in the formation of the 4-methyl and 4-carboxyl flavylium salts in good yields (Scheme 2 route C). These condensations were also efficiently proceeded with p-methoxybenzoyl analogs [65].
Kueny-Stotz et al. found that acid-mediated condensation between phloroglucinol derivatives and arylethynylketone in the presence of HPF6 (50% in H2O) and AcOH, at room temperature, for 48 h successfully resulted in flavylium hexafluoroposphates (Scheme 2 route D) [66].
Robertson et al. successfully obtained an anthocyanin (Scheme 2 route E) without the loss of the glucose residue using O-benzoylphloroglucinaldehyde and a glucoside on an acid-catalyzed aldol condensation [67].
Petrov V. et al. achieved through the condensation of salicylaldehyde with 2′-hydroxyacetophenone the synthesis of 2′-hydroxyflavylium tetrafluoroborate (Scheme 2 route F) After stirring overnight, a red solution formed, and a yellow precipitate emerged. This precipitate was filtered, washed with water, and with diethyl ether before being dried [68].
Araújo P. et al. synthesized six amino-based flavylium dyes through aldolic condensation reaction using 2,4,6-trihydroxybenzaldehyde or 4-diethylaminosalicylaldehyde and different acetophenones: 4-amino–, 4-dimethylamino–, 4-hydroxyl–acetophenone, or p-dimethylstyrylmethylketone [69].
4. Analytical Methods for the Characterization of Flavylium Derivatives
4.1. Chromatographic Techniques—HPLC and HPLC-MS(n)
High-performance liquid chromatography is an essential analytical technique for identification and quantitation of the flavylium compounds in natural extracts (basically plant matrices) which contain several anthocyanins with similar structures that makes their chromatographic separation and identification a difficult task. Therefore, optimized sampling and analysis conditions are necessary, as well as mass spectrometric detection coupled with the regular detector, usually an UV-VIS or diode array detector, based on the absorption of anthocyanins in the wavelength domain between 515 and 540 nm [70]. Alternatively, the anthocyanins identification and quantitative analysis can be achieved by using authentic standards, but this option is limited to only the most common types which are commercially available.
Comparatively, the flavylium derivatives obtained by chemical synthesis are usually single products that can be isolated and purified by common separation methods, and may need chromatographic analysis only for the confirmation of the purity. Their analysis is based mainly on NMR techniques to demonstrate the structure of the synthesized compound, as it will be presented in Section 4.4. However, HPLC analysis (coupled or not with MS) was considered a necessary step in some synthetic approaches for flavylium compounds. Oliveira et al. used HPLC-DAD to determine the purity and stability of synthetic amino-based flavylium compounds employing a reversed-phase C18 column (Agilent) 250 × 4.6 mm, particle size 2.7 μm, at 25 °C, and a gradient eluent system consisting from (A) 1% (v/v) formic acid in water and (B) 0.5% (v/v) formic acid in 80% (v/v) acetonitrile. Sousa et al. synthesized new bio-inspired pyrano-3 deoxyanthocyanins with different substituents, using LC-DAD/ESI-MS (alongside NMR) following the purification by column chromatography for the confirmation of the purity and structure. The HPLC analysis was carried out on a reverse-phase C18 column, 150 × 4.6 mm, 5 μm [71].
Table 7 contains a selection of the main HPLC analysis conditions for various anthocyanins isolated from plants. The aim is to provide an overview of the basic requirements in terms of instrumentation and a quick guide to help selecting the right column and eluent system for similar studies.
Table 7.
HPLC analysis conditions for anthocyanins from different matrices.
The analytical HPLC columns used for the separation of anthocyanins (non-acylated or acylated) were mostly nonpolar reverse-phase columns packed with C18 (also named ODS) octadecyl-bonded silica as stationary phase, having different configurations and particle sizes (between 1.8 and 10 μm, mainly 5 μm), depending on the manufacturer and the targeted resolution. The anthocyanins being polar compounds, polar mobile phases were needed for their separation, usually binary gradient systems which include water. The aqueous component of the mobile phase is supplemented with an acid (about 0.1%), e.g., formic acid, acetic acid, trifluoroacetic acid, or phosphoric acid. The organic component of the mobile phase is usually acetonitrile that may be also supplemented with formic or acetic acid, but methanol can be employed as well. The utilization of UV detection at wavelengths between 516 and 535 nm is a common characteristic, the photodiode array detection systems (PDA, also called DAD) being more sensitive than simple UV detectors, leading to better separation in the case of complex mixtures that can result in overlapping peaks.
Excepting the utilization of suitable standards, the identification of the extracted anthocyanins is not possible by only HPLC analysis, needing a hyphenated technique, particularly liquid chromatography coupled with mass spectroscopy (LC-MS or LC-MS/MS). For the coupled LC-MS systems electrospray ionization is commonly used in positive ionization mode (ESI+). In this way, Yang and Zhai separated and identified six anthocyanins in purple corn cob extracts, based on the molecular ion peak and the fragmentation patterns. The mass spectrometer was equipped with an ion spray interface (ISV = 4400) operated in the positive-ion mode and spectra were recorded in positive ion mode between m/z 200 and 1200 [77]). An excellent overview of the already validated LC and LC-MS methods for identification and quantification of anthocyanins in fruits and vegetables was recently published by Chandra Singh et al. [79]. The development in this field is amazing, as illustrated by the utilization of ion mobility spectrometry (IMS) as a complementary analytical tool in HPLC-MS systems, increasing the sensitivity and allowing better compound identification in anthocyanin analysis. Thus, Ion Mobility Spectrometry High Resolution Time of Flight Mass Spectrometry (IMS-HRTOF-MS) coupled with UHPLC was used for characterization and quantitation of anthocyanins from tea leaves. Excellent results were recently reported by Schnitker et al. for the analysis of very complex matrices of blueberry and grape varieties using UHPLC-ESI(+)-TIMS-QTOF-HR-MS/MS. Structural data were obtained for 54 structurally related anthocyanidin derivatives including dihexosides, monohexosides, pentosides, acetyl- and cinnamoyl conjugates, and allowing among others the differentiation of 3,5-O- from 3,7-O-diglycosylated anthocyanins. In the reversed phase chromatographic system (Luna® Omega C18 column, 150 × 2.1 mm, 1.6 μm particle size), for a given sugar moiety and positional isomer, the elution order was delphinidin, cyanidin, petunidin, pelargonidin, peonidin, and malvidin [80].
Because MALDI-TOF mass spectrometry can be specifically useful for the identification of anthocyanins, allowing even quantitative estimations, it will be discussed in a dedicated subsection of this review.
4.2. Anthocyanin Analysis by Capillary Electrophoresis
Capillary electrophoresis (CE) is a very versatile separation technique based on the charge-to-mass ratio and electrophoretic mobility of the ions, characterized by short analysis times, reduced solvent consumption and lower costs compared to the hyphenated HPLC-MS systems [81].
Bridle et al. successfully separated anthocyanins from strawberries and elderberries extracts. In the strawberry extract they separated: pelargonidin 3-rutinoside, pelargonidin 3-glucoside, cyanidin 3-glucoside, and pelargonidin 3-succinyl glucoside meanwhile elderberry anthocyanins were: cyanidin 3-sambubioside-5-glucoside, cyanidin 3,5-diglucoside, cyanidin 3-glucoside [82].
Da Costa C. et al. separated the blackcurrant anthocyanins using capillary zone electrophoresis. The separation process involved evaluating fused-silica and polyacrylamide-coated capillary columns to determine their ability to resolve the closely migrating analytes. Optimal qualitative separation was achieved on a fused-silica capillary with a phosphate running buffer containing 30% acetonitrile at an apparent pH of 1.5. Using these parameters allowed for the successful separation of the four major anthocyanins present in blackcurrant juice (cyanidin 3-glucoside, cyanidin 3-rutinoside, delphinidin 3-glucoside, and delphinidin 3-rutinoside) [83].
Saénz-López R. et al. identified anthocyanins in red wine with and without SO2 addition. In both situations were identified malvidin-3-O-glucoside, cyanidin-3-O-glucoside, and peonidin-3-O-glucoside [84]. Also, Bednár P. et al. (2005) analyzed wine and must and determined the presence of malvidin-3-O-glucoside, malvidin-(6-acetyl)- 3-O-glucoside, malvidin-(6-coumaryl)- 3-O-glucoside, and petunidin-3-O-glucoside [85].
The main drawback of the CE analysis (as in the case of common HPLC systems) is that qualitative identification and quantitative analysis are possible only when appropriate standards are available. However, coupled systems that use a mass spectrometry detector instead of the usual UV-VIS detector can resolve these problems, also increasing the selectivity and sensitivity of the analysis [86]. Electrophoretic separation followed by MS identification of the anthocyanins from Hibiscus sabdariffa L. was reported by Segura-Carretero et al. The optimized CE-ESI-TOF-MS conditions were running buffer 200 mM borate-ammonium, pH 9, voltage 25 kV, 20 s injection time, allowing the identification of delphinidin-3-sambubioside and cyanidin-3-sambubioside as main components (sambubiose is the β-d-xylosyl-β-d-glucose disaccharide), as well as cyanidin-3-O-rutinoside, delphinidin-3-O-glucoside, cyanidin-3,5-diglucoside, and chlorogenic acid as minor components [87].
4.3. Characterization of Anthocyanins Using MALDI-TOF Mass Spectrometry
Matrix-assisted laser desorption ionization coupled with time-of-flight mass analyzer (MALDI-TOF) is a powerful mass spectrometry technique having the advantage that complex samples such as extracts can be analyzed directly, without the need for prior purification steps such as HPLC or liquid-liquid extraction. This eliminates the risk of sample loss during pre-treatment [88].
MALDI-MS can play a significant role in providing anthocyanin “fingerprints” to authenticate samples. Due to variations in responses across different solvent systems, the absolute number of anthocyanins in the samples might be misinterpreted when compared to a single external standard. In contrast, MALDI-MS demonstrated a more consistent response for a group of anthocyanins compared to HPLC [89]. However, Petropulos et al. demonstrated that a sample cleanup that requires only few minutes and small volumes of solvents is recommended to be performed before the MALDI-TOF MS analysis, proposing solid-phase extraction with Zip-Tip® C18 pipette tips for better data quality. Using this pretreatment and 2′,4′,6′-trihydroxyacetophenone (THAP) as matrix, a total number of 22 anthocyanins and derived pigments were identified in red wine samples, including 10 anthocyanins [90].
As also shown in the examples presented in Table 8, MALDI-TOF MS can be successfully used for the identification of the anthocyanins present in various plant sources based on the molecular weight determination directly from the ion abundance in the mass spectrum. Different matrices were used, including (2,5-dihydroxybenzoic acid (2,5-DHB), α-cyano-4-hydroxycinnamic acid (CHCA), sinapinic acid (SA) or the above mentioned 2′,4′,6′-trihydroxyacetophenone (THAP). Positive ionization mode is mostly preferred for the acquisition of mass spectrometry data. As possible disadvantages, the ions generated by potential fragmentation of the matrix that can impede the identification of flavonoids with small molecular weights and the impossibility to distinguish between anthocyanins and other flavonoids which generate ions of the same m/z value, should be considered [70].
Table 8.
Analysis of anthocyanins extracted from different food matrices by MALDI-TOF MS.
4.4. Structural Analysis of Natural and Synthetic Flavylium Compounds by NMR Spectroscopy
Due to the structural complexity of flavilium derivatives, two-dimensional (2D) NMR spectroscopy has become an indispensable tool for the structural investigation and study of flavilium derivatives [20,94].
Some of the key 2D NMR techniques such as correlation spectroscopy (COSY), heteronuclear single quantum coherence (HSQC) and heteronuclear multiple bond correlation (HMBC) are mandatory molecular structure validation have been reported as useful techniques for flavylium derivatives characterization [20,94].
The application of these techniques is particularly relevant in distinguishing flavylium derivatives with subtle structural variations, such as differences in glycosylation or acylation patterns. For example, 2D NMR has proven effective in pinpointing glycoside positions and verifying linkages, which are critical for understanding the derivatives chemical behavior, stability, and potential applications in materials science and biochemistry. In addition, by combining data from these techniques, researchers can detect impurities or by-products, ensure the integrity of synthesized derivatives, and guide refinement of synthetic protocols [20,94]. Some relevant examples are mentioned in the following paragraphs.
Reiersen B. et al. confirmed the presence of cyanidin 3-O-b-galactopyranoside, cyanidin 3-O-(2′′-galloyl-b-galactopyranoside) cyanidin and detected for the first time 3-O-(2′′-O-galloyl-6′′-O-a-rhamnopyranosyl-b-galactopyranoside) in chenille plant, Acalypha hispida, while Saito T. et al. (2011) identified for the first time petunidin-(E)-p-coumaroylgalactopyranoside and delphinidin-3-O-β-d-(6-(E)-coumaroyl)glucopyranoside in addition to delphinidin-3-O-β-d-galactopyranoside, delphinidin-3-O-β-d-glucopyranoside, cyanidin-3-O-β-d-galactopyranoside, and cyanidin-3-O-β-d- glucopyranoside [95,96].
Mateus et al. and Giusti M. et al. highlighted the importance of 1D and 2D NMR techniques to elucidate the structure of anthocyanins in red wines and red radish, also, Acevedo De la Cruz A. et al. used a combination between LC-MS and LC-NMR to separate and determine 33 anthocyanins present in four grape wine species: Vitis vinifera, Vitis amurensis, Vitis cinerea and Vitis X champinii [97,98,99].
Koch et al. confirmed the structure of several derivatives using 2D NMR. For example, the structure of (4-(4-hydroxybenzylidene)-6-methoxy-1,2,3,4-tetrahydroxanthylium chloride) was further supported by the presence of distant couplings between several carbon and proton atoms in the two-dimensional HMBC spectrum (Figure 3).
Figure 3.
The 1H-13C-HMBC spectrum of a flavylium derivative (4-(4-Hydroxybenzylidene)-6-methoxy-1,2,3,4-tetrahydroxanthylium chloride) synthesized by chemical route—the remote couplings between carbon atoms and protons are depicted by different colored circles, green—C5 with H3 and H7, red—C9 with H7, H11, H13, and H15, blue—C15 with H13, H17, and H21.
The signal of the C9 atom, which has a chemical shift of 169.3 ppm, showed two-bond correlation peaks with protons H7, H15, and H11/H13, demonstrating that the carbon atom is indeed bonded in the molecular structure. Similarly, the C5 carbon atom (δC 157.1 ppm) showed the linkage to protons H3-8, which conclusively led to its linkage to H7 at 9.01 ppm and lent credence to the proposed structure. In addition, the remote coupling of the C15 carbon atom (δC 143.6 ppm) was observed to correlate with protons H13, H17, and H21 (7.76 ppm) and confirmed the formation of the desired compound [100].
Păușescu I. et al. recorded chemical shift in ppm versus tetramethylsilane (TMS), which served as a standard reference, and by comparing the observed shifts with those expected for the target flavylium structure, they could confirm if the correct compounds were synthesized. Also, the splitting patterns observed in NMR spectra provided insights into the number of neighboring protons, information that was helpful in verifying if the synthesized compound matched the intended design [20].
To summarize, 2D NMR techniques not only facilitate comprehensive structural analysis of flavylium derivatives, but also serve as a robust tool for advancing our understanding of their chemical properties and interactions. Their role in confirming synthesis success and elucidating structural details underscores their importance in the study of these versatile compounds.
4.5. Characterization of Anthocyanins Using UV-Vis Spectroscopy
Generally, the UV-Vis spectrum of anthocyanins shows distinct absorption characteristics. In the visible region, absorption maxima (λmax) are typically observed around 510–520 nm, accompanied by a hump in the range of 400–450 nm. Additionally, a peak is often observed in the range of 310–340 nm, which varies depending on the type of anthocyanin and its substitution pattern. The UV-Vis spectra of acylated and non-acylated anthocyanins may differ. A typical UV-Vis spectrum of an anthocyanin shows two main groups of absorbance: one in the wavelength region of 260–280 nm (UV region) and the other in the range of 490–550 nm (visible region). Additionally, when the sugar component is acylated, an additional peak may appear in the 310–340 nm range [101].
The UV-Vis spectrum offers valuable insights into the structural composition of anthocyanins. For instance, the presence of hydroxyl or methoxy groups in the B ring of anthocyanidin influences the color and absorption properties of anthocyanins. Increased hydroxyl substitution leads to a bathochromic shift (red shift), whereas methylation results in a hypsochromic shift (blue shift) in the absorption maxima. It also can help predict the number and type of glycosylation and acylation present in anthocyanins [101].
Integrating UV-Vis spectroscopy with LC-MS enhance the identification and quantification of anthocyanins [101].
Table 9 summarizes the comparison of calculated and measured absorption wavelengths for several compounds within the ultraviolet (UV) spectrum. The electronic absorption spectra were calculated in methanol using the IEFPCM model by time-dependent DFT (TD-DFT) calculations on the optimized structures at the B3LYP/6-31+G(d,p) level of theory, taking into account the lowest six singlet→singlet spin-allowed excited states. It can be seen that the two sets of values, i.e., calculated and measured wavelengths, are generally quite close, but there are some small shifts. These small differences could be the result of factors such as experimental design, instrumental imperfections and/or simplifications of the theoretical approach. Despite these small differences, the results obtained show that the calculated wavelengths are in reasonable agreement with the measured data, which means that the present model can predict the UV absorption characteristics to a reasonable degree. Improvements in computational models and experimental designs may bring the two sets of measured values closer to comparable values than is currently the case.
Table 9.
Comparison of calculated and measured absorption wavelengths (λ, in nm) for various flavylium derivatives [20].
Liu et al. explored the effects of various processing methods on the anthocyanin composition and antioxidant capacity of blueberry juice using metabolomics and density functional theory (DFT) analysis. The study aimed to identify optimal techniques for preserving anthocyanins, which are known for their antioxidant properties but have poor stability. A total of 54 anthocyanins were identified in the juice, with different treatments (thermal, high pressure, electric and magnetic fields, and cobalt source irradiation) impacting the stability and antioxidant potential of these compounds. The findings indicated that while processing did not alter the types of anthocyanins present, it significantly affected their concentration and antioxidant activity. Notably, the 1 kGy irradiation treatment provided the best protection for anthocyanins, preserving their antioxidant capacity more effectively than other methods. The study also found that the antioxidant capacity of the juice was not solely dependent on the total anthocyanin content but was influenced by the specific composition of anthocyanin monomers. DFT calculations confirmed that anthocyanins such as Pt3Ga and M3Ga had higher antioxidant capacity compared to M3G and Mva. These results highlight the importance of selecting appropriate processing techniques to enhance the antioxidant stability of anthocyanins in blueberry juice, offering insights for improving the quality of anthocyanin-rich beverages [102].
5. Preventive or Pharmacological Effects of Flavylium Compounds
Anthocyanins have a variety of benefits on human health as: anti-fatigue [103], anticancer [104,105], antiobesity, and antidiabetic [106], anti-inflammatory, and anti-proliferative effects [107,108], antioxidant activity [109], improving brain functions [110], and reducing cardiovascular diseases [111,112]. PFEA significantly extended weight-loaded swimming time, reduced levels of lactate dehydrogenase (LDH), blood lactate (BLA), and blood urea nitrogen (BUN), while increasing liver glycogen (LG). PFEA could stabilize oxidative stress biomarkers (MDA), antioxidant enzymes (SOD), and inflammatory cytokines (TNF-α, IL-1β, IL-6). Additionally, PFEA up-regulated mRNA expression of PGC-1α and PPARα in skeletal muscles [103].
Kimble et al. investigated the anti-fatigue properties of anthocyanins found in Tart Montmorency cherries (MC), which are notably rich in anthocyanins and other polyphenols known for their antioxidant, anti-inflammatory, and vasomodulatory actions. This study aimed to determine the impact of chronic MC supplementation on cognitive function and mood. In a 3-month double-blinded, placebo-controlled parallel study, middle-aged adults (mean ± SD: 48 ± 6 years) were randomly assigned to either 30 mL twice daily of MC (n = 25) or the same amount of an isoenergetic placebo (n = 25). After 3 months, the MC group exhibited higher accuracy in digit vigilance (mean difference: 3.3, 95% CI: 0.2, 6.4%) with fewer false alarms (mean difference: −1.2, 95% CI: −2.0, −0.4) compared to the placebo group. There was also a treatment effect for higher alertness (mean difference: 5.9, 95% CI: 1.3, 10.5%) and lower mental fatigue ratings (mean difference: −9.5, 95% CI: −16.5, −2.5%) with MC. Plasma metabolomics revealed an increase in several amino acids in response to MC intake, but not placebo. These findings suggest that MC supplementation has anti-fatiguing effects and can improve sustained cognitive performance and mood [113].
5.1. Antibacterial Activity
Correia P. et al. investigated the antibacterial activity of some amino-based flavylium dyes, and they demonstrated the ability to inhibit bacterial growth of Gram-positive bacteria (Staphylococcus aureus and Staphylococcus epidermidis) and Gram-negative bacteria (Pseudomonas aeruginosa) being able to manage microbial skin infections [114].
5.2. Antiobesity
Salehi et al. studied the anti-obesity and anti-diabetic effects of anthocyanins. Their findings highlighted several mechanisms through which anthocyanins exert these effects. Anthocyanins were found to increase energy expenditure and thermogenesis, upregulating uncoupling proteins (UCP1 and UCP2) in brown and white adipose tissues, respectively. For example, berries containing petunidin (33%) and malvidin (57%) were effective in lowering high-fat diet (HFD)-induced metabolic damage by increasing energy expenditure and reducing mitochondrial respiration and proton leak in adipose tissue. Additionally, anthocyanins modulated AMP-activated protein kinase (AMPK), a key regulator of energy balance, enhancing mitochondrial biogenesis, reducing lipid metabolism, increasing fatty acid oxidation, and improving insulin sensitivity [106].
5.3. Antidiabetic
In 2021, Les et al. reviewed the role of anthocyanins as antidiabetic agents, summarizing, in particular, their mechanism of action in human studies [115]. The positive effect of anthocyanins on diabetes is due to the inhibition of several physiological enzymes involved in the regulation of glycaemia, such as α-amylase, α-glucosidase, protein tyrosine phosphatase 1B, and dipeptidyl peptidase IV. For example, a purified extract from black carrots demonstrated the ability to inhibit the enzymes α-amylase, α-GLU, and DPP-IV. The IC50 values for this extract were even lower than those of standard inhibitors such as acarbose and vildagliptin. The primary anthocyanin responsible for this inhibition was Cy 3-xylosyl-galactoside [116]. α-glucosidase (α-GLU) another digestive enzymes in charge of the hydrolysis of carbohydrates and target of pharmacological inhibition by clinical drugs for the treatment of type 2 diabetes, can be inhibited by anthocyanins in blueberry, cranberry, and cherry juices [117,118,119].
In clinical studies, bilberry anthocyanins increased AMP-activated protein kinase (AMPK) activity in skeletal muscle and liver, enhancing glucose uptake and utilization, and reducing liver lipid content and serum lipoproteins. Furthermore, supplementation with a daily intake of four cups of freeze-dried strawberry beverage over 8 weeks in 27 diabetic subjects reduced total and LDL-cholesterol levels and inhibited vascular cell adhesion molecule-1 (VCAM-1) circulating levels [120]. Another study showed that anthocyanins significantly inhibited body weight gain, improved glucose tolerance, enhanced insulin sensitivity, and decreased hepatic lipid accumulation by modulating AMPK activity and lipid metabolism-associated gene expression. These results underscore the potential of anthocyanins in managing obesity and diabetes, promoting weight loss, improving lipid profiles, and enhancing glucose metabolism [106].
5.4. Anti-Inflammatory and Anti-Proliferative Effects
Vendrame et al. studied the anti-inflammatory and antiproliferative effects of anthocyanins. Their findings demonstrated that anthocyanins exert significant anti-inflammatory effects by modulating key signaling pathways. Specifically, anthocyanins were shown to downregulate the nuclear factor-κB (NF-κB) signaling pathway, reducing the expression of proinflammatory cytokines such as TNF-α, IL-1β, and IL-6. Additionally, anthocyanins inhibited the mitogen-activated protein kinase (MAPK) pathways, leading to decreased phosphorylation of ERK, JNK, and p38 MAPKs. These effects result in the attenuation of inflammation and proliferation of inflammatory cells. The study concluded that anthocyanins could effectively reduce inflammation and proliferation, suggesting their potential therapeutic role in managing inflammatory diseases [108].
5.5. Antioxidant Activity
In this subchapter examples that highlights the antioxidant capacity of anthocyanins, emphasizing their structural features, stability, and applications in diverse contexts were selected. The reviewed studies cover various aspects, including the mechanisms behind their antioxidant effects, the influence of structural modifications on bioactivity, and novel strategies for enhancing their stability and bioavailability in different systems. This compilation highlights recent advancements in the use of anthocyanins in food, cosmetics, and therapeutic applications, with particular focus on their role in combating oxidative stress and supporting overall health.
A defining characteristic of anthocyanins is their exceptionally strong antioxidant capacity, which exceeds that of other flavonoids [121]. Anthocyanins can effectively neutralize harmful free radicals by chelating metal ions and serving as hydrogen donors to reactive oxygen species [122]. The antioxidant potency of anthocyanins is closely tied to their structure. For example, glycosylation and sugar attachment can reduce their antioxidant activity, whereas an increase in the number of hydroxyl groups typically enhances it [123,124].
Tsuda et al. (1996) examined the antioxidative, radical scavenging, and lipid peroxidation inhibitory effects under UV light irradiation of three anthocyanin pigments—pelargonidin 3-O-β-d-glucoside (P3G), cyanidin 3-O-β-d-glucoside (C3G), and delphinidin 3-O-β-d-glucoside (D3G)—isolated from the Phaseolus vulgaris L. seed coat, as well as their aglycons, pelargonidin chloride (Pel), cyanidin chloride (Cy), and delphinidin chloride (Del). All pigments exhibited strong antioxidative activity in the liposomal system and reduced malondialdehyde formation under UVB irradiation. However, the antioxidative activity in a rat liver microsomal system and the scavenging effects on hydroxyl radicals (·OH) and superoxide anion radicals (O2−) varied depending on their structures [109].
Lipophilic anthocyanins with chain lengths of up to C8 demonstrated enhanced antioxidant activity compared to their precursors, providing a stronger protective effect [125].
It has been suggested that the accumulation of anthocyanins in young leaves may act as a natural “sunscreen” by absorbing visible and UV light, thereby safeguarding the plant’s photosynthetic machinery. Additionally, their antioxidant properties could provide further protection to plant cells by mitigating oxidative damage [126,127].
Toxicological studies have demonstrated that anthocyanins are safe for human health and exhibit beneficial effects. The antioxidant and antiproliferative activities of strawberry crude extracts and purified anthocyanins were assessed using the Trolox Equivalent Antioxidant Capacity (TEAC) assay and luminescent ATP cell viability tests. Notably, among the isolated compounds, cyanidin-3-glucoside, pelargonidin, and pelargonidin-3-rutinoside emerged as the most potent antioxidants [128].
Mohammadi et al. recently explored the sustainable extraction and application of berry anthocyanins in functional gummies, comparing the antioxidant properties of blackberry (BB) and elderberry (EB) extracts. The study found that EB extracts consistently exhibited higher total phenolic content, anthocyanin content, and antioxidant capacity than BB extracts. However, over a 120-min period, BB extracts demonstrated a stronger potential to inhibit lipid oxidation in human plasma. Both extracts displayed pH-dependent color shifts and variations in antioxidant capacity, with EB extracts maintaining greater stability across a wider pH range. Freeze-drying effectively preserved antioxidant activity, with EB extracts retaining higher levels than BB. When incorporated into gummy formulations, these extracts resulted in significantly higher phenolic and anthocyanin content compared to commercial gummies, with EB gummies displaying superior antioxidant capacity [129].
Zang et al. conducted a study to enhance the antioxidant activity of anthocyanins from purple potatoes by formulating water-in-oil-in-water (W/O/W) nanoparticles to improve the bioavailability of these compounds. In vivo tests on rats demonstrated a 220.36% increase in anthocyanin absorption, highlighting their potent antioxidant properties and potential health benefits [130].
Jiang et al. recently investigated the effects of superfine grinding on purple whole wheat flour (PWWF), focusing on its impact on the anthocyanin profile, as well as its physicochemical and antioxidant properties. Antioxidant capacity was assessed using three assays: TPC, ABTS, and ORAC. The results indicated that superfine PWWF exhibited up to 1.6 times higher antioxidant capacity compared to the original PWWF [131].
The limitations in the bioavailability of anthocyanins were minimized by Li et al. through microencapsulation with fructooligosaccharides (FOS). The results demonstrated that anthocyanin-loaded microencapsulated particles (ALM) exhibited significantly higher antioxidant capacity compared to free anthocyanins (ANCs) and cyanidin-3-glucoside (C3G). During simulated digestion, ALM showed improved retention of anthocyanins compared to ANCs in both gastric and intestinal phases. This microencapsulation approach using FOS and whey protein (WP) effectively enhanced the antioxidant capacity and stability of anthocyanins during in vitro digestion [132].
Different phenotypes and parts of Japanese maca (Lepidium meyenii) were recently studied in terms of their antioxidant activities, as well as their total polyphenol, anthocyanin, and benzyl-glucosinolate content. The study highlights that the purple maca skin exhibited the highest levels of total polyphenols, antioxidant activity, and anthocyanin content among all maca varieties [133].
The antioxidant activity, anthocyanin content, and polyphenol profile of Ardisia compressa K. extracts were investigated by Rodríguez-Aguilar et al. who also assessed the effects of time and temperature, as well as the addition of sucrose and citric acid (CA). Extracts with added CA demonstrated the highest levels of total phenolic content (TPC), monomeric anthocyanin content (MAA), and total antioxidant capacity (TAC), as measured by DPPH and ABTS assays [134].
Shiau et al. recently investigated Clitoria ternatea flower extracts, rich in phytochemicals and antioxidants, for their potential application in foods and nutraceuticals at neutral and acidic pH levels. The study reported that antioxidant activity was measured by the extract’s capacity to scavenge DPPH (2,2-diphenyl-1-picrylhydrazyl) radicals. Optimal extraction of total anthocyanin content (TAC) and total phenolic content (TPC) was achieved for intact Clitoria ternatea flowers (CTF) at 90 °C for 90 min, and for their powdered form (CTFP) at 90 °C for 30 min [135].
Turan Ayseli et al. investigated the effects of gamma irradiation and electrospinning on the physicochemical, antioxidant, and molecular properties of anthocyanin colorants derived from black carrot pomace. The study found that the anthocyanin powder (AP) sample had the highest antioxidant activity, with DPPH and FRAP values of 177.19 mgTE/g and 324.70 mgTE/g, respectively. In contrast, the anthocyanin/gelatin-based nanofibers (NAP), with an AP/gelatin ratio of 1:2, showed the lowest antioxidant activity, with DPPH and FRAP values of 66.26 mgTE/g and 111.80 mgTE/g. The FRAP (Ferric Reducing Antioxidant Power) assay measures the antioxidant effect of a substance by assessing its ability to reduce ferric (Fe3+) to ferrous (Fe2+) ions, which correlates with antioxidant capacity. These results suggest that irradiation negatively impacted the antioxidant capacity of the AP sample. Measurements for total phenolic content (TPC), total monomeric anthocyanin content (TMAC), and antioxidant activities were consistent across the samples [136].
The study on Punica granatum L. (pomegranate) cv. Ghojagh examined how shading and foliar sprays of potassium sulfate and sodium silicate affect fruit quality, particularly focusing on antioxidant traits. Antioxidant properties, including total anthocyanin and phenolic content, are crucial for the quality of pomegranate arils, as they contribute significantly to the fruit’s health benefits and visual appeal. The results indicated that covering the trees with shading nets and applying a 0.15% sodium silicate spray significantly enhanced antioxidant activity and increased levels of superoxide dismutase and catalase—key enzymes in antioxidant defense. At the same time, these treatments reduced polyphenol oxidase and peroxidase activities, enzymes associated with oxidation and browning. The combination of shading and sodium silicate led to the highest total antioxidant activity, promoting higher fruit quality in hot climates by mitigating aril whitening and enhancing the biochemical profile of the fruit [137].
Taghizadeh et al. conducted a study evaluating the phytochemical composition and antioxidant properties of Centella asiatica ethanolic extract. The presence of phenolic compounds, including sinapic acid, catechin, quercetin, p-coumaric acid, hesperidin, eugenol, and hesperetin, with hesperetin was demonstrated by HPLC and antioxidant properties, attributed to its high phenolic and flavonoid content, placed the extract as potential ingredient for cosmetics and pharmaceuticals. Additionally, the extract demonstrated strong antibacterial effects, particularly against S. aureus and B. cereus, underscoring its promising role in health-related applications [138].
Ali et al. conducted an evaluation of anthocyanin-enriched wheat varieties (black, blue, and purple) with the goal of enhancing antioxidant content and developing antioxidant-rich biscuits. In this study, 35 advanced wheat lines—spanning white, purple, black, and blue varieties—were assessed for their yield, grain hardness, protein content, dough quality, and biscuit-making attributes. Among these, the black wheat lines (black-1 and black-6) stood out for their high antioxidant activity, which remained 1.3 times greater than the control even after baking, despite some anthocyanin loss. This suggests that the enriched anthocyanin content in these lines contributes significantly to their antioxidant properties. These black wheat lines, which also displayed excellent dough and biscuit quality with soft texture and high spread ratios, highlight substantial commercial potential, offering a promising approach to elevate the nutritional profile of biscuits in the food industry [139].
In a recent study by Simionescu et al. the antioxidant potential of Weissella confusa PP29 probiotic media was significantly enhanced through the incorporation of Hibiscus sabdariffa L. anthocyanin extract. Known for its robust antioxidant properties, H. sabdariffa anthocyanin extract not only protected the lactic acid bacteria (LAB) but also bolstered their development, resulting in a probiotic medium with impressive antioxidant attributes. The study highlighted that the antioxidant capacity of the fermented product—measured via DPPH radical scavenging and FRAP assays—exceeded that of ascorbic acid and typical antioxidant extracts. Furthermore, the product’s superoxide anion radical scavenging and lipid peroxidation inhibition were comparable to ascorbic acid, underscoring the powerful antioxidant effects imparted by the anthocyanin enrichment. Remarkably, these antioxidant properties, closely linked to the initial concentrations of LAB and anthocyanins, were maintained for up to six months, indicating the medium’s potential as a long-lasting, functional food with enhanced health benefits for gut protection [140].
de Moura et al. explored the antioxidant potential of an anthocyanin-rich extract from purple tea (Camellia sinensis cv. Zijuan), focusing on its chemical stability, cellular antioxidant activity, and protective effects on human erythrocytes and plasma. The study utilized a sustainable and non-toxic extraction method with an aqueous citric acid solution, enabling the isolation of an anthocyanin extract with robust antioxidant properties. In vitro assays demonstrated that the extract exhibited high antioxidant activity, inhibiting DPPH radicals by 73% at pH 4.5 and 39% at pH 10. Additionally, the extract’s anthocyanins demonstrated considerable thermal stability at 60 °C but showed susceptibility to photodegradation under prolonged light exposure. Advanced analysis via UPLC-ESI-MS and HPLC quantified 33 phenolic compounds, including anthocyanins and catechins, totaling 40.18 mg/g in the lyophilized extract (CLE). The CLE also protected human plasma from oxidative damage (635 ± 30 mg AAE/g) and exhibited cytotoxic and antiproliferative effects against various cancer cell lines, highlighting the extract’s potential for therapeutic and technological applications. These findings underscore the powerful antioxidant capacity of anthocyanin-rich purple tea extract, although careful control of pH, temperature, and light exposure is essential to preserve its bioactivity [141].
A study by Domínguez et al. examined the electrochemical properties of lyophilized blueberry (Vaccinium corymbosum L.) and raspberry (Rubus idaeus L.) samples, focusing on the activation of antioxidant properties of anthocyanins through reactive oxygen species (ROS). Using microparticulate deposits from ethanolic fruit extracts, researchers observed that electrochemical oxidation of anthocyanins—particularly under ROS generation—produced new species with elevated antioxidant capacity over a wide pH range. ROS-activated anthocyanins demonstrated oxidative loss of sugar moieties and formation of o-quinones from compounds such as cyanidin, pelargonidin, and delphinidin, processes that enhance antioxidant effects. This ROS-induced shift in the antioxidant profile suggests that ROS may serve not only as signal transducers in plant physiology but also as enhancers of anthocyanin antioxidant activity. These findings have significant implications for food chemistry, as they validate that lyophilized fruit samples retain high antioxidant potential and hint at the possibility of using ROS modulation to create anthocyanin-derived compounds with potent antioxidant properties, offering new avenues for food production and preservation [142].
Dong et al. explored the development of innovative nanocomplexes for anthocyanin (ACN) delivery, using ovalbumin (OVA) and sulphated polysaccharides with varying charge densities (κ-, ι-, λ-carrageenan, and dextran sulfate). The study focused on enhancing the stability, bioaccessibility, and antioxidant capacity of anthocyanins through encapsulation in these nanocomplexes. The resulted particles demonstrated high encapsulation efficiency (94.11–96.2%) and loading capacity (9.05–9.54%) for ACNs, with OVA-dextran sulfate (DS) nanocomplexes showing the smallest particle size and greatest stability. These nanocomplexes improved the antioxidant capacity of anthocyanins significantly under accelerated degradation conditions and simulated digestion, particularly for OVA-DS-ACN and OVA-λC-ACN complexes. The study suggests that OVA/sulphated polysaccharide nanocomplexes not only bolster ACN stability and antioxidant properties but also have potential applications as delivery systems in food and nutraceutical industries, offering robust protection and improved bioavailability of hydrophilic bioactive compounds under diverse processing conditions [143].
Wang et al. investigated the impact of thermal processing on the degradation and antioxidant capacity of anthocyanins extracted from purple eggplant peels within a complex food system composed of dietary fiber, protein, and starch. The study revealed that frying at 185 °C led to the most significant reduction in anthocyanin content, with an 84.48% loss, while boiling and steaming treatments resulted in first-order degradation kinetics, and microwave treatments followed second-order kinetics. The antioxidant capacity was found to be positively correlated with the levels of total anthocyanins (TAC) and total polyphenols (TPC). During thermal processing, anthocyanins predominantly broke down into compounds such as gallic acid, phloroglucinaldehyde, and 2,4-dihydroxybenzoic acid, with further isomerization of phloroglucinaldehyde into phloroglucinic acid observed under frying conditions. The correlation coefficients between TPC and antioxidant activity (ABTS, DPPH, and FRAP) were strong, ranging from 0.86 to 0.92, with TAC showing an even stronger correlation with FRAP (0.95). These results indicate that, despite significant degradation, the residual polyphenols—particularly anthocyanins—contribute to the antioxidant properties of eggplant peels after thermal processing, highlighting their potential as valuable antioxidant components in food systems [144].
Akbulut et al. explored the use of black grape pomace, a by-product of fruit juice production, in the creation of shalgam juice, a traditional Turkish fermented beverage. The study aimed to transform this pomace into a high-value ingredient to enrich shalgam juice with phenolic compounds, particularly anthocyanins, tannins, and resveratrol, thus enhancing its antioxidant properties. Five formulations were developed using different proportions of black grape pomace and black carrot, both rich sources of polyphenols. The antioxidant activity (measured via the ABTS assay) increased steadily in samples containing black grape pomace, aligning closely with rising total phenolic content—a pattern that was absent in samples with only black carrot, where antioxidant activity fluctuated. The polyphenolic profile revealed diverse phenolic acids (such as gentisic, caffeic, and ferulic acids), along with resveratrol, rutin, catechin, and various cyanidin glucosides, many of which were uniquely present in shalgam juice formulations containing both black grape pomace and black carrot. This unique combination influenced the antioxidant potential, as the interactions between different polyphenols—some synergistic, others antagonistic—played a role [145].
Zhao et al. investigated the metabolic factors underlying the superior antioxidant capacity of red-fleshed peaches, highlighting their rich phenolic composition. The study revealed that red-fleshed peaches accumulate significantly higher levels of phenolic compounds compared to non-red-fleshed varieties, correlating with a notably stronger antioxidant activity in their crude extracts. Interestingly, the findings showed that total phenolic content, rather than anthocyanins alone, was the primary contributor to the antioxidant effects. Metabolomic analysis demonstrated a coordinated accumulation of anthocyanins, flavonoids, and phenolic acids in red-fleshed peaches, which collectively enhanced their antioxidant properties. These bioactive compounds exhibited dynamic changes throughout fruit development, with both phenolic content and antioxidant activity being more pronounced in the peel than in the flesh. This study underscores the metabolic complexity behind the antioxidant potential of red-fleshed peaches, suggesting their significant health benefits due to their robust phenolic profile [146].
Bao et al. explored the use of sulfated polysaccharides to stabilize and enhance the antioxidant capacity of blueberry anthocyanin (BA) within an oral film matrix. The study utilized chondroitin sulfate (CS), fucoidin (FU), and λ-carrageenan (λ-CG) complexed with BA in hydroxypropyl methylcellulose (HPMC) films, aiming to improve anthocyanin stability, controlled release, and bioactivity. The addition of these sulfated polysaccharides significantly enhanced the retention and stability of BA, particularly in the CS-BA/HPMC system, which maintained a 5.5-fold higher anthocyanin retention after 8 days of light-accelerated storage compared to the control. The study also demonstrated that the BA-infused oral films exhibited superior antioxidant properties, as measured by DPPH and ABTS radical scavenging assays. Notably, the antioxidant activity was significantly higher in the films complexed with sulfated polysaccharides compared to the BA/HPMC film alone, indicating that these polysaccharides preserved the antioxidant potential of BA during film formation, even under thermal stress. Further evaluation using a Cellular Antioxidant Activity (CAA) assay confirmed that the sulfated polysaccharide-BA films showed higher antioxidant capacity at the cellular level (9.89–13.75 μmol QE equiv./100 mg BA) compared to the control (7.12 μmol QE equiv./100 mg BA). The study found that while CS and FU enhanced cellular uptake and antioxidant efficacy, λ-CG’s higher molecular weight resulted in lower cellular antioxidant activity. Importantly, the oral films demonstrated excellent biosafety, with no adverse effects on cell viability. These findings suggest that sulfated polysaccharides not only stabilize the anthocyanin structure but also enhance its antioxidant properties, making them promising carriers for delivering bioactive compounds in functional oral film applications [147].
Dara Rabêlo Silva et al. investigated the antioxidant potential of two native Brazilian berries, Eugenia calycina and Eugenia stigmatosa, focusing on their phenolic composition and bioactive properties. The study revealed that both fruits are rich in phenolic compounds, with E. calycina showing particularly high levels of anthocyanins, especially cyanidin-3-glucoside (242.97 µg/g), which was strongly correlated with its superior antioxidant capacity. The antioxidant activity was assessed using ORAC, FRAP, and ABTS assays, indicating that anthocyanins play a significant role in the antioxidant efficacy of E. calycina. In contrast, E. stigmatosa was found to contain higher levels of other phenolics, such as rutin and gallic acid, along with a notable content of condensed tannins, which contributed to its antioxidant profile. The findings highlight the distinct bioactive profiles of the two species, where E. calycina stands out for its anthocyanin content, while E. stigmatosa offers a rich source of tannins and rutin. The study underscores that these Eugenia species, beyond their low caloric value and high dietary fiber content, have potential health benefits linked to their bioactive compounds. The high anthocyanin content in E. calycina suggests its strong capacity to counter oxidative stress, which could help prevent chronic diseases. These results provide a basis for further research into the therapeutic applications of these fruits, particularly in exploring how their antioxidant properties might contribute to health when integrated into diets. Moreover, the findings encourage the use of native fruits in promoting healthy eating habits, while also highlighting the importance of conserving Brazilian biodiversity. This study not only supports the value of incorporating these antioxidant-rich fruits into a sustainable diet but also emphasizes their potential to enhance the nutritional quality of functional foods [148].
Sun et al. explored the use of porous gelatin microspheres (PGMs) to enhance the stability and antioxidant capacity of anthocyanins (ANCs), particularly for applications in food preservation and as freshness indicators. The PGMs were created using a calcium carbonate template method, resulting in a highly porous structure that enabled efficient loading of anthocyanins. Through electrostatic interactions at pH 4, the loading capacity reached 353.08 mgACN/gPGMs, significantly enhancing the retention and controlled release of anthocyanins. The study demonstrated that anthocyanin-loaded PGMs (ACN@PGMs) provided prolonged antioxidant activity by delaying the degradation rate of anthocyanins under light and humidity conditions. After 16 days of storage, the degradation rate of free anthocyanins was 56.66%, while that of ACN@PGMs was notably lower at 49.24%, indicating improved stability. This enhanced protection allows the anthocyanins to maintain their antioxidant properties over a longer period. Moreover, ACN@PGMs displayed excellent sensitivity to ammonia, with a visible color shift from purple to yellow, suggesting their potential use as natural indicators of food freshness. These findings underscore the dual functionality of PGMs in protecting anthocyanins’ antioxidant activity while also serving as smart indicators in food packaging, providing a sustainable approach to food quality monitoring [149].
Abdelrahman et al. investigated the antioxidant, antibacterial, and anticancer properties of anthocyanin-rich extracts (AREs) derived from pomegranate peel (Punica granatum), chili pepper fruit (Capsicum annuum), and bougainvillea flowers (Bougainvillea spectabilis). The study aimed to extract and analyze these natural pigments for their bioactive functions using various assays, including DPPH, FRAP, and MTT. The results showed that the ARE from pomegranate peel exhibited the highest total phenolic content (466 mg GAE/g extract) and superior antioxidant activity, followed by bougainvillea flowers and chili pepper fruit. The antioxidant potential of the extracts increased proportionally with concentration, with pomegranate peel demonstrating the strongest free radical scavenging capacity. The antibacterial properties were also notable, with the pomegranate peel extract showing the strongest inhibitory effects against various pathogens [150].
Recently, Kumar Saini et al. conducted a review focused on the latest advancements in the stabilization, bioavailability, and industrial applications of anthocyanins. A key highlight of the review is the emphasis on innovative strategies to enhance the stability of these compounds, given their sensitivity to environmental factors such as pH, light, and temperature. Advanced techniques, including encapsulation and the use of stabilizing agents, are shown to significantly extend the antioxidant efficacy of anthocyanins, making them more suitable for functional food applications. The review also discusses improved bioavailability through the use of nanostructured carriers, which can enhance absorption in the gastrointestinal tract, thereby overcoming one of the major limitations associated with their use. It also explores new methods to utilize the antioxidant properties of an-thocyanins not only in nutraceuticals, but also in innovative applications in the food industry, such as natural freshness indicators and additives. This paves the way for more stable and bioactive formulations in future product development [151].
Given the existence of this recent and comprehensive review by Kumar Saini et al. we will not delve further into this section as their work thoroughly covers the current advances in the stabilization, bioavailability, and applications of anthocyanins. Furthermore, the antioxidant properties of anthocyanins have been thoroughly explored in other recent literature, with Sadowska-Bartosz providing a critical review on the reactivity of anthocyanins and anthocyanidins in various antioxidant assays, highlighting their interactions with reactive oxygen and nitrogen species, metal ions, and other compounds, as well as their effects at cellular and organismal levels [152]. Lakshmikanthan et al. provide a comprehensive review of anthocyanin-rich foods, detailing the extraction and purification techniques for anthocyanins, as well as their medicinal applications, sustainable uses, and potential roles as natural colorants in the food and cosmetic industries [153]. Tena et al. provide a comprehensive review of the sources, bioavailability, and therapeutic effects of anthocyanins, emphasizing factors that influence their antioxidant capacity and the effects of structure, concentration, and environmental conditions on their efficacy [154]. Given the detailed coverage of antioxidant properties in these recent reviews, we will not elaborate on this aspect in our discussion.
5.6. Improving Brain Functions
Krikorian et al. (2010) led a human trial which involved a group of nine participants and a placebo group of seven participants close in age and educational level with a decline of learned memory and evaluated their responses at wild blueberry juice. It has been shown that the anthocyanins present in blueberries influenced positively neurocognitive functions and reduced symptoms of depression [110].
5.7. Reducing Cardiovascular Diseases
Tian et al. studied the effects of anthocyanins on platelet function in individuals with dyslipidemia. Their findings revealed that anthocyanin supplementation dose-dependently attenuates platelet function, reducing oxidative stress biomarkers and platelet aggregation. Specifically, 12-week supplementation with 80 mg/day of anthocyanins reduced collagen-induced platelet aggregation by 3.39 ± 2.36% and activated glycoprotein GPIIbIIIa by 8.25 ± 2.45% (p < 0.05). Supplementation with 320 mg/day of anthocyanins inhibited collagen-induced platelet aggregation by 7.05 ± 2.38%, ADP-induced platelet aggregation by 7.14 ± 2.00%, reduced platelet ROS levels by 14.55 ± 1.86%, and improved mitochondrial membrane potential by 7.40 ± 1.56% (p < 0.05). These results indicate that anthocyanins can effectively reduce platelet function in individuals with dyslipidemia, thereby contributing to cardiovascular health [155].
5.8. Skin-Protective Properties
Correia et al. studied the effects of anthocyanins on skin protection. The study found that anthocyanins, specifically cyanidin-3-O-glucoside and malvidin-3-O-glucoside, exhibit significant skin protective properties. These compounds were shown to reduce biofilm production by S. aureus and P. aeruginosa, attenuate reactive oxygen species (ROS) production in human skin keratinocytes and fibroblasts and inhibit skin-degrading enzymes. Notably, anthocyanins demonstrated UV-filter capacity, with SPF values ranging from approximately 14 to 30. Carboxypyranocyanidin-3-O-glucoside stood out for its overall performance, suggesting potential for incorporation in topical formulations to enhance skin health [156].
5.9. Anticancer
Their potential antitumor effects are attributed to a diverse range of biological activities, including antioxidant and anti-inflammatory properties; anti-mutagenesis; induction of differentiation; inhibition of proliferation through modulation of signal transduction pathways; induction of cell cycle arrest; stimulation of apoptosis or autophagy in cancer cells; and inhibition of invasion and metastasis [105].
Regarding the anti-mutagenic effects of anthocyanins, investigated the anti-mutation effects of four different kinds of sweet potato roots using Salmonella typhimurium TA98. They found that these sweet potato roots, containing 3-(6,6′-caffeylferulylsophoroside)-5-glucoside of cyanidin (YGM-3) and 3-(6,6′-caffeylferulylsophoroside)-5-glucoside of peonidin (YGM-6), inhibited the reverse mutation of TA98 in a dose-dependent manner. Similarly, the water extracts prepared from the storage roots of four sweet potato varieties with different flesh colors were investigated for their antimutagenic effects. The extract from the whole roots of the purple-colored Ayamurasaki variety effectively decreased the reverse mutation induced by various mutagens, including Trp-P-1, Trp-P-2, IQ, Bla]P, 4-NQO, and dimethyl sulfoxide extracts of grilled beef. Comparison of the inhibitory activity of extracts from normal Ayamurasaki and its anthocyanin-deficient mutant suggested that anthocyanin pigments in the flesh decrease the mutagenic activity of heterocyclic amines. Two anthocyanin pigments purified from purple-colored sweet potato, YGM-3 and YGM-6, effectively inhibited the reverse mutation induced by heterocyclic amines, Trp-P-1, Trp-P-2, and IQ, in the presence of rat liver microsomal activation systems. Therefore, it was concluded that YGM-3 and YGM-6 could inhibit the reverse mutation of normal cells induced by mutagens. Given that oxidative stress from free radical abnormalities can lead to DNA injury and gene mutations—resulting in carcinogenesis—anthocyanins with antioxidant properties may protect human cells from malignant mutations caused by extreme levels of ROS and free radicals, thereby exerting their anti-mutagenesis effects in human somatic cells [157].
Chang Hui et al. studied the anticancer effects of an anthocyanin-rich extract from black rice (AEBR) on breast cancer cells both in vitro and in vivo. Their findings demonstrated that AEBR significantly reduced the viability of various breast cancer cell lines, including MCF-7 (ER+, HER2/neu−), MDA-MB-231 (ER−, HER2/neu−), and MDA-MB-453 (ER−, HER2/neu+). AEBR induced apoptosis in MDA-MB-453 cells via the intrinsic pathway by activating the caspase cascade, cleaving poly (ADP-ribose) polymerase (PARP), depolarizing the mitochondrial membrane potential, and releasing cytochrome C. In vivo, oral administration of AEBR (100 mg/kg/day) to BALB/c nude mice bearing MDA-MB-453 cell xenografts significantly suppressed tumor growth and angiogenesis. This suppression was achieved by downregulating the expression of key angiogenesis factors, including MMP-9, MMP-2, and uPA in tumor tissue. These results suggest that AEBR exerts its anticancer effects against human breast cancer cells by inducing apoptosis and inhibiting angiogenesis [158].
6. Applications
6.1. Anthocyanins
6.1.1. Food Application
Giusti M. et al. successfully investigated that red radish anthocyanin extract could be an alternative for coloring maraschino cherries substituting allura red. They also examined if anthocyanins obtained from red radish and red-flashed potato had similar coloring properties as allura red in beverages, red radish anthocyanins showing higher stability during storage. Also, for dairy products red radish and carrot anthocyanins used together or separately could provide a red color in these systems as red cabbage gave a purple color [159].
Maner S. et al. achieved a study for cookies manufacturing in which they shifted wheat flour with wine grape pomace powder at four concentrations 5, 10, 15, and 20%, which led to an increased content of anthocyanins in final products (2.03–3.51 mg/g for samples with extract compared with 0.16 mg/g for the control sample). It has been shown that the products which were obtained by adding this powder had enhanced antioxidant properties, more nutrients, and a more intense color [160].
López C.J. et al. found a possible use for Arbustus unedo L. extract, which is rich in anthocyanins (especially cyanidin-3-O-glucoside), for wafers improving antioxidant activity and providing a more attractive color in these products [161].
In a study, Albuquerque B.R. et al. (2020) used jaboticaba epicarp extract to obtain anthocyanin-based colorant and successfully gave the macarons a stable color [162].
6.1.2. Preparation and Characterization of Anthocyanin-Enriched Bio-Based Films
Chayavanich K. et al. developed gelatine and starch-based films incorporated with red radish anthocyanins and successfully observed seafood and chicken meat spoilage. In another study, Jiang G. et al. prepared a film based on carboxymetil-cellulose-starch and anthocyanins from sweet potato to monitor the freshness of fish. The films were sensitive to ammonia and had a pink color at the initial moment, a purple color after 24 h and a bluish violet after 48 h of storage at 5 °C. For monitoring salmon’s freshness, Xiaowei H. et al. incorporated anthocyanins extracted from black wolfberry, roselle, morning glory, purple potato, rose, carnation, mulberry, red cabbage, and grapes in agar-PVA films [12,163,164].
Zhai X. et al. developed biodegradable films using gelatine, gellan gum and red radish to use them as gas sensors to detect milk and fish spoilage. They observed color changes from orange to yellow in the pH range from 2 to 12 [165].
Mustafa P. et al. investigated if films based on PVA-starch incorporated with 10% and 20% propolis extracts can detect and protect pasteurized milk’s spoilage. After being applied for 48 h on milk samples, the films with 10% propolis extract changed their color from brown to reddish pink and also the films containing 20% propolis extract showed antibacterial activity against gram-negative and gram-positive bacteria (E. coli and MRSA) [166].
Pirsa S. et al. developed antibacterial and biodegradable films using chitosan, pomegranate peel extract and Mellisa officinalis Essences in different quantities and studied if they can be used as detectors of pH changes for cream cheese. The results showed that for detecting spoilage in cream cheese the chitosan-based films with 0.03% extract had a good sensitivity at pH changes. Regarding the antibacterial activity it has been shown that films containing essence in addition to the extract had antimicrobial activity against gram-positive bacteria (B. cereus) [167].
Mohammadalinejhad S. et al. extracted anthocyanins from Echium amoenum flowers, incorporated them in bacterial cellulose films and investigated if they can detect pH changes of shrimps. They observed color changes in the range of pH from 2 to 12 from violet to grey and yellow after 4 days at 4 °C [168].
6.1.3. Cosmetics
Saffron (Crocus sativus) presents antioxidant and anti-inflammatory properties due to the presence of carotenoids, phenolics, and flavonoids. Due to these properties, Akhtar et al. developed a cream formulation containing saffron extracts with significant depigmentation and antierytema effects [169]. Golmohammadzadeh et al. successfully prepared and tested nanoliposomes containing safranal as natural sunscreen factor [170].
Extracts of stems, leaves, and pomace of sour cherry (Prunus Cerasus) were used by Maurícío E. et al. as ingredients in beauty products. They led a human trial on 10 volunteers and tested the protective effects of the antioxidant extracts against methyl nicotinate (an irritation substance) explaining the antioxidant activity from in vitro methods [171,172]. Sim Y. et al. developed a cosmetic formulation containing kenaf (Hibiscus cannabinus L.) leaves extract, evaluated its antioxidant, anti-aging, and antimelanogenic activities and determined the microbiological properties, storage stability, and in vitro cytotoxicity. They concluded that kenaf leaves are a valuable ingredient with skincare benefits for the cosmetic industry [173].
Inman C. et al. proposed an application for black bean (Phaseolus vulgaris) as natural colorant. They developed an efficient semi-permanent hair coloring gel which is consistent with use in industrial practice [174].
Jati leaves extract (Tectona grandis) was used by Setyawaty R. et al. as natural dye for coloring lipsticks. The lipstick obtained had no change of color, odor, and shape after 30 days of storage [175]. Lwin et al. used red dragon fruit (Hylocereus polyrhizus), which contains betacyanin pigment, in a natural lipstick. They evaluated the pH, melting point, aging stability, and antioxidant stability as qualitative parameters. Regarding the safety, they determined the lead content, carried out a skin irritation test, and a microbial analysis [176].
In another study, Lourith et al. successfully used the butterfly pea (Clitoria ternatea) anthocyanins microencapsulation to develop a rouge based on cornstarch and additional ingredients [177].
The coloring and antioxidant properties of anthocyanins and their derivatives have also been utilized in hair dyes and cosmetic dermatology products [178,179].
Giusti et al. demonstrated that anthocyanins incorporated into lipstick formulations retain their antioxidant properties, effectively scavenging free radicals and acting as UV filters. This effect is particularly pronounced in anthocyanins acylated with cinnamic acid [180].
6.2. Flavylium Dyes
6.2.1. Applications in Analytical Chemistry
Monitoring metals and metal ions represents a major task, specifically in environmental or biological samples. Flavylium-inspired compounds were proved as useful compounds for their fast and sensitive detection and quantitation in aqueous media. Cloud point extraction (CPE) emerged as a promising analytical technique for separation and preconcentration of trace elements, particularly metals. Snigur et al. developed a rapid CPE method for preconcentration and subsequent spectrophotometric determination of Molybdenum (VI) using a synthetic flavylium derivative, 6,7-dihydroxy-2,4-diphenylbenzopyrylium perchlorate, for extraction (as a red complex) at room temperature into a chemically induced Triton X-100 surfactant-rich phase, and measurement of absorbance at 560 nm. The calibration plot was linear in the Molybdenum (VI) concentrations range of 7.9–160 μg/L and the detection limit was 2.3 μg/L [181]. Similarly, 6,7-dihydroxy-2,4-diphenylbenzopyrylium chloride was successfully used for room-temperature CPE of Copper (II), generating an extractable complex in weekly acidic medium. The optimal conditions were pH 5.0, 1% Triton X-100 (v/v), and 3.75 × 10–2 M sodium salt of p-toluic acid (chemical initiator). The linear calibration domain and the limit of detection were 6–870 μg/L and 6 μg/L Copper (II) concentrations, respectively [182].
Fluorescent chemosensors represent another application direction of flavylium-derived compounds for analytical purposes. Mercury (II) ion detection was accomplished by Cheng et al. who developed a “turn-on” fluorescent probe based on a flavylium-derived scaffold, able to detect Hg2+ with high sensitivity (limit of detection 0.47 nM). The method was applicable not only in water but also in urine samples and in living cells [183]. This research was developed based on previous reports, such as that of Ren et al. which demonstrated the possibility of designing new fluorescent materials, inspired by anthocyanidins, with flexibly tunable emission spectra covering the whole visible light range, from 467 to 707 nm [184].
Gomes et al. reported a Near InfraRed (NIR) emissive fluorescent chemosensor for Zn2+ and other divalent metal ions detection, based on a styrylflavylium dye with a di-(2-picolyl)amine moiety as the metal chelating unit [185].
The real-time detection and monitorization of H2S is also important in water, food, and living cells. Wang et al. designed an asymmetrical flavylium-based probe with large Stokes shift of 81 nm and NIR emission at 671 nm for H2S detection. Linear correlation was observed for H2S concentrations from 0 to 50 μM, with limit of detection of 0.31 μM [186].
6.2.2. Color Indicator Sensors
Galindo F. et al. encapsulated a fluorescent flavylium salt in a water permeable cross-linked poly(2-hydroxyethyl methacrylate) polymer matrices to determine humidity and ammonia content of the surrounding atmosphere of the films [187].
Gomes V. et al. immobilized in the presence and absence of glycerol in a cellulose acetate matrix a pyranoflavylium dye and obtained films whose response was monitored at different pH values ranging from 4 to 8 and in the atmosphere of solutions containing ammonia at different concentrations and in the presence of biogenic amines [188].
In another study, Gomes V. et al. immobilized a pyranoflavylium dye and glycerol into a cellulose acetate matrix and applied the obtained film to monitor meat and fish freshness. The detection of fish spoilage in 5 days of storage is shown to be very effective, with films’ color changing from yellow to purple [189].
6.2.3. Topical Photodynamic Therapy
Oliveira H. et al. studied five amino-based flavylium compounds as photosensitizers in topical photodynamic therapy (PDT) which is an alternative to surgery for several infectious skin diseases and skin cancers and three of them were suitable to be used in PDT [19].
7. Conclusions and Future Perspectives
The isolation of anthocyanins and the synthesis of bio-inspired flavylium compounds have significantly advanced our understanding of these bioactive molecules and their applications. Various extraction techniques, such as solvent extraction, microwave-assisted extraction, and supercritical fluid extraction, have been optimized to yield high-quality anthocyanins from natural sources. Indicating the best extraction method is challenging, since the choice of a particular technique is influenced by several factors such as the anthocyanins content in the tissue of the selected plant source, the possible degradation during the extraction process or the overall costs of process and equipments. Solvent extraction is still regarded as the most convenient method, using mainly water combined with water-miscible organic solvents at relatively moderate temperatures and reduced equipment costs compared to other methods, but the is hampered by the lower extraction efficiency and the possible toxicity of the organic co-solvent. The emerging techniques developed in the last years, ultrasound, microwave, and supercritical CO2 assisted extraction, provide higher extraction yield and shorter extraction time but involve higher equipment costs and the mechanical or thermal effects generated during the process can affect the structure of the anthocyanins. Supercritical CO2 assisted extraction is in our opinion the most promising extraction method avoiding the use of organic solvents and the degradation of the product due to severe extraction conditions. However, the production costs are high; therefore, the enzyme-assisted extraction could be developed in the near future as a valuable alternative, leading to high extraction yields in mild conditions and reducing the amount or even eliminating the use of an organic solvent.
Additionally, chemical synthesis pathways for flavylium derivatives have opened new directions for the development of synthetic bioactive compounds with tailored properties. Nowadays, the existing synthetic methods allow the preparation of a wide variety of flavylium derivatives with different substitution paths, which can provide them pharmacological effectiveness. We presume that in this respect the development will be continuous and spectacular.
Analytical methods, including chromatography, spectroscopy, and mass spectrometry, have proven essential for the detailed characterization of these compounds, ensuring their purity and stability. The anthocyanins obtained from plants are usually concentrated extracts which can be utilized without advanced separation and purification, but their composition must be known. For the identification of the anthocyanins present in a mixture hyphenated techniques, particularly HPLC-MS are the most useful. Although not being just as accurate, UV-Vis spectroscopy is a more accessible technique which can provide valuable information concerning the structural composition of an anthocyanin mixture, particularly the presence of certain functional groups. Considering the synthetic flavylium derivatives, 2D-NMR is the best analytical method to demonstrate the exact structure of a compound.
Studies on the preventive and pharmacological effects of flavylium compounds suggest promising therapeutic potentials, including antioxidant, anti-inflammatory, and anticancer activities. The antioxidant and anti-inflammatory effects are well documented and already used in diverse preparations, the so-called food supplements, which are out of the scope of this review. It should be pointed out that in our opinion their main benefit is rather preventive than curative. Other pharmacological effects, particularly the anti-cancer activity is the object of intense studies; however, it must be mentioned that is a long way between the in vitro studies on cancer cell lines and the clinical trials demonstrating the efficiency of a specific compound. Certainly, this direction will represent a major objective in the near future and inhibition of proliferation of certain cancer cells by natural or synthetic flavylium derivatives might have a clear perspective, specifically in the development stage. In terms of food applications, anthocyanins continue to be explored as natural dyes and functional ingredients, contributing not only to the aesthetic appeal of food products but also offering health benefits. Looking forward, further research is needed to refine extraction and synthesis methods, enhance the bioavailability of these compounds, and explore novel applications in food, pharmaceuticals, and other industries, thereby expanding their commercial potential and therapeutic scope.
Author Contributions
Conceptualization, D.-I.D., A.T., F.Z. and F.P.; software, D.-I.D. and F.Z.; investigation, D.-I.D., A.R.B. and A.A.A.; data curation, F.P., A.R.B., and I.P.; writing—D.-I.D., I.P., A.T., F.Z. and I.C.B.; writing—review and editing, F.P., A.T. and A.A.A.; visualization, D.-I.D., I.P., I.C.B. and A.A.A.; supervision, A.T., A.R.B. and F.P. All authors have read and agreed to the published version of the manuscript.
Funding
This research received no external funding.
Informed Consent Statement
Not applicable.
Data Availability Statement
No new data were created or analyzed in this study.
Conflicts of Interest
The authors declare no conflicts of interest.
References
- Chen, S.; Wang, X.; Cheng, Y.; Gao, H.; Chen, X. A Review of Classification, Biosynthesis, Biological Activities and Potential Applications of Flavonoids. Molecules 2023, 28, 4982. [Google Scholar] [CrossRef] [PubMed]
- Panche, A.N.; Diwan, A.D.; Chandra, S.R. Flavonoids: An Overview. J. Nutr. Sci. 2016, 5, e47. [Google Scholar] [CrossRef]
- Liga, S.; Paul, C.; Péter, F. Flavonoids: Overview of Biosynthesis, Biological Activity, and Current Extraction Techniques. Plants 2023, 12, 2732. [Google Scholar] [CrossRef]
- Pina, F.; Petrov, V.; Laia, C.A.T. Photochromism of Flavylium Systems. An Overview of a Versatile Multistate System. Dye. Pigment. 2012, 92, 877–889. [Google Scholar] [CrossRef]
- Cruz, L.; Sousa, J.L.C.; Marinho, A.; Mateus, N.; de Freitas, V. Synthesis and Structural Characterization of Novel Pyranoluteolinidin Dyes. Tetrahedron Lett. 2017, 58, 159–162. [Google Scholar] [CrossRef]
- Pagan, A.; Lee, J.I.; Kang, J. Concentration-Dependent Association of Flavylium Chloride with Differential Hydroxy Moieties in Ethanol. Colorants 2021, 1, 20–37. [Google Scholar] [CrossRef]
- Dekić, M.; Kolašinac, R.; Radulović, N.; Šmit, B.; Amić, D.; Molčanov, K.; Milenković, D.; Marković, Z. Synthesis and Theoretical Investigation of Some New 4-Substituted Flavylium Salts. Food Chem. 2017, 229, 688–694. [Google Scholar] [CrossRef]
- Yuzuak, S.; Xie, D.Y. Anthocyanins from Muscadine (Vitis rotundifolia) Grape Fruit. Curr. Plant Biol. 2022, 30, 100243. [Google Scholar] [CrossRef]
- Brooks, M.S.-L.; Celli, G.B. (Eds.) Anthocyanins from Natural Sources: Exploiting Targeted Delivery for Improved Health; Royal Society of Chemistry: London, UK, 2019. [Google Scholar] [CrossRef]
- Singh, S.; Gaikwad, K.K.; Lee, Y.S. Anthocyanin—A Natural Dye for Smart Food Packaging Systems. Korean J. Packag. Sci. Technol. 2018, 24, 167–180. [Google Scholar] [CrossRef]
- Li, D.; Wang, P.; Luo, Y.; Zhao, M.; Chen, F. Health Benefits of Anthocyanins and Molecular Mechanisms: Update from Recent Decade. Crit. Rev. Food Sci. Nutr. 2017, 57, 1729–1741. [Google Scholar] [CrossRef]
- Huang, X.; Du, L.; Li, Z.; Xue, J.; Shi, J.; Zhai, X.; Zhang, J.; Zhang, N.; Holmes, M.; Zou, Z. Fabrication and Characterization of Colorimetric Indicator for Salmon Freshness Monitoring Using Agar/Polyvinyl Alcohol Gel and Anthocyanin from Different Plant Sources. Int. J. Biol. Macromol. 2023, 239, 124198. [Google Scholar] [CrossRef]
- Herrman, D.A.; Brantsen, J.F.; Ravisankar, S.; Lee, K.M.; Awika, J.M. Stability of 3-Deoxyanthocyanin Pigment Structure Relative to Anthocyanins from Grains under Microwave Assisted Extraction. Food Chem. 2020, 333, 127494. [Google Scholar] [CrossRef] [PubMed]
- Benchikh, Y.; Aissaoui, A.; Allouch, R.; Mohellebi, N. Optimising Anthocyanin Extraction from Strawberry Fruits Using Response Surface Methodology and Application in Yoghurt as Natural Colorants and Antioxidants. J. Food Sci. Technol. 2021, 58, 1987–1995. [Google Scholar] [CrossRef] [PubMed]
- Granados-Balbuena, S.Y.; Chicatto-Gasperín, V.; Santacruz-Juárez, E.; Ocaranza-Sánchez, E.; Ramírez-López, C.; García-Meza, M.G.; Tapia-López, L.; Robles de la Torre, R.R.; López, M.R.R. Patented Technologies in the Extraction, Preservation, and Application of Anthocyanins in Food: A Review. Appl. Food Res. 2024, 4, 100388. [Google Scholar] [CrossRef]
- Schwarz, M.; Wabnitz, T.C.; Winterhalter, P. Pathway Leading to the Formation of Anthocyanin-Vinylphenol Adducts and Related Pigments in Red Wines. J. Agric. Food Chem. 2003, 51, 3682–3687. [Google Scholar] [CrossRef]
- Gomes, V.; Pires, A.S.; Fernandes, I.; Mateus, N.; de Freitas, V.; Cruz, L. Synthesis of Novel Pyrano-3,7-Deoxyanthocyanin Derivatives and Study of Their Thermodynamic, Photophysical and Cytotoxicity Properties. J. Photochem. Photobiol. A Chem. 2021, 415, 113313. [Google Scholar] [CrossRef]
- Pinto, A.L.; Máximo, P.; Pina, J.; Calogero, G.; Laia, C.A.T.; Parola, A.J.; Lima, J.C. Exploring the Impact of Structural Rigidification of Amino-Substituted Bio-Inspired Flavylium Dyes in DSSCs. Dye. Pigment. 2023, 218, 111495. [Google Scholar] [CrossRef]
- Oliveira, H.; Araújo, P.; Pereira, A.R.; Mateus, N.; de Freitas, V.; Oliveira, J.; Fernandes, I. Photoactivated Cell-Killing Amino-Based Flavylium Compounds. Sci. Rep. 2021, 11, 22005. [Google Scholar] [CrossRef] [PubMed]
- Păușescu, I.; Todea, A.; Dreavă, D.M.; Boboescu, T.; Pațcan, B.; Pațcan, L.; Albulescu, D.; Badea, V.; Peter, F.; Tőtős, R.; et al. Experimental and Computational Studies on Bio-Inspired Flavylium Salts as Sensitizers for Dye-Sensitized Solar Cells. Materials 2022, 15, 6985. [Google Scholar] [CrossRef] [PubMed]
- Alejo-Armijo, A.; Salido, S.; Altarejos, J.; Parola, A.J.; Gago, S.; Basílio, N.; Cabrita, L.; Pina, F. Effect of Methyl, Hydroxyl, and Chloro Substituents in Position 3 of 3′,4′,7-Trihydroxyflavylium: Stability, Kinetics, and Thermodynamics. Chem. Eur. J. 2016, 22, 12495–12505. [Google Scholar] [CrossRef] [PubMed]
- Mathivani, A.; Lovelin Jerald, A.; Akshara, M. Extraction of Anthocyanin from Plum Peels. Int. J. Adv. Res. 2020, 6, 73–77. [Google Scholar]
- Zardo, I.; Brando, M.; Marczak, L.D.F.; Noreña, C.P.Z. Evaluation of Anthocyanins and other Phenolic Compounds Extraction from Blueberry Processing Waste with Acidified Water. Bol. Cent. Pesqui. Process. Aliment. 2017, 35, 1–13. [Google Scholar] [CrossRef]
- Patil, G.; Madhusudhan, M.C.; Ravindra Babu, B.; Raghavarao, K.S.M.S. Extraction, Dealcoholization and Concentration of Anthocyanin from Red Radish. Chem. Eng. Process. 2009, 48, 364–369. [Google Scholar] [CrossRef]
- Flores, F.P.; Singh, R.K.; Kerr, W.L.; Pegg, R.B.; Kong, F. Antioxidant and Enzyme Inhibitory Activities of Blueberry Anthocyanins Prepared Using Different Solvents. J. Agric. Food Chem. 2013, 61, 4441–4447. [Google Scholar] [CrossRef] [PubMed]
- Galvão, A.C.; Souza, P.P.; Robazza, W.S.; França, C.A.L. Capacity of Solutions Involving Organic Acids in the Extraction of the Anthocyanins Present in Jabuticaba Skins (Myrciaria cauliflora) and Red Cabbage Leaves (Brassica oleracea). J. Food Sci. Technol. 2020, 57, 3995–4002. [Google Scholar] [CrossRef] [PubMed]
- Chatterjee, D.; Jadhav, N.T.; Bhattacharjee, P. Solvent and Supercritical Carbon Dioxide Extraction of Color from Eggplants: Characterization and Food Applications. LWT 2013, 51, 319–324. [Google Scholar] [CrossRef]
- Kowalska, G.; Wyrostek, J.; Kowalski, R.; Pankiewicz, U. Evaluation of Glycerol Usage for the Extraction of Anthocyanins from Black Chokeberry and Elderberry Fruits. J. Appl. Res. Med. Aromat. Plants 2021, 22, 100296. [Google Scholar] [CrossRef]
- Zannou, O.; Pashazadeh, H.; Ghellam, M.; Ibrahim, S.A.; Koca, I. Extraction of Anthocyanins from Borage (Echium amoenum) Flowers Using Choline Chloride and a Glycerol-Based, Deep Eutectic Solvent: Optimization, Antioxidant Activity, and In Vitro Bioavailability. Molecules 2022, 27, 134. [Google Scholar] [CrossRef]
- Asni, H.; Manurung, R.; Bonella, D. Aplikasi Pelarut Eutektik K2CO3-Gliserol Pada Ekstraksi Pigmen Antosianin Dari Kulit Manggis (Garcinia mangostana Linn.) Application Potassium Carbonate-Glycerol Based Eutectic Solvent on Anthocyanin Pigment Extraction from Mangosteen Peel (Garcinia mangostana Linn.). J. Tek. Kim. USU 2020, 9, 64–69. [Google Scholar] [CrossRef]
- Hussain, S.; Sharma, M.; Jarg, T.; Aav, R.; Bhat, R. Natural Pigments (Anthocyanins and Chlorophyll) and Antioxidants Profiling of European Red and Green Gooseberry (Ribes uva-crispa L.) Extracted Using Green Techniques (UAE-Citric Acid-Mediated Extraction). Curr. Res. Food Sci. 2023, 7, 100629. [Google Scholar] [CrossRef]
- Kim, H.; Jung, Y.S.; Song, N.E.; Yoo, M.; Seo, D.H.; Kim, H.S.; Nam, T.G. Ultrasound-Assisted Extraction of Major Anthocyanins in Korean Black Raspberries (Rubus coreanus Miquel) Using Natural Deep Eutectic Solvents. LWT 2024, 199, 116121. [Google Scholar] [CrossRef]
- Xu, H.; Huang, M.; Liu, L. Extraction of Anthocyanin from Purple-Fleshed Potato through Ultrasound-Assisted Extraction. IOP Conf. Ser. Earth Environ. Sci. 2020, 514, 052010. [Google Scholar] [CrossRef]
- Hu, A.J.; Hao, S.T.; Zheng, J.; Chen, L.; Sun, P.P. Multi-Frequency Ultrasonic Extraction of Anthocyanins from Blueberry Pomace and Evaluation of Its Antioxidant Activity. J. AOAC Int. 2021, 104, 811–817. [Google Scholar] [CrossRef] [PubMed]
- Zhang, S.; Lin, S.; Zhang, J.; Liu, W. Ultrasound-Assisted Natural Deep Eutectic Solvent Extraction of Anthocyanin from Vitis davidii Foex. Pomace: Optimization, Identification, Antioxidant Activity and Stability. Heliyon 2024, 10, e33066. [Google Scholar] [CrossRef] [PubMed]
- Devi, D.; Kumar, S.; Mukherjee, A. Onion Peel Extract as Milk Freshness Indicator in Biopolymer-Based Intelligent Packaging Films. Food Humanit. 2024, 2, 100223. [Google Scholar] [CrossRef]
- Kanthraj, M.; Namitha, K.C.; Vaishali; Trilokchandran, B. A Review: Microwave Assisted Extraction. Int. J. Sci. Res. Eng. Manag. 2024, 8, 1–8. [Google Scholar] [CrossRef]
- Sun, Y.; Liao, X.; Wang, Z.; Hu, X.; Chen, F. Optimization of Microwave-Assisted Extraction of Anthocyanins in Red Raspberries and Identification of Anthocyanin of Extracts Using High-Performance Liquid Chromatography—Mass Spectrometry. Eur. Food Res. Technol. 2007, 225, 511–523. [Google Scholar] [CrossRef]
- Grigoras, C.G.; Destandau, E.; Zubrzycki, S.; Elfakir, C. Sweet Cherries Anthocyanins: An Environmental Friendly Extraction and Purification Method. Sep. Purif. Technol. 2012, 100, 51–58. [Google Scholar] [CrossRef]
- Duan, W.; Jin, S.; Zhao, G.; Sun, P. Microwave-Assisted Extraction of Anthocyanin from Chinese Bayberry and Its Effects on Anthocyanin Stability. Food Sci. Technol. 2015, 35, 524–530. [Google Scholar] [CrossRef]
- Lutsi, N.; Manurung, Y.H.; Rahmawati, I. Efficient Anthocyanin Extraction from Aqueous Mixture of Cocoa Peel Using Microwave Assisted Extraction (MAE) Method. J. Biobased Chem. 2023, 3, 53–65. [Google Scholar] [CrossRef]
- Evitasari, R.T.; Rofiqoh, H.; Damayanti, P.A.; Chusna, F.M.A. Microwave Assisted Extraction of Anthocyanin from Purple Sweet Potato (Ipomoea batatas L.) Using Deep Eutectic Solvent (DES) Based on Citric Acid. J. Rekayasa Proses 2022, 16, 72–77. [Google Scholar] [CrossRef]
- Alchera, F.; Ginepro, M.; Giacalone, G. Microwave-Assisted Extraction (MAE) of Bioactive Compounds from Blueberry by-Products Using a Sugar-Based NADES: A Novelty in Green Chemistry. LWT 2024, 192, 115642. [Google Scholar] [CrossRef]
- Roda-Serrat, M.C.; Razi Parjikolaei, B.; Mohammadifakhr, M.; Martin, J.; Norddahl, B.; Errico, M. A Case Study for the Extraction, Purification, and Co-Pigmentation of Anthocyanins from Aronia melanocarpa Juice Pomace. Foods 2022, 11, 3875. [Google Scholar] [CrossRef] [PubMed]
- Amulya, P.R.; ul Islam, R. Optimization of Enzyme-Assisted Extraction of Anthocyanins from Eggplant (Solanum melongena L.) Peel. Food Chem. X 2023, 18, 100643. [Google Scholar] [CrossRef] [PubMed]
- Tran, C.-T.; Van Khang, T.; Le, H.-N.; Nguyen, T.D.; Bach, L.G. Enzyme-Assisted Extraction of Anthocyanins Pigment from Purple Sweet Potatoes (Prunus nepalensis L.). Int. J. Eng. Res. Appl. 2017, 07, 11–15. [Google Scholar] [CrossRef]
- Hamark, C.; Pendrill, R.; Landström, J.; Dotson Fagerström, A.; Sandgren, M.; Ståhlberg, J.; Widmalm, G. Enantioselective Binding of Propranolol and Analogues Thereof to Cellobiohydrolase Cel7A. Chem. Eur. J. 2018, 24, 17975–17985. [Google Scholar] [CrossRef] [PubMed]
- Vitali, J.; Schick, B.; Kester, H.C.M.; Visser, J.; Jurnak, F. The Three-Dimensional Structure of Aspergillus niger Pectin Lyase B at 1.7-Å Resolution1. Plant Physiol. 1998, 116, 69–80. [Google Scholar] [CrossRef] [PubMed]
- Machius, M.; Declerck, N.; Huber, R.; Wiegand, G. Kinetic Stabilization of Bacillus licheniformis α-Amylase through Introduction of Hydrophobic Residues at the Surface. J. Biol. Chem. 2003, 278, 11546–11553. [Google Scholar] [CrossRef]
- Jiang, Y.; Ding, Y.; Wang, D.; Deng, Y.; Zhao, Y. Radio Frequency-Assisted Enzymatic Extraction of Anthocyanins from Akebia trifoliata (Thunb.) Koidz. Flowers: Process Optimization, Structure, and Bioactivity Determination. Ind. Crops Prod. 2020, 149, 112327. [Google Scholar] [CrossRef]
- Roy, A.; Mukherjee, R.P.; Howard, L.; Beitle, R. Bio-Based Extraction and Stabilization of Anthocyanins. Biotechnol. Prog. 2016, 32, 601–605. [Google Scholar] [CrossRef] [PubMed]
- Swer, T.L.; Mukhim, C.; Bashir, K.; Chauhan, K. Optimization of Enzyme Aided Extraction of Anthocyanins from Prunus nepalensis L. LWT 2018, 91, 382–390. [Google Scholar] [CrossRef]
- Lotfi, L.; Kalbasi-Ashtari, A.; Hamedi, M.; Ghorbani, F. Effects of Enzymatic Extraction on Anthocyanins Yield of Saffron Tepals (Crocos sativus) along with Its Color Properties and Structural Stability. J. Food Drug Anal. 2015, 23, 210–218. [Google Scholar] [CrossRef] [PubMed]
- Li, Y.; Tao, F.; Wang, Y.; Cui, K.; Cao, J.; Cui, C.; Nan, L.; Li, Y.; Yang, J.; Wang, Z. Process Optimization for Enzymatic Assisted Extraction of Anthocyanins from the Mulberry Wine Residue. IOP Conf. Ser. Earth Environ. Sci. 2020, 559, 012011. [Google Scholar] [CrossRef]
- Tecucianu, A.C.; Draghici, O.; Oancea, S. An Enzyme-Enhanced Extraction of Anthocyanins From Red Cabbage and their Thermal Degradation Kinetics. Acta Aliment. 2020, 49, 204–213. [Google Scholar] [CrossRef]
- Nunes, A.N.; Borges, A.; Matias, A.A.; Bronze, M.R.; Oliveira, J. Alternative Extraction and Downstream Purification Processes for Anthocyanins. Molecules 2022, 27, 368. [Google Scholar] [CrossRef]
- Rizkiyah, D.N.; Putra, N.R.; Idham, Z.; Aziz, A.H.A.; Che Yunus, M.A.; Veza, I.; Irianto; Chinedu Mamah, S.; Qomariyah, L. Recovery of Anthocyanins from Hibiscus sabdariffa L. Using a Combination of Supercritical Carbon Dioxide Extraction and Subcritical Water Extraction. Processes 2023, 11, 751. [Google Scholar] [CrossRef]
- Jiao, G.; Kermanshahi pour, A. Extraction of Anthocyanins from Haskap Berry Pulp Using Supercritical Carbon Dioxide: Influence of Co-Solvent Composition and Pretreatment. LWT 2018, 98, 237–244. [Google Scholar] [CrossRef]
- Cruz, L.; Basílio, N.; Mateus, N.; De Freitas, V.; Pina, F. Natural and Synthetic Flavylium-Based Dyes: The Chemistry behind the Color. Chem Rev 2022, 122, 1416–1481. [Google Scholar] [CrossRef]
- Hasan, A.; Sadiq, A.; Abbas, A.; Mughal, E.; Khan, K.M.; Ali, M. Isolation and Synthesis of Flavonols and Comparison of Their Antioxidant Activity. Nat. Prod. Res. 2010, 24, 995–1003. [Google Scholar] [CrossRef]
- Shen, X.; Zhou, Q.; Xiong, W.; Pu, W.; Zhang, W.; Zhang, G.; Wang, C. Synthesis of 5-Subsituted Flavonols via the Algar-Flynn-Oyamada (AFO) Reaction: The Mechanistic Implication. Tetrahedron 2017, 73, 4822–4829. [Google Scholar] [CrossRef]
- Yakovenko, V.I.; Oganesyan ÉTDorofeenko, G.N. One-Step Synthesis of 4-Ethoxy-6-Bromo-7-Hydroxyflavylium Salts and the Corresponding Flavones. Chem. Heterocycl. Compd. 1981, 17, 115–118. [Google Scholar] [CrossRef]
- Roehri-Stoeckel, C.; Gonzalez, E.; Fougerousse, A.; Brouillard, R. Synthetic Dyes: Simple and Original Ways to 4-Substituted Flavylium Salts and Their Corresponding Vitisin Derivatives. Can. J. Chem. 2001, 79, 1173–1178. [Google Scholar] [CrossRef]
- Fernandes, A.C.; Romão, C.C.; Rosa, C.P.; Vieira, V.P.; Lopes, A.; Silva, P.F.; Maçanita, A.L. One-Step Synthesis of Novel Flavylium Salts Containing Alkyl Side Chains in Their 3-, 4′-, 5- or 6-Positions and Their Photophysical Properties in Micellar Media. Eur. J. Org. Chem. 2004, 2004, 4877–4883. [Google Scholar] [CrossRef]
- Sweeny, J.G.; Iacobucci, G.A. Synthesis of Anthocyanidins-III. Total Synthesis of Apigeninidin and Luteolinidin Chlorides. Tetrahedron 1980, 37, 1481–1483. [Google Scholar] [CrossRef]
- Kueny-Stotz, M.; Isorez, G.; Chassaing, S.; Brouillard, R. Straightforward Synthesis of Highly Hydroxylated Phloroglucinol-Type 3-Deoxyanthocyanidins. Synlett 2007, 1067–1070. [Google Scholar] [CrossRef]
- Robertson, A.; Robinson, R. CXCIII.-Experiments on the Synthesis of Anthocyanins. Part V. A Synthesis of 3-β-Glucosidylpelargonidin, Which Is Believed to Be Identical with Callistephin Chloride. J. Chem. Soc. 1928, 1, 1460–1472. [Google Scholar] [CrossRef]
- Petrov, V.; Gomes, R.; Parola, A.J.; Jesus, A.; Laia, C.A.T.; Pina, F. 2′-Hydroxyflavylium: Introducing Flavanones into the Flavylium Network of Chemical Reactions. Tetrahedron 2008, 64, 714–720. [Google Scholar] [CrossRef]
- Araújo, P.; Rita Pereira, A.; de Freitas, V.; Mateus, N.; Fernandes, I.; Oliveira, J. Synthesis, Structural Characterization and Chromatic Features of New 2-Phenyl-1-Benzopyrylium and 2-Phenyl-Styryl-1-Benzopyrylium Amino-Based Blue Dyes. Tetrahedron Lett. 2021, 85, 153487. [Google Scholar] [CrossRef]
- Yuzuak, S.; Ma, Q.; Lu, Y.; Xie, D.-Y. HPLC-MS (n) Applications in the Analysis of Anthocyanins in Fruits. In High Performance Liquid Chromatography—Recent Advances and Applications; Núñez, O., Sentellas, S., Granados, M., Saurina, J., Eds.; IntechOpen: London, UK, 2023; pp. 1–31. [Google Scholar]
- Sousa, J.L.C.; Gomes, V.; Mateus, N.; Pina, F.; de Freitas, V.; Cruz, L. Synthesis and Equilibrium Multistate of New Pyrano-3-Deoxyanthocyanin-Type Pigments in Aqueous Solutions. Tetrahedron 2017, 73, 6021–6030. [Google Scholar] [CrossRef]
- Syukri, D.; Darwis, D.; Santoni, A. Preparative HPLC for the Purification of Major Anthocyanins from Ficus padana burm L. Res. J. Chem. Sci. 2013, 3, 60–64. [Google Scholar]
- Devi, L.M.; Das, A.B.; Badwaik, L.S. Ultrasound-Assisted Extraction of Anthocyanin from Black Rice Bran and Its Encapsulation by Complex Coacervation. Food Hydrocoll. Health 2024, 5, 100174. [Google Scholar] [CrossRef]
- Saldaña, M.D.A.; Martinez, E.R.; Sekhon, J.K.; Vo, H. The Effect of Different Pressurized Fluids on the Extraction of Anthocyanins and Total Phenolics from Cranberry Pomace. J. Supercrit. Fluids 2021, 175, 105279. [Google Scholar] [CrossRef]
- Santiago, M.C.P.d.A.; Gouvêa, A.C.M.S.; Godoy, R.L.d.O.; Borguini, R.G.; Pacheco, S.; Nogueira, R.I.; Nascimento, L.d.S.d.M.d.; Freitas, S.P. Analytical Standards Production for the Analysis of Pomegranate Anthocyanins by HPLC. Braz. J. Food Technol. 2014, 17, 51–57. [Google Scholar] [CrossRef][Green Version]
- Rubinskiene, M.; Jasutiene, I.; Venskutonis, P.R.; Viskelis, P. HPLC Determination of the Composition and Stability of Blackcurrant Anthocyanins. J. Chromatogr. Sci. 2005, 43, 478–482. [Google Scholar] [CrossRef] [PubMed]
- Yang, Z.; Zhai, W. Optimization of Microwave-Assisted Extraction of Anthocyanins from Purple Corn (Zea mays L.) Cob and Identification with HPLC-MS. Innov. Food Sci. Emerg. Technol. 2010, 11, 470–476. [Google Scholar] [CrossRef]
- Thuy, N.M.; Minh, V.Q.; Ben, T.C.; Nguyen, M.T.T.; Ha, H.T.N.; Van Tai, N. Identification of Anthocyanin Compounds in Butterfly Pea Flowers (Clitoria ternatea L.) by Ultra Performance Liquid Chromatography/Ultraviolet Coupled to Mass Spectrometry. Molecules 2021, 26, 4539. [Google Scholar] [CrossRef]
- Chandra Singh, M.; Kelso, C.; Price, W.E.; Probst, Y. Validated Liquid Chromatography Separation Methods for Identification and Quantification of Anthocyanins in Fruit and Vegetables: A Systematic Review. Food Res. Int. 2020, 138, 109754. [Google Scholar] [CrossRef]
- Schnitker, F.A.; Steingass, C.B.; Schweiggert, R. Analytical Characterization of Anthocyanins Using Trapped Ion Mobility Spectrometry-Quadrupole Time-of-Flight Tandem Mass Spectrometry. Food Chem. 2024, 459, 140200. [Google Scholar] [CrossRef] [PubMed]
- Watanabe, T.; Terabe, S. Analysis of Natural Food Pigments by Capillary Electrophoresis. J. Chromatogr. A 2000, 880, 311–322. [Google Scholar] [CrossRef]
- Bridle, P.; Garcia-Viguerab, C. Analysis of Anthocyanins in Strawberries and Elderberries. A Comparison of Capillary Zone Electrophoiesis and HPLC. Food Chem. 1997, 59, 299–304. [Google Scholar] [CrossRef]
- Da Costa, C.T.; Nelson, B.C.; Margolis, S.A.; Horton, D. Separation of Blackcurrant Anthocyanins by Capillary Zone Electrophoresis. J. Chromatogr. A 1998, 799, 321–327. [Google Scholar] [CrossRef]
- Sáenz-López, R.; Fernández-Zurbano, P.; Tena, M.T. Development and Validation of a Capillary Zone Electrophoresis Method for the Quantitative Determination of Anthocyanins in Wine. J. Chromatogr. A 2003, 990, 247–258. [Google Scholar] [CrossRef] [PubMed]
- Bednář, P.; Papoušková, B.; Müller, L.; Barták, P.; Stávek, J.; Pavloušek, P.; Lemr, K. Utilization of Capillary Electrophoresis/Mass Spectrometry (CE/MSn) for the Study of Anthocyanin Dyes. J. Sep. Sci. 2005, 28, 1291–1299. [Google Scholar] [CrossRef] [PubMed]
- Przybylska, A.; Gackowski, M.; Koba, M. Application of Capillary Electrophoresis to the Analysis of Bioactive Compounds in Herbal Raw Materials. Molecules 2021, 26, 2135. [Google Scholar] [CrossRef] [PubMed]
- Segura-Carretero, A.; Puertas-Mejía, M.A.; Cortacero-Ramírez, S.; Beltrán, R.; Alonso-Villaverde, C.; Joven, J.; Dinelli, G.; Fernández-Gutiérrez, A. Selective Extraction, Separation, and Identification of Anthocyanins from Hibiscus sabdariffa L. Using Solid Phase Extraction-Capillary Electrophoresis-Mass Spectrometry (Time-of-Flight/Ion Trap). Electrophoresis 2008, 29, 2852–2861. [Google Scholar] [CrossRef] [PubMed]
- Escribano-Bailón, M.T.; Santos-Buelga, C.; Rivas-Gonzalo, J.C. Anthocyanins in Cereals. J. Chromatogr. A 2004, 1054, 129–141. [Google Scholar] [CrossRef]
- Wang, J.; Sporns, P. Analysis of Anthocyanins in Red Wine and Fruit Juice Using MALDI-MS. J. Agric. Food Chem. 1999, 47, 2009–2015. [Google Scholar] [CrossRef] [PubMed]
- Ivanova Petropulos, V.; Dörnyei, Á.; Stefova, M.; Stafilov, T.; Vojnoski, B.; Márk, L.; Hermosín-Gutiérrez, I.; Kilár, F. Application of a Novel Small-Scale Sample Cleanup Procedure Prior to MALDI-TOF-MS for Rapid Pigment Fingerprinting of Red Wines. Food Anal. Methods 2014, 7, 820–827. [Google Scholar] [CrossRef]
- Enomoto, H. Mass Spectrometry Imaging of Flavonols and Ellagic Acid Glycosides in Ripe Strawberry Fruit. Molecules 2020, 25, 4600. [Google Scholar] [CrossRef] [PubMed]
- Castañeda-Ovando, A.; Sedo, O.; Havel, J.; Pacheco, L.; Andrés Galán-Vidal, C.; Contreras López, E. Identification of Anthocyanins in Red Grape, Plum and Capulin by MALDI-ToF MS Article. J. Mex. Chem. Soc. 2012, 56, 378–383. [Google Scholar] [CrossRef]
- Castañeda-Ovando, A.; Galán-Vidal, C.A.; Pacheco, L.; Rodriguez, J.A.; Paez-Hernandez, M.E. Characterization of Main Anthocyanins Extracted from Pericarp Blue Corn by MALDI-ToF MS. Food Anal. Methods 2010, 3, 12–16. [Google Scholar] [CrossRef]
- Castañeda-Ovando, A.; Pacheco-Hernández, M. de L.; Páez-Hernández, M.E.; Rodríguez, J.A.; Galán-Vidal, C.A. Chemical Studies of Anthocyanins: A Review. Food Chem. 2009, 113, 859–871. [Google Scholar] [CrossRef]
- Reiersen, B.; Kiremire, B.T.; Byamukama, R.; Andersen, Ø.M. Anthocyanins Acylated with Gallic Acid from Chenille Plant, Acalypha Hispida. Phytochem 2003, 64, 867–871. [Google Scholar] [CrossRef]
- Saito, T.; Honma, D.; Tagashira, M.; Kanda, T.; Nesumi, A.; Maeda-Yamamoto, M. Anthocyanins from New Red Leaf Tea “Sunrouge”. J. Agric. Food Chem. 2011, 59, 4779–4782. [Google Scholar] [CrossRef] [PubMed]
- Mateus, N.; Silva, A.M.S.; Santos-Buelga, C.; Rivas-Gonzalo, J.C.; De Freitas, V. Identification of Anthocyanin-Flavanol Pigments in Red Wines by NMR and Mass Spectrometry. J. Agric. Food Chem. 2002, 50, 2110–2116. [Google Scholar] [CrossRef] [PubMed]
- Giusti, M.M.; Ghanadan, H.; Wrolstad, R.E. Elucidation of the Structure and Conformation of Red Radish (Raphanus sativus) Anthocyanins Using One- and Two-Dimensional Nuclear Magnetic Resonance Techniques. J. Agric. Food Chem. 1998, 46, 4858–4863. [Google Scholar] [CrossRef]
- Acevedo De la Cruz, A.; Hilbert, G.; Rivière, C.; Mengin, V.; Ollat, N.; Bordenave, L.; Decroocq, S.; Delaunay, J.C.; Delrot, S.; Mérillon, J.M.; et al. Anthocyanin Identification and Composition of Wild vitis spp. Accessions by Using LC-MS and LC-NMR. Anal. Chim. Acta 2012, 732, 145–152. [Google Scholar] [CrossRef] [PubMed]
- Koch, C.; Dreavă, D.-M.; Todea, A.; Péter, F.; Medeleanu, M.; Păușescu, I.; Samoilă, C.; Sîrbu, I.O. Synthesis, Characterization, and Antiproliferative Properties of New Bio-Inspired Xanthylium Derivatives. Molecules 2023, 28, 1102. [Google Scholar] [CrossRef]
- Saha, S.; Singh, J.; Paul, A.; Sarkar, R.; Khan, Z.; Banerjee, K. Anthocyanin Profiling Using UV-Vis Spectroscopy and Liquid Chromatography Mass Spectrometry. J. AOAC Int. 2021, 103, 23–39. [Google Scholar] [CrossRef]
- Liu, S.; Ma, C.; Zhang, Y.; Wang, Y.; Tian, J.; Li, B.; Zhao, J. Different Processing Methods on Anthocyanin Composition and Antioxidant Capacity in Blueberry Juice: Based on Metabolomics and DFT Analysis. eFood 2024, 5, e131. [Google Scholar] [CrossRef]
- Hu, M.; Du, J.; Du, L.; Luo, Q.; Xiong, J. Anti-Fatigue Activity of Purified Anthocyanins Prepared from Purple Passion Fruit (P. edulis Sim) Epicarp in Mice. J. Funct. Foods 2020, 65, 103725. [Google Scholar] [CrossRef]
- Shi, N.; Chen, X.; Chen, T. Anthocyanins in Colorectal Cancer Prevention Review. Antioxidants 2021, 10, 1600. [Google Scholar] [CrossRef]
- Lin, B.-W.; Gong, C.-C.; Song, H.-F.; Cui, Y.-Y. Effects of Anthocyanins on the Prevention and Treatment of Cancer. Br. J. Pharmacol. 2017, 174, 1226–1243. [Google Scholar] [CrossRef] [PubMed]
- Salehi, B.; Sharifi-Rad, J.; Cappellini, F.; Reiner, Z.; Zorzan, D.; Imran, M.; Sener, B.; Kilic, M.; El-Shazly, M.; Fahmy, N.M.; et al. The Therapeutic Potential of Anthocyanins: Current Approaches Based on Their Molecular Mechanism of Action. Front. Pharmacol. 2020, 11, 1300. [Google Scholar] [CrossRef] [PubMed]
- Dini, C.; Zaro, M.J.; Viña, S.Z. Bioactivity and Functionality of Anthocyanins: A Review. Curr. Bioact. Compd. 2018, 15, 507–523. [Google Scholar] [CrossRef]
- Vendrame, S.; Klimis-Zacas, D. Anti-Inflammatory Effect of Anthocyanins via Modulation of Nuclear Factor-ΚB and Mitogen-Activated Protein Kinase Signaling Cascades. Nutr. Rev. 2015, 73, 348–358. [Google Scholar] [CrossRef] [PubMed]
- Tsuda, T.; Shigu, K.; Ohhim, K.; Kuwakishi, S.; Osuwu, T. Inhibition of Lipid Peroxidation and the Active Oxygen Radical Scavenging Effect of Anthocyanin Pigments Isolated from Phaseoks vulgaris L. Biochem. Pharmacol. 1996, 52, 1033–1039. [Google Scholar] [CrossRef]
- Krikorian, R.; Shidler, M.D.; Nash, T.A.; Kalt, W.; Vinqvist-Tymchuk, M.R.; Shukitt-Hale, B.; Joseph, J.A. Blueberry Supplementation Improves Memory in Older Adults. J. Agric. Food Chem. 2010, 58, 3996–4000. [Google Scholar] [CrossRef] [PubMed]
- Rimm, E.B.; Usa, E.; Giovannucci, E.L.; Willett, W.C.; Colditz, G.A.; Ascherio, A.; Rosner, B.; Stampfer, M.J. Prospective Study of Alcohol Consumption and Risk of Coronary Disease in Men. Lancet J. 1991, 338, 464–468. [Google Scholar] [CrossRef]
- Tian, C.; Burgess, K. Flavylium- and Silylrhodapolymethines In Excitation Multiplexing. ChemPhotoChem 2021, 5, 702–704. [Google Scholar] [CrossRef]
- Kimble, R.; Keane, K.M.; Lodge, J.K.; Cheung, W.; Haskell-Ramsay, C.F.; Howatson, G. Polyphenol-Rich Tart Cherries (Prunus cerasus, Cv Montmorency) Improve Sustained Attention, Feelings of Alertness and Mental Fatigue and Influence the Plasma Metabolome in Middle-Aged Adults: A Randomised, Placebo-Controlled Trial. Br. J. Nutr. 2022, 128, 2409–2420. [Google Scholar] [CrossRef]
- Correia, P.; Araújo, P.; Plácido, A.; Pereira, A.R.; Bessa, L.J.; Mateus, N.; de Freitas, V.; Oliveira, J.; Fernandes, I. Light-Activated Amino-Substituted Dyes as Dual-Action Antibacterial Agents: Bio-Efficacy and AFM Evaluation. Dye. Pigment. 2024, 224, 111975. [Google Scholar] [CrossRef]
- Les, F.; Cásedas, G.; Gómez, C.; Moliner, C.; Valero, M.S.; López, V. The Role of Anthocyanins as Antidiabetic Agents: From Molecular Mechanisms to in Vivo and Human Studies. J. Physiol. Biochem. 2021, 77, 109–131. [Google Scholar] [CrossRef] [PubMed]
- Karkute, S.G.; Koley, T.K.; Yengkhom, B.K.; Tripathi, A.; Srivastava, S.; Maurya, A.; Singh, B. Anti-Diabetic Phenolic Compounds of Black Carrot (Daucus carota Subspecies Sativus Var. Atrorubens Alef.) Inhibit Enzymes of Glucose Metabolism: An in Silico and in Vitro Validation. Med. Chem. 2018, 14, 641–649. [Google Scholar] [CrossRef] [PubMed]
- Cásedas, G.; Les, F.; Gómez-Serranillos, M.P.; Smith, C.; López, V. Bioactive and Functional Properties of Sour Cherry Juice (Prunus cerasus). Food Funct. 2016, 7, 4675–4682. [Google Scholar] [CrossRef] [PubMed]
- Cásedas, G.; Les, F.; Gómez-Serranillos, M.P.; Smith, C.; López, V. Anthocyanin Profile, Antioxidant Activity and Enzyme Inhibiting Properties of Blueberry and Cranberry Juices: A Comparative Study. Food Funct. 2017, 8, 4187–4193. [Google Scholar] [CrossRef]
- Johnson, M.H.; Gonzalez De Mejia, E. Phenolic Compounds from Fermented Berry Beverages Gene and Protein Expression to Increase Secretion from Pancreatic β-Cells in Vitro. J. Agric. Food Chem. 2016, 64, 2569–2581. [Google Scholar] [CrossRef] [PubMed]
- Takikawa, M.; Inoue, S.; Horio, F.; Tsuda, T. Dietary Anthocyanin-Rich Bilberry Extract Ameliorates Hyperglycemia and Insulin Sensitivity via Activation of AMP-Activated Protein Kinase in Diabetic Mice. J. Nutr. 2010, 140, 527–533. [Google Scholar] [CrossRef]
- Guo, W.; Mehrparvar, S.; Hou, W.; Pan, J.; Aghbashlo, M.; Tabatabaei, M.; Rajaei, A. Unveiling the Impact of High-Pressure Processing on Anthocyanin-Protein/Polysaccharide Interactions: A Comprehensive Review. Int. J. Biol. Macromol. 2024, 270, 132042. [Google Scholar] [CrossRef]
- Martín, J.; Navas, M.J.; Jiménez-Moreno, A.M.; Asuero, A.G. Anthocyanin Pigments: Importance, Sample Preparation and Extraction. In Phenolic Compounds—Natural Sources, Importance and Applications; Soto-Hernández, M., Palma-Tenango, M., Garcia-Mateos, R., Eds.; InTech Open: London, UK, 2017. [Google Scholar] [CrossRef]
- Pojer, E.; Mattivi, F.; Johnson, D.; Stockley, C.S. The Case for Anthocyanin Consumption to Promote Human Health: A Review. Compr. Rev. Food Sci. Food Saf. 2013, 12, 483–508. [Google Scholar] [CrossRef]
- Liu, Y.; Wang, J.; Liu, J.; Banis, M.N.; Xiao, B.; Lushington, A.; Xiao, W.; Li, R.; Sham, T.K.; Liang, G.; et al. Origin of Phase Inhomogeneity in Lithium Iron Phosphate during Carbon Coating. Nano Energy 2018, 45, 52–60. [Google Scholar] [CrossRef]
- Cruz, L.; Guimarães, M.; Araújo, P.; Évora, A.; De Freitas, V.; Mateus, N. Malvidin 3-Glucoside-Fatty Acid Conjugates: From Hydrophilic toward Novel Lipophilic Derivatives. J. Agric. Food Chem. 2017, 65, 6513–6518. [Google Scholar] [CrossRef] [PubMed]
- Barbagallo, R.N.; Palmeri, R.; Fabiano, S.; Rapisarda, P.; Spagna, G. Characteristic of β-Glucosidase from Sicilian Blood Oranges in Relation to Anthocyanin Degradation. Enzym. Microb. Technol. 2007, 41, 570–575. [Google Scholar] [CrossRef]
- Steyn, W.J.; Wand, S.J.E.; Holcroft, D.M.; Jacobs, G. Anthocyanins in Vegetative Tissues: A Proposed Unified Function in Photoprotection. New Phytol. 2002, 155, 349–361. [Google Scholar] [CrossRef] [PubMed]
- Zhang, Y.; Seeram, N.P.; Lee, R.; Feng, L.; Heber, D. Isolation and Identification of Strawberry Phenolics with Antioxidant and Human Cancer Cell Antiproliferative Properties. J. Agric. Food Chem. 2008, 56, 670–675. [Google Scholar] [CrossRef] [PubMed]
- Mohammadi, N.; Franchin, M.; Girotto Pressete, C.; Maria Greggi Antunes, L.; Granato, D. Green Recovery and Application of Berry Anthocyanins in Functional Gummies: Stability Study, Plasma and Cellular Antioxidant and Anti-Inflammatory Activity. Food Res. Int. 2024, 196, 115128. [Google Scholar] [CrossRef]
- Zang, J.; Xiao, P.; Liu, Z.; Liu, Y.; Zhang, Q.; Chen, J.; Yin, Z. Preparation and Characterization of W/O/W Purple Potato Anthocyanin Nanoparticles: Antioxidant Effects and Gut Microbiota Improvement in Rats. J. Food Sci. 2024; Online ahead of print. [Google Scholar] [CrossRef]
- Jiang, Y.; Qi, Z.; Li, J.; Gao, J.; Xie, Y.; Henry, C.J.; Zhou, W. Role of Superfine Grinding in Purple-Whole-Wheat Flour. Part I: Impacts of Size Reduction on Anthocyanin Profile, Physicochemical and Antioxidant Properties. LWT 2024, 197, 115940. [Google Scholar] [CrossRef]
- Li, X.; Wang, Y.; Jiang, Y.; Liu, C.; Zhang, W.; Chen, W.; Tian, L.; Sun, J.; Lai, C.; Bai, W. Microencapsulation with Fructooligosaccharides and Whey Protein Enhances the Antioxidant Activity of Anthocyanins and Their Ability to Modulate Gut Microbiota in Vitro. Food Res. Int. 2024, 181, 114082. [Google Scholar] [CrossRef]
- Uto-Kondo, H.; Naito, Y.; Ichikawa, M.; Nakata, R.; Hagiwara, A.; Kotani, K. Antioxidant Activity, Total Polyphenol, Anthocyanin and Benzyl-Glucosinolate Contents in Different Phenotypes and Portion of Japanese Maca (Lepidium meyenii). Heliyon 2024, 10, e32778. [Google Scholar] [CrossRef]
- Rodríguez-Aguilar, F.; Ortega-Regules, A.E.; Ramírez-Rodrigues, M.M. Influence of Time-Temperature in the Antioxidant Activity, Anthocyanin and Polyphenols Profile, and Color of Ardisia compressa K. Extracts, with the Addition of Sucrose or Citric Acid. Food Chem. 2024, 440, 138181. [Google Scholar] [CrossRef] [PubMed]
- Shiau, S.-Y.; Wang, Y.; Yu, Y.; Cai, S.; Liu, Q. Phytochemical, Antioxidant Activity, and Thermal Stability of Clitoria Ternatea Flower Extracts. Czech J. Food Sci. 2024, 42, 284–294. [Google Scholar] [CrossRef]
- Ayseli, M.T.; Agcam, E.; Akyildiz, A.; Dundar, B.; Coskun, I.; Cetinkaya, T. Effect of Gamma Irradiation and Electrospinning Applications on the Physicochemical, Antioxidant, and Molecular Properties of Anthocyanin Colorant Obtained from Black Carrot Pomace. Innov. Food Sci. Emerg. Technol. 2024, 94, 103637. [Google Scholar] [CrossRef]
- Moradi, S.; Zamani, Z.; Fatahi, R.; Saba, M.K.; Paliaga, S.; Laudicina, V.A.; Inglese, P.; Liguori, G. Fruit Quality, Antioxidant, and Mineral Attributes of Pomegranate Cv. Ghojagh, Influenced by Shading and Spray Applications of Potassium Sulfate and Sodium Silicate. Sci. Rep. 2024, 14, 14831. [Google Scholar] [CrossRef] [PubMed]
- Taghizadeh, M.; Jalili, S. Phytochemical Content, Antioxidant Properties, and Antibacterial Activities of Centella asiatica L. Nat. Prod. Res. 2024, 38, 3693–3698. [Google Scholar] [CrossRef] [PubMed]
- Ali, U.; Kumari, A.; Sharma, A.; Yadav, M.; Kaur, S.; Chaudhary, E.; Sheoran, B.; Tiwari, V.; Tiwari, A.; Singh, P.; et al. Evaluation of Anthocyanin-Enriched Wheat Varieties (Black, Blue, Purple) for Enhanced Antioxidant Content and Premium Biscuit Quality. J. Cereal Sci. 2024, 118, 103957. [Google Scholar] [CrossRef]
- Simionescu, N.; Petrovici, A.-R. Enhancing the Antioxidant Potential of Weissella Confusa PP29 Probiotic Media through Incorporation of Hibiscus sabdariffa L. Anthocyanin Extract. Antioxidants 2024, 13, 165. [Google Scholar] [CrossRef] [PubMed]
- de Moura, C.; Vieira do Carmo, M.A.; Xu, Y.-Q.; Azevedo, L.; Granato, D. Anthocyanin-Rich Extract from Purple Tea: Chemical Stability, Cellular Antioxidant Activity, and Protection of Human Plasma. Curr. Res. Food Sci. 2024, 8, 100701. [Google Scholar] [CrossRef] [PubMed]
- Domínguez, I.; Romero, I.; Teresa Sanchez-Ballesta, M.; Isabel Escribano, M.; Merodio, C.; Doménech-Carbó, A. Electrochemistry of Lyophilized Blueberry and Raspberry Samples: ROS Activation of the Antioxidant Ability of Anthocyanins. Food Chem. 2024, 435, 137649. [Google Scholar] [CrossRef]
- Dong, R.; Huang, Z.; Ma, W.; Yu, Q.; Xie, J.; Tian, J.; Li, B.; Shan, J.; Chen, Y. Fabrication of Nanocomplexes for Anthocyanins Delivery by Ovalbumin and Differently Dense Sulphate Half-Ester Polysaccharides Nanocarriers: Enhanced Stability, Bio-Accessibility, and Antioxidant Properties. Food Chem. 2024, 432, 137263. [Google Scholar] [CrossRef] [PubMed]
- Wang, Z.; Zhang, Y.; Tu, Z.; Yu, C.; Liu, R.; Deng, Z.; Luo, T. The Degradation and Antioxidant Capacity of Anthocyanins from Eggplant Peels in the Context of Complex Food System under Thermal Processing. Food Biosci. 2024, 59, 103914. [Google Scholar] [CrossRef]
- Akbulut, M.; Çoklar, H.; Bulut, A.N.; Hosseini, S.R. Evaluation of Black Grape Pomace, a Fruit Juice by-Product, in Shalgam Juice Production: Effect on Phenolic Compounds, Anthocyanins, Resveratrol, Tannin, and in Vitro Antioxidant Activity. Food Sci. Nutr. 2024, 12, 4372–4384. [Google Scholar] [CrossRef] [PubMed]
- Zhao, Y.; Sun, J.; Liu, Y.; Zhang, X.; Cao, Y.; Zheng, B.; Zhang, R.-X.; Zhao, C.; Ai, X.; He, H.; et al. Metabolic Basis for Superior Antioxidant Capacity of Red-Fleshed Peaches. Food Chem. X 2024, 23, 101698. [Google Scholar] [CrossRef]
- Bao, Y.; Yang, X.; Li, J.; Li, Z.; Cheng, Z.; Wang, M.; Li, Z.; Si, X.; Li, B. Structural Homeostasis and Controlled Release for Anthocyanin in Oral Film via Sulfated Polysaccharides Complexation. Int. J. Biol. Macromol. 2024, 256, 128473. [Google Scholar] [CrossRef]
- Silva, J.D.R.; Arruda, H.S.; Andrade, A.C.; Berilli, P.; Borsoi, F.T.; Monroy, Y.M.; Rodrigues, M.V.N.; Sampaio, K.A.; Pastore, G.M.; Marostica Junior, M.R. Eugenia calycina and Eugenia stigmatosa as Promising Sources of Antioxidant Phenolic Compounds. Plants 2024, 13, 2039. [Google Scholar] [CrossRef] [PubMed]
- Sun, J.; Wei, Z.; Xue, C. Porous Gelatin Microspheres for High Loading and Improved Stability of Anthocyanins: Serving as Antioxidant Factors and Food Freshness Indicators. Food Hydrocoll. 2024, 148, 109494. [Google Scholar] [CrossRef]
- Abdelrahman, K.N.; Abdel Ghany, A.G.A.; Saber, R.A.; Osman, A.; Sitohy, B.; Sitohy, M. Anthocyanins from Pomegranate Peel (Punica Granatum), Chili Pepper Fruit (Capsicum annuum), and Bougainvillea Flowers (Bougainvillea spectabilis) with Multiple Biofunctions: Antibacterial, Antioxidant, and Anticancer. Heliyon 2024, 10, e32222. [Google Scholar] [CrossRef]
- Saini, R.K.; Khan, M.I.; Shang, X.; Kumar, V.; Kumari, V.; Kesarwani, A.; Ko, E.Y. Dietary Sources, Stabilization, Health Benefits, and Industrial Application of Anthocyanins—A Review. Foods 2024, 13, 1227. [Google Scholar] [CrossRef]
- Sadowska-Bartosz, I.; Bartosz, G. Antioxidant Activity of Anthocyanins and Anthocyanidins: A Critical Review. Int. J. Mol. Sci. 2024, 25, 12001. [Google Scholar] [CrossRef] [PubMed]
- Lakshmikanthan, M.; Muthu, S.; Krishnan, K.; Altemimi, A.B.; Haider, N.N.; Govindan, L.; Selvakumari, J.; Alkanan,, Z.T.; Cacciola, F.; Francis, Y.M. A Comprehensive Review on Anthocyanin-Rich Foods: Insights into Extraction, Medicinal Potential, and Sustainable Applications. J. Agric. Food Res. 2024, 17, 101245. [Google Scholar] [CrossRef]
- Tena, N.; Martín, J.; Asuero, A.G. State of the Art of Anthocyanins: Antioxidant Activity, Sources, Bioavailability, and Therapeutic Effect in Human Health. Antioxidants 2020, 9, 451. [Google Scholar] [CrossRef]
- Tian, Z.; Li, K.; Fan, D.; Zhao, Y.; Gao, X.; Ma, X.; Xu, L.; Shi, Y.; Ya, F.; Zou, J.; et al. Dose-Dependent Effects of Anthocyanin Supplementation on Platelet Function in Subjects with Dyslipidemia: A Randomized Clinical Trial. EBioMedicine 2021, 70, 103533. [Google Scholar] [CrossRef] [PubMed]
- Correia, P.; Araújo, P.; Ribeiro, C.; Oliveira, H.; Pereira, A.R.; Mateus, N.; de Freitas, V.; Brás, N.F.; Gameiro, P.; Coelho, P.; et al. Anthocyanin-Related Pigments: Natural Allies for Skin Health Maintenance and Protection. Antioxidants 2021, 10, 1038. [Google Scholar] [CrossRef] [PubMed]
- Yoshimoto, M.; Okuno, S.; Yoshinaga, M.; Yamakawa, O.; Yamaguchi, M.; Yamada, J. Antimutagenicity of Sweetpotato (Ipomoea batatas) Roots. Biosci. Biotechnol. Biochem. 1999, 63, 537–541. [Google Scholar] [CrossRef] [PubMed]
- Hui, C.; Yu, B.; Yu, X.; Yi, L.; Chen, C.; Mi, M.; Ling, W. Anticancer Activities of an Anthocyanin-Rich Extract from Black Rice against Breast Cancer Cells in Vitro and in Vivo. Nutr. Cancer 2010, 62, 1128–1136. [Google Scholar] [CrossRef] [PubMed]
- Giusti, M.M.; Wrolstad, R.E. Acylated Anthocyanins from Edible Sources and Their Applications in Food Systems. Biochem. Eng. J. 2003, 14, 217–225. [Google Scholar] [CrossRef]
- Maner, S.; Sharma, A.K.; Banerjee, K. Wheat Flour Replacement by Wine Grape Pomace Powder Positively Affects Physical, Functional and Sensory Properties of Cookies. Proc. Nat. Acad. Sci. India Sect. B—Biol. Sci. 2017, 87, 109–113. [Google Scholar] [CrossRef]
- López, C.J.; Caleja, C.; Prieto, M.A.; Sokovic, M.; Calhelha, R.C.; Barros, L.; Ferreira, I.C.F.R. Stability of a Cyanidin-3-O-Glucoside Extract Obtained from Arbutus unedo L. and Incorporation into Wafers for Colouring Purposes. Food Chem. 2019, 275, 426–438. [Google Scholar] [CrossRef] [PubMed]
- Albuquerque, B.R.; Pinela, J.; Barros, L.; Oliveira, M.B.P.P.; Ferreira, I.C.F.R. Anthocyanin-Rich Extract of Jabuticaba Epicarp as a Natural Colorant: Optimization of Heat- and Ultrasound-Assisted Extractions and Application in a Bakery Product. Food Chem. 2020, 316, 126364. [Google Scholar] [CrossRef] [PubMed]
- Chayavanich, K.; Thiraphibundet, P.; Imyim, A. Biocompatible Film Sensors Containing Red Radish Extract for Meat Spoilage Observation. Spectrochim. Acta A Mol. Biomol. Spectrosc. 2020, 226, 117601. [Google Scholar] [CrossRef] [PubMed]
- Jiang, G.; Hou, X.; Zeng, X.; Zhang, C.; Wu, H.; Shen, G.; Li, S.; Luo, Q.; Li, M.; Liu, X.; et al. Preparation and Characterization of Indicator Films from Carboxymethyl-Cellulose/Starch and Purple Sweet Potato (Ipomoea batatas (L.) Lam) Anthocyanins for Monitoring Fish Freshness. Int. J. Biol. Macromol. 2020, 143, 359–372. [Google Scholar] [CrossRef] [PubMed]
- Zhai, X.; Li, Z.; Zhang, J.; Shi, J.; Zou, X.; Huang, X.; Zhang, D.; Sun, Y.; Yang, Z.; Holmes, M.; et al. Natural Biomaterial-Based Edible and PH-Sensitive Films Combined with Electrochemical Writing for Intelligent Food Packaging. J. Agric. Food Chem. 2018, 66, 12836–12846. [Google Scholar] [CrossRef] [PubMed]
- Mustafa, P.; Niazi, M.B.K.; Jahan, Z.; Samin, G.; Hussain, A.; Ahmed, T.; Naqvi, S.R. PVA/Starch/Propolis/Anthocyanins Rosemary Extract Composite Films as Active and Intelligent Food Packaging Materials. J. Food Saf. 2020, 40, e12725. [Google Scholar] [CrossRef]
- Pirsa, S.; Karimi Sani, I.; Pirouzifard, M.K.; Erfani, A. Smart Film Based on Chitosan/Melissa Officinalis Essences/ Pomegranate Peel Extract to Detect Cream Cheeses Spoilage. Food Addit. Contam. Part A 2020, 37, 634–648. [Google Scholar] [CrossRef]
- Mohammadalinejhad, S.; Almasi, H.; Moradi, M. Immobilization of Echium Amoenum Anthocyanins into Bacterial Cellulose Film: A Novel Colorimetric PH Indicator for Freshness/Spoilage Monitoring of Shrimp. Food Control 2020, 113, 107169. [Google Scholar] [CrossRef]
- Akhtar, N.; Khan, H.M.S.; Ashraf, S.; Mohammad, I.S.; Ali, A. Skin Depigmentation Activity of Crocus sativus Extract Cream. Trop. J. Pharm. Res. 2014, 13, 1803–1808. [Google Scholar] [CrossRef]
- Golmohammadzadeh, S.; Imani, F.; Hosseinzadeh, H.; Jaafari, M.R. Preparation, Characterization and Evaluation of Sun Protective and Moisturizing Effects of Nanoliposomes Containing Safranal. Iran. J. Basic Med. Sci. 2011, 14, 521–533. [Google Scholar] [CrossRef]
- Ahmad, I.; Shamsi, S.; Zaman, R. A Review on Sour Cherry (Prunus cerasus): A High Value Unani Medicinal Fruit. Int. J. Green Pharm. 2017, 11, 1–6. [Google Scholar] [CrossRef]
- Yadav, R.; Singh, V.K.; Akbar, Z. A Review on Phytochemical and Pharmacological Activities of Prunus cerasus. YMER 2024, 23, 330–339. [Google Scholar]
- Sim, Y.Y.; Nyam, K.L. Application of Hibiscus cannabinus L. (Kenaf) Leaves Extract as Skin Whitening and Anti-Aging Agents in Natural Cosmetic Prototype. Ind. Crops Prod. 2021, 167, 113491. [Google Scholar] [CrossRef]
- Inman, C.; Lourith, N.; Kanlayavattanakul, M. Alternative Application Approach on Black Bean: Hair Coloring Product. Chem. Biol. Technol. Agric. 2020, 7, 2. [Google Scholar] [CrossRef]
- Setyawaty, R.; Pratama, M.R. The Usage of Jati Leaves Extract (Tectona grandis L.f) as Color of Lipstick. Maj. Obat Tradis. 2018, 23, 16–22. [Google Scholar] [CrossRef]
- Lwin, T.; Myint, C.Y.; Win, H.H.; Oo, W.W.; Chit, K. Formulation and Evaluation of Lipstick with Betacyanin Pigment of Hylocereus polyrhizus (Red Dragon Fruit). J. Cosmet. Dermatol. Sci. Appl. 2020, 10, 212–224. [Google Scholar] [CrossRef]
- Lourith, N.; Kanlayavattanakul, M. Sustainable Approach to Natural Makeup Cosmetics Containing Microencapsulated Butterfly Pea Anthocyanins. Sustain. Chem. Pharm. 2023, 32, 101005. [Google Scholar] [CrossRef]
- Rose, P.M.; Cantrill, V.; Benohoud, M.; Tidder, A.; Rayner, C.M.; Blackburn, R.S. Application of Anthocyanins from Blackcurrant (Ribes nigrum L.) Fruit Waste as Renewable Hair Dyes. J. Agric. Food Chem. 2018, 66, 6790–6798. [Google Scholar] [CrossRef] [PubMed]
- Chan, C.-F.; Lien, C.-Y.; Lai, Y.-C.; Huang, C.-L.; Liao, W.C. Influence of Purple Sweet Potato Extracts on the UV Absorption Properties of a Cosmetic Cream. J. Cosmet. Sci. 2010, 61, 333–341. [Google Scholar]
- Westfall, A.; Sigurdson, G.T.; Giusti, M.M. Antioxidant, UV Protection, and Antiphotoaging Properties of Anthocyanin-Pigmented Lipstick Formulations. J. Cosmet. Sci. 2019, 70, 63–76. [Google Scholar] [PubMed]
- Snigur, D.; Barbalat, D.; Chebotarev, A.; Synievyd, A.; Bevziuk, K. A Rapid Cloud Point Extraction of Molybdenum(VI) with 6,7-Dihydroxy-2,4-Diphenylbenzopyrylium Perchlorate Prior to Its Spectrophotometric Determination. Chem. Pap. 2021, 75, 1823–1830. [Google Scholar] [CrossRef]
- Snigur, D.; Duboviy, V.; Barbalat, D.; Zhukovetska, O.; Chebotarev, A.; Bevziuk, K. A Rapid Room-Temperature Cloud Point Extraction for Spectrophotometric Determination of Copper (II) with 6,7-Dihydroxy-2,4-Diphenylbenzopyrylium Chloride. Anal. Sci. 2022, 38, 949–954. [Google Scholar] [CrossRef]
- Cheng, X.; Feng, B.; Chen, F.; Huang, S.; Zhang, S.; Gao, F.; Zeng, W. Development of a Water-Soluble Fluorescent Probe Based on Natural Flavylium for Mercury(II) Ion Detection and Clinical Antidote Evaluation. J. Agric. Food Chem. 2023, 71, 13263–13269. [Google Scholar] [CrossRef] [PubMed]
- Ren, T.; Xu, W.; Jin, F.; Cheng, D.; Zhang, L.; Yuan, L.; Zhang, X. Rational Engineering of Bioinspired Anthocyanidin Fluorophores with Excellent Two-Photon Properties for Sensing and Imaging. Anal. Chem. 2017, 89, 11427–11434. [Google Scholar] [CrossRef]
- Gomes, L.J.; Carrilho, J.P.; Pereira, P.M.; Moro, A.J. A Near InfraRed Emissive Chemosensor for Zn2+ and Phosphate Derivatives Based on a Di-(2-Picolyl)Amine-Styrylflavylium Push-Pull Fluorophore. Sensors 2023, 23, 471. [Google Scholar] [CrossRef] [PubMed]
- Wang, Q.; Wang, P.; Xiao, Y.; Feng, S.; Zhang, G.; Gong, Y. An Asymmetrical Flavylium Based Probe with Large Stokes Shift and near Infrared Emission for Highly Sensitive Detecting and Visualizing Cellular Drug Induced H2S Fluctuations. Talanta 2024, 271, 125734. [Google Scholar] [CrossRef]
- Galindo, F.; Lima, J.C.; Luis, S.V.; Melo, M.J.; Jorge Parola, A.; Pina, F. Water/Humidity and Ammonia Sensor, Based on a Polymer Hydrogel Matrix Containing a Fluorescent Flavylium Compound. J. Mater. Chem. 2005, 15, 2840–2847. [Google Scholar] [CrossRef]
- Gomes, V.; Pires, A.S.; Mateus, N.; de Freitas, V.; Cruz, L. Pyranoflavylium-Cellulose Acetate Films and the Glycerol Effect towards the Development of PH-Freshness Smart Label for Food Packaging. Food Hydrocoll. 2022, 127, 107501. [Google Scholar] [CrossRef]
- Gomes, V.; Bermudez, R.; Mateus, N.; Guedes, A.; Lorenzo, J.M.; de Freitas, V.; Cruz, L. FoodSmarTag: An Innovative Dynamic Labeling System Based on Pyranoflavylium-Based Colorimetric Films for Real-Time Monitoring of Food Freshness. Food Hydrocoll. 2023, 143, 108914. [Google Scholar] [CrossRef]
Disclaimer/Publisher’s Note: The statements, opinions and data contained in all publications are solely those of the individual author(s) and contributor(s) and not of MDPI and/or the editor(s). MDPI and/or the editor(s) disclaim responsibility for any injury to people or property resulting from any ideas, methods, instructions or products referred to in the content. |
© 2024 by the authors. Licensee MDPI, Basel, Switzerland. This article is an open access article distributed under the terms and conditions of the Creative Commons Attribution (CC BY) license (https://creativecommons.org/licenses/by/4.0/).


















