Study of the Effect of Methyl Eugenol on Gastric Damage Produced by Spinal Cord Injury Model in the Rat
Abstract
1. Introduction
2. Results
2.1. Gastroprotective Activity
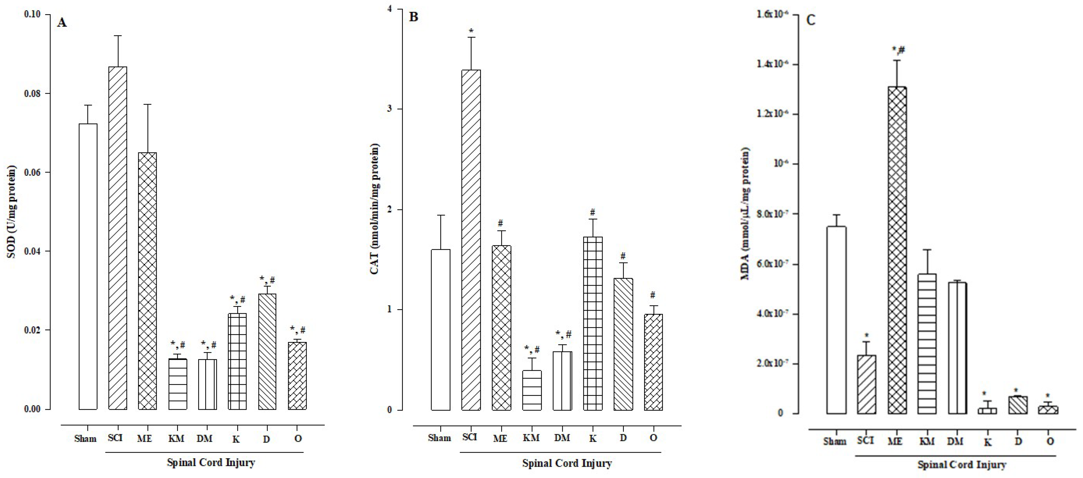
2.2. Antioxidant Activity
2.3. Histological Analysis
3. Discussion
4. Materials and Methods
4.1. Drugs
4.2. Animals
4.3. Transection of the Spinal Cord
4.4. Evaluation of the Gastroprotective Activity of Methyl Eugenol
4.5. Determination of Antioxidant Activity
4.6. Histology
4.7. Statistical Analysis
5. Conclusions
Author Contributions
Funding
Institutional Review Board Statement
Informed Consent Statement
Data Availability Statement
Conflicts of Interest
References
- van der Vlegel, M.; Haagsma, J.A.; Havermans, R.J.M.; de Munter, L.; de Jongh, M.A.C.; Polinder, S. Long-term medical and productivity costs of severe trauma: Results from a prospective cohort study. PLoS ONE 2021, 16, e0252673. [Google Scholar] [CrossRef] [PubMed]
- Hamid, R.; Averbeck, M.A.; Chiang, H.; Garcia, A.; Al Mousa, R.T.; Oh, S.J.; Patel, A.; Plata, M.; Del Popolo, G. Epidemiology and pathophysiology of neurogenic bladder after spinal cord injury. World J. Urol. 2018, 36, 1517–1527. [Google Scholar] [CrossRef]
- Polinder, S.; Haagsma, J.; Panneman, M.; Scholten, A.; Brugmans, M.; Van Beeck, E. The economic burden of injury: Health care and productivity costs of injuries in the Netherlands. Accid. Anal. Prev. 2016, 93, 92–100. [Google Scholar] [CrossRef] [PubMed]
- Sezer, N.; Akkus, S.; Ugurlu, F.G. Chronic complications of spinal cord injury. World J. Orthop. 2015, 6, 24–33. [Google Scholar] [CrossRef] [PubMed]
- Siddall, P.J.; Cousins, M.J.; Otte, A.; Griesing, T.; Chambers, R.; Murphy, T.K. Pregabalin in central neuropathic pain associated with spinal cord injury: A placebo-controlled trial. Neurology 2006, 67, 1792–1800. [Google Scholar] [CrossRef]
- Drini, M. Peptic ulcer disease and non-steroidal anti-inflammatory drugs. Aust. Prescr. 2017, 40, 91–93. [Google Scholar] [CrossRef]
- Leramo, O.B.; Tator, C.H.; Hudson, A.R. Massive gastroduodenal hemorrhage and perforation in acute spinal cord injury. Surg. Neurol. 1982, 17, 186–190. [Google Scholar] [CrossRef]
- More, D.G.; Raper, R.F.; Munro, I.A.; Watson, C.J.; Boutagy, J.S.; Shenfield, G.M. Randomized, prospective trial of cimetidine and ranitidine for control of intragastric pH in the critically ill. Surgery 1985, 97, 215–224. [Google Scholar]
- Abreu Miranda, M.; Lemos, M.; Alves Cowart, K.; Rodenburg, D.; McChesney, J.D.; Radwan, M.M.; Furtado, N.A.; Kenupp Bastos, J. Gastroprotective activity of the hydroethanolic extract and isolated compounds from the leaves of Solanum cernuum Vell. J. Ethnopharmacol. 2015, 172, 421–429. [Google Scholar] [CrossRef]
- Shah, N.H.; LePendu, P.; Bauer-Mehren, A.; Ghebremariam, Y.T.; Iyer, S.V.; Marcus, J.; Nead, K.T.; Cooke, J.P.; Leeper, N.J. Proton Pump Inhibitor Usage and the Risk of Myocardial Infarction in the General Population. PLoS ONE 2015, 10, e0124653. [Google Scholar] [CrossRef]
- Peng, Y.C.; Lin, C.L.; Hsu, W.Y.; Lu, I.T.; Yeh, H.Z.; Chang, C.S.; Kao, C.H. Proton Pump Inhibitor Use is Associated With Risk of Pancreatic Cancer: A Nested Case-Control Study. Dose Response 2018, 16, 1559325818803283. [Google Scholar] [CrossRef] [PubMed]
- Fossmark, R.; Martinsen, T.C.; Waldum, H.L. Adverse Effects of Proton Pump Inhibitors-Evidence and Plausibility. Int. J. Mol. Sci. 2019, 20, 5203. [Google Scholar] [CrossRef] [PubMed]
- Barbiellini Amidei, C.; Salmaso, L.; Bellio, S.; Saia, M. Epidemiology of traumatic spinal cord injury: A large population-based study. Spinal Cord. 2022, 60, 812–819. [Google Scholar] [CrossRef] [PubMed]
- Li, X.; Song, Y.; Yang, Y.; Zhang, G. Buyang Huanwu Decoction promotes the neurological recovery of traumatic spinal cord injury via inhibiting apoptosis, inflammation, and oxidative stress. Immun. Inflamm. Dis. 2023, 11, e933. [Google Scholar] [CrossRef]
- Bailey, J.M. Gastrointestinal Conditions: Peptic Ulcer Disease. FP Essent. 2024, 540, 16–23. [Google Scholar]
- Parks, D.A.; Williams, T.K.; Beckman, J.S. Conversion of xanthine dehydrogenase to oxidase in ischemic rat intestine: A reevaluation. Am. J. Physiol. 1988, 254, G768–G774. [Google Scholar] [CrossRef]
- Sánchez-Mendoza, M.E.; López-Lorenzo, Y.; Cruz-Antonio, L.; Matus-Meza, A.S.; Sánchez-Mendoza, Y.; Arrieta, J. Gastroprotection of Calein D against Ethanol-Induced Gastric Lesions in Mice: Role of Prostaglandins, Nitric Oxide and Sulfhydryls. Molecules 2019, 24, 622. [Google Scholar] [CrossRef]
- Sanchez-Mendoza, M.; Cruz Antonio, L.; Arrieta-Baez, D.; Olivares-Corichi, I.; Rojas-Martinez, R.; Martínez-Cabrera, D.; Jesús, A. Gastroprotective Activity of Methyleugenol from Peperomia hispidula on Ethanol-Induced Gastric Lesions in Rats. Int. J. Pharmacol. 2015, 11, 697. [Google Scholar] [CrossRef]
- De Vincenzi, M.; Silano, M.; Stacchini, P.; Scazzocchio, B. Constituents of aromatic plants: I. Methyleugenol. Fitoterapia 2000, 71, 216–221. [Google Scholar] [CrossRef]
- Gotz, M.E.; Eisenreich, A.; Frenzel, J.; Sachse, B.; Schafer, B. Occurrence of Alkenylbenzenes in Plants: Flavours and Possibly Toxic Plant Metabolites. Plants 2023, 12, 2075. [Google Scholar] [CrossRef]
- Alminderej, F.; Bakari, S.; Almundarij, T.I.; Snoussi, M.; Aouadi, K.; Kadri, A. Antioxidant Activities of a New Chemotype of Piper cubeba L. Fruit Essential Oil (Methyleugenol/Eugenol): In Silico Molecular Docking and ADMET Studies. Plants 2020, 9, 1534. [Google Scholar] [CrossRef] [PubMed]
- Souza-Junior, F.J.C.; Luz-Moraes, D.; Pereira, F.S.; Barros, M.A.; Fernandes, L.M.P.; Queiroz, L.Y.; Maia, C.F.; Maia, J.G.S.; Fontes-Junior, E.A. Aniba canelilla (Kunth) Mez (Lauraceae): A Review of Ethnobotany, Phytochemical, Antioxidant, Anti-Inflammatory, Cardiovascular, and Neurological Properties. Front. Pharmacol. 2020, 11, 699. [Google Scholar] [CrossRef] [PubMed]
- Sell, A.B.; Carlini, E.A. Anesthetic action of methyleugenol and other eugenol derivatives. Pharmacology 1976, 14, 367–377. [Google Scholar] [CrossRef] [PubMed]
- Landeira-Fernandez, J. Analysis of the cold-water restraint procedure in gastric ulceration and body temperature. Physiol. Behav. 2004, 82, 827–833. [Google Scholar] [CrossRef]
- Lu, S.; Wu, D.; Sun, G.; Geng, F.; Shen, Y.; Tan, J.; Sun, X.; Luo, Y. Gastroprotective effects of Kangfuxin against water-immersion and restraint stress-induced gastric ulcer in rats: Roles of antioxidation, anti-inflammation, and pro-survival. Pharm. Biol. 2019, 57, 770–777. [Google Scholar] [CrossRef]
- Kuang, B.C.; Wang, Z.H.; Hou, S.H.; Zhang, J.; Wang, M.Q.; Zhang, J.S.; Sun, K.L.; Ni, H.Q.; Gong, N.Q. Methyl eugenol protects the kidney from oxidative damage in mice by blocking the Nrf2 nuclear export signal through activation of the AMPK/GSK3β axis. Acta Pharmacol. Sin. 2023, 44, 367–380. [Google Scholar] [CrossRef]
- Choi, Y.J.; Kim, T.J.; Bang, C.S.; Lee, Y.K.; Lee, M.W.; Nam, S.Y.; Shin, W.G.; Seo, S.I. Changing trends and characteristics of peptic ulcer disease: A multicenter study from 2010 to 2019 in Korea. World J. Gastroenterol. 2023, 29, 5882–5893. [Google Scholar] [CrossRef]
- Guo, X.; Kang, J.; Wang, Z.; Wang, Y.; Liu, M.; Zhu, D.; Yang, F.; Kang, X. Nrf2 Signaling in the Oxidative Stress Response After Spinal Cord Injury. Neuroscience 2022, 498, 311–324. [Google Scholar] [CrossRef]
- Zheng, J.; Ma, L.; Xin, B.; Olah, T.; Humphreys, W.G.; Zhu, M. Screening and identification of GSH-trapped reactive metabolites using hybrid triple quadruple linear ion trap mass spectrometry. Chem. Res. Toxicol. 2007, 20, 757–766. [Google Scholar] [CrossRef]
- Thai, P.N.; Ren, L.; Xu, W.; Overton, J.; Timofeyev, V.; Nader, C.E.; Haddad, M.; Yang, J.; Gomes, A.V.; Hammock, B.D.; et al. Chronic Diclofenac Exposure Increases Mitochondrial Oxidative Stress, Inflammatory Mediators, and Cardiac Dysfunction. Cardiovasc. Drugs Ther. 2023, 37, 25–37. [Google Scholar] [CrossRef]
- Dave, S.; Dahlstrom, J.J.; Weisbrod, L.J. Neurogenic Shock. In StatPearls; StatPearls Publishing LLC.: St. Petersburg, FL, USA; Treasure Island (FL) Ineligible Companies: Petersburg, FL, USA, 2024. [Google Scholar]
- Fu, S.; Lv, R.; Wang, L.; Hou, H.; Liu, H.; Shao, S. Resveratrol, an antioxidant, protects spinal cord injury in rats by suppressing MAPK pathway. Saudi J. Biol. Sci. 2018, 25, 259–266. [Google Scholar] [CrossRef] [PubMed]
- Tandoh, A.; Amaning Danquah, C.; Sampene, P.; Benneh, C.; Ayibor, W.; Woode, E. Protective effects of andrographolide against diclofenac-induced gastric damage. Sci. Afr. 2021, 13, e00944. [Google Scholar] [CrossRef]
- Rodriguez-Cal, Y.M.A.; Cruz-Antonio, L.; Castaneda-Hernandez, G.; Favari-Perozzi, L.; Guizar-Sahagun, G. Time-dependent changes in paw carrageenan-induced inflammation above and below the level of low thoracic spinal cord injury in rats. Spinal Cord. 2018, 56, 964–970. [Google Scholar] [CrossRef] [PubMed]
- Ibarra, A.; Mendieta-Arbesu, E.; Suarez-Meade, P.; Garcia-Vences, E.; Martinon, S.; Rodriguez-Barrera, R.; Lomeli, J.; Flores-Romero, A.; Silva-Garcia, R.; Buzoianu-Anguiano, V.; et al. Motor Recovery after Chronic Spinal Cord Transection in Rats: A Proof-of-Concept Study Evaluating a Combined Strategy. CNS Neurol. Disord. Drug Targets 2019, 18, 52–62. [Google Scholar] [CrossRef]
- Cruz-Antonio, L.; Sánchez-Mendoza, M.E.; López-Lorenzo, Y.; Rocha-González, H.I.; Robles-Sánchez, A.; Arrieta, J. Pharmacokinetics effect of diclofenac or ketorolac-methyl eugenol and their implication in the gastroprotection. Int. J. Pharmacol. 2020, 16, 375–381. [Google Scholar] [CrossRef]
- Sánchez-Mendoza, M.E.; López-Lorenzo, Y.; Cruz-Antonio, L.; Cruz-Oseguera, A.; García-Machorro, J.; Arrieta, J. Gastroprotective Effect of Juanislamin on Ethanol-Induced Gastric Lesions in Rats: Role of Prostaglandins, Nitric Oxide and Sulfhydryl Groups in the Mechanism of Action. Molecules 2020, 25, 2246. [Google Scholar] [CrossRef]
- Reyes-Chilpa, R.; Baggio, C.H.; Alavez-Solano, D.; Estrada-Muñiz, E.; Kauffman, F.C.; Sanchez, R.I.; Mesia-Vela, S. Inhibition of gastric H+,K+-ATPase activity by flavonoids, coumarins and xanthones isolated from Mexican medicinal plants. J. Ethnopharmacol. 2006, 105, 167–172. [Google Scholar] [CrossRef]
- Byeon, S.; Oh, J.; Lim, J.S.; Lee, J.S.; Kim, J.S. Protective Effects of Dioscorea batatas Flesh and Peel Extracts against Ethanol-Induced Gastric Ulcer in Mice. Nutrients 2018, 10, 1680. [Google Scholar] [CrossRef]
- Laloo, D.; Prasad, S.K.; Sairam, K.; Hemalatha, S. Gastroprotective activity of polyphenolic-rich extract of Potentilla mooniana. Pharm. Biol. 2014, 52, 1532–1542. [Google Scholar] [CrossRef]





| Group | Spinal Cord Injury | Treatment | Gastric Damage |
|---|---|---|---|
| 1 | ------ | Vehicle 1 | Vehicle 2 |
| 2 | ✓ | Vehicle 1 | Vehicle 2 |
| 3 | ✓ | Methyl eugenol | ------ |
| 4 | ✓ | Methyl eugenol | Ketorolac |
| 5 | ✓ | Methyl eugenol | Diclofenac |
| 6 | ✓ | Carboxymethylcellulose | Ketorolac |
| 7 | ✓ | Carboxymethylcellulose | Diclofenac |
| 8 | ✓ | Omeprazole | ------ |
Disclaimer/Publisher’s Note: The statements, opinions and data contained in all publications are solely those of the individual author(s) and contributor(s) and not of MDPI and/or the editor(s). MDPI and/or the editor(s) disclaim responsibility for any injury to people or property resulting from any ideas, methods, instructions or products referred to in the content. |
© 2024 by the authors. Licensee MDPI, Basel, Switzerland. This article is an open access article distributed under the terms and conditions of the Creative Commons Attribution (CC BY) license (https://creativecommons.org/licenses/by/4.0/).
Share and Cite
Cruz-Antonio, L.; Sánchez-Mendoza, M.E.; García-Machorro, J.; López-Lorenzo, Y.; Arrieta, J. Study of the Effect of Methyl Eugenol on Gastric Damage Produced by Spinal Cord Injury Model in the Rat. Molecules 2025, 30, 86. https://doi.org/10.3390/molecules30010086
Cruz-Antonio L, Sánchez-Mendoza ME, García-Machorro J, López-Lorenzo Y, Arrieta J. Study of the Effect of Methyl Eugenol on Gastric Damage Produced by Spinal Cord Injury Model in the Rat. Molecules. 2025; 30(1):86. https://doi.org/10.3390/molecules30010086
Chicago/Turabian StyleCruz-Antonio, Leticia, María Elena Sánchez-Mendoza, Jazmín García-Machorro, Yaraset López-Lorenzo, and Jesús Arrieta. 2025. "Study of the Effect of Methyl Eugenol on Gastric Damage Produced by Spinal Cord Injury Model in the Rat" Molecules 30, no. 1: 86. https://doi.org/10.3390/molecules30010086
APA StyleCruz-Antonio, L., Sánchez-Mendoza, M. E., García-Machorro, J., López-Lorenzo, Y., & Arrieta, J. (2025). Study of the Effect of Methyl Eugenol on Gastric Damage Produced by Spinal Cord Injury Model in the Rat. Molecules, 30(1), 86. https://doi.org/10.3390/molecules30010086

