Abstract
The advancement of miniaturizing electronic information technology draws growing interest in dielectric capacitors due to their high-power density and rapid charge/discharge capabilities. The sol-gel method was utilized to fabricate the 0.75Pb(Zr0.52Ti0.48)O3-0.25BiFeO3 (PZT-25BFO) thin film. Excitingly, PZT-25BFO thin film exhibits an exceptional capacitive energy storage density (Wrec = 24.61–39.76 J/cm3) and a high efficiency (η = 53.78–72.74%). Furthermore, the dielectric energy storage density and efficiency enhance simultaneously with increasing thickness of the thin film. However, the loss factor shows the opposite trend. Specifically, the 12-layer PZT-25BFO thin film demonstrates the optimal properties, boasting a significant energy storage density (15.73 J/cm3), a high efficiency (77.65%), and remarkable thermal stability (±0.55% variation) from 303 K to 383 K at 1000 kV/cm. This excellent thermal stability can be attributed to the residual stress resulting from a phase transition from the rhombohedral to tetragonal phase. The result offers valuable guidance for the development of ferroelectric thin films in high-power capacitive energy storage applications.
1. Introduction
Dielectric capacitors with exceptional power density and rapid charge/discharge capabilities have exhibited great potential for electronic device applications in recent years [1,2]. Dielectric/ferroelectric materials and devices have attracted considerable attention because of their notable characteristics such as high spontaneous polarization (Pmax), thermal stability, and mechanical stability [3,4]. Currently, researchers are focused mainly on investigating the capacitive energy storage capabilities of bulk ferroelectric ceramics [5,6,7]. In contrast to the electric properties of thin film materials, bulk ferroelectric materials exhibit a comparatively low breakdown strength (BDS) and capacitive energy storage density. Therefore, thin film materials with a large difference between remnant polarization (Pr) and Pmax are anticipated to exhibit exceptional capacitive energy storage capabilities and high efficiency even at a low-drive voltage.
Pb(ZrxTi1−x)O3 (PZT) has gained attention in the field of ferroelectric film materials due to its exceptional electrical properties, such as dielectric relaxor behavior, excellent piezoelectric coefficient, ferroelectric polarization [8,9,10,11], and high-power capacitive energy at the morphotropic phase boundary (MPB) [12,13]. However, PZT thin films incorporate Pb ions and easily generate oxygen vacancies at high temperatures, resulting in a decline in ferroelectric polarization and an increase in the coercive field [14,15]. Chemical modification through the occupation of various cations is a highly successful method for enhancing the electrical characteristics of solid solutions. PZT thin films frequently modify the various behaviors at the A-site and/or B-site in ABO3 perovskite through the addition of dopants, such as BiFeO3 [16], La3+ [17,18], Sn2+ [19], Nb5+ [20], etc. It is noted that BiFeO3 is a lead-free multiferroic compound that possesses Bi3+ ions with lone pair electrons, as well as Fe2+ and Fe3+ ions with complex valence electrons. It has been found to exhibit the highest theoretical spontaneous polarization (90 μC/cm2 < Ps < 100 μC/cm2) so far [21,22]. The PZT with a Zr/Ti ratio of 52/48, close to the MPB, exhibits exceptional electrical characteristics at room temperature [23,24,25]. Hence, it is essential to investigate the PZT with composition near MPB doped BFO system. Lappalainen et al. found a correlation between elevated residual stress and decreased dielectric properties [26]. Tuttle et al. [27] proposed that residual stress has a considerable impact on the preferred orientation of domains. The results demonstrate that controlling residual stress during the preparation of the film could enhance the performance of capacitive energy storage.
To investigate the capacitive energy storage characteristics and establish the correlation between residual stress and capacitive energy storage performance, a sol-gel process was employed to fabricate 0.75Pb(Zr0.52Ti0.48)O3-0.25BiFeO3 (PZT-25BFO) thin films. The ratio of Zr/Ti of the thin film was exquisitely designed to 0.52/0.48 [8], as shown in Figure S1a, where the rhombohedral ferroelectric and tetragonal ferroelectric phases coexist. Excitingly, PZT-25BFO thin film exhibits an exceptional capacitive energy storage density (Wrec = 24.61–39.76 J/cm3) and a high efficiency (η = 53.78–72.74%). The loss factor showed an inverse relationship with the capacitive energy storage density and efficiency as the thickness of PZT-25BFO film increased. The 12-layer PZT-25BFO thin film achieved a high capacitive energy storage density of 15.73 J/cm3 and high efficiencies of 77.65% at 1000 kV/cm. Additionally, the thin film exhibited super-high thermal stability (±0.55% variation) from 303 K to 383 K. This remarkable performance is ascribed to residual stress originating from a phase transition from the rhombohedral to the tetragonal phase. The result provides a guideline for the development of high-power capacitive energy storage applications.
2. Results and Discussion
2.1. Structure
PZT-25BFO thin films consisting of four, six, eight, and 12 layers were deposited onto Pt(111)/TiOx/SiO2/Si(100) substrates, respectively. The XRD patterns of PZT-25BFO thin films with varying layers were examined and presented in Figure 1a. All thin film samples displayed excellent crystallinity and almost pure perovskite phase with a strong (111) preferential orientation, while weak peaks of (100) and (110) are also observed. A tiny number of secondary phases (bismuth ferrite) can be detected due to the excess of Bi (see (110/024)) [16]. In addition to the rhombohedral ferroelectric (RFE) phase (see (111/11-1), the tetragonal ferroelectric (TFE) phase (see (002/200), etc.) can also be detected [28]. As the number of film layers increased, the two reflection peaks (111)T/R of rhombohedral phase and (11-1)T/R of tetragonal phase combined into the (111)T/R one, and the preferred orientation changes from (111) to (100). It is noted that the (002)T and (200)T/R peaks can be detected on the 4-layer thin film, and the intensity becomes more and more strong with increasing the number of film layers. Due to the composition of carefully designed PZT thin film, which is close to the MPB, it allows the coexistence of RFE and TFE phases [25].
Figure 1.
Phase structure of 4, 6, 8 and 12-layer PZT-25BFO thin films (a) XRD patterns, (b) the Raman scattering spectra fitting to nine Gaussian–Lorentz peak functions, (c) Raman intensity and FWHW variation with respect to peaks 6 and 7, (d) The Raman vibration mode A1(TO3) with peak 8.
The Raman scattering spectra of PZT-25BFO thin films were acquired to obtain additional insights into the local phase structure and the proportions of TFE and RFE phases, as illustrated in Figure 1b. Nine distinct Gaussian–Lorentz peaks were utilized to fit the Raman spectra. Raman peaks 1 (128 cm−1) and 2 (145 cm−1) corresponded to the E1(TO1) and A1(TO1) modes, respectively. These are associated with the vibrations of A-site ions in perovskite structure [29,30,31,32]. The appearance of the Raman peak 2 indicates the existence of RFE phase in PZT-25BFO thin film. The Raman peaks 3, 4, and 5, appeared around 198, 300, and 321 cm−1 corresponding to A1(TO1), E(TO4), and A1(TO2) modes, respectively [33,34]. The appearance of peak 5 is owing to the asymmetric (Fe/Zr/Ti)-O phonon vibrations in the TFE phase [31,32]. The A1(LO2) and E(TO3) modes around 450 and 494 cm−1 designated as peak 6 and 7, respectively. These are associated with the symmetric stretching of O-Fe/Ti/Zr-O in tetragonally distorted polar [(Ti/Zr/Fe)O6] octahedral clusters [35,36,37]. Peak 8 is the A1(TO3) mode (556 cm−1) caused principally by residual stress. It is shifted slightly to a lower frequency as the film thickness increases [32,38,39,40]. Peak 9 (706 cm−1) is the E(LO3) mode, which is distributed to the (Zr/Ti)-O torsional modes [41]. The full width at half maximum (FWHM) values of the selected Raman peaks of PZT-25BFO are presented in Figure 1c. The FWHM of peak 6 showed slight variation as the number of film layers increased. Moreover, the FWHM of peak 7 initially decreased and then reached a steady plateau as the number of film layers increased. It indicates that the proportion of TFE phase reduced and showed no significant change as the number of film layers increased. The result is consistent with the XRD analysis. As depicted in Figure 1c, the A1(TO3) mode of PZT-25BFO thin film shifted slightly to low frequency as the number of film layers increased. The change in Raman shift is probably associated with the grain size and the residual stress [42,43,44]. However, the SEM micrographs of PZT-25BFO thin film do not show any noticeable differences in grain size (see the following section). Therefore, the Raman shift of the A1(TO3) mode originated from the residual stress of PZT-25BFO thin film. To comprehend the relationship between film layers and residual stress, the Lydane–Sach–Teller function was defined as follows [38]:
where σ0 represents the stress level when the phonon frequency is zero, ω0 denotes the phonon frequency when there is no stress. According to Xu et al. [32], the Lydane–Sach–Teller function relationship was utilized to determine the Raman shift of the A1(TO3) mode (peak 8) for PZT thin films, with σ0 = 640.7 MPa and ω0 = 528.8 cm−1. In PZT-25BFO thin film with 4, 6, 8, and 12-layers, the Raman shift of the A1(TO3) modes was observed at 558.14, 556.48, 554.96, and 554.07 cm−1, respectively. Based on the Lydane–Sach–Teller function, the residual stresses of thin films with 4, 6, 8 and 12-layer were 72.9, 68.8, 64.9 and 62.7 MPa, respectively, as shown in Figure 1d. The residual stress and film layers showed the opposite trend in PZT-25BFO thin film. The thin film had a relatively low residual stress as the number of film layers increased, due to a reduction in the clamping effect of the substrate [45]. A phase transition from rhombohedral to tetragonal phase is observed by XRD and Raman spectroscopy.
The SEM images in Figure 2a,c,e,g illustrate the cross-sectional morphologies of PZT-25BFO thin film. Figure 2b,d,f,h display the surface images of thin films with 4, 6, 8 and 12 layers, respectively. The grain sizes of the thin films with 4, 6, 8 and 12-layers were approximately 225, 350, 425, and 600 nm, respectively. The thin films demonstrated a uniform surface microstructure devoid of any cracks. The grain size slightly increased as the number of thin film layers increased. The average grain sizes of PZT-25BFO films were 23.04, 43.40, 31.03 and 51.58 nm for 4 to 12-layer, respectively. According to Tunkasiri’s work, the effect of grain size on BDS could be described by E ∞ G-a, where E, G, and a are the BDS, grain size, and a constant, respectively [46]. Thus, it is expected that the small grain size of PZT-25BFO films can improve the BDS. Moreover, the result of chemical analysis by energy dispersive spectroscopy (EDS) in cross-sectional SEM revealed that the composition of the thin film is consistent with its chemical formula, as shown in the inset of Figure S2.

Figure 2.
The cross-sectional SEM images of PZT-25BFO thin films (a) 4, (c) 6, (e) 8 and (g) 12-layer. The surface SEM images of PZT-25BFO thin films (b) 4, (d) 6, (f) 8 and (h) 12-layers (Insets: statistic distribution diagram of grain sizes).
Figure 3 displays the relationship between frequency and dielectric permittivity (εγ) and loss factor (tan δ) of the 4, 6, 8 and 12-layer PZT-25BFO thin films. The εγ increased proportionally as the number of film layers increased, and the value of εγ with the PZT-25BFO film remains stable over a broad frequency range, for which the value is about ~400. The 12-layer PZT-25BFO thin film possesses the maximum εγ among all the samples. The εγ of thin films is influenced by various parameters related to the electrical properties, including grain size, orientation, and residual stress [44]. According to the SEM images, the grain size of PZT-25BFO thin films slightly increased as the number of layers increased. This suggests that the influences of grain size on dielectric properties of PZT thin films can almost be neglected. Hence, the primary determinants of εγ are orientation and residual stress. First, PZT-25BFO thin films were orientated in the (111) direction. The 12-layer PZT-25BFO thin film possesses the maximum εγ, which can be attributed to its high proportion of the tetragonal phase. Second, the residual stress of the 12-layer PZT-25BFO thin film is smallest. It corresponds well with the Raman result.
Figure 3.
Frequency dependence of εγ and tan δ of the 4, 6, 8 and 12-layer PZT-25BFO thin films at 303 K.
2.2. Energy Storage Density
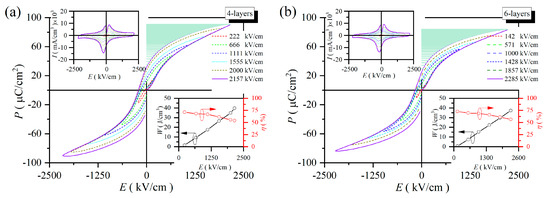
Figure 4 depicts the P-E loops of 4, 6, 8 and 12-layer PZT-25BFO thin films at various electric fields at room temperature. All P-E loops showed the characteristic of relaxor ferroelectric with negligible leakage current under the driving field. The variation of the Pmax value of all the samples followed a similar trend to the dielectric permittivity. The P-E loops of 12-layer thin film are narrower compared to other thin films. This phenomenon can be explained by a reduction in the concentration of space charges and oxygen vacancies in thin films [47]. As the number of film layers increased, however, tensile stress decreased and crystalline quality improved, which is further verified by Raman. The values of W and η were determined within the range from 142 kV/cm to the critical BDS, as illustrated in the insets of Figure 4. The W value showed a slight increasing trend as the applied electric field increased. When BDS was below 2157 kV/cm, the 4-layer thin film displayed the highest W (39.76 J/cm3) and the lowest η (53.78%). The Pmax − Pr values are 59.15, 59.14, 59.41, and 54.76 μC/cm2 for 4, 6, 8 and 12-layer films at 2157, 2285, 2000 and 1583 kV/cm, respectively. It can be found that the 4-layer film possesses highest W, attributed to the high Pmax − Pr and the high electric field. Furthermore, the 12-layer thin film exhibited the highest η (72.74%) at 1584 kV/cm, which can be attributed to its comparatively low Pr value in comparison to the other samples. Due to the testing limitations of the instruments, the 12-layer thin film did not achieve its maximum BDS. The 12-layer thin film yielded the highest W value of 24.61 J/cm3. The comparison of Wmax, η, and BDS in this work with that of other thin films, including 0.7NBT-0.3ST [48], 0.8PMN-0.2PT [49], BNT-ST [50], PLZST [51] and 0.4BNZ-0.6PT [52], are shown in Table 1.

Figure 4.
The P-E loops of PZT-25BFO thin films at the selected electric field (a) 4, (b) 6, (c) 8 and (d) 12-layer [Insets: I (E), the W (E) and η (E)].
Table 1.
Comparison of Wmax, η, and BDS for PZT-25BFO thin films with capacitive energy storage capability.
Low leakage current and high BDS are the advantage of miniaturization and integration of electronic components in the large discharge capacitive W. Figure S3a illustrates the current leakage curves at room temperature for various layers of PZT-25BFO thin films at 250 kV/cm. There were no breakdowns in any of the samples during the transients that lasted more than 1000 ms, even throughout repetitive testing. The leakage current for films with 4, 6, 8 and 12-layers were 0.25, 4.00, 0.95 and 0.17 nA, respectively. The BDS is crucial in verifying the effectiveness of the electric field and the density of energy storage. To gain a deeper comprehension of the applications in capacitive energy storage, the BDS of PZT-25BFO films was examined using the Weibull distribution [48,53], as illustrated in Figure S3b. According to the Weibull distribution, the average BDS can be calculated by intersecting the linear fitting line with the horizontal axis. The BDS values of the PZT-25BFO films for 4, 6, 8 and 12-layers were 2043, 2001, 2062 and 1975 kV/cm, respectively. Clearly, the BDS of all thin is films much higher than 1000 kV/cm (the safety electric field applied). Moreover, the decrease of grain size and increase of density are beneficial to the high BDS [54]. Thus, all thin films with high BDS are related to the small grain size. This result has a positive effect on the improvement of energy storage efficiency.
To assess the potential applications of PZT-25BFO thin films in energy storage devices, the thermal stability was investigated, as shown in Figure 5. The P-E loops of PZT-25BFO thin film measured at room temperature and 1000 kV/cm in Figure 5a. With the increase of film thickness, there is no significant variation in Pmax, which stabilizes at a value of 52.60 μC/cm2. As illustrated in Figure 5b, c, the Pr value decreased and the P-E loops became progressively narrower as the number of film layers increased, which corresponded to the residual stress. Table 2 shows the Pmax − Pr, Pr, W, and η values for 4, 6, 8 and 12-layers PZT-25BFO films. As the film thickness increased, the W value approached a constant, whereas the η value gradually increased. The η value is directly proportional to the W/(Wloss + W) ~ η. The 12-layer thin film exhibited the lowest Wloss and the highest W, as depicted in Figure 5d. The η value of the 12-layer thin film is the highest. Thus, the 12-layer thin film has exceptional performance in capacitive energy storage.
Figure 5.
The ferroelectric characteristics of 4, 6, 8 and 12-layer PZT-25BFO films (a) P-E loops subjected to an electric field of approximately 1000 kV/cm, (b) Schematic diagrams of in-plane thermally induced residual stress (σ) in thin films. (c) Pmax − Pr values. (d) The W (E) and η (E) at room temperature.
Table 2.
The parameters of Pmax − Pr, Pr, W, and η for the 4, 6, 8 and 12-layer PZT-25BFO thin films.
Thermal stability is an essential characteristic for the practical applications of capacitors. Figure 6 displays the relationship between temperature and the calculated values of W and η of PZT-25BFO thin films. These P-E loops were monitored ranging from 303 K to 383 K at 1000 kV/cm (Figure S4). The W first increased and then remained nearly constant. The maximum W was around 15.73 J/cm3. The change in W from 303 K to 383 K was approximately 0.15%. The thermal stability of PZT-25BFO thin film was significantly superior to that of polymer [55] and HfO2-based materials [56]. This evidence demonstrates that the thin film is a viable option for dielectric capacitors operating in harsh environments. The thermal stability of the η increased as the layer thickness of PZT-25BFO film increased. The η value of the 12-layer film remained nearly constant at approximately 77.65% across the whole temperature range. The change in η from 303 K to 383 K was less than ± 0.55%. Therefore, the excellent thermal stability can be attributed to the correlation among residual stress, gain size, and the phase proportion.
Figure 6.
The W (E) and η (E) values of PZT-25BFO thin films with 4, 6, 8 and 12-layers, respectively, at temperatures ranging from 303 K to 308 K.
Figure 7 illustrates the calculated capacitive energy storage density and efficiency of PZT-25BFO film. The frequency dependence of capacitive energy storage decreased as the number of thin film layers increased. In capacitive energy storage, the relationship between frequencies and electric fields follows a linear function. At 1 kHz, the η value of the 12-layer thin film exhibited a fluctuating range from 69.69% at 1333 kV/cm to 85.37% at 83 kV/cm. Therefore, the 12-layer PZT-25BFO thin film demonstrates superior frequency-dependent energy storage stability.

Figure 7.
The W of PZT-25BFO thin films vs. the driver electric fields of 100 Hz, 1 kHz and 10 kHz at room temperature (a) 4, (c) 6, (e) 8 and (g) 12-layer. The η of PZT-25BFO thin films vs. the driver electric fields of 100 Hz, 1 kHz and 10 kHz at room temperature (b) 4, (d) 6, (f) 8 and (h) 12-layer.
3. Characterization
The crystal structure of PZT-25BFO thin films was determined using X-ray diffraction (XRD, MRD DY05569, Tokyo, Japan). The surface and cross-section of the films were analyzed using scanning electron microscope (SEM, ZEISS, sigma 500, Berlin, Germany). Raman scattering spectra were acquired using a Labram HR Evo Raman spectrometer. To evaluate the electrical performance, 90 μm-long Au/Cr square dots were evaporated using RF magnetron sputtering with a shadow mask. The ferroelectric properties were measured using a ferroelectric tester (Precision Premier II Radiant Technologies Inc, Washington, USA). The temperature was closely monitored using a highly accurate thermal controller (Linkam, THMSG600, London, UK). The dielectric performance was determined utilizing a precision impedance analyzer (Agilent, E4980A, Hefei, China). To obtain the average dielectric breakdown strength (BDS), 22 points were randomly selected for each PZT-25BFO sample. The recoverable energy density (W) and efficiency (η) were calculated utilizing Equations (2) and (3), respectively [57,58,59,60].
where Pmax represents the maximum polarization, Pr denotes the remnant polarization, and P is the polarization value at the applied field E. The energy loss density, denoted as Wloss, is obtained by integrating the area of the closed P-E hysteresis loop. Large Pmax, small Pr, high E, and low Wloss are crucial for achieving high W and η in dielectric capacitors. Based on the above Equation (2), in order to get higher energy storage performance, improving the difference between Pmax and Pr and enhancing BDS are the two effective ways [61,62]. This indicates that relaxor ferroelectrics with slim P-E loops are promising candidates.
4. Materials and Methods
Preparation of PZT-25BFO Thin Films
PZT-25BFO thin films were synthesized using the sol-gel method, as illustrated in Figure S1b. The compound C6H9BiO6 (99.9%, Shanghai Jinpan Biotechnology Co. Ltd., Shanghai, China), with an excess of 20% Bi, and Pb(CH3COO)2·3H2O (99.5%, Sinopharm Chemical Reagent Co. Ltd., Shanghai, China), with an excess of 10% Pb, were dispersed in glacial acetic acid. An additional 1% mol of Mn(CH3COO2) (99%, Shanghai Jinpan Biotechnology Co. Ltd., Shanghai, China) was added to the aforementioned solution as an additive to reduce leakage current. The compounds C12H28O4Zr (70 wt.% in propanol, Aldrich), C16H36O4Ti (97%, Shanghai Jinpan Biotechnology Co. Ltd., Shanghai, China), and Fe(C5H7O2)3 (99.5%, Shanghai Jinpan Biotechnology Co. Ltd., Shanghai, China) were dissolved in a solution containing a mixture of acetylacetone and glacial acetic acid. The Pb/Bi/Mn solution was added to Zr/Ti/Fe solution, and the resulting mixture was stirred at 80 °C for 1 h. After that, the suitable additives were added to PZT-25BFO solution, as depicted in Figure S1b. The final concentration of PZT-25BFO precursor solution was 0.3 M. Following a 24 h aging period, PZT-25BFO solution was applied onto Pt(111)/TiOx/SiO2/Si(100) substrates, which had been previously washed with acetone and ethanol. PZT-25BFO thin films were deposited using a layer-by-layer approach involving drying, pyrolyzing, and annealing processes, as illustrated in Figure S1b. Spin-coating was performed at 4000 rpm for 40 s on each layer of PZT-25BFO thin film. Each wet layer must be dried at 200 °C for 5 min on a hotplate, pyrolyzed at 400 °C for 5 min, and annealed in a pot at 750 °C for 3 min on a tube furnace, in that order, to prevent the formation of cracks. Finally, the aforementioned steps were repeated multiple times until the desired thickness was achieved.
5. Conclusions
The PZT-25BFO thin films were synthesized using a sol-gel technique, resulting in a significant capacitive energy storage density ranging from 24.61 to 39.76 J/cm3 and a high efficiency ranging from 53.78 to 72.74%. Based on XRD and Raman analysis, The thin films showed excellent crystallinity and a pure perovskite phase located near MPB where the rhombohedral and tetragonal phases coexist. The tryptic relaxor ferroelectric P-E loops demonstrate that the loss factor decreased as the number of layers of thin film increased. Conversely, the capacitive energy storage density and efficiency exhibited the opposite trend with increasing electric field. The 12-layer thin film exhibited a large capacitor energy storage density of 15.73 J/cm3, a high efficiency of 77.65% and excellent thermal stability (±0.55% variation) within the temperature range from 303 K to 383 K. The remarkable efficiency and high capacitive energy storage density of PZT-25BFO thin films are ascribed to residual stress originating from a phase transition from the rhombohedral to tetragonal phase. The result offers a guideline for the development of ferroelectric thin film materials used in high-power capacitive energy storage applications.
Supplementary Materials
The following supporting information can be downloaded at: https://www.mdpi.com/article/10.3390/molecules30010008/s1, Figure S1: (a) The phase diagram of Pb(ZrxTi1−x)O3 system [8], (b) A flow chart depicting the sol-gel and spin coating processes for PZT-25BFO thin films; Figure S2. Cross-sectional EDS diagram in SEM sample. Inset lists: the atomic percentages of the elements; Figure S3. The ferroelectric characteristics of the PZT-25BFO thin films. (a) Leakage current curves I (t) about different layers’ thin films under ~ 250 kV/cm, (b) The Weibull distribution of the BDS; Figure S4. The P-E loops of PZT-25BFO thin films at temperatures between 303 K and 383 K when subjected to an electric field of around 1000 kV/cm. (a) 4, (b) 6, (c) 8 and (d) 12-layer.
Author Contributions
Conceptualization, L.W., F.H., J.D. and B.P.; Methodology, L.W. and F.H.; Formal analysis, K.C. and L.L.; Investigation, K.C., J.D. and L.L.; Resources, L.W., F.H. and J.D.; Writing—original draft, L.W., F.H., J.D. and B.P.; Writing—review & editing, L.W., F.H., J.D. and B.P.; Supervision, L.W., F.H., J.D. and B.P.; Funding acquisition, F.H., J.D. and B.P.; Project administration, B.P. All authors have read and agreed to the published version of the manuscript.
Funding
This work was supported by the Key Research and Development Program of Shandong Province, China (2022CXGC020203) and the Guangxi Science and Technology Base and Talent Special Project (No. AD23026280), the National Natural Science Foundation of China (Nos. 62271362, 12304120), the Natural Science Foundation of Guangxi (No. ZY22096019), the Natural Science Foundation of Guangdong Province (No. 2022A1515111013), the Guangxi Technology Base and Talent Subject (No. AD23023008), the Guangxi Key Laboratory of Manufacturing System & Advanced Manufacturing Technology (No. 22-35-4-S011), the Doctoral Research Initiation Fund of Hezhou University (No. HZU2023BSQD02) and the Innovation Project of Guangxi Undergraduate Education (No. S202311838086).
Institutional Review Board Statement
Not applicable.
Informed Consent Statement
Not applicable.
Data Availability Statement
The original contributions presented in this study are included in the article/Supplementary Material. Further inquiries can be directed to the corresponding authors.
Conflicts of Interest
The authors declare no conflict of interest.
References
- Peng, B.L.; Zhang, Q.; Li, X.; Sun, T.Y.; Fan, H.Q.; Ke, S.M.; Ye, M.; Wang, Y.; Lu, W.; Niu, H.B.; et al. Large Energy Storage Density and High Thermal Stability in a Highly Textured (111)-Oriented Pb0.8Ba0.2ZrO3 Relaxor Thin Film with the Coexistence of Antiferroelectric and Ferroelectric Phases. ACS Appl. Mater. Interfaces 2015, 27, 13512–13517. [Google Scholar] [CrossRef] [PubMed]
- Park, M.H.; Kim, H.J.; Kim, Y.J.; Moon, T.; Kim, K.D.; Hwang, C.S. Thin HfxZr1−xO2 Films: A New Lead-Free System for Electrostatic Supercapacitors with Large Energy Storage Density and Robust Thermal Stability. Adv. Energy Mater. 2014, 4, 1400610. [Google Scholar] [CrossRef]
- Hu, Q.; Wang, T.; Zhao, L.; Jin, L.; Xu, Z.; Wei, X. Dielectric and energy storage properties of BaTiO3-Bi(Mg1/2Ti1/2)O3 ceramic: Influence of glass addition and biasing electric field. Ceram. Int. 2017, 43, 35–39. [Google Scholar] [CrossRef]
- Li, F.; Zhai, J.; Shen, B.; Liu, X.; Yang, K.; Zhang, Y.; Li, P.; Liu, B.H.; Zheng, H.R. Influence of structural evolution on energy storage properties in Bi0.5Na0.5TiO3-SrTiO3-NaNbO3 lead-free ferroelectric ceramics. J. Appl. Phys. 2017, 121, 054103. [Google Scholar] [CrossRef]
- Qi, P. Dielectric tunability properties of the Pb[(Mg1/3Nb2/3)1−xZrx]O3 ceramics. J. Alloys Compd. 2013, 549, 283–287. [Google Scholar]
- Luo, N.N.; Han, K.; Zhuo, F.P.; Chao, X.; Zhang, G.Z.; Liu, L.J.; Chen, X.Y.; Hu, C.Z.; Zhou, H.F.; Wei, Y.Z. Aliovalent A-site engineered AgNbO3 lead-free antiferroelectric ceramics toward superior energy storage density. J. Mater. Chem. A 2019, 7, 14118–14128. [Google Scholar] [CrossRef]
- Luo, N.N.; Han, K.; Zhuo, F.P.; Liu, L.J.; Chen, X.Y.; Peng, B.L.; Wang, X.P.; Feng, Q.; Wei, Y.Z. Design for high energy storage density and temperature-insensitive lead-free antiferroelectric ceramics. J. Mater. Chem. C 2019, 7, 4999–5008. [Google Scholar] [CrossRef]
- Panda, P.K.; Sahoo, B. PZT to Lead Free Piezo Ceramics: A Review. Ferroelectrics 2015, 474, 128–143. [Google Scholar] [CrossRef]
- Park, K.I.; Son, J.H.; Hwang, G.T.; Jeong, C.K.; Ryu, J.; Koo, M.; Choi, I.; Lee, S.H.; Byun, M.; Wang, Z.L. Highly-Efficient, Flexible Piezoelectric PZT Thin Film Nanogenerator on Plastic Substrates. Adv Mater. 2014, 26, 2514–2520. [Google Scholar] [CrossRef]
- Ang, C.; Yu, Z. dc electric-field dependence of the dielectric constant in polar dielectrics: Multiploidization mechanism model. Phys. Rev. B 2004, 69, 219904. [Google Scholar] [CrossRef]
- Choi, S.G.; Palmstrøm, C.J.; Kim, Y.D.; Cooper, S.L.; Aspens, D.E. Dielectric functions of AlxGa1-xSb (0.00 ≤ x ≤ 0.39) alloys from 1.5 to 6.0 eV. J. Appl. Phys. 2005, 98, 5821. [Google Scholar] [CrossRef]
- Zhang, T.D.; Li, W.L.; Cao, W.P.; Hou, Y.; Yu, Y.; Fei, W.L. Giant electrocaloric effect in PZT bilayer thin films by utilizing the electric field engineering. Appl. Phys. Lett. 2016, 108, 162902. [Google Scholar] [CrossRef]
- Li, M.J.; Xu, L.P.; Shi, K. Interband electronic transitions and phase diagram of PbZr1-xTixO3 (0.05 ≤ x ≤ 0.70) ceramics: Ellipsometric experiment and first-principles theory. J. Phy. D Appl. Phys. 2016, 49, 275305. [Google Scholar] [CrossRef]
- Mukherjee, D.; Hyde, R.; Hordagoda, M. Challenges in the stoichiometric growth of polycrystalline and epitaxial PbZr0.52Ti0.48O3/La0.7Sr0.3MnO3 multiferroic heterostructures using pulsed laser deposition. J. Appl. Phys. 2012, 112, 064101. [Google Scholar] [CrossRef]
- Aggarwal, S.; Madhukar, S.; Nagaraj, B. Can lead nonstoichiometry influence ferroelectric properties of Pb(Zr,Ti)O3 thin films. Appl. Phys. Lett. 1999, 75, 716–718. [Google Scholar] [CrossRef]
- Wu, Y.J.; Wan, J.G.; Huang, C.F.; Weng, Y.Y.; Zhao, S.F.; Liu, J.M.; Wang, G.H. Strong magnetoelectric coupling in multiferroic BiFeO3-Pb(Zr0.52Ti0.48)O3 composite films derived from electrophoretic deposition. Appl. Phys. Lett. 2008, 93, 192915. [Google Scholar] [CrossRef]
- Li, Y.; Gao, H.; Liu, Y.; Zhang, L.; Hao, X. The coexisting negative and positive electrocaloric effect in (Pb0.97La0.02)(Zr,Sn,Ti)O3 antiferroelectric thick films optimized via phase transition procedure. J. Mater. Sci. Mater. Electron. 2018, 29, 14528–14534. [Google Scholar] [CrossRef]
- Gao, H.; Hao, X.; Zhang, Q.; An, S.; Kong, L.B. Electrocaloric effect and energy-storage performance in grain-size-engineered PBLZT antiferroelectric thick films. J. Mater. Sci. Mater. Electron. 2016, 27, 10309–10319. [Google Scholar] [CrossRef]
- Zhao, Y.; Hao, X.H.; Zhang, Q. A giant electrocaloric effect of a Pb0.97La0.02(Zr0.75Sn0.18Ti0.07)O3 antiferroelectric thick film at room temperature. J. Mater. Chem. C 2015, 3, 1694–1699. [Google Scholar] [CrossRef]
- Ge, J.; Pan, G.; Remiens, D. Effect of electrode materials on the scaling behavior of energy density in Pb(Zr0.96Ti0.03)Nb0.01O3 antiferroelectric films. Appl. Phys. Lett. 2012, 101, 112905. [Google Scholar] [CrossRef]
- Lebeugle, D.; Colson, D.; Forget, A.; Viret, M. Very large spontaneous electric polarization in BiFeO3 single crystals at room temperature and its evolution under cycling fields. Appl. Phys. Lett. 2007, 91, 022907. [Google Scholar] [CrossRef]
- Rödel, J.; Jo, W.; Seifert, K.T.P.; Anton, E.M.; Granzow, T.; Damjanovic, D. Perspective on the Development of Lead-free Piezoceramics. J. Am. Chem. Soc. 2009, 92, 1153–1177. [Google Scholar] [CrossRef]
- Deluca, M.; Fukumura, H.; Tonari, N.; Capiani, C.; Hasuike, N.; Kisoda, K.; Galassi, C.; Harima, H. Raman spectroscopic study of phase transitions in undoped morphotropic PbZr1−xTixO3. J. Raman Spectrosc. 2011, 42, 488–495. [Google Scholar] [CrossRef]
- Smith, R.T.; Achenbach, G.D.; Gerson, R.; James, W.J. Dielectric Properties of Solid Solutions of BiFeO3 with Pb(Ti, Zr)O3 at High Temperature and High Frequency. J. Appl. Phys. 1968, 39, 70–74. [Google Scholar] [CrossRef]
- Sharma, S.; Singh, V.; Kotnala, R.K.; Ranjan, R.; Dwivedi, R.K. Co-existence of tetragonal and monoclinic phases and multiferroic properties for x ≤ 0.30 in the (1−x)Pb(Zr0.52Ti0.48)O3–(x)BiFeO3 system. J. Alloys Compd. 2014, 614, 165–172. [Google Scholar] [CrossRef]
- Lappalainen, J.; Frantti, J.; Lantto, V. Electrical and mechanical properties of ferroelectric thin films laser ablated from a Pb0.97Nd0.02(Zr0.55Ti0.45)O3 target. J. Appl. Phys. 1997, 82, 3469–3477. [Google Scholar] [CrossRef]
- Spierings, G.A.C.M.; Dormans, G.J.M.; Moors, W.G.J.; Ulenaers, M.J.E.; Larsen, P.K. Stresses in Pt/Pb(Zr,Ti)O3/Pt thin-film stacks for integrated ferroelectric capacitors. J. Appl. Phys. 1995, 78, 1926–1933. [Google Scholar] [CrossRef]
- Wang, X.J.; Wang, Y.C.; Peng, B.L.; Deng, J.Y.; Yang, Y.; Sun, W.H.; Wang, Z.L. Thickness dependence of PbZr0.52Ti0.48O3 thin film ferroelectric parameters. Nano Energy 2023, 107, 108161. [Google Scholar] [CrossRef]
- Abdessalem, L.B.; Aydi, S.; Aydi, A.; Sassi, Z.; Maalej, A.; Khemakhem, H. X-ray diffraction; dielectric, and Raman spectroscopy studies of BaSrTiO3-NaNbO3 ceramic. Appl. Phys. A 2017, 123, 305. [Google Scholar] [CrossRef]
- Dobal, P.S.; Katiyar, R.S. Studies on ferroelectric perovskites and Bi-layered compounds using micro-Raman spectroscopy. J. Raman Spectrosc. 2002, 33, 405–423. [Google Scholar] [CrossRef]
- Peng, B.L.; Zhang, Q.; Bai, G.; Leighton, J.T.; Glenn, S.; Christopher, M.; Steven, J.; Zou, B.S.; Sun, W.H.; Huang, H.T.; et al. Phase-transition induced giant negative electrocaloric effect in a lead-free relaxor ferroelectric thin film. Energy Environ. Sci. 2019, 12, 1708–1717. [Google Scholar] [CrossRef]
- Xu, W.H.; Lu, D.; Zhang, T.Y. Determination of residual stresses in Pb(Zr0.53Ti0.47)O3 thin films with Raman spectroscopy. Appl. Phys. Lett. 2001, 79, 4112–4114. [Google Scholar] [CrossRef]
- Zhu, J.J.; Jiang, K.; Xu, G.S.; Hu, Z.G.; Li, Y.W.; Zhu, Z.Q.; Chu, J.H. Temperature-dependent Raman scattering and multiple phase coexistence in relaxor ferroelectric Pb(In1/2Nb1/2)O3-Pb(Mg1/3Nb2/3)O3-PbTiO3 single crystals. J. Appl. Phys. 2013, 114, 153508. [Google Scholar] [CrossRef]
- Buixaderas, E.; Berta, M.; Kozielski, L. Raman spectroscopy of Pb(Zr1-xZxTix)O3 graded ceramics around the morphotropic phase boundary. Phase Transit. 2011, 84, 528–541. [Google Scholar] [CrossRef]
- Peng, B.L.; Tang, S.L.; Lu, L.; Zhang, Q.; Huang, H.T.; Bai, G.; Miao, L.; Zhou, B.S.; Liu, L.J.; Sun, W.H.; et al. Low-temperature-poling awakened high dielectric breakdown strength and outstanding improvement of discharge energy density of (Pb, La)(Zr, Sn, Ti)O3 relaxor thin film. Nano Energy 2020, 77, 105132. [Google Scholar] [CrossRef]
- Peng, B.L.; Wang, T.T.; Liu, L.J.; Chen, X.; Li, J.F.; Zhang, Q.; Yang, R.S.; Sun, W.H.; Wang, Z.L. P-GaN-substrate sprouted giant pure negative electrocaloric effect in Mn-doped Pb(Zr0.3Ti0.7)O3 thin film with a super-broad operational temperature range. Nano Energy 2021, 86, 106059. [Google Scholar] [CrossRef]
- Chaves, A.; Katiyar, R.S.; Porto, S. Coupled modes with A1 symmetry in tetragonal BaTiO3. Phys. Rev. B. 1974, 10, 3522–3533. [Google Scholar] [CrossRef]
- Lee, J.H.; Hwang, K.S.; Kim, T.S. Microstress relaxation effect of Pb(Zr0.52Ti0.48)O3 films with thicknesses for micro/nano piezoelectric device. Appl. Phys. Lett. 2010, 96, 092904. [Google Scholar] [CrossRef]
- Rodrigues, S.; Rolo, A.G.; Khodorov, A.; Pereira, M.; Gomes, M. Determination of residual stress in PZT films produced by laser ablation with X-ray diffraction and Raman spectroscopy. J. Eur. Chem. Soc. 2010, 30, 521–524. [Google Scholar] [CrossRef]
- Rouquette, J.; Haines, J.; Bornand, V.; Pintard, M.; Papet, P.; Bonnet, B.; Gorelli, F.A. P-T phase diagram of PbZr0.52Ti0.48O3 (PZT). Solid State Sci. 2003, 5, 451–457. [Google Scholar] [CrossRef]
- Beshenkov, V.G.; Znamenskii, A.G.; Irzhak, A.V.; Marchenko, V.A. Method of phase composition diagnostics of lead zirconate titanate films based on Raman spectra. Appl. Surf. Sci. 2021, 562, 149937. [Google Scholar] [CrossRef]
- Begg, B.D.; Finnie, K.S.; Vance, E.R. Raman Study of the Relationship between Room-Temperature Tetragonality and the Curie Point of Bariam Titanate. J. Am. Chem. Soc. 1996, 79, 2666–2672. [Google Scholar]
- Ohno, T.; Matsuda, T.; Ishikawa, K.; Suzuki, H. Thickness Dependence of Residual Stress in Alkoxide-Derived Pb(Zr0.3Ti0.7)O3 Thin Film by Chemical Solution Deposition. Jpn. J. Appl. Phys. 2006, 45, 7265–7269. [Google Scholar] [CrossRef]
- Wu, Z.; Zhou, J.; Chen, W.; Shen, J.; Lv, C. Effects of residual stress on the electrical properties in PbZr0.52Ti0.48O3 thin films. J. Sol-Gel Sci. Technol. 2015, 75, 551–556. [Google Scholar] [CrossRef]
- Berfield, T.A.; Ong, R.J.; Payne, D.A.; Sottos, N.R. Residual stress effects on piezoelectric response of sol-gel derived lead zirconate titanate thin films. J. Appl. Phys. 2007, 101, 024102. [Google Scholar] [CrossRef]
- Hao, X.; Wang, P.; Zhang, X.; Xu, J. Microstructure and energystorage performance of PbO–B2O3–SiO2–ZnO glass added (Pb0.97La0.02)(Zr0.97Ti0.03)O3 antiferroelectric thick films. Mater. Res. Bull. 2013, 48, 84–88. [Google Scholar] [CrossRef]
- Li, P.; Zhai, J.W.; Zeng, H.R.; Zhao, K.Y.; Shen, B.; Chen, H. Effects of LaNiO3 seeding layers on the crystal structure and electrical properties in 0.94(Bi0.5Na0.5)TiO3–0.06BaTiO3 thin films. Ceram. Int. 2015, 41, 12980–12987. [Google Scholar] [CrossRef]
- Zhang, Y.L.; Li, W.L.; Cao, W.P.; Yu, F.; Qiao, Y.L.; Zhang, T.D.; Fei, W.D. Mn doping to enhance energy storage performance of lead-free 0.7NBT-0.3ST thin films with weak oxygen vacancies. Appl. Phys. Lett. 2017, 110, 243901. [Google Scholar] [CrossRef]
- Wang, X.L.; Zhang, L.W.; Hao, X.H.; An, S.L.; Song, B. Dielectric properties and energy-storage performances of (1-x)Pb(Mg1/3Nb2/3)O3-xPbTiO3 relaxor ferroelectric thin films. J. Mater. Sci. Mater. Electron. 2015, 26, 9583–9590. [Google Scholar] [CrossRef]
- Xu, Z.; Hao, X.H.; An, S.L. Dielectric propertie and energy-storage performance of (Na0.5Bi0.5)TiO3-SrTiO3 thick films derived from polyvinylpyrrolidone-modified chemical solution. J. Alloys Compd. 2015, 639, 387–392. [Google Scholar] [CrossRef]
- Zhao, Y.; Gao, H.; Hao, X.H.; Zhang, Q. Orientation-dependent energy-storage performance and electrocaloric effect in PLZST antiferroelectric thick films. Mater. Res. Bull. 2016, 84, 177–184. [Google Scholar] [CrossRef]
- Xie, Z.K.; Yue, Z.X.; Ruehl, G.; Peng, B.L.; Zhang, J.; Qi, Y.; Zhang, X.H.; Li, L.T. Bi(Ni1/2Zr1/2)O3-PbTiO3 relaxor-ferroelectric films for piezoelectric energy harvesting and electrostatic storage. Appl. Phys. Lett. 2014, 104, 243902. [Google Scholar] [CrossRef]
- Cao, W.P.; Li, W.L.; Feng, Y.; Bai, T.; Qiao, Y.L.; Hou, Y.F.; Zhang, T.D.; Yu, F.; Fei, W.D. Defect dipole induced large recoverable strain and high energy-storage density in leadfree Na0.5Bi0.5TiO3-based systems. Appl. Phys. Lett. 2016, 108, 202902. [Google Scholar] [CrossRef]
- Zhao, L.; Gao, J.; Liu, Q.; Zhang, S.; Li, J.F. Silver Niobate Lead-Free Antiferroelectric Ceramics: Enhancing Energy Storage Density by B-Site Doping. ACS Appl. Mater. Interfaces 2018, 10, 819–826. [Google Scholar] [CrossRef] [PubMed]
- Chen, Q.; Shen, Y.; Zhang, S.H.; Zhang, Q.M.; Clarke, D.R. Polymer-based dielectrics with high energy storage density. Annu. Rev. Mater. Res. 2015, 45, 433–458. [Google Scholar] [CrossRef]
- Müller, J.; Böscke, T.S.; Schröder, U.; Mueller, S.; Bräuhaus, D.; Böttger, U.; Frey, L.; Mikolajick, T. Ferroelectricity in Simple Binary ZrO2 and HfO2. Nano Lett. 2012, 12, 4318–4323. [Google Scholar] [CrossRef] [PubMed]
- Xu, M.X.; Peng, B.L.; Zhu, J.G.; Liu, L.J.; Sun, W.H.; Leighton, G.; Shaw, C.; Lou, N.N.; Zhang, Q. Enhanced energy storage performance of (1-x)(BCT-BMT)-xBFO lead-free relaxor ferroelectric ceramics in a broad temperature range. J. Alloys Compd. 2019, 789, 303–312. [Google Scholar] [CrossRef]
- He, S.K.; Peng, B.L.; Leighton, G.; Shaw, C.; Wang, N.Z.; Sun, W.H.; Liu, L.J.; Zhang, Q. High-performance La-doped BCZT thin film capacitors on LaNiO3/Pt composite bottom electrodes with ultra-high efficiency and high thermal stability. Ceram. Int. 2019, 45, 11749–11755. [Google Scholar] [CrossRef]
- Li, L.C.; Xu, M.X.; Zhang, Q.; Chen, P.; Wang, N.Z.; Xiong, D.K.; Peng, B.L.; Liu, L.J. Electrocaloric effect in La-doped BNT-6BT relaxor ferroelectric ceramics. Ceram. Int. 2018, 44, 343–350. [Google Scholar] [CrossRef]
- Ren, P.R.; Liu, Z.C.; Wang, Q.; Peng, B.L.; Ke, S.M.; Fan, H.Q.; Zhao, G.Y. Large nonlinear dielectric behavior in BaTi(1-x)SnxO3. Sci. Rep. 2017, 7, 6693. [Google Scholar]
- Wang, J.; Sun, N.; Li, Y.; Zhang, Q.; Hao, X.; Chou, X. Effects of Mn doping on dielectric properties and energy-storage performance of Na0.5Bi0.5TiO3 thick films. Ceram. Int. 2017, 43, 7804–7809. [Google Scholar] [CrossRef]
- Liu, X.H.; Li, Y.; Hao, X.H. Ultra-high energy-storage density and fast discharge speed of (Pb0.98−xLa0.02Srx)(Zr0.9Sn0.1)0.995O3 antiferroelectric ceramics prepared via tape-casting method. J. Mater. Chem. A 2019, 19, 11858–11866. [Google Scholar] [CrossRef]
Disclaimer/Publisher’s Note: The statements, opinions and data contained in all publications are solely those of the individual author(s) and contributor(s) and not of MDPI and/or the editor(s). MDPI and/or the editor(s) disclaim responsibility for any injury to people or property resulting from any ideas, methods, instructions or products referred to in the content. |
© 2024 by the authors. Licensee MDPI, Basel, Switzerland. This article is an open access article distributed under the terms and conditions of the Creative Commons Attribution (CC BY) license (https://creativecommons.org/licenses/by/4.0/).









