Cyclometalated and NNN Terpyridine Ruthenium Photocatalysts and Their Cytotoxic Activity
Abstract
1. Introduction
2. Results and Discussion
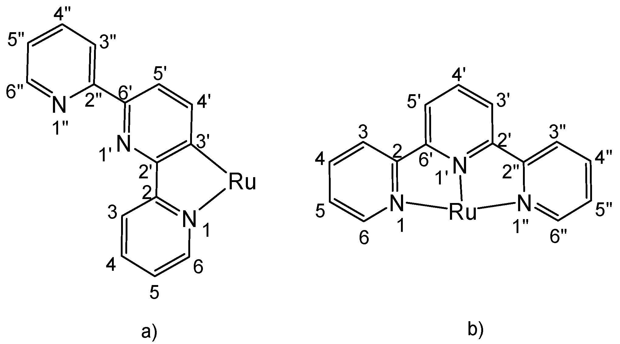
2.1. Synthesis of NC– and NNN–Terpyridine Ruthenium Complexes with Diphosphine Ligands
2.2. TH of Acetophenone Photocatalyzed by Tpy Ruthenium Complexes
2.3. Effects of Ruthenium Complexes on Cell Viability in ATC Cell Lines
3. Materials and Methods
3.1. General Experimental Information
3.2. Experimental Synthetic Procedure and Characterization Data for Ruthenium Complexes
- Synthesis of [Ru(η2-OAc)(NC-tpy)(dppb)] (1).
- Synthesis of [Ru(η2-OAc)2((R,R)-Skewphos)] (2).
- Synthesis of [Ru(η2-OAc)2((S,S)-Skewphos)] (3).
- Synthesis of [Ru(η2-OAc)(NC-tpy)((R,R)-Skewphos)] (4).
- Synthesis of [Ru(η2-OAc)(NC-tpy)((S,S)-Skewphos)] (5).
- Synthesis of [Ru(η1-OAc)(NNN-tpy)((R,R)-Skewphos)]OAc (6).
- Synthesis of [Ru(η1-OAc)(NNN-tpy)((S,S)-Skewphos)]OAc (7).
3.3. Typical Procedure for the Photocatalytic TH of Acetophenone
3.4. Cytotoxicity Assays
3.4.1. Cell Lines
3.4.2. MTT Cell Viability Assay
3.5. X-ray Crystallography
4. Conclusions
Supplementary Materials
Author Contributions
Funding
Institutional Review Board Statement
Informed Consent Statement
Data Availability Statement
Acknowledgments
Conflicts of Interest
References
- Magano, J.; Dunetz, J.R. Large-Scale Carbonyl Reductions in the Pharmaceutical Industry. Org. Process Res. Dev. 2012, 16, 1156–1184. [Google Scholar] [CrossRef]
- Haack, K.-J.; Hashiguchi, S.; Fujii, A.; Ikariya, T.; Noyori, R. The Catalyst Precursor, Catalyst, and Intermediate in the RuII-Promoted Asymmetric Hydrogen Transfer between Alcohols and Ketones. Angew. Chem. Int. Ed. Engl. 1997, 36, 285–288. [Google Scholar] [CrossRef]
- Baratta, W.; Chelucci, G.; Herdtweck, E.; Magnolia, S.; Siega, K.; Rigo, P. Highly Diastereoselective Formation of Ruthenium Complexes for Efficient Catalytic Asymmetric Transfer Hydrogenation. Angew. Chem. Int. Ed. 2007, 46, 7651–7654. [Google Scholar] [CrossRef] [PubMed]
- Ohkuma, T.; Sandoval, C.A.; Srinivasan, R.; Lin, Q.; Wei, Y.; Muñiz, K.; Noyori, R. Asymmetric Hydrogenation of tert-Alkyl Ketones. J. Am. Chem. Soc. 2005, 127, 8288–8289. [Google Scholar] [CrossRef] [PubMed]
- Baratta, W.; Herdtweck, E.; Siega, K.; Toniutti, M.; Rigo, P. 2-(Aminomethyl)pyridine-Phosphine Ruthenium(II) Complexes: Novel Highly Active Transfer Hydrogenation Catalysts. Organometallics 2005, 24, 1660–1669. [Google Scholar] [CrossRef]
- Doucet, H.; Ohkuma, T.; Murata, K.; Yokozawa, T.; Kozawa, M.; Katayama, E.; England, A.F.; Ikariya, T.; Noyori, R. trans-[RuCl2(phosphane)2(1,2-diamine)] and Chiral trans-[RuCl2(diphosphane)(1,2-diamine)]: Shelf-Stable Precatalysts for the Rapid, Productive, and Stereoselective Hydrogenation of Ketones. Angew. Chem. Int. Ed. 1998, 37, 1703–1707. [Google Scholar] [CrossRef]
- Xie, X.; Lu, B.; Li, W.; Zhang, Z. Coordination Determined Chemo- and Enantioselectivities in Asymmetric Hydrogenation of Multi-Functionalized Ketones. Coord. Chem. Rev. 2018, 355, 39–53. [Google Scholar] [CrossRef]
- Wang, D.; Astruc, D. The Golden Age of Transfer Hydrogenation. Chem. Rev. 2015, 115, 6621–6686. [Google Scholar] [CrossRef]
- Baratta, W.; Rigo, P. 1-(Pyridin-2-yl)methanamine-Based Ruthenium Catalysts for Fast Transfer Hydrogenation of Carbonyl Compounds in 2-Propanol. Eur. J. Inorg. Chem. 2008, 2008, 4041–4053. [Google Scholar] [CrossRef]
- Bell, J.D.; Murphy, J.A. Recent advances in visible light-activated radical coupling reactions triggered by (i) ruthenium, (ii) iridium and (iii) organic photoredox agents. Chem. Soc. Rev. 2021, 50, 9540–9685. [Google Scholar] [CrossRef]
- Shon, J.-H.; Teets, T.S. Photocatalysis with Transition Metal Based Photosensitizers. Comments Inorg. Chem. 2020, 40, 53–85. [Google Scholar] [CrossRef]
- Angerani, S.; Winssinger, N. Visible Light Photoredox Catalysis Using Ruthenium Complexes in Chemical Biology. Chem. Eur. J. 2019, 25, 6661–6672. [Google Scholar] [CrossRef] [PubMed]
- Herance, J.R.; Ferrer, B.; Bourdelande, J.L.; Marquet, J.; Garcia, H. A Photocatalytic Acid- and Base-Free Meerwein–Ponndorf–Verley-Type Reduction Using a [Ru(bpy)3]2+/Viologen Couple. Chem. Eur. J. 2006, 12, 3890–3895. [Google Scholar] [CrossRef] [PubMed]
- Rupp, M.T.; Shevchenko, N.; Hanan, G.S.; Kurth, D.G. Enhancing the photophysical properties of Ru(II) complexes by specific design of tridentate ligands. Coord. Chem. Rev. 2021, 446, 214127. [Google Scholar] [CrossRef]
- Taniya, O.S.; Kopchuk, D.S.; Khasanov, A.F.; S.Kovalev, I.; Santra, S.; Zyryanov, G.V.; Majee, A.; Charushin, V.N.; Chupakhin, O.N. Synthetic approaches and supramolecular properties of 2,2′:n′,m″-terpyridine domains (n = 3,4,5,6; m = 2,3,4) based on the 2,2′-bipyridine core as ligands with k2N-bidentate coordination mode. Coord. Chem. Rev. 2021, 442, 213980. [Google Scholar] [CrossRef]
- Constable, E.C.; Housecroft, C.E. More hydra than Janus—Non-classical coordination modes in complexes of oligopyridine ligands. Coord. Chem. Rev. 2017, 350, 84–104. [Google Scholar] [CrossRef]
- Shanahan, J.P.; Moore, C.M.; Kampf, J.W.; Szymczak, N.K. Modulation of H+/H− exchange in iridium-hydride 2-hydroxypyridine complexes by remote Lewis acids. Chem. Commun. 2021, 57, 11705–11708. [Google Scholar] [CrossRef] [PubMed]
- Li, C.-J.; Guo, J.-G.; Cai, S.-L.; Zheng, S.-R.; Zhang, W.-G. Synthesis of two Zn(II) compounds from terpyridine-based ligand: Structures, crystal-to-crystal transformation and detection of nerve agent mimics. Inorg. Chem. Commun. 2016, 73, 16–20. [Google Scholar] [CrossRef]
- Singh Bindra, G.; Schulz, M.; Paul, A.; Groarke, R.; Soman, S.; Inglis, J.L.; Browne, W.R.; Pfeffer, M.G.; Rau, S.; MacLean, B.J.; et al. The role of bridging ligand in hydrogen generation by photocatalytic Ru/Pd assemblies. Dalton Trans. 2012, 41, 13050–13059. [Google Scholar] [CrossRef]
- Stoccoro, S.; Zucca, A.; Petretto, G.L.; Cinellu, M.A.; Minghetti, G.; Manassero, M. Dinuclear platinum(II) complexes with bridging twofold deprotonated 2,2′:6′,2″-terpyridine. New molecules with a 3,5-diplatinated-pyridyl inner core: [Pt2(terpy-2H)(Me)2(L)2], [Pt2(terpy-2H)(X)2(L)2] and [Pt2(terpy-2H)(H)2(L)2] (L = neutral ligand; X = halide)—Crystal and molecular structure of [Pt2(terpy-2H)(Cl)2(PPh3)2]. J. Organomet. Chem. 2006, 691, 4135–4146. [Google Scholar]
- Doppiu, A.; Minghetti, G.; Cinellu, M.A.; Stoccoro, S.; Zucca, A.; Manassero, M. Unprecedented Behavior of 2,2′:6′,2″-Terpyridine: Dinuclear Platinum(II) Derivatives with a New N,C∧C,N Bridging Ligand. Organometallics 2001, 20, 1148–1152. [Google Scholar] [CrossRef]
- Winter, A.; Schubert, U.S. Metal-Terpyridine Complexes in Catalytic Application—A Spotlight on the Last Decade. ChemCatChem 2020, 12, 2890–2941. [Google Scholar] [CrossRef]
- Wei, C.; He, Y.; Shi, X.; Song, Z. Terpyridine-metal complexes: Applications in catalysis and supramolecular chemistry. Coord. Chem. Rev. 2019, 385, 1–19. [Google Scholar] [CrossRef]
- Maity, A.; Sil, A.; Patra, S.K. Ruthenium(II) Complexes of 4′-(Aryl)-2,2′:6′,2″-terpyridyl Ligands as Simple Catalysts for the Transfer Hydrogenation of Ketones. Eur. J. Inorg. Chem. 2018, 2018, 4063–4073. [Google Scholar] [CrossRef]
- Moore, C.M.; Szymczak, N.K. 6,6′-Dihydroxy terpyridine: A proton-responsive bifunctional ligand and its application in catalytic transfer hydrogenation of ketones. Chem. Commun. 2013, 49, 400–402. [Google Scholar] [CrossRef] [PubMed]
- Jagadeesh, R.V.; Wienhöfer, G.; Westerhaus, F.A.; Surkus, A.-E.; Junge, H.; Junge, K.; Beller, M. A Convenient and General Ruthenium-Catalyzed Transfer Hydrogenation of Nitro- and Azobenzenes. Chem. Eur. J. 2011, 17, 14375–14379. [Google Scholar] [CrossRef] [PubMed]
- Dong, W.; Tang, J.; Zhao, L.; Chen, F.; Deng, L.; Xian, M. The visible-light-driven transfer hydrogenation of nicotinamide cofactors with a robust ruthenium complex photocatalyst. Green Chem. 2020, 22, 2279–2287. [Google Scholar] [CrossRef]
- Ballico, M.; Alessi, D.; Jandl, C.; Lovison, D.; Baratta, W. Terpyridine Diphosphine Ruthenium Complexes as Efficient Photocatalysts for the Transfer Hydrogenation of Carbonyl Compounds. Chem. Eur. J. 2022, 28, e202201722. [Google Scholar] [CrossRef] [PubMed]
- Rupp, M.; Auvray, T.; Rousset, E.; Mercier, G.M.; Marvaud, V.; Kurth, D.G.; Hanan, G.S. Photocatalytic Hydrogen Evolution Driven by a Heteroleptic Ruthenium(II) Bis(terpyridine) Complex. Inorg. Chem. 2019, 58, 9127–9134. [Google Scholar] [CrossRef]
- Ye, D.; Liu, L.; Peng, Q.; Qiu, J.; Gong, H.; Zhong, A.; Liu, S. Effect of Controlling Thiophene Rings on D-A Polymer Photocatalysts Accessed via Direct Arylation for Hydrogen Production. Molecules 2023, 28, 4507. [Google Scholar] [CrossRef]
- Zhang, Y.-Q.; Li, Y.-Y.; Maseras, F.; Liao, R.-Z. Mechanism and selectivity of photocatalyzed CO2 reduction by a function-integrated Ru catalyst. Dalton Trans. 2022, 51, 3747–3759. [Google Scholar] [CrossRef] [PubMed]
- Assaf, E.A.; Gonell, S.; Chen, C.-H.; Miller, A.J.M. Accessing and Photo-Accelerating Low-Overpotential Pathways for CO2 Reduction: A Bis-Carbene Ruthenium Terpyridine Catalyst. ACS Catal. 2022, 12, 12596–12606. [Google Scholar] [CrossRef]
- Dupau, P.; Bonomo, L.; Kermorvan, L. Unexpected Role of Anionic Ligands in the Ruthenium-Catalyzed Base-Free Selective Hydrogenation of Aldehydes. Angew. Chem. Int. Ed. 2013, 52, 11347–11350. [Google Scholar] [CrossRef] [PubMed]
- Baldino, S.; Giboulot, S.; Lovison, D.; Nedden, H.G.; Pöthig, A.; Zanotti-Gerosa, A.; Zuccaccia, D.; Ballico, M.; Baratta, W. Preparation of Neutral trans-cis [Ru(O2CR)2P2(NN)], Cationic [Ru(O2CR)P2(NN)](O2CR) and Pincer [Ru(O2CR)(CNN)P2] (P = PPh3, P2 = diphosphine) Carboxylate Complexes and their Application in the Catalytic Carbonyl Compounds Reduction. Organometallics 2021, 40, 1086–1103. [Google Scholar] [CrossRef] [PubMed]
- Giboulot, S.; Comuzzi, C.; Del Zotto, A.; Figliolia, R.; Lippe, G.; Lovison, D.; Strazzolini, P.; Susmel, S.; Zangrando, E.; Zuccaccia, D.; et al. Preparation of monocarbonyl ruthenium complexes bearing bidentate nitrogen and phosphine ligands and their catalytic activity in carbonyl compound reduction. Dalton Trans. 2019, 48, 12560–12576. [Google Scholar] [CrossRef] [PubMed]
- Baratta, W.; Ballico, M.; Del Zotto, A.; Herdtweck, E.; Magnolia, S.; Peloso, R.; Siega, K.; Toniutti, M.; Zangrando, E.; Rigo, P. Pincer CNN Ruthenium(II) Complexes with Oxygen-Containing Ligands (O2CR, OAr, OR, OSiR3, O3SCF3): Synthesis, Structure, and Catalytic Activity in Fast Transfer Hydrogenation. Organometallics 2009, 28, 4421–4430. [Google Scholar] [CrossRef]
- Lovison, D.; Alessi, D.; Allegri, L.; Baldan, F.; Ballico, M.; Damante, G.; Galasso, M.; Guardavaccaro, D.; Ruggieri, S.; Melchior, A.; et al. Enantioselective Cytotoxicity of Chiral Diphosphine Ruthenium(II) Complexes Against Cancer Cells. Chem. Eur. J. 2022, 28, e202200200. [Google Scholar] [CrossRef]
- Lovison, D.; Allegri, L.; Baldan, F.; Ballico, M.; Damante, G.; Jandl, C.; Baratta, W. Cationic carboxylate and thioacetate ruthenium(II) complexes: Synthesis and cytotoxic activity against anaplastic thyroid cancer cells. Dalton Trans. 2020, 49, 8375–8388. [Google Scholar] [CrossRef]
- Lovison, D.; Berghausen, T.; Thomas, S.R.; Robson, J.; Drees, M.; Jandl, C.; Pöthig, A.; Mollik, P.; Halter, D.P.; Baratta, W.; et al. Beyond Metal-Arenes: Monocarbonyl Ruthenium(II) Catalysts for Transfer Hydrogenation Reactions in Water and in Cells. ACS Catal. 2023, 13, 10798–10823. [Google Scholar] [CrossRef]
- Zhang, P.; Sadler, P.J. Advances in the design of organometallic anticancer complexes. J. Organomet. Chem. 2017, 839, 5–14. [Google Scholar] [CrossRef]
- Murray, B.S.; Babak, M.V.; Hartinger, C.G.; Dyson, P.J. The development of RAPTA compounds for the treatment of tumors. Coord. Chem. Rev. 2016, 306, 86–114. [Google Scholar] [CrossRef]
- Hartinger, C.G.; Metzler-Nolte, N.; Dyson, P.J. Challenges and Opportunities in the Development of Organometallic Anticancer Drugs. Organometallics 2012, 31, 5677–5685. [Google Scholar] [CrossRef]
- Kerner, C.; Lang, J.; Gaffga, M.; Menges, F.S.; Sun, Y.; Niedner-Schatteburg, G.; Thiel, W.R. Mechanistic Studies on Ruthenium(II)-Catalyzed Base-Free Transfer Hydrogenation Triggered by Roll-Over Cyclometalation. ChemPlusChem 2017, 82, 212–224. [Google Scholar] [CrossRef] [PubMed]
- Taghizadeh Ghoochany, L.; Kerner, C.; Farsadpour, S.; Menges, F.; Sun, Y.; Niedner-Schatteburg, G.; Thiel, W.R. C–H Activation at a Ruthenium(II) Complex—The Key Step for a Base-Free Catalytic Transfer Hydrogenation? Eur. J. Inorg. Chem. 2013, 2013, 4305–4317. [Google Scholar] [CrossRef]
- Ackermann, L. Carboxylate-Assisted Transition-Metal-Catalyzed C−H Bond Functionalizations: Mechanism and Scope. Chem. Rev. 2011, 111, 1315–1345. [Google Scholar] [CrossRef]
- Ackermann, L.; Vicente, R.; Potukuchi, H.K.; Pirovano, V. Mechanistic Insight into Direct Arylations with Ruthenium(II) Carboxylate Catalysts. Org. Lett. 2010, 12, 5032–5035. [Google Scholar] [CrossRef]
- Požgan, F.; Dixneuf, P.H. Ruthenium(II) Acetate Catalyst for Direct Functionalisation of sp2-C-H Bonds with Aryl Chlorides and Access to Tris- Heterocyclic Molecules. Adv. Synth. Catal. 2009, 351, 1737–1743. [Google Scholar] [CrossRef]
- Han, F.; Choi, P.H.; Ye, C.X.; Grell, Y.; Xie, X.L.; Ivlev, S.I.; Chen, S.M.; Meggers, E. Cyclometalated Chiral-at-Ruthenium Catalyst for Enantioselective Ring-Closing C(sp3)-H Carbene Insertion to Access Chiral Flavanones. ACS Catal. 2022, 12, 10304–10312. [Google Scholar] [CrossRef]
- Wu, Z.; Wang, Z.-Q.; Cheng, H.; Zheng, Z.-H.; Yuan, Y.; Chen, C.; Verpoort, F. Gram-scale synthesis of carboxylic acids via catalytic acceptorless dehydrogenative coupling of alcohols and hydroxides at an ultralow Ru loading. Appl. Catal. A Gen. 2022, 630, 118443. [Google Scholar] [CrossRef]
- Illam, P.M.; Rit, A. Electronically tuneable orthometalated RuII–NHC complexes as efficient catalysts for C–C and C–N bond formations via borrowing hydrogen strategy. Catal. Sci. Technol. 2022, 12, 67–74. [Google Scholar] [CrossRef]
- Piehl, P.; Amuso, R.; Spannenberg, A.; Gabriele, B.; Neumann, H.; Beller, M. Efficient methylation of anilines with methanol catalysed by cyclometalated ruthenium complexes. Catal. Sci. Technol. 2021, 11, 2512–2517. [Google Scholar] [CrossRef]
- Dumas, A.; Tarrieu, R.; Vives, T.; Roisnel, T.; Dorcet, V.; Baslé, O.; Mauduit, M. A Versatile and Highly Z-Selective Olefin Metathesis Ruthenium Catalyst Based on a Readily Accessible N-Heterocyclic Carbene. ACS Catal. 2018, 8, 3257–3262. [Google Scholar] [CrossRef]
- Giboulot, S.; Baldino, S.; Ballico, M.; Nedden, H.G.; Zuccaccia, D.; Baratta, W. Cyclometalated Dicarbonyl Ruthenium Catalysts for Transfer Hydrogenation and Hydrogenation of Carbonyl Compounds. Organometallics 2018, 37, 2136–2146. [Google Scholar] [CrossRef]
- Pannetier, N.; Sortais, J.-B.; Issenhuth, J.-T.; Barloy, L.; Sirlin, C.; Holuigue, A.; Lefort, L.; Panella, L.; de Vries, J.G.; Pfeffer, M. Cyclometalated Complexes of Ruthenium, Rhodium and Iridium as Catalysts for Transfer Hydrogenation of Ketones and Imines. Adv. Synth. Catal. 2011, 353, 2844–2852. [Google Scholar] [CrossRef]
- Jerphagnon, T.; Haak, R.; Berthiol, F.; Gayet, A.J.A.; Ritleng, V.; Holuigue, A.; Pannetier, N.; Pfeffer, M.; Voelklin, A.; Lefort, L.; et al. Ruthenacycles and Iridacycles as Catalysts for Asymmetric Transfer Hydrogenation and Racemisation. Top. Catal. 2010, 53, 1002–1008. [Google Scholar] [CrossRef]
- Baratta, W.; Chelucci, G.; Gladiali, S.; Siega, K.; Toniutti, M.; Zanette, M.; Zangrando, E.; Rigo, P. Ruthenium(II) Terdentate CNN Complexes: Superlative Catalysts for the Hydrogen-Transfer Reduction of Ketones by Reversible Insertion of a Carbonyl Group into the Ru-H Bond. Angew. Chem. Int. Ed. 2005, 44, 6214–6219. [Google Scholar] [CrossRef] [PubMed]
- Baratta, W.; Da Ros, P.; Del Zotto, A.; Sechi, A.; Zangrando, E.; Rigo, P. Cyclometalated Ruthenium(II) Complexes as Highly Active Transfer Hydrogenation Catalysts. Angew. Chem. Int. Ed. 2004, 43, 3584–3588. [Google Scholar] [CrossRef] [PubMed]
- Cheung, K.P.S.; Sarkar, S.; Gevorgyan, V. Visible Light-Induced Transition Metal Catalysis. Chem. Rev. 2022, 122, 1543–1625. [Google Scholar] [CrossRef] [PubMed]
- Chan, A.Y.; Perry, I.B.; Bissonnette, N.B.; Buksh, B.F.; Edwards, G.A.; Frye, L.I.; Garry, O.L.; Lavagnino, M.N.; Li, B.X.; Liang, Y.; et al. Metallaphotoredox: The Merger of Photoredox and Transition Metal Catalysis. Chem. Rev. 2022, 122, 1485–1542. [Google Scholar] [CrossRef]
- Korvorapun, K.; Struwe, J.; Kuniyil, R.; Zangarelli, A.; Casnati, A.; Waeterschoot, M.; Ackermann, L. Photo-Induced Ruthenium-Catalyzed C−H Arylations at Ambient Temperature. Angew. Chem. Int. Ed. 2020, 59, 18103–18109. [Google Scholar] [CrossRef]
- Licona, C.; Delhorme, J.-B.; Riegel, G.; Vidimar, V.; Cerón-Camacho, R.; Boff, B.; Venkatasamy, A.; Tomasetto, C.; da Silva Figueiredo Celestino Gomes, P.; Rognan, D.; et al. Anticancer activity of ruthenium and osmium cyclometalated compounds: Identification of ABCB1 and EGFR as resistance mechanisms. Inorg. Chem. Front. 2020, 7, 678–688. [Google Scholar] [CrossRef]
- Ali, M.; Hamada, A.; Habbita, H.; Weckbach, J.; Orvain, C.; Gaiddon, C.; Pfeffer, M. Trans-C versus Cis-C thermally induced isomerisation of a terpyridine adduct of cytotoxic cycloruthenated compound. J. Organomet. Chem. 2017, 845, 206–212. [Google Scholar] [CrossRef]
- Perez, W.J.; Lake, C.H.; See, R.F.; Toomey, L.M.; Rowen Churchill, M.; Takeuchi, K.J.; Radano, C.P.; Boyko, W.J.; Bessel, C.A. In situ syntheses of trans-spanned octahedral ruthenium complexes. Crystal structures of trans-[Ru(Cl)(trpy){Ph2PC6H4CH2O(CO)(CH2)4(CO)OCH2C6H4PPh2}][PF6]·0.25C6H5Me·0.5CH2Cl2 and trans-[Ru(Cl)(trpy)(PPh3)2][BF4]·CH2Cl2†. J. Chem. Soc. Dalton Trans. 1999, 2281–2292. [Google Scholar] [CrossRef]
- Piehl, P.; Amuso, R.; Alberico, E.; Junge, H.; Gabriele, B.; Neumann, H.; Beller, M. Cyclometalated Ruthenium Pincer Complexes as Catalysts for the α-Alkylation of Ketones with Alcohols. Chem. Eur. J. 2020, 26, 6050–6055. [Google Scholar] [CrossRef]
- Ji, J.; Li, G.-Q.; Xu, Y.-Q.; Jia, A.-Q.; Zhang, Q.-F. Syntheses and properties of cyclometalated ruthenium(II) complexes with 1,10-phenanthroline and phenylphthalazine ligands. Z. Naturforsch. B 2019, 74, 267–271. [Google Scholar] [CrossRef]
- Li, B.; Roisnel, T.; Darcel, C.; Dixneuf, P.H. Cyclometallation of arylimines and nitrogen-containing heterocycles via room-temperature C–H bond activation with arene ruthenium(II) acetate complexes. Dalton Trans. 2012, 41, 10934–10937. [Google Scholar] [CrossRef] [PubMed]
- Maas, G.; Schäffler, L.; Buck, S. Two New Ruthenium(II) Complexes with Cyclometalated 2-Phenylpyridine Ligands. Z. Naturforsch. B 2008, 63, 977–984. [Google Scholar] [CrossRef]
- Yellol, J.; Pérez, S.A.; Buceta, A.; Yellol, G.; Donaire, A.; Szumlas, P.; Bednarski, P.J.; Makhloufi, G.; Janiak, C.; Espinosa, A.; et al. Novel C,N-Cyclometalated Benzimidazole Ruthenium(II) and Iridium(III) Complexes as Antitumor and Antiangiogenic Agents: A Structure–Activity Relationship Study. J. Med. Chem. 2015, 58, 7310–7327. [Google Scholar] [CrossRef] [PubMed]
- Aiki, S.; Taketoshi, A.; Kuwabara, J.; Koizumi, T.-a.; Kanbara, T. The catalytic activity of a cyclometalated ruthenium(III) complex for aerobic oxidative dehydrogenation of benzylamines. J. Organomet. Chem. 2011, 696, 1301–1304. [Google Scholar] [CrossRef]
- Cao, W.; Feng, X.; Liu, X. Reversal of enantioselectivity in chiral metal complex-catalyzed asymmetric reactions. Org. Biomol. Chem. 2019, 17, 6538–6550. [Google Scholar] [CrossRef]
- Xi, Z.-W.; Yang, L.; Wang, D.-Y.; Feng, C.-W.; Qin, Y.; Shen, Y.-M.; Pu, C.; Peng, X. Visible Light Induced Reduction and Pinacol Coupling of Aldehydes and Ketones Catalyzed by Core/Shell Quantum Dots. J. Org. Chem. 2021, 86, 2474–2488. [Google Scholar] [CrossRef]
- Matsubara, Y.; Fujita, E.; Doherty, M.D.; Muckerman, J.T.; Creutz, C. Thermodynamic and Kinetic Hydricity of Ruthenium(II) Hydride Complexes. J. Am. Chem. Soc. 2012, 134, 15743–15757. [Google Scholar] [CrossRef] [PubMed]
- Lin, B.; Ma, H.; Ma, M.; Zhang, Z.; Sun, Z.; Hsieh, I.Y.; Okenwa, O.; Guan, H.; Li, J.; Lv, W. The incidence and survival analysis for anaplastic thyroid cancer: A SEER database analysis. Am. J. Transl. Res. 2019, 11, 5888–5896. [Google Scholar] [PubMed]
- Allegri, L.; Baldan, F.; Mio, C.; Puppin, C.; Russo, D.; Kryštof, V.; Damante, G. Effects of BP-14, a novel cyclin-dependent kinase inhibitor, on anaplastic thyroid cancer cells. Oncol. Rep. 2016, 35, 2413–2418. [Google Scholar] [CrossRef] [PubMed]
- Allegri, L.; Baldan, F.; Roy, S.; Aubé, J.; Russo, D.; Filetti, S.; Damante, G. The HuR CMLD-2 inhibitor exhibits antitumor effects via MAD2 downregulation in thyroid cancer cells. Sci. Rep. 2019, 9, 7374. [Google Scholar] [CrossRef] [PubMed]
- Allegri, L.; Mio, C.; Russo, D.; Filetti, S.; Baldan, F. Effects of HuR downregulation on anaplastic thyroid cancer cells. Oncol. Lett. 2018, 15, 575–579. [Google Scholar] [CrossRef] [PubMed]
- Baldan, F.; Mio, C.; Allegri, L.; Puppin, C.; Russo, D.; Filetti, S.; Damante, G. Synergy between HDAC and PARP Inhibitors on Proliferation of a Human Anaplastic Thyroid Cancer-Derived Cell Line. Int. J. Endocrinol. 2015, 2015, 978371. [Google Scholar] [CrossRef] [PubMed]
- Stephenson, T.A.; Wilkinson, G. New complexes of ruthenium (II) and (III) with triphenylphosphine, triphenylarsine, trichlorostannate, pyridine and other ligands. J. inorg. Nucl. Chem. 1966, 28, 945–956. [Google Scholar] [CrossRef]
- Jung, C.W.; Garrou, P.E.; Hoffman, P.R.; Caulton, K.G. Reexamination of the reactions of Ph2P(CH2)nPPh2 (n = 1–4) with RuCl2(PPh3)3. Inorg. Chem. 1984, 23, 726–729. [Google Scholar] [CrossRef]
- Wong, W.-K.; Lai, K.-K.; Tse, M.-S.; Tse, M.-C.; Gao, J.-X.; Wong, W.-T.; Chan, S. Reactivity of Ru(OAc)2(Ph3P)2 Toward Chelating Diphosphine Ligands. X-ray Crystal Structures of fac-Ru(OAc)2(Ph3P)(dppm) and trans-Ru(OAc)2(P2N2H4). Polyhedron 1994, 13, 2751–2762. [Google Scholar] [CrossRef]
- Baldan, F.; Mio, C.; Allegri, L.; Conzatti, K.; Toffoletto, B.; Puppin, C.; Radovic, S.; Vascotto, C.; Russo, D.; Di Loreto, C.; et al. Identification of tumorigenesis-related mRNAs associated with RNA-binding protein HuR in thyroid cancer cells. Oncotarget 2016, 7, 63388–63407. [Google Scholar] [CrossRef]
- Allegri, L.; Baldan, F.; Molteni, E.; Mio, C.; Damante, G. Role of m6A RNA Methylation in Thyroid Cancer Cell Lines. Int. J. Mol. Sci. 2022, 23, 11516. [Google Scholar] [CrossRef] [PubMed]
- APEX Suite of Crystallographic Software, APEX 3, Version 2019-1.0; Bruker AXS Inc.: Madison, WI, USA, 2019.
- SAINT, Version 8.40A; Bruker AXS Inc.: Madison, WI, USA, 2019.
- SADABS, Version 2016/2; Bruker AXS Inc.: Madison, WI, USA, 2016.
- Sheldrick, G.M. Crystal structure refinement with SHELXL. Acta Crystallogr. Sect. A 2015, 71, 3–8. [Google Scholar] [CrossRef] [PubMed]
- Sheldrick, G.M. SHELXT—Integrated space-group and crystal-structure determination. Acta Crystallogr. Sect. C 2015, 71, 3–8. [Google Scholar] [CrossRef] [PubMed]
- Hübschle, C.B.; Sheldrick, G.M.; Dittrich, B. ShelXle: A Qt graphical user interface for SHELXL. J. Appl. Cryst. 2011, 44, 1281–1284. [Google Scholar] [CrossRef]
- Wilson, A.J. (Ed.) International Tables for Crystallography, Vol. C; Tables 6.1.1.4 (pp. 500–502), 4.2.6.8 (pp. 219–222), and 4.2.4.2 (pp. 193–199); Kluwer Academic Publishers: Dordrecht, The Netherlands, 1992. [Google Scholar]
- Macrae, C.F.; Bruno, I.J.; Chisholm, J.A.; Edgington, P.R.; McCabe, P.; Pidcock, E.; Rodriguez-Monge, L.; Taylor, R.; van de Streek, J.A. Wood. Mercury CSD 2.0—New features for the visualization and investigation of crystal structures. J. Appl. Cryst. 2008, 41, 466–470. [Google Scholar] [CrossRef]









| Entry | Complex | Solvent | Time a (h) | Conv. b (%) | TOF50 c (h−1) | ee b (%) |
|---|---|---|---|---|---|---|
| 1 | 1 | iPrOH | 18 | 93 | 83 | rac |
| 2 | 4 | iPrOH | 16 | 96 | 81 | rac |
| 3 | 4 | iPrOH/MeOH (1:1) | 32 | 93 | 47 | 52 S |
| 4 | 5 | iPrOH | 18 | 95 | 85 | rac |
| 5 | 5 | iPrOH/MeOH (1:1) | 34 | 91 | 40 | 50 R |
| 6 | 6 | iPrOH | 9 | 97 | 136 | rac |
| 7 | 6 | iPrOH/MeOH (1:1) | 28 | 92 | 56 | 51 S |
| 8 | 7 | iPrOH | 9 | 99 | 140 | rac |
| 9 | 7 | iPrOH/MeOH (1:1) | 28 | 94 | 51 | 52 R |
| Complex | ED50 | ||
|---|---|---|---|
| SW1736 (µM) | 8505C (µM) | Nthy-ori 3-1 (µM) | |
| 1 | 8.53 ± 0.98 | 7.73 ± 1.02 | 10.59 ± 1.28 |
| 4 | 2.18 ± 0.16 | 1.95 ± 0.23 | 3.88 ± 0.31 |
| 5 | 2.11 ± 011 | 2.06 ± 0.26 | 4.18 ± 0.09 |
| 6 | 1.39 ± 0.14 | 1.88 ± 0.21 | 4.38 ± 0.13 |
| 7 | 0.31 ± 0.11 | 0.75 ± 0.09 | 4.85 ± 0.17 |
| [RuCl(NNN-tpy)((R,R)-Skewphos)]Cl [28] | 3.36 ± 0.42 | 4.57 ± 0.53 | 6.91 ± 0.62 |
| [RuCl(NNN-tpy)((S,S)-Skewphos)]PF6 [28] | 2.63 ± 0.14 | 2.25 ± 0.17 | 7.21 ± 0.74 |
| Cisplatin | 6.40 ± 1.54 | 5.20 ± 1.82 | 11.28 ± 0.96 |
Disclaimer/Publisher’s Note: The statements, opinions and data contained in all publications are solely those of the individual author(s) and contributor(s) and not of MDPI and/or the editor(s). MDPI and/or the editor(s) disclaim responsibility for any injury to people or property resulting from any ideas, methods, instructions or products referred to in the content. |
© 2024 by the authors. Licensee MDPI, Basel, Switzerland. This article is an open access article distributed under the terms and conditions of the Creative Commons Attribution (CC BY) license (https://creativecommons.org/licenses/by/4.0/).
Share and Cite
Ballico, M.; Alessi, D.; Aneggi, E.; Busato, M.; Zuccaccia, D.; Allegri, L.; Damante, G.; Jandl, C.; Baratta, W. Cyclometalated and NNN Terpyridine Ruthenium Photocatalysts and Their Cytotoxic Activity. Molecules 2024, 29, 2146. https://doi.org/10.3390/molecules29092146
Ballico M, Alessi D, Aneggi E, Busato M, Zuccaccia D, Allegri L, Damante G, Jandl C, Baratta W. Cyclometalated and NNN Terpyridine Ruthenium Photocatalysts and Their Cytotoxic Activity. Molecules. 2024; 29(9):2146. https://doi.org/10.3390/molecules29092146
Chicago/Turabian StyleBallico, Maurizio, Dario Alessi, Eleonora Aneggi, Marta Busato, Daniele Zuccaccia, Lorenzo Allegri, Giuseppe Damante, Christian Jandl, and Walter Baratta. 2024. "Cyclometalated and NNN Terpyridine Ruthenium Photocatalysts and Their Cytotoxic Activity" Molecules 29, no. 9: 2146. https://doi.org/10.3390/molecules29092146
APA StyleBallico, M., Alessi, D., Aneggi, E., Busato, M., Zuccaccia, D., Allegri, L., Damante, G., Jandl, C., & Baratta, W. (2024). Cyclometalated and NNN Terpyridine Ruthenium Photocatalysts and Their Cytotoxic Activity. Molecules, 29(9), 2146. https://doi.org/10.3390/molecules29092146

