P(V)-Promoted Rh-Catalyzed Highly Regioselective Hydroformylation of Styrenes under Mild Conditions
Abstract
1. Introduction
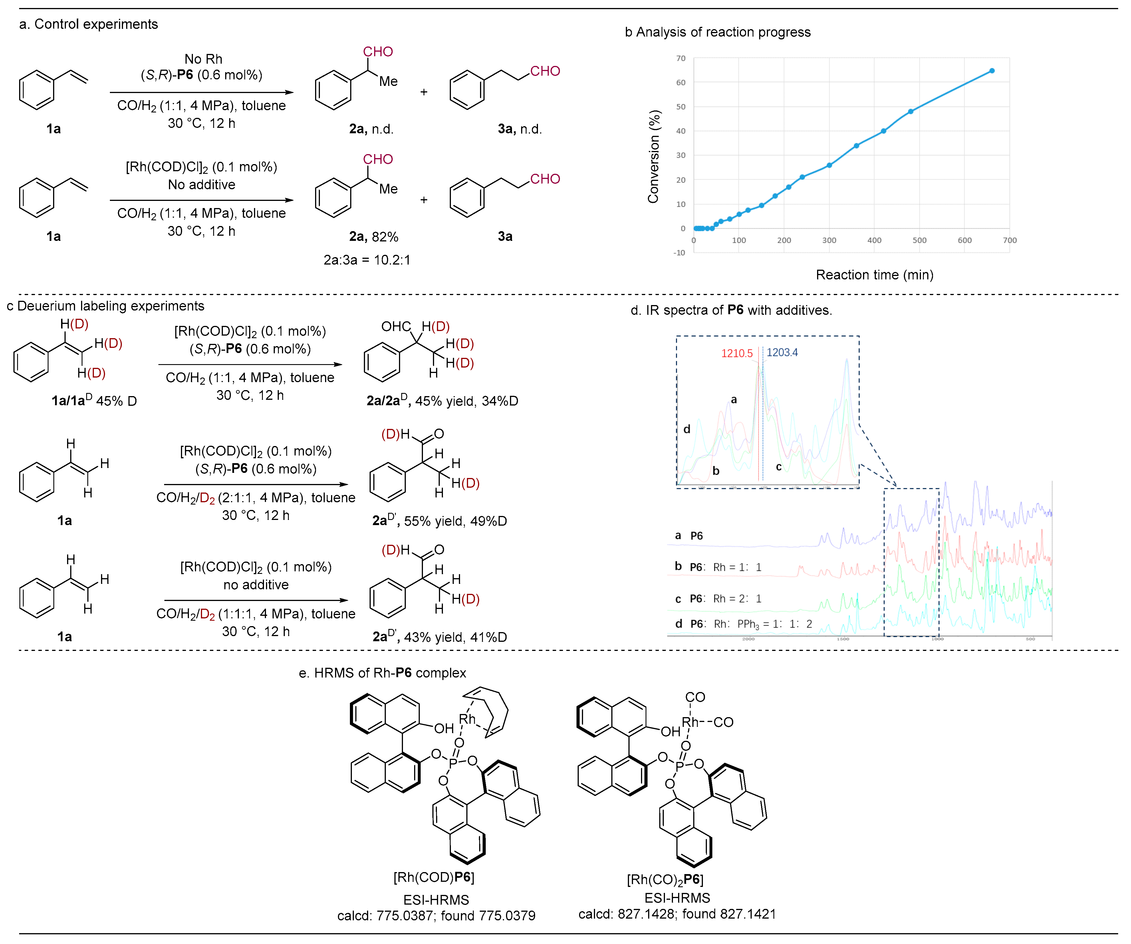
2. Results and Discussion
3. Materials and Methods
3.1. Synthesis of the Phosphates
3.1.1. Synthesis of (R)-P4 [35,37,55,56]

3.1.2. Synthesis of (R, R)-P5

3.1.3. Synthesis of (S, R)-P6
3.1.4. Synthesis of (S, R)-P7

3.1.5. Synthesis of (S, R)-P8

3.1.6. Synthesis of (R, R)-P9 [57]

3.1.7. Synthesis of (S, R)-P10
3.1.8. Synthesis of (S, S, S, R)-P11

3.2. Deuteration of Styrene

3.3. General Procedure for Hydroformylation
- 2-(2-Fluorophenyl)propanal (2b) Colorless oil, 94% yield. 1H NMR (400 MHz, CDCl3) δ 9.67 (d, J = 0.7 Hz, 1H), 7.22 (m, 1H), 7.11–7.01 (m, 3H), 3.84 (q, J = 7.1 Hz, 1H), 1.38 (d, J = 7.2 Hz, 3H).
- 2-(3-Fluorophenyl)propanal (2c) Colorless oil, 94% yield. 1H NMR (400 MHz, CDCl3) δ 9.56 (d, J = 1.4 Hz, 1H), 7.27–7.21 (m, 1H), 6.92–6.87 (m, 2H), 6.85–6.81 (m, 1H), 3.54 (q, J = 6.4 Hz, 1H), 1.34 (d, J = 7.1 Hz, 3H).
- 2-(4-fluorophenyl)propanal (2d) Colorless oil, 93% yield. 1H NMR (400 MHz, CDCl3) δ 9.67 (d, J = 1.3 Hz, 1H), 7.38–7.34 (m, 2H), 7.18–7.14 (m, 2H), 3.64 (q, J = 6.7 Hz, 1H), 1.45 (d, J = 7.1 Hz, 3H).
- 2-(2-chlorophenyl)propanal (2e) Colorless oil, 95% yield. 1H NMR (400 MHz, CDCl3) δ 9.72 (s, 1H), 7.44 (dd, J = 7.5, 1.8 Hz, 1H), 7.31–7.22 (m, 2H), 7.14 (dd, J = 7.3, 2.1 Hz, 1H), 4.14 (q, J = 7.1 Hz, 1H), 1.44 (d, J = 7.1 Hz, 3H).
- 2-(3-chlorophenyl)propanal (2f) Colorless oil, 94% yield. 1H NMR (400 MHz, CDCl3) δ 9.68 (d, J = 1.3 Hz, 1H), 7.35–7.28 (m, 2H), 7.23 (d, J = 1.9 Hz, 1H), 7.11 (m, 1H), 3.64 (q, J = 6.7 Hz, 1H), 1.46 (d, J = 7.1 Hz, 3H).
- 2-(4-Chlorophenyl)propanal (2g) Colorless oil, 93% yield. 1H NMR (400 MHz, CDCl3) δ 9.64 (d, J = 1.3 Hz, 1H), 7.36–7.31 (m, 2H), 7.16–7.12 (m, 2H), 3.62 (q, J = 7.1 Hz, 1H), 1.42 (d, J = 7.1 Hz, 3H).
- 2-(2-bromophenyl)propanal (2h) Colorless oil, 91% yield. 1H NMR (400 MHz, CDCl3) δ 9.65 (s, 1H), 7.55 (dd, J = 8.0, 1.3 Hz, 1H), 7.27–7.22 (m, 1H), 7.09 (m, 1H), 7.03 (dd, J = 7.7, 1.7 Hz, 1H), 4.08 (q, J = 7.1 Hz, 1H), 1.34 (d, J = 7.1 Hz, 3H).
- 2-(3-bromophenyl)propanal (2i) Colorless oil, 94% yield. 1H NMR (400 MHz, CDCl3) δ 9.50 (d, J = 1.3 Hz, 1H), 7.29–7.23 (m, 2H), 7.10 (t, J = 7.8 Hz, 1H), 7.00 (m, 1H), 3.47 (q, J = 7.1, 6.4 Hz, 1H), 1.28 (d, J = 7.1 Hz, 3H).
- 2-(4-bromophenyl)propanal (2j) Colorless oil, 93% yield. 1H NMR (400 MHz, CDCl3) δ 9.66 (d, J = 1.3 Hz, 1H), 7.53–7.47 (m, 2H), 7.12–7.05 (m, 2H), 3.62 (q, J = 7.1, 6.7 Hz, 1H), 1.44 (d, J = 7.1 Hz, 3H).
- 2-(4-nitrophenyl)propanal (2k) Yellow solid, m.p. 39.5–40.1 °C, 94% yield. 1H NMR (400 MHz, CDCl3) δ 9.65 (d, J = 1.1 Hz, 1H), 8.17 (d, J = 8.7 Hz, 2H), 7.33 (d, J = 8.7 Hz, 2H), 3.73 (q, J = 7.1 Hz, 1H), 1.45 (d, J = 7.2 Hz, 3H).
- 2-(o-Tolyl)propanal (2l) Colorless oil, 92% yield. 1H NMR (400 MHz, CDCl3) δ 9.52 (s, 1H), 7.12–7.06 (m, 3H), 6.92 (d, J = 6.4 Hz, 1H), 3.72 (q, J = 7.0 Hz, 1H), 2.24 (s, 3H), 1.29 (d, J = 8.3 Hz, 3H).
- 2-(m-Tolyl)propanal (2m) Colorless oil, 92% yield. 1H NMR (400 MHz, CDCl3) δ 9.59 (d, J = 1.0 Hz, 1H), 7.18 (t, J = 7.9 Hz, 1H), 7.03 (d, J = 7.5 Hz, 1H), 6.92 (d, J = 6.6 Hz, 2H), 3.51 (q, J = 7.0 Hz, 1H), 2.27 (s, 3H), 1.34 (d, J = 7.1 Hz, 3H).
- 2-(p-Tolyl)propanal (2n) Colorless oil, 92% yield. 1H NMR (400 MHz, CDCl3) δ 9.66 (d, J = 1.3 Hz, 1H), 7.20 (d, J = 7.9 Hz, 2H), 7.10 (d, J = 8.0 Hz, 2H), 3.60 (q, J = 6.9 Hz, 1H), 2.35 (s, 3H), 1.42 (d, J = 7.1 Hz, 3H).
- 2-(4-iso-Butylphenyl)propanal (2o) Colorless oil, 92% yield. 1H NMR (400 MHz, CDCl3) δ 9.55 (d, J = 1.4 Hz, 1H), 7.06–6.98 (m, 4H), 3.49 (q, J = 6.1 Hz, 1H), 2.36 (d, J = 7.2 Hz, 2H), 1.75 (m, 1H), 1.31 (d, J = 7.1 Hz, 3H), 0.80 (d, J = 6.6 Hz, 6H).
- 2-(4-(tert-Butyl)phenyl)propanal (2p) Colorless oil, 88% yield. 1H NMR (400 MHz, CDCl3) δ 9.71 (d, J = 1.3 Hz, 1H), 7.44 (d, J = 8.3 Hz, 2H), 7.19 (d, J = 8.2 Hz, 2H), 3.65 (q, J = 7.0 Hz, 1H), 1.47 (d, J = 7.1 Hz, 3H), 1.36 (s, 9H).
- 2-(4-Hydroxyphenyl)propanal (2q) Colorless oil, 92% yield. 1H NMR (400 MHz, CDCl3) δ 9.53 (d, J = 1.0 Hz, 1H), 6.96 (d, J = 8.4 Hz, 2H), 6.77 (d, J = 8.4 Hz, 2H), 6.57 (s, 1H), 3.50 (q, J = 6.8 Hz, 1H), 1.31 (d, J = 7.1 Hz, 3H).
- 2-(4-Methoxyphenyl)propanal (2r) Colorless oil, 91% yield. 1H NMR (400 MHz, CDCl3) δ 9.53 (d, J = 1.4 Hz, 1H), 7.05–7.00 (m, 2H), 6.84–6.79 (m, 2H), 3.69 (s, 3H), 3.48 (q, J = 7.1 Hz, 1H).
- 2-(2,5-dimethylphenyl)propanal (2s) Colorless oil, 91% yield. 1H NMR (400 MHz, CDCl3) δ 9.71 (d, J = 1.1 Hz, 1H), 7.19 (d, J = 7.7 Hz, 1H), 7.08 (d, J = 9.1 Hz, 1H), 6.92 (s, 1H), 3.91–3.84 (m, 1H), 2.39 (s, 3H), 2.38 (s, 3H), 1.46 (d, J = 7.0 Hz, 3H).
- 2-(3,4-dimethoxyphenyl)propanal (2t) Colorless oil, 89% yield. 1H NMR (400 MHz, CDCl3) δ 9.54 (d, J = 1.4 Hz, 1H), 6.78 (d, J = 8.2 Hz, 1H), 6.66 (dd, J = 8.2, 2.0 Hz, 1H), 6.60 (d, J = 2.0 Hz, 1H), 3.77 (s, 3H), 3.77 (s, 3H), 3.51–3.44 (m, 1H), 1.32 (d, J = 7.1 Hz, 3H).
- 2-(naphthalen-2-yl)propanal (2u) White solid, m.p. 87.0–88.2 °C, 92% yield. 1H NMR (400 MHz, CDCl3) δ 9.80 (d, J = 1.4 Hz, 1H), 7.92–7.86 (m, 3H), 7.72 (s, 1H), 7.60–7.51 (m, 2H), 7.36 (dd, J = 8.4, 1.8 Hz, 1H), 3.82 (q, J = 6.6 Hz, 1H), 1.59 (d, J = 7.1 Hz, 3H).
4. Conclusions
Supplementary Materials
Author Contributions
Funding
Institutional Review Board Statement
Informed Consent Statement
Data Availability Statement
Conflicts of Interest
References
- Wu, X.F.; Fang, X.J.; Wu, L.P.; Jackstell, R.; Neumann, H.; Beller, M. Transition-Metal-Catalyzed Carbonylation Reactions of Olefins and Alkynes: A Personal Account. Acc. Chem. Res. 2014, 47, 1041–1053. [Google Scholar] [CrossRef] [PubMed]
- Kalck, P.; Urrutigoïty, M. Tandem Hydroaminomethylation Reaction to Synthesize Amines from Alkenes. Chem. Rev. 2018, 118, 3833–3861. [Google Scholar] [CrossRef] [PubMed]
- Nurttila, S.S.; Linnebank, P.R.; Krachko, T.; Reek, J.N.H. Supramolecular Approaches to Control Activity and Selectivity in Hydroformylation Catalysis. ACS Catal. 2018, 8, 3469–3488. [Google Scholar] [CrossRef]
- Gladiali, S.; Bayon, J.C.; Claver, C. Recent Advances in Enantioselective Hydroformylation. Tetrahedron Asymmetry 1995, 6, 1453–1474. [Google Scholar] [CrossRef]
- Liao, J.Y.; Zhang, S.L.; Wang, Z.S.; Song, X.; Zhang, D.L.; Kumar, R.; Jin, J.; Ren, P.; You, H.Z.; Chen, F.-E. Transition-metal catalyzed asymmetric reactions under continuous flow from 2015 to early 2020. Green. Synth. Catal. 2020, 1, 121–133. [Google Scholar] [CrossRef]
- Blankertz, H.J.; Grenacher, A.V.; Sauer, F.; Schwahn, H.; Schönmann, W. Method for the Hydroformylation of Olefins. WO Patent 98/12235, 26 March 1998. [Google Scholar]
- Tötsch, W.; Arnoldi, D.; Kaizik, A.; Trocha, M. Method for the Hydroformylation of Olefins. WO Patent 03/078365, 25 September 2003. [Google Scholar]
- van Driessche, E.T.A.; Garton, R.D.; Cares, R.F. Offgas Cleanup in Hydroformylation. U.S. Patent 2011/0184211, 28 June 2011. [Google Scholar]
- You, C.; Li, S.L.; Li, X.X.; Lv, H.; Zhang, X.M. Enantioselective Rh-Catalyzed Anti-Markovnikov Hydroformylation of 1,1-Disubstituted Allylic Alcohols and Amines: An Efficient Route to Chiral Lactones and Lactams. ACS Catal. 2019, 9, 8529–8533. [Google Scholar] [CrossRef]
- Wang, X.; Buchwald, S.L. Rh-Catalyzed Asymmetric Hydroformylation of Functionalized 1,1-Disubstituted Olefins. J. Am. Chem. Soc. 2011, 133, 19080–19083. [Google Scholar] [CrossRef] [PubMed]
- Yan, Y.J.; Zhang, X.W.; Zhang, X.M. A Tetraphosphorus Ligand for Highly Regioselective Isomerization-Hydroformylation of Internal Olefins. J. Am. Chem. Soc. 2006, 128, 16058–16061. [Google Scholar] [CrossRef] [PubMed]
- Yu, S.C.; Chie, Y.M.; Guan, Z.H.; Zou, Y.P.; Li, W.; Zhang, X.M. Highly Regioselective Hydroformylation of Styrene and Its Derivatives Catalyzed by Rh Complex with Tetraphosphorus Ligands. Org. Lett. 2009, 11, 241–244. [Google Scholar] [CrossRef]
- Piras, I.; Jennerjahn, R.; Jackstell, R.; Spannenberg, A.; Franke, R.; Beller, M. A General and Efficient Iridium-Catalyzed Hydroformylation of Olefins. Angew. Chem. Int. Ed. 2011, 50, 280–284. [Google Scholar] [CrossRef]
- Bergounhou, C.; Neibecker, D.; Reau, R. Unexpected Non-influence of the Phosphine/Rhodium Ratio on the Activity and Selectivity of Rhodium-Phosphine Hydroformylation Catalysts. J. Chem. Soc. Chem. Commun. 1988, 1370–1371. [Google Scholar] [CrossRef]
- van Rooy, A.; Orij, E.N.; Hamer, P.C.J.; van Leeuwen, P.W.N.M. Hydroformylation with a Rhodium/Bulky Phosphite Modified Catalyst. A Comparison of the Catalyst Behavior for Oct-1-ene, Cyclohexene, and Styrene. Organometallics 1995, 14, 34–43. [Google Scholar] [CrossRef]
- Breit, B. Probing New Classes of π-acceptor Ligands for Rhodium Catalyzed Hydroformylation of Styrene. J. Mol. Catal. A Chem. 1999, 143, 143–154. [Google Scholar] [CrossRef]
- Neibecker, D.; Reau, R. Phosphanorbornadienes as Ligands in the Transition Metal-Catalyzed Synthesis of Fine Chemicals. Angew. Chem. Inl. Ed. Engl. 1989, 28, 500–501. [Google Scholar] [CrossRef]
- Gnim, C.A.; Amer, I. Phosphine Oxides as Ligands in the Hydroformylation Reaction. J. Organomet. Chem. 1996, 516, 235–243. [Google Scholar] [CrossRef]
- Slaugh, L.H.; Mullineaux, R.D. Novel Hydroformylation Catalysts. J. Organomet. Chem. 1968, 13, 469–477. [Google Scholar] [CrossRef]
- Phanopoulos, A.; Nozaki, K. Branched-Selective Hydroformylation of Nonactivated Olefins Using an N-Triphos/Rh Catalyst. ACS Catal. 2018, 8, 5799–5809. [Google Scholar] [CrossRef]
- Peng, Q.R.; He, D.H. Hydroformylation of Mixed Octenes over Immobilized Co-Ph3PO/PDMS/SiO2 Catalyst. Catal. Lett. 2007, 115, 19–22. [Google Scholar]
- Basoli, C.; Botteghi, C.; Cabras, M.A.; Chelucci, G.; Macheetti, M. Hydroformylation of Some Functionalized Olefins Catalyzed by Rhodium(I) Complexes with Pydiphos and its P-Oxide. J. Organomet. Chem. 1995, 488, C20–C22. [Google Scholar] [CrossRef]
- Clark, H.J.; Wang, R.P.; Alper, H. Hydroformylation of Alkenes Employing Rhodium(I) Complexes and a Phosphine Oxide Ligand. J. Org. Chem. 2002, 67, 6224–6225. [Google Scholar] [CrossRef]
- Delolo, F.G.; Yang, J.; Neumann, H.; Santos, E.N.; Gusevskaya, E.V.; Beller, M. Cobalt-Catalyzed Hydroformylation under Mild Conditions in the Presence of Phosphine Oxides. ACS Sustain. Chem. Eng. 2021, 9, 5148–5154. [Google Scholar] [CrossRef]
- Yan, Y.J.; Zhang, X.M. A Hybrid Phosphorus Ligand for Highly Enantioselective Asymmetric Hydroformylation. J. Am. Chem. Soc. 2006, 128, 7198–7202. [Google Scholar] [CrossRef] [PubMed]
- Noonan, G.M.; Fuentes, J.A.; Cobley, C.J.; Clarke, M.L. An Asymmetric Hydroformylation Catalyst that Delivers Branched Aldehydes from Alkyl Alkenes. Angew. Chem. Int. Ed. 2012, 51, 2477–2480. [Google Scholar] [CrossRef]
- Schmitz, C.; Holthusen, K.; Leitner, W.; Francio, G. Highly Regio- and Enantioselective Hydroformylation of Vinyl Esters Using Bidentate Phosphine, P-Chiral Phosphorodiamidite Ligands. ACS Catal. 2016, 6, 1584–1589. [Google Scholar] [CrossRef]
- Clark, T.P.; Landis, C.R.; Freed, S.L.; Klosin, J.; Abboud, K.A. Highly Active, Regioselective, and Enantioselective Hydroformylation with Rh Catalysts Ligated by Bis-3,4-diazaphospholanes. J. Am. Chem. Soc. 2005, 127, 5040–5042. [Google Scholar] [CrossRef]
- Watkins, A.L.; Hashiguchi, B.G.; Landis, C.R. Highly Enantioselective Hydroformylation of Aryl Alkenes with Diazaphospholane Ligands. Org. Lett. 2008, 10, 4553–4556. [Google Scholar] [CrossRef]
- Zuidema, E.; Goudriaan, P.E.; Swennenhuis, B.H.G.; Kamer, P.C.J.; van Leeuwen, P.W.N.M.; Lutz, M.; Spek, A.L. Phenoxaphosphine-Based Diphosphine Ligands. Synthesis and Application in the Hydroformylation Reaction. Organometallics 2010, 29, 1210–1221. [Google Scholar] [CrossRef]
- Eggenstein, M.; Thomas, A.; Theuerkauf, J.; Franci, G.; Leitner, W. Highly Efficient and Versatile Phosphine-Phosphoramidite Ligands for Asymmetric Hydrogenation. Adv. Synth. Catal. 2009, 351, 725–732. [Google Scholar] [CrossRef]
- Jackson, M.; Lennon, I.C. 1,2-Bis(2,5-diphenylphospholano)methane, a New Ligand for Asymmetric Hydrogenation. Tetrahedron Lett. 2007, 48, 1831–1834. [Google Scholar] [CrossRef]
- Gao, P.; Liang, G.F.; Ru, T.; Liu, X.Y.; Qi, H.F.; Wang, A.Q.; Chen, F.E. Phosphorus Coordinated Rh Single-atom Sites on Nanodiamond as Highly Regioselective Catalyst for Hydroformylation of Olefins. Nat. Commun. 2021, 12, 4698. [Google Scholar] [CrossRef]
- Gao, P.; Ke, M.L.; Ru, T.; Liang, G.F.; Chen, F.E. Synthesis of Rac-aryl Propionaldehydes via Branched-selective Hydroformylation of Terminal Arylalkenes using Water-soluble Rh-PNP Catalyst. Chin. Chem. Lett. 2022, 33, 830–834. [Google Scholar] [CrossRef]
- Ndimba, A.N.; Roisnel, T.; Argouarch, G.; Lalli, C. Harvesting New Chiral Phosphotriesters by Phosphorylation of BINOL and Parent Bis-phenols. Synthesis 2019, 51, 865–873. [Google Scholar]
- Sun, H.; Rajale, T.; Pan, Y.; Li, G.G. Chiral N-phosphoryl Imines: Design, Synthesis and Direct Asymmetric Addition Reactions with Diketones and Diesters. Tetrahedron Lett. 2010, 51, 4403–4407. [Google Scholar] [CrossRef]
- An, J.G.; Wilson, J.M.; An, Y.Z.; Wiemer, D.F. Diastereoselective Vinyl Phosphate/β-Keto Phosphonate Rearrangements. J. Org. Chem. 1996, 61, 4040–4045. [Google Scholar] [CrossRef] [PubMed]
- Nozaki, K.; Sakai, N.; Nanno, T.; Higashijima, T.; Mano, S.; Horiuchi, T.; Takaya, H. Highly Enantioselective Hydroformylation of Olefins Catalyzed by Rhodium(I) Complexes of New Chiral Phosphine-Phosphite Ligands. J. Am. Chem. Soc. 1997, 119, 4413–4423. [Google Scholar] [CrossRef]
- Noonan, G.M.; Cobley, C.J.; Mahoney, T.; Clarke, M.L. Rhodium/Phospholane-Phosphite Catalysts Give Unusually High Regioselectivity in the Enantioselective Hydroformylation of Vinyl Arenes. Chem. Commun. 2014, 50, 1475–1477. [Google Scholar] [CrossRef]
- Iu, L.; Fuentes, J.A.; Janka, M.E.; Fontenot, K.J.; Clarke, M.L. High iso Aldehyde Selectivity in the Hydroformylation of Short-Chain Alkenes. Angew. Chem. Int. Ed. 2019, 58, 2120–2124. [Google Scholar] [CrossRef]
- Yu, Z.Y.; Eno, M.S.; Annis, A.H.; Morken, J.P. Enantioselective Hydroformylation of 1-Alkenes with Commercial Ph-BPE Ligand. Org. Lett. 2015, 17, 3264–3267. [Google Scholar] [CrossRef]
- Dydio, P.; Reek, J.N.H. Supramolecular Control of Selectivity in Hydroformylation of Vinyl Arenes: Easy Access to Valuable β-Aldehyde Intermediate. Angew. Chem. Int. Ed. 2013, 52, 3878–3882. [Google Scholar] [CrossRef]
- Dydio, P.; Dzik, W.I.; Lutz, M.; de Bruin, B.; Reek, J.N.H. Remote Supramolecular Control of Catalyst Selectivity in the Hydroformylation of Alkenes. Angew. Chem. Int. Ed. 2011, 50, 396–400. [Google Scholar] [CrossRef]
- Dydio, P.; Ploeger, M.; Reek, J.N.H. Selective Isomerization–Hydroformylation Sequence: A Strategy to Valuable α-Methyl-Branched Aldehydes from Terminal Olefins. ACS Catal. 2013, 3, 2939–2942. [Google Scholar] [CrossRef]
- Yao, C.; Wu, P.; Huang, Y.; Chen, Y.Q.; Li, L.; Li, Y.M. Binaphthyl-based Chiral Ligands: Design, Synthesis and Evaluation of Their Performance in Enantioselective Addition of Diethylzinc to Aromatic Aldehyde. Org. Biomol. Chem. 2020, 18, 9712–9725. [Google Scholar] [CrossRef]
- Tayama, E.; Sugawara, T. Chiral Tetraaryl- and Tetraalkynylborates as Chiral Solvating Agents for Tetraalkylammonium Salts. Eur. J. Org. Chem. 2019, 803–811. [Google Scholar] [CrossRef]
- Birman, V.B.; Rheingold, A.L.; Lam, K.C. 1,1′-Spirobiindane-7,7′-diol: A Novel, C2-Symmetric Chiral Ligand. Tetrahedron Asymmetry 1999, 10, 125–131. [Google Scholar] [CrossRef]
- Zheng, Z.Y.; Cao, Y.X.; Chong, Q.L.; Han, Z.B.; Ding, J.M.; Luo, C.G.; Wang, Z.; Zhu, D.S.; Zhou, Q.L.; Ding, K.L. Chiral Cyclohexyl-Fused Spirobiindanes: Practical Synthesis, Ligand Development, and Asymmetric Catalysis. J. Am. Chem. Soc. 2018, 140, 10374–10381. [Google Scholar] [CrossRef] [PubMed]
- Cheng, X.; Hou, G.H.; Xie, J.H.; Zhou, Q.L. Synthesis and Optical Resolution of 9,9′-Spirobifluorene-1,1′-diol. Org. Lett. 2004, 6, 2381–2383. [Google Scholar] [CrossRef] [PubMed]
- Chen, G.Q.; Lin, B.J.; Huang, J.M.; Zhao, L.Y.; Chen, Q.S.; Jia, S.P.; Yin, Q.; Zhang, X.M. Design and Synthesis of Chiral oxa-Spirocyclic Ligands for Ir-Catalyzed Direct Asymmetric Reduction of Bringmann’s Lactones with Molecular H2. J. Am. Chem. Soc. 2018, 140, 8064–8068. [Google Scholar] [CrossRef]
- Argüelles, A.J.; Sun, S.Y.; Budaitis, B.G.; Nagorny, P. Design, Synthesis, and Application of Chiral C2-Symmetric Spiroketal-Containing Ligands in Transition-Metal Catalysis. Angew. Chem. Int. Ed. 2018, 57, 5325–5329. [Google Scholar] [CrossRef]
- Wu, S.L.; Zhang, W.C.; Zhang, Z.G.; Zhang, X.M. Synthesis of New Monodentate Spiro Phosphoramidite Ligand and Its Application in Rh-Catalyzed Asymmetric Hydrogenation Reactions. Org. Lett. 2004, 6, 3565–3567. [Google Scholar] [CrossRef]
- Evans, D.; Osborn, J.A.; Wilkinson, G. Hydroformylation of Alkenes by Use of Rhodium Complex Catalysts. Inorg. Phys. Theor. 1968, 3133–3142. [Google Scholar] [CrossRef]
- van der Veen, L.A.; Keeven, P.H.; Schoemaker, G.C.; Reek, J.N.H.; Karmer, P.C.J.; van Leeuwen, P.W.N.M.; Lutz, M.; Spek, A.L. Bulky diphosphite-modified rhodium catalysts: Hydroformylation and characterization. Organometallics 2000, 19, 872–883. [Google Scholar] [CrossRef]
- Grushin, V. Mixed Phosphine−Phosphine Oxide Ligands. Chem. Rev. 2004, 104, 1629–1662. [Google Scholar] [CrossRef]
- Gong, B.Q.; Chen, W.Y.; Hu, B.F. A new and efficient method for the resolution of 2,2′-dihydroxy-1,1′-binaphthyl. J. Org. Chem. 1991, 56, 423–425. [Google Scholar] [CrossRef]
- Xu, B.; Zhu, S.F.; Xie, X.L.; Shen, J.J.; Zhou, Q.L. Asymmetric N-H Insertion Reaction Cooperatively Catalyzed by Rhodium and Chiral Spiro Phosphoric Acids. Angew. Chem. Int. Ed. 2011, 50, 11483–11486. [Google Scholar] [CrossRef] [PubMed]
- Witten, R.; Jacobsen, N. A simple primary amine catalyst for enantioselective α-hydroxylations and α-fluorinations of branched aldehydes. Org. Lett. 2015, 17, 2772–2775. [Google Scholar] [CrossRef]
- Tanaka, R.; Nakano, K.; Nozaki, K. Synthesis of α-Heteroarylpropanoic Acid via Asymmetric Hydroformylation Catalyzed by Rh (I)-(R, S)-BINAPHOS and the Subsequent Oxidation. J. Org. Chem. 2007, 72, 8671–8676. [Google Scholar] [CrossRef]
- Xue, Y.; Wang, Y.; Liu, H.; Yu, X.; Xue, H.; Feng, L. Electrochemical oxygen evolution reaction catalyzed by a novel nickel–cobalt-fluoride catalyst. Chem. Commun. 2018, 54, 6204–6207. [Google Scholar] [CrossRef]
- Kikuchi, H.; Kogure, K.; Toyoda, M. A facile preparation of 2-arylpropionaldehyde from 1-aryl-1-propene. Chemistry Letters 1984, 13, 341–344. [Google Scholar] [CrossRef]
- Kasinathan, S.; Bourne, L.; Tolstoy, P.; Koos, P.; Brien, M.; Bates, W.; Baxendale, R.; Ley, V. Syngas-mediated CC bond formation in flow: Selective rhodium-catalysed hydroformylation of styrenes. Synlett. 2011, 18, 2648–2651. [Google Scholar]
- List, B.; Čorić, I.; Grygorenko, O.; Kaib, J.; Komarov, I.; Lee, A.; Leutzsch, M.; Chandra, S.; Tymtsunik, V.; Gemmeren, V. The catalytic asymmetric α-benzylation of aldehydes. Angew. Chem. Int. Ed. 2014, 53, 282–285. [Google Scholar] [CrossRef]
- Zhang, J.; Schuppe, W.; Pan, T.; Chen, X.; Wang, R.; Newhouse, R.; Yin, L. Copper-catalyzed vinylogous aerobic oxidation of unsaturated compounds with air. J. Am. Chem. Soc. 2018, 140, 5300–5310. [Google Scholar] [CrossRef] [PubMed]
- Reziq, A.; Alper, H.; Wang, S.; Post, L. Metal supported on dendronized magnetic nanoparticles: Highly selective hydroformylation catalysts. J. Am. Chem. Soc. 2006, 128, 5279–5282. [Google Scholar] [CrossRef] [PubMed]
- Zhang, L.; Zuo, Z.; Wan, X.; Huang, Z. Cobalt-catalyzed enantioselective hydroboration of 1, 1-disubstituted aryl alkenes. J. Am. Chem. Soc. 2014, 136, 15501–15504. [Google Scholar] [CrossRef] [PubMed]
- Fried, J. Nonsteroidal antiinflammatory agents. I. 6-substituted 2-naphthylacetic acids. J. Med. Chem. 1970, 13, 203–205. [Google Scholar]
- Melander, L.C.S.; Saunders, W.H. Reaction Rates of Isotopic Molecules; Wiley: New York, NY, USA, 1980; p. 102. [Google Scholar]
- Singleton, D.A.; Thomas, A.A. High-precision simultaneous determination of multiple small kinetic isotope effects at natural abundance. J. Am. Chem. Soc. 1995, 117, 9357–9358. [Google Scholar] [CrossRef]






![]() | |||
| Entry | P(V) Reagents | Yield of 2a (%) b | b/l (2a/3a) b |
| 1 | P1 | 16 | 8.0:1 |
| 2 | P2 | 40 | 6.6:1 |
| 3 | P3 | 5 | / |
| 4 | P4 | 10 | / |
| 5 | P5 | 28 | 23.4:1 |
| 6 c | P6 | 96 | 25.4:1 |
| 7 c | P7 | 75 | 15.0:1 |
| 8 d | P8 | 49 | 5.2:1 |
| 9 | P9 | 27 | 22.8:1 |
| 10 | P10 | 33 | 22.2:1 |
| 11 | P11 | 6 | / |
![]() | ||||||
| Entry | Rh/P6 | T (°C) | P (MPa) | Solvent | Yield of 2a (%) b | b/l (2a/3a) b |
| 1 | 1/3 | 30 | 4.0 | toluene | 96 | 25.4:1 |
| 2 | 1/3 | 40 | 4.0 | toluene | 92 | 12.1:1 |
| 3 | 1/3 | 50 | 4.0 | toluene | 87 | 6.7:1 |
| 4 | 1/2 | 30 | 40 | toluene | 90 | 19.5:1 |
| 5 | 1/6 | 30 | 4.0 | toluene | 31 | 20.1:1 |
| 6 | 1/8 | 30 | 4.0 | toluene | 22 | 20.1:1 |
| 7 | 1/3 | 30 | 3.0 | toluene | 12 | 18.4:1 |
| 8 | 1/3 | 30 | 2.0 | toluene | 6 | / |
| 9 | 1/3 | 30 | 4.0 | THF | 95 | 18.0:1 |
| 10 | 1/3 | 30 | 4.0 | DCM | 4 | / |
| 11 | 1/3 | 30 | 4.0 | Et2O | 71 | 18.9:1 |
| 12 c | 1/3 | 30 | 4.0 | toluene | 95 | 20.3:1 |
| 13 d | 1/3 | 30 | 4.0 | toluene | 17 | 22.3:1 |
Disclaimer/Publisher’s Note: The statements, opinions and data contained in all publications are solely those of the individual author(s) and contributor(s) and not of MDPI and/or the editor(s). MDPI and/or the editor(s) disclaim responsibility for any injury to people or property resulting from any ideas, methods, instructions or products referred to in the content. |
© 2024 by the authors. Licensee MDPI, Basel, Switzerland. This article is an open access article distributed under the terms and conditions of the Creative Commons Attribution (CC BY) license (https://creativecommons.org/licenses/by/4.0/).
Share and Cite
Ru, T.; Zhang, Y.; Wei, Q.; Zuo, S.; Jia, Z.; Chen, F.-E. P(V)-Promoted Rh-Catalyzed Highly Regioselective Hydroformylation of Styrenes under Mild Conditions. Molecules 2024, 29, 2039. https://doi.org/10.3390/molecules29092039
Ru T, Zhang Y, Wei Q, Zuo S, Jia Z, Chen F-E. P(V)-Promoted Rh-Catalyzed Highly Regioselective Hydroformylation of Styrenes under Mild Conditions. Molecules. 2024; 29(9):2039. https://doi.org/10.3390/molecules29092039
Chicago/Turabian StyleRu, Tong, Yajiao Zhang, Qiuxiang Wei, Sheng Zuo, Zhenhua Jia, and Fen-Er Chen. 2024. "P(V)-Promoted Rh-Catalyzed Highly Regioselective Hydroformylation of Styrenes under Mild Conditions" Molecules 29, no. 9: 2039. https://doi.org/10.3390/molecules29092039
APA StyleRu, T., Zhang, Y., Wei, Q., Zuo, S., Jia, Z., & Chen, F.-E. (2024). P(V)-Promoted Rh-Catalyzed Highly Regioselective Hydroformylation of Styrenes under Mild Conditions. Molecules, 29(9), 2039. https://doi.org/10.3390/molecules29092039



