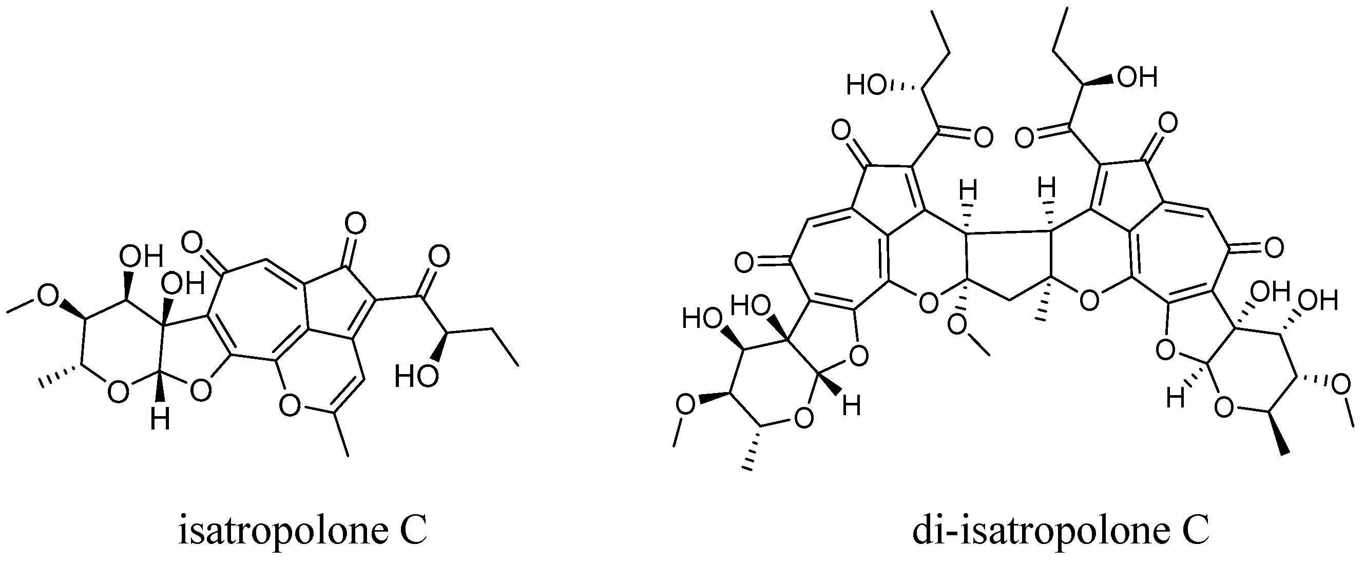
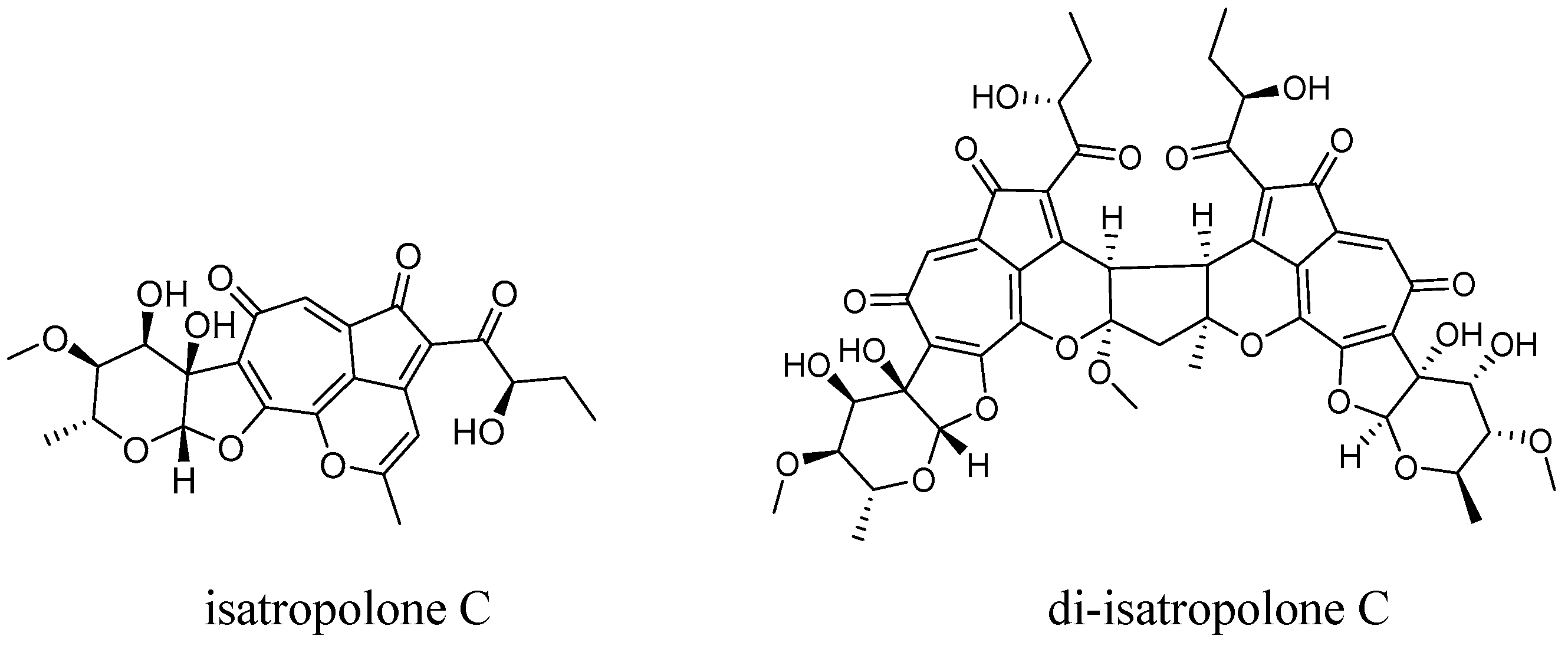
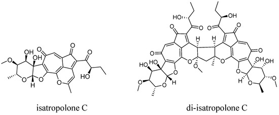
Di-Isatropolone C, a Spontaneous Isatropolone C Dimer Derivative with Autophagy Activity
Abstract
1. Introduction
2. Results and Discussion
2.1. Elucidation of Di-Isatropolone C Structure
2.2. Exploration of the Mechanisms of Di-Isatropolone C Formation
2.3. Autophagy Activity of Di-Isatropolone C
3. Materials and Methods
3.1. General Experimental Procedures
3.2. Preparation of Isatropolone C
3.3. Production and Purification of Di-Isatropolone C
3.4. Quantum NMR Calculations and DP4+ Probability Analysis
3.5. Factors Affecting Di-Isatropone C Production
3.6. Autophagy Activity Assay
Supplementary Materials
Author Contributions
Funding
Institutional Review Board Statement
Informed Consent Statement
Data Availability Statement
Acknowledgments
Conflicts of Interest
References
- Cai, X.; Shi, Y.M.; Pohlmann, N.; Revermann, O.; Bahner, I.; Pidot, S.J.; Wesche, F.; Lackner, H.; Buchel, C.; Kaiser, M.; et al. Structure and Biosynthesis of Isatropolones, Bioactive Amine-Scavenging Fluorescent Natural Products from Streptomyces Gö66. Angew. Chem. Int. Ed. Engl. 2017, 56, 4945–4949. [Google Scholar] [CrossRef] [PubMed]
- Li, L.; Li, S.; Jiang, B.; Zhang, M.; Zhang, J.; Yang, B.; Li, L.; Yu, L.; Liu, H.; You, X.; et al. Isarubrolones Containing a Pyridooxazinium Unit from Streptomyces as Autophagy Activators. J. Nat. Prod. 2019, 82, 1149–1154. [Google Scholar] [CrossRef] [PubMed]
- Li, L.; Zhang, M.; Li, S.; Jiang, B.; Zhang, J.; Yu, L.; Liu, H.; Wu, L. Isatropolone/isarubrolone Cm from Streptomyces with Biological Activity of Inducing Incomplete Autophagy. J. Antibiot. 2022, 75, 702–708. [Google Scholar] [CrossRef] [PubMed]
- Yan, Y.; Ma, Y.T.; Yang, J.; Horsman, G.P.; Luo, D.; Ji, X.; Huang, S.X. Tropolone Ring Construction in the Biosynthesis of Rubrolone B, a Cationic Tropolone Alkaloid from Endophytic Streptomyces. Org. Lett. 2016, 18, 1254–1257. [Google Scholar] [CrossRef]
- Sarwar, A.; Latif, Z.; Zhang, S.; Zhu, J.; Zechel, D.L.; Bechthold, A. Biological Control of Potato Common Scab with Rare Isatropolone C Compound Produced by Plant Growth Promoting Streptomyces A1RT. Front. Microbiol. 2018, 9, 1126. [Google Scholar] [CrossRef]
- Yan, Y.; Yang, J.; Yu, Z.; Yu, M.; Ma, Y.T.; Wang, L.; Su, C.; Luo, J.; Horsman, G.P.; Huang, S.X. Non-enzymatic Pyridine Ring Formation in the Biosynthesis of the Rubrolone Tropolone Alkaloids. Nat. Commun. 2016, 7, 13083. [Google Scholar] [CrossRef]
- Guo, H.; Benndorf, R.; König, S.; Leichnitz, D.; Weigel, C.; Peschel, G.; Berthel, P.; Kaiser, M.; Steinbeck, C.; Werz, O.; et al. Expanding the Rubterolone Family: Intrinsic Reactivity and Directed Diversification of PKS-derived Pyrans. Chemistry 2018, 24, 11319–11324. [Google Scholar] [CrossRef]
- Guo, H.; Benndorf, R.; Leichnitz, D.; Klassen, J.L.; Vollmers, J.; Görls, H.; Steinacker, M.; Weigel, C.; Dahse, H.M.; Kaster, A.K.; et al. Isolation, Biosynthesis and Chemical Modifications of Rubterolones A-F: Rare Tropolone Alkaloids from Actinomadura sp. 5-2. Chemistry 2017, 23, 9338–9345. [Google Scholar] [CrossRef]
- Moureu, S.; Caradec, T.; Trivelli, X.; Drobecq, H.; Beury, D.; Bouquet, P.; Caboche, S.; Desmecht, E.; Maurier, F.; Muharram, G.; et al. Rubrolone Production by Dactylosporangium vinaceum: Biosynthesis, Modulation and Possible Biological Function. Appl. Microbiol. Biotechnol. 2021, 105, 5541–5551. [Google Scholar] [CrossRef] [PubMed]
- Hashimoto, M.; Watari, S.; Taguchi, T.; Ishikawa, K.; Kumamoto, T.; Okamoto, S.; Ichinose, K. Actinorhodin Biosynthesis Terminates with an Unprecedented Biaryl Coupling Reaction. Angew. Chem. Int. Ed. Engl. 2023, 62, e202214400. [Google Scholar] [CrossRef] [PubMed]
- Zhang, C.; Kong, L.; Liu, Q.; Lei, X.; Zhu, T.; Yin, J.; Lin, B.; Deng, Z.; You, D. In Vitro Characterization of Echinomycin Biosynthesis: Formation and Hydroxylation of L-tryptophanyl-S-enzyme and Oxidation of (2S,3S) β-Hydroxytryptophan. PLoS ONE 2013, 8, e56772. [Google Scholar] [CrossRef] [PubMed]
- Jiang, B.; Zhao, W.; Li, S.; Liu, H.; Yu, L.; Zhang, Y.; He, H.; Wu, L. Cytotoxic Dibohemamines D-F from a Streptomyces Species. J. Nat. Prod. 2017, 80, 2825–2829. [Google Scholar] [CrossRef] [PubMed]
- Liu, J.; Liu, X.; Fu, J.; Jiang, B.; Li, S.; Wu, L. Dihydroisatropolone C from Streptomyces and Its Implication in Tropolone-Ring Construction for Isatropolone Biosynthesis. Molecules 2022, 27, 2882. [Google Scholar] [CrossRef] [PubMed]
- Anelli, P.L.; Biffi, C.; Montanari, F.; Quici, S. Fast and Selective Oxidation of Primary Alcohols to Aldehydes or to Carboxylic Acids and of Secondary Alcohols to Ketones Mediated by Oxoammonium Salts under Two-phase Conditions. J. Org. Chem. 1987, 52, 2559–2562. [Google Scholar] [CrossRef]
- Liu, X.; Li, S.; Li, L.; Jiang, B.; Wu, L. Solid State Fermentation of Streptomyces sp. CPCC 204095 and Preparation of Isatropolone C. Chin. Med. Biotechnol. 2021, 16, 302–306. (In Chinese) [Google Scholar]
- O’Boyle, N.M.; Banck, M.; James, C.A.; Morley, C.; Vandermeersch, T.; Hutchison, G.R. Open Babel: An Open Chemical Toolbox. J. Cheminform. 2011, 3, 33. [Google Scholar] [CrossRef] [PubMed]
- Frisch, M.J.; Trucks, G.W.; Schlegel, H.B.; Scuseria, G.E.; Robb, M.A.; Cheeseman, J.R.; Scalmani, G.; Barone, V.; Petersson, G.A.; Nakatsuji, H.; et al. Gaussian 09, Revision E.01; Gaussian, Inc.: Wallingford, CT, USA, 2009. [Google Scholar]
- Lodewyk, M.W.; Siebert, M.R.; Tantillo, D.J. Computational Prediction of 1H and 13C Chemical Shifts: A Useful Tool for Natural Product, Mechanistic, and Synthetic Organic Chemistry. Chem. Rev. 2012, 112, 1839–1862. [Google Scholar] [CrossRef] [PubMed]
- Grimblat, N.; Zanardi, M.M.; Sarotti, A.M. Beyond DP4: An Improved Probability for the Stereochemical Assignment of Isomeric Compounds Using Quantum Chemical Calculations of NMR Shifts. J. Org. Chem. 2015, 80, 12526–12534. [Google Scholar] [CrossRef] [PubMed]




| Position | δC, Type | δH, Mult, (J in Hz) | Position | δC, Type | δH, Mult, (J in Hz) |
|---|---|---|---|---|---|
| 1 | 9.9, CH3 | 0.81 t (7.2) | 1″ | 9.9, CH3 | 0.80 t (7.2) |
| 2 | 27.4, CH2 | 1.23 m, 1.55 m | 2″ | 27.4, CH2 | 1.23 m, 1.59 m |
| 3 | 77.3, CH | 4.69 dd (7.8, 3.6) | 3″ | 77.4, CH | 4.72 dd (7.8, 3.6) |
| 4 | 199.3, C | 4″ | 199.5, C | ||
| 5 | 130.2, C | 5″ | 130.8, C | ||
| 6 | 191.3, C | 6″ | 191.5, C | ||
| 7 | 130.6, CH | 6.99 s | 7″ | 131.5, C | 7.02 s |
| 8 | 185.5, C | 8″ | 185.5, C | ||
| 9 | 132.5, C | 9″ | 132.7, C | ||
| 10 | 159.0, C | 10″ | 159.1, C | ||
| 11 | 145.5, C | 11″ | 147.3, C | ||
| 12 | 134.2, C | 12″ | 134.6, C | ||
| 13 | 120.4, C | 13″ | 122.2, C | ||
| 14 | 167.0, C | 14″ | 167.4, C | ||
| 15 | 47.2, CH | 4.23 d (12.6) | 15″ | 48.3, CH | 4.45 d (13.2) |
| 16 | 112.5, C | 16″ | 89.2, C | ||
| 17 | 48.2, CH2 | 2.88 d (16.2) 3.04 d (15.6) | 17″ | 22.5, CH3 | 1.49 s |
| 18 | 53.6, CH3 | 3.43 s | |||
| 1′ | 109.9, CH | 5.64 d (4.8) | 1‴ | 110.0, CH | 5.64 d (4.8) |
| 2′ | 82.7, C | 2‴ | 82.7, C | ||
| 3′ | 69.1, CH | 4.30 d (3.0) | 3‴ | 69.1, CH | 4.32 d (3.0) |
| 4′ | 81.0, CH | 3.28 m overlap | 4‴ | 81.0, CH | 3.28 m overlap |
| 5′ | 68.0, CH | 4.03 m | 5‴ | 68.3, CH | 4.03 m |
| 6′ | 18.5, CH3 | 1.27 d (6.0) | 6‴ | 18.6, CH3 | 1.27 d (6.6) |
| 7′ | 57.7, CH3 | 3.36 s | 7‴ | 57.8, CH3 | 3.36 s |
Disclaimer/Publisher’s Note: The statements, opinions and data contained in all publications are solely those of the individual author(s) and contributor(s) and not of MDPI and/or the editor(s). MDPI and/or the editor(s) disclaim responsibility for any injury to people or property resulting from any ideas, methods, instructions or products referred to in the content. |
© 2024 by the authors. Licensee MDPI, Basel, Switzerland. This article is an open access article distributed under the terms and conditions of the Creative Commons Attribution (CC BY) license (https://creativecommons.org/licenses/by/4.0/).
Share and Cite
Fu, J.; Liu, X.; Zhang, M.; Liu, J.; Li, S.; Jiang, B.; Wu, L. Di-Isatropolone C, a Spontaneous Isatropolone C Dimer Derivative with Autophagy Activity. Molecules 2024, 29, 1477. https://doi.org/10.3390/molecules29071477
Fu J, Liu X, Zhang M, Liu J, Li S, Jiang B, Wu L. Di-Isatropolone C, a Spontaneous Isatropolone C Dimer Derivative with Autophagy Activity. Molecules. 2024; 29(7):1477. https://doi.org/10.3390/molecules29071477
Chicago/Turabian StyleFu, Jie, Xiaoyan Liu, Miaoqing Zhang, Jiachang Liu, Shufen Li, Bingya Jiang, and Linzhuan Wu. 2024. "Di-Isatropolone C, a Spontaneous Isatropolone C Dimer Derivative with Autophagy Activity" Molecules 29, no. 7: 1477. https://doi.org/10.3390/molecules29071477
APA StyleFu, J., Liu, X., Zhang, M., Liu, J., Li, S., Jiang, B., & Wu, L. (2024). Di-Isatropolone C, a Spontaneous Isatropolone C Dimer Derivative with Autophagy Activity. Molecules, 29(7), 1477. https://doi.org/10.3390/molecules29071477
