Insights into the Synthesis of Spiral Beta Zeolite with Enhanced Catalytic Performance in VOC Abatement
Abstract
1. Introduction
2. Results and Discussion
2.1. Characterization of S-Beta Samples
2.2. Insights into the Crystallization Process of S-Beta Zeolite
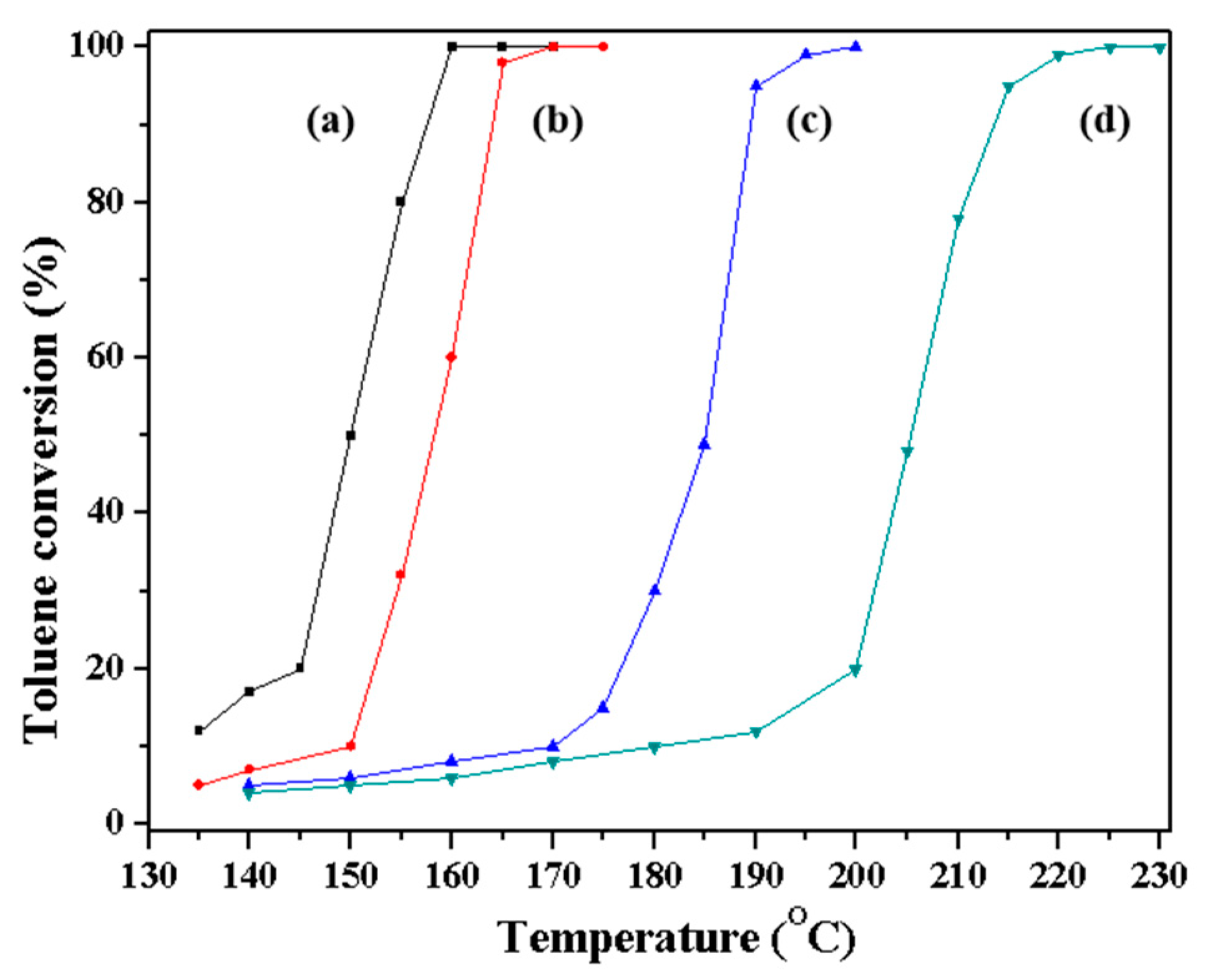
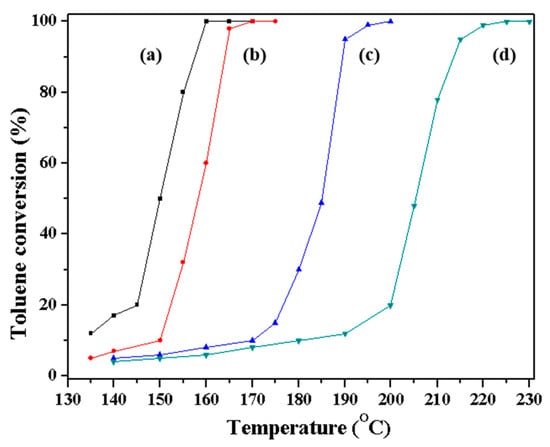
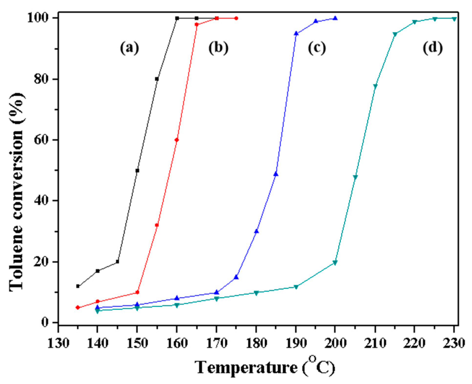
2.3. Catalytic Performance of S-Beta in VOC Degradation
3. Experimental Section
3.1. Materials
3.2. Synthesis of 1,5-Bis(methylpiperidine)pentylammonium Hydroxide (BMPPAOH)
3.3. Synthesis of S-Beta, OTF-Beta, and Meso-Beta Samples
3.4. Characterization
3.5. Computational Method
3.6. Catalytic Performance Tests
4. Conclusions
5. Patents
Supplementary Materials
Author Contributions
Funding
Institutional Review Board Statement
Informed Consent Statement
Data Availability Statement
Acknowledgments
Conflicts of Interest
References
- Liu, R.; Zheng, S.; Sun, T.; Xu, S.; Yu, Z.; Wei, Y.; Liu, Z. Selective Removal of Acid Sites in Mordenite Zeolite by Trimethylchlorosilane Silylation to Improve Dimethylether Carbonylation Stability. ACS Catal. 2022, 12, 4491–4500. [Google Scholar] [CrossRef]
- Liu, L.; Corma, A. Confining Isolated and Clusters in Crystalline Porous Materials for Catalysis. Nat. Rev. Mater. 2021, 6, 244–263. [Google Scholar] [CrossRef]
- Lee, H.; Shin, J.; Lee, K.; Choi, H.J.; Mayoral, A.; Kang, N.Y.; Hong, S.B. Synthesis of thermally stable SBT and SBS/SBT intergrowth zeolites. Science 2021, 373, 104–107. [Google Scholar] [CrossRef]
- Kerstens, D.; Smeyens, B.; Van Waeyenberg, J.; Zhang, Q.; Yu, J.; Sels, B.F. State of the Art and Perspective of Hierarchical Zeolites: Practical Overview of Synthesis Methods and Use in Catalysis. Adv. Mater. 2020, 32, 2004690. [Google Scholar] [CrossRef]
- Peng, H.; Dong, T.; Yang, S.; Chen, H.; Yang, Z.; Liu, W.; He, C.; Wu, P.; Tian, J.; Peng, Y.; et al. Intra-crystalline mesoporous zeolite encapsulation-derived thermally robust metal nanocatalyst in deep oxidation of light alkanes. Nat. Commun. 2022, 13, 295. [Google Scholar] [CrossRef]
- Agnieszka, F.-G. Hierarchical zeolites: Synthesis and catalytic properties. Microporous Mesoporous Mater. 2018, 259, 33–45. [Google Scholar]
- Wang, L.; Li, Y.; Fu, Z.; Su, B.-L. Hierarchically Structured Porous Materials: Synthesis Strategies and Application in Energy Storage. Natl. Sci. Rev. 2020, 7, 1667–1701. [Google Scholar]
- Kan, X.; Xiao, S.; Zheng, Y.; Cao, Y.; Xiao, Y.; Liu, F.; Jiang, L.; Xiao, F.-S. Sustainable synthesis of ordered mesoporous materials without additional solvents. J. Colloid Interface Sci. 2022, 619, 116–122. [Google Scholar] [CrossRef]
- Wang, X.; Ma, Y.; Wu, Q.; Wen, Y.; Xiao, F.-S. Zeolite nanosheets for catalysis. Chem. Soc. Rev. 2022, 51, 2431–2443. [Google Scholar] [CrossRef] [PubMed]
- Ng, E.-P.; Chateigner, D.; Bein, T.; Valtchev, V.; Mintova, S. Capturing Ultrasmall EMT Zeolite from Template-Free Systems. Science 2002, 335, 6064. [Google Scholar] [CrossRef] [PubMed]
- Zhang, F.; Chen, W.; Wu, Q.; Yang, Z.; Wang, L.; Meng, X.; Zhang, B.; Zheng, A.; Deng, F.; Liu, C.; et al. Theoretical Prediction from Classical Equations and Rational Synthesis of Ultrafine LTL Zeolite Nanocrystals. J. Phys. Chem. C 2020, 124, 13819–13824. [Google Scholar] [CrossRef]
- Na, K.; Jo, C.; Kim, J.; Cho, K.; Jung, J.; Seo, Y.Y.; Messinger, R.J.; Chmelka, B.F.; Ryoo, R. Directing Zeolite Structures into Hierarchically Nanoporous Architectures. Science 2011, 333, 328–332. [Google Scholar] [CrossRef]
- Zhuang, A.; Li, J.; Wang, Y.; Wen, X.; Lin, Y.; Xiang, B.; Wang, X.; Zheng, J. Screw-Dislocation-Driven Bidirectional Spiral Growth of Bi2Se3 Nanoplates. Angew. Chem. Int. Ed. 2014, 126, 6543–6547. [Google Scholar] [CrossRef]
- Artyukhov, V.L.; Liu, Y.; Yakobson, B.I. Equilibrium at the edge and atomistic mechanisms of graphene growth. Proc. Natl. Acad. Sci. USA 2012, 109, 15136–15140. [Google Scholar] [CrossRef]
- Wang, L.; Zhu, S.; Shen, M.; Tian, H.; Xie, S.; Zhang, H.; Zhang, Y.; Tang, Y. Fractal MTW Zeolite Crystals: Hidden Dimensions in Nanoporous Materials. Angew. Chem. Int. Ed. 2017, 56, 11764–11768. [Google Scholar] [CrossRef]
- Zhu, Z.; Xu, H.; Jiang, J.; Wu, H.-H.; Wu, P. Hydrophobic Nanosized All-Silica Beta Zeolite: Efficient Synthesis and Adsorption Application. ACS Appl. Mater. Interfaces 2017, 9, 27273–27283. [Google Scholar] [CrossRef]
- Dou, X.; Jiang, X.; Li, W.; Zhu, C.; Liu, Q.; Lu, Q.; Zheng, X.; Chang, H.; Jameel, H. Highly efficient conversion of Kraft lignin into liquid fuels with a Co-Zn-beta zeolite catalyst. Appl. Catal. B Environ. 2020, 268, 118429. [Google Scholar] [CrossRef]
- Wang, J.; Cao, S.; Sun, Y.; Meng, X.; Wei, J.; Ge, Y.; Liu, B.; Gong, Y.; Li, Z.; Mo, G. β Zeolite Nanostructures with a High SiO2/Al2O3 Ratio for the Adsorption of Volatile Organic Compounds. ACS Appl. Nano Mater. 2021, 4, 13257–13266. [Google Scholar] [CrossRef]
- Tian, Y.; Duan, H.; Zhang, B.; Gong, S.; Lu, Z.; Dai, L.; Qiao, C.; Liu, G.; Zhao, Y. Template Guiding for Encapsulation of Uniformly Subnanometric Platinum Clusters in Beta-Zeolites Enabling High Catalytic Activity and Stability. Angew. Chem. Int. Ed. 2021, 60, 21713–21717. [Google Scholar] [CrossRef] [PubMed]
- Zhu, J.; Zhu, Y.; Zhu, L.; Rigutto, M.; van der Made, A.; Yang, C.; Pan, S.; Wang, L.; Zhu, L.; Jin, Y.; et al. Highly Mesoporous Single-Crystalline Zeolite Beta Synthesized Using a Nonsurfactant Cationic Polymer as a Dual-Function Template. J. Am. Chem. Soc. 2014, 136, 2503–2510. [Google Scholar] [CrossRef]
- Hould, N.; Haouas, M.; Nikolakis, V.; Taulelle, F.; Lobo, R. Mechanisms of Quick Zeolite Beta Crystallization. Chem. Mater. 2012, 24, 3621–3632. [Google Scholar] [CrossRef]
- Choi, M.; Na, K.; Ryoo, R. The synthesis of a hierarchically porous BEA zeolitevia pseudomorphic crystallization. Chem. Commun. 2009, 2845–2847. [Google Scholar] [CrossRef] [PubMed]
- Xie, B.; Zhang, H.; Yang, C.; Liu, S.; Ren, L.; Zhang, L.; Meng, X.J.; Yilmaz, B.; Muller, U.; Xiao, F.-S. Seed-directed synthesis of zeolites with enhanced performance in the absence of organic templates. Chem. Commun. 2011, 47, 3945–3947. [Google Scholar] [CrossRef] [PubMed]
- Chen, L.; Sun, M.; Wang, Z.; Yang, W.; Xie, Z.; Su, B. Hierarchically Structured Zeolites: From Design to Application. Chem. Rev. 2020, 120, 11194–11294. [Google Scholar] [CrossRef] [PubMed]
- Peng, P.; Gao, X.; Yan, Z.; Mintova, S. Diffusion and catalyst efficiency in hierarchical zeolite catalysts. Natl. Sci. Rev. 2020, 7, 1726–1742. [Google Scholar] [CrossRef]
- International Zeolite Association (IZA). Available online: http://www.iza-online.org/ (accessed on 13 March 2024).
- Bian, C.; Zhang, C.; Pan, S.; Chen, F.; Zhang, W.; Meng, X.; Maurer, S.; Dai, D.; Parvulescu, A.-N.; Müller, U.; et al. Generalized high-temperature synthesis of zeolite catalysts with unpredictably high space-time yields (STYs). J. Mater. Chem. A 2017, 5, 2613–2618. [Google Scholar] [CrossRef]
- Chen, C.; Zhu, J.; Chen, F.; Meng, X.; Zheng, X.; Gao, X.; Xiao, F.-S. Enhanced Performance in Catalytic combustion of Toluene over Mesoporous Beta Zeolite-supported Platinum Catalyst. Appl. Catal. B Environ. 2013, 140–141, 199–205. [Google Scholar] [CrossRef]
- Fyfe, C.A.; Brouwer, D.H.; Lewis, A.R.; Chezeau, J.-M. Location of the Fluoride Ion in Tetrapropylammonium Fluoride Silicalite-1 Determined by 1H/19F/29Si Triple Resonance CP, REDOR, and TEDOR NMR Experiments. J. Am. Chem. Soc. 2001, 123, 6882–6891. [Google Scholar] [CrossRef]
- Bourgeat-Lami, E.; Massiani, P.; Di Renzo, F.; Espiau, P.; Fajula, F.; Des Courieres, T. Study of the state of aluminium in zeolite-β. Appl. Catal. 1991, 72, 139–152. [Google Scholar] [CrossRef]
- Chen, J.Z.Y.; Deng, F.; Feng, Z.; Meng, X.; Xiao, F.-S. Evolution of D6R Units in the Interzeolite Transformation from FAU, MFI or *BEA into AEI: Transfer or Reassembly? Inorg. Chem. Front. 2020, 7, 2204–2211. [Google Scholar]
- Dutta, P.K.; Shieh, D.C.; Pari, M. Raman Spectroscopic Study of the Synthesis of Zeolite Y. J. Phys. Chem. 1987, 91, 2332–2336. [Google Scholar] [CrossRef]
- Liu, X.L.; Ravon, U.; Tuel, A. Evidence for F−/SiO− Anion Exchange in the Framework of As-synthesized All-silica Zeolites. Angew. Chem. Int. Ed. 2022, 50, 5900–5903. [Google Scholar] [CrossRef]
- Wu, Q.; Wang, X.; Qi, G.; Guo, Q.; Pan, S.; Meng, X.J.; Deng, F.; Fan, F.; Feng, C.; Li, C.; et al. Sustainable Synthesis of Zeolite without Addition of Both Organotemplates and solvents. J. Am. Chem. Soc. 2014, 136, 4019–4025. [Google Scholar] [CrossRef]
- Mintova, S.; Valtchev, V.; Onfroy, T.; Marichal, C.; Knozinger, H.; Bein, T. Variation of the Si/Al ratio in nanosized zeolite Beta crystals. Microporous Mesoporous Mater. 2006, 90, 237–245. [Google Scholar] [CrossRef]
- Li, S.; Li, X.; Xu, R.-R. Studies on the Aging Mechanism for Directing Agent of Zeolite L. Chem. J. Chin. Univ. 1992, 13, 145–148. [Google Scholar]
- Chen, C.; Wang, X.; Zhang, J.; Pan, S.; Bian, C.; Wang, L.; Chen, F.; Meng, X.J.; Zheng, X.; Xiao, F.-S. Superior performance in catalytic combustion of toluene over KZSM-5 zeolite supported platinum catalyst. Catal. Lett. 2014, 144, 1851–1859. [Google Scholar] [CrossRef]
- Pophale, R.; Daeyaert, F.; Deem, M. Computational Prediction of Chemically Synthesizable Organic Structure Directing Agents for Zeolites. J. Mater. Chem. A 2013, 1, 6750–6760. [Google Scholar] [CrossRef]
- Mayo, S.; Olafson, B.; Dreiding, W.A. Generic Force Field for Molecular Simulations. J. Phys. Chem. 1990, 94, 8897–8909. [Google Scholar] [CrossRef]
- Gale, J.D.; Rohl, A.L. The General Utility Lattice Program (GULP). Mol. Simul. 2003, 29, 291–341. [Google Scholar] [CrossRef]








| Sample | Surface Area (m2/g) | VMicro (cm3/g) | ||
|---|---|---|---|---|
| Total | Micro | Meso | ||
| S-Beta | 655 | 387 | 161 | 0.14 |
| C-Beta [27] | 554 | 328 | 95 | 0.13 |
| nano-Beta [28] | 833 | 352 | 218 | 0.14 |
| Meso-Beta [20] | 483 | / | / | 0.14 |
| Sample | Surface Area (m2/g) | VMicro (cm3/g) | Pore Width (nm) | |||
|---|---|---|---|---|---|---|
| Total | Micro | Meso | Meso | Macro | ||
| S-Beta-2d | 232 | 83 | 89 | 0.04 | / | 520.6 |
| S-Beta-4d | 251 | 92 | 95 | 0.04 | 37.9 | 489.9 |
| S-Beta-6d | 734 | 335 | 218 | 0.14 | 38.1 | 98.6 |
| S-Beta-8d | 693 | 380 | 145 | 0.18 | 38.1 | 79.4 |
| S-Beta | 655 | 387 | 161 | 0.15 | 38.0 | 47.9 |
| Catalyst | Activities a | ||
|---|---|---|---|
| T5 | T50 | T98 | |
| 1% Pt-S-Beta | 130 | 150 | 160 |
| 1% Pt-Meso-Beta | 131 | 186 | 195 |
| 1% Pt-C-Beta | 131 | 206 | 220 |
| 1% Pt-OTF-Beta | 135 | 157 | 165 |
Disclaimer/Publisher’s Note: The statements, opinions and data contained in all publications are solely those of the individual author(s) and contributor(s) and not of MDPI and/or the editor(s). MDPI and/or the editor(s) disclaim responsibility for any injury to people or property resulting from any ideas, methods, instructions or products referred to in the content. |
© 2024 by the authors. Licensee MDPI, Basel, Switzerland. This article is an open access article distributed under the terms and conditions of the Creative Commons Attribution (CC BY) license (https://creativecommons.org/licenses/by/4.0/).
Share and Cite
Bian, C.; Luo, X.; Chen, X. Insights into the Synthesis of Spiral Beta Zeolite with Enhanced Catalytic Performance in VOC Abatement. Molecules 2024, 29, 1386. https://doi.org/10.3390/molecules29061386
Bian C, Luo X, Chen X. Insights into the Synthesis of Spiral Beta Zeolite with Enhanced Catalytic Performance in VOC Abatement. Molecules. 2024; 29(6):1386. https://doi.org/10.3390/molecules29061386
Chicago/Turabian StyleBian, Chaoqun, Xiaohui Luo, and Xiao Chen. 2024. "Insights into the Synthesis of Spiral Beta Zeolite with Enhanced Catalytic Performance in VOC Abatement" Molecules 29, no. 6: 1386. https://doi.org/10.3390/molecules29061386
APA StyleBian, C., Luo, X., & Chen, X. (2024). Insights into the Synthesis of Spiral Beta Zeolite with Enhanced Catalytic Performance in VOC Abatement. Molecules, 29(6), 1386. https://doi.org/10.3390/molecules29061386

