Research Progress in Traditional Applications, Phytochemistry, Pharmacology, and Safety Evaluation of Cynomorium songaricum
Abstract
1. Introduction
2. Materials and Methods
3. Botany
3.1. Characteristics of Plants
3.2. Growth Environment and Regional Distribution
4. Traditional Uses
| Prescription Name | Main Components | Traditional Uses | Ancient Books | References |
|---|---|---|---|---|
| Huqian wan | Cynomorium, Cupressus funebris, Anemarrhena asphodeloides, orange peel, Paeonia lactiflora, tortoise plastron, etc. | Curing impotence | Dan Xi Xin Fa (Ming Dynasty, A.D. 1481) | [26] |
| Guilu bushen wan | Cynomorium, Epimedium brevicornu, common jujube seed, Ipomoea batatas, Rubus idaeus, orange peel, etc. | Curing impotence | Chinese Pharmacopoeia 2020 | [27] |
| Suoyang gujing wan | Cynomorium, Cuscuta chinensis, Alisma plantago-aquatica, Achyranthes bidentata, Anemarrhena asphodeloides, Poria cocos, etc. | Curing spermatorrhea | Chinese Pharmacopoeia 2020 | [28] |
| Guben wan | Cynomorium, Panax ginseng, Oxytropis xinglongshanica, Sinocrassula indica, clam powder, Atractylodes macrocephala, etc. | Curing chronic renal failure | Song Ya Zun Sheng (Qing Dynasty, A.D. 1695) | [29] |
| Dabuyin wan | Cynomorium, Cupressus funebris, Anemarrhena asphodeloides, Paeonia lactiflora, orange peel, Stephania tetrandra, etc. | Curing diabetic nephropathy | Tong Shou Lu (Qing Dynasty, A.D. 1762) | [30] |
| Xusi dan | Cynomorium, Fossilizid, Concha ostreae, Eucommia ulmoides, orange peel, Atractylodes macrocephala, etc. | Curing male infertility | Fu Ke Yu Chi (Qing Dynasty, A.D. 1644–1911) | [31] |
| Jiawei huqian wan | Cynomorium, Ipomoea batatas, Schisandra chinensis, Achyranthes bidentata, Cupressus funebris, Angelica sinensis, etc. | Strong bones and muscles | Yi Xue Liu Yao (Ming Dynasty, A.D. 1609) | [32] |
| Shenlu jianbu wan | Cynomorium, Cupressus funebris, Anemarrhena asphodeloides, orange peel, Zingiber officinale, tortoise plastron, etc. | Strong bones and muscles | Chinese Pharmacopoeia 2020 | [33] |
| Jiawei jianbu huqian wan | Cynomorium, Pleuropterus multiflorus, Clematis chinensis, Cupressus funebris, Panax ginseng, Hansenia weberbaueriana, etc. | Curing of fall injury | Jin Jian (Qing Dynasty, A.D. 1736) | [34] |
| Gouqi wan | Cynomorium, Lycium chinense, Panax ginseng, Cupressus funebris, Angelica sinensis, Paeonia lactiflora, etc. | Curing alzheimer disease | She Sheng Zhong Miao Fang (Ming Dynasty, A.D. 1550) | [35] |
| Guilingji capsule | Cynomorium, Talinum paniculatum, Lycium chinense, Syringa Linn, Achyranthes bidentata, Cistanche deserticola, etc. | Curing cognitive dysfunction | Chinese Pharmacopoeia 2020 | [36] |
| Jiawei buyin wan | Cynomorium, Achyranthes bidentata, Eucommia ulmoides, Amomum villosum, Angelica sinensis, Anemarrhena asphodeloides, etc | Curing hyperthyroidism | Zhun Sheng Shang Han (Ming Dynasty, A.D. 1604) | [37] |
| Jiajian buyin wan | Cynomorium, Cuscuta chinensis, Angelica sinensis, Paeonia lactiflora, Eucommia ulmoides, Achyranthes bidentata, etc. | Curing perimenopausal syndrome of Yin deficiency type | Dan Xi Xin Fa (Ming Dynasty, A.D. 1481) | [38] |
5. Phytochemistry
5.1. Flavonoids
5.2. Terpenoids
5.3. Steroids
5.4. Saccharides and Glycosides
5.5. Organic Acids and Organic Acid Ester
5.6. Phloroglucinol Adducts
5.7. Other Compounds
6. Pharmacology
6.1. Anti-Tumor Effects
6.1.1. Anti-Cancer
6.1.2. Leukemia
6.2. Anti-Oxidation Function
6.3. Anti-Aging Effects
6.4. Anti-Fatigue and Anti-Hypoxia Activities
6.5. Effects on Nervous System
6.6. Effects on Reproductive System
6.7. Anti-Virus
6.8. Anti-Diabetic Properties
6.9. Anti-Osteoporosis Effect
6.10. Liver Protection
6.11. Other Pharmacological Effects
6.11.1. Intestinal Effects
6.11.2. Mitigate Obesity
6.11.3. Renal Protective Effects
6.11.4. Immune System Modulation
6.11.5. Anti-Ulcer Effect
6.11.6. Anti-Depressant Effect
6.11.7. Anti-Epileptic
6.11.8. Anti-Bacterial
7. Toxicity
7.1. Heavy Metal Ions Detection
7.2. Toxicity Studies In Vivo
8. Conclusions
Supplementary Materials
Author Contributions
Funding
Institutional Review Board Statement
Informed Consent Statement
Data Availability Statement
Conflicts of Interest
Abbreviations
| CSR | Cynomorium songaricum Rupr. | HPLC-MS | High-performance liquid chromatography–mass spectrometry. |
| VU | Vulnerable | TLC | Thin layer chromatography |
| IUCN | International Union for Conservation of Nature | HR-MS | High-resolution mass spectrometry |
| CITES | Convention on International Trade in Endangered Species of Wild Fauna and Flora | GC-MS | Gas chromatography–mass spectrometry |
| UV | Ultraviolet spectrophotometry | FAB-MS | Fast atom bombardment mass spectrometry |
| IR | Infrared spectroscopy | HMQC | Heteronuclear multiple quantum coherence |
| ESI-MS | Electrospray ionization mass spectrometry | HMBC | Heteronuclear multiple bond connectivity |
| 13C NMR | Carbon-13 nuclear magnetic resonance spectrometry | CD | Circular dichroism |
| 1H NMR | Hydrogen-1 nuclear magnetic resonance spectrometry | 1H–1HCOSY | Homonuclear Correlation Spectroscopy |
| HPLC | High-pressure liquid chromatography | CSP | CSR polysaccharides |
| CSF | CSR flavonoids | ABTS | 2,2′-Azino-bis(3-ethylbenzothiazoline-6-sulfonic acid) diammonium salt |
| TERT | Telomerase reverse transcriptase | XO | Xanthine oxidase |
| BNIP3 | Bcl-2/adenovirus E1B 19 kDa-interacting protein 3 | SOD | Superoxide dismutase |
| BNIP3L | Bcl-2/adenovirus E1B 19 kDa protein-interacting protein 3-like | KM mice | Kunming mice |
| DPPH | 2,2-Diphenyl-1-picrylhydrazyl | cAMP | Cyclic adenosine monophosphate |
| cGMP | Cyclic guanosine monophosphate | BDNF | Brain-Derived Neurotrophic Factor |
| MAO | monoamine oxidase | TrkB | Tyrosine Kinase receptor B |
| ROS | Reactive oxygen species | ACH | Acetylcholine |
| HPX/XO | Hypoxanthine/Xanthine oxidase | NADPH | Nicotinamide adenine dinucleotide phosphate |
| XDH/XO | Xanthine dehydrogenase | NLRP3 | NOD-like receptor thermal protein domain associated protein 3 |
| Aβ25–35 | Amyloidβ-Protein 25–35 | AMPA | Amino-3-hydroxy-5-methy1-4-isoxazole propionic acid |
| MAPK | Mitogen-activated protein kinases | BPH | Benign prostatic hyperplasia |
| Drp1 | Dynamin-related protein 1 | PCNA | Proliferating Cell Nuclear Antigen |
| Fis1 | Mitochondrial Fission 1 Protein | AR | Androgen Receptor |
| AD | Alzheimer’s disease | Erα | Estrogen receptor α |
| OPA1 | Optic Atrophy 1 | Erβ | Estrogen receptor β |
| MFN1 | Mitofusin 1 | SRD5A 1/2 | 3-oxo-5-alpha-steroid 4-dehydrogenase 1/2 |
| SD rat | Sprague-Dawley rat | GSH | Glutathione |
| GAP-43 | Growth-Associated Protein 43 | MDA | Malondialdehyde |
| p-CREB | Phosphorylation-cAMP response element-binding protein | FSH | Follicle-stimulating Hormone |
| PSD-95 | Postsynaptic density protein-95 | ICSH | Interstitial cell-stimulating hormone |
| p-Erk | Phosphor-extracellular regulated protein kinases | LH | Luteinizing hormone |
| LTP | Long-term Potential | GDNF | Glial Cell Line-derived Neurotrophic Factor |
| ICR | Institute of Cancer Research | MTT | Methyl thiazolyl tetrazolium |
| CREB | cAMP response element-binding protein | HIV | Human immunodeficiency virus |
| HCV | Hepatitis C virus | p-GSK3β | phosphor-glycogen synthase kinase-3β |
| CSPA | CSR water-soluble polysaccharide | Bcl-2 | B-cell lymphoma-2 |
| STZ | Streptozotocin | ALP | Alkaline phosphatase |
| AKT | American karate tae | OPG | Osteoclastogenesis inhibitory factor |
| eNOS | endothelial nitric oxide synthase | RANKL | Receptor Activator for Nuclear Factor-κ B Ligand |
| TNF-α | Tumor necrosis factor α | RANK | Receptor Activator for Nuclear Factor-κ B |
| PI3K | Phosphatidylinositide 3-kinases | TRAP | Tartrate-resistant acid phosphatase |
| p-PI3K | phospho-phosphatidylinositide 3-kinases | DPD | Dihydropyrimidine dehydrogenase |
| p-AKT | phospho-american karate tae | TRAF6 | TNF receptor-associated factor 6 |
| GSK3β | Glycogen synthase kinase-3β | NF-κB | Nuclear Factor-κB |
| GOT | Glutamic oxalate transaminase | MCV | Mean corpuscular volume |
| GPT | Glutamic pyruvate transaminase | RDW | Red blood cell distribution width |
| NOAEL | No-observed-adverse-effect level | TGF-β1 | Transforming Growth Factor β1 |
| WBC | White blood cell | IL-1 | Interleukin 1 |
| HCT | Hematocrit | AST | Aspartate aminotransferase |
| RBC | Red blood cell | ALT | Alanine aminotransferase |
| LDH | Lactate dehydrogenase | IFN-γ | Interferon-γ |
| LN | Laminin | CTX | Cyclophosphamide |
| GSH-Px | Glutathione peroxidase | IL-6 | Interleukin-6 |
| NOS | Nitric oxide synthase | NO | Nitric oxide |
| AMPK | Adenosine phosphate-activated protein kinase | PGE2 | Prostaglandin E2 |
| PGC1 | Peroxisome proliferator-activated receptor γ coactivator-1 | EGF | Epidermal growth factor |
| BUN | Blood urea nitrogen | PAF | Platelet-activating factor |
| Cr | Creatinine | MES | Maximum electroconvulsive seizure |
| MRSA | Methicillin-resistant staphylococcus aureus | LOAEL | Lowest-observed-adverse-effect level |
References
- Han, D.; Meng, H.; Zhang, Y. Research and development and utilization of ‘Desert Ginseng‘ Cynomorium songaricum plant resources. Chin. Wild Plant Resour. 2003, 4, 42–46. [Google Scholar]
- Meng, J.; Ding, C.; Peng, S.; Liu, Y.; Yan, J.; Cui, P. Simultaneous determination of seven different components in Cynomorium songaricum Rupr. by QAMS. Acta Pharm. Sin. 2023, 58, 2763–2770. [Google Scholar]
- Ren, M.; Yang, G.; Du, L.; Liu, F.; Zhang, D.; Shen, Q.; Guan, X.; Zhang, Y. Research advances in medicinal plants of Cynomorium songaricum. J. Biol. 2018, 35, 95–98. [Google Scholar]
- Ma, F.-P.; Yu, L.; Yang, Y.; Li, D.-X.; Shen, C.-Y.; Zhao, X.-S.; Luo, Q. Glycoside constituents with various antioxidant effects from fresh Cynomorium songaricum. J. Asian Nat. Prod. Res. 2021, 24, 784–793. [Google Scholar] [CrossRef]
- Cui, Z.; Guo, Z.; Miao, J.; Wang, Z.; Li, Q.; Chai, X.; Li, M. The genus Cynomorium in China: An ethnopharmacological and phytochemical review. J. Ethnopharmacol. 2013, 147, 1–15. [Google Scholar] [CrossRef]
- Zhang, W.; Zheng, N.; Rui, Y.; Fan, Q.; Duan, Y. Extraction technology and in vitro antioxidant activity of polysaccharide from wild of Cynomorium songaricum Rupr in Ningxia. Sci. Technol. Food Ind. 2014, 35, 279–284. [Google Scholar]
- Tohuti, R.; Kasimu, G.; Zhang, Q.; Rehman, A. Effect of different extraction parts from the Cynomorium songarium Rupr. on Caco-2 and study of the chemical constituents. J. Xinjiang Med. Univ. 2011, 34, 362–365. [Google Scholar]
- Ma, L.; Chen, G. The Differences of the Active Components from the Different Segments of the Succulent Stem of Cynomorium Songaricum Rupr. Lishizhen Med. Mater. Medica Res. 2008, 19, 2913–2914. [Google Scholar]
- Zhang, S.; Wang, Y.; Liu, L.; Yu, J.; Hu, J. Studies on Chemical Constituents of Herba Cynomorii. Chin. Pharm. J. 2007, 42, 975–977. [Google Scholar]
- Ma, C.M.; Nakamura, N.; Hattori, M.; Cai, S. Isolation of malonyl oleanolic acid hemiester as anti-HIV protease substance from the stems of Cynomorium songaricum. Chin. Pharm. J. 2002, 37, 18–20. [Google Scholar]
- Qu, S.H.; Wu, H.P.; Hu, S.X. Study on chemical constituents of herba Cynomorii. J. Xinjiang Med. Univ. 1991, 14, 207. [Google Scholar]
- Xu, X.; Zhang, C.; Li, C. Chemical components of Cynomorium songaricum Rupr. China J. Chin. Mater. Medica 1996, 21, 676–677. [Google Scholar]
- Wang, X.; Li, H.; Liu, M.; Jiao, H. Chemical constituents from Cynomorium songaricum Rupr. Chin. Tradit. Pat. Med. 2015, 37, 1737–1739. [Google Scholar]
- Li, M.; Abulizi, R.; Yang, J.; Hu, J. Immune function of different polar extracts from Cynomorium songaricum Rupr. in mice. J. Xinjiang Med. Univ. 2021, 44, 1379–1384. [Google Scholar]
- Sdiri, M.; Li, X.; Du, W.W.; El-Bok, S.; Xie, Y.Z.; Ben-Attia, M.; Yang, B.B. Anticancer Activity of Cynomorium coccineum. Cancers 2018, 10, 354. [Google Scholar] [CrossRef] [PubMed]
- Ma, C.M.; Nakamura, N.; Miyashiro, H.; Hattori, M.; Shimotohno, K. Inhibitory effects of constituents from Cynomorium songaricum and related triterpene derivatives on HIV-1 protease. Chem. Pharm. Bull. 1999, 47, 141–145. [Google Scholar] [CrossRef]
- Tian, X.; Wang, M.; Zhang, T.; Ou, Q.; Wei, X.; Bai, D.; Yang, J. Experimental study of Cynomorium songaricum on the expression of NO, NOS, bcl-2 and bax gene in neurons of aging mice. Chin. J. Gerontol. 2005, 25, 446–447. [Google Scholar]
- Jia, H.; Ge, B.; Di, D.-L. Comparative study on anti-stress effect of different extracts from Cynomorium songaricum. Chin. J. Hosp. Pharm. 2009, 29, 1977–1980. [Google Scholar]
- Chen, J.; Lu, S. Flora of China; Science Press: Beijing, China, 2000; Volume 53, pp. 152–154. [Google Scholar]
- Mao, X.; Gu, Z.; Lv, X.; Qi, M.; Ge, B. Research Progress on Resource Chemistry, Pharmacological Effects and Development of Cynomorium cynomorium. Chin. Wild Plant Resour. 2022, 41, 50–54. [Google Scholar]
- Chen, Y.; Han, D.H.; Gao, H.; Luo, G.H.; Wang, J. Distribution and Utilization on Germplasm Resources of Host Plants of Cynomorium songaricum. Chin. Wild Plant Resour. 2013, 32, 45–47. [Google Scholar]
- Yuan, Y.; Yu, F.; Wang, X.; Song, C. Wild Cynomorium songaricum artificial domestication cultivation technology. Mod. Agric. 2011, 10, 054. [Google Scholar] [CrossRef]
- Chen, J.; Chen, X. The similarities and differences of parasitic plants Cynomorium songaricum and Cistanche breeding methods. Bull. Biol. 2016, 51, 11–13. [Google Scholar]
- Yang, H.; Gu, Z.; Guo, Y.; Mao, X.; Qi, M.; Ge, B. Research Progress in the Development and Application of Cynomorium songaricum Related Preparations and Health Products. Chin. Wild Plant Resour. 2023, 42, 83–88. [Google Scholar]
- Gao, Y. The development and utilization prospect of parasitic plant Cynomorium songaricum. J. Inn. Mong. For. Coll. 1996, 18, 45–49. [Google Scholar]
- Li, R.; Meng, Y.; Niuniu, G. The current clinical application status of Hu Qian Wan. Clin. J. Chin. Med. 2017, 9, 137–139. [Google Scholar]
- Cai, Z.; Lv, L. Guilu Bushen Pills in the treatment of 86 cases of impotence. Clin. J. Med. Off. 2004, 03, 122. [Google Scholar]
- Wang, W. Pharmacological study of Suoyang Gujing Pills. Sci. Technol. Innov. 2014, 05, 45. [Google Scholar]
- Wu, S. Curative Effects of Nephritis in Favor of Pills Treatment of Chronic Renal Failure. Guide China Med. 2011, 9, 188–189. [Google Scholar]
- Wu, X.; Qu, M.; Song, H.; Guan, Z.; Zhang, T. Improving Effect of Dabuyin Pill on Renal Function in DN Mice. Acta Chin. Med. Pharmacol. 2022, 50, 39–43. [Google Scholar]
- Pang, B.; Zhao, H. Clinical study on Ziyin Xusidan navel sticking in the treatment of male infertility. Mod. Chin. Med. 2004, 02, 34. [Google Scholar]
- Huifeng, W. Exploration of the effect of traditional Chinese medicine combined with locking steel plate treatment on comminuted intertrochanteric fractures in the elderly. Med. Forum 2016, 20, 1961–1962. [Google Scholar]
- Luo, X. Clinical efficacy of Shenlu Jianbu Pill in treating ischemic necrosis of the femoral head. J. Contemp. Clin. Med. 2022, 35, 101–102. [Google Scholar]
- Chaokai, C.; Guofen, L. 17 cases of femoral neck fracture were treated with modified Jianbu-Huqian pill combined with V-shaped intramedullary nail. J. Emerg. Tradit. Chin. Med. 2002, 05, 376. [Google Scholar]
- Peng, W.; Huang, J. Effect of modified lycium barbarum pill on cognitive function in patients with Alzheimer’s disease. Chin. Med. Mod. Distance Educ. China 2013, 11, 20–21. [Google Scholar]
- Tan, L.; Tang, M.; Gao, H.; Wang, W.; Ouyang, H.; Feng, X. A randomized double-blind positive-controlled clinical trial of Guilingji for treating mild-to-moderate elderly cognitive impairment with kidney deficiency and marrow reduction syndrome. Mod. J. Integr. Tradit. Chin. West. Med. 2022, 31, 3392–3397. [Google Scholar]
- Xue, K. Clinical Study on Modified Dabuyin Pill in the Treatment of Hyperthyroidism Complicated with Type 2 Diabetes. China Health Ind. 2012, 9, 174. [Google Scholar]
- Zhang, Z.; Yan, X.; Zhang, Y. Clinical Study on the Treatment of Perimenopausal Syndrome of Yin Deficiency Type with Modified Dabuyin Pill. J. Zhejiang Chin. Med. Univ. 2022, 46, 1363–1366. [Google Scholar]
- Zhang, X.; Chen, Y.; Cui, J.; Cheng, W. Extraction of Proanthocyanidins from Cynomorium songaricum Rupr. and Its Antioxidant and Antiglycation Activities. Nat. Prod. Res. Dev. 2018, 30, 2039–2048. [Google Scholar]
- Guo, Y.; Zhao, J.; Luan, N.; Zhang, J.; Li, D. Antioxidant Function of Flavonoids from Cynomorium songaricum Rupr. J. Anhui Agric. Sci. 2011, 39, 19763–19764. [Google Scholar]
- Jin, S.; Eerdunbayaer; Doi, A.; Kuroda, T.; Zhang, G.; Hatano, T.; Chen, G. Polyphenolic constituents of Cynomorium songaricum Rupr. and antibacterial effect of polymeric proanthocyanidin on methicillin-resistant Staphylococcus aureus. J. Agric. Food Chem. 2012, 60, 7297–7305. [Google Scholar] [CrossRef]
- Jiang, Z.H.; Tanaka, T.; Sakamoto, M.; Jiang, T.; Kouno, I. Studies on a medicinal parasitic plant: Lignans from the stems of Cynomorium songaricum. Chem. Pharm. Bull. 2001, 49, 1036–1038. [Google Scholar] [CrossRef]
- Tao, J.; Tu, P.; Xu, W.; Chen, D. Studies on Chemical Constituents and Pharmacological Effects of the Stem of Cynomorium songaricum Rupr. China J. Chin. Mater. Medica 1999, 24, 36–38. [Google Scholar]
- Wang, X.M.; Zhang, Q.; Kasimu, R.; Wang, X.L.; Wang, X.Q. Chemical constituents in whole plant of Cynomorium songaricum. Chin. Tradit. Herb. Drugs 2011, 42, 458–460. [Google Scholar]
- Meng, H.-C.; Wang, S.; Li, Y.; Kuang, Y.-Y.; Ma, C.-M. Chemical constituents and pharmacologic actions of Cynomorium plants. Chin. J. Nat. Med. 2013, 11, 321–329. [Google Scholar] [CrossRef]
- Zhang, Q.; Kasimu, R.; Wang, X.M.; Wang, X.L.; Wang, X.Q. Studies on the chemical constituents of flavonids in the inflorescences of Cynomorium songaricum Rupr. J. Xinjiang Med. Univ. 2007, 30, 466–468. [Google Scholar]
- Ma, C.M.; Wei, Y.; Wang, Z.G.; Hattori, M. Triterpenes from Cynomorium songaricium--analysis of HCV protease inhibitory activity, quantification, and content change under the influence of heating. J. Nat. Med. 2009, 63, 9–14. [Google Scholar] [CrossRef]
- Xie, S.; Li, G.; Wang, H.; Huang, J.; Kasimu, R.; Tan, Y.; Zhang, K.; Wang, J. Study on Chemical Constituents in Cynomorium songaricum. China Pharm. 2012, 15, 911–914. [Google Scholar]
- Zhang, L.; Pei, D.; Huang, Y.-R.; Wei, J.-T.; Di, D.-L.; Wang, L.-X. Chemical Constituents from Cynomorium songaricum. J. Chin. Med. Mater. 2016, 39, 74–77. [Google Scholar]
- Ma, C.M.; Jia, S.S.; Sun, T.; Zhang, Y.W. Triterpenes and steroidal compounds from Cynomorium songaricum. Acta Pharm. 1993, 28, 152–155. [Google Scholar]
- Zhou, Y.B.; Ye, R.R.; Lu, X.F.; Lin, P.C.; Yang, S.B.; Yue, P.P.; Zhang, C.X.; Peng, M. GC-MS analysis of liposoluble constituents from the stems of Cynomorium songaricum. J. Pharm. Biomed. Anal. 2009, 49, 1097–1100. [Google Scholar] [CrossRef]
- Zhang, S.-J.; Zhang, S.-Y.; Hu, J.-P. Studies on polysaccharide of Cynomorium songaricum Rupr. China J. Chin. Mater. Medica 2001, 26, 409–411. [Google Scholar]
- Wang, J.; Zhang, J.; Zhao, B.; Wu, Y.; Wang, C.; Wang, Y. Structural features and hypoglycaemic effects of Cynomorium songaricum polysaccharides on STZ-induced rats. Food Chem. 2010, 120, 443–451. [Google Scholar] [CrossRef]
- Shi, G.; Jiang, W.; Cai, L.; Sui, G. Molecular characteristics and antitumor capacity of Glycan extracted from Cynomorium songaricum. Int. J. Biol. Macromol. 2011, 48, 788–792. [Google Scholar] [CrossRef]
- Zhang, C.Z.; Xu, X.Z.; Li, C.; Zhang, C.Z.; Lanzhou, M.C. Fructosides from Cynomorium songaricum. Phytochemistry 1996, 41, 975–976. [Google Scholar] [CrossRef]
- Shin, M.; Munekazu, I. Study on the Constituents of Useful Plant: IV. Constituents of the calyx of diosryrose kaki, and carbon-13 nuclear magnetic resonance spectrs of flavonol glycosides. Chem. Pharm. Bull. 1978, 26, 1936–1941. [Google Scholar]
- Xie, S.; Li, G.; Zhang, K.; Wang, H.; Tan, Y.; Wang, J. Isolation and identification of chemical constituents from Cynomorium songaricum. J. Shenyang Pharm. Univ. 2012, 29, 525–528. [Google Scholar]
- Wang, X.; Tao, R.; Yang, J.; Miao, L.; Wang, Y.; Munyangaju, J.E.; Wichai, N.; Wang, H.; Zhu, Y.; Liu, E.; et al. Compounds from Cynomorium songaricum with Estrogenic and Androgenic Activities Suppress the Oestrogen/Androgen-Induced BPH Process. Evid. Based Complement. Altern. Med. 2017, 2017, 6438013. [Google Scholar] [CrossRef] [PubMed]
- Qian, Z. Fundamental Studies of Chemical Constituents of Cynomorium songaricum RUPR; Xinjiang Medical University: Ürümqi, China, 2007. [Google Scholar]
- Yao, J.; Niu, S.; Da, W.Y.; Zeng, J.Y.; Wang, L.Z. Component analysis on alcoholic beverage brewed from Cynomorium sougaricam. J. Northwest Norm. Univ. 2001, 37, 73–75. [Google Scholar]
- Zhang, S.; Zhang, S. Studies on the Volatile Components of Herba Cynomorii. China J. Chin. Mater. Medica 1990, 15, 39–41. [Google Scholar]
- Xue, G.Q.; Liu, Q.; Ren, X.F.; Han, Y.Q. Determination of Fifteen Metal Elements in Cynomorium Songaricumi by Flame Atomic Absorption Spectrophotometry (FAAS). Spectrosc. Spectr. Anal. 2004, 24, 1461–1463. [Google Scholar]
- Li, Z.H.; Guo, J.X.; Cui, Z.H.; Xu, J.P.; Zhang, C.H.; Li, M.H. Phytochemical and Pharmacological Progress and Resource Conservation Review of Cynomorium songaricum Rupr. Mod. Chin. Med. 2014, 16, 861–869. [Google Scholar]
- Meng, H.C.; Ma, C.M. Flavan-3-ol-cysteine and acetylcysteine conjugates from edible reagents and the stems of Cynomorium songaricum as potent antioxidants. Food Chem. 2013, 141, 2691–2696. [Google Scholar] [CrossRef]
- Wang, S.; Gao, S.; Li, W. Study on the Extraction, Purification and Pharmacological Activity of Astragalus Polysaccharide. Spec. Wild Econ. Anim. Plant Res. 2021, 170, 1–8. [Google Scholar]
- Li, X.; Sdiri, M.; Peng, J.; Xie, Y.; Yang, B.B. Identification and characterization of chemical components in the bioactive fractions of Cynomorium coccineum that possess anticancer activity. Int. J. Biol. Sci. 2020, 16, 61–73. [Google Scholar] [CrossRef] [PubMed]
- Nishida, S.; Kikuichi, S.; Yoshioka, S.; Tsubaki, M.; Fujii, Y.; Matsuda, H.; Kubo, M.; Irimajiri, K. Induction of apoptosis in HL-60 cells treated with medicinal herbs. Am. J. Chin. Med. 2003, 31, 551–562. [Google Scholar] [CrossRef] [PubMed]
- Yang, F.; Zhao, P.-W.; Sun, P.; Ma, L.-J.; Zhao, P.-W. Effect of Cynomorium songaricum polysaccharide on telomere of lung cancer A549 cells. China J. Chin. Mater. Medica 2016, 41, 917–921. [Google Scholar]
- Vascellari, S.; Zucca, P.; Perra, D.; Serra, A.; Piras, A.; Rescigno, A. Antiproliferative and antiviral activity of methanolic extracts from Sardinian Maltese Mushroom (Cynomorium coccineum L.). Nat. Prod. Res. 2021, 35, 2967–2971. [Google Scholar] [CrossRef] [PubMed]
- Zhang, H.; Luo, G.; Hao, J.; Yang, S.; Cui, W.; Zhang, J. Optimization of Ultrasonic-Assisted Enzymatic Extraction of Polysaccharides from Cynomorium songaricum and Their Antitumor Activity. Food Sci. 2016, 37, 59–64. [Google Scholar]
- Rina, S.; Yu, D. Research on Antioxidant Activity of the Alcohol Extract from Different Parts of Cynomorium songaricum. J. Inn. Mong. Norm. Univ. 2016, 45, 384–391. [Google Scholar]
- Lu, Y.; Cheng, F.; Wang, X.; Zhong, X.; Wang, Q. Antioxidant Activities of Different Extracts of Cynomorium Songaricum and Their Protective Effects against Hypoxanthine/Xanthine Oxidase-Induced Cell Injury: A Comparative Study. J. Anhui Univ. Chin. Med. 2012, 31, 57–60. [Google Scholar]
- Lu, Y.; Wang, Q.; Melzig, M.F.; Jenett-Siems, K. Extracts of Cynomorium songaricum protect SK-N-SH human neuroblastoma cells against staurosporine-induced apoptosis potentially through their radical scavenging activity. Phytother. Res. 2009, 23, 257–261. [Google Scholar] [CrossRef]
- Wang, N.; Wei, J.; Pei, D.; Hu, Q.; Zhang, L.; Di, D.; Liu, Y. Evaluation of antioxidative activity for aqueous extract from Cynomorium songaricum Rupr. Food Sci. Technol. 2016, 41, 237–240. [Google Scholar]
- Seo, S.-J.; Han, M.-R.; Lee, Y.-S. Antioxidant and Xanthine Oxidase Inhibition Activities of Cynomorium songaricum Extracts. Prev. Nutr. Food Sci. 2011, 16, 307–312. [Google Scholar] [CrossRef]
- Zhang, X.; Zhang, F.; Luo, G. Aqueous two phase system based on C_4mim BF_4/MgSO_4 for isolation of total flavonoids from Cynomorium Songaricum and its antioxidation activity analysis. Sci. Technol. Food Ind. 2016, 37, 242–246. [Google Scholar]
- Duan, Y.; Ma, Y.; Chen, G. Comparation of Antioxidant Activity of Crude Polyphenol and Polysaccharide in Cynomorium songaricum. Mod. Chin. Med. 2012, 14, 43–46. [Google Scholar]
- Jin, S.-W.; Chen, G.-L.; Du, J.-J.-M.; Wang, L.-H.; Ren, X.; An, T.-Y. Antioxidant Properties and Principal Phenolic Compositions of Cynomorium Songaricum Rupr. Int. J. Food Prop. 2013, 17, 13–25. [Google Scholar] [CrossRef]
- Wang, G.; Huang, X.; Pei, D.; Duan, W.; Quan, K.; Li, X.; Di, D. DPPH-HPLC-DAD analysis combined HSCCC for screening and identification of radical scavengers in Cynomorium songaricum Rupr. New J. Chem. 2016, 40, 3885–3891. [Google Scholar] [CrossRef]
- Li, L.; Liu, Y.; Li, H.; Zhang, G.; Wang, X.; Di, D. Effect of Cynomorium songaricum Rupr. Extracts on Antioxidative System in Mice. Lishizhen Med. Mater. Medica Res. 2011, 22, 2093–2095. [Google Scholar]
- Liu, H.P.; Chang, R.F.; Wu, Y.S.; Lin, W.Y.; Tsai, F.J. The Yang-Tonifying Herbal Medicine Cynomorium songaricum Extends Lifespan and Delays Aging in Drosophila. Evid. Based Complement. Alternat. Med. 2012, 2012, 735481. [Google Scholar] [CrossRef]
- Hu, M.; Su, L.; Zhang, X.; Zhang, Y.; Li, L.; Lu, Y. Effects of Cynomorium extract on aging of Caenorhabditis elegans based on transcriptome sequencing. Mod. J. Integr. Tradit. Chin. West. Med. 2022, 31, 2488–2495. [Google Scholar]
- Ma, L.; Chen, G.; Nie, L.; Ai, M. Effect of Cynomorium songaricum polysaccharide on telomere length in blood and brain of D-galactose-induced senescence mice. China J. Chin. Mater. Medica 2009, 34, 1257–1260. [Google Scholar]
- Ma, L.; Chen, G.; Jia, H.; Xie, J. Anti-senescence effect of Cynomorium Songaricum polysaccharide on D-galactose-induced aging mice. Chin. J. Hosp. Pharm. 2009, 29, 1186–1189. [Google Scholar]
- Su, Y.; Liu, Y.-Q.; Wu, J.-J.; Zhang, Y.; Yan, C.-L.; Nie, L. Effect of Cynomorium Songaricum Rupr. chewable tablets on immunopathologic changes and free radical of spleen in aging rats. Chin. J. Gerontol. 2009, 29, 927–929. [Google Scholar]
- Su, Y.; Liu, Y.-Q.; Zhang, Y.; Yan, C.-L.; Wu, J.; Zheng, W. Effects of Cynomorium Polysaccharide Chewable Tablets on NO Metabolism and Immune Function of D-galactose-induced Aging Rats. Tradit. Chin. Drug Res. Clin. Pharmacol. 2008, 19, 458–461. [Google Scholar]
- Liu, Y.-Q.; Su, Y.; Wu, J.; Zhang, Y.; Wei, S.; Nie, L.; Yan, C.-L. Effects of Cynomorium songaricum extract on immune function and free radical metabolism in aging model mice. Chin. J. Cell. Mol. Immunol. 2009, 25, 55–57. [Google Scholar]
- Cao, J.; Han, R.; Luo, H.; Guo, J.; Zheng, L. Effects of different extracts of Cynomorium songaricum on neurons in hippocampal CA1 region of aging model mice induced by D-galactose. Lishizhen Med. Mater. Medica Res. 2017, 28, 1326–1328. [Google Scholar]
- Shang, L.; Li, J.; Shang, J. Anti-aging effect of Cynomorium songaricum polysaccharide. Chin. J. Gerontol. 2018, 38, 1458–1460. [Google Scholar]
- Li, L.; Zhang, T. Effect of Cynomorium songaricum water extract on energy metabolism of liver mitochondria in aging model mice. Chin. J. Gerontol. 2010, 30, 1713–1714. [Google Scholar]
- Wang, Z.; Guo, D.; Fu, Y.; Li, D. The effect of Cynomorium songaricum Rupr on endurance and antioxidative status of skeletal muscle in trained mice. J. Northwest Norm. Univ. 2006, 42, 100–102. [Google Scholar]
- Li, D.; Ma, W. Effects of Cynomorium songaricum decoction upon the metabolism of free radical and liver glycogen of liver tissue of exercise rats. Mod. Prev. Med. 2013, 40, 1478–1482. [Google Scholar]
- Guo, W.; Cao, J.; Zhou, H. Effect of Cynomorium songarium Rupr on Testosterone Content, Substance Metabolism and Anti-fatigue Capacity of Rats After Exercise Training. Nat. Prod. Res. Dev. 2014, 26, 27–32. [Google Scholar]
- Wan, L.; Wang, J.; Du, Y.; Sun, J.; Meng, W.; Lu, X.; Zhou, Y. Effect of ethanol extract of Cynomorium songaricum Rupr. on anti-fatigue ability in exercise mice. J. Gansu Agric. Univ. 2019, 54, 23–30. [Google Scholar]
- Rui, F.; Li, D. Effect of Cynomorium songaricum decoction on free radical metabolism and exercise ability of skeletal muscle in rats. J. Chifeng Univ. 2010, 26, 114–115. [Google Scholar]
- Yu, F.-R.; Liu, Y.; Cui, Y.-Z.; Chan, E.-Q.; Xie, M.-R.; McGuire, P.P.; Yu, F.-H. Effects of a Flavonoid Extract from Cynomorium songaricum on the Swimming Endurance of Rats. Am. J. Chin. Med. 2010, 38, 65–73. [Google Scholar] [CrossRef] [PubMed]
- Yu, F.; Feng, S.; Xie, M.; Lian, X. Anti-fatigue Effect of Cynomorium Songaricum Flavone on Old Rats. Chin. J. Rehabil. Theory Pract. 2008, 14, 1141–1142. [Google Scholar]
- Yu, F.; Feng, S.; Xie, M.; Lian, X. Effects of Cynomorium songaricum flavones on the exercise tolerance and antixidation in rats. Drugs Clin. 2009, 24, 52–54. [Google Scholar]
- Hu, Y.; Wang, Z.; Xiao, W. Studies on Anti-anoxia and Anti-epilepsy of Cynomorium songaricum. J. Shihezi Univ. 2005, 23, 302–303. [Google Scholar]
- Yuan, Y.; Zhao, G.; Guo, H. Effects of Cynomorium songaricum on anti-tiredness and anti-oxygen-deficiency and their influence on the content of hemoglobin. J. Tianshui Norm. Univ. 2001, 2, 49–50. [Google Scholar]
- Zhang, R.X.; Jia, Z.P.; Li, M.X.; Wang, J.; Yin, Q.; Luo, J.D.; Liu, H.Y. Effect of aqueous extract part III from Cynomorium songaricum Rupr. on the protein level and pathomorphology of cerebra and cardia in hypoxia mice. Med. J. Natl. Defending Forces Northwest China 2008, 29, 241–243. [Google Scholar]
- Lu, Y.; Wang, Q.; Melzig, M.F.; Jenett-Siems, K. Extracts of Cynomorium songaricum protect human neuroblastoma cells from beta-amyloid(25–35) and superoxide anion induced injury. Pharmazie 2009, 64, 609–612. [Google Scholar] [PubMed]
- Wang, F.; Liu, Q.; Wang, W.; Li, X.; Zhang, J. A polysaccharide isolated from Cynomorium songaricum Rupr. protects PC12 cells against H₂O₂-induced injury. Int. J. Biol. Macromol. 2016, 87, 222–228. [Google Scholar] [CrossRef] [PubMed]
- Cao, J.; Han, R.; Guo, J.; Zhang, Y. The effect of Cynomorium ethyl acetate extract containing serum on the Injured PC12 Cells Induced by Aβ25–35. Pharmacol. Clin. Chin. Mater. Medica 2018, 34, 88–91. [Google Scholar]
- Zheng, J.; Ma, S.; Yu, X.; Hu, J.; Liu, Y.; Tian, F.; Lu, Y. Estrogen-like Effect of Ethyl Acetate Extract of Cynomorium songaricum Rupr. Nat. Prod. Res. Dev. 2016, 28, 1687–1690. [Google Scholar]
- Cheng, D.; Su, L.; Wang, X.; Li, X.; Li, L.; Hu, M.; Lu, Y. Extract of Cynomorium songaricum ameliorates mitochondrial ultrastructure impairments and dysfunction in two different in vitro models of Alzheimer’s disease. BMC Complement. Med. Ther. 2021, 21, 1–14. [Google Scholar] [CrossRef]
- Li, X.; Cheng, D.; Li, L.; Su, L.; Lu, Y. Study on mechanism of action of Cynomorium on Alzheimer’s disease based on mitochondrial dynamics imbalance regulation. Drug Eval. Res. 2020, 43, 451–456. [Google Scholar]
- Li, X.; Chen, J.; Lu, Y. Regulatory Effect of Ethyl Acetate Extract of Cynomorium Songaricum on Intestinal Flora Disorder in Alzheimer’s Disease Mice. Acta Chin. Med. 2022, 37, 126–134. [Google Scholar]
- Tian, F.; Chang, H.; Zhou, J.; Lu, Y. Effects of ethyl acetate extract from Cynomorim songaricum Rupr. on learning and memory function and hippocampal neurons in ovariecto-mized rat model with Alzheimer’s disease. J. Beijing Univ. Tradit. Chin. Med. 2014, 37, 763–766. [Google Scholar]
- Ma, S.; Zheng, J.; Chang, H.; Tian, F.; Cheng, D.; Wang, X.; Lu, Y. Effect of Cynomorium songaricum Ethyl Acetate Extract on Cognitive Dysfunction Induced by Chronic Stress. Nat. Prod. Res. Dev. 2017, 29, 1302–1306. [Google Scholar]
- Ma, S.; Zheng, J.; Cheng, D.; Tian, F.; Chang, H.; She, G.; Lu, Y. Mechanisms of the Ethyl Acetate Extract of Cynomorium Songaricum on the MAPK/ERK1/2 Signal Pathway for the Improvements in Cognitive Dysfunction Induced by Chronic Stress. World J. Integr. Tradit. West. Med. 2017, 12, 1381–1385. [Google Scholar]
- Ma, S.; Chang, H.; Zheng, J.; Cheng, D.; She, G.; Wang, X.; Lu, Y. Effects of ECS in improving long-term potentiation and chronic stress cognitive dysfunction. China J. Tradit. Chin. Med. Pharm. 2017, 32, 4608–4610. [Google Scholar]
- Tian, F.Z.; Chang, H.S.; Liu, J.X.; Zheng, J.; Cheng, D.; Lu, Y. Cynomorium songaricum Extract Alleviates Memory Impairment through Increasing CREB/BDNF via Suppression of p38MAPK/ERK Pathway in Ovariectomized Rats. Evid. Based Complement. Alternat. Med. 2019, 2019, 1–10. [Google Scholar] [CrossRef]
- Yoo, D.Y.; Choi, J.H.; Kim, W.; Jung, H.Y.; Nam, S.M.; Kim, J.W.; Yoon, Y.S.; Yoo, K.-Y.; Won, M.-H.; Hwang, I.K. Cynomorium songaricum extract enhances novel object recognition, cell proliferation and neuroblast differentiation in the mice via improving hippocampal environment. BMC Complement. Altern. Med. 2014, 14, 1–8. [Google Scholar] [CrossRef]
- Wu, M.; Liu, L.; Hu, Y.; Liu, J. Effect of Cynomorium songaricum water extract on scopolamine-induced learning and memory impairment in mice. Xinjiang J. Tradit. Chin. Med. 2015, 33, 29–31. [Google Scholar]
- Lyu, X.; Gu, Z.; Qi, M.; Guo, Y.; Mao, X.; Ge, B. Effects of Cynomorium songaricum Flavonoids on Learning and Memory Ability of Alzheimer Disease Model Rats Based on BDNF/TrkB Signaling Pathway. Chin. J. Inf. Tradit. Chin. Med. 2023, 30, 94–100. [Google Scholar]
- Lyu, X.; Gu, Z.R.; Qi, M.; Guo, Y.; Mao, X.W.; Ge, B. Effects of Cynomorium Songaricum Flavonoids on the Expressions of NADPH Oxidase, ROS and NLRP3 in the Hippocampus of Alzheimer’s Disease Rats. Chin. J. Inf. Tradit. Chin. Med. 2023, 30, 82–87. [Google Scholar]
- Shih, Y.H.; Chein, Y.C.; Wang, J.Y.; Fu, Y.S. Ursolic acid protects hippocampal neurons against kainate-induced excitotoxicity in rats. Neurosci. Lett. 2004, 362, 136–140. [Google Scholar] [CrossRef]
- Tian, F.; Chang, H.; Zhou, J.; Zheng, J.; Gao, Y.; Xu, H.; Lu, Y. Effect of Ethyl Acetate Extract of Songaricum Rupr on p38 and CREB Characteristics of Ovariectomized Rats. Chin. Pharm. J. 2015, 50, 868–871. [Google Scholar]
- Wang, X.; Zhu, J.; Yan, H.; Shi, M.; Zheng, Q.; Wang, Y.; Zhu, Y.; Miao, L.; Gao, X. Kaempferol inhibits benign prostatic hyperplasia by resisting the action of androgen. Eur. J. Pharmacol. 2021, 907, 174251. [Google Scholar] [CrossRef]
- Zhang, B.; Zhang, R.W.; Yin, X.Q.; Lao, Z.Z.; Zhang, Z.; Wu, Q.G.; Yu, L.W.; Lai, X.P.; Wan, Y.H.; Li, G. Inhibitory activities of some traditional Chinese herbs against testosterone 5alpha-reductase and effects of Cacumen platycladi on hair re-growth in testosterone-treated mice. J. Ethnopharmacol. 2016, 177, 1–9. [Google Scholar] [CrossRef]
- Tao, R.; Wang, F.; Miao, L.; Zhang, H.; Zhang, J.; Fan, G. Effect and its mechanism of Cynomorium songaricum Rupr inhibiting benign prostatic hyperplasia. Chin. J. Clin. Pharmacol. 2018, 34, 2847–2850. [Google Scholar]
- Tao, R.; Miao, L.; Yu, X.; Orgah, J.O.; Barnabas, O.; Chang, Y.; Liu, E.; Fan, G.; Gao, X. Cynomorium songaricum Rupr demonstrates phytoestrogenic or phytoandrogenic like activities that attenuates benign prostatic hyperplasia via regulating steroid 5-alpha-reductase. J. Ethnopharmacol. 2019, 235, 65–74. [Google Scholar] [CrossRef]
- Fu, X.; Li, H.; Lang, D.; Zhang, X. Experimental Study on Effect of Cynomorium Deeoet in Rats with Benign Prostatic Hyperplasis. Asia-Pac. Tradit. Med. 2013, 9, 20–22. [Google Scholar]
- Yun, X.; Wang, Z.; Zhou, W.; Liu, E.; Tao, R.; Miao, L.; Jiao, C.; Wang, X. Relaxed effect of Cynomorium songaricum Rupr and its active ingredients on detrusor muscle strip tension in rats. Chin. J. Clin. Pharmacol. 2017, 33, 1938–1941. [Google Scholar]
- Zhou, S.H.; Deng, Y.F.; Weng, Z.W.; Weng, H.W.; Liu, Z.D. Traditional Chinese Medicine as a Remedy for Male Infertility: A Review. World J. Mens. Health 2019, 37, 175–185. [Google Scholar] [CrossRef]
- Abdel-Magied, E.M.; Abdel-Rahman, H.A.; Harraz, F.M. The effect of aqueous extracts of Cynomorium coccineum and Withania somnifera on testicular development in immature Wistar rats. J. Ethnopharmacol. 2001, 75, 1–4. [Google Scholar] [CrossRef] [PubMed]
- Gu, J.; Li, Z.; Qi, Y.; Cao, Y. The effect of Cynomorium on the semen quality and sex hormone level in the oligospermia rat model. Contemp. Med. 2021, 27, 14–16. [Google Scholar]
- Cao, Y.-J.; Li, Z.-B.; Qi, Y.-J.; Liu, Y.; Gu, J.; Hu, F.-F.; Zhang, W.-d.; Hao, L.; Hou, J.-Q.; Han, C.-H. Cynomorium songaricum improves sperm count and motility and serum testosterone level and promotes proliferation of undifferentiated spermatogonia in oligoasthenospermia rats. Natl. J. Androl. 2016, 22, 1116–1121. [Google Scholar]
- Han, X.; Zhou, R.; Zheng, W.; Wang, X.; Mao, S.; Li, Z.; Hao, L.; Shi, Z.; Chen, B.; Zhang, Z.; et al. Cynomorium Songaricum may protect against spermatogenic damage caused by cyclophosphamide in SD rats. Rev. Romana Med. Lab. 2019, 27, 291–303. [Google Scholar] [CrossRef]
- Yang, W.M.; Kim, H.Y.; Park, S.Y.; Kim, H.M.; Chang, M.S.; Park, S.K. Cynomorium songaricum induces spermatogenesis with glial cell-derived neurotrophic factor (GDNF) enhancement in rat testes. J. Ethnopharmacol. 2010, 128, 693–696. [Google Scholar] [CrossRef] [PubMed]
- Lee, J.S.; Oh, H.A.; Kwon, J.Y.; Jeong, M.H.; Lee, J.S.; Kang, D.W.; Choi, D. The Effects of Cynomorium songaricum on the Reproductive Activity in Male Golden Hamsters. Dev. Reprod. 2013, 17, 37–43. [Google Scholar] [CrossRef]
- He, X.; Fang, J.; Guo, Q.; Wang, M.; Li, Y.; Meng, Y.; Huang, L. Advances in antiviral polysaccharides derived from edible and medicinal plants and mushrooms. Carbohydr. Polym. 2020, 229, 115548. [Google Scholar] [CrossRef] [PubMed]
- Tuvaanjav, S.; Shuqin, H.; Komata, M.; Ma, C.; Kanamoto, T.; Nakashima, H.; Yoshida, T. Isolation and antiviral activity of water-soluble Cynomorium songaricum Rupr. polysaccharides. J. Asian Nat. Prod. Res. 2016, 18, 159–171. [Google Scholar] [CrossRef]
- Gao, Q.H.; Fu, X.; Zhang, R.; Wang, Z.; Guo, M. Neuroprotective effects of plant polysaccharides: A review of the mechanisms. Int. J. Biol. Macromol. 2018, 106, 749–754. [Google Scholar] [CrossRef]
- Wang, Y.; Tian, Z. The effect of aerobic exercise and Cynomorium Songaricum Polysaccharide intervention for dilatation function of aorta in diabetes rats and involved mechanisms. J. Shaanxi Norm. Univ. 2017, 45, 117–124. [Google Scholar]
- Shi, Z.Q.; Wang, L.Y.; Zheng, J.Y.; Xin, G.Z.; Chen, L. Lipidomics characterization of the mechanism of Cynomorium songaricum polysaccharide on treating type 2 diabetes. J. Chromatogr. B Anal. Technol. Biomed Life Sci. 2021, 1176, 122737. [Google Scholar] [CrossRef] [PubMed]
- Ma, C.-M.; Sato, N.; Li, X.-Y.; Nakamura, N.; Hattori, M. Flavan-3-ol contents, anti-oxidative and α-glucosidase inhibitory activities of Cynomorium songaricum. Food Chem. 2010, 118, 116–119. [Google Scholar] [CrossRef]
- Yin, J.; Tezuka, Y.; Kouda, K.; Le Tran, Q.; Miyahara, T.; Chen, Y.J.; Kadota, S. Antiosteoporotic activity of the water extract of Dioscorea spongiosa. Biol. Pharm. Bull. 2004, 27, 583–586. [Google Scholar] [CrossRef]
- Hu, J.; Tan, R.; Yuan, Z.; Yang, P.; Zhang, C.; Zhang, B.; Shen, Y. Cynomorium songaricum polysaccharide promotes osteogenic differentiation of MC3T3⁃E1 cells by activating PI3K/Akt/GSK3β/β⁃catenin signaling pathway. J. Pract. Med. 2022, 38, 2774–2779. [Google Scholar]
- Xue, W.; Dai, N.; Feng, F.; Wang, F.; Luo, L.; Huang, J.; Cheng, Z. Cynomorium songaricum extract promotes osteoblast differentiation and inhibits lipopolysaccharide induced apoptosis of osteoblast. Biomed. Res. India 2017, 28, 6567–6570. [Google Scholar]
- Wu, H.; Zhang, L.; Feng, X. Effects of cynomorium-containing serum on proliferation, differentiation and mineralization of osteoblasts MC3T3-E1 cultured in vitro. Pharm. Clin. Chin. Mater. Medica 2019, 10, 23–26. [Google Scholar]
- Shi, P.; Zhu, W.; Li, X. Cynomorium Songaricum polysaccharide improves osteoporosis in ovariectomized rats. J. Third Mil. Med. Univ. 2015, 37, 2360–2363. [Google Scholar]
- Zhang, X.; Xu, L.; Xu, X.; Ma, X. The effect of Cynomorium songaricum Rupr. on osteoporosis in ovariectomized rats. Pharmacol. Clin. Chin. Mater. Medica 2017, 33, 101–104. [Google Scholar]
- Ma, X.; Liu, J.; Yang, L.; Zhang, B.; Dong, Y.; Zhao, Q. Cynomorium songaricum prevents bone resorption in ovariectomized rats through RANKL/RANK/TRAF6 mediated suppression of PI3K/AKT and NF-kappaB pathways. Life Sci. 2018, 209, 140–148. [Google Scholar] [CrossRef] [PubMed]
- Borkham-Kamphorst, E.; Weiskirchen, R. The PDGF system and its antagonists in liver fibrosis. Cytokine Growth Factor Rev. 2016, 28, 53–61. [Google Scholar] [CrossRef]
- Roskams, T. Different types of liver progenitor cells and their niches. J. Hepatol. 2006, 45, 1–4. [Google Scholar] [CrossRef]
- Li, R.; Wang, H.; Lin, Y.; Liu, Y.; Li, H.; Huang, X.; Tang, L.; He, H.; Cui, L.; Deng, F. Effects of Cynomorium songaricum Extract on Liver Fibrosis Model Rats and Its Mechanism Study. China Pharm. 2016, 27, 3903–3906. [Google Scholar]
- Li, H.; Huang, X.; Guo, L.; Li, R.; Li, C.; Chen, J.; Huang, D.; Lin, Y.; Wang, H.; Liu, Y.; et al. Effect of Cynomorium on the Blood Cell Type of Rats with Hepatic Fibrosis. J. Chengdu Med. Coll. 2017, 12, 21–23. [Google Scholar]
- Huang, X.; Guo, L.; Li, C.; Li, R.; Li, H.; Kong, D.; Hu, K.; Lin, Y.; Deng, F.; Wang, H.; et al. Antagonism Effect of Cynomorium on CCl4 induced Liver Fibrosis by Inhibiting the Expression of Inflammatory Cytokines in Mice. J. Chengdu Med. Coll. 2018, 13, 249–261. [Google Scholar]
- Li, S.; Zhang, K.; Li, G.; Wang, H.; Chen, Y.; Peng, H.; Wang, J. The preventive effect of Cynomorium Songaricum on carbon tetrachloride induced liver fibrosis in mice. J. Shihezi Univ. 2017, 35, 368–372. [Google Scholar]
- Chen, J.; Wong, H.S.; Leung, H.Y.; Leong, P.K.; Chan, W.M.; Chen, N.; Ko, K.M. An ursolic acid-enriched extract of Cynomorium songaricum protects against carbon tetrachloride hepatotoxicity and gentamicin nephrotoxicity in rats possibly through a mitochondrial pathway: A comparison with ursolic acid. J. Funct. Foods 2014, 7, 330–341. [Google Scholar] [CrossRef]
- Duan, X.; Qu, X.; Bai, L.; Zhao, H.; Shang, J. Protective effect of flavonoids from Cynomorium songaricum on oxidative damage induced by formaldehyde in rat hepatic stellate cells. Asia-Pac. Tradit. Med. 2019, 15, 26–28. [Google Scholar]
- Li, L.; Huang, M.; Guo, J.; Chen, Z. Effect of Cynomorium songaricum Flavone on Rat Liver Cells after Oxidation Injury. Biol. Chem. Eng. 2022, 8, 36–39. [Google Scholar]
- Li, L. Effect of Cynomorium songaricum polysaccharide on mice of gastric emptying and intestinal propulsion. J. North Pharm. 2013, 10, 43–44. [Google Scholar]
- Li, H. The Effect of Cynomorium songaricum on the Contractile Function of Isolated Rabbit Jejunum Smooth Muscle. J. Med. Inf. 2020, 33, 82–84. [Google Scholar]
- Chen, J.; Wong, H.S.; Leung, H.Y.; Leong, P.K.; Chan, W.M.; Ko, K.M. An ursolic acid-enriched Cynomorium songarium extract attenuates high fat diet-induced obesity in mice possibly through mitochondrial uncoupling. J. Funct. Foods 2014, 9, 211–224. [Google Scholar] [CrossRef]
- Chen, J.; Leong, P.K.; Leung, H.Y.; Chan, W.M.; Wong, H.S.; Ko, K.M. 48Biochemical mechanisms of the anti-obesity effect of a triterpenoid-enriched extract of Cynomorium songaricum in mice with high-fat-diet-induced obesity. Phytomedicine 2020, 73, 153038. [Google Scholar] [CrossRef]
- Liu, Q.; Song, S.; Guo, J.; Luo, S.; Zhang, J. Protective effect of polysaccharide from Cynomorium songaricum Rupr on oxidative damage of VERO cells induced by H2O2. Chin. Tradit. Pat. Med. 2014, 36, 2023–2028. [Google Scholar]
- Zhang, R.-X.; Jia, Z.-P.; Li, M.-X.; Wang, J.; Yin, Q.; Luo, J.-D.; Liu, H.-Y. Study on the effect of Part III from Cynomorium songaricum on immunosuppressive mice induced by cyclophosphamide. J. Chin. Med. Mater. 2008, 31, 407–409. [Google Scholar]
- Abliz, R.; Li, M.; Hu, J.-P. Effect of polysaccharide from Cynomorium songaricumon on the immunoregulatory effect of RAW264.7 macrophages cell. J. Food Saf. Qual. 2018, 9, 5694–5698. [Google Scholar]
- Yang, Y.; Ma, C.; Dong, P.; Lei, L.; Nie, Y.; Yu, X.; Ren, C.; Qian, Z. Effects of Cynomorium songaricum polysaccharide on acute gastric ulcer in model rats. Anhui Med. Pharm. J. 2011, 15, 1204–1206. [Google Scholar]
- Yang, Y.; Ma, C.; Lei, L.; Dong, P.; Li, J. Effects of Cynomorium Songaricum Polysaccharide on Experimental Gastric Ulcer in Rats by Acetic Acid. Chin. Arch. Tradit. Chin. Med. 2012, 30, 385–387. [Google Scholar]
- Miao, M.; Yan, X.; Guo, L.; Li, P. Effect of Cynomorium total flavone on depression model of perimenopausal rat. Saudi J. Biol. Sci. 2017, 24, 139–148. [Google Scholar] [CrossRef] [PubMed]
- Wang, T.; Miao, M.; Li, Y.; Li, M.; Zhang, Y.; Tian, S. Effect of cynomorium flavonoids on morphology of perimenopausal depression mice model. Saudi Pharm. J. 2016, 24, 322–328. [Google Scholar] [CrossRef]
- Hu, Y.; Ding, Y.; Gao, X.; Li, X.; Shao, S. Determination of Heavy Metal Elements in Cynomorium and Leek Seeds by High Resolution Continuum Source Atomic Absorption Spectrometry with Microwave Digestion. Anal. Test. Technol. Instrum. 2016, 22, 90–95. [Google Scholar]
- Nie, L.; Ma, L.; Ai, M. Modern research progress on medicinal properties and functions of Cynomorium songaricum. Chin. J. Ethnomedicine Ethnopharmacy 2009, 18, 17–18. [Google Scholar]
- Wei, F.; He, Q.; Wang, W.; Pei, D.; Zhang, B. Toxicity Assessment of Chinese Herbal Medicine Cynomorium songaricum Rupr. Evid. Based Complement. Alternat. Med. 2019, 2019, 9819643. [Google Scholar] [CrossRef] [PubMed]
- Qu, L.; Yin, X.; Fan, S.; Qian, Y. Genetic Toχicity of Cynomorium Songaricum Rupr. J. Med. Pest Control 2016, 32, 275–278. [Google Scholar]
- Fu, S.; Xu, S.; Pei, D.; Qu, W.; Qu, J.; Tian, J. Subchronic toxicity test of Cynomorium songaricum herb aqueous extract in rat. J. Hyg. Res. 2019, 48, 104–108. [Google Scholar]
- Wu, J. The function and efficacy of traditional Chinese medicine Cynomorium songaricum and its development and utilization. Lishizhen Med. Mater. Medica Res. 2015, 26, 2492–2494. [Google Scholar]













| No. | Compound | Parts of Plant | Extract Solvent | Identification | References |
|---|---|---|---|---|---|
| 1 | Phloridzin | Stems | 70% acetone | HPLC, 1H NMR, 13C NMR | [42] |
| 2 | (−)-Epicatechin | Stems | chloroform | UV, MS, 1H NMR, 13C NMR | [9] |
| 3 | Naringenin | Stems | chloroform | TLC, UV, IR, 1H NMR, 13C NMR | [9] |
| 4 | (−)-Catechin | Stems | ethyl acetate | IR, ESI-MS, 1H NMR, 13C NMR | [43] |
| 5 | Luteolin-7-O-glucoside | Stems | ethyl acetate part | 1H NMR, 13C NMR | [16] |
| 6 | Procyanidin B1 | Stems | aqueous | 1H NMR, 13C NMR | [16] |
| 7 | Procyanidin B6 | Stems | aqueous | 1H NMR, 13C NMR | [16] |
| 8 | Procyanidin B3 | Fresh stems | 70% acetone | HPLC, 1H NMR, 13C NMR | [41] |
| 9 | Catechin-(6′-8)-catechin | Fresh stems | 70% acetone | HPLC, 1H NMR, 13C NMR | [41] |
| 10 | Catechin-(6′-6)-catechin | Fresh stems | 70% acetone | HPLC, 1H NMR, 13C NMR | [41] |
| 11 | Epicatechin-(4β-8)-epicatechin-(4β-8)-catechin | Fresh stems | 70% acetone | HPLC, 1H NMR, 13C NMR | [41] |
| 12 | Epicatechin-(4β-6)-epicatechin-(4β-8)-catechin | Fresh stems | 70% acetone | HPLC, 1H NMR, 13C NMR | [41] |
| 13 | Arecatannin A1 | Fresh stems | 70% acetone | HPLC, 1H NMR, 13C NMR | [41] |
| 14 | Dehydrodiconiferyl alcohol-9-O-β-D-glu-copyranoside | Fresh stems | ethyl acetate part | 1H NMR, 13C NMR | [4] |
| 15 | 3′,4′,5,7-tetrahydroxy-flavanone-2(S)-3′-O-β-D-glucopyranoside | Fresh stems | ethyl acetate part | 1H NMR, 13C NMR | [4] |
| 16 | Luteolin-4′-O-β-glucopyranoside | Fresh stems | ethyl acetate part | 1H NMR, 13C NMR | [4] |
| 17 | Astragalin | Fresh stems | ethyl acetate part | 1H NMR, 13C NMR | [4] |
| 18 | Quercetin-3-O-rutinoside | Fresh stems | ethyl acetate part | 1H NMR, 13C NMR | [4] |
| 19 | Naringenin-7-O-β-D-glucopyranoside | Fresh stems | ethyl acetate part | 1H NMR, 13C NMR | [4] |
| 20 | Naringenin-5-O-β-D-glucopyranoside | Fresh stems | ethyl acetate part | 1H NMR, 13C NMR | [4] |
| 21 | Naringenin-4′-O-β-pyranoglucose | Whole grass | N-butanol part | 1H NMR, 13C NMR | [44] |
| 22 | Cyanidin 3-O-glucoside | Inflorescences | 95% alcohol | 1H NMR, 13C NMR | [45] |
| 23 | Cyanidin 3-O-rhamnosylglucoside | Inflorescences | 95% alcohol | 1H NMR, 13C NMR | [45] |
| 24 | (+)-Catechin | Inflorescences | 95% alcohol | TLC, 1H NMR, 13C NMR | [46] |
| 25 | Isoquercetin | Inflorescences | 95% alcohol | 1H NMR, 13C NMR | [46] |
| 26 | Rutin | Inflorescences | 95% alcohol | 1H NMR, 13C NMR | [46] |
| 27 | (−)-Epicatechin-3-O-gallate | Inflorescences | 95% alcohol | TLC, 1H NMR, 13C NMR | [46] |
| No. | Compound | Parts of Plant | Extract Solvent | Identification | References |
|---|---|---|---|---|---|
| 28 | Malonyl ursolic acid hemiester | Stems | dichloromethane | 1H NMR, 13C NMR | [16] |
| 29 | Ursolic acid | Stems | dichloromethane | 1H NMR, 13C NMR | [16] |
| 30 | Acetyl ursolic acid | Stems | dichloromethane | 1H NMR, 13C NMR | [16] |
| 31 | Oleanolic acid | Stems | dichloromethane | IR, 1H NMR, 13C NMR, HR-MS | [16] |
| 32 | Betulinic acid | Stems | dichloromethane | 1H NMR, 13C NMR | [16] |
| 33 | Malonyl oleanolic acid hemiester | Stems | dichloromethane | HPLC, 1H NMR, 13C NMR | [10] |
| 34 | Glutaryl ursolic acid hemiester | Stems | ethyl acetate | HPLC-MS | [47] |
| 35 | Oxalyl ursolic acid hemiester | Stems | ethyl acetate | HPLC-MS | [47] |
| 36 | Succinyl ursolic acid hemiester | Stems | ethyl acetate | HPLC-MS | [47] |
| 37 | Ursolic acid methyl ester | Stems | ethyl acetate | HPLC-MS | [47] |
| 38 | 3β,28-Dihydroxyoleana-11,13(18)-diene | Stems | ethyl acetate part | 1H NMR, 13C NMR | [48] |
| 39 | Maslinic acid | Stems | aqueous | ESI-MS, 1H NMR, 13C NMR | [49] |
| No. | Compound | Parts of Plant | Extract Solvent | Identification | References |
|---|---|---|---|---|---|
| 40 | 5α-Stigmast-9(11)-en-3β-ol | Stems | ethyl acetate | HR-MS, 1H NMR, 13C NMR | [12] |
| 41 | 5α-Stigmast-9(11)-en-3β-ol tetracosatrienoic acid ester | Stems | ethyl acetate | HR-MS, 1H NMR, 13C NMR | [12] |
| 42 | Daucosterol | Stems | ethyl acetate part | TLC | [13] |
| 43 | β-Sitosterol | Stems | ethyl acetate part | TLC | [13] |
| 44 | β-Sitosteryl oleate | Stems | dichloromethane | HPLC, 1H NMR, 13C NMR | [16] |
| 45 | β-Sitosteryl glucoside | Stems | dichloromethane | HPLC, 1H NMR, 13C NMR | [16] |
| 46 | β-Sitosteryl glucoside 6′-O-aliphatates | Stems | dichloromethane | HPLC, 1H NMR, 13C NMR | [16] |
| 47 | β-Sitosterol palmaitate | Stems | chloroform | HPLC, 1H NMR, 13C NMR | [50] |
| 48 | Campesterol | Stems | petroleum ether | GC-MS | [51] |
| 49 | γ-Sitosterol | Stems | petroleum ether | GC-MS | [51] |
| No. | Compound | Parts of Plant | Extract Solvent | Identification | References |
|---|---|---|---|---|---|
| 50 | Glucose | Stems | chloroform | TLC, GC-MS | [9] |
| 51 | Zingerone 4-O-β-D-glucopyranoside | Stems | dichloromethane | FAB-MS, 1H NMR, 13C NMR, HMQC, HMBC | [10] |
| 52 | n-Butyl-β-D-fructofuranoside | Stems | ethyl acetate | 1H NMR, 13C NMR | [55] |
| 53 | n-Butyl-α-D-fructofuranoside | Stems | ethyl acetate | 1H NMR, 13C NMR | [11] |
| 54 | n-Butyl-β-D-fructopyranoside | Stems | ethyl acetate | 1H NMR, 13C NMR | [56] |
| 55 | Piceid | Stems | ethyl acetate part | 1H NMR, 13C NMR | [16] |
| 56 | Coniferin | Stems | N-butanol part | 1H NMR, 13C NMR | [16] |
| 57 | Isoconiferin | Stems | N-butanol part | 1H NMR, 13C NMR | [16] |
| 58 | Adenosine | Stems | N-butanol part | HPLC, 1H NMR, 13C NMR | [16] |
| 59 | (−)-Isolariciresinol 4-O-β-D-glucopyranoside | Stems | aqueous | FAB-MS, CD, 1H NMR, 13C NMR | [42] |
| 60 | (7S,8R)-Dehydrodiconiferyl alcohol 9′-β-glucopyranoside | Stems | aqueous | FAB-MS, HPLC, 1H NMR, 13C NMR, CD, 1H–1HCOSY | [42] |
| 61 | Nicoloside | Stems | aqueous | 1H NMR, 13C NMR | [42] |
| 62 | Songaricumone A | Fresh stems | ethyl acetate part | HR-MS, 1H-NMR, 1H–1HCOSY, HMBC, UV, TLC, CD | [4] |
| No. | Compound | Parts of Plant | Extract Solvent | Identification | References |
|---|---|---|---|---|---|
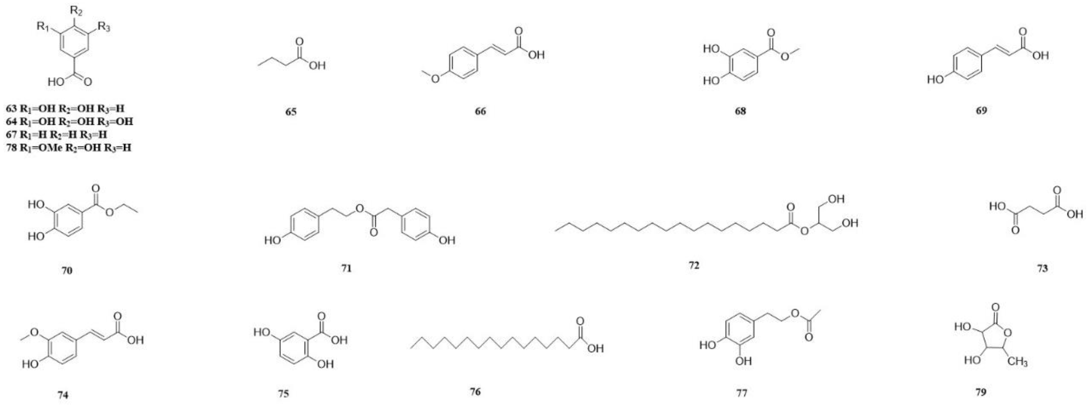
| 63 | Protocatechuic acid | Stems | ethyl acetate part | 1H NMR, 13C NMR | [13] |
| 64 | Gallic acid | Stems | ethyl acetate part | 1H NMR, 13C NMR | [13] |
| 65 | n-Butyric acid | Stems | ethyl acetate part | 1H NMR, 13C NMR | [13] |
| 66 | 4-Methoxycinnamic acid | Stems | ethyl acetate part | 1H NMR, 13C NMR | [48] |
| 67 | p-Hydroxybenzoic acid | Stems | ethyl acetate part | 1H NMR, 13C NMR | [42] |
| 68 | Methyl protocatechuicate | Stems | ethyl acetate part | 1H NMR, 13C NMR | [42] |
| 69 | p-Hydroxycinnamic acid | Stems | ethyl acetate part | 1H NMR, 13C NMR | [16] |
| 70 | 3,4-Dihydroxy-benzoic acid ethyl ester | Stems | ethyl acetate part | 1H NMR, 13C NMR | [57] |
| 71 | 4-Hydroxyphenethyl 2-(4-hydroxyphenyl) acetate | Stems | ethyl acetate part | 1H NMR, 13C NMR, HMBC, HMQC | [48] |
| 72 | Stearic acid α-monoglyceride | Stems | ethyl acetate part | ESI-MS, 1H NMR, 13C NMR | [13] |
| 73 | Succinic acid | Stems | aqueous part | IR, 1H-NMR | [43] |
| 74 | Ferulic acid | Stems | 70% alcohol | 1H NMR, 13C NMR | [58] |
| 75 | Gentisic acid | Stems | aqueous | 1H NMR, 13C NMR | [49] |
| 76 | Palmitic acid | Stems | aqueous | EI-MS, 1H NMR, 13C NMR | [49] |
| 77 | 3,4-Dihydroxyphenethyl acetate | Stems | aqueous | EI-MS, 1H NMR, 13C NMR | [49] |
| 78 | Vanillic acid | Whole grass | aqueous part | 1H NMR, 13C NMR | [44] |
| 79 | Capilliplactone | Whole grass | ethyl acetate part | IR, 1H NMR, 13C NMR, 1H–1HCOSY, HMQC | [59] |
| No. | Compound | Parts of Plant | Extract Solvent | Identification | References |
|---|---|---|---|---|---|
| 80 | Epicatechin-(4β-2)-phloroglucinol | Fresh stems | 70% acetone | HPLC-MS, HPLC | [41] |
| 81 | Epicatechin-3-O-gallate-(4β-2)-phloroglucinol | Fresh stems | 70% acetone | HPLC-MS, HPLC | [41] |
| 82 | Catechin-(4α-2)-phloroglucinol | Fresh stems | 70% acetone | HPLC-MS, HPLC | [41] |
| 83 | Cynomoriitannin-phloroglucinol A | Fresh stems | 70% acetone | CD, 1H NMR, 13C NMR | [41] |
| 84 | Cynomoriitannin-phloroglucinol B | Fresh stems | 70% acetone | CD, 1H NMR, 13C NMR | [41] |
| 85 | Phloroglucinol | Stems | aqueous | 1H NMR, 13C NMR | [49] |
| No. | Compound | Parts of Plant | Extract Solvent | Identification | References |
|---|---|---|---|---|---|
| 86 | Mannitol | Stems | aqueous | 1H NMR, 13C NMR | [49] |
| 87 | Protocatechualdehyde | Stems | 70% alcohol | 1H NMR, 13C NMR | [58] |
| 88 | Chrysophanol | Stems | 70% alcohol | 1H NMR, 13C NMR | [58] |
| 89 | Emodin | Stems | 70% alcohol | 1H NMR, 13C NMR | [58] |
| 90 | Physcion | Stems | 70% alcohol | 1H NMR, 13C NMR | [58] |
| 91 | (−)-Lariciresinol | Stems | ethyl acetate part | 1H NMR, 13C NMR | [57] |
| 92 | 4-Methylcatechol | Stems | ethyl acetate part | 1H NMR, 13C NMR | [57] |
| 93 | 4β-(L-cysteinyl)-catechin | Stems | 70% acetone | ESI-MS, 1H NMR, 13C NMR | [64] |
| 94 | 4β-(L-cysteinyl)-epicatechin | Stems | 70% acetone | ESI-MS, 1H NMR, 13C NMR | [64] |
| 95 | 4β-(L-cysteinyl)-epicatechin 3-O-gallate | Stems | 70% acetone | ESI-MS, 1H NMR, 13C NMR | [64] |
| 96 | 4β-(L-acetylcysteinyl)-epicatechin | Stems | 95% alcohol | ESI-MS, 1H NMR, 13C NMR | [64] |
| 97 | 4β-(L-acetylcysteinyl)-epicatechin 3-O-gallate | Stems | 95% alcohol | ESI-MS, 1H NMR, 13C NMR | [64] |
| 98 | 4β-(L-acetylcysteinyl)-epiafzelechin | Stems | 95% alcohol | ESI-MS, 1H NMR, 13C NMR | [64] |
Disclaimer/Publisher’s Note: The statements, opinions and data contained in all publications are solely those of the individual author(s) and contributor(s) and not of MDPI and/or the editor(s). MDPI and/or the editor(s) disclaim responsibility for any injury to people or property resulting from any ideas, methods, instructions or products referred to in the content. |
© 2024 by the authors. Licensee MDPI, Basel, Switzerland. This article is an open access article distributed under the terms and conditions of the Creative Commons Attribution (CC BY) license (https://creativecommons.org/licenses/by/4.0/).
Share and Cite
Zhang, J.; Chen, X.; Han, L.; Ma, B.; Tian, M.; Bai, C.; Zhang, Y. Research Progress in Traditional Applications, Phytochemistry, Pharmacology, and Safety Evaluation of Cynomorium songaricum. Molecules 2024, 29, 941. https://doi.org/10.3390/molecules29050941
Zhang J, Chen X, Han L, Ma B, Tian M, Bai C, Zhang Y. Research Progress in Traditional Applications, Phytochemistry, Pharmacology, and Safety Evaluation of Cynomorium songaricum. Molecules. 2024; 29(5):941. https://doi.org/10.3390/molecules29050941
Chicago/Turabian StyleZhang, Jin, Xingyi Chen, Lu Han, Biao Ma, Mengting Tian, Changcai Bai, and Ye Zhang. 2024. "Research Progress in Traditional Applications, Phytochemistry, Pharmacology, and Safety Evaluation of Cynomorium songaricum" Molecules 29, no. 5: 941. https://doi.org/10.3390/molecules29050941
APA StyleZhang, J., Chen, X., Han, L., Ma, B., Tian, M., Bai, C., & Zhang, Y. (2024). Research Progress in Traditional Applications, Phytochemistry, Pharmacology, and Safety Evaluation of Cynomorium songaricum. Molecules, 29(5), 941. https://doi.org/10.3390/molecules29050941

