Enrichment of Olive Oils with Natural Bioactive Compounds from Aromatic and Medicinal Herbs: Phytochemical Analysis and Antioxidant Potential
Abstract
1. Introduction
2. Results
2.1. Essential Oil Composition
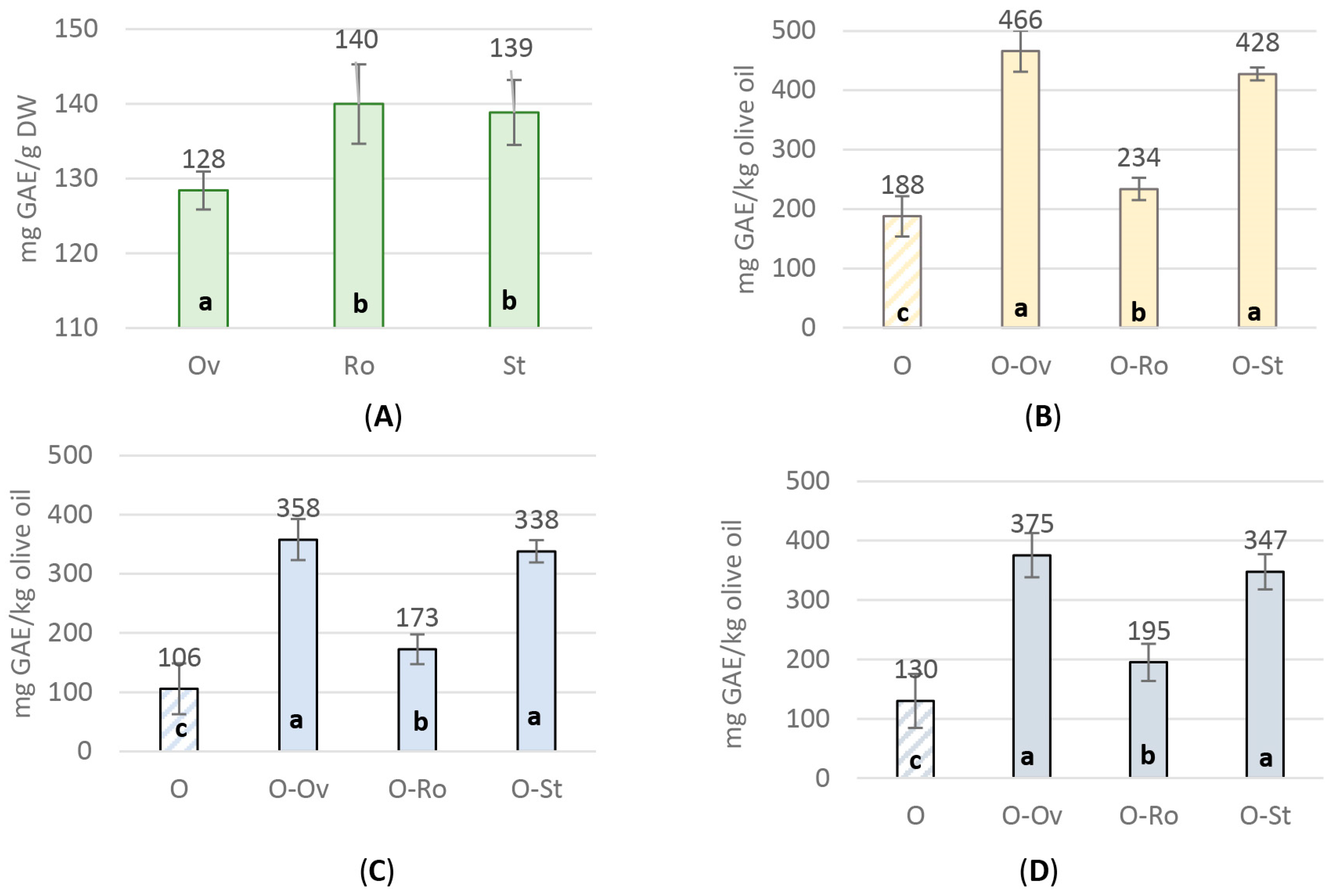
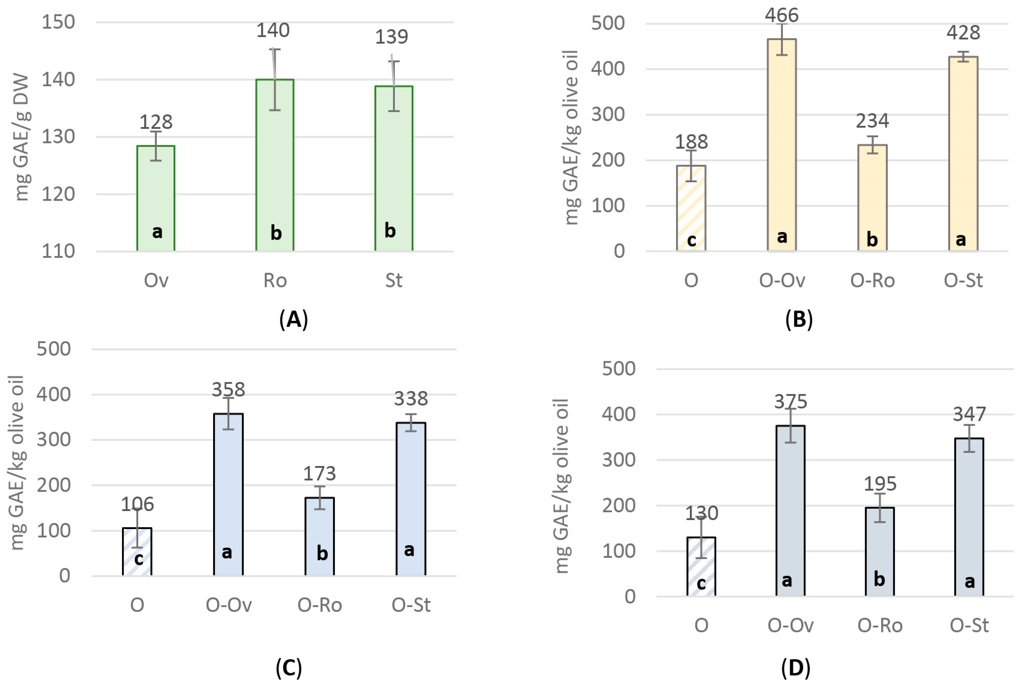
2.2. Total Phenolic Content
2.3. Profile of Phenolic Compounds
2.4. Antioxidant Activity
3. Discussion
4. Materials and Methods
4.1. Reagents and Solvents
4.2. Plant Material and Olive Oils
4.3. Preparation of Infused Olive Oils
4.4. Preparation of Extracts
4.4.1. Aromatic Plant Extracts
4.4.2. Extraction of Untreated and Infused Olive Oils
4.5. Phytochemical Analysis
4.5.1. GC-MS Analysis of the Essential Oil
4.5.2. LC-LTQ/Orbitrap HRMS Analysis
4.6. Free Radical Scavenging Capacity Assay
4.7. Determination of the Total Phenolic Content in the Extracts
4.8. Statistical Analysis
5. Conclusions
Supplementary Materials
Author Contributions
Funding
Institutional Review Board Statement
Informed Consent Statement
Data Availability Statement
Acknowledgments
Conflicts of Interest
References
- Stefanaki, A.; van Andel, T. Mediterranean Aromatic Herbs and Their Culinary Use. In Aromatic Herbs in Food; Academic Press: Cambridge, MA, USA, 2021; pp. 93–121. [Google Scholar] [CrossRef]
- Flori, L.; Donnini, S.; Calderone, V.; Zinnai, A.; Taglieri, I.; Venturi, F.; Testai, L. The Nutraceutical Value of Olive Oil and Its Bioactive Constituents on the Cardiovascular System. Focusing on Main Strategies to Slow down Its Quality Decay during Production and Storage. Nutrition 2019, 11, 1962. [Google Scholar] [CrossRef]
- Singh, N.; Yadav, S.S. A Review on Health Benefits of Phenolics Derived from Dietary Spices. Curr. Res. Food Sci. 2022, 5, 1508–1523. [Google Scholar] [CrossRef]
- Reboredo-Rodríguez, P.; Figueiredo-González, M.; González-Barreiro, C.; Simal-Gándara, J.; Salvador, M.D.; Cancho-Grande, B.; Fregapane, G. State of the Art on Functional Virgin Olive Oils Enriched with Bioactive Compounds and Their Properties. Int. J. Mol. Sci. 2017, 18, 668. [Google Scholar] [CrossRef]
- Kisiriko, M.; Anastasiadi, M.; Terry, L.A.; Yasri, A.; Beale, M.H.; Ward, J.L. Phenolics from Medicinal and Aromatic Plants: Characterization and Potential as Biostimulants and Bioprotectants. Molecules 2021, 26, 6343. [Google Scholar] [CrossRef]
- Castañeta, G.; Cifuentes, N.; Sepulveda, B.; Bárcenas-Pérez, D.; Cheel, J.; Areche, C. Untargeted Metabolomics by Using UHPLC–ESI–MS/MS of an Extract Obtained with Ethyl Lactate Green Solvent from Salvia rosmarinus. Separations 2022, 9, 327. [Google Scholar] [CrossRef]
- Geng, P.; Sun, J.; Zhang, M.; Li, X.; Harnly, J.M.; Chen, P. Comprehensive characterization of C-glycosyl flavones in wheat (Triticum aestivum L.) germ using UPLC-PDA-ESI/HRMSn and mass defect filtering. J. Mass Spectrom. 2016, 51, 914–930. [Google Scholar] [CrossRef] [PubMed]
- Dias, A.L.; Rozet, E.; Larondelle, Y.; Hubert, P.; Rogez, H.; Quetin-Leclercq, J. Development and Validation of an UHPLC-LTQ-Orbitrap MS Method for Non-Anthocyanin Flavonoids Quantification in Euterpe oleracea Juice. Anal. Bioanal. Chem. 2013, 405, 9235–9249. [Google Scholar] [CrossRef] [PubMed]
- Sharma, Y.; Velamuri, R.; Fagan, J.; Schaefer, J.; Streicher, C.; Stimson, J. Identification and Characterization of Polyphenols and Volatile Terpenoid Compounds in Different Extracts of Garden Sage (Salvia officinalis L.). Pharmacogn. Res. 2020, 12, 149–157. [Google Scholar] [CrossRef]
- Martirosyan, D.M.; Singh, J. A New Definition of Functional Food by FFC: What Makes a New Definition Unique? Funct. Foods Health Dis. 2015, 5, 209–223. [Google Scholar] [CrossRef]
- Sousa, A.; Casal, S.; Malheiro, R.; Lamas, H.; Bento, A.; Pereira, J.A. Aromatized Olive Oils: Influence of Flavouring in Quality, Composition, Stability, Antioxidants, and Antiradical Potential. LWT-Food Sci. Technol. 2015, 60, 22–28. [Google Scholar] [CrossRef]
- Baiano, A.; Previtali, M.A.; Viggiani, I.; Varva, G.; Squeo, G.; Paradiso, V.M.; Summo, C.; Gomes, T.; Caponio, F. As Oil Blending Affects Physical, Chemical, and Sensory Characteristics of Flavored Olive Oils. Eur. Food Res. Technol. 2016, 242, 1693–1708. [Google Scholar] [CrossRef]
- Gambacorta, G.; Faccia, M.; Pati, S.; Lamacchia, C.; Baiano, A.; La Notte, E. Changes in the Chemical and Sensorial Profile of Extra Virgin Olive Oils Flavored with Herbs and Spices during Storage. J. Food Lip. 2007, 14, 202–215. [Google Scholar] [CrossRef]
- Clodoveo, M.L.; Dipalmo, T.; Crupi, P.; Durante, V.; Pesce, V.; Maiellaro, I.; Lovece, A.; Mercurio, A.; Laghezza, A.; Corbo, F.; et al. Comparison between Different Flavored Olive Oil Production Techniques: Healthy Value and Process Efficiency. Plant Foods Hum. Nutr. 2016, 71, 81–87. [Google Scholar] [CrossRef] [PubMed]
- Ayadi, M.A.; Grati-Kamoun, N.; Attia, H. Physico-Chemical Change and Heat Stability of Extra Virgin Olive Oils Flavored by Selected Tunisian Aromatic Plants. Food Chem. Toxicol. 2009, 47, 2613–2619. [Google Scholar] [CrossRef]
- Issaoui, M.; Flamini, G.; Souid, S.; Bendini, A.; Barbieri, S.; Gharbi, I.; Toschi, T.G.; Cioni, P.L.; Hammami, M. How the Addition of Spices and Herbs to Virgin Olive Oil to Produce Flavored Oils Affects Consumer Acceptance. Nat. Prod. Commun. 2016, 11, 775–780. [Google Scholar] [CrossRef] [PubMed]
- Gutiérrez-Grijalva, E.P.; Picos-Salas, M.A.; Leyva-López, N.; Criollo-Mendoza, M.S.; Vazquez-Olivo, G.; Heredia, J.B. Flavonoids and Phenolic Acids from Oregano: Occurrence, Biological Activity, and Health Benefits. Plants 2018, 7, 2. [Google Scholar] [CrossRef]
- Perricone, M.; Arace, E.; Corbo, M.R.; Sinigaglia, M.; Bevilacqua, A. Bioactivity of Essential Oils: A Review on Their Interaction with Food Components. Front. Microbiol. 2015, 6, 76. [Google Scholar] [CrossRef]
- Kırca, A.; Arslan, E. Antioxidant Capacity and Total Phenolic Content of Selected Plants from Turkey. Int. J. Food Sci. Technol. 2008, 43, 2038–2046. [Google Scholar] [CrossRef]
- Husein, A.I.; Ali-Shtayeh, M.S.; Jondi, W.J.; Zatar, N.A.A.; Abu-Reidah, I.M.; Jamous, R.M. In Vitro Antioxidant and Antitumor Activities of Six Selected Plants Used in the Traditional Arabic Palestinian Herbal Medicine. Pharm. Biol. 2014, 52, 1249–1255. [Google Scholar] [CrossRef] [PubMed]
- Jamali, T.; Kavoosi, G.; Jamali, Y.; Mortezazadeh, S.; Ardestani, S.K. In-Vitro, In-Vivo, and In-Silico Assessment of Radical Scavenging and Cytotoxic Activities of Oliveria decumbens Essential Oil and Its Main Components. Sci. Rep. 2021, 11, 14281. [Google Scholar] [CrossRef] [PubMed]
- Scherer, R.; Godoy, H.T. Antioxidant Activity Index (AAI) by the 2,2-Diphenyl-1-picrylhydrazyl Method. Food Chem. 2009, 112, 654–658. [Google Scholar] [CrossRef]
- Galanakis, C.M.; Goulas, V.; Tsakona, S.; Manganaris, G.A.; Gekas, V. A Knowledge Base for the Recovery of Natural Phenols with Different Solvents. Int. J. Food Prop. 2013, 16, 382–396. [Google Scholar] [CrossRef]
- Adomako-Bonsu, A.G.; Chan, S.L.; Pratten, M.; Fry, J.R. Antioxidant Activity of Rosmarinic Acid and Its Principal Metabolites in Chemical and Cellular Systems: Importance of Physico-Chemical Characteristics. Toxicol. Vitr. 2017, 40, 248–255. [Google Scholar] [CrossRef]
- Kashyap, P.; Shikha, D.; Thakur, M.; Aneja, A. Functionality of Apigenin as a Potent Antioxidant with Emphasis on Bioa..vailability, Metabolism, Action Mechanism, and In Vitro and In Vivo Studies: A Review. J. Food Biochem. 2022, 46, e13950. [Google Scholar] [CrossRef] [PubMed]
- El Menyiy, N.; Aboulaghras, S.; Bakrim, S.; Moubachir, R.; Taha, D.; Khalid, A.; Abdalla, A.N.; Algarni, A.S.; Hermansyah, A.; Ming, L.C.; et al. Genkwanin: An Emerging Natural Compound with Multifaceted Pharmacological Effects. Biomed. Pharmacother. 2023, 165, 115159. [Google Scholar] [CrossRef] [PubMed]
- Bangar, S.P.; Kajla, P.; Chaudhary, V.; Sharma, N.; Ozogul, F. Luteolin: A Flavone with Myriads of Bioactivities and Food Applications. Food Biosci. 2023, 52, 102366. [Google Scholar] [CrossRef]
- Li, W.; Du, Q.; Li, X.; Zheng, X.; Lv, F.; Xi, X.; Huang, G.; Yang, J.; Liu, S. Eriodictyol Inhibits Proliferation, Metastasis and Induces Apoptosis of Glioma Cells via PI3K/Akt/NF-κB Signaling Pathway. Front. Pharmacol. 2020, 11, 114. [Google Scholar] [CrossRef]
- Sunil, C.; Xu, B. An Insight into the Health-Promoting Effects of Taxifolin (Dihydroquercetin). Phytochemistry 2019, 166, 112066. [Google Scholar] [CrossRef]
- David, A.V.A.; Arulmoli, R.; Parasuraman, S. Overviews of Biological Importance of Quercetin: A Bioactive Flavonoid. Pharmacogn. Rev. 2016, 10, 84. [Google Scholar] [CrossRef]
- Mantzourani, C.; Tarantilis, P.A.; Kokotou, M.G. Carnosic Acid and Carnosol: Analytical Methods for Their Determination in Plants, Foods, and Biological Samples. Separations 2023, 10, 481. [Google Scholar] [CrossRef]
- Lai, C.S.; Lee, J.H.; Ho, C.T.; Liu, C.B.; Wang, J.M.; Wang, Y.J.; Pan, M.H. Rosmanol Potently Inhibits Lipopolysaccharide-Induced iNOS and COX-2 Expression through Downregulating MAPK, NF-κB, STAT3, and C/EBP Signaling Pathways. J. Agric. Food Chem. 2009, 57, 10990–10998. [Google Scholar] [CrossRef]
- Uçar, K.; Göktaş, Z. Biological Activities of Naringenin: A Narrative Review Based on In Vitro and In Vivo Studies. Nutr. Res. 2023, 119, 43–55. [Google Scholar] [CrossRef]
- Yfanti, P.; Batistatou, A.; Manos, G.; Lekka, M.E. The Aromatic Plant Satureja horvatii ssp. macrophylla Induces Apoptosis and Cell Death to the A549 Cancer Cell Line. Am. J. Plant Sci. 2015, 6, 2092–2103. [Google Scholar] [CrossRef]
- Determination of Biophenols in Olive Oils by HPLC; International Olive Council: Madrid, Spain, 2009.
- Yfanti, P.; Patakioutas, G.; Douma, D.; Lekka, M.E. In vitro antifungal activity of Satureja horvatii ssp. macrophylla against three tomato phytopathogenic fungi. Nat. Prod. Commun. 2021, 16, 1934578X211025165. [Google Scholar] [CrossRef]
- Conforti, F.; Sosa, S.; Marrelli, M.; Menichini, F.; Statti, G.A.; Uzunov, D.; Tubaro, A.; Menichini, F.; Della Loggia, R. In Vivo Anti-Inflammatory and In Vitro Antioxidant Activities of Mediterranean Dietary Plants. J. Ethnopharmacol. 2008, 116, 144–151. [Google Scholar] [CrossRef] [PubMed]
- Minioti, K.S.; Georgiou, C.A. Comparison of Different Tests Used in Mapping the Greek Virgin Olive Oil Production for the Determination of Its Total Antioxidant Capacity. Grasas Aceites 2010, 61, 45–51. [Google Scholar] [CrossRef]
- Vasdekis, E.P.; Karkabounas, A.; Giannakopoulos, I.; Savvas, D.; Lekka, M.E. Screening of Mushrooms Bioactivity: Piceatannol Was Identified as a Bioactive Ingredient in the Order Cantharellales. Eur. Food Res. Technol. 2018, 244, 861–871. [Google Scholar] [CrossRef]






| S/N | RT (min) | RIEXP | RILit | Compound Name | Area Percent (%) | Mode of Identification | ||
|---|---|---|---|---|---|---|---|---|
| O. vulgare | R. officinalis | S. triloba | ||||||
| 1 | 5.83 | 925 | 925 | Tricyclene | 0.2 | 0.2 | MS, RI | |
| 2 | 5.86 | 926 | 926 | α-Thujene | 0.2 | MS, RI | ||
| 3 | 6.1 | 934 | 934 | α-Pinene | 12.3 | 5.1 | MS, RI | |
| 4 | 6.62 | 952 | 952 | Camphene | 2.8 | 5.0 | MS, RI | |
| 5 | 6.72 | 955 | 955 | Thuja-2,4(10)-diene | 0.6 | MS, RI | ||
| 6 | 6.72 | 955 | 955 | Sabinene | 0.1 | MS, RI | ||
| 7 | 7.26 | 973 | Unknown | 0.2 | ||||
| 8 | 7.46 | 980 | 980 | 1-Octen-3-ol | 0.3 | MS, RI | ||
| 9 | 7.47 | 980 | 980 | β-Pinene | 1.1 | 5.4 | MS, RI | |
| 10 | 7.69 | 988 | 988 | 3-Octanone | 0.1 | 0.1 | MS, RI | |
| 11 | 7.73 | 990 | 990 | Myrcene | 0.3 | 0.7 | 3.3 | MS, RI |
| 12 | 7.86 | 993 | 993 | 2,3-Dehydro-1,8-cineole | 0.1 | MS, RI | ||
| 13 | 8.4 | 1010 | 1010 | α-Phellandrene | 0.1 | MS, RI | ||
| 14 | 8.45 | 1011 | 1012 | δ-3-Carene | 2.0 | MS, RI | ||
| 15 | 8.77 | 1019 | 1019 | α-Terpinene | 0.2 | 0.1 | 0.3 | MS, RI |
| 16 | 9.08 | 1027 | 1027 | p-Cymene | 3.1 | 2.0 | 1.0 | MS, RI |
| 17 | 9.21 | 1031 | 1031 | Limonene | 0.1 | 3.5 | 1.6 | MS, RI |
| 18 | 9.31 | 1033 | 1033 | β-Phellandrene | 0.1 | MS, RI | ||
| 19 | 9.37 | 1035 | 1035 | 1,8 cineole | 0.1 | 9.8 | 44.2 | MS, RI |
| 20 | 10.31 | 1059 | 1059 | γ-Terpinene | 1.4 | 0.1 | 0.4 | MS, RI |
| 21 | 10.84 | 1073 | 1073 | cis-Sabinene hydrate | 0.5 | 0.2 | 0.2 | MS, RI |
| 22 | 11.37 | 1087 | 1087 | α-Terpinolene | 0.4 | 0.1 | MS, RI | |
| 23 | 11.66 | 1094 | 1094 | p-Cymenene | 0.2 | MS, RI | ||
| 24 | 11.98 | 1103 | 1103 | Linalool | 0.1 | 3.5 | 0.3 | MS, RI |
| 25 | 12.1 | 1106 | 1104 | trans-Sabinene hydrate | 0.2 | 0.3 | 0.2 | MS, RI |
| 26 | 12.37 | 1112 | 1112 | α-Thujone | 2.5 | MS, RI | ||
| 27 | 12.85 | 1123 | 1123 | β-Thujone | 1.1 | MS, RI | ||
| 28 | 12.9 | 1124 | 1124 | Fenchol | 0.1 | MS, RI | ||
| 29 | 13.02 | 1127 | 1127 | Chrysanthenone | 0.8 | MS, RI | ||
| 30 | 13.09 | 1128 | 1128 | cis-p-Menth-2-ene-1-ol | 0.1 | MS, RI | ||
| 31 | 13.23 | 1132 | 1132 | α-Campholenal | 0.1 | MS, RI | ||
| 32 | 13.73 | 1143 | 1143 | Sabinol | 0.1 | MS, RI | ||
| 33 | 13.84 | 1146 | 1146 | cis-Verbenol | 0.6 | MS, RI | ||
| 34 | 14.01 | 1150 | 1150 | trans-Verbenol | 0.9 | MS, RI | ||
| 35 | 14.18 | 1154 | 1154 | Camphor | 13.2 | 9.5 | MS, RI | |
| 36 | 14.72 | 1166 | 1166 | trans-Pinocamphone | 0.8 | 0.1 | MS, RI | |
| 37 | 14.82 | 1168 | 1168 | Pinocarvone | 0.3 | MS, RI | ||
| 38 | 15.11 | 1176 | 1175 | δ-Terpineol | 1.0 | MS | ||
| 39 | 15.21 | 1177 | 1177 | Borneol | 0.2 | 11.7 | 1.9 | MS, RI |
| 40 | 15.42 | 1183 | 1182 | cis-Pinocamphone | 2.5 | 0.1 | MS, RI | |
| 41 | 15.53 | 1185 | 1185 | Terpinen-4-ol | 0.4 | 0.9 | 0.7 | MS, RI |
| 42 | 15.86 | 1193 | 1193 | p-Cymen-8-ol | 0.3 | MS, RI | ||
| 43 | 16.2 | 1200 | 1200 | α-Terpineol | 0.1 | 2.4 | 3.3 | MS, RI |
| 44 | 16.4 | 1203 | 1203 | trans-Dihydrocarvone | 0.2 | MS, RI | ||
| 45 | 16.5 | 1205 | Unknown | 1.0 | ||||
| 46 | 16.81 | 1211 | 1211 | Verbenone | 11.5 | 0.1 | MS, RI | |
| 47 | 17.24 | 1219 | 1219 | cis-Carveol | 0.1 | MS, RI | ||
| 48 | 18.33 | 1239 | 1239 | cis-Shisool | 0.9 | MS, RI | ||
| 49 | 18.58 | 1243 | 1243 | Carvone | 0.1 | MS, RI | ||
| 50 | 18.58 | 1244 | 1244 | Linalyl acetate | 0.1 | MS, RI | ||
| 51 | 18.69 | 1246 | 1246 | trans-Shisool | 2.0 | MS, RI | ||
| 52 | 19.04 | 1252 | 1252 | cis-Myrtanol | 0.1 | MS, RI | ||
| 53 | 19.58 | 1262 | 1262 | trans-Myrtanol | 0.1 | MS, RI | ||
| 54 | 20.01 | 1271 | 1271 | Isopiperitenone | 0.2 | MS, RI | ||
| 55 | 20.49 | 1278 | 1278 | cis-Verbenyl acetate | 0.1 | MS, RI | ||
| 56 | 20.75 | 1284 | 1284 | Bornyl acetate | 2.2 | 0.9 | MS, RI | |
| 57 | 21.23 | 1292 | 1292 | Thymol | 4.6 | MS, RI | ||
| 58 | 21.74 | 1303 | 1303 | Carvacrol | 86.4 | 0.1 | MS, RI | |
| 59 | 24.91 | 1339 | 1339 | Piperitenone | 0.2 | MS, RI | ||
| 60 | 25.41 | 1345 | 1345 | α-Terpinyl acetate | 1.2 | MS, RI | ||
| 61 | 27.73 | 1371 | 1371 | Copaene | 0.3 | MS, RI | ||
| 62 | 30.44 | 1405 | 1405 | Methyleugenol | 0.2 | MS, RI | ||
| 63 | 31.17 | 1416 | 1416 | β-Caryophyllene | 0.6 | 1.9 | 2.8 | MS, RI |
| 64 | 32.46 | 1436 | 1436 | Aromandendrene | 0.1 | 0.4 | MS, RI | |
| 65 | 33.64 | 1454 | 1454 | α-Humulene | 0.1 | 0.5 | 0.8 | MS, RI |
| 66 | 33.9 | 1457 | 1457 | Alloaromadendrene | 0.1 | MS, RI | ||
| 67 | 34.96 | 1474 | 1474 | γ-Muurolene | 0.3 | MS, RI | ||
| 68 | 35.83 | 1487 | 1487 | Viridiflorene | 0.2 | MS, RI | ||
| 69 | 36.4 | 1495 | 1495 | α-Muurolene | 0.1 | MS, RI | ||
| 70 | 37.03 | 1507 | 1507 | β-Bisabolene | 0.5 | 0.1 | MS, RI | |
| 71 | 37.2 | 1511 | 1511 | γ-Cadinene | 0.3 | MS, RI | ||
| 72 | 37.5 | 1518 | 1518 | δ-Cadinene | 0.1 | 0.5 | 0.1 | MS, RI |
| 73 | 37.63 | 1520 | 1520 | cis-Calamenene | 0.1 | MS, RI | ||
| 74 | 37.73 | 1523 | 1523 | trans-Calamenene | 0.2 | MS, RI | ||
| 75 | 38.76 | 1546 | 1546 | α-Calacorene | 0.1 | MS, RI | ||
| 76 | 40.43 | 1584 | Unknown | 0.2 | ||||
| 77 | 40.58 | 1588 | 1588 | Caryophyllene oxide | 0.5 | 1.0 | 1.0 | MS, RI |
| 78 | 40.7 | 1591 | 1591 | Globulol | 0.1 | MS, RI | ||
| 79 | 40.92 | 1596 | 1596 | Viridiflorol | 2.0 | MS, RI | ||
| 80 | 41.02 | 1597 | Unknown | 0.1 | ||||
| 81 | 41.04 | 1598 | 1598 | Humulene epoxide I | 0.1 | MS, RI | ||
| 82 | 41.27 | 1611 | 1611 | Humulene epoxide II | 0.1 | 0.2 | 0.3 | MS, RI |
| 83 | 41.59 | 1633 | 1633 | Epicubenol | 0.1 | MS, RI | ||
| 84 | 41.67 | 1637 | Humulenol-II | 0.2 | 0.1 | MS | ||
| 85 | 41.74 | 1646 | 1646 | Caryophylla-4(12),8(13)-dien-5α-ol | 0.2 | 0.1 | MS, RI | |
| 86 | 41.82 | 1651 | 1651 | τ-Cadinol | 0.1 | 0.1 | MS, RI | |
| 87 | 41.85 | 1652 | 1652 | Cadin-4-en-10-ol | 0.1 | MS, RI | ||
| 88 | 42.2 | 1679 | 1679 | Germacra-4(15),5,10(14)-trien-1α -ol | 0.2 | 0.4 | MS, RI | |
| 89 | 42.37 | 1692 | 1692 | α-Bisabolol | 0.2 | MS, RI | ||
| 90 | 44.76 | Manool | 0.8 | MS | ||||
| Monoterpene hydrocarbons | 5.1 | 26.2 | 22.8 | |||||
| Oxygenated monoterpens | 92.7 | 63.7 | 65.4 | |||||
| Sesquiterpene hydrocarbons | 1.3 | 4.5 | 4.4 | |||||
| Oxygenated sesquiterpenes | 0.6 | 2.4 | 4.1 | |||||
| Diterpenes | 0.8 | |||||||
| Others | 0.5 | 2.6 | 2.2 | |||||
| Unkown | 0 | 1.2 | 0.3 | |||||
| Monoterpenes | 97.8 | 89.9 | 88.2 | |||||
| Sesquiterpene | 1.8 | 6.9 | 8.5 | |||||
| Identified Compounds | ESI | Ion Form | Theoretical m/z | Mass Error (ppm) | MS/MS Fragments | Molecular Formula | Aromatic Herbs MeOH Extracts | Hydro-Methanolic Extracts of Olive Oils | ||
|---|---|---|---|---|---|---|---|---|---|---|
| LP | KA | LK | ||||||||
| Salicylic acid | - | [Μ − H]− | 137.024 | 1.779 | 93 | C7H6O3 | √ | √ | √ | √ |
| Caffeic acid hexoside | - | [Μ − H]− | 341.087 | 1.421 | 179.05/161.04/135.13 * | C15H18O9 | √ | |||
| Luteolin-6,8-di-c-hexose | - | [Μ − H]− | 609.146 | 1.021 | 489.10/519.11/399.11 ** | C27H30O16 | √ | |||
| Apigenin 6,8-di-C-glucoside | - | [Μ − H]− | 593.15 | 2.303 | 473.10/353.11/503.10 *** | C27H30O15 | √ | |||
| Luteolin-6-C-glucoside | - | [Μ − H]− | 447.093 | 1.622 | 327.08/357.07/429.06 | C21H20O11 | √ | |||
| Rosmarinic acid | - | [Μ − H]− | 359.077 | 1.986 | 161.02/197.05/179.02 | C18H16O8 | √ | |||
| Rosmarinic acid | - | [Μ − H]− | 359.077 | 1.776 | 161.03/197.04/179.04 | C18H16O8 | √ | |||
| Apigenin 8-C-glucoside | - | [Μ − H]− | 431.098 | 1.447 | 311.03/341.07 *** | C21H20O10 | √ | |||
| Taxifolin | - | [Μ − H]− | 303.005 | 1.281 | 285.05/177.08/125.07 | C15H12O7 | √ | √ | √ | √ |
| Eriodictyol 7-O-glucoside | - | [Μ − H]− | 449.109 | 2.022 | 287.06 | C21H22O11 | √ | |||
| Dihydrokaempferol | - | [Μ − H]− | 287.056 | 1.475 | 259.06/243.10/269.06 *** | C15H12O6 | √ | |||
| Eridictyol ** | - | [Μ − H]− | 287.056 | 0.657 | 151.01/125.09/135.04 | C15H11O6 | √ | √ | √ | √ |
| Salvianolic acid B | - | [Μ − H]− | 717.148 | 2.699 | 519.06/321.15/339.17 | C36H30O16 | ||||
| Luteolin | - | [Μ − H]− | 285.039 | 1.806 | 241.02/175.11/199.06 | C15H10O6 | √ | √ | √ | √ |
| Apigenin | - | [Μ − H]− | 269.046 | 2.120 | 225.07/149.00/201.05 | C15H10O5 | √ | √ | √ | √ |
| Naringenin | + | [Μ + H]+ | 273.0758 | 1.550 | 152.97/147.03 | C15H12O5 | √ | √ | √ | √ |
| Acacetin | - | [Μ − H]− | 283.0601 | 1.790 | 268.09/283.16/239.22 | C16H12O5 | √ | √ | √ | √ |
| Identified Compounds | ESI | Ion Form | Theoretical m/z | Mass Error (ppm) | MS/MS Fragments | Molecular Formula | Aromatic Herb MeOH Extract | Hydro-Methanolic Extracts of Olive Oils | ||
|---|---|---|---|---|---|---|---|---|---|---|
| LP | KA | LK | ||||||||
| Rosmarinic acid | - | [Μ − H]− | 359.0772 | 1.006 | 161.03/197.05/179.03 | C18H16O8 | √ | |||
| Caffeic acid | - | [Μ − H]− | 179.0339 | 1.335 | 135.03 | C9H8O4 | √ | |||
| Sagerinic acid | - | [Μ − H]− | 719.1618 | 1.389 | 359.01 * | C36H32O16 | √ | |||
| Hesperidin | - | [Μ − H]− | 609.1814 | 1.463 | 301.04 | C28H34O15 | √ | |||
| Rosmarinic acid | - | [Μ − H]− | 359.0772 | 1.306 | 161.03/197.04/179.04 | C18H16O8 | √ | |||
| Hispidulin-7-glucoside | - | [Μ − H]− | 461.1078 | 0.714 | 299.06 ** | C22H22O11 | √ | |||
| Apigenin | - | [Μ − H]− | 269.0445 | 1.02 | 225.06/149.02/201.06 | C15H10O5 | √ | √ | √ | √ |
| Pectolinarigenin | - | [Μ − H]− | 313.0707 | 1.295 | 298.05/283.02 | C17H14O6 | √ | √ | √ | √ |
| Rosmanol | - | [Μ − H]− | 345.1697 | 1.65 | 301.19 ** | C20H26O5 | √ | √ | √ | √ |
| Hydroxyrosmanol | - | [Μ − H]− | 361.1646 | 1.385 | 317.18 ** | C20H26O6 | √ | √ | √ | √ |
| Genkwanin | - | [Μ − H]− | 283.0601 | 1.24 | 268.04/283.06 | C16H12O5 | √ | √ | √ | √ |
| Rosmanol methyl ether | - | [Μ − H]− | 359.1853 | 0.77 | 283.17/329.18/300.17 ** | C21H28O5 | √ | √ | √ | √ |
| Rosmadial | - | [Μ − H]− | 343.1540 | 1.43 | 315.14/299.17/287.17 ** | C20H24O5 | √ | √ | √ | √ |
| Rosmaridiphenol | - | [Μ − H]− | 315.1955 | 1.579 | 285.19 ** | C20H28O3 | √ | √ | √ | √ |
| Carnosol | + | [Μ + H]+ | 331.1904 | 1.174 | 285.05/289.11/303.06 | C20H26O4 | √ | √ | √ | √ |
| Carnosol | - | [Μ − H]− | 329.1747 | 1.654 | 285.19 ** | C20H26O4 ** | √ | √ | √ | √ |
| Carnosic acid | - | [Μ − H]− | 331.1904 | 1.413 | 287.20/244.15 ** | C20H28O4 | √ | √ | √ | √ |
| Identified Compounds | ESI | Ion Form | Theoretical m/z | Mass Error (ppm) | MS/MS Fragments | Molecular Formula | Aromatic Herb MeOH Extract | Hydro-Methanolic Extracts of Olive Oils | ||
|---|---|---|---|---|---|---|---|---|---|---|
| LP | KA | LK | ||||||||
| Vanillic acid | - | [Μ − H]− | 167.0350 | 1.535 | 123.06/152.03/108.09 | C8H8O4 | √ | √ | √ | |
| Caffeic acid | - | [Μ − H]− | 179.0339 | 1.375 | 135.03 | C9H8O4 | √ | |||
| Nepetrin | - | [Μ − H]− | 477.1033 | 0.948 | 315.04/300.05/461.97 | C22H22O12 | √ | |||
| Rosmarinic acid | - | [Μ − H]− | 359.0767 | 1.526 | 161.03/197.02/179.03 | C18H16O8 | √ | |||
| Sagerinic acid | - | [Μ − H]− | 719.1618 | 2.179 | 359.01 * | C36H32O16 | √ | |||
| Luteolin-7-O-glucoside | - | [Μ − H]− | 447.0927 | 1.742 | 285.05 ** | C21H20O11 | √ | |||
| Luteolin-3-O-glucuronide | - | [Μ − H]− | 461.0720 | 1.382 | 285.03 ** | C21H18O12 | √ | |||
| Quercetin | - | [Μ − H]− | 301.0354 | 0.753 | 178.99/151.03/273.01 | C15H10O7 | √ | √ | √ | √ |
| Nepetin | - | [Μ − H]− | 315.0510 | 1.551 | 300.03/297.15 | C16H12O7 | √ | |||
| Rosmanol | - | [Μ − H]− | 345.1702 | 1.31 | 301.19 | C20H26O5 | √ | √ | √ | √ |
| Apigenin | - | [Μ − H]− | 269.0455 | 1.02 | 225.08/149.13/201.08 | C15H10O5 | √ | √ | √ | √ |
| Hydroxyrosmanol | - | [Μ − H]− | 361.1615 | 1.385 | 317.18 | C20H26O6 | √ | √ | √ | √ |
| Pectolinarigenin | - | [Μ − H]− | 313.0718 | 1.755 | 298.00/283.06 | C17H14O6 | √ | √ | √ | √ |
| Rosmanol methyl ether | - | [Μ − H]− | 359.1858 | 1.530 | 283.16 ** | C21H28O5 | √ | √ | √ | √ |
| Rosmadial | - | [Μ − H]− | 343.1545 | 0.910 | 315.14/299.17/287.17 ** | C20H24O5 | √ | √ | √ | √ |
| Rosmaridiphenol | - | [Μ − H]− | 315.1960 | 1.089 | 285.20 ** | C20H28O3 | √ | √ | √ | √ |
| Carnosol | + | [Μ + H]+ | 331.1904 | 1.174 | 285.05/289.11/303.06 | C20H26O4 | √ | √ | √ | √ |
| Carnosol | - | [Μ − H]− | 329.1747 | 1.194 | 285.19 ** | C20H26O4 | √ | √ | √ | √ |
| Carnosic acid | - | [Μ − H]− | 331.1909 | 287.24/244.22 ** | C20H28O4 | √ | √ | √ | √ | |
| Olive Oil (mg) | Olive Oil (mM GAE/Kg) | |
|---|---|---|
| Lianoelia Prevezas | ||
| Olive oil | 76.3 ± 0.2 d | 185.8 ± 4.1 d |
| Olive oil + O. vulgare ssp. hirtum | 67.5 ± 1.3 c | 210.0 ± 4.1 c |
| Olive oil + R. officinalis | 50.4 ± 5.2 b | 283.4 ± 29.0 b |
| Olive oil + S. triloba | 22.1 ± 0.3 a | 641.4 ± 6.7 a |
| Konservoelia Artas | ||
| Olive oil | 106.8 ± 2.1 d | 132.6 ± 2.61.0 d |
| Olive oil + O. vulgare ssp. hirtum | 84.7 ± 1.6 c | 167.3 ± 3.2 c |
| Olive oil + R. officinalis | 65.4 ± 1.7 b | 216.7 ± 5.7 b |
| Olive oil + S. triloba | 26.4 ± 0.3 a | 535.9 ± 6.8 a |
| Lianoelia Kerkyras | ||
| Olive oil | 83.7 ± 1.6 d | 169.4 ± 3.3 d |
| Olive oil + O. vulgare ssp. hirtum | 58.7 ± 0.6 c | 241.4 ± 2.6 c |
| Olive oil + R. officinalis | 41.4 ± 0.5 b | 342.1 ± 4.0 b |
| Olive oil + S. triloba | 21.1 ± 0.7 a | 672.6 ± 22.2 a |
Disclaimer/Publisher’s Note: The statements, opinions and data contained in all publications are solely those of the individual author(s) and contributor(s) and not of MDPI and/or the editor(s). MDPI and/or the editor(s) disclaim responsibility for any injury to people or property resulting from any ideas, methods, instructions or products referred to in the content. |
© 2024 by the authors. Licensee MDPI, Basel, Switzerland. This article is an open access article distributed under the terms and conditions of the Creative Commons Attribution (CC BY) license (https://creativecommons.org/licenses/by/4.0/).
Share and Cite
Yfanti, P.; Lazaridou, P.; Boti, V.; Douma, D.; Lekka, M.E. Enrichment of Olive Oils with Natural Bioactive Compounds from Aromatic and Medicinal Herbs: Phytochemical Analysis and Antioxidant Potential. Molecules 2024, 29, 1141. https://doi.org/10.3390/molecules29051141
Yfanti P, Lazaridou P, Boti V, Douma D, Lekka ME. Enrichment of Olive Oils with Natural Bioactive Compounds from Aromatic and Medicinal Herbs: Phytochemical Analysis and Antioxidant Potential. Molecules. 2024; 29(5):1141. https://doi.org/10.3390/molecules29051141
Chicago/Turabian StyleYfanti, Paraskevi, Polyxeni Lazaridou, Vasiliki Boti, Dimitra Douma, and Marilena E. Lekka. 2024. "Enrichment of Olive Oils with Natural Bioactive Compounds from Aromatic and Medicinal Herbs: Phytochemical Analysis and Antioxidant Potential" Molecules 29, no. 5: 1141. https://doi.org/10.3390/molecules29051141
APA StyleYfanti, P., Lazaridou, P., Boti, V., Douma, D., & Lekka, M. E. (2024). Enrichment of Olive Oils with Natural Bioactive Compounds from Aromatic and Medicinal Herbs: Phytochemical Analysis and Antioxidant Potential. Molecules, 29(5), 1141. https://doi.org/10.3390/molecules29051141

