Spectrophotometric and Chromatographic Assessment of Total Polyphenol and Flavonoid Content in Rhododendron tomentosum Extracts and Their Antioxidant and Antimicrobial Activity
Abstract
1. Introduction
2. Results
2.1. HPTLC-UV/Vis Method Development
2.2. Determination of Total Phenolic Content
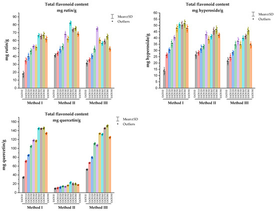
2.3. Determination of Total Flavonoid Content
2.4. DPPH Radical Scavenging Activity
2.5. Determining Antimicrobial Activity In Vitro
3. Discussion
4. Materials and Methods
4.1. Chemicals
4.2. Plant Material
4.3. Extracts Preparation
4.4. Chromatographic Analyses
4.5. Method for Determination of Total Phenolic Content
4.6. Method for Determining the Total Flavonoid Content
4.7. DPPH Radical Scavenging Activity
4.8. Antimicrobial Activity In Vitro
4.9. Statistical Analysis
5. Conclusions
Author Contributions
Funding
Institutional Review Board Statement
Informed Consent Statement
Data Availability Statement
Conflicts of Interest
References
- Skliar, V.; Sherstuk, M. Size structure of phytopopulations and its quantitative evaluation. Eureka Life Sci. 2016, 1, 9–15. [Google Scholar] [CrossRef]
 - Ledum Palustre—Labrador-Tea—Discover Life. Available online: https://www.discoverlife.org/mp/20q?search=Ledum+palustre (accessed on 1 November 2023).
 - Dampc, A.; Luczkiewicz, M. Rhododendron Tomentosum (Ledum palustre). A Review of Traditional Use Based on Current Research. Fitoterapia 2013, 85, 130–143. [Google Scholar] [CrossRef]
 - Upyr, T.V.; Tolmachova, K.S.; Koshovyi, O.M.; Komisarenko, A.M.; Kireyev, I.V. The Study of the Chemical Composition and the Pharmacological Activity of the Polysaccharide Complex Obtained from Ledum Palustre. News Pharm. 2016, 3, 32–35. [Google Scholar] [CrossRef]
 - Judzentiene, A.; Butkiene, R.; Budiene, J.; Tomi, F.; Casanova, J. Composition of Seed Essential Oils of Rhododendron Tomentosum. Nat. Prod. Commun. 2012, 7, 227–230. [Google Scholar] [CrossRef] [PubMed]
 - Ferreira, M.P.; Palmer, J.; McKenna, E.B.; Gendron, F. A Traditional Elder’s Anti-Aging Cornucopia of North American Plants. In Foods and Dietary Supplements in the Prevention and Treatment of Disease in Older Adults; Academic Press: Cambridge, MA, USA, 2015; pp. 3–11. [Google Scholar] [CrossRef]
 - Han, M.H.; Han, M.-H.; Kim, K.Y. Research Progress on the Identification and Pharmacological Activity of the Active Compo-Nents of the Rhododendron Species. Biosci. Biotechnol. Res. Asia 2021, 18, 543–565. [Google Scholar] [CrossRef]
 - Judžentienė, A. Review: Marsh Rosemary (Rhododendron Tomentosum Harmaja (Ex Ledum Palustre Linn) Growing in Lithuania) Essential Oils and Their Properties. Chemija 2020, 31, 269–277. [Google Scholar] [CrossRef]
 - McGill, C.M.; Tomco, P.L.; Ondrasik, R.M.; Belknap, K.C.; Dwyer, G.K.; Quinlan, D.J.; Kircher, T.A.; Andam, C.P.; Brown, T.J.; Claxton, D.F.; et al. Therapeutic Effect of Northern Labrador Tea Extracts for Acute Myeloid Leukemia. Phytother. Res. PTR 2018, 32, 1636–1641. [Google Scholar] [CrossRef]
 - Baldea, L.A.N.; Martineau, L.C.; Benhaddou-Andaloussi, A.; Arnason, J.T.; Lévy, É.; Haddad, P.S. Inhibition of Intestinal Glucose Absorption by Anti-Diabetic Medicinal Plants Derived from the James Bay Cree Traditional Pharmacopeia. J. Ethnopharmacol. 2010, 132, 473–482. [Google Scholar] [CrossRef]
 - Harbilas, D.; Martineau, L.C.; Harris, C.S.; Adeyiwola-Spoor, D.C.; Saleem, A.; Lambert, J.; Caves, D.; Johns, T.; Prentki, M.; Cuerrier, A.; et al. Evaluation of the Antidiabetic Potential of Selected Medicinal Plant Extracts from the Canadian Boreal Forest Used to Treat Symptoms of Diabetes: Part II. Can. J. Physiol. Pharmacol. 2009, 87, 479–492. [Google Scholar] [CrossRef]
 - Kim, S.G. Antioxidant and Anti-Inflammatory Activities of Extracts from Ledum palustre L. Food Sci. Preserv. 2017, 24, 1025–1033. [Google Scholar] [CrossRef][Green Version]
 - Zhang, M.; Zhao, J.-j.; Wu, W.-b.; Zhao, Y.; Zhu, X.-l.; Qu, W.-j. Analgesic and Anti-Inflammatory Activities of Extracts from Ledum palustre L. in Mice. Nat. Prod. Res. Dev. 2010, 22, 326. [Google Scholar]
 - Liu HaiJun, L.H.; Sun JinMin, S.J.; Jia LanLing, J.L. Experimental Study of Extract from Ledum Inhibiting the Growth of Tumor-Bearing Mice H22. Chin. J. Gerontol. 2011, 31, 3743–3744. [Google Scholar]
 - Tunón, H.; Olavsdotter, C.; Bohlin, L. Evaluation of Anti-Inflammatory Activity of Some Swedish Medicinal Plants. Inhibition of Prostaglandin Biosynthesis and PAF-Induced Exocytosis. J. Ethnopharmacol. 1995, 48, 61–76. [Google Scholar] [CrossRef] [PubMed]
 - Judzentiene, A.; Budiene, J.; Svediene, J.; Garjonyte, R. Toxic, Radical Scavenging, and Antifungal Activity of Rhododendron Tomentosum H. Essential Oils. Molecules 2020, 25, 1676. [Google Scholar] [CrossRef] [PubMed]
 - Kim, D.-M.; Nam, B.-W. Extracts and Essential Oil of Ledum Palustre L. Leaves and Their Antioxidant and Antimicrobial Activities. J. Food Sci. Nutr. 2006, 11, 100–104. [Google Scholar] [CrossRef]
 - Jiang, S.; Ding, Q.; Wu, Y.; Zhong, Z.; Ouyang, J. Comparison of the Chemical Compounds and Antioxidant Activities of Essential Oil and Ethanol Extract from Rhododendron Tomentosum Harmaja. J. Essent. Oil Bear. Plants 2017, 20, 927–936. [Google Scholar] [CrossRef]
 - Korpinen, R.I.; Välimaa, A.-L.; Liimatainen, J.; Kunnas, S. Essential Oils and Supercritical CO2 Extracts of Arctic Angelica (Angelica archangelica L.), Marsh Labrador Tea (Rhododendron tomentosum) and Common Tansy (Tanacetum vulgare)—Chemical Compositions and Antimicrobial Activities. Molecules 2021, 26, 7121. [Google Scholar] [CrossRef]
 - Zhang, L.; Internationals, O. Chemical Composition and Antibacterial Activity of the Essential Oil from Chinese Wild Ledum palustre L. on Vibrio parahaemolyticus. Int. J. Food Nutr. Sci. 2017, 4, 8–12. [Google Scholar] [CrossRef]
 - Benelli, G.; Pavela, R.; Cianfaglione, K.; Sender, J.; Danuta, U.; Maślanko, W.; Canale, A.; Barboni, L.; Petrelli, R.; Zeppa, L.; et al. Ascaridole-Rich Essential Oil from Marsh Rosemary (Ledum palustre) Growing in Poland Exerts Insecticidal Activity on Mosquitoes, Moths and Flies without Serious Effects on Non-Target Organisms and Human Cells. Food Chem. Toxicol. Int. J. Publ. Br. Ind. Biol. Res. Assoc. 2020, 138, 111184. [Google Scholar] [CrossRef]
 - Jaenson, T.G.T.; Pålsson, K.; Borg-Karlson, A.-K. Evaluation of Extracts and Oils of Mosquito (Diptera: Culicidae) Repellent Plants from Sweden and Guinea-Bissau. J. Med. Entomol. 2006, 43, 113–119. [Google Scholar] [CrossRef]
 - Jaenson, T.G.T.; Pålsson, K.; Borg-Karlson, A.-K. Evaluation of Extracts and Oils of Tick-Repellent Plants from Sweden. Med. Vet. Entomol. 2005, 19, 345–352. [Google Scholar] [CrossRef] [PubMed]
 - Shaffique, S.; Ahmed, S.; Rehman, T.; Mumtaz, W.; Anwar, H.; Hussain, G. Anti-Hyperuricemic Potential of Rhododendron Tomentosum Harmaja Syn. Ledum palustre L. 30c and 1M in Potassium Oxonate Induced Rat Model. Indian J. Tradit. Knowl. 2018, 17, 724–731. [Google Scholar]
 - Ahmad, M.; Faraazi, A.A.; Aamir, M. The Effect of Ocimum Sanctum and Ledum Palustre on Serum Uric Acid Level in Patients Suffering from Gouty Arthritis and Hyperuricaemia. Bull. Chem. Soc. Ethiop. 2013, 27, 469–473. [Google Scholar] [CrossRef]
 - Andersen, O.M.; Markham, K.R. Flavonoids: Chemistry, Biochemistry and Applications, 1st ed.; CRC Press: Boca Raton, FL, USA, 2005. [Google Scholar] [CrossRef]
 - Altemimi, A.; Lakhssassi, N.; Baharlouei, A.; Watson, D.G.; Lightfoot, D.A. Phytochemicals: Extraction, Isolation, and Identification of Bioactive Compounds from Plant Extracts. Plants 2017, 6, 42. [Google Scholar] [CrossRef] [PubMed]
 - Azmir, J.; Zaidul, I.S.M.; Rahman, M.M.; Sharif, K.M.; Mohamed, A.; Sahena, F.; Jahurul, M.H.A.; Ghafoor, K.; Norulaini, N.A.N.; Omar, A.K.M. Techniques for Extraction of Bioactive Compounds from Plant Materials: A Review. SI Extr. Encapsulation 2013, 117, 426–436. [Google Scholar] [CrossRef]
 - Jha, A.K.; Sit, N. Extraction of Bioactive Compounds from Plant Materials Using Combination of Various Novel Methods: A Review. Trends Food Sci. Technol. 2022, 119, 579–591. [Google Scholar] [CrossRef]
 - Charegaonkar, D. High-Performance Thin-Layer Chromatography: Excellent Automation. In High-Performance Thin-Layer Chromatography (HPTLC); Springer: Berlin/Heidelberg, Germany, 2010; pp. 55–65. [Google Scholar]
 - de Rijke, E.; Out, P.; Niessen, W.M.A.; Ariese, F.; Gooijer, C.; Brinkman, U.A.T. Analytical Separation and Detection Methods for Flavonoids. Plant Anal. 2006, 1112, 31–63. [Google Scholar] [CrossRef]
 - Orfali, R.; Perveen, S.; Aati, H.Y.; Alam, P.; Noman, O.M.; Palacios, J.; Al-Kurbi, B.S.S.; Al-Taweel, A.M.; Khan, A.; Mehmood, R.; et al. High-Performance Thin-Layer Chromatography for Rutin, Chlorogenic Acid, Caffeic Acid, Ursolic Acid, and Stigmasterol Analysis in Periploca Aphylla Extracts. Separations 2021, 8, 44. [Google Scholar] [CrossRef]
 - Scotti, F.; Löbel, K.; Booker, A.; Heinrich, M.S. John’s Wort (Hypericum Perforatum) Products—How Variable Is the Primary Material? Front. Plant Sci. 2018, 9, 1973. [Google Scholar] [CrossRef]
 - Larit, F.; León, F.; Jasika-Misiak, I.; Wieczorek, P.P.; Cutler, S.J. Phenolic Content and Antioxidant Activity of Cytisus Villosus and Hypericum Afrum Extracts. Planta Med. 2016, 82, PB21. [Google Scholar] [CrossRef]
 - Shanaida, M.; Golembiovska, O.; Jasicka-Misiak, I.; Oleshchuk, O.; Beley, N.; Kernychna, I.; Wieczorek, P.P. Sedative Effect and Standardization Parameters of Herbal Medicinal Product Obtained from the Ocimum americanum L. Herb. Eur. Pharm. J. 2021, 68, 1–9. [Google Scholar] [CrossRef]
 - Upyr, T.V.; Zaitsev, G.P.; Koshovyi, O.M.; Komisarenko, A.M. Phenolic composition of the ledum palustre shoots liquid extrac. Coliection Sci. Work. Staff. Memb. Shupyk NHU Ukr. 2015, 24, 239–243. [Google Scholar]
 - Bibi Sadeer, N.; Montesano, D.; Albrizio, S.; Zengin, G.; Mahomoodally, M.F. The Versatility of Antioxidant Assays in Food Science and Safety—Chemistry, Applications, Strengths, and Limitations. Antioxidants 2020, 9, 709. [Google Scholar] [CrossRef] [PubMed]
 - Marby, T.J.; Markham, K.R.; Thomas, M.B. The Systematic Identification of Flavonoids, 1st ed.; Springer: Berlin/Heidelberg, Germany; New York, NY, USA, 1970. [Google Scholar]
 - Chang, C.-C.; Yang, M.-H.; Wen, H.-M.; Chern, J.-C. Estimation of Total Flavonoid Content in Propolis by Two Complementary Colometric Methods. J. Food Drug Anal. 2002, 10, 3. [Google Scholar] [CrossRef]
 - Ramos, R.T.M.; Bezerra, I.C.F.; Ferreira, M.R.A.; Soares, L.A.L. Spectrophotometric Quantification of Flavonoids in Herbal Material, Crude Extract, and Fractions from Leaves of Eugenia Uniflora Linn. Pharmacogn. Res. 2017, 9, 253. [Google Scholar] [CrossRef]
 - Pietta, P.-G. Flavonoids as Antioxidants. J. Nat. Prod. 2000, 63, 1035–1042. [Google Scholar] [CrossRef]
 - Petry, R.D.; Ortega, G.G.; Silva, W.B. Flavonoid Content Assay: Influence of the Reagent Concentration and Reaction Time on the Spectrophotometric Behavior of the Aluminium Chloride—Flavonoid Complex. Pharm 2001, 56, 465–470. [Google Scholar]
 - Mammen, D.; Daniel, M. A Critical Evaluation on the Reliability of Two Aluminum Chloride Chelation Methods for Quantification of Flavonoids. Food Chem. 2012, 135, 1365–1368. [Google Scholar] [CrossRef]
 - Pękal, A.; Pyrzynska, K. Evaluation of Aluminium Complexation Reaction for Flavonoid Content Assay. Food Anal. Methods 2014, 7, 1776–1782. [Google Scholar] [CrossRef]
 - Shraim, A.M.; Ahmed, T.A.; Rahman, M.M.; Hijji, Y.M. Determination of Total Flavonoid Content by Aluminum Chloride Assay: A Critical Evaluation. LWT 2021, 150, 111932. [Google Scholar] [CrossRef]
 - Cornard, J.P.; Merlin, J.C. Spectroscopic and Structural Study of Complexes of Quercetin with Al(III). J. Inorg. Biochem. 2002, 92, 19–27. [Google Scholar] [CrossRef] [PubMed]
 - Huzio, N.; Grytsyk, A.; Raal, A.; Grytsyk, L.; Koshovyi, O. Phytochemical and Pharmacological Research in Agrimonia eupatoria L. Herb Extract with Anti-Inflammatory and Hepatoprotective Properties. Plants 2022, 11, 2371. [Google Scholar] [CrossRef]
 - Struchkov, P. Comparison of Spectrophotometric Methods of Total Flavonoid Assay Based on Complex Formation with Aluminum Chloride as Applied to Multicomponent Herbal Drug Angionorm. J. Pharm. Negat. Results 2018, 9, 1–7. [Google Scholar] [CrossRef]
 - Materska, M. Quercetin and its derivatives: Chemical structure and bioactivity—A review. Pol. J. Food Nutr. Sci. 2008, 58, 407–413. [Google Scholar]
 - Dj, G.; Hl, C.; Sw, C.; Ph, Y. Antioxidative Activities and the Total Phenolic Contents of Tonic Chinese Medicinal Herbs. Inflammopharmacology 2008, 16, 201–207. [Google Scholar] [CrossRef]
 - Dudonné, S.; Vitrac, X.; Coutière, P.; Woillez, M.; Mérillon, J.-M. Comparative Study of Antioxidant Properties and Total Phenolic Content of 30 Plant Extracts of Industrial Interest Using DPPH, ABTS, FRAP, SOD, and ORAC Assays. J. Agric. Food Chem. 2009, 57, 1768–1774. [Google Scholar] [CrossRef] [PubMed]
 - Platzer, M.; Kiese, S.; Herfellner, T.; Schweiggert-Weisz, U.; Eisner, P. How Does the Phenol Structure Influence the Results of the Folin-Ciocalteu Assay? Antioxidants 2021, 10, 811. [Google Scholar] [CrossRef]
 - Ullah, A.; Munir, S.; Badshah, S.L.; Khan, N.; Ghani, L.; Poulson, B.G.; Emwas, A.-H.; Jaremko, M. Important Flavonoids and Their Role as a Therapeutic Agent. Molecules 2020, 25, 5243. [Google Scholar] [CrossRef]
 - Kovalska, N.; Karpiuk, U.; Minarchenko, V.; Cholak, I.; Zaimenko, N.; Skrypchenko, N.; Liu, D. Comparative Analysis of the Content of Sum of Hydroxycinnamic Acids from Leaves of Actinidia Arguta Lindl. Collected in Ukraine and China. J. Chem. 2023, 2023, 2349713. [Google Scholar] [CrossRef]
 - Minarchenko, V.; Tymchenko, I.; Pidchenko, V.; Dvirna, T.; Makhynia, L.; Karpiuk, U.; Kovalska, N. Diagnostic Features of Raw Materials of Related Equisetum Species of Ukrainian Flora. J. Res. Pharm. 2022, 26, 1780–1788. [Google Scholar] [CrossRef]
 - Minarchenko, V.; Karpiuk, U.; Kovalska, N.; Tymchenko, I.; Dvirna, T.; Cholak, I. Diagnostic Micromorphological Features of Leaf Surface of Selected Species of the Genus L. (Asteraceae). Hacquetia 2023, 22, 131–141. [Google Scholar] [CrossRef]
 - Osorio-Tobón, J.F. Recent Advances and Comparisons of Conventional and Alternative Extraction Techniques of Phenolic Compounds. J. Food Sci. Technol. 2020, 57, 4299–4315. [Google Scholar] [CrossRef] [PubMed]
 - Hudz, N.; Horčinová Sedláčková, V.; Kukhtenko, H.; Svydenko, L. Facets of the Elaboration of the Salvia sclarea L. Extracts. Agrobiodivers. Improv. Nutr. Health Life Qual. 2023, 7, 61–69. [Google Scholar]
 - Kukhtenko, H.; Bevz, N.; Hudz, N.; Datkhayev, U.; Kukhtenko, O. Alhagi Kirghisorum: Technological Aspects of Its Thick Extract for the Pharmaceutical Application. Agrobiodivers. Improv. Nutr. Health Life Qual. 2022, 6. [Google Scholar] [CrossRef]
 - Monagas, M.; Brendler, T.; Brinckmann, J.; Dentali, S.; Gafner, S.; Giancaspro, G.; Johnson, H.; Kababick, J.; Ma, C.; Oketch-Rabah, H.; et al. Understanding Plant to Extract Ratios in Botanical Extracts. Front. Pharmacol. 2022, 13, 981978. [Google Scholar] [CrossRef]
 - Durling, N.E.; Catchpole, O.J.; Grey, J.B.; Webby, R.F.; Mitchell, K.A.; Foo, L.Y.; Perry, N.B. Extraction of Phenolics and Essential Oil from Dried Sage (Salvia officinalis) Using Ethanol–Water Mixtures. Food Chem. 2007, 101, 1417–1424. [Google Scholar] [CrossRef]
 - Jasicka-Misiak, I.; Makowicz, E.; Stanek, N. Chromatographic Fingerprint, Antioxidant Activity, and Colour Characteristic of Polish Goldenrod (Solidago virgaurea L.) Honey and Flower. Eur. Food Res. Technol. 2018, 244, 1169–1184. [Google Scholar] [CrossRef]
 - Shanaida, M.; Hudz, N.; Jasicka-Misiak, I.; Wieczorek, P.P. Polyphenols and Pharmacological Screening of a Monarda fistulosa L. Dry Extract Based on a Hydrodistilled Residue By-Product. Front. Pharmacol. 2021, 12, 563436. [Google Scholar] [CrossRef]
 - Singleton, V.L.; Rossi, J.A. Colorimetry of Total Phenolics with Phosphomolybdic-Phosphotungstic Acid Reagents. Am. J. Enol. Vitic. 1965, 16, 144–158. [Google Scholar] [CrossRef]
 - Elena, D.L. Pharmacognostic Methods for Analysis of Herbal Drugs, According to European Pharmacopoeia. In Promising Pharmaceuticals; IntechOpen: London, UK, 2012. [Google Scholar] [CrossRef][Green Version]
 - Shinkovenko, I.L.; Kashpur, N.V.; Ilyina, T.V.; Kovalyova, A.M.; Goryacha, O.V.; Koshovyi, O.M.; Toryanyk, E.L.; Kryvoruchko, O.V. The Immunomodulatory Activity of the Extracts and Complexes of Biologically Active Compounds of Galium verum L. Herb. Ceska Slov. Farm. Cas. Ceske Farm. Spolecnosti Slov. Farm. Spolecnosti 2018, 67, 25–29. [Google Scholar]
 - Yezerska, O.; Hudz, N.; Kobylinska, L.; Filipska, A.; Turkina, V.; Brindza, J.; Wieczorek, P.P. Methodical approach to the determination of the antioxidant activity of the echinacea purpurea and monarda fistulosa tinctures as a quality criterion of the development of their composition and laboratory technology. Acta Medica Leopoliensia 2022, 28, 89–98. [Google Scholar] [CrossRef]
 - Eucast: Disk Diffusion Methodology. Available online: https://www.eucast.org/ast_of_bacteria/disk_diffusion_methodology (accessed on 2 November 2023).
 - Eucast: Eucast Broth Microdilution Reading Guide Updated. Available online: https://www.eucast.org/eucast_news/news_singleview?tx_ttnews%5Btt_news%5D=362&cHash=f2196d399c8618b7313ccb7f048f7af5 (accessed on 11 November 2023).
 - Methods for in Vitro Evaluating Antimicrobial Activity: A Review. J. Pharm. Anal. 2016, 6, 71–79. [CrossRef]
 - State Pharmacopoeia of Ukraine; Ukrainian Scientific Pharmacopoeial Center of Drugs Quality: Kharkiv, Ukraine, 2015.
 









| Confirmed Biological Activity | Extract Type | Probable Active Compounds | Method Applied | Results | Source | 
|---|---|---|---|---|---|
| Anticancer potential  | Dried extracts obtained by extraction with water, 70% ethanol, isopropanol, acetone, and chloroform | May be attributed to ursolic acid as a constituent component | In vitro using primary human myeloid leukemia cell line patient samples, in vivro on mice engrafted with C1498 cells | This study demonstrated that extracts can exert anti-AML activity | [9] | 
| Antidiabetic | Dried extracts obtained by extraction with 80% ethanol | Polyphenols | In vitro using the Caco-2 human enterocytic cell line and in vivo using an oral glucose tolerance test (OGTT)  | These studies indicate a decrease in glucose absorption during an OGTT in normoglycemic rats and a significant decrease in the protein expression of SGLT1 and GLUT2 in CaCo2/15 cells | [10] | 
| Antidiabetic potential | Dried extracts obtained by extraction with 80% ethanol | Chlorogenic acid, catechins, taxifolin, and quercetin glycosides | Using potentiation of basal and insulin-stimulated glucose uptake by skeletal muscle cells (C2C12) and adipocytes (3T3-L1), potentiation of glucose-stimulated insulin secretion by pancreatic b cells (bTC), potentiation of adipogenesis in 3T3-L1 cells, protection against glucose toxicity and glucose deprivation in PC12-AC neuronal precursor cells, and DPPH oxygen free radical scavenging  | The present study revealed that Rh. tomentosum exhibits a promising profile of antidiabetic potential and is a good candidate for more in-depth evaluation  | [11] | 
| Antioxidant and anti-inflammatory activities | Extract obtained by extraction with 70% ethanol and was fractionated by EtOAc  | Unknown | Antioxidant by DPPH and ABTS assay. The anti-inflammatory activities by the inhibitory activity against NO, PGE2, TNF-α, IL-1β, and IL-6 production on LPS-stimulated raw 264.7 macrophages | Extracts have high antioxidant activities similar to vitamin C, and the low concentration of extracts have high anti-inflammatory activities | [12] | 
| Analgesic and anti-inflammatory activities | Essential oil, methanol extract, and aqueous extract | Flavonoid components | In vivo using model of acetic acid-induced writhing response and anti-inflammatory effect by using model of lambda-carrageenan-induced paw adema in mice | The analgesic and anti-inflammatory effects of methanol extract | [13] | 
| Anti-inflammatory effect | Novogalene agent Ledum 50 obtained by 50% ethanol | Polyphenolic compounds | In vivo model of acute bronchitis initiated by endotracheal administration of 1% formalin solution | Normalization of the histostructure of the respiratory system | [14] | 
| Anti-inflammatory activity | Dried extracts obtained by extraction with water | Unknown | In vitro using evaluation of inhibitory activity on prostaglandin biosynthesis and platelet-activating factor (PAF)-induced exocytosis | High inhibition was obtained, prostaglandin inhibition 50 ± 4%, PAF–exocytosis inhibition 71 ± 3% | [15] | 
| Toxic, antioxidant, and antifungal activity | Essential oils obtained by hydrodistillation | The major compounds were palustrol, ledol, ascaridol isomers, myrcene, and cyclocolorenone isomers | The toxic activity using a brine shrimp (Artemia sp.) bioassay, DPPH and ABTS assay, and antifungal activity by agar disc diffusion assay (Candida parapsilosis) | Notable toxic activity of essential oils, high abilities to scavenge radicals, possess potential antifungal activity | [16] | 
| Antioxidant and antimicrobial activities | Essential oil obtained by hydrodistillation and methanol extracts | The major compounds sabinene, terpinen-4-ol, myrtenal, α-pinen, β-selinene, α-selinene, and γ-elemene | Antioxidant activity by TBARS, NBT, and DPPH assay and inhibition of lipid peroxide formation. Antimicrobial activity by MIC (minimum inhibitory concentration) test and disc diffusion method | The methanol extract and essential oil showed antioxidant activity. The oil showed antimicrobial activity against Streptococcus pneumoniae, Clostridium perfringens, Candida albicans, Mycobacterium smegmatis, Acinetobacter lwoffii, and Candida krusei, while the methanolic extracts exhibited slight or no activity | [17] | 
| Antioxidant activities | Essential oil obtained by hydrodistillation, extract obtained by extraction with 70% ethanol | The major compounds 4-thujene, α-thujenal, and (-)-4-terpineolwhile. In the ethanol extract were α-farnesene, n-tetradecane, hexadecanoic acid, oblivon c, and lilac aldehyde | DPPH and ABTS assay | Ethanol extract showed stronger antioxidant activities than the essential oil | [18] | 
| Antimicrobial activities | Essential oil obtained by steam distillation, CO2 by supercritical carbon dioxide | The main compounds EO palustrol, myrcene, and ledol. In scCO2 extract, the major components palustrol and ledol, and myrcene absent | Using modified agar well diffusion methods against S. aureus, P. aeruginosa, C. albicans, A. niger, C. cladosporioides, and P. venetum | All the EOs and scCO2 extracts showed a broad spectrum of antimicrobial activities against the selected microbes | [19] | 
| Antibacterial activity | Essential oil was isolated by subcritical fluid extraction technology with butane as a solvent | The main constituents α-thujenal, bicyclocompounds, β-phellandrene, benzene,1-methyl-3-(1-methylethyl, propanal,2-methyl-3-phenyl, and β-terpineol | Using the modified disc method  | Extract expressed good antibacterial activity against the marine pathogen V. parahaemolyticus | [20] | 
| Insecticidal activity on mosquitoes, moths, and flies | Essential oil obtained by hydrodistillation | The main constituents p-cymene, isoascaridole, and cis-ascaridole | Culex quinquefasciatus larvae, M. domestica adults, S. littoralis early 3rd instar larvae. Toxicity on the nontarget aquatic microcrustacean Daphnia magna and soil organisms Eisenia fetida. Toxicity keratinocytes cell line (HaCaT), primary human fibroblast cell line (NHF A12), and MTT assay | Essential oil showed significant mortality on the larvae of C. quinquefasciatus and S. littoralis and adults of M. domestica, with little or no impact on beneficial organisms such as aquatic microcrustacean and earthworms and moderate toxicity on human fibroblasts and keratinocytes | [21] | 
| Mosquito repellent  | Volatile compounds were collected by solid phase microextraction, essential oil was obtained by steam distillation, extracts were extracted with hexane, ethyl acetate, or methanol | The volatile fraction of an ethyl acetate extract has the major compounds p-cymene, terpinyl acetate, sabinene, p-pinene, bornyl acetate, α pinene, β-phellandrene, camphene, Z-ocimene, and γ-terpinene | Repellency bioassays were carried out using cages made of mosquito netting and field experiment | Ethyl acetate extracts significantly reduced the probing activity of Aedes aegypti (L.) and reduced biting by mosquitoes | [22] | 
| Repellency activity | Oil, 10%, diluted in acetone | Compounds of essential oil | A repellency bioassay on I. ricinus nymphs | Exhibited 95% repellency | [23] | 
| Antihyperuricmic | Mother tincture Ledum palustre L., potency 30c and 1M | Homeopathy | Potassium oxonate induced rat model | The present study indicated marked hypouricemic effects; however, clear conclusion of hypouricemic potential of Ledum palustre required replication of experiment | [24] | 
| Antihyperuricmic | Mother tincture Ledum palustre L. | Homeopathy | Randomized single-blind experimental design was applied to the study (200 humans). For analysis of uric acid in blood samples, the enzymatic method was selected | The value of reduction in serum uric acid in males was 4.3 ± 0.3, in females was 4.6 ± 0.4 | [25] | 
| №195 Staphylococcus aureus ATCC 25923 | № b2 Staphylococcus aureus Biofilm-Forming  | № 223 Staphylococcus delphinium | №211 Staphylococcus aureus | №222 Enterococcus spp. | 192 Pseudomonas aeruginosa ATCC 10145 | |||||||
|---|---|---|---|---|---|---|---|---|---|---|---|---|
| Dilution | 1:1 | 1:2 | 1:1 | 1:2 | 1:1 | 1:2 | 1:1 | 1:2 | 1:1 | 1:2 | 1:1 | 1:2 | 
| EtOH0 | 80 | TG | 10 | 105 | 50 | 105 | 30 | 150 | 45 | 105 | 2 | 50 | 
| EtOH10 | 1 | 60 | 80 | 160 | 0 | 80 | 0 | 80 | 11 | 0 | 90 | TG | 
| EtOH20 | 0 | 45 | 0 | 200 | 11 | 5 | 0 | 1 | 0 | 0 | 0 | TG | 
| EtOH30 | 0 | 0 | 0 | 40 | 0 | 4 | 0 | 3 | 0 | 0 | 0 | 90 | 
| EtOH40 | 0 | 0 | 0 | 0 | 0 | 0 | 0 | 0 | 0 | 0 | 0 | 0 | 
| EtOH50 | 0 | 0 | 0 | 0 | 0 | 0 | 0 | 0 | 0 | 0 | 0 | 0 | 
| EtOH60 | 0 | 0 | 0 | 2 | 0 | 0 | 0 | 0 | 0 | 0 | 0 | 0 | 
| EtOH70 | 0 | 0 | 0 | 0 | 0 | 0 | 0 | 0 | 0 | 0 | 0 | 0 | 
| EtOH80 | 0 | 0 | 0 | 0 | 0 | 0 | 0 | 0 | 0 | 0 | 0 | 0 | 
| EtOH90 | 0 | 0 | 0 | 0 | 0 | 0 | 0 | 0 | 0 | 0 | 0 | 0 | 
Disclaimer/Publisher’s Note: The statements, opinions and data contained in all publications are solely those of the individual author(s) and contributor(s) and not of MDPI and/or the editor(s). MDPI and/or the editor(s) disclaim responsibility for any injury to people or property resulting from any ideas, methods, instructions or products referred to in the content.  | 
© 2024 by the authors. Licensee MDPI, Basel, Switzerland. This article is an open access article distributed under the terms and conditions of the Creative Commons Attribution (CC BY) license (https://creativecommons.org/licenses/by/4.0/).
Share and Cite
Kukhtenko, H.; Bevz, N.; Konechnyi, Y.; Kukhtenko, O.; Jasicka-Misiak, I. Spectrophotometric and Chromatographic Assessment of Total Polyphenol and Flavonoid Content in Rhododendron tomentosum Extracts and Their Antioxidant and Antimicrobial Activity. Molecules 2024, 29, 1095. https://doi.org/10.3390/molecules29051095
Kukhtenko H, Bevz N, Konechnyi Y, Kukhtenko O, Jasicka-Misiak I. Spectrophotometric and Chromatographic Assessment of Total Polyphenol and Flavonoid Content in Rhododendron tomentosum Extracts and Their Antioxidant and Antimicrobial Activity. Molecules. 2024; 29(5):1095. https://doi.org/10.3390/molecules29051095
Chicago/Turabian StyleKukhtenko, Halyna, Nataliia Bevz, Yulian Konechnyi, Oleksandr Kukhtenko, and Izabela Jasicka-Misiak. 2024. "Spectrophotometric and Chromatographic Assessment of Total Polyphenol and Flavonoid Content in Rhododendron tomentosum Extracts and Their Antioxidant and Antimicrobial Activity" Molecules 29, no. 5: 1095. https://doi.org/10.3390/molecules29051095
APA StyleKukhtenko, H., Bevz, N., Konechnyi, Y., Kukhtenko, O., & Jasicka-Misiak, I. (2024). Spectrophotometric and Chromatographic Assessment of Total Polyphenol and Flavonoid Content in Rhododendron tomentosum Extracts and Their Antioxidant and Antimicrobial Activity. Molecules, 29(5), 1095. https://doi.org/10.3390/molecules29051095
        
