Chickpea Sprouts as a Potential Dietary Support in Different Prostate Disorders—A Preliminary In Vitro Study
Abstract
1. Introduction
2. Results and Discussion
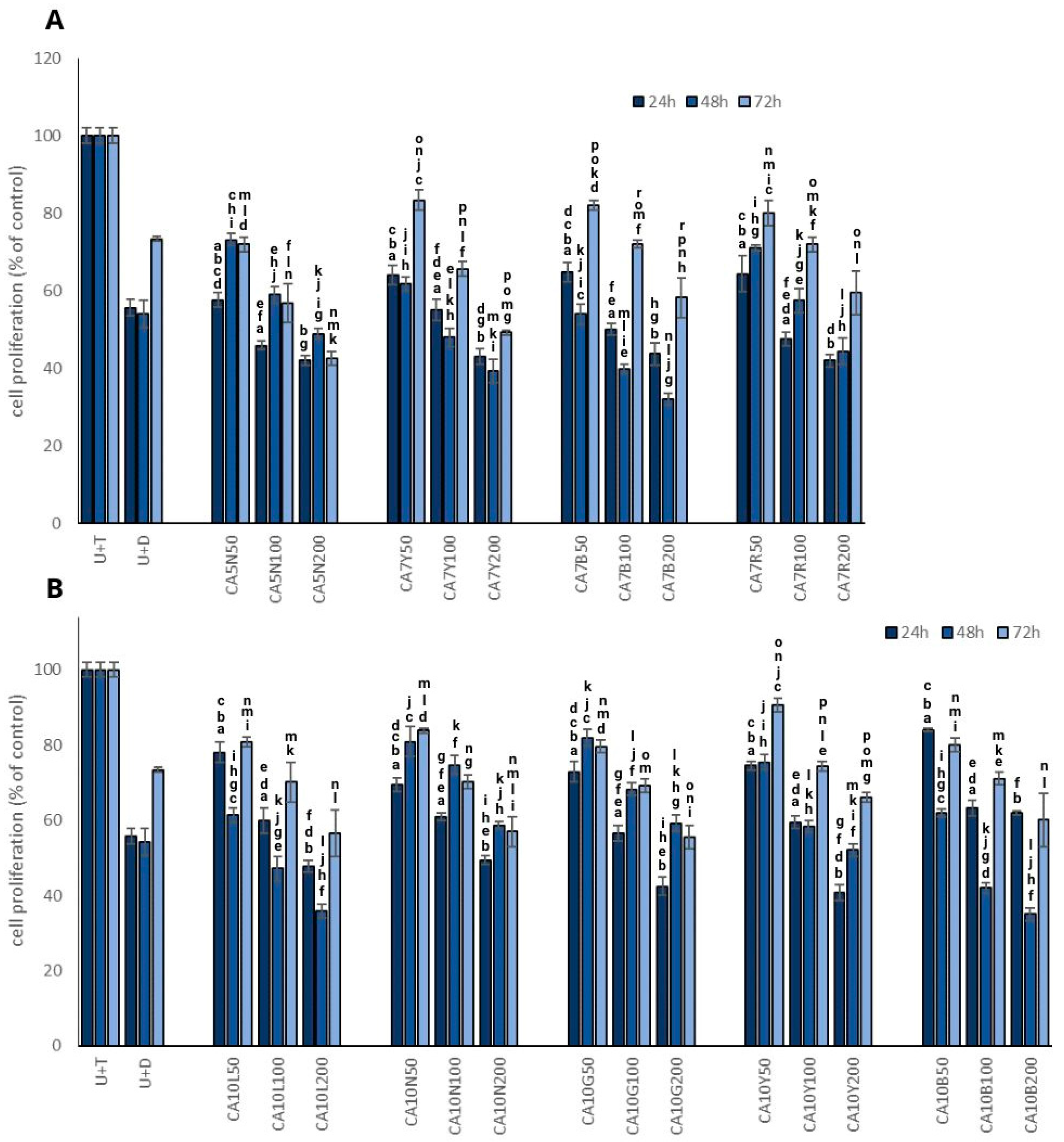
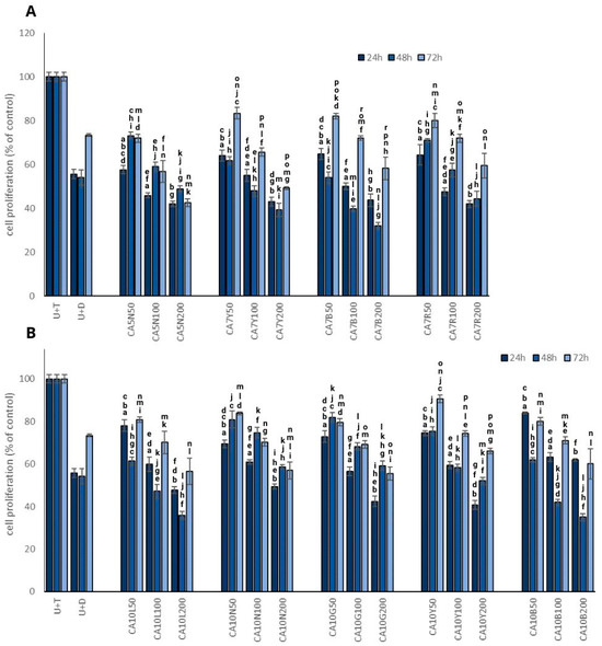
2.1. Proliferation
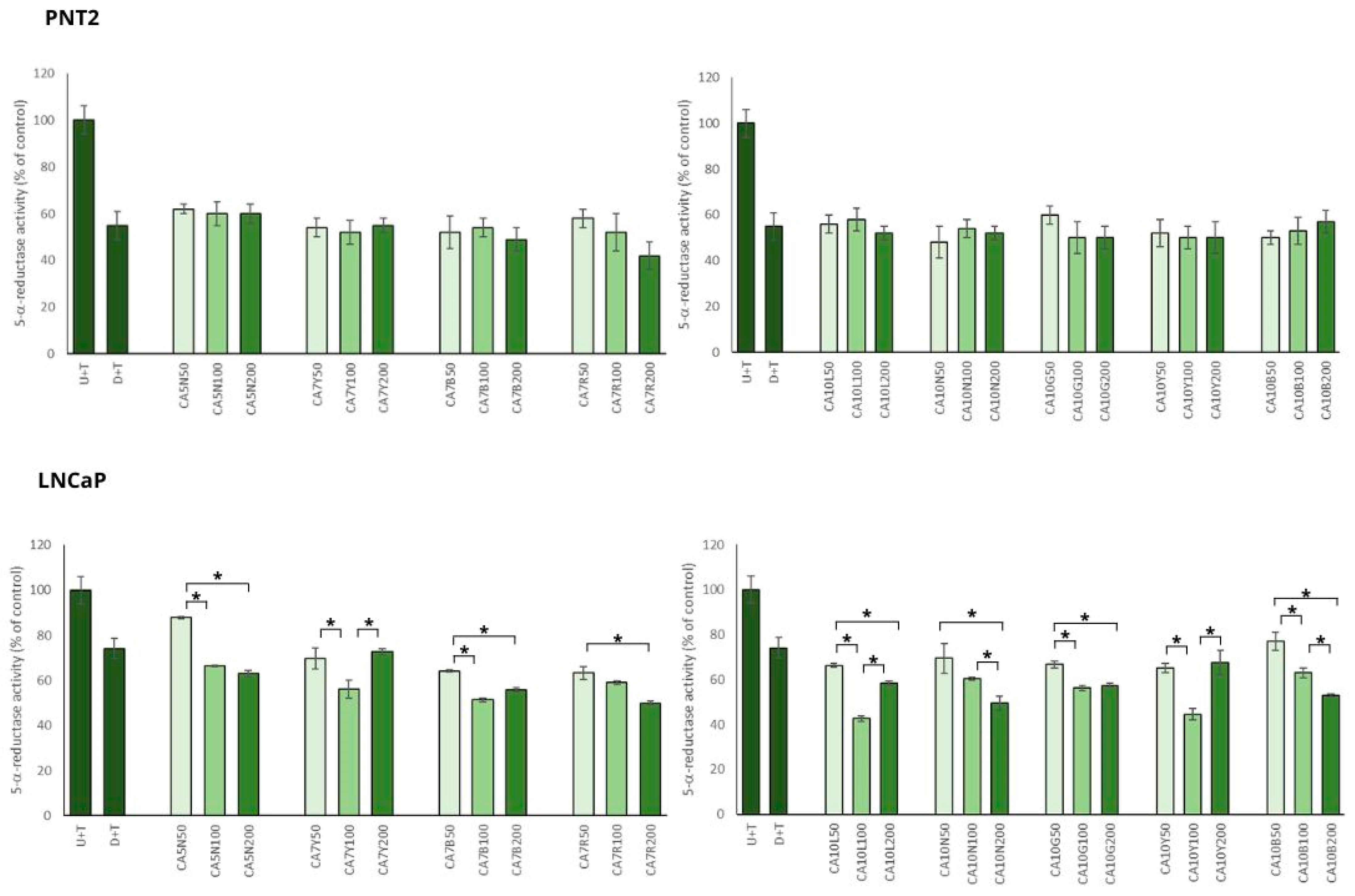
2.2. Influence of Chickpea Sprouts on 5α Reductase Activity, DHT, and PSA Release in PNT2 and LNCaP Cells Stimulated by Testosterone
2.3. Influence of Chickpea Sprouts on Inflammatory Parameters
3. Materials and Methods
3.1. Materials and Sprout Growth Conditions in LED Chambers
3.2. Sprouts Extract Preparation and Isoflavones Analysis
3.3. Culture Conditions
3.4. Proliferation Assay
3.5. Determination of PSA, 5AR, and DHT
3.6. Determination of Anti-Inflammatory Potential of Chickpea Sprouts in RAW 264.7 Model
3.7. Statistical Analysis
4. Conclusions
Author Contributions
Funding
Institutional Review Board Statement
Informed Consent Statement
Data Availability Statement
Conflicts of Interest
References
- Matsushita, M.; Fujita, K.; Nonomura, N. Influence of Diet and Nutrition on Prostate Cancer. Int. J. Mol. Sci. 2020, 21, 1447. [Google Scholar] [CrossRef]
- Prins, G.S. Endocrine disruptors and prostate cancer risk. Endocr.-Relat. Cancer 2008, 15, 649–656. [Google Scholar] [CrossRef]
- Zhang, L.; Wang, Y.; Qin, Z.; Gao, X.; Xing, Q.; Li, R.; Wang, W.; Song, N.; Zhang, W. Correlation between Prostatitis, Benign Prostatic Hyperplasia and Prostate Cancer: A systematic review and Meta-analysis. J. Cancer 2020, 11, 177–189. [Google Scholar] [CrossRef]
- Rohrmann, S.; Giovannucci, E.; Willett, W.C.; Platz, E.A. Fruit and vegetable consumption, intake of micronutrients, and benign prostatic hyperplasia in US men. Am. J. Clin. Nutr. 2007, 85, 523–529. [Google Scholar] [CrossRef]
- Lagiou, P.; Wuu, J.; Trichopoulou, A.; Hsieh, C.-C.; Adami, H.-O.; Trichopoulos, D. Diet and benign prostatic hyperplasia: A study in Greece. Urology 1999, 54, 284–290. [Google Scholar] [CrossRef]
- ElJalby, M.; Thomas, D.; Elterman, D.; Chughtai, B. The effect of diet on BPH, LUTS and ED. World J. Urol. 2019, 37, 1001–1005. [Google Scholar] [CrossRef]
- Shin, S.; Saito, E.; Sawada, N.; Ishihara, J.; Takachi, R.; Nanri, A.; Shimazu, T.; Yamaji, T.; Iwasaki, M.; Sasazuki, S.; et al. Dietary patterns and prostate cancer risk in Japanese: The Japan Public Health Center-based Prospective Study (JPHC Study). Cancer Causes Control 2018, 29, 589–600. [Google Scholar] [CrossRef]
- Askari, F.; Parizi, M.K.; Jessri, M.; Rashidkhani, B. Dietary patterns in relation to prostate cancer in Iranian men: A case-control study. Asian Pac. J. Cancer Prev. 2014, 15, 2159–2163. [Google Scholar] [CrossRef]
- Grudzińska, M.; Galanty, A.; Paśko, P. Can edible sprouts be the element of effective chemopreventive strategy?—A systematic review of in vitro and in vivo study. Trends Food Sci. Technol. 2023, 139, 104130. [Google Scholar] [CrossRef]
- Galanty, A.; Zagrodzki, P.; Miret, M.; Paśko, P. Chickpea and Lupin Sprouts, Stimulated by Different LED Lights, As Novel Examples of Isoflavones-Rich Functional Food, and Their Impact on Breast and Prostate Cells. Molecules 2022, 27, 9030. [Google Scholar] [CrossRef]
- Mahmoud, A.M.; Yang, W.; Bosland, M.C. Soy isoflavones and prostate cancer: A review of molecular mechanisms. J. Steroid Biochem. Mol. Biol. 2014, 140, 116–132. [Google Scholar] [CrossRef]
- Morton, M.S.; Chan, P.S.F.; Cheng, C.; Blacklock, N.; Matos-Ferreira, A.; Abranches-Monteiro, L.; Correia, R.; Lloyd, S.; Griffiths, K. Lignans and isoflavonoids in plasma and prostatic fluid in men: Samples from Portugal, Hong Kong, and the United Kingdom. Prostate 1997, 32, 122–128. [Google Scholar] [CrossRef]
- Pejčić, T.; Zeković, M.; Bumbaširević, U.; Kalaba, M.; Vovk, I.; Bensa, M.; Popović, L.; Tešić, Ž. The Role of Isoflavones in the Prevention of Breast Cancer and Prostate Cancer. Antioxidants 2023, 12, 368. [Google Scholar] [CrossRef]
- Adams, K.F.; Chen, C.; Newton, K.M.; Potter, J.D.; Lampe, J.W. Soy isoflavones do not modulate prostate-specific antigen concentrations in older men in a randomized controlled trial. Cancer Epidemiol. Biomark. Prev. 2004, 13, 644–648. [Google Scholar] [CrossRef]
- Goetzl, M.A.; VanVeldhuizen, P.J.; Thrasher, J.B. Effects of soy phytoestrogens on the prostate. Prostate Cancer Prostatic Dis. 2007, 10, 216–223. [Google Scholar] [CrossRef]
- Ratha, P.; Neumann, T.; Schmidt, C.A.; Schneidewind, L. Can isoflavones influence prostate specific antigen serum levels in localized prostate cancer? A systematic review. Nutr. Cancer 2021, 73, 361–368. [Google Scholar] [CrossRef]
- Reed, K.E.; Camargo, J.; Hamilton-Reeves, J.; Kurzer, M.; Messina, M. Neither soy nor isoflavone intake affects male reproductive hormones: An expanded and updated meta-analysis of clinical studies. Reprod. Toxicol. 2021, 100, 60–67. [Google Scholar] [CrossRef]
- Liu, F.; Peng, Y.; Qiao, Y.; Huang, Y.; Song, F.; Zhang, M.; Song, F. Consumption of flavonoids and risk of hormone-related cancers: A systematic review and meta-analysis of observational studies. Nutr. J. 2022, 21, 27. [Google Scholar] [CrossRef]
- Sołtys, A.; Galanty, A.; Grabowska, K.; Paśko, P.; Zagrodzki, P.; Podolak, I. Multidirectional Effects of Terpenoids from Sorbus intermedia (EHRH.) PERS Fruits in Cellular Model of Benign Prostate Hyperplasia. Pharmaceuticals 2023, 16, 965. [Google Scholar] [CrossRef]
- Li, Y.; Sarkar, F.H. Inhibition of nuclear factor kappaB activation in PC3 cells by genistein is mediated via Akt signaling pathway. Clin. Cancer Res. 2002, 8, 2369–2377. [Google Scholar]
- Lakshman, M.; Xu, L.; Ananthanarayanan, V.; Cooper, J.; Takimoto, C.H.; Helenowski, I.; Pelling, J.C.; Bergan, R.C. Dietary genistein inhibits metastasis of human prostate cancer in mice. Cancer Res. 2008, 68, 2024–2032. [Google Scholar] [CrossRef]
- Mentor-Marcel, R.; Lamartiniere, C.A.; Eltoum, I.E.; Greenberg, N.M.; Elgavish, A. Genistein in the diet reduces the incidence of poorly differentiated prostatic adenocarcinoma in transgenic mice (TRAMP). Cancer Res. 2001, 61, 6777–6782. [Google Scholar]
- Dong, X.; Xu, W.; Sikes, R.A.; Wu, C. Combination of low dose of genistein and daidzein has synergistic preventive effects on isogenic human prostate cancer cells when compared with individual soy isoflavone. Food Chem. 2013, 141, 1923–1933. [Google Scholar] [CrossRef]
- El Touny, L.H.; Banerjee, P.P. Identification of a biphasic role for genistein in the regulation of prostate cancer growth and metastasis. Cancer Res. 2009, 69, 3695–3703. [Google Scholar] [CrossRef]
- Li, J.; Mao, Q.-Q. Legume intake and risk of prostate cancer: A meta-analysis of prospective cohort studies. Oncotarget 2017, 8, 44776–44784. [Google Scholar] [CrossRef]
- Diallo, A.; Deschasaux, M.; Galan, P.; Hercberg, S.; Zelek, L.; Latino-Martel, P.; Touvier, M. Associations between fruit, vegetable and legume intakes and prostate cancer risk: Results from the prospective Supplementation en Vitamines et Mineraux Antioxydants (SU. VI. MAX) cohort. Br. J. Nutr. 2016, 115, 1579–1585. [Google Scholar] [CrossRef][Green Version]
- Eleazu, C.; Eleazu, K.; Kalu, W. Management of benign prostatic hyperplasia: Could dietary polyphenols be an alternative to existing therapies? Front. Pharmacol. 2017, 8, 234. [Google Scholar] [CrossRef]
- Wang, K.; Fan, D.-D.; Jin, S.; Xing, N.-Z.; Niu, Y.-N. Differential expression of 5-alpha reductase isozymes in the prostate and its clinical implications. Asian J. Androl. 2014, 16, 274. [Google Scholar]
- Wu, J.; Liu, S.; Shen, X.-Y.; Yang, N.-Y.; Liu, Y.; Tsuji, I.; Yamamura, T.; Li, J.; Li, X.-M. Phytoestrogens inhibiting androgen receptor signal and prostate cancer cell proliferation. Chem. Res. Chin. Univ. 2013, 29, 911–916. [Google Scholar] [CrossRef]
- Song, J.-H.; Hwang, B.; Chung, H.J.; Moon, B.; Kim, J.-W.; Ko, K.; Kim, B.-W.; Kim, W.-R.; Kim, W.-J.; Myung, S.C.; et al. Peanut Sprout Extracts Cultivated with Fermented Sawdust Medium Inhibits Benign Prostatic Hyperplasia In Vitro and In Vivo. World J. Men’s Health 2020, 38, 385–396. [Google Scholar] [CrossRef]
- Evans, B.A.; Griffiths, K.; Morton, M.S. Inhibition of 5α-reductase in genital skin fibroblasts and prostate tissue by dietary lignans and isoflavonoids. J. Endocrinol. 1995, 147, 295–302. [Google Scholar] [CrossRef]
- Bae, M.; Woo, M.; Kusuma, I.W.; Arung, E.T.; Yang, C.H.; Kim, Y.-U. Inhibitory effects of isoflavonoids on rat prostate testosterone 5α-reductase. J. Acupunct. Meridian Stud. 2012, 5, 319–322. [Google Scholar] [CrossRef][Green Version]
- Hsu, A.; Bray, T.M.; Helferich, W.G.; Doerge, D.R.; Ho, E. Differential effects of whole soy extract and soy isoflavones on apoptosis in prostate cancer cells. Exp. Biol. Med. 2010, 235, 90–97. [Google Scholar] [CrossRef]
- Peternac, D.; Klima, I.; Cecchini, M.G.; Schwaninger, R.; Studer, U.E.; Thalmann, G.N. Agents used for chemoprevention of prostate cancer may influence PSA secretion independently of cell growth in the LNCaP model of human prostate cancer progression. Prostate 2008, 68, 1307–1318. [Google Scholar] [CrossRef]
- Sivoňová, M.K.; Kaplán, P.; Tatarková, Z.; Lichardusová, L.; Dušenka, R.; Jurečeková, J. Androgen receptor and soy isoflavones in prostate cancer. Mol. Clin. Oncol. 2019, 10, 191–204. [Google Scholar] [CrossRef]
- Davis, J.N.; Muqim, N.; Bhuiyan, M.; Kucuk, O.; Pienta, K.J.; Sarkar, F.H. Inhibition of prostate specific antigen expression by genistein in prostate cancer cells. Int. J. Oncol. 2000, 16, 1091–1097. [Google Scholar] [CrossRef]
- Ho, C.K.M.; Habib, F.K. Estrogen and androgen signaling in the pathogenesis of BPH. Nat. Rev. Urol. 2011, 8, 29–41. [Google Scholar] [CrossRef]
- Kalu, W.O.; Okafor, P.N.; Ijeh, I.I.; Eleazu, C. Effect of kolaviron, a biflavanoid complex from Garcinia kola on some biochemical parameters in experimentally induced benign prostatic hyperplasic rats. Biomed. Pharmacother. 2016, 83, 1436–1443. [Google Scholar] [CrossRef]
- Lewis, J.G.; Nakajin, S.; Ohno, S.; Warnock, A.; Florkowski, C.M.; Elder, P.A. Circulating levels of isoflavones and markers of 5α-reductase activity are higher in Japanese compared with New Zealand males: What is the role of circulating steroids in prostate disease? Steroids 2005, 70, 974–979. [Google Scholar] [CrossRef]
- De Nunzio, C.; Kramer, G.; Marberger, M.; Montironi, R.; Nelson, W.; Schröder, F.; Sciarra, A.; Tubaro, A. The controversial relationship between benign prostatic hyperplasia and prostate cancer: The role of inflammation. Eur. Urol. 2011, 60, 106–117. [Google Scholar] [CrossRef]
- Nickel, J.C.; Roehrborn, C.G.; Castro-Santamaria, R.; Freedland, S.J.; Moreira, D.M. Chronic prostate inflammation is associated with severity and progression of benign prostatic hyperplasia, lower urinary tract symptoms and risk of acute urinary retention. J. Urol. 2016, 196, 1493–1498. [Google Scholar] [CrossRef] [PubMed]
- Kuang, A.G.; Nickel, J.C.; Andriole, G.L.; Castro-Santamaria, R.; Freedland, S.J.; Moreira, D.M. Both acute and chronic inflammation are associated with less perineural invasion in men with prostate cancer on repeat biopsy. BJU Int. 2019, 123, 91–97. [Google Scholar] [CrossRef] [PubMed]
- Minciullo, P.L.; Inferrera, A.; Navarra, M.; Calapai, G.; Magno, C.; Gangemi, S. Oxidative stress in benign prostatic hyperplasia: A systematic review. Urol. Int. 2015, 94, 249–254. [Google Scholar] [CrossRef]
- Milán-Noris, A.K.; Gutiérrez-Uribe, J.A.; Santacruz, A.; Serna-Saldívar, S.O.; Martínez-Villaluenga, C. Peptides and isoflavones in gastrointestinal digests contribute to the anti-inflammatory potential of cooked or germinated desi and kabuli chickpea (Cicer arietinum L.). Food Chem. 2018, 268, 66–76. [Google Scholar] [CrossRef]
- Widowati, W.; Prahastuti, S.; Ekayanti, N.L.W.; Munshy, U.Z.; Kusuma, H.S.W.; Wibowo, S.H.B.; Amalia, A.; Widodo, W.S.; Rizal, R. Anti-inflammation assay of black soybean extract and its compounds on lipopolysaccharide-induced RAW 264.7 cell. J. Phys. Conf. Ser. 2019, 1374, 012052. [Google Scholar] [CrossRef]
- Wahby, M.M.; Mohammed, D.S.; Newairy, A.A.; Abdou, H.M.; Zaky, A. Aluminum-induced molecular neurodegeneration: The protective role of genistein and chickpea extract. Food Chem. Toxicol. 2017, 107, 57–67. [Google Scholar] [CrossRef]
- Galanty, A.; Zagrodzki, P.; Gdula-Argasińska, J.; Grabowska, K.; Koczurkiewicz-Adamczyk, P.; Wróbel-Biedrawa, D.; Podolak, I.; Pękala, E.; Paśko, P. A Comparative Survey of Anti-Melanoma and Anti-Inflammatory Potential of Usnic Acid Enantiomers—A Comprehensive In Vitro Approach. Pharmaceuticals 2021, 14, 945. [Google Scholar] [CrossRef]
- Paśko, P.; Galanty, A.; Zagrodzki, P.; Żmudzki, P.; Bieniek, U.; Prochownik, E.; Domínguez-Álvarez, E.; Bierła, K.; Łobiński, R.; Szpunar, J.; et al. Varied effect of fortification of kale sprouts with novel organic selenium compounds on the synthesis of sulphur and phenolic compounds in relation to cytotoxic, antioxidant and anti-inflammatory activity. Microchem. J. 2022, 179, 107509. [Google Scholar] [CrossRef]
- Paśko, P.; Galanty, A.; Zagrodzki, P.; Luksirikul, P.; Barasch, D.; Nemirovski, A.; Gorinstein, S. Dragon Fruits as a Reservoir of Natural Polyphenolics with Chemopreventive Properties. Molecules 2021, 26, 2158. [Google Scholar] [CrossRef]
- Kryczyk-Kozioł, J.; Madej, E.; Zagrodzki, P.; Podsiadły, R.; Galanty, A.; Paśko, P. Evaluation of the consumption of potentially goitrogenic food products in various models of plant-based diets in Poland. Acta Pol. Pharm. 2023, 6, 939–953. [Google Scholar] [CrossRef]





| Time of Sprouting | Biochanin A | Daidzein | Formononetin | Genistein | Glycitein | Ononin | Sum of Isoflavones |
|---|---|---|---|---|---|---|---|
| CA10L | 309.8 ± 29.8 | 3.38 ± 0.21 | 369.6 ± 23.5 | 3.02 ± 0.26 | 8.32 ± 0.36 | 97.2 ± 13.6 | 791.3 |
| CA5N | 100.3 ± 5.0 | 1.11 ± 0.06 | 177.9 ± 7.0 | 0.36 ± 0.09 | 2.99 ± 0.10 | 31.9 ± 0.7 | 314.6 |
| CA10N | 144.3 ± 7.9 | 1.57 ± 0.09 | 165.7 ± 14.9 | 1.00 ± 0.15 | 4.52 ± 0.16 | 242.5 ± 8.5 | 559.6 |
| CA7R | 166.9 ± 13.0 | 1.79 ± 0.12 | 182.6 ± 11.4 | 1.76 ± 0.04 | 4.46 ± 0.22 | 413.5 ± 16.7 | 771.0 |
| CA7Y | 124.8 ± 18.1 | 1.04 ± 0.14 | 136.4 ± 14.7 | 1.15 ± 0.11 | 2.61 ± 0.11 | 458.5 ± 27.0 | 724.5 |
| CA10Y | 293.9 ± 26.1 | 1.57 ± 0.10 | 227.0 ± 12.8 | 1.67 ± 0.15 | 4.11 ± 0.31 | 425.7 ± 6.6 | 953.9 |
| CA10G | 54.7 ± 5.5 | 0.32 ± 0.08 | 46.7 ± 1.4 | 0.15 ± 0.01 | 0.87 ± 0.07 | 11.8 ± 0.8 | 114.5 |
| CA7B | 182.6 ± 13.8 | 1.26 ± 0.14 | 272.3 ± 15.1 | Tr | 2.76 ± 0.23 | 54.1 ± 3.3 | 513.0 |
| CA10B | 257.2 ± 14.8 | 0.71 ± 0.16 | 275.1 ± 13.2 | Tr | 6.52 ± 0.65 | 23.9 ± 0.9 | 563.4 |
Disclaimer/Publisher’s Note: The statements, opinions and data contained in all publications are solely those of the individual author(s) and contributor(s) and not of MDPI and/or the editor(s). MDPI and/or the editor(s) disclaim responsibility for any injury to people or property resulting from any ideas, methods, instructions or products referred to in the content. |
© 2024 by the authors. Licensee MDPI, Basel, Switzerland. This article is an open access article distributed under the terms and conditions of the Creative Commons Attribution (CC BY) license (https://creativecommons.org/licenses/by/4.0/).
Share and Cite
Galanty, A.; Prochownik, E.; Grudzińska, M.; Paśko, P. Chickpea Sprouts as a Potential Dietary Support in Different Prostate Disorders—A Preliminary In Vitro Study. Molecules 2024, 29, 1044. https://doi.org/10.3390/molecules29051044
Galanty A, Prochownik E, Grudzińska M, Paśko P. Chickpea Sprouts as a Potential Dietary Support in Different Prostate Disorders—A Preliminary In Vitro Study. Molecules. 2024; 29(5):1044. https://doi.org/10.3390/molecules29051044
Chicago/Turabian StyleGalanty, Agnieszka, Ewelina Prochownik, Marta Grudzińska, and Paweł Paśko. 2024. "Chickpea Sprouts as a Potential Dietary Support in Different Prostate Disorders—A Preliminary In Vitro Study" Molecules 29, no. 5: 1044. https://doi.org/10.3390/molecules29051044
APA StyleGalanty, A., Prochownik, E., Grudzińska, M., & Paśko, P. (2024). Chickpea Sprouts as a Potential Dietary Support in Different Prostate Disorders—A Preliminary In Vitro Study. Molecules, 29(5), 1044. https://doi.org/10.3390/molecules29051044

