Effect of Additives on CO2 Adsorption of Polyethylene Polyamine-Loaded MCM-41
Abstract
1. Introduction
2. Results and Discussion
2.1. Characterization
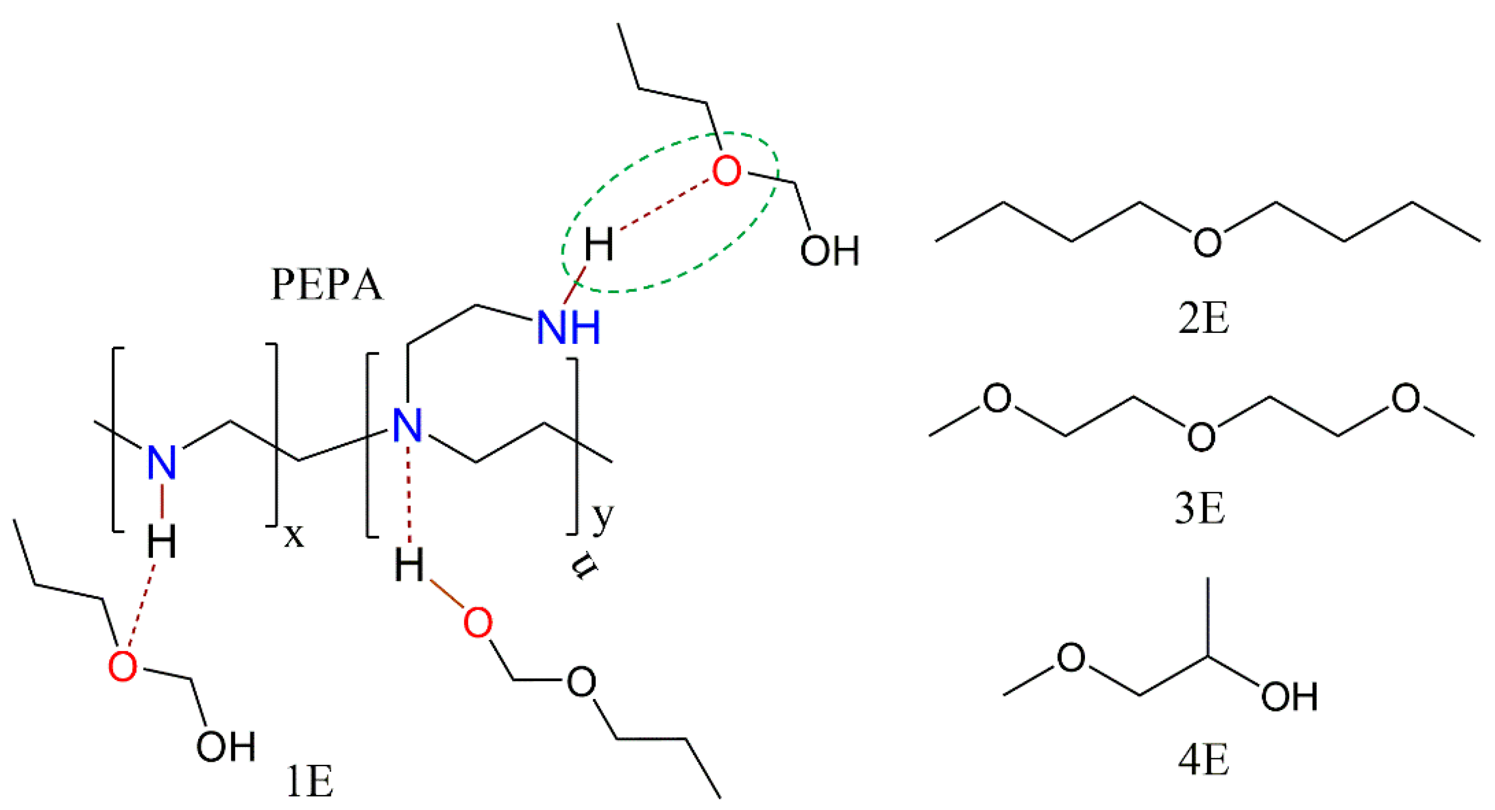
2.2. The Effect of Additives on Adsorption and Amine Efficiency
2.3. The Effect of Adsorption Temperature
2.4. The Effect of Influent Velocity
2.5. The Adsorption Kinetics of MCM-41-P40%-1E10%
2.6. Regeneration
3. Materials and Methods
3.1. Materials
3.2. Preparation of Coimpregnated Sorbents
3.3. Characterization
3.4. Adsorption and Regeneration
4. Conclusions
Supplementary Materials
Author Contributions
Funding
Institutional Review Board Statement
Informed Consent Statement
Data Availability Statement
Conflicts of Interest
References
- Samanta, A.; Zhao, A.; Shimizu, G.K.H.; Sarkar, P.; Gupta, R. Post-combustion CO2 capture using solid sorbents: A review. Ind. Eng. Chem. Res. 2012, 51, 1438–1463. [Google Scholar] [CrossRef]
- Rafigh, S.M.; Heydarinasab, A. Mesoporous chitosan-SiO2 nanoparticles: Synthesis, characterization, and CO2 adsorption capacity. ACS Sustain. Chem. Eng. 2017, 5, 10379–10386. [Google Scholar] [CrossRef]
- Liu, F.; Fu, W.; Chen, S. Synthesis, CO2 characterization and adsorption performance of a thermosensitive solid amine adsorbent. J. CO2 Util. 2019, 31, 98–105. [Google Scholar] [CrossRef]
- Bui, M.; Adjiman, C.S.; Bardow, A.; Anthony, E.J.; Boston, A.; Brown, S. Carbon capture and storage (CCS): The way forward. Energy Environ. Sci. 2018, 11, 1062–1176. [Google Scholar] [CrossRef]
- Mafra, L.; Čendak, T.; Schneider, S.; Wiper, P.V.; Pires, J.; Gomes, J.R.B.; Pinto, M.L. Amine functionalized porous silica for CO2/CH4 separation by adsorption: Which amine and why. Chem. Eng. J. 2018, 336, 612–621. [Google Scholar] [CrossRef]
- Lashaki, M.J.; Khiavib, S.; Sayari, A. Stability of amine-functionalized CO2 adsorbents: A multifaceted puzzle. Chem. Soc. Rev. 2019, 48, 3320–3405. [Google Scholar] [CrossRef] [PubMed]
- Zhang, H.; Yang, L.-M.; Ganz, E. Adsorption properties and microscopic mechanism of CO2 capture in 1,1-dimethyl-1,2-ethylenediamine-grafted metal-organic frameworks. ACS Appl. Mater. Interfaces 2020, 12, 18533–18540. [Google Scholar] [CrossRef] [PubMed]
- Liu, L.; Jin, S.; Ko, K.; Kim, H.; Ahn, I.-S.; Lee, C.-H. Alkyl-functionalization of (3-Aminopropyl) triethoxysilane-grafted zeolite beta for carbon dioxide capture in temperature swing adsorption. Chem. Eng. J. 2020, 382, 122834–122841. [Google Scholar] [CrossRef]
- Kishor, R.; Ghoshal, A.K. Aqueous aminosilane solutiongraftedthree dimensional mesoporous silica for CO2/N2 separation. Microporous Mesoporous Mater. 2017, 246, 137–146. [Google Scholar] [CrossRef]
- Pirzadeh, K.; Ghoreyshi, A.A.; Rohani, S.; Rahimnejad, M. Strong influence of amine graftingon MIL-101 (Cr) metal-organic framework with exceptional CO2/N2 selectivity. Ind. Eng. Chem. Res. 2020, 59, 366–378. [Google Scholar] [CrossRef]
- Nkinahamira, F.; Su, T.; Xie, Y.; Ma, G.; Wang, H.; Li, J. High pressure adsorption of CO2 on MCM-41 grafted with quaternary ammonium ionic liquids. Chem. Eng. J. 2017, 326, 831–838. [Google Scholar] [CrossRef]
- Zhao, Y.; Zhu, Y.; Zhu, T.; Lin, G.; Shao, M.; Hong, W.; Hou, S. Polyethylenimine-based solid sorbents for CO2 adsorption: Performance and secondary porosity. Ind. Eng. Chem. Res. 2019, 58, 156–164. [Google Scholar] [CrossRef]
- Zheng, W.-T.; Huang, K.; Dai, S. Solvothermal and template-free synthesis of N-Functionalized mesoporous polymer for amine impregnation and CO2 adsorption. Microporous Mesoporous Mater. 2019, 290, 109653–109659. [Google Scholar] [CrossRef]
- Peng, H.-L.; Zhang, J.-B.; Zhang, J.-Y.; Zhong, F.-Y.; Wu, P.-K.; Huang, K.; Fan, J.-P.; Liu, F. Chitosan-derived mesoporous carbon with ultra high pore volume for amine impregnation and highly efficient CO2 capture. Chem. Eng. J. 2019, 359, 1159–1165. [Google Scholar] [CrossRef]
- Heo, Y.-J.; Seong, D.B.; Park, S.-J. Synthesis of polyethylenimine-impregnated titanate nanotubes for CO2 capture: Influence of porosity and nitrogen content on amine-modified adsorbents. J. CO2 Util. 2019, 34, 472–478. [Google Scholar] [CrossRef]
- Lai, Q.; Diao, Z.; Kong, L.; Adidharma, H.; Fan, M. Amine-impregnated silicic acid composite as an efficient adsorbent for CO2 capture. Appl. Energy 2018, 223, 293–301. [Google Scholar] [CrossRef]
- Yin, F.; Zhuang, L.; Luo, X.; Chen, S. Simple synthesis of nitrogen-rich polymer network and its further amination with PEI for CO2 adsorption. Appl. Surf. Sci. 2018, 434, 514–521. [Google Scholar] [CrossRef]
- Meng, Y.; Jiang, J.; Gao, Y.; Aihemaiti, A.; Ju, T.; Xu, Y.; Liu, N. Biogas upgrading to methane: Application of a regenerable polyethyleneimine-impregnated polymeric resin (NKA-9) via CO2 sorption. Chem. Eng. J. 2019, 359, 294–303. [Google Scholar] [CrossRef]
- Li, X.; Ding, Y.; Guo, L.; Liao, Q.; Zhu, X.; Wang, H. Non-aqueous energy-efficient absorbents for CO2 capture based on porous silica nanospheres impregnated with amine. Energy 2019, 171, 109–119. [Google Scholar] [CrossRef]
- Shen, Z.; Cai, Q.; Yin, C.; Xia, Q.; Cheng, J.; Li, X.; Wang, Y. Facile synthesis of silica nanosheets with hierarchical pore structure and their amine-functionalized composite for enhanced CO2 capture. Chem. Eng. Sci. 2020, 217, 115528–115533. [Google Scholar] [CrossRef]
- Chen, C.; Bhattacharjee, S. Trimodal nanoporous silica as a support for amine-based CO2 adsorbents: Improvement in adsorption capacity and kinetics. Appl. Surf. Sci. 2017, 396, 1515–1519. [Google Scholar] [CrossRef]
- Sim, K.; Lee, N.; Kim, J.; Cho, E.-B.; Gunathilake, C.; Jaroniec, M. CO2 adsorption on amine-functionalized periodic mesoporous benzenesilicas. ACS Appl. Mater. Interfaces 2015, 7, 6792–6802. [Google Scholar] [CrossRef] [PubMed]
- Martínez, F.; Sanz, R.; Orcajo, G.; Briones, D.; Yángüez, V. Amino-impregnated MOF materials for CO2 capture at post-combustion conditions. Chem. Eng. Sci. 2016, 142, 55–61. [Google Scholar] [CrossRef]
- Zhou, C.; He, K.; Lv, W.; Chen, Y.; Tang, S.; Liu, C.; Yue, H.; Liang, B. Energy and economic analysis for post-combustion CO2 capture using amine-functionalized adsorbents in a temperature vacuum swing process. Energy Fuel 2019, 33, 1774–1784. [Google Scholar] [CrossRef]
- Zhao, P.; Zhang, G.; Hao, L. A novel blended amine functionalized porous silica adsorbent for carbon dioxide capture. Adsorption 2020, 26, 749–764. [Google Scholar] [CrossRef]
- Mafra, L.; Čendak, T.; Schneider, S.; Wiper, P.V.; Pires, J.; Gomes, J.R.B.; Pinto, M.L. Structure of chemisorbed CO2 species in amine-functionalized mesoporous silicas studied by solid-state NMR and computer modeling. J. Am. Chem. Soc. 2017, 139, 389–408. [Google Scholar] [CrossRef] [PubMed]
- Zhang, H.; Goeppert, A.; Kar, S.; Prakash, G.K.S. Structural parameters to consider in selecting silica supports for polyethylenimine based CO2 solid adsorbents, Importance of pore size. J. CO2 Util. 2018, 26, 246–253. [Google Scholar] [CrossRef]
- Bai, G.; Han, Y.; Du, P.; Fei, Z.; Chen, X.; Zhang, Z.; Tang, J.; Cui, M.; Liu, Q.; Qiao, X. Polyethylenimine (PEI)-impregnated resin adsorbent with high efficiency and capacity for CO2 capture from flue gas. New J. Chem. 2019, 43, 18345–18354. [Google Scholar] [CrossRef]
- Kwon, H.T.; Sakwa-Novak, M.A.; Pang, S.H.; Sujan, A.R.; Ping, E.W.; Jones, C.W. Aminopolymer-impregnated hierarchical silica structures: Unexpected equivalent CO2 uptake under simulated air capture and flue gas capture conditions. Chem. Mater. 2019, 31, 5229–5237. [Google Scholar] [CrossRef]
- Sanz, R.; Calleja, G.; Arencibia, A.; Sanz-Pérez, E.S. CO2 capture with pore-expanded MCM-41 silica modified with amino groups by double functionalization. Microporous Mesoporous Mater. 2015, 209, 165–171. [Google Scholar] [CrossRef]
- Zhang, G.; Zhao, P.; Hao, L.; Xu, Y.; Cheng, H. A novel amine double functionalized adsorbent for carbon dioxide capture using original mesoporous silica molecular sieves as support. Sep. Purif. Technol. 2019, 209, 516–527. [Google Scholar] [CrossRef]
- Wang, X.; Chen, L.; Guo, Q. Development of hybrid amine-functionalized MCM-41 sorbents for CO2 capture. Chem. Eng. J. 2015, 260, 573–581. [Google Scholar] [CrossRef]
- Wang, X.; Zeng, W.; Song, M.; Wang, F.; Hu, X.; Guo, Q.; Liu, Y. Polyetheramine improves the CO2 adsorption behavior of tetraethylenepentamine-functionalized sorbents. Chem. Eng. J. 2019, 364, 475–484. [Google Scholar] [CrossRef]
- Jung, H.; Jeon, S.; Jo, D.H.; Huh, J.; Kim, S.H. Effect of crosslinking on the CO2 adsorption of polyethyleneimine-impregnated sorbents. Chem. Eng. J. 2017, 307, 836–844. [Google Scholar] [CrossRef]
- Wang, X.; Zeng, W.; Zhang, H.; Li, D.; Tian, H.; Hu, X.; Wu, Q.; Xin, C.; Cao, X.; Liu, W. The dynamic CO2 adsorption of polyethylenepolyamine-loaded MCM-41 before and after methoxypolyethylene glycol codispersion. RSC Adv. 2019, 9, 27050–27059. [Google Scholar] [CrossRef] [PubMed]
- Yue, M.B.; Sun, L.B.; Cao, Y.; Wang, Z.J.; Wang, Y.; Yu, Q.; Zhu, J.H. Promoting the CO2 adsorption in the amine-containing SBA-15 by hydroxyl group. Microporous Mesoporous Mater. 2008, 114, 74–81. [Google Scholar] [CrossRef]
- Chang, J.; Hou, C.; Wan, D.; Zhang, X.; Xu, B.; Tian, H.; Wang, X.; Guo, Q. Enhanced CO2 adsorption capacity of bi-amine co-tethered flue gas desulfurization gypsum with water of hydration. J. CO2 Util. 2020, 35, 115–125. [Google Scholar] [CrossRef]
- Socrates, G. Infrared and Raman Characteristic Group Frequencies, 3rd ed.; John Wiley & Sons: Chichester, UK, 2001. [Google Scholar]
- Wang, Y.; Guo, T.; Hu, X.; Hao, J.; Guo, Q. Mechanism and kinetics of CO2 adsorption for TEPA-impregnated hierarchical mesoporous carbon in the presence of water vapor. Powder Technol. 2020, 368, 227–236. [Google Scholar] [CrossRef]
- Serna-Guerrero, R.; Sayari, A. Modeling adsorption of CO2 on amine-functionalized mesoporous silica. 2: Kinetics and breakthrough curves. Chem. Eng. J. 2010, 161, 182–190. [Google Scholar] [CrossRef]











| Sample | Vt (cm3/g) | SBET (m2/g) | Pore Size (nm) |
|---|---|---|---|
| MCM-41 | 0.98 | 1078.15 | 3.08 |
| MCM-41-P40% | 0.24 | 405.19 | 3.42 |
| MCM-41-P40%-1E10% | 0.14 | 209.08 | 2.77 |
| MCM-41-P40%-1E15% | 0.12 | 165.53 | 3.86 |
| Sample | N (%) | C (%) | H (%) |
|---|---|---|---|
| MCM-41-P40% | 10.54 | 18.5 | 5.369 |
| MCM-41-P40%-1E10% | 11.195 | 20.125 | 5.253 |
| MCM-41-P40%-1E15% | 11.355 | 20.555 | 5.22 |
| Sorbent | Equilibrium Adsorption Capacity (mmol/g) | Adsorption Condition | Reference |
|---|---|---|---|
| APTES/zeolite | 1.44 | 90 °C, 15% CO2 | [8] |
| MCM-41-PEPA40%-MPEG10% | 2.22 | 60 °C, 15% CO2 | [35] |
| HMC-30TEPA | 1.67 | 60 °C, 15% CO2 + 15% H2O | [39] |
| MCM-41-P40%-1E10% | 2.16 | 60 °C, 15% CO2 | This work |
| Kinetic Model | Parameter | 60 °C |
|---|---|---|
| Pseudo-first-order | (mmol/g) | 2.09 |
| (1/min)) | 0.1466 | |
| R2 | 0.9776 | |
| Pseudo-second-order | (mmol/g) | 2.98 |
| (g/mmol min) | 0.0380 | |
| R2 | 0.9685 | |
| Avrami | (mmol/g) | 1.84 |
| (1/min) | 0.1821 | |
| 1.58 | ||
| R2 | 0.9956 |
Disclaimer/Publisher’s Note: The statements, opinions and data contained in all publications are solely those of the individual author(s) and contributor(s) and not of MDPI and/or the editor(s). MDPI and/or the editor(s) disclaim responsibility for any injury to people or property resulting from any ideas, methods, instructions or products referred to in the content. |
© 2024 by the authors. Licensee MDPI, Basel, Switzerland. This article is an open access article distributed under the terms and conditions of the Creative Commons Attribution (CC BY) license (https://creativecommons.org/licenses/by/4.0/).
Share and Cite
Wang, X.; Zeng, W.; Hu, P.; Liu, S.; Lin, Y.; He, Z.; Xin, C.; Kong, X.; Xu, J. Effect of Additives on CO2 Adsorption of Polyethylene Polyamine-Loaded MCM-41. Molecules 2024, 29, 1006. https://doi.org/10.3390/molecules29051006
Wang X, Zeng W, Hu P, Liu S, Lin Y, He Z, Xin C, Kong X, Xu J. Effect of Additives on CO2 Adsorption of Polyethylene Polyamine-Loaded MCM-41. Molecules. 2024; 29(5):1006. https://doi.org/10.3390/molecules29051006
Chicago/Turabian StyleWang, Xia, Wulan Zeng, Peidan Hu, Shengxin Liu, Yuechao Lin, Zhaowen He, Chunling Xin, Xiangjun Kong, and Jinghan Xu. 2024. "Effect of Additives on CO2 Adsorption of Polyethylene Polyamine-Loaded MCM-41" Molecules 29, no. 5: 1006. https://doi.org/10.3390/molecules29051006
APA StyleWang, X., Zeng, W., Hu, P., Liu, S., Lin, Y., He, Z., Xin, C., Kong, X., & Xu, J. (2024). Effect of Additives on CO2 Adsorption of Polyethylene Polyamine-Loaded MCM-41. Molecules, 29(5), 1006. https://doi.org/10.3390/molecules29051006

