Next Article in Journal
Extraction of High Value Products from Zingiber officinale Roscoe (Ginger) and Utilization of Residual Biomass
Previous Article in Journal
Elemental Fingerprinting of Pecorino Romano and Pecorino Sardo PDO: Characterization, Authentication and Nutritional Value
Previous Article in Special Issue
Hydrothermal Liquefaction: How the Holistic Approach by Nature Will Help Solve the Environmental Conundrum
 
 
Due to scheduled maintenance work on our servers, there may be short service disruptions on this website between 11:00 and 12:00 CEST on March 28th.
Font Type:
Arial Georgia Verdana
Font Size:
Aa Aa Aa
Line Spacing:
Column Width:
Background:
Article

CO2-Driven N-Formylation/N-Methylation of Amines Using C-Scorpionate Metal Complexes

by
Inês A. S. Matias
1,
Anna M. Trzeciak
2,*,
Paulina Pąchalska
2,
Ana P. C. Ribeiro
1 and
Luísa M. D. R. S. Martins
1,*
1
Centro de Química Estrutural, Institute of Molecular Sciences, Departamento de Engenahria Química, Instituto Superior Técnico, Universidade de Lisboa, 1049-001 Lisbon, Portugal
2
Faculty of Chemistry, University of Wrocław, 14 F. Joliot-Curie, 50-383 Wrocław, Poland
*
Authors to whom correspondence should be addressed.
Molecules 2024, 29(4), 870; https://doi.org/10.3390/molecules29040870
Submission received: 31 December 2023 / Revised: 4 February 2024 / Accepted: 13 February 2024 / Published: 16 February 2024
(This article belongs to the Special Issue Green Chemistry in Portugal)

Abstract

C-scorpionate metal complexes, specifically, [NiCl2(tpm)]·3H2O, [CoCl2(tpm)]·3H2O and [PdCl2(tpm)] [tpm = hydrotris(1H-pyrazol-1-yl)methane], were effective in the N-formylation and N-methylation of amines using carbon dioxide, as carbon source, in the presence of sodium borohydride. Various parameters were studied, including reaction time, temperature, solvent volume, presence of additives, and catalyst amount. These parameters were found to have a significant impact on the selectivity of the product. [NiCl2(tpm)]·3H2O exhibited good conversion at 80 °C, but its selectivity towards formamide decreased with prolonged reaction time. Increasing the amount of [NiCl2(tpm)]·3H2O, the selectivity changed. [PdCl2(tpm)] showed different selectivity compared to [NiCl2(tpm)]·3H2O, while [CoCl2(tpm)]·3H2O presented poor results. Monitoring the reaction course by 1H NMR revealed the presence of an intermediate species that influenced product formation. These results highlight the versatility and catalytic potential of C-scorpionate metal complexes in the N-formylation/N-methylation of amines in the catalytic system (NaBH4/MeCN/CO2).

1. Introduction

Nowadays, society is confronted with one of the most challenging problems of all, the mitigation of greenhouse gases. The main cause of global warming and ocean acidification is anthropogenic emissions of carbon dioxide released from industries. Consequently, research on carbon dioxide fixation has become one of the most appealing topics for both academia and industry [1]. In fact, CO2-based chemicals can reduce the impacts of global warming and fossil depletion through the replacement of traditional petrochemical feedstock processes.
In this work, our focus was on the functionalization of N-methylaniline using carbon dioxide as a greener and more sustainable carbon source to obtain N,N-dimethylaniline and N-methyl-N-phenylformamide (see the general reaction in Scheme 1). These compounds have numerous applications, including dyes, drug components, fragrances, and feedstock for agrochemical production, among others [2,3,4]. Thus, the proposed route, if successful, would consist of an important improvement on the sustainability of the fabrication processes of the above industrial products, while contributing to mitigate the CO2 greenhouse effects.
However, the functionalization of N-methylaniline process can be demanding due to the high stability of carbon dioxide as a molecule. To form the characteristic C-N bond found in the desired products, a reducing agent such as hydrosilane, borane, or H2 is required [5,6,7].
The selectivity of the reaction has also been a significant concern; for example, in 2020, Zhao et al. presented a selective N-methylation of N-methylaniline with carbon dioxide and H2 over a TiO2-supported PdZn catalyst. The authors achieved a selectivity of 98.4 for N,N-dimethylaniline, however, with only 15.6% conversion of N-methylaniline, using drastic conditions: 1.5 MPa of CO2, 4.5 MPa of H2, n-octane as solvent at 180 °C [8].
In 2013, Beller et al. reported a selective ruthenium-catalyzed methylation of amines with carbon dioxide and hydrogen, in which a very good yield of 96% of N,N-dimethylaniline and 4% of N-methylaniline were obtained. However, the reaction conditions used in this study (20 atm carbon dioxide, 60 atm of hydrogen, 1.5 mol% of methanesulfonic acid in THF at 140 °C) are too aggressive [9]. Thus, the development of new catalytic systems is important to achieve better selectivity under milder reaction conditions.
Various catalytic systems have been tested for the functionalization of N-methylaniline reaction, including organocatalysts involving superbases (such as N-heterocyclic carbenes, B(C6F5)3, or ionic liquids) [10,11,12,13], as well as metal catalysts such as Ru, Pd, Cu, Rh, and others [14,15,16,17]. Comparing the different catalytic systems, organocatalysts have shown moderate activity, while metal complexes have demonstrated remarkable activity. However, it is important to note that most of these catalytic systems [10,11,12,13,14,15,16,17] require high temperature and pressure (using hydrogen as the reductant) and have low atom economy (using hydrosilanes as reductants).
Additionally, metal-free or catalyst-free examples of N-formylation and N-methylation of amines with carbon dioxide have been achieved by using boron compounds as reducing agents [18,19,20,21]. Unlike hydrosilanes, metal borohydrides are less expensive reductants that can react with carbon dioxide to form formate borohydride species. However, as reported by You-Ting Wu et al. in 2017, who developed a catalyst free N-formylation of amines using CO2 and NH3BH3, the reaction does not selectively yield methylated derivatives [22].
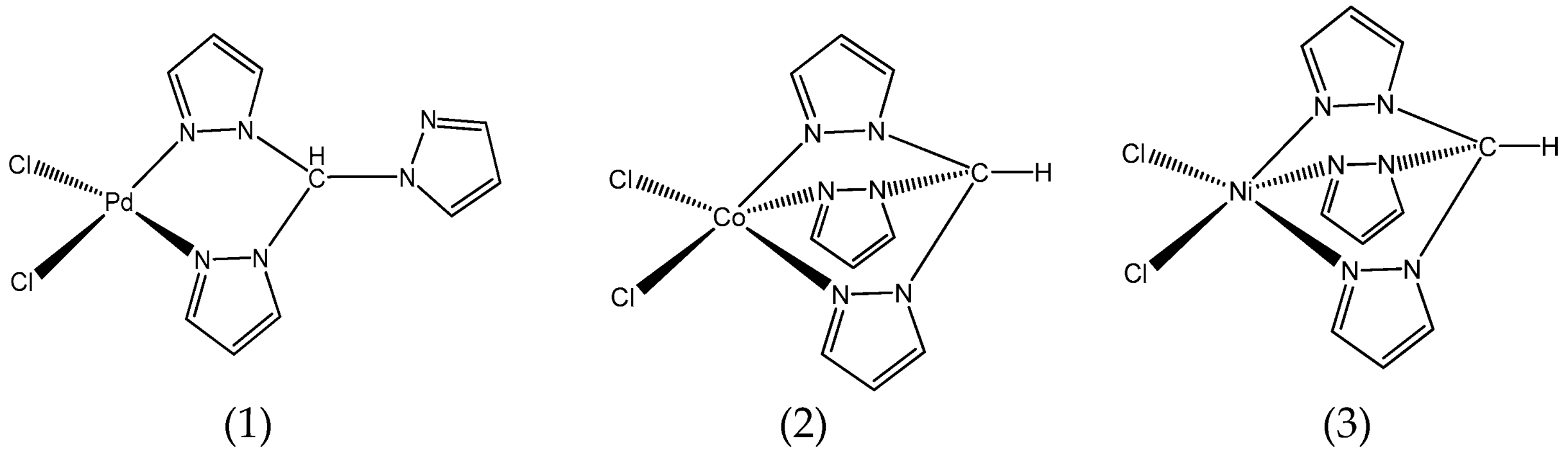
Inspired by this, we have decided to explore the catalytic activity of three different metal complexes bearing the simplest C-scorpionate ligand (tpm, Figure 1), [NiCl2(tpm)]·3H2O, [CoCl2(tpm)]·3H2O and [PdCl2(tpm)] [tpm = hydrotris(1H-pyrazol-1-yl)methane], in the N-formylation and N-methylation of amines with carbon dioxide, using sodium borohydride (NaBH4) as a reducing agent, under mild reaction conditions, and employing a less toxic solvent such as acetonitrile instead of 1,4-dioxane [23].
C-scorpionates are poly(1H-pyrazol-1-yl)methane pro-ligands that consist of two or more N-deprotonated pyrazole rings (pyrazolyl, pz) bounded to a carbon atom by one of the nitrogen atoms presented in the ring. The designation “scorpionate” is due to the ligand structure and binding mode to a metal center to form a coordination compound; that is, the nitrogen heteroatoms of the pyrazolyl rings are able to occupy two (κ2-coordination mode) or three (κ3-coordination mode) facially adjacent vacant positions of the coordination sphere of a metal center.
C-homoscorpionate (bearing three pyrazolyl moieties) tris(1H-pyrazol-1-yl)methane [RC(R’pz)3 (pz = pyrazolyl; R = H or substituent at the methine carbon; R’ = H or substituent at the pz ring], metal complexes were successfully applied as catalysts in different types of reactions, for example, (i) oxidations[24] (alkane, alkene, alcohol or ketone), (ii) hydrocarboxylations of alkanes to carboxylic acids [25], and (iii) catalytic hydrogenation of carbon dioxide into methanol [26], but they have never been tested in the N-formylation and N-methylation of amines with carbon dioxide.
It is also important to mention that, to our knowledge, no examples of this catalytic system (NaBH4/MeCN/CO2) using homogeneous metal complexes have been found in the literature. Thus, this work addresses the contribution of transition metal complexes bearing homoscorpionate tris(1H-pyrazol-1-yl)methane type ligands in the design of catalytic innovative processes for industrially significant reactions aiming at the development of eco-benign and clean synthetic methodologies.

2. Results and Discussion

The synthesis of the C-scorpionate metal complexes used in this study is presented in Scheme 2.
The structures of the above C-scorpionate complexes (1) to (3) were proposed based on their structural characterization by different techniques such as FTIR and elemental analysis. Additionally, in the case of the palladium C-scorpionate complex (1), it was also characterized by single crystal X-ray and, once it is a diamagnetic compound, nuclear magnetic resonance spectroscopy.
The palladium C-scorpionate complex (1) exhibits a κ2-coordination mode, where the nitrogen heteroatoms of the pyrazolyl rings are able to occupy two facially adjacent vacant positions of the coordination sphere of the palladium metal center. However, in the case of the other two C-scorpionate metal complexes, cobalt (2) and nickel (3), the κ3-coordination mode of the pyrazolyl rings to the metal center was the preferred.
The catalytic performance of C-scorpionate metal complexes (1)–(3) was evaluated for the formylation and methylation of N-methylaniline (1a) with carbon dioxide and sodium borohydride (Scheme 3).
During our investigation into the conversion of carbon dioxide, we verified that both N,N-dimethylaniline (2a) and N-methyl-N-phenylformamide (3a) can be simultaneously obtained when NaBH4 is used as the reducing agent.
Initial experiments revealed that the use of acetonitrile as solvent yielded better results compared to 1,4-dioxane in terms of substrate conversion and the reductant-to-substrate ratio. This finding prompted us to focus on enhancing the selectivity of the reaction.
Various parameters were explored, as outlined in Table 1 and Table 2, including the reaction time, temperature, solvent volume, presence of additives, and catalyst amount. These parameters were found to have a significant impact on the selectivity of the product.
Interestingly, we observed that N-methylaniline can be efficiently converted to N,N-dimethylaniline and N-methyl-N-phenylformamide under mild reaction conditions, utilizing 5 bar of carbon dioxide and temperatures ranging from 30 to 80 °C.
Different experiments without the use of catalysts or using additives such us triethylamine (Et3N) and potassium carbonate (K2CO3) (entries 1–6, Table 1) were run and, confirming what is reported in the literature, the conversion of N-methylaniline occurs. Contrasting the results obtained by using additives (entries 1 and 2, illustrated in Table 1) with the “blank” experiment (entry 3, Table 1), this indicates that the presence of additives tends to lead to less favorable outcomes, resulting in lower conversions. This observation highlights the potential negative effect of additives in the context of this specific reaction. Furthermore, a direct comparison between the utilization of Et3N and K2CO3 affords a valuable insight into their relative efficacy. This suggests that K2CO3 is more advantageous in terms of promoting higher conversions compared to Et3N.
Additionally, when the reaction time was reduced in the blank experiments (entries 3 and 4, Table 1), both the conversion and the selectivity towards 3a decreased (Figure 2).
Nevertheless, it is important to acknowledge that the selectivity achieved in the abovementioned experiments was poor, and considering this, we have decided to test the potential of C-scorpionate metal complexes as catalysts, with the objective of enhancing the selectivity of the reaction (entries 7–14, Table 1).
In our initial experiments conducted at 30 °C for a 4 h reaction time, using 0.5 mL of acetonitrile, we observed a relatively lower conversion of the substrate. The highest conversion achieved was 33.3% with a ratio of 2a/3a of 0.48/0.52, using 1 mol% of [NiCl2(tpm)]·3H2O as the catalyst (entry 8, Table 1). Building upon these initial results with [NiCl2(tpm)]·3H2O, we decided to maintain the same reaction conditions but increase the temperature to 80 °C (Figure 3).
Interestingly, at 80 °C, we observed a significantly improved conversion of 85.6% with a ratio of 2a/3a of 0.32/0.68 (entry 10, Table 1). Encouraged by these findings, we further extended the reaction time from 4 to 24 h, keeping the temperature at 80 °C. The conversion increased even further, reaching 97.6%. However, the selectivity towards formamide decreased, and the ratio of 2a/3a became 0.47/0.53 (entry 13, Table 1).
These results indicate that the selectivity of the reaction towards formamide favors higher temperatures for shorter reaction times. Although a longer reaction time leads to increased conversion, it also reduces the selectivity towards N-methyl-N-phenylformamide (compare entries 10 and 13, Table 1). Therefore, optimizing the reaction conditions requires a careful balance between conversion and selectivity. Also, the amount of solvent was investigated (Figure 4), revealing that higher volumes of acetonitrile promote a good conversion of the substrate 81.6% keeping a ratio 2a/3a of 0.29/0.71 (entry 14, Table 1).
Hence, considering these initial studies, we have decided to continue to investigate the selectivity of this reaction by increasing the amount of catalyst from 1 to 5 mol% (Table 2).
It is indeed interesting to note the effects of changing the catalyst loading and reaction conditions on the selectivity of the reaction. When using [NiCl2(tpm)]·3H2O as the catalyst and optimizing the conditions (4 h, 80 °C, 2 mL of acetonitrile), increasing the catalyst loading from 1 to 5 mol% resulted in a decrease in substrate conversion (entry 3, Table 2). However, there was a significant increase in selectivity towards N,N-dimethylaniline, with a ratio of 2a/3a of 0.98/0.02. Lowering the temperature to 30 °C led to a decrease in substrate conversion, as expected, and a corresponding decrease in the ratio of 2a/3a to 0.69/0.31 (entry 6, Table 2).
In the case of the palladium scorpionate complex, using 5 mol% of [PdCl2(tpm)] under optimal conditions resulted in a conversion of 78.7% with a ratio of 2a/3a of 0.29/0.71, indicating a different selectivity profile compared to the [NiCl2(tpm)]·3H2O catalyst. However, when [CoCl2(tpm)]·3H2O was used as the catalyst under the optimal conditions, both the conversion of N-methylaniline and the selectivity of the reaction were poor (Figure 5). Therefore, in terms of achieving better selectivity, the best catalyst is [NiCl2(tpm)]·3H2O.
To gain further insights into the reaction progress and selectivity, we monitored the reaction course by 1H NMR. Various reaction times ranging from 10 min to 24 h were studied under the found optimal conditions (5 mol% [NiCl2(tpm)]·3H2O, 80 °C, and 0.5 mL CD3CN). Based on the obtained spectra, we observed that the product 3a appeared with higher intensity as early as 10 min reaction, while the peak corresponding to the substrate started to decrease around 30 min of reaction time, indicating the formation of product 2a.
These observations from the 1H NMR analysis provide valuable information about the reaction kinetics and the order of product formation, shedding light on the selectivity trends observed under different conditions and reaction times (Figure 6).
Performing a control experiment to investigate the nature of the observed intermediate species was the next approach. Dividing the reaction into two steps (Scheme 4) allowed the identification of the intermediate formed. A similar intermediate was observed in the non-catalyzed methylation/formylation of N-methylaniline and it was identified as an amine adduct of BH3 (1a-BH3) [21].
In the control experiment, the first step involved reacting the substrate with NaBH4 in the presence of [NiCl2(tpm)]·3H2O for 1 h at room temperature. This step likely generates the intermediate species. In the second step, carbon dioxide is added to the reaction mixture, and the reaction is allowed to continue for an additional hour.
This approach allows for a more detailed investigation of the reaction pathway and the role of each reactant in the formation and transformation of the intermediate species.
The observation that the peaks corresponding to the intermediate species disappear between 30 min to 1 h of reaction, coinciding with the appearance of peaks corresponding to product 2a, suggests that the intermediate species may play a role in promoting the formation of 2a. This indicates that the intermediate species might be involved in a reaction pathway leading to the desired product.
Furthermore, the presence of a singlet at 4.57 ppm, which corresponds to H2, is consistent with the use of sodium borohydride as a reducing agent, which can generate H2 during the reaction.
The peak at 8.05 ppm indicating the presence of formic acid (HCOOH) is interesting and could indicate a side reaction, promoted by the H2 formed in situ with the CO2, and its presence could contribute to the formation of byproducts, namely 3a (Scheme 5).
These observations from the NMR spectra provide valuable insights into the reaction mechanism and the involvement of different species during the course of the reaction. Further investigations and characterization of the intermediate species and the role of H2 and formic acid could help in understanding the reaction pathways and optimizing the selectivity of the desired product.
A substrate scope was performed, where aniline, piperidine and diphenylamine were tested, using the optimal conditions achieved before. The obtained yields are presented below, in Table 3.
As expected, the lower conversion obtained using diphenylamine as substrate can be explained by the presence of the bulky phenyl groups in the molecule, when compared to the other studied substrates, impairing the interaction with the C-scorpionate catalyst.

3. Materials and Methods

3.1. Materials

Sodium borohydride, amines, tetra-n-butylammonium bromide, pyrazole, sodium carbonate, chloroform, methanol, diethyl ether, cobalt(II) chloride hexahydrate, and nickel(II) chloride hexahydrate were obtained from Sigma-Aldrich and Merk and used without further purification or drying.

3.2. Synthesis of C-Scorpionate Metal Complexes

Hydrotris(1H-pyrazol-1-yl)methane, HC(pz)3 (pz = pyrazolyl), was synthesized according to the literature [27]. The synthetic method used was adapted from the one developed by Reger and co-workers (Scheme 6), and consisted by mixing, in a round-bottom flask, pyrazole (73 mmol), tetra-n-butylammonium bromide (3.64 mmol), and distilled water (73.5 mL). The reaction mixture was left under vigorous stirring, and an excess of sodium carbonate was gradually introduced to the flask with continuous stirring to enhance reaction efficiency. After cooling to room temperature, chloroform (36.75 mL) was added. The resulting mixture was left under reflux for 3 days.
After the reaction time was completed, the mixture cooled to room temperature, was filtrated to eliminate the base in excess, and diethyl ether and distilled water were added to the filtrate. After several extractions, the collected organic layer was washed with a saturated brine solution. Activated charcoal was applied to the organic layer, which was then dried over sodium sulfate. After filtration, the solvent was evaporated, and the resulting yellow solid was dried under vacuum.
[CoCl2(tpm)]·3H2O was synthesized by slowly adding a methanolic solution of hydrotris(1H-pyrazol-1-yl)methane (0.47 mmol) to a methanolic solution of cobalt(II) chloride hexahydrate (0.47 mmol). The mixture was stirred at room temperature for 24 h, resulting in a change in color from pink/red to salmon. The formed precipitate was subsequently collected and rinsed with diethyl ether and the obtained yield was 83%. Elemental analysis required for C10H16Cl2N6O3Co: C 30.17, H 4.05, N 21.11; found: C 30.82, H 3.60, N 21.53%. FAR-IR (CsI pellet) (cm−1): 215 sp and 245 sp [ט (Co-Cl)].
To obtain [NiCl2(tpm)]·3H2O, a similar procedure was employed. A solution of hydrotris(1H-pyrazol-1-yl)methane (0.47 mmol) in ethanol was dropwise added to an ethanolic solution of nickel(II) chloride hexahydrate (0.47 mmol). The reaction mixture was stirred at room temperature for 24 h, leading to a color transition from green to light blue. The resulting precipitate was collected and washed using diethyl ether. The obtained yield was 70%. Elemental analysis required for C10H16Cl2N6O3Ni: C 30.19, H 4.05, N 21.12; found: C 30.33, H 3.87, N 21.12%. FAR-IR (CsI pellet) (cm−1): 229 sp and 256 sp [ט (Ni-Cl)].
For the synthesis of [PdCl2(tpm)], a solution of hydrotris(1H-pyrazol-1-yl)methane (0.47 mmol) in acetonitrile was added dropwise to a solution of dichloro(1,5-cyclooctadiene) palladium (0.47 mmol) in acetonitrile. The mixture was stirred at room temperature for 24 h, causing the solution’s color shift from yellow to light orange. The resultant precipitate was washed using diethyl ether and the obtained yield was 65%. Elemental analysis required for C10H10Cl2N6Pd: C 30.67, H 2.57, N 21.46; found: C 30.50, H 2.41, N 20.21%. FAR-IR (CsI pellet) (cm−1): 332 sp and 349 sp [ט (Pd-Cl)].

3.3. N-Formylation and N-Methylation of Amines with CO2 and NaBH4, Catalyzed by C-Scorpionate Metal Complexes

The reaction was conducted in a 10 mL glass pressure reactor. Sodium borohydride (1.5 mmol), amine (1 mmol), solvent (0.5–2 mL), and catalyst (1–5 mol%) were added to the reactor in the desired quantities. Once prepared, the reactor was pressurized with carbon dioxide to a pressure of 5 bar.
The reactor was then heated with constant stirring at either 30 or 80 °C for a desired reaction time. After reaching the reaction time, the reactor was cooled down, and the organic products were extracted using 15 mL of ethyl acetate (3 × 5 mL extractions).
The extracted products were subsequently analyzed using GC-FID (Gas Chromatography-Flame Ionization Detector) and GC-MS (Gas Chromatography-Mass Spectrometry), using a Shimadzu QP2010SE instrument (Column: Zebron ZB-5ms (30 m; 0.25 mm) Phenomenex). Substrate conversion and product yields were calculated from the surface areas of the corresponding signals, assuming that the sum of the areas 1a + 2a + 3a = 100%. Moreover, nuclear magnetic resonance (NMR) spectroscopy analysis was performed on a Bruker 500 MHz spectrometer, utilizing CD3CN (at 1.94 ppm) as the deuterated solvent.

4. Conclusions

The present work explored the catalytic performance of three C-scorpionate tris(1H-pyrazol-1-yl)methane type metal complexes in the N-formylation and N-methylation of amines with carbon dioxide and sodium borohydride.
It was observed that N,N-dimethylaniline and N-methyl-N-phenylformamide can be simultaneously obtained under mild reaction conditions, using N-methylaniline as substrate. The nickel(II) C-scorpionate complex, [NiCl2(tpm)]·3H2O, acted as catalyst, showing promising results, with higher conversions achieved at higher temperatures. However, prolonged reaction times led to a decrease in selectivity towards N-methyl-N-phenylformamide. Increasing the amount of catalyst enhanced selectivity towards N,N-dimethylaniline.
Also, the catalytic efficiency of [PdCl2(tpm)] and [CoCl2(tpm)]·3H2O was evaluated. In the case of [PdCl2(tpm)], a good conversion and selectivity was observed, while the cobalt(II) complex, [CoCl2(tpm)]·3H2O, exhibited a poor performance.
The present reaction was monitored by 1H nuclear magnetic resonance, with the idea being to better understand how the selectivity of the reaction occurs. This study also revealed the presence of an intermediate species that influenced the formation of the N,N-dimethylaniline. Interestingly, peaks correspondent to hydrogen, consistent with the use of sodium borohydride, and formic acid, promoted by the hydrogen formed in situ with the carbon dioxide, would contribute to the formation of N-methyl-N-phenylformamide.
A substrate scope was performed, in which aniline, piperidine, and diphenylamine were tested, using the optimal conditions achieved. The lowest conversion was obtained using diphenylamine as substrate, which could be explained by the presence of bulky phenyl groups in the molecule, when compared to the other studied substrates.
The catalytic system (NaBH4/MeCN/CO2) studied using homogeneous metal complexes proved to be effective for the functionalization of amines using carbon dioxide as C1 chemicals source.

Author Contributions

Conceptualization, A.M.T. and L.M.D.R.S.M.; Investigation, I.A.S.M. and P.P.; Resources, A.M.T.; Writing—original draft, I.A.S.M.; Writing—review & editing, L.M.D.R.S.M.; Supervision, A.M.T., A.P.C.R. and L.M.D.R.S.M.; Funding acquisition, A.M.T. and L.M.D.R.S.M. All authors have read and agreed to the published version of the manuscript.

Funding

Centro de Química Estrutural is a research unit funded by FCT through projects UIDB/00100/2020 (https://doi.org/10.54499/UIDB/00100/2020) and UIDP/00100/2020 (https://doi.org/10.54499/UIDP/00100/2020). Institute of Molecular Sciences is an associate laboratory funded by FCT through project LA/P/0056/2020 (https://doi.org/10.54499/LA/P/0056/2020).

Institutional Review Board Statement

Not applicable.

Informed Consent Statement

Not applicable.

Data Availability Statement

The data presented in this study are available on request from the corresponding author.

Conflicts of Interest

The authors declare no conflicts of interest.

References

  1. Omodolor, I.S.; Otor, H.O.; Andonegui, J.A.; Allen, B.J.; Alba-Rubio, A.C. Dual-Function Materials for CO2 Capture and Conversion: A Review. Ind. Eng. Chem. Res. 2020, 59, 17612–17631. [Google Scholar] [CrossRef]
  2. Barreiro, C.J.; Kummerle, A.E.; Fraga, C.A.M. The methylation effect in medicinal chemistry. Chem. Rev. 2011, 111, 5215–5246. [Google Scholar] [CrossRef] [PubMed]
  3. Das, V.K.; Devi, R.R.; Raul, P.K.; Thakur, A.J. Nano rod-shaped and reusable basic AL2O3 catalyst for N-formylation of amines under solvent-free conditions: A novel, practical and convenient ‘NOSE’ APPROACH. Green Chem. 2012, 14, 847–854. [Google Scholar] [CrossRef]
  4. Fang, C.; Lu, C.; Liu, M.; Zhu, Y.; Fu, Y.; Lin, B.L. Selective formylation and methylation of amines using carbon dioxide and hydrodilane catalyzed by alkali-metal carbonates. ACS Catal. 2016, 6, 7876–7881. [Google Scholar] [CrossRef]
  5. Fernández-Alvarez, F.J.; Oro, L.A. Homogeneous Catalytic Reduction of CO2 with Silicon-Hydrides, State of the Art. ChemCatChem 2018, 10, 4783–4796. [Google Scholar] [CrossRef]
  6. Lam, R.H.; McQueen, C.M.; Pernik, I.; McBurney, R.T.; Hill, A.F.; Messerle, B.A. Selective formylation or methylation of amines using carbon dioxide catalysed by a rhodium perimidine-based NHC complex. Green Chem. 2019, 21, 538–549. [Google Scholar] [CrossRef]
  7. Saptal, V.B.; Juneja, G.; Bhanage, B.M. B(C6F5)3: A robust catalyst for the activation of CO2 and dimethylamine borane for the N-formylation reactions. New J. Chem. 2018, 42, 15847–15851. [Google Scholar] [CrossRef]
  8. Lin, W.; Cheng, H.; Wu, Q.; Zhang, C.; Arai, M.; Zhao, F. Selective N-methylation of N-methylaniline with CO2 and H2 over TiO2-supported PdZn catalyst. ACS Catal. 2020, 10, 3285–3296. [Google Scholar] [CrossRef]
  9. Li, Y.; Sorribes, I.; Yan, T.; Junge, K.; Beller, M. Selective methylation of amines with carbon dioxide and H2. Angew. Chem. Int. Ed. 2013, 52, 12156–12160. [Google Scholar] [CrossRef]
  10. Gomes, C.D.N.; Jacquet, O.; Villiers, C.; Thuéry, P.; Ephritikhine, M.; Cantat, T. A diagonal approach to chemical recycling of carbon dioxide: Organocatalytic transformation for the reductive functionalization of CO2. Angew. Chem. Int. Ed. 2011, 1, 187–190. [Google Scholar] [CrossRef]
  11. Bobbink, F.D.; Das, S.; Dyson, P.J. N-formylation and N-methylation of amines using metal-free N-heterocyclic carbene catalysts and CO2 as carbon source. Nat. Protoc. 2017, 12, 417–428. [Google Scholar] [CrossRef] [PubMed]
  12. Yang, Z.; Yu, B.; Zhang, H.; Zhao, Y.; Ji, G.; Ma, Z.; Gao, X.; Liu, Z. B(C6F5)3-catalyzed methylation of amines using CO2 as a C1 building block. Green Chem. 2015, 17, 4189–4193. [Google Scholar] [CrossRef]
  13. Hao, L.; Zhao, Y.; Yu, B.; Yang, Z.; Zhang, H.; Han, B.; Gao, X.; Liu, Z. Imidazolium-based ionic liquids catalyzed formylation of amines using carbon dioxide and phenylsilane at room temperature. ACS Catal. 2015, 5, 4989–4993. [Google Scholar] [CrossRef]
  14. Zhang, L.; Han, Z.; Zhao, X.; Wang, Z.; Ding, K. Highly efficient Ruthenium-catalyzed N-formylation of amines with H2 and CO2. Angew. Chem. Int. Ed. 2015, 54, 6186–6189. [Google Scholar] [CrossRef] [PubMed]
  15. Nguyen, T.V.; Yoo, W.J.; Kobayashi, S. Effective formylation of amines with carbon dioxide and diphenylsilane catalyzed by chelating bis (tzNHC) rhodium complexes. Angew. Chem. Int. Ed. 2015, 54, 9209–9212. [Google Scholar] [CrossRef] [PubMed]
  16. Cui, X.; Zhang, Y.; Deng, Y.; Shi, F. N-Methylation of amine and nitro compounds with CO2/H2 catalyzed by Pd/CuZrOx under mild reaction conditions. Chem. Commun. 2014, 50, 13521–13524. [Google Scholar] [CrossRef] [PubMed]
  17. Liu, H.; Mei, Q.; Xu, Q.; Song, J.; Liu, H.; Han, B. Synthesis of formamides containing unsaturated groups by N-formylation of amines using CO2 with H2. Green Chem. 2017, 19, 196–201. [Google Scholar] [CrossRef]
  18. Guo, Z.; Zhang, B.; Wei, X.; Xi, C. 1, 4-Dioxane-Tuned Catalyst-Free Methylation of Amines by CO2 and NaBH4. ChemSusChem 2018, 11, 2296–2299. [Google Scholar] [CrossRef]
  19. Niu, H.; Lu, L.; Shi, R.; Chiang, C.W.; Lei, A. Catalyst-free N-methylation of amines using CO2. Chem. Commun. 2017, 53, 1148–1151. [Google Scholar] [CrossRef]
  20. Zou, Q.; Long, G.; Zhao, T.; Hu, X. Catalyst-free selective N-formylation and N-methylation of amines using CO2 as a sustainable C1 source. Green Chem. 2020, 22, 1134–1138. [Google Scholar] [CrossRef]
  21. Pąchalska, P.; Skarżyńska, A.; Matias, I.A.S.; Trzeciak, A.M. Borohydride Ionic Liquids as Reductants of CO2 in the Selective N-formylation of Amines. ChemSusChem 2023, e202301120. [Google Scholar] [CrossRef]
  22. Zhao, T.X.; Zhai, G.W.; Liang, J.; Li, P.; Hu, X.B.; Wu, Y.T. Catalyst-free N-formylation of amines using BH3NH3 and CO2 under mild conditions. ChemComm 2017, 53, 8046–8049. [Google Scholar] [CrossRef]
  23. Prat, D.; Hayler, J.; Wells, A. A survey of solvent selection guides. Green Chem. 2014, 16, 4546–4551. [Google Scholar] [CrossRef]
  24. Martins, L.M.D.R.S.; Pombeiro, A.J.L. Tris(pyrazol-1-yl)methane metal complexes for catalytic mild oxidative functionalizations of alkanes, alkenes and ketones. Coord. Chem. Rev. 2014, 265, 74–88. [Google Scholar] [CrossRef]
  25. Matias, I.A.S.; Ribeiro, A.P.C.; Alegria, E.C.B.A.; Pombeiro, A.J.L.; Martins, L.M.D.R.S. C-scorpionate iron(II) complexes as highly selective catalysts for the hydrocarboxylation of cyclohexane. Inorg. Chim. Acta 2019, 489, 269–274. [Google Scholar] [CrossRef]
  26. Ribeiro, A.P.C.; Martins, L.M.D.R.S.; Pombeiro, A.J.L. Carbon dioxide-to-methanol single-pot conversion using a C-scorpionate iron(II) catalyst. Green Chem. 2017, 19, 4811–4815. [Google Scholar] [CrossRef]
  27. Reger, D.L.; Grattan, T.C.; Brown, K.J.; Little, C.A.; Lamba, J.J.; Rheingold, A.L.; Sommer, R.D. Syntheses of tris (pyrazolyl) methane ligands and {[tris (pyrazolyl) methane] Mn(CO)3} SO3CF3 complexes: Comparison of ligand donor properties. J. Organomet. Chem. 2000, 607, 120–128. [Google Scholar] [CrossRef]
Scheme 1. General reaction of N-formylation and N-methylation of amines with CO2.
Scheme 1. General reaction of N-formylation and N-methylation of amines with CO2.
Molecules 29 00870 sch001
Figure 1. C-scorpionate metal complexes synthesized and used in this work: (1) [PdCl2(tpm)]; (2) [CoCl2(tpm)]·3H2O; (3) [NiCl2(tpm)]·3H2O, [tpm = hydrotris(1H-pyrazol-1-yl)methane].
Figure 1. C-scorpionate metal complexes synthesized and used in this work: (1) [PdCl2(tpm)]; (2) [CoCl2(tpm)]·3H2O; (3) [NiCl2(tpm)]·3H2O, [tpm = hydrotris(1H-pyrazol-1-yl)methane].
Molecules 29 00870 g001
Scheme 2. Synthesis of the C-scorpionate metal complexes (1)–(3) used in this work.
Scheme 2. Synthesis of the C-scorpionate metal complexes (1)–(3) used in this work.
Molecules 29 00870 sch002
Scheme 3. N-formylation and N-methylation of N-methylaniline with CO2 and NaBH4, catalyzed by C-scorpionate metal complexes.
Scheme 3. N-formylation and N-methylation of N-methylaniline with CO2 and NaBH4, catalyzed by C-scorpionate metal complexes.
Molecules 29 00870 sch003
Figure 2. Influence of the reaction time in the conversion of 1a, with 1 mol% of [NiCl2(tpm)]·3H2O and without catalyst, using 0.5 mL of solvent at 30 °C.
Figure 2. Influence of the reaction time in the conversion of 1a, with 1 mol% of [NiCl2(tpm)]·3H2O and without catalyst, using 0.5 mL of solvent at 30 °C.
Molecules 29 00870 g002
Figure 3. Influence of the temperature in the conversion of 1a, for different amounts of [NiCl2(tpm)]·3H2O (1 mol% and 5 mol%), using 0.5 mL of solvent.
Figure 3. Influence of the temperature in the conversion of 1a, for different amounts of [NiCl2(tpm)]·3H2O (1 mol% and 5 mol%), using 0.5 mL of solvent.
Molecules 29 00870 g003
Figure 4. Influence of the volume of solvent in the conversion of 1a, at different temperatures (30 and 80 °C) for 1 mol% of [NiCl2(tpm)]·3H2O.
Figure 4. Influence of the volume of solvent in the conversion of 1a, at different temperatures (30 and 80 °C) for 1 mol% of [NiCl2(tpm)]·3H2O.
Molecules 29 00870 g004
Figure 5. Influence of the different C-scorpionate metal complexes in the conversion of 1a, for the optimal conditions found (4 h, 80 °C, 2 mL of acetonitrile).
Figure 5. Influence of the different C-scorpionate metal complexes in the conversion of 1a, for the optimal conditions found (4 h, 80 °C, 2 mL of acetonitrile).
Molecules 29 00870 g005
Figure 6. Comparison between all 1H NMR spectra and identification of the peaks correspondent to substrate, products, and intermediate species.
Figure 6. Comparison between all 1H NMR spectra and identification of the peaks correspondent to substrate, products, and intermediate species.
Molecules 29 00870 g006
Scheme 4. Two-step reaction performed to identify the intermediate species.
Scheme 4. Two-step reaction performed to identify the intermediate species.
Molecules 29 00870 sch004
Scheme 5. Possible scheme for the synthesis of 3a.
Scheme 5. Possible scheme for the synthesis of 3a.
Molecules 29 00870 sch005
Scheme 6. Synthesis of hydrotris(pyrazol-1-yl)methane (tpm).
Scheme 6. Synthesis of hydrotris(pyrazol-1-yl)methane (tpm).
Molecules 29 00870 sch006
Table 1. N-formylation and N-methylation of N-methylaniline with CO2 and NaBH4, catalyzed by C-scorpionate metal complexes [a1].
Table 1. N-formylation and N-methylation of N-methylaniline with CO2 and NaBH4, catalyzed by C-scorpionate metal complexes [a1].
EntryCatalystTime (h)Temperature (°C)Vsolvent (mL)Conversion 1a (%) [c]Yield (%) [c]Ratio 2a/3aTONTOF (h−1)
2a3a
1 [b]-2430-1.6-1.60/1--
2 [c]300.529.416.812.60.57/0.43
33067.418.848.60.28/0.72
483054.721.433.30.39/0.61
543052.625.527.10.48/0.52
6809136.954.10.41/0.59
7[CoCl2(tpm)]·3H2O4300.525.111.213.90.45/0.5525.16.3
8[NiCl2(tpm)]·3H2O3033.31617.30.48/0.5233.38.3
9[PdCl2(tpm)]3032.214.717.50.46/0.5432.28.1
10[NiCl2(tpm)]·3H2O8085.627.158.50.32/0.6885.621.4
11tpm8088.937.251.70.42/0.5888.922.2
12[NiCl2(tpm)]·3H2O24306521440.32/0.6865.02.7
13[NiCl2(tpm)]·3H2O8097.645.6520.47/0.5397.64.1
14[NiCl2(tpm)]·3H2O480281.623.6580.29/0.7181.620.4
[a1] Conditions: 1.5 mmol NaBH4, 1 mmol N-methylaniline, 5 bar of CO2, 1 mol% of catalyst and acetonitrile. [b] 0.5 mmol of Et3N as additive and 1,4-dioxane; [c] 0.25 mmol of potassium carbonate (base) as additive. [c] Calculated by GC-MS.
Table 2. N-formylation and N-methylation of N-methylaniline with CO2 and NaBH4, catalyzed by C-scorpionate metal complexes [a2].
Table 2. N-formylation and N-methylation of N-methylaniline with CO2 and NaBH4, catalyzed by C-scorpionate metal complexes [a2].
EntryCatalystTime (h)Temperature (°C)Vsolvent (mL)Conversion 1a (%) [b]Yield (%) [b]Ratio 2a/3aTONTOF (h−1)
2a3a
1[NiCl2(tpm)]·3H2O4300.512.88.93.90.70/0.302.560.64
2[NiCl2(tpm)]·3H2O8055.827.328.50.49/0.5111.162.79
3[NiCl2(tpm)]·3H2O80254.753.80.90.98/0.0210.942.74
4[PdCl2(tpm)]8078.72355.70.29/0.7115.743.94
5[CoCl2(tpm)]·3H2O8033.41815.40.54/0.466.681.67
6[NiCl2(tpm)]·3H2O3024.917.37.60.69/0.314.981.25
7[NiCl2(tpm)]·3H2O243037.110.1270.27/0.737.420.31
8[NiCl2(tpm)]·3H2O8048.718.630.10.38/0.629.740.41
[a2] Conditions: 1.5 mmol NaBH4, 1 mmol N-methylaniline, 5 bar of CO2, 5 mol% of catalyst and acetonitrile. [b] Calculated by GC-MS.
Table 3. Substrate scope for N-formylation and N-methylation of amines with CO2 and NaBH4, catalyzed by C-scorpionate metal complexes [a].
Table 3. Substrate scope for N-formylation and N-methylation of amines with CO2 and NaBH4, catalyzed by C-scorpionate metal complexes [a].
SubstratesProducts
Aniline
Molecules 29 00870 i001
Molecules 29 00870 i002
4%
Molecules 29 00870 i003
82%
Molecules 29 00870 i004
5%
Diphenylamine
Molecules 29 00870 i005
Molecules 29 00870 i006
7%
Piperidine
Molecules 29 00870 i007
Molecules 29 00870 i008
41%
Molecules 29 00870 i009
13%
Molecules 29 00870 i010
36%
[a] Reaction conditions: 1.5 mmol NaBH4, 1 mmol substrate, 5 bar of CO2, 5 mmol% of [NiCl2(tpm)]·3H2O, 80 °C, for 4 h in 2 mL of acetonitrile. Calculated by GC-MS.
Disclaimer/Publisher’s Note: The statements, opinions and data contained in all publications are solely those of the individual author(s) and contributor(s) and not of MDPI and/or the editor(s). MDPI and/or the editor(s) disclaim responsibility for any injury to people or property resulting from any ideas, methods, instructions or products referred to in the content.

Share and Cite

MDPI and ACS Style

Matias, I.A.S.; Trzeciak, A.M.; Pąchalska, P.; Ribeiro, A.P.C.; Martins, L.M.D.R.S. CO2-Driven N-Formylation/N-Methylation of Amines Using C-Scorpionate Metal Complexes. Molecules 2024, 29, 870. https://doi.org/10.3390/molecules29040870

AMA Style

Matias IAS, Trzeciak AM, Pąchalska P, Ribeiro APC, Martins LMDRS. CO2-Driven N-Formylation/N-Methylation of Amines Using C-Scorpionate Metal Complexes. Molecules. 2024; 29(4):870. https://doi.org/10.3390/molecules29040870

Chicago/Turabian Style

Matias, Inês A. S., Anna M. Trzeciak, Paulina Pąchalska, Ana P. C. Ribeiro, and Luísa M. D. R. S. Martins. 2024. "CO2-Driven N-Formylation/N-Methylation of Amines Using C-Scorpionate Metal Complexes" Molecules 29, no. 4: 870. https://doi.org/10.3390/molecules29040870

APA Style

Matias, I. A. S., Trzeciak, A. M., Pąchalska, P., Ribeiro, A. P. C., & Martins, L. M. D. R. S. (2024). CO2-Driven N-Formylation/N-Methylation of Amines Using C-Scorpionate Metal Complexes. Molecules, 29(4), 870. https://doi.org/10.3390/molecules29040870

Article Metrics

Back to TopTop