Chitosan-Supported ZnO Nanoparticles: Their Green Synthesis, Characterization, and Application for the Removal of Pyridoxine HCl (Vitamin B6) from Aqueous Media
Abstract
1. Introduction
2. Results and Discussion
2.1. Characterization
2.1.1. UV-Vis Spectroscopy
2.1.2. Scanning Electron Microscopy (SEM)
2.1.3. Fourier Transform Infrared Spectroscopy (FT−IR)
2.2. Determination of Zero-Point Charge (PZC)
2.3. Effect of pH
2.4. Effect of Contact Time
2.5. Effect of Sorbent Amount
2.6. Kinetic Models
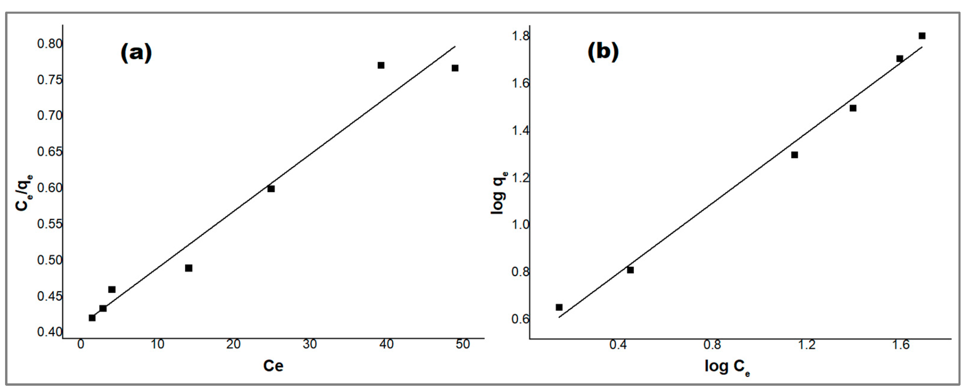
2.7. Adsorption Isotherms
2.8. Thermodynamic Studies
2.9. Reusability of the Sorbent
2.10. Comparison with Other Adsorbents
3. Materials and Methods
3.1. Instrumentation
3.2. Materials and Reagents
3.3. Preparation of Chicory (Cichorium intybus) Plant Extract
3.4. Synthesis of Nano-ZnO/CS Composite
3.5. Batch Technique
3.6. Reusability of the Sorbent
3.7. Determination of Zero-Point Charge of Nano-ZnO/CS Composite
4. Conclusions
Author Contributions
Funding
Institutional Review Board Statement
Informed Consent Statement
Data Availability Statement
Acknowledgments
Conflicts of Interest
References
- Baig, N.; Kammakakam, I.; Falath, W. Nanomaterials: A review of synthesis methods, properties, recent progress, and challenges. Mater. Adv. 2021, 2, 1821–1871. [Google Scholar] [CrossRef]
- Arabkhani, P.; Asfaram, A.; Ateia, M. Easy-to-prepare graphene oxide/sodium montmorillonite polymer nanocomposite with enhanced adsorption performance. J. Water Process Eng. 2020, 38, 101651. [Google Scholar] [CrossRef]
- Saleh, T.A.; Parthasarathy, P.; Irfan, M. Advanced functional polymer nanocomposites and their use in water ultra-purification. Trends Environ. Anal. Chem. 2019, 24, e00067. [Google Scholar] [CrossRef]
- Badgayan, N.D.; Sahu, S.K.; Samanta, S.; Sreekanth, P.R. An insight into mechanical properties of polymer nanocomposites reinforced with multidimensional filler system: A state of art review. Mater. Today Proc. 2020, 24, 422–431. [Google Scholar] [CrossRef]
- Zhou, H.; Li, Q.; Wei, L.; Huang, S.; Zhao, S. A comparative scanning electron microscopy evaluation of smear layer removal with chitosan and MTAD. Niger. J. Clin. Pract. 2018, 21, 76–80. [Google Scholar] [PubMed]
- Escudero-Oñate, C.; Martínez-Francés, E. A review of chitosan-based materials for the removal of organic pollution from water and bioaugmentation. In Chitin-Chitosan-Myriad Functionalities in Science and Technology; IntechOpen: London, UK, 2018; Volume 1. [Google Scholar]
- Liakos, E.V.; Lazaridou, M.; Michailidou, G.; Koumentakou, I.; Lambropoulou, D.A.; Bikiaris, D.N.; Kyzas, G.Z. Chitosan adsorbent derivatives for pharmaceuticals removal from effluents: A review. Macromol 2021, 1, 130–154. [Google Scholar] [CrossRef]
- Wang, W.; Meng, Q.; Li, Q.; Liu, J.; Zhou, M.; Jin, Z.; Zhao, K. Chitosan derivatives and their application in biomedicine. Int. J. Mol. Sci. 2020, 21, 487. [Google Scholar] [CrossRef]
- Mutukwa, D.; Taziwa, R.; Khotseng, L.E. A review of the green synthesis of ZnO nanoparticles utilising southern african indigenous medicinal plants. Nanomaterials 2022, 12, 3456. [Google Scholar] [CrossRef]
- Bashal, A.H.; Riyadh, S.M.; Alharbi, W.; Alharbi, K.H.; Farghaly, T.A.; Khalil, K.D. Bio-based (Chitosan-ZnO) nanocomposite: Synthesis, characterization, and its use as recyclable, ecofriendly biocatalyst for synthesis of thiazoles tethered azo groups. Polymers 2022, 14, 386. [Google Scholar] [CrossRef]
- Yadav, S.; Mehrotra, G.K.; Dutta, P.K. Chitosan based ZnO nanoparticles loaded gallic-acid films for active food packaging. Food Chem. 2021, 334, 127605. [Google Scholar] [CrossRef]
- AbdElhady, M. Preparation and characterization of chitosan/zinc oxide nanoparticles for imparting antimicrobial and UV protection to cotton fabric. Int. J. Carbohydr. Chem. 2012, 2012, 840591. [Google Scholar] [CrossRef]
- Mostafa, M.H.; Elsawy, M.A.; Darwish, M.S.; Hussein, L.I.; Abdaleem, A.H. Microwave-assisted preparation of chitosan/ZnO nanocomposite and its application in dye removal. Mater. Chem. Phys. 2020, 248, 122914. [Google Scholar] [CrossRef]
- Saad, A.H.A.; Azzam, A.M.; El-Wakeel, S.T.; Mostafa, B.B.; Abd El-latif, M.B. Removal of toxic metal ions from wastewater using ZnO@Chitosan core-shell nanocomposite. Environ. Nanotechnol. Monit. Manag. 2018, 9, 67–75. [Google Scholar] [CrossRef]
- Pereira, A.; Silva, L.; Laranjeiro, C.; Pena, A. Assessment of human pharmaceuticals in drinking water catchments, tap and drinking fountain waters. Appl. Sci. 2021, 11, 7062. [Google Scholar] [CrossRef]
- Chander, V.; Sharma, B.; Negi, V.; Aswal, R.S.; Singh, P.; Singh, R.; Dobhal, R. Pharmaceutical compounds in drinking water. J. Xenobiot. 2016, 6, 5774. [Google Scholar] [CrossRef] [PubMed]
- Organisation for Economic Co-Operation and Development (OECD). Pharmaceutical Residues in Freshwater: Hazards and Policy Responses; IWA (International WATER ASSN): London, UK, 2020. [Google Scholar]
- Encarnacao, T.; Palito, C.; Pais, A.; Valente, A.J.M.; Burrows, H.D. Removal of pharmaceuticals from water by free and imobilised microalgae. Molecules 2020, 25, 3639. [Google Scholar] [CrossRef]
- Ahmad, N.R.; Omar, F.K. A new method for estimation mebendazole in its pharmaceutical preparations and in camel urine. Basrah J. Vet. Res. 2018, 17, 161–172. [Google Scholar]
- Hadtstein, F.; Vrolijk, M. Vitamin B-6-induced neuropathy: Exploring the mechanisms of pyridoxine toxicity. Adv. Nutr. 2021, 12, 1911–1929. [Google Scholar] [CrossRef]
- Malik, S.N.; Ghosh, P.C.; Vaidya, A.N.; Waindeskar, V.; Das, S.; Mudliar, S.N. Comparison of coagulation, ozone and ferrate treatment processes for color, COD and toxicity removal from complex textile wastewater. Water Sci. Technol. 2017, 76, 1001–1010. [Google Scholar] [CrossRef]
- Kuzmanović, D.; Khan, M.; Mehmeti, E.; Nazir, R.; Amaizah, N.R.R.; Stanković, D.M. Determination of pyridoxine (vitamin B6) in pharmaceuticals and urine samples using unmodified boron-doped diamond electrode. Diam. Relat. Mater. 2016, 64, 184–189. [Google Scholar] [CrossRef]
- Motelica, L.; Vasile, B.S.; Ficai, A.; Surdu, A.V.; Ficai, D.; Oprea, O.C.; Andronescu, E.; Mustatea, G.; Ungureanu, E.L.; Dobre, A.A. Antibacterial activity of zinc oxide nanoparticles loaded with essential oils. Pharmaceutics 2023, 15, 2470. [Google Scholar] [CrossRef]
- Ansari, M.A.; Murali, M.; Prasad, D.; Alzohairy, M.A.; Almatroudi, A.; Alomary, M.N.; Udayashankar, A.C.; Singh, S.B.; Asiri, S.M.M.; Ashwini, B.S. Cinnamomum verum bark extract mediated green synthesis of ZnO nanoparticles and their antibacterial potentiality. Biomolecules 2020, 10, 336. [Google Scholar] [CrossRef]
- Zango, Z.U.; Dennis, J.O.; Aljameel, A.I.; Usman, F.; Ali, M.K.M.; Abdulkadir, B.A.; Algessair, S.; Aldaghri, O.A.; Ibnaouf, K.H. Effective removal of methylene blue from simulated wastewater using ZnO-chitosan nanocomposites: Optimization, kinetics, and isotherm studies. Molecules 2022, 27, 4746. [Google Scholar] [CrossRef]
- Shabaani, M.; Rahaiee, S.; Zare, M.; Jafari, S.M. Green synthesis of ZnO nanoparticles using loquat seed extract; Biological functions and photocatalytic degradation properties. LWT 2020, 134, 110133. [Google Scholar] [CrossRef]
- Queiroz, M.F.; Teodosio Melo, K.R.; Sabry, D.A.; Sassaki, G.L.; Rocha, H.A.O. Does the use of chitosan contribute to oxalate kidney stone formation? Mar. Drugs 2014, 13, 141–158. [Google Scholar] [CrossRef]
- Shehu, A.; Ibrahim, M. Equilibrium adsorption isotherm of methylene blue and rhodamine b using shea butter leaves as a low cost adsorbent. Appl. J. Environ. Eng. Sci. 2023, 9, 1–15. [Google Scholar]
- Yazdani, M.R.; Virolainen, E.; Conley, K.; Vahala, R. Chitosan–zinc (II) complexes as a bio-sorbent for the adsorptive abatement of phosphate: Mechanism of complexation and assessment of adsorption performance. Polymers 2017, 10, 25. [Google Scholar] [CrossRef] [PubMed]
- Al-Maliky, E.A.; Gzar, H.A.; Al-Azawy, M.G. Determination of Point of Zero Charge (PZC) of Concrete Particles Adsorbents; IOP Conference Series: Materials Science and Engineering; IOP Publishing: Bristol, UK, 2021; p. 012004. [Google Scholar]
- Chaturvedi, G.; Kaur, A.; Umar, A.; Khan, M.A.; Algarni, H.; Kansal, S.K. Removal of fluoroquinolone drug, levofloxacin, from aqueous phase over iron based MOFs, MIL-100 (Fe). J. Solid State Chem. 2020, 281, 121029. [Google Scholar] [CrossRef]
- Calori, I.R.; Gusmão, L.A.; Tedesco, A.C. B6 vitamers as generators and scavengers of reactive oxygen species. J. Photochem. Photobiol. 2021, 7, 100041. [Google Scholar] [CrossRef]
- Solgi, M.; Najib, T.; Ahmadnejad, S.; Nasernejad, B. Synthesis and characterization of novel activated carbon from Medlar seed for chromium removal: Experimental analysis and modeling with artificial neural network and support vector regression. Resour. Effic. Technol. 2017, 3, 236–248. [Google Scholar] [CrossRef]
- Yuh-Shan, H. Citation review of Lagergren kinetic rate equation on adsorption reactions. Scientometrics 2004, 59, 171–177. [Google Scholar] [CrossRef]
- Ho, Y.; McKay, G.; Wase, D.; Forster, C. Study of the sorption of divalent metal ions on to peat. Adsorpt. Sci. Technol. 2000, 18, 639–650. [Google Scholar] [CrossRef]
- Kmal, R.Q.; Aljeboree, A.M.; Jasim, L.S.; Radia, N.D.; Alkaim, A.F. Removal of toxic congo red dye from aqueous solution using a graphene oxide/poly (acrylamide-acrylic acid) hydrogel: Characterization, kinetics and thermodynamics studies. J. Chem. Health Risks 2022, 12, 609–619. [Google Scholar]
- Hassan, H.; Salama, A.; El-Ziaty, A.K.; El-Sakhawy, M. New chitosan/silica/zinc oxide nanocomposite as adsorbent for dye removal. Int. J. Biol. Macromol. 2019, 131, 520–526. [Google Scholar] [CrossRef] [PubMed]
- Zhang, F.; Chen, X.; Wu, F.; Ji, Y. High adsorption capability and selectivity of ZnO nanoparticles for dye removal. Colloids Surf. A Physicochem. Eng. Asp. 2016, 509, 474–483. [Google Scholar] [CrossRef]
- Tamjidi, S.; Esmaeili, H. Chemically modified CaO/Fe3O4 nanocomposite by sodium dodecyl sulfate for Cr(III) removal from water. Chem. Eng. Technol. 2019, 42, 607–616. [Google Scholar] [CrossRef]
- Mahmoud, M.E.; Abdelfattah, A.M.; Tharwat, R.M.; Nabil, G.M. Adsorption of negatively charged food tartrazine and sunset yellow dyes onto positively charged triethylenetetramine biochar: Optimization, kinetics and thermodynamic study. J. Mol. Liq. 2020, 318, 114297. [Google Scholar] [CrossRef]
- Mahmoud, M.E.; Amira, M.F.; Seleim, S.M.; Nabil, G.M.; Abouelanwar, M.E. Multifunctionalized graphene oxide@nanopolyaniline@zirconium silicate nanocomposite for rapid microwable removal of dyes. J. Nanostruct. Chem. 2021, 11, 645–662. [Google Scholar] [CrossRef]
- Abdi, J.; Vossoughi, M.; Mahmoodi, N.M.; Alemzadeh, I. Synthesis of amine-modified zeolitic imidazolate framework-8, ultrasound-assisted dye removal and modeling. Ultrason. Sonochem. 2017, 39, 550–564. [Google Scholar] [CrossRef]
- Mahdizadeh, H.; Malakootian, M. Optimization of ciprofloxacin removal from aqueous solutions by a novel semi-fluid Fe/charcoal micro-electrolysis reactor using response surface methodology. Process Saf. Environ. Prot. 2019, 123, 299–308. [Google Scholar] [CrossRef]
- Bhanvase, B.A.; Veer, A.; Shirsath, S.R.; Sonawane, S.H. Ultrasound assisted preparation, characterization and adsorption study of ternary chitosan-ZnO-TiO2 nanocomposite: Advantage over conventional method. Ultrason. Sonochem. 2019, 52, 120–130. [Google Scholar] [CrossRef]
- Singh, J.; Dhiman, N.; Sharma, N.K. Effect of Fe(ii) on the adsorption of Mn(ii) from aqueous solution using esterified saw dust: Equilibrium and thermodynamic studies. Indian Chem. Eng. 2017, 60, 255–268. [Google Scholar] [CrossRef]
- Cao, J.S.; Lin, J.X.; Fang, F.; Zhang, M.T.; Hu, Z.R. A new absorbent by modifying walnut shell for the removal of anionic dye: Kinetic and thermodynamic studies. Bioresour. Technol. 2014, 163, 199–205. [Google Scholar] [CrossRef]
- Balouch, A.; Kolachi, M.; Talpur, F.N.; Khan, H.; Bhanger, M.I. Sorption kinetics, isotherm and thermodynamic modeling of defluoridation of ground water using natural adsorbents. Am. J. Anal. Chem. 2013, 04, 221–228. [Google Scholar] [CrossRef]
- Yuvaraja, G.; Prasad, C.; Vijaya, Y.; Subbaiah, M.V. Application of ZnO nanorods as an adsorbent material for the removal of As(III) from aqueous solution: Kinetics, isotherms and thermodynamic studies. Int. J. Ind. Chem. 2018, 9, 17–25. [Google Scholar] [CrossRef]
- Ozcan, N.; Saloglu, D. Activated carbon embedded alginate beads for removing nonsteroidal anti-inflammatory drug naproxen from wastewater: Equilibrium, kinetics, thermodynamics, desorption, and reusability. Water Sci. Technol. 2020, 81, 1432–1444. [Google Scholar] [CrossRef]
- Ali, S.; Hassanin, H.A. Adsorptive removal of vitamin B6 and ciprofloxacin using polyurethane foam in pure and pharmaceutical preparations: Kinetic and equilibrium studies. J. Chin. Chem. Soc. 2020, 68, 878–887. [Google Scholar] [CrossRef]
- Aljeboree, A.M. Removal of vitamin b6 (pyridoxine) antibiotics pharmaceuticals from aqueous systems by ZnO. Int. J. Drug Deliv. Technol. 2019, 9, 125–129. [Google Scholar] [CrossRef]
- Taha, A.; Ben Aissa, M.; Da’na, E. Green synthesis of an activated carbon-supported ag and ZnO nanocomposite for photocatalytic degradation and its antibacterial activities. Molecules 2020, 25, 1586. [Google Scholar] [CrossRef] [PubMed]
- Aranaz, I.; Alcantara, A.R.; Civera, M.C.; Arias, C.; Elorza, B.; Heras Caballero, A.; Acosta, N. Chitosan: An overview of its properties and applications. Polymer 2021, 13, 3256. [Google Scholar] [CrossRef] [PubMed]
- Godwin, J.; Njimou, J.R.; Abdus-Salam, N.; Panda, P.K.; Tripathy, B.C.; Ghosh, M.K.; Basu, S. Nanoscale ZnO-adsorbent carefully designed for the kinetic and thermodynamic studies of Rhodamine B. Inorg. Chem. Commun. 2022, 138, 109287. [Google Scholar] [CrossRef]












| Pseudo-First Order | Pseudo-Second Order | ||||
|---|---|---|---|---|---|
| k1 (min−1) | qe (mg·g−1) | R2 | k2 (g·(mg·min)−1) | qe (mg·g−1) | R2 |
| −2.2 × 10−4 | 0.2675 | 0.893 | 1.169 × 10−8 | 5000 | 0.967 |
| Langmuir Isotherm | Freundlich Isotherm | ||||
|---|---|---|---|---|---|
| qm | b | R2 | Kf | 1/n | R2 |
| 2.4068 | 0.0190 | 0.972 | 0.3156 | 0.7425 | 0.991 |
| T (K) | Kc | ∆G (kJ·mol−1) | ∆H (kJ·mol−1) | ∆S (kJ·mol−1·K−1) |
|---|---|---|---|---|
| 298 | 2.622 | −5.098 | −2.838 × 10−3 | 1.757 × 10−2 |
| 313 | 2.799 | −5.355 | ||
| 323 | 2.862 | −5.526 | ||
| 333 | 2.993 | −5.697 | ||
| 353 | 3.133 | −6.039 |
| Adsorbate | Adsorbent | PDX Concentration | % Removal | PDX Concentration | % Removal | Reference |
|---|---|---|---|---|---|---|
| Pyridoxine HCl (vitamin B6) | PUF | 30.0 ppm | 50.0% | 5.0 ppm | 20.0% | [50] |
| ZnO | 80.0 ppm | 84.0% | 10.0% | [51] | ||
| ZnO/CS | 5.0 ppm | 75.0% | 75.0% | This study |
Disclaimer/Publisher’s Note: The statements, opinions and data contained in all publications are solely those of the individual author(s) and contributor(s) and not of MDPI and/or the editor(s). MDPI and/or the editor(s) disclaim responsibility for any injury to people or property resulting from any ideas, methods, instructions or products referred to in the content. |
© 2024 by the authors. Licensee MDPI, Basel, Switzerland. This article is an open access article distributed under the terms and conditions of the Creative Commons Attribution (CC BY) license (https://creativecommons.org/licenses/by/4.0/).
Share and Cite
Ali, S.; Dayo, M.; Alahmadi, S.; Mohamed, A. Chitosan-Supported ZnO Nanoparticles: Their Green Synthesis, Characterization, and Application for the Removal of Pyridoxine HCl (Vitamin B6) from Aqueous Media. Molecules 2024, 29, 828. https://doi.org/10.3390/molecules29040828
Ali S, Dayo M, Alahmadi S, Mohamed A. Chitosan-Supported ZnO Nanoparticles: Their Green Synthesis, Characterization, and Application for the Removal of Pyridoxine HCl (Vitamin B6) from Aqueous Media. Molecules. 2024; 29(4):828. https://doi.org/10.3390/molecules29040828
Chicago/Turabian StyleAli, Samah, Marwa Dayo, Sana Alahmadi, and Amr Mohamed. 2024. "Chitosan-Supported ZnO Nanoparticles: Their Green Synthesis, Characterization, and Application for the Removal of Pyridoxine HCl (Vitamin B6) from Aqueous Media" Molecules 29, no. 4: 828. https://doi.org/10.3390/molecules29040828
APA StyleAli, S., Dayo, M., Alahmadi, S., & Mohamed, A. (2024). Chitosan-Supported ZnO Nanoparticles: Their Green Synthesis, Characterization, and Application for the Removal of Pyridoxine HCl (Vitamin B6) from Aqueous Media. Molecules, 29(4), 828. https://doi.org/10.3390/molecules29040828

