Unveiling the Chemical Composition of Sulfur-Fumigated Herbs: A Triple Synthesis Approach Using UHPLC-LTQ-Orbitrap MS—A Case Study on Steroidal Saponins in Ophiopogonis Radix
Abstract
1. Introduction
2. Results
2.1. Identification of Steroidal Saponins from SF-OR
2.1.1. The Establishment of an Analytical Strategy
2.1.2. Molecular Design of Steroidal Saponins from Ophiopogonis Radix
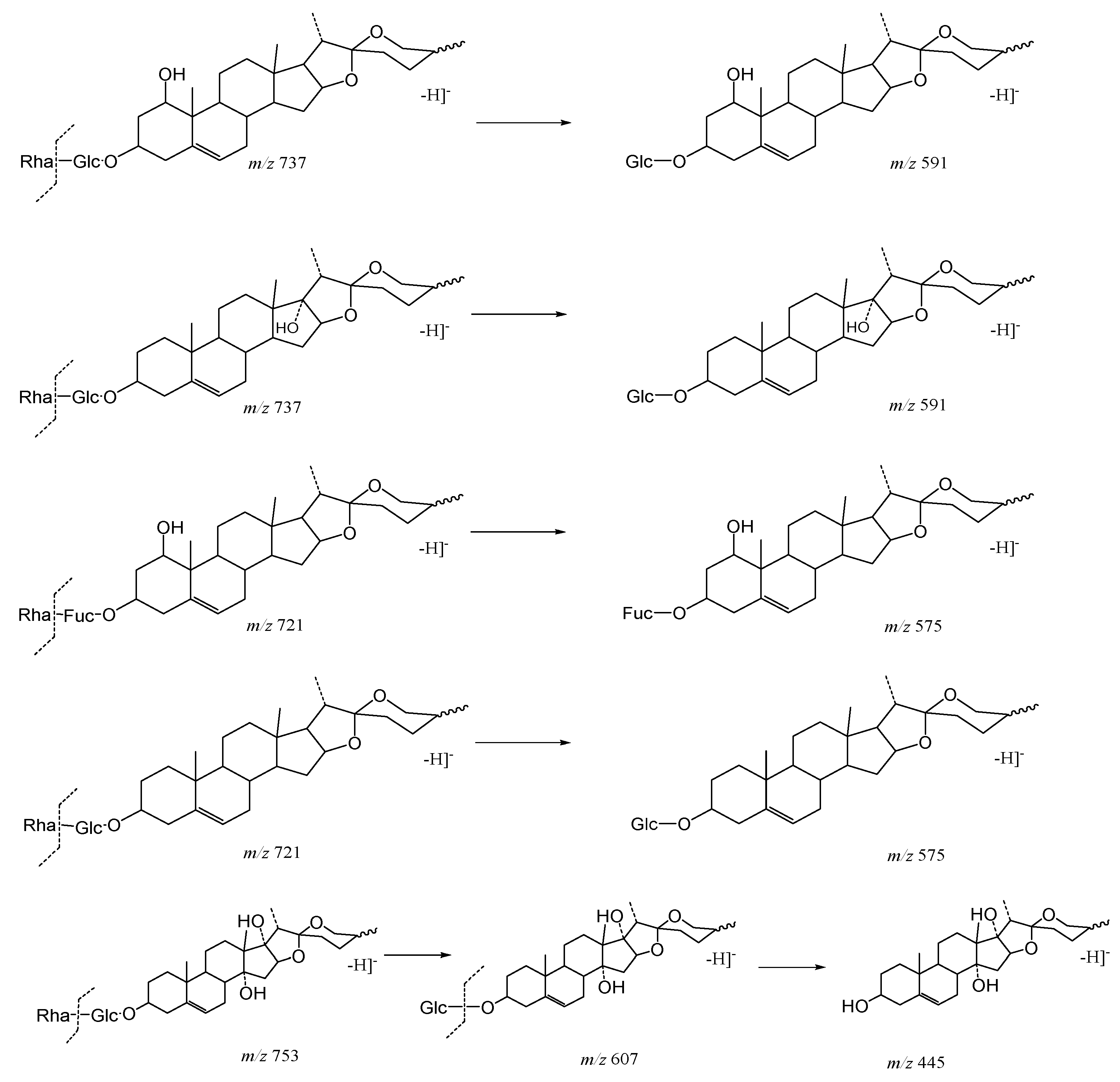
2.1.3. Construction of Ion Lists
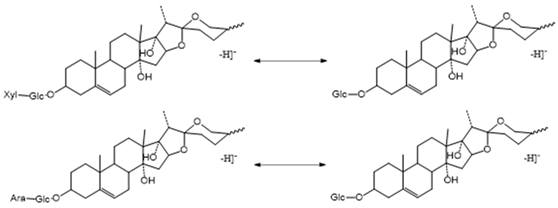
2.1.4. Analysis of the Characteristic Fragmentation Mechanism of Steroidal Saponins
The Characteristic Fragmentation Mechanism of Type-I Steroidal Saponins
The Characteristic Fragmentation Mechanism of Type-II and Type-III Steroidal Saponins
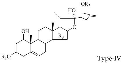
The Characteristic Fragmentation Mechanism of Type-IV Steroidal Saponins
The Characteristic Fragmentation Mechanism of Type-V Steroidal Saponins
The Characteristic Fragmentation Mechanism of Type-VI Steroidal Saponins
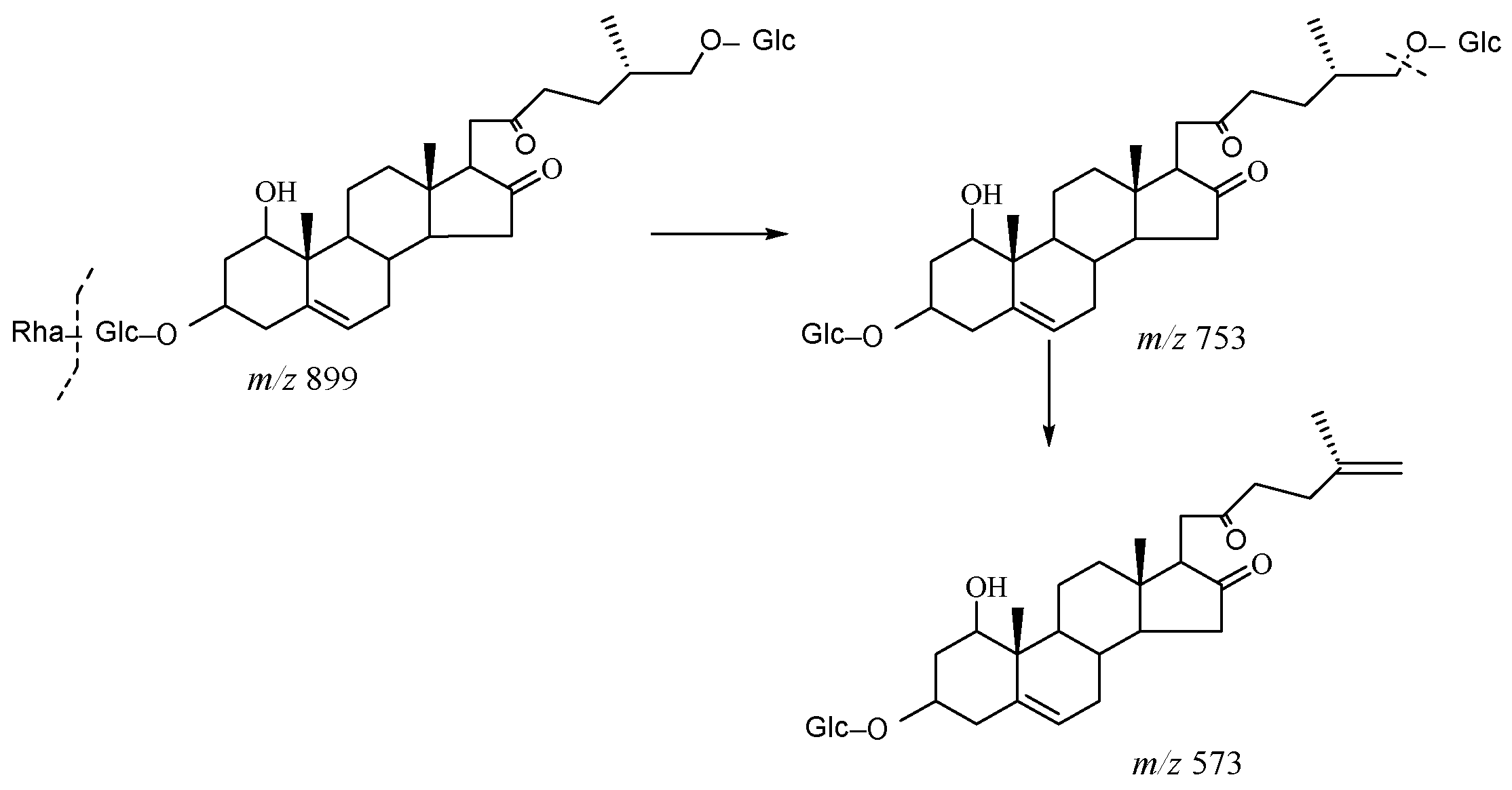
2.1.5. Determination and Verification of NLFs and DPIs of OR Steroidal Saponins
2.1.6. Detection and Structural Elucidation of OR Steroidal Saponins
2.2. Identification of Sulfur-Containing Derivatives of Steroidal Saponins from SF-OR
2.2.1. Molecular Design of Sulfur-Containing Derivatives of Steroidal Saponins
2.2.2. Screening of the Candidate Molecular Weight of Sulfur-Containing Derivatives of Steroidal Saponins
2.2.3. Identification of Sulfur-Containing Derivatives of Steroidal Saponins
Identification of Type-I Sulfur-Containing Derivatives of Steroidal Saponins
Identification of Type-II and Type-III Sulfur-Containing Derivatives of Steroidal Saponins
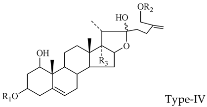
Identification of Type-IV Sulfur-Containing Derivatives of Steroidal Saponins
Identification of Type-V Sulfur-Containing Derivatives of Steroidal Saponins
Identification of Type-VI Sulfur-Containing Derivatives of Steroidal Saponins
3. Discussion
4. Materials and Methods
4.1. Chemicals and Reagents
4.2. Preparation of SF-OR Using Laboratory Simulation Method
4.3. Preparation of SF-OR Extract Samples
4.4. Solution Preparation
4.4.1. Sample Solution
4.4.2. Standard Solution
4.5. Instruments and Analytical Conditions
4.6. Peak Selections and Data Processing
5. Conclusions
Supplementary Materials
Author Contributions
Funding
Institutional Review Board Statement
Informed Consent Statement
Data Availability Statement
Conflicts of Interest
References
- Liu, H.; Wang, S.Y.; Zhu, J.H.; Kong, M.; Zhou, S.S.; Li, S.L.; Zhu, H. Effects and contributory factors of sulfur-fumigation on the efficacy and safety of medicinal herbs evaluated by meta-analysis. J. Ethnopharmacol. 2022, 293, 115250. [Google Scholar] [CrossRef]
- Jiang, X.; Huang, L.F.; Zheng, S.H.; Chen, S.L. Sulfur fumigation, a better or worse choice in preservation of Traditional Chinese Medicine? Phytomedicine 2013, 20, 97–105. [Google Scholar] [CrossRef] [PubMed]
- Zhang, W.H.; Luo, H.Y.; Fang, J.; Zhao, C.L.; Chan, K.C.; Chan, Y.M.; Dong, C.X.; Chen, H.B.; Zhao, Z.Z.; Li, S.L.; et al. Impact of Sulfur Fumigation on Ginger: Chemical and Biological Evidence. J. Agric. Food Chem. 2022, 70, 12577–12586. [Google Scholar] [CrossRef] [PubMed]
- Shen, H.; Zhang, L.; Xu, J.D.; Ding, Y.F.; Zhou, J.; Wu, J.; Zhang, W.; Mao, Q.; Liu, L.F.; Zhu, H.; et al. Effect of sulfur-fumigation process on ginseng: Metabolism and absorption evidences. J. Ethnopharmacol. 2020, 256, 112799. [Google Scholar] [CrossRef] [PubMed]
- Duan, S.M.; Xu, J.; Bai, Y.J.; Ding, Y.; Kong, M.; Liu, H.H.; Li, X.Y.; Zhang, Q.S.; Chen, H.B.; Liu, L.F.; et al. Sulfur dioxide residue in sulfur-fumigated edible herbs: The fewer, the safer? Food Chem. 2016, 192, 119–124. [Google Scholar] [CrossRef]
- Kan, W.L.; Ma, B.; Lin, G. Sulfur fumigation processing of traditional chinese medicinal herbs: Beneficial or detrimental? Front. Pharmacol. 2011, 2, 84. [Google Scholar] [CrossRef]
- He, J.; Ye, L.; Li, J.; Huang, W.; Huo, Y.; Gao, J.; Liu, L.; Zhang, W. Identification of Ophiopogonis Radix from different producing areas by headspace-gas chromatography-ion mobility spectrometry analysis. J. Food Biochem. 2022, 46, e13850. [Google Scholar] [CrossRef] [PubMed]
- Li, S.L.; Shen, H.; Zhu, L.Y.; Xu, J.; Jia, X.B.; Zhang, H.M.; Lin, G.; Cai, H.; Cai, B.C.; Chen, S.L.; et al. Ultra-high-performance liquid chromatography-quadrupole/time of flight mass spectrometry based chemical profiling approach to rapidly reveal chemical transformation of sulfur-fumigated medicinal herbs, a case study on white ginseng. J. Chromatogr. A 2012, 1231, 31–45. [Google Scholar] [CrossRef]
- Ma, X.Q.; Leung, A.K.; Chan, C.L.; Su, T.; Li, W.D.; Li, S.M.; Fong, D.W.; Yu, Z.L. UHPLC UHD Q-TOF MS/MS analysis of the impact of sulfur fumigation on the chemical profile of Codonopsis Radix (Dangshen). Analyst 2014, 139, 505–516. [Google Scholar] [CrossRef]
- Li, Z.Y.; Gao, H.M.; Sun, J.; Chen, L.M.; Wang, Z.M.; Zhang, Q.W. Secoiridoid sulfonates from the sulfiting-processed buds of Lonicera japonica. Helv. Chim. Acta 2012, 95, 1144–1151. [Google Scholar] [CrossRef]
- Zhang, J.Y.; Wang, Z.J.; Li, Y.; Liu, Y.; Cai, W.; Li, C.; Lu, J.Q.; Qiao, Y.J. A strategy for comprehensive identification of sequential constituents using ultra-high-performance liquid chromatography coupled with linear ion trap-Orbitrap mass spectrometer, application study on chlorogenic acids in Flos Lonicerae Japonicae. Talanta 2016, 147, 16–27. [Google Scholar] [CrossRef]
- Pan, H.; Yang, W.; Yao, C.; Shen, Y.; Zhang, Y.; Shi, X.; Yao, S.; Wu, W.; Guo, D. Mass defect filtering-oriented classification and precursor ions list-triggered high-resolution mass spectrometry analysis for the discovery of indole alkaloids from Uncaria sinensis. J. Chromatogr. A 2017, 1516, 102–113. [Google Scholar] [CrossRef]
- Yang, M.; Zhou, Z.; Yao, S.; Li, S.; Yang, W.; Jiang, B.; Liu, X.; Wu, W.; Qv, H.; Guo, D.A. Neutral Loss Ion Mapping Experiment Combined with Precursor Mass List and Dynamic Exclusion for Screening Unstable Malonyl Glucoside Conjugates. J. Am. Soc. Mass. Spectrom. 2016, 27, 99–107. [Google Scholar] [CrossRef]
- Zhang, J.Y.; Wang, Z.J.; Zhang, Q.; Wang, F.; Ma, Q.; Lin, Z.Z.; Lu, J.Q.; Qiao, Y.J. Rapid screening and identification of target constituents using full scan-parent ions list-dynamic exclusion acquisition coupled to diagnostic product ions analysis on a hybrid LTQ-Orbitrap mass spectrometer. Talanta 2014, 124, 111–122. [Google Scholar] [CrossRef]
- Shang, Z.P.; Wang, F.; Zhang, J.Y.; Wang, Z.J.; Lu, J.Q.; Wang, H.Y.; Li, N. The genus Liriope: Phytochemistry and pharmacology. Chin. J. Nat. Med. 2017, 15, 801–815. [Google Scholar] [CrossRef]
- Ivanchina, N.V.; Kalinin, V.I. Triterpene and Steroid Glycosides from Marine Sponges (Porifera, Demospongiae): Structures, Taxonomical Distribution, Biological Activities. Molecules 2023, 28, 2503. [Google Scholar] [CrossRef] [PubMed]
- Tian, Y.; Gong, P.; Wu, Y.; Chang, S.; Xu, J.; Yu, B.; Qi, J. Screening and identification of potential active components in Ophiopogonis Radix against atherosclerosis by biospecific cell extraction. J. Chromatogr. B Anal. Technol. Biomed. Life Sci. 2019, 1133, 121817. [Google Scholar] [CrossRef] [PubMed]
- Liu, J.Y.; Lu, L.; Kang, L.P.; Liu, Y.X.; Zhao, Y.; Xiong, C.Q.; Zhang, Y.Q.; Yu, L.Y.; Ma, B.P. Selective glycosylation of steroidal saponins by Arthrobacter nitroguajacolicus. Carbohydr. Res. 2015, 402, 71–76. [Google Scholar] [CrossRef] [PubMed]
- Xie, T.; Liang, Y.; Hao, H.; Jiye, A.; Xie, L.; Gong, P.; Dai, C.; Liu, L.; Kang, A.; Zheng, X.; et al. Rapid identification of ophiopogonins and ophiopogonones in Ophiopogon japonicus extract with a practical technique of mass defect filtering based on high resolution mass spectrometry. J. Chromatogr. A. 2012, 1227, 234–244. [Google Scholar] [CrossRef] [PubMed]
- Chen, M.H.; Chen, X.J.; Wang, M.; Lin, L.G.; Wang, Y.T. Ophiopogon japonicus—A phytochemical, ethnomedicinal and pharmacological review. J. Ethnopharmacol. 2016, 181, 193–213. [Google Scholar] [CrossRef] [PubMed]
- Wu, Y.; Dong, Z.J.; Wu, H.Z.; Ding, W.J.; Zhao, M.M.; Shi, Q.W.; Wang, Q. Comparative studies on Ophiopogonis and Liriopes based on the determination of 11 bioactive components using LC-MS/MS and Hierarchical clustering analysis. Food Res. Int. 2014, 57, 15–25. [Google Scholar] [CrossRef]
- Fu, X.; Li, T.; Yao, Q. The Effect of Ophiopogonin C in Ameliorating Radiation-Induced Pulmonary Fibrosis in C57BL/6 Mice: An Update Study. Front. Oncol. 2022, 12, 811183. [Google Scholar] [CrossRef] [PubMed]
- Liu, C.H.; Qi, J.; Zhou, D.Z.; Ju, A.C.; Yu, B.Y. Influence of ultrafiltration membrane on ophiopogonins and homoisoflavonoids in Ophiopogon japonicus as measured by ultra-fast liquid chromatography coupled with ion trap time-of-flight mass spectrometry. Chin. J. Nat. Med. 2017, 15, 121–141. [Google Scholar] [CrossRef]
- Qi, J.; Hu, Z.F.; Zhou, Y.F.; Hu, Y.J.; Yu, B.Y. Steroidal sapogenins and glycosides from the fibrous roots of Ophiopogon japonicus and Liriope spicata var. prolifera with anti-inflammatory activity. Chem. Pharm. Bull. 2015, 63, 187–194. [Google Scholar] [CrossRef] [PubMed]
- Sun, X.; Cui, X.B.; Wen, H.M.; Shan, C.X.; Wang, X.Z.; Kang, A.; Chai, C.; Li, W. Influence of sulfur fumigation on the chemical profiles of Atractylodes macrocephala Koidz. evaluated by UFLC-QTOF-MS combined with multivariate statistical analysis. J. Pharm. Biomed. Anal. 2017, 141, 19–31. [Google Scholar] [CrossRef] [PubMed]
- Yang, M.; Zhou, Z.; Guo, D.A. A strategy for fast screening and identification of sulfur derivatives in medicinal Pueraria species based on the fine isotopic pattern filtering method using ultra-high-resolution mass spectrometry. Anal. Chim. Acta 2015, 894, 44–53. [Google Scholar] [CrossRef] [PubMed]
- Sun, X.; Xue, S.; Cui, Y.; Li, M.; Chen, S.; Yue, J.; Gao, Z. Characterization and identification of chemical constituents in Corni Fructus and effect of storage using UHPLC-LTQ-Orbitrap-MS. Food Res. Int. 2023, 164, 112330. [Google Scholar] [CrossRef] [PubMed]
- Hou, J.; Yao, C.; Li, Y.; Yang, L.; Chen, X.; Nie, M.; Qu, H.; Ji, S.; Guo, D.A. A MS-feature-based medicinal plant database-driven strategy for ingredient identification of Chinese medicine prescriptions. J. Pharm. Biomed. Anal. 2023, 234, 115482. [Google Scholar] [CrossRef] [PubMed]
- Griaud, F.; Denefeld, B.; Kao-Scharf, C.Y.; Dayer, J.; Lang, M.; Chen, J.Y.; Berg, M. All Ion Differential Analysis Refines the Detection of Terminal and Internal Diagnostic Fragment Ions for the Characterization of Biologics Product-Related Variants and Impurities by Middle-down Mass Spectrometry. Anal. Chem. 2019, 91, 8845–8852. [Google Scholar] [CrossRef] [PubMed]
- Masullo, M.; Pizza, C.; Piacente, S. Ruscus Genus: A Rich Source of Bioactive Steroidal Saponins. Planta Med. 2016, 82, 1513–1524. [Google Scholar] [CrossRef] [PubMed]
- Zhu, L.; Tan, J.; Wang, B.; Guan, L.; Liu, Y.; Zheng, C. In-vitro Antitumor Activity and Antifungal Activity of Pennogenin Steroidal Saponins from paris Polyphylla var. yunnanensis. Iran. J. Pharm. Res. 2011, 10, 279–286. [Google Scholar]
- Hernández Linares, M.G.; Bernès, S.; Flores-Alamo, M.; Guerrero-Luna, G.; Martínez-Gallegos, A.A. Diosgenin hemihydrate. Acta Crystallogr. Sect. E Struct. Rep. Online 2012, 68 Pt 8, o2357. [Google Scholar] [CrossRef]
- Yang, J.; Zhu, L.; Zhao, Y.; Xu, Y.; Sun, Q.; Liu, S.; Liu, C.; Ma, B. Separation of furostanol saponins by supercritical fluid chromatography. J. Pharm. Biomed. Anal. 2017, 145, 71–78. [Google Scholar] [CrossRef]
- Li, W.; Ji, L.; Tian, J.; Tang, W.; Shan, X.; Zhao, P.; Chen, H.; Zhang, C.; Xu, M.; Lu, R.; et al. Ophiopogonin D alleviates diabetic myocardial injuries by regulating mitochondrial dynamics. J. Ethnopharmacol. 2021, 271, 113853. [Google Scholar] [CrossRef]
- Zhu, X.; Wang, K.; Chen, Y. Ophiopogonin D suppresses TGF-β1-mediated metastatic behavior of MDA-MB-231 breast carcinoma cells via regulating ITGB1/FAK/Src/AKT/β-catenin/MMP-9 signaling axis. Toxicol. In Vitro 2020, 69, 104973. [Google Scholar] [CrossRef] [PubMed]
- Huang, X.; Wang, Y.; Wang, Y.; Yang, L.; Wang, J.; Gao, Y. Ophiopogonin D Reduces Myocardial Ischemia-Reperfusion Injury via Upregulating CYP2J3/EETs in Rats. Cell. Physiol. Biochem. 2018, 49, 1646–1658. [Google Scholar] [CrossRef] [PubMed]
- Tong, Y.N.; Yang, L.Y.; Yang, Y.; Song, Z.; Peng, L.S.; Gao, J.N.; Zeng, H.; Zou, Q.M.; Sun, H.W.; Mao, X.H. An immunopotentiator, ophiopogonin D, encapsulated in a nanoemulsion as a robust adjuvant to improve vaccine efficacy. Acta Biomater. 2018, 77, 255–267. [Google Scholar] [CrossRef] [PubMed]
- Jiang, M.; Kang, L.; Wang, Y.; Zhao, X.; Liu, X.; Xu, L.; Li, Z. A metabonomic study of cardioprotection of ginsenosides, schizandrin, and ophiopogonin D against acute myocardial infarction in rats. BMC Complement. Altern. Med. 2014, 14, 350. [Google Scholar] [CrossRef] [PubMed]
- Liu, H.; Wang, S.Y.; Zhu, J.H.; Xu, J.D.; Zhou, S.S.; Kong, M.; Mao, Q.; Li, S.L.; Zhu, H. Effects of sulfur-fumigated ginseng on the global quality of Si-Jun-Zi decoction, a traditional ginseng-containing multi-herb prescription, evaluated by metabolomics and glycomics strategies. J. Pharm. Biomed. Anal. 2022, 219, 114927. [Google Scholar] [CrossRef] [PubMed]
- Kang, C.; Zhao, D.; Kang, L.; Wang, S.; Lv, C.; Zhou, L.; Jiang, J.Y.; Yang, W.; Li, J.; Huang, L.Q.; et al. Elucidation of Characteristic Sulfur-Fumigated Markers and Chemical Transformation Mechanism for Quality Control of Achyranthes bidentate Blume Using Metabolome and Sulfur Dioxide Residue Analysis. Front. Plant Sci. 2018, 9, 790. [Google Scholar] [CrossRef]
- Cao, G.; Li, Q.; Zhang, J.; Cai, H.; Cai, B. A purge and trap technique to capture volatile compounds combined with comprehensive two-dimensional gas chromatography/time-of-flight mass spectrometry to investigate the effect of sulfur-fumigation on Radix Angelicae Dahuricae. Biomed. Chromatogr. 2014, 28, 1167–1172. [Google Scholar] [CrossRef] [PubMed]
- Xing, X.; Sun, Z.; Yang, M.; Zhu, N.; Yang, J.; Ma, G.; Xu, X. Quantitative Evaluation of Twelve Major Components of Sulfur-Fumigated Astragali Radix with Different Durations by UPLC-MS. Molecules 2018, 23, 2609. [Google Scholar] [CrossRef] [PubMed]
- Xu, Y.Y.; Long, F.; Zhang, Y.Q.; Xu, J.D.; Kong, M.; Li, S.L. Chemical markers for quality control of bran-fried sulfur-fumigated Paeoniae Radix Alba. J. Pharm. Biomed. Anal. 2018, 159, 305–310. [Google Scholar] [CrossRef]
- Li, N.; Zhang, L.; Zeng, K.W.; Zhou, Y.; Zhang, J.Y.; Che, Y.Y.; Tu, P.F. Cytotoxic steroidal saponins from Ophiopogon japonicus. Steroids 2013, 78, 1–7. [Google Scholar] [CrossRef]
- Li, S.L.; Song, J.Z.; Choi, F.F.; Qiao, C.F.; Zhou, Y.; Han, Q.B.; Xu, H.X. Chemical profiling of Radix Paeoniae evaluated by ultra-performance liquid chromatography/photo-diode-array/quadrupole time-of-flight mass spectrometry. J. Pharm. Biomed. Anal. 2009, 49, 253–266. [Google Scholar] [CrossRef] [PubMed]
















| Name | NLF (Da) | Formula |
|---|---|---|
| Glc | 162 | C6H10O5 |
| Xyl | 132 | C5H8O4 |
| Ara | 132 | C5H8O4 |
| Rha | 146 | C6H10O4 |
| Fuc | 146 | C6H10O4 |
| Ac | 42 | C2H2O |
| AcO | 46 | CH2O2 |
| Glc + Rha | 308 | C12H20O9 |
| Glc + Glc | 324 | C12H20O10 |
| Rha + Fuc | 192 | C12H20O8 |
| Rha + Xyl | 278 | C11H18O8 |
| Rha + Xyl + Ara | 310 | C16H26O12 |
| Glc + Rha + Xyl | 440 | C17H28O13 |
| Rha + Fuc + Xyl | 456 | C17H28O12 |
| Glc + Glc + Rha | 470 | C18H30O14 |
| Glc + Glc + Glc + Rha | 632 | C24H40O19 |
| Rha + Fuc + Xyl + Ara | 588 | C22H36O19 |
| Glc + Glc + Glc + Xyl | 618 | C23H38O19 |
| Glc + Glc + Xyl + Rha | 602 | C23H38O18 |
| Glc + Glc + Glc + Xyl + Rha | 764 | C29H48O24 |
| Type | pDPIs | The Core Structure |
|---|---|---|
| I | 707(C38H59O12)/575(C33H51O18) | ![]() |
| 721(C39H61O12)/575(C33H51O8) | ![]() | |
| 723(C38H59O13)/591(C33H51O9) | ![]() | |
| 737(C39H61O13)/591(C33H51O9) | ![]() | |
| 739(C38H59O14)/607(C33H51O10) | ![]() | |
| 753(C39H61O14)/607(C33H51O10) | ![]() | |
| 755(C38H59O15)/623(C33H51O11) | ![]() | |
| 707(C38H59O12)/561(C32H49O8) | ![]() | |
| 769(C39H61O15)/623(C33H51O11) | ![]() | |
| II&III | 719(C39H59O12)/ 573(C33H51O8) | ![]() |
| 735(C39H59O13)/ 589(C33H51O9) | ![]() | |
| IV | 769(C39H61O15)/ 589(C33H49O9) | ![]() |
| V | 753(C39H61O14)/ 573(C33H49O8) | ![]() |
| VI | 755(C39H63O14)/ 575(C33H51O8) | ![]() |
| 771(C39H63O15)/591(C33H51O9) | ![]() | |
| 787(C39H63O16)/ 607(C33H51O10) | ![]() |
![]() | ||||||||||
|---|---|---|---|---|---|---|---|---|---|---|
| NO. | Mass (m/z) | Formula [M − H]− | MS/MS Fragment Ions | Identifification | R1 | R2 | R3 | R4 | R5 | R6 |
| S1 | 707.4011 | C38H59O12 | MS2[707]: 575(100) | Sprengerinin A | Xyl-glc | |||||
| S2–S8 | 721.4157 | C39H61O12 | MS2[721]: 575(100) | Ophiopogonin C’ | Rha-glc | |||||
| 721.4157 | C39H61O12 | MS2[721]: 575(100) | Ophiopogonin B | O-Rha-fuc | ||||||
| 721.4157 | C39H61O12 | MS2[721]: 575(100) | Nolinpspiroside F | O-Fuc | Rha | |||||
| S9 | 723.3950 | C38H59O13 | MS2[723]: 591(100) | Ophiopogonin E | Xyl-glc | OH | ||||
| S10 | 723.3950 | C38H59O13 | MS2[723]: 591(100) | Ophiopogonin S | Xyl-glc | OH | ||||
| S11–S15 | 737.4106 | C39H61O13 | MS2[737]: 247(100), 591(74), 693(14), 367(8), 424(7), 265(6) | 14-Hydroxydiosgenin 3-O-α-l-Rha-(1→2)-β-d-Glc | Rha-glc | OH | ||||
| 737.4106 | C39H61O13 | MS2[723]: 591(100) | Pennogenin 3-O-α-l-Rha-(1→2)-β-d-Glc | Rha-glc | OH | |||||
| 737.4106 | C39H61O13 | MS2[723]: 591(100) | Floribundasaponin B | O-Rha-glc | OH | |||||
| S16 | 739.3899 | C38H59O14 | MS2[739]: 607(100) | Ophiogenin 3-O-xyl(1→4) β-d-glc | Xyl-glc | OH | OH | |||
| 739.3899 | C38H59O14 | MS2[739]: 607(100) | Bornyl 7-O-α-l-Ara(1→6)-β-d-Glc | Ara-glc | OH | OH | ||||
| S17–S18 | 749.4101 | C40H61O13 | MS2[749]: 707(100), 689(44), 575(30) | Ac-Sprengerinin A | Ac-Xyl(1→4)glc | |||||
| S19–S23 | 753.4055 | C39H61O14 | MS2[753]: 607(100), 445(20) | 14-Hydroxydiosgenin 3-O-α-l-Glc-(1→2)-β-d-Glc | Glc-glc | OH | ||||
| 753.4055 | C39H61O14 | MS2[753]: 607(100), 445(20) | Pennogenin 3-O-α-l-Glc-(1→2)-β-d-glc | Glc-glc | OH | |||||
| 753.4055 | C39H61O14 | MS2[753]: 607(100), 445(20) | Ophiogenin 3-O-α-l-Rha(1→2)-β-d Glc | Rha-glc | OH | OH | ||||
| S24 | 755.3848 | C38H59O15 | MS2[755]: 623(100) | — | Xyl-glc | OH | OH | |||
| S25–S26 | 763.4257 | C41H63O13 | MS2[763]: 721(100), 703(16), 575(10) | Ophiopogonin A | O-Ac-rha-fuc | |||||
| S27 | 765.4050 | C40H61O14 | MS2[765]: 723(100), 705(39), 719(22), 591(20) | Ac-Ophiopogonin E | Ac-Xyl-glc | OH | ||||
| S28 | 769.4004 | C39H61O15 | MS2[769]: 623(100), 443(9), 605(5), 461(5) | — | Rha-glc | OH | OH | OH | ||
| S29–S34 | 779.4206 | C41H63O14 | MS2[779]: 737(100), 719(17), 591(10) | Ac-(S11–S15) | Rha-glc | OH | ||||
| S35–S38 | 795.4155 | C41H63O15 | MS2[795]: 753(100), 735(36), 607(30), 445(10) | Ac-Ophiogenin 3-O-α-l-Rha(1→2)-β-d-Glc | Ac-Rha-glc | OH | OH | |||
| 795.4155 | C41H63O15 | MS2[795]: 753(100), 735(36), 591(23) | Ac-pennogenin 3-O-α-l-Glc-(1→2)-β-d-glc | Ac-Glc-glc | OH | |||||
| S39 | 839.4423 | C43H67O16 | MS2[839]: 707(100), 561(6) | Ruscogenin 1-O-α-l-Xyl(1→4)Rha(1→2)Ara | O-xyl-rha-ara | |||||
| S40–S43 | 853.4580 | C44H69O16 | MS2[853]: 721(100), 707(10), 575(6) | LS-10 | O-rha-xyl-fuc | |||||
| 853.4580 | C44H69O16 | MS2[853]: 721(100), 575(6) | Ophiopogonin D | O-rha-xyl-fuc | ||||||
| 853.4580 | C44H69O16 | MS2[853]: 721(100), 575(10) | Ophiopogonin D′ | Rha-xyl-glc | ||||||
| 853.4580 | C44H69O16 | MS2[853]: 721(100), 575(8) | Sprengerinin C | Rha-xyl-glc | ||||||
| S44–S53 | 869.4529 | C44H69O17 | MS2[869]: 737(100), 738(45), 591(2) | (25R)-Ruscogenin 3-yl α-l-Rha-(1→2)-[β-d-Xyl-(1→4)]-β-d-Glc | OH | Rha-xyl-glc | ||||
| 869.4529 | C44H69O17 | MS2[869]: 737(100), 591(2) | Pennogenin 3-O-α-l-Rha-(1→2)-[β-d-Xyl-(1→4)]-β-d-Glc | Rha-xyl-glc | OH | |||||
| 869.4529 | C44H69O17 | MS2[869]: 737(100), 738(45), 591(2) | 14-Hydroxy Sprengerinin | Rha-xyl-glc | OH | |||||
| S54 | 883.4685 | C45H71O17 | MS2[883]: 737(100), 571(34), 557(10) | Rha-(S11–S15) | Rha-glc-glc | |||||
| S55–S58 | 885.4478 | C44H69O18 | MS2[885]: 753(100), 607(2) | Cixi-ophiopogon A | Rha-xyl-glc | OH | OH | |||
| 885.4478 | C44H69O18 | MS2[885]: 753(100), 607(4), 735(3), 445(2) | Ophiopojaponin C | Rha-xyl-glc | OH | OH | ||||
| S59–S69 | 895.4685 | C46H71O17 | MS2[895]: 853(100), 835(94), 721(15), 707(3) | Ophiopogonin C | O-Rha-xyl-glc | Ac | ||||
| 895.4685 | C46H71O17 | MS2[895]: 853(100), 835(59), 721(16), 763(5), 707(3) | Ophiopogonin B′ | Ac-rha-xyl-glc | ||||||
| 895.4685 | C46H71O17 | MS2[895]: 853(100), 835(59), 721(16), 763(4), 707(4) | Diosgenin 3-O-[2-O-Ac-α-l-Rha-(1→2)][β-d-Xyl-(1→4)]-β-d-Glc | Ac-rha-xyl-glc | ||||||
| 895.4685 | C46H71O17 | MS2[895]: 853(100), 835(52), 721(15), 707(4), 763(3) | Ophiopogonin P | Ac-rha-xyl-glc | ||||||
| 895.4685 | C46H71O17 | MS2[895]: 853(100), 835(47), 721(15), 707(5), 763(3) | Ophiopogonin Q | Ac-rha-xyl-glc | ||||||
| S68 | 901.4427 | C44H69O19 | MS2[901]: 769(100), 623(30), 751(10) | Xyl-S28 | Rha-xyl-glc | OH | OH | OH | ||
| S69–S80 | 911.4634 | C46H71O18 | MS2[911]: 869(100), 851(49), 737(11), 723(3), 591(2) | Pennogenin 3-O-α-l-Rha-(1→2)-β-d-Xyl-(1→4)-β-d-Glc | Ac-Rha-xyl-glc | OH | ||||
| 911.4634 | C46H71O18 | MS2[911]: 869(100), 851(58), 737(21), 779(10), 723(8), 652(6), 719(6) | Ac-Ruscogenin 3-O-α-l-Rha-(1→2)-β-d-Xyl-(1→4)-β-d-Glc | [Ac-rha(1→2)]xyl(1→4)glc | OH | |||||
| 911.4634 | C46H71O18 | MS2[911]: 869(100), 851(63), 737(15), 779(6) | Ophiopojaponin A | [Ac-rha(1→2)]xyl(1→4)glc | OH | |||||
| S81–S84 | 915.4584 | C45H71O18 | MS2[915]: 769(100), 753(56), 589(13), 735(11), 607(6) | (25R)-14α,17α-Hydroxyspirost-5-en-3β-yl3-O-α-l-Rha-(1→2)-β-d-Glc-(1→3)-β-d-Glc | Rha(1→2)glc(1→3)glc | OH | OH | |||
| S85 | 917.4740 | C45H73O19 | MS2[917]: 707(100), 871(81), 465(12), 561(10) | Ruscogenin 1-O-α-l-Xyl(1→3)Rha(1→2)Ara | O-Xyl(1→3)rha(1→2)ara | OH? | OH | |||
| S86–S90 | 927.4584 | C46H71O19 | MS2[927]: 885(100), 867(54), 753(16), 885(13), 735(7), 739(5), 721(3), 607(2) | Ac-(S55–S58) | Ac-Rha-xyl-glc | OH | OH | |||
| S91 | 931.4533 | C45H71O20 | MS2[931]: 785(100), 769(56), 623(45), 461(4) | Glc-S28 | Rha-glc-glc | OH | OH | OH | ||
| S92–S100 | 953.4740 | C48H73O19 | MS2[953]: 911(100), 893(64), 851(59), 869(12), 833(9), 737(7) | Ac-(S69–S80) | 2Ac-Rha-xyl-glc? | OH | ||||
| S101–S102 | 969.4689 | C48H73O20 | MS2[969]: 927(100), 909(46), 867(38), 849(18), 885(13), 753(10) | Ac-(S86–S90) | 2Ac-Rha-xyl-glc | OH | OH | |||
| S103 | 997.5002 | C50H77O20 | MS2[997]: 853(100), 895(7), 835(5), 721(3) | Xyl-(S40–S43) | O-rha-xyl-fuc? | |||||
| S104–S105 | 1045.5208 | C51H81O22 | MS2[1045]: 833(100), 899(33), 737(22), 719(8) | — | Glc-rha | Glc-glc | OH | |||
![]() | ||||||||||
| NO. | Mass (m/z) | Formula [M − H]− | MS/MS Fragment Ions | Identifification | R1 | R2 | R3 | |||
| S106 | 719.4001 | C39H59O12 | MS2[719]: 573(100) | (1β,3β)-3-Hydroxyspirosta-5,25(27)-dien-1-yl O-6-deoxy-α-l-Rha-(1→2)-β-d-Glc | Rha(1→2)glc | |||||
| S107–S108 | 807.4161 | C42H63O15 | MS2[807]: 719(100), 761(77), 683(13) | Ac-(1β,3β)-3-Hydroxyspirosta-5,25(27)-dien-1-yl O-6-deoxy-α-l-Rha-(1→2)-β-d-Glc+ HCOOH | Ac-Rha(1→2)glc +HCOOH | |||||
| S109–S112 | 851.4418 | C44H67O16 | MS2[851]: 719(100), 573(45) | (1β,3β)-3-Hydroxyspirosta-5,25(27)-dien-1-yl O-6-deoxy-α-l-Rha-(1→2)-O-[β-d-Xyl-(1→4)]-β-d-Fuc/25(R)-spirost-5,8-diene-3β-ol-3-O-α-l-Rha(1→2)-β-d-Xyl(1→4)-β-d-Glc | Xyl(1→3)rha(1→2)glc | |||||
| S113–S114 | 867.4372 | C44H67O17 | MS2[867]: 735(100), 721(3), 523(2), 589(2) | (1β,3β)-3-Hydroxyspirosta-5,25(27)-dien-1-yl O-6-deoxy-α-l-Rha-(1→2)-O-[β-d-Xyl-(1→4)]-β-d-Glc | xyl(1→4)rha(1→2)glc | OH? | ||||
| S115 | 881.4529 | C45H69O17 | MS2[881]: 735(100) | (1β,3β)-3-Hydroxyspirosta-5,25(27)-dien-1-yl O-6-deoxy-α-l-Rha-(1→2)-O-[β-d-Fuc-(1→4)]-β-d-Glc | Rha-glc-fuc | OH? | ||||
| S116–S117 | 1191.5429 | C56H87O27 | MS2[1191]: 1059(100), 1041(61), 1029(61), 1045(48), 913(40), 897(34), 879(30), 895(23), 733(20), 571(20) | — | Xyl-rha-glc | Glc-glc | ||||
![]() | ||||||||||
| NO. | Mass (m/z) | Formula [M − H]− | MS/MS Fragment Ions | Identifification | R1 | R2 | R3 | |||
| S118 | 915.4584 | C45H71O19 | MS2[915]: 769(100), 751(77), 589(28), 897(20) | 26-O-β-d-Glc-20α-hydroxyfurost-25,27-dine-3-α-l-Rha-β-d-Glc | Rha-glc | Glc | ||||
| S119–S120 | 915.4584 | C45H71O19 | MS2[915]: 753(100), 733(90), 879(45), 573(30) | 26-O-β-d-Glc-β-d-Glc-20α-hydroxyfurost-25,27-dine-3-α-l-Rha | Rha | Glc-glc | ||||
| S121–S124 | 1047.5007 | C50H79O23 | MS2[1047]: 915(100), 901(19), 769(16), 897(15), 589(5) | Xyl-S118 | Rha-xyl-glc | Glc | ||||
| 1047.5007 | C50H79O23 | MS2[1047]: 915(100), 769(14) | Ara-S118 | Rha-Ara-glc | Glc | |||||
| S125–S126 | 1077.5476 | C52H85O23 | MS2[1077]: 915(100), 931(25), 769(20), 897(10), 589(7) | Glc-(S119-S120) | Rha-glc | Glc-glc | ||||
| S127 | 1195.5378 | C55H87O28 | MS2[1195]: 1063(100), 917(27), 901(20) | Xyl-Ara-(S119-S120) | Xyl-rha-ara | Glc-glc | OH | |||
| S128–S130 | 1209.5535 | C56H89O28 | MS2[1209]: 1077(100), 915(84), 1047(67), 1063(66), 901(22), 915(19), 769(15), 751(14) | Xyl-Glc-(S119-S120) | Rha-xyl-glc | Glc-glc | ||||
![]() | ||||||||||
| NO. | Mass (m/z) | Formula [M − H]− | MS/MS Fragment Ions | Identifification | R1 | R2 | ||||
| S131 | 899.4634 | C45H71O18 | MS2[899]: 753(100), 573(26), 735(7), 737(6), 591(5) | (20R,25R)-26-O-β-d-Glc-3β,26-dihydroxycholest-5-en-16,22-dioxo-3-O-α-l-Rha(1→2)-β-d-Glc | Rha-glc | Glc | ||||
| S132–S134 | 1031.5057 | C50H79O22 | MS2[1031]: 899(100), 885(14), 881(11), 753(11) | (20R,25R)-26-O-β-d-glc-3β,26-dihydroxycholest-5-en-16,22-dioxo-3-O-α-l-Rha(1→2)-[β-d-Xyl(1→3)]β-d-Glc | Rha-xyl-glc | Glc | ||||
| S135–S142 | 1061.5158 | C51H81O23 | MS2[1061]: 899(100), 915(30), 753(25), 735(15), 573(10), 591(4) | Glc-(20R,25R)-26-O-β-d-glc-3β,26-dihydroxycholest-5-en-16,22-dioxo-3-O-α-l-Rha(1→2)-β-d-Glc | Rha-glc | Glc-glc | ||||
| S143–S148 | 1193.5586 | C56H89O27 | MS2[1193]: 1061(100), 899(85), 1047(63), 1031(49), 915(21), 753(19), 885(17), 881(13) | Xyl-Glc-(20R,25R)-26-O-β-d-Glc-3β,26-dihydroxycholest-5-en-16,22-dioxo-3-O-α-LRha(1→2)-β-d-Glc | Rha-xyl-glc | Glc-glc | ||||
![]() | ||||||||||
| NO. | Mass (m/z) | Formula [M − H]− | MS/MS Fragment Ions | Identifification | R1 | R2 | R3 | R4 | R5 | R6 |
| S149–S150 | 901.4791 | C45H73O18 | MS2[901]: 755(100), 593(4), 575(3), 737(3) | — | Rha-glc | glc | ||||
| S151–S153 | 917.4740 | C45H73O19 | MS2[917]: 771(100), 591(13), 755(3), 429(2) | Ophiofurspiside M | OH | Rha-glc | Glc | |||
| 917.4740 | C45H73O19 | MS2[917]: 771(100), 591(22), 755(3) | Ophiopojaponin B | Rha-glc | OH | Glc | ||||
| S154–S156 | 933.4689 | CH7345O20 | MS2[933]: 787(100), 607(34), 445(14) | Ophiofurspiside F/isomer | Rha-glc | OH | OH | Glc | ||
| S157–S158 | 943.4897 | C47H75O19 | MS2[943]: 883(100), 901(65), 775(16) | — | Ac-Rha-glc | glc | ||||
| S159–S162 | 959.4846 | C47H75O20 | MS2[959]: 899(100), 917(42) | Ac-Ophiofurspiside M/Ophiopojaponin B | OH? | Rha-glc | Glc | |||
| S163–S164 | 1033.5213 | C50H81O22 | MS2[1033]: 901(100), 887(42), 883(13), 755(10), 575(5) | Ophiopogonin T | Rha-xyl-fuc | Glc | ||||
| 1033.5213 | C50H81O22 | MS2[1033]: 901(100), 755(50), 887(42), 883(13) | Ophiopogoside A | Ara-rha-glc | Glc | |||||
| S165–S166 | 1049.5163 | C50H81O23 | MS2[1049]: 917(100), 771(55), 903(51), 899(16), 754(5), 591(3) | Xyl-Ophiofurspiside M | OH | Xyl-rha-glc | Glc | |||
| 1049.5163 | C50H81O23 | MS2[1049]: 917(100), 771(60), 903(51), 899(16), 754(5), 591(3) | Xyl-Ophiopojaponin B | Xyl-rha-glc | OH | Glc | ||||
| S167 | 1063.5304 | C51H83O23 | MS2[1063]: 901(100), 737(67), 755(56), 623(23) | Trigoneoside Iva/isomer | Rha-glc | Glc-glc | ||||
| S168 | 1065.5112 | C50H81O24 | MS2[1065]: 933(100), 919(47), 787(45), 771(9), 915(9), 607(5) | Xyl-Ophiofurspiside F | Xyl-rha-glc | OH | OH | glc | ||
| S169 | 1075.5320 | C52H83O23 | MS2[1075]: 1015(100), 1033(78), 883(20), 901(11) | Ac-Ophiopogonin T/Ophiopogoside A | Ac-Rha-xyl-fuc | Glc | ||||
| S170–S173 | 1079.5269 | C51H83O24 | MS2[1079]: 917(100), 933(60), 771(59), 591(16), 753(12), 899(3), 755(2) | Glc-Ophiofurspiside M | OH | Rha-glc | Glc-glc | |||
| 1079.5269 | C51H83O24 | MS2[1079]: 917(100), 933(60), 771(59), 591(30) | Glc-Ophiopojaponin B | Rha-glc | OH | Glc-glc | ||||
| S174–S183 | 1095.5218 | C51H83O25 | MS2[1095]: 933(100), 949(60), 787(59), 769(16), 607(12), 771(8) | Ophiopogonin K | Rha-glc | OH | OH | Glc-glc | ||
| 1095.5218 | C51H83O25 | MS2[1095]: 933(100), 949(60), 787(59), 769(16), 607(12), 771(8) | Ophiopogonin K-isomer | OH | Rha-glc | OH | Glc-glc | |||
| S184 | 1195.5378 | C56H91O27 | MS2[1195]: 1063(100), 901(91), 1033(89), 1049(61), 755(50), 887(43), 575(20) | Ophiopogonin F/isomer | Rha-xyl-glc | Glc-glc | ||||
| S185 | 1211.5691 | C56H91O28 | MS2[1211]: 1079(100), 1049(70), 917(66), 1065(57), 771(37), 903(32), 933(31), 753(15), 1061(13), 899(12), 591(8) | Ophiopogonin J | Rha-xyl-glc | OH | Glc(1-2)glc | |||
| S186–S188 | 1211.5691 | C56H91O28 | MS2[1211]: 1079(100), 1049(57), 917(50), 1065(47), 771(30), 903(32), 933(31), 753(15), 1061(13), 899(12), 591(8) | Ophiopogonin N | Rha-xyl-glc | OH | Glc(1-6)glc | |||
| 1211.5691 | C56H91O28 | MS2[1211]: 1079(100), 1049(68), 917(60), 771(45), 903(32), 933(31), 899(12), 591(10), 429(5) | Ophiorospiside C | Rha-xyl-glc | OH | Glc-glc | ||||
| S189–S190 | 1227.5641 | C56H91O29 | MS2[1227]: 1095(100), 1065(87), 933(71), 1081(53), 919(39), 949(26), 787(22), 1077(15), 769(15), 915(13), 607(10) | Hydroxyl-Ophiopogonin J/Ophiopogonin N/Ophiorospiside C | Rha-xyl-glc | OH? | OH? | Glc-glc | ||
| S191 | 1237.5848 | C58H93O28 | MS2[1237]: 1195(100), 1177(98), 1045(11), 1033(9), 1015(7), 1063(5), 883(3), 899(1) | Ac-Ophiopogoin F/isomer | Ac-Rha-Xyl-glc | Glc-glc | ||||
![]() | |||||||||||
|---|---|---|---|---|---|---|---|---|---|---|---|
| NO. | Mass (m/z) | Formula [M − H]− | MS/MS Fragment Ions | Identifification | SO3/SO2 | R1 | R2 | R3 | R4 | R5 | R6 |
| SS1 | 639.3191 | C33H51O10S | MS2[639]: 493(100), 475(77), 535(66), 177(55) | Diosgenin 1-O-α-l-Fuc/isomer-sulfate | SO3 | O-Fuc | |||||
| SS2 | 655.3141 | C33H51O11S | MS2[655]: 509(100), 491(13), 551(9) | Ruscogenin 1-O-α-l-Fuc/isomer-sulfate | SO3 | O-Fuc | OH | ||||
| SS3–SS6 | 671.3090 | C33H51O12S | MS2[671]: 509(100), 551(28), 653(11), 510(11), 493(9) | Ruscogenin 3-α-l-Glc/isomer-sulfate | SO3 | OH | Glc | ||||
| SS7 | 687.3039 | C33H51O13S | MS2[687]: 525(100) | Ophiogenin 3-O-β-d-Glc-sulfate | SO3 | Glc | OH | OH | |||
| SS8 | 787.3563 | C38H59O15S | MS2[787]: 357(100), 641(91), 683(23), 642(11), 385(3), 713(3) | Ruscogenin 3-α-l-Ara-Rha/isomer-sulfate | SO3 | OH | Rha-ara | ||||
| SS9 | 801.3714 | C39H61O15S | MS2[801]: 655(100), 801(42), 656(14), 804(11) | Ophiopogonin B/C’/isomer-sulfate | SO3 | OH | Rha-fuc | ||||
| SS10–SS14 | 817.3663 | C39H61O16S | MS2[817]: 671(100), 771(69), 336(46) | Pennogenin 3-O-α-l-Rha-(1→2)-β-d-Glc/Floribundasaponin B/isomer-sulfate | SO3 | Rha-glc | OH | ||||
| SS15–SS16 | 833.3618 | C39H61O17S | MS2[833]: 815(100), 687(73), 387(29), 816(23), 617(13), 673(12), 688(11) | Ophiogenin 3-O-α-l-Rha(1→2)-β-D Glc/isomer-sulfate | SO3 | Rha-glc | OH | OH | |||
| SS17–SS18 | 933.4137 | C44H69O19S | MS2[933]: 787(100), 801(5), 509(2) | Ophiopogonin D/isomer-sulfate | SO3 | O-Rha-xyl-fuc | |||||
| SS19–SS20 | 949.4086 | C44H69O20S | MS2[949]: 803(100), 787(50), 357(47), 845(17), 788(9), 591(8) | (25R)-Ruscogenin 3-yl α- L-Rha-(1→2)-[β-d-Xyl-(1→4)]-β-d-Glc/isomer-sulfate | SO3 | OH | Rha-glc-ara | ||||
| SS21–SS27 | 963.4248 | C45H71O20S | MS2[963]: 817(100), 801(76), 637(20), 655(17), 843(14) | Pennogenin 3-O-α-l-Rha-(1→2)-β-d-Glc-fuc | SO3 | Fuc-Rha-glc | OH | ||||
| SS28 | 965.4035 | C44H69O21S | MS2[965]: 819(100), 357(67) | Cixi-ophiopogon A/Ophiopojaponin C/isomer-sulfate | SO3 | Rha-glc-ara | OH | OH | |||
| SS29 | 995.4146 | C45H71O22S | MS2[995]: 849(100), 669(94), 833(87), 687(24), 850(20), 670(18), 834(17), 875(12) | (25R)-14α,17α-Hydroxyspirost-5-en-3β-yl3-O-α-l-Rha-(1→2)-β-d-Glc-(1→3)-β-d-Glc/isomer-sulfate | SO3 | Rha(1→2)glc(1→3)glc | OH | OH | |||
![]() | |||||||||||
| NO. | Mass (m/z) | Formula [M − H]− | MS/MS Fragment Ions | Identifification | SO3/SO2 | R1 | R2 | R3 | |||
| SS30 | 799.3563 | C39H59O15S | MS2[799]: 653(100), 695(20), 371(19), 654(18) | (1β,3β)-3-Hydroxyspirosta-5,25(27)-dien-1-yl-O-6-deoxy-α-l-Rha-(1→2)-β-d-Glc/isomer-sulfate | SO3 | Rha(1→2)glc | |||||
| SS31 | 947.3935 | C44H67O20S | MS2[947]: 801(100), 785(52), 357(41), 915(20), 843(19), 767(17), 827(10) | (1β,3β)-3-Hydroxyspirosta-5,25(27)-dien-1-yl-O-6-deoxy-α-l-Rha-(1→2)-O-[β-d-Xyl-(1→4)]-β-d-Glc/isomer-sulfate | SO3 | xyl(1→4)rha(1→2)glc | OH? | ||||
| SS32 | 961.4086 | C45H69O20S | MS2[961]: 815(100), 799(54), 781(24), 371(14), 816(14) | (1β,3β)-3-Hydroxyspirosta-5,25(27)-dien-1-yl-O-6-deoxy-α-l-Rha-(1→2)-O-[β-d-Fuc-(1→4)]-β-d-Glc/isomer-sulfate | SO3 | Xyl-rha-glc | Glc-glc | ||||
![]() | |||||||||||
| NO. | Mass (m/z) | Formula [M − H]− | MS/MS Fragment Ions | Identifification | SO3/SO2 | R1 | R2 | ||||
| SS33–SS39 | 963.4248 | C45H71O20S | MS2[963]: 817(100), 801(76), 637(20), 655(17), 843(14), 818(13) | (20R,25R)-26-O-β-d-Glc-3β,26-dihydroxycholest-5-en-16,22-dioxo-3-O-α-l-Rha(1→2)-β-d-Glc/isomer-sulfite | SO2 | Rha-Glc | Rha | ||||
| SS40 | 979.4192 | C45H71O21S | MS2[979]: 817(100), 833(76), 653(42), 859(19), 671(13), 818(11), 834(10), 799(5) | (20R,25R)-26-O-β-d-Glc-3β,26-dihydroxycholest-5-en-16,22-dioxo-3-O-α-l-Rha(1→2)-β-d-Glc/isomer-sulfate | SO3 | Rha-Glc | Rha | ||||
![]() | |||||||||||
| NO. | Mass (m/z) | Formula [M − H]− | MS/MS Fragment Ions | Identifification | SO3/SO2 | R1 | R2 | R3 | R4 | R5 | R6 |
| SS41–SS44 | 819.3825 | C39H63O16S | MS2[819]: 657(100), 673(43), 447(41), 639(31), 655(24), 699(22), 609(16), 515(14) | — | SO3 | Glc-fuc | |||||
| SS45–SS46 | 835.3774 | C39H63O17S | MS2[835]: 673(100), 655(44), 715(20), 674(9) | Hydroxyl-819 | SO3 | Glc-fuc | OH | ||||
| SS47 | 851.3724 | C39H63O18S | MS2[851]: 623(100), 443(56), 605(20), 769(20) | — | SO2 | OH | Rha | OH | OH | Glc | |
| SS48–SS51 | 851.3724 | C39H63O18S | MS2[851]: 689(100), 671(57), 690(32), 672(20), 731(19) | Dihydroxyl-819 | SO3 | Rha | OH | OH | Glc | ||
| SS52–SS53 | 965.4035 | C45H73O20S | MS2[965]: 803(100), 785(31), 819(24), 845(15), 755(13), 639(11) | — | SO2 | Rha-glc | Glc | ||||
| SS54 | 967.4197 | C44H71O21S | MS2[967]: 805(100), 821(79), 689(28), 741(20), 787(19), 447(15) | — | SO3 | OH | Rha-ara | Glc | |||
| SS55–SS60 | 981.4353 | C45H73O21S | MS2[981]: 819(100), 801(33), 835(23), 861(17), 895(14), 655(10) | S150-151/isomer-sulfate | SO3 | Rha-glc | Glc | ||||
| SS61 | 997.4303 | C45H73O22S | MS2[997]: 835(100), 851(36), 817(8), 671(8), 979(7), 591(7), 715(5) | Ophiopojaponin B/isomer-sulfate | SO3 | Rha-glc | OH | Glc | |||
| SS62 | 1013.4250 | C45H73O23S | MS2[1013]: 785(100), 851(70), 605(62), 931(32), 623(28), 687(26), 867(23), 443(23), 543(18), 479(18) | Ophiofurspiside F/isomer-sulfate | SO3 | Rha-glc | OH | OH | Glc | ||
| SS63–SS66 | 1023.4460 | C47H75O22S | MS2[1023]: 981(100), 893(64), 867(50), 835(40), 863(21), 851(14), 964(11), 903(10) | S158-S159-sulfate | SO3 | Ac-Rha-glc | Glc | ||||
| SS67–SS69 | 1039.4403 | C47H75O23S | MS2[1039]: 979(100), 909(67), 877(43), 851(38), 879(26), 671(12), 919(9) | Ac-Ophiofurspiside M/Ophiopojaponin B/isomer-sulfate | SO3 | OH | Rha-glc | Glc | |||
| SS70–SS71 | 1113.4777 | C50H81O25S | MS2[1113]: 951(100), 967(36), 933(28), 981(24), 655(23), 993(15), 1095(14), 673(10), 771(10) | Ophiopogoside A/Ophiopogonin T/isomer-sulfate | SO3 | Rha-xyl-fuc | Glc | ||||
| SS72–SS74 | 1127.4933 | C51H83O25S | MS2[1127]: 965(100), 755(9), 803(7), 785(4), 901(4), 981(4) | Trigoneoside Iva/isomer-sulfite | SO2 | Rha-glc | Glc-glc | ||||
| SS75–SS76 | 1129.4726 | C50H81O26S | MS2[1129]: 967(100), 983(86), 851(30), 1111(28), 997(28), 357(24), 968(19), 984(10) | Xyl-Ophiofurspiside M/isomer-sulfate | SO3 | OH | Xyl-rha-glc | Glc | |||
| SS77–SS80 | 1143.4882 | C51H83O26S | MS2[1143]: 981(100), 771(17), 917(8), 819(6), 801(4), 982(4), 997(4), | Glc-Ophiofurspiside M/isomer-sulfate | SO2 | OH | Rha-glc | Glc-glc | |||
| SS81 | 1145.4675 | C50H81O27S | MS2[1145]: 785(100), 931(54), 1013(50), 605(39), 983(32), 913(29), 623(29), 587(20), 767(18) | Xyl-Ophiofurspiside F/isomer0sulfate | SO3 | Xyl-rha-glc | OH | OH | Glc | ||
| SS82–SS83 | 1155.4867 | C52H83O26S | MS2[1155]: 981(100), 993(74), 1009(39), 835(13), 899(2), 849(2), 655(2) | Ac-Ophiopogoside A/isomer-sulfate | SO3 | Ara-rha-glc | Glc | ||||
| SS84–SS87 | 1159.4831 | C51H83O27S | MS2[1159]: 997(100), 1162(79), 998(77), 161(55), 1160(31), 999(30), 1013(29), 851(25) | Glc-Ophiofurspiside M/isomer-sulfate | SO3 | OH | Rha-glc | Glc-glc | |||
| SS88–SS89 | 1175.4785 | C51H83O28S | MS2[1175]: 1013(100), 785(66), 947(54), 605(41), 767(39), 931(33), 1093(25), 1029(20), 731(17), 569(13), 849(13) | Ophiopogonin K/isomer-sulfate | SO3 | OH | Rha-glc | OH | Glc-glc | ||
| SS90–SS93 | 1275.5305 | C56H91O33S | MS2[1275]: 1113(100), 933(80), 1095(71), 735(68), 1129(35), 835(13) | Ophiopogonin F/isomer-sulfate | SO3 | Rha-xyl-glc | Glc-glc | ||||
| SS94–SS95 | 1291.5254 | C56H91O31S | MS2[1291]: 1129(100), 1145(25), 1013(20), 1130(17), 1159(16), 833(14), 867(10) | Ophiopogonin J/isomer-sulfate | SO3 | Rha-xyl-glc | OH | Glc-glc | |||
Disclaimer/Publisher’s Note: The statements, opinions and data contained in all publications are solely those of the individual author(s) and contributor(s) and not of MDPI and/or the editor(s). MDPI and/or the editor(s) disclaim responsibility for any injury to people or property resulting from any ideas, methods, instructions or products referred to in the content. |
© 2024 by the authors. Licensee MDPI, Basel, Switzerland. This article is an open access article distributed under the terms and conditions of the Creative Commons Attribution (CC BY) license (https://creativecommons.org/licenses/by/4.0/).
Share and Cite
Li, Y.; Dong, P.; Shang, Z.; Dai, L.; Wang, S.; Zhang, J. Unveiling the Chemical Composition of Sulfur-Fumigated Herbs: A Triple Synthesis Approach Using UHPLC-LTQ-Orbitrap MS—A Case Study on Steroidal Saponins in Ophiopogonis Radix. Molecules 2024, 29, 702. https://doi.org/10.3390/molecules29030702
Li Y, Dong P, Shang Z, Dai L, Wang S, Zhang J. Unveiling the Chemical Composition of Sulfur-Fumigated Herbs: A Triple Synthesis Approach Using UHPLC-LTQ-Orbitrap MS—A Case Study on Steroidal Saponins in Ophiopogonis Radix. Molecules. 2024; 29(3):702. https://doi.org/10.3390/molecules29030702
Chicago/Turabian StyleLi, Yanan, Pingping Dong, Zhanpeng Shang, Long Dai, Shaoping Wang, and Jiayu Zhang. 2024. "Unveiling the Chemical Composition of Sulfur-Fumigated Herbs: A Triple Synthesis Approach Using UHPLC-LTQ-Orbitrap MS—A Case Study on Steroidal Saponins in Ophiopogonis Radix" Molecules 29, no. 3: 702. https://doi.org/10.3390/molecules29030702
APA StyleLi, Y., Dong, P., Shang, Z., Dai, L., Wang, S., & Zhang, J. (2024). Unveiling the Chemical Composition of Sulfur-Fumigated Herbs: A Triple Synthesis Approach Using UHPLC-LTQ-Orbitrap MS—A Case Study on Steroidal Saponins in Ophiopogonis Radix. Molecules, 29(3), 702. https://doi.org/10.3390/molecules29030702


























