Apremilast Cocrystals with Phenolic Coformers
Abstract
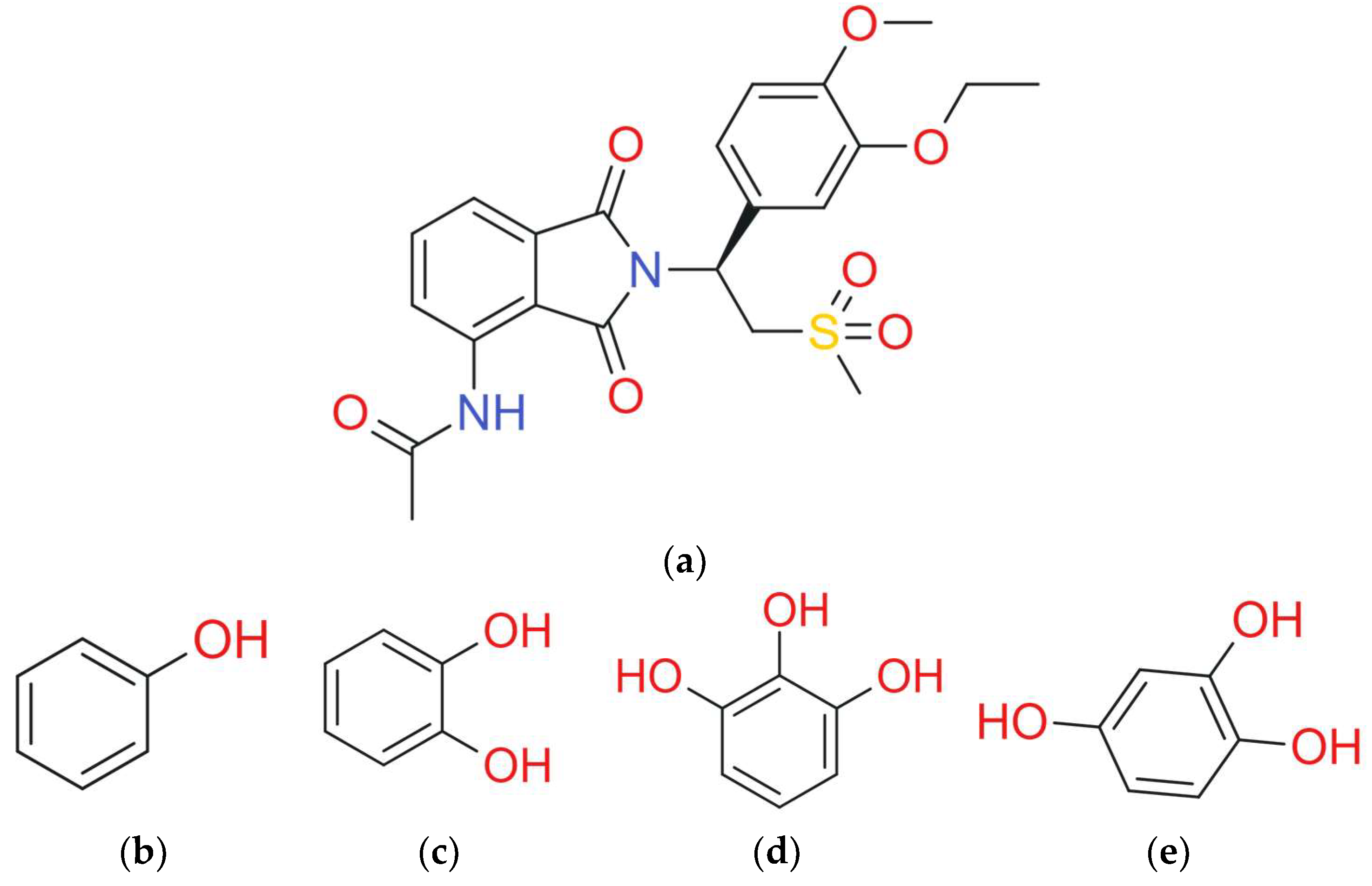
1. Introduction
2. Results and Discussion
2.1. Screening Results
2.2. Crystal Structures
2.3. Structure Packing Similarity
2.4. Powder X-Ray Diffraction (PXRD)
2.5. Physico-Chemical Properties
2.6. Hirshfield Surface Analysis
3. Materials and Methods
3.1. Materials
3.2. Preparation of Cocrystals
3.3. Single Crystal X-Ray Diffraction (SCXRD)
3.4. Powder X-Ray Diffraction (PXRD)
3.5. Differential Scanning Calorimetry (DSC)
3.6. Hirshfield Surface
4. Conclusions
Supplementary Materials
Author Contributions
Funding
Institutional Review Board Statement
Informed Consent Statement
Data Availability Statement
Acknowledgments
Conflicts of Interest
References
- Rahmani, M.; Kumar, V.; Bruno-Colmenarez, J.; Zaworotko, M.J. Crystal Engineering of Ionic Cocrystals Sustained by Azolium·Azole Heterosynthons. Pharmaceutics 2022, 14, 2321. [Google Scholar] [CrossRef]
- Bolla, G.; Sarma, B.; Nangia, A.K. Crystal Engineering of Pharmaceutical Cocrystals in the Discovery and Development of Improved Drugs. Chem. Rev. 2022, 122, 11514–11603. [Google Scholar] [CrossRef]
- Guo, M.; Sun, X.; Chen, J.; Cai, T. Pharmaceutical Cocrystals: A Review of Preparations, Physicochemical Properties and Applications. Acta Pharm. Sin. B 2021, 11, 2537–2564. [Google Scholar] [CrossRef] [PubMed]
- Groom, C.R.; Bruno, I.J.; Lightfoot, M.P.; Ward, S.C. The Cambridge Structural Database. Acta Crystallogr. B Struct. Sci. Cryst. Eng. Mater. 2016, 72, 171–179. [Google Scholar] [CrossRef] [PubMed]
- Armstrong, A.W. Pathophysiology, Clinical Presentation, and Treatment of Psoriasis: Review. JAMA 2020, 323, 1945–1960. [Google Scholar] [CrossRef] [PubMed]
- Shetty, D.; Yarlagadda, D.L.; Brahmam, B.; Dengale, S.J.; Lewis, S.A. Investigating the Influence of the Type of Polymer on Sustaining the Supersaturation from Amorphous Solid Dispersions of Apremilast and Its Pharmacokinetics. J. Drug Deliv. Sci. Technol. 2023, 84, 104520. [Google Scholar] [CrossRef]
- Li, H.; Zuo, J.; Tang, W. Phosphodiesterase-4 Inhibitors for the Treatment of Inflammatory Diseases. Front. Pharmacology 2018, 9, 1048. [Google Scholar] [CrossRef]
- Jirát, J.; Zvoníček, V.; Babor, M.; Ridvan, L.; Skořepová, E.; Dušek, M.; Šoóš, M. Formation of the First Non-Isostructural Cocrystal of Apremilast Explained. Cryst. Growth Des. 2020, 20, 5785–5795. [Google Scholar] [CrossRef]
- Jirát, J.; Ondo, D.; Babor, M.; Ridvan, L.; Šoóš, M. Complex Methodology for Rational Design of Apremilast-Benzoic Acid Co-Crystallization Process. Int. J. Pharm. 2019, 570, 118639. [Google Scholar] [CrossRef] [PubMed]
- Dudek, M.K.; Kostrzewa, M.; Paluch, P.; Potrzebowski, M.J. π-Philic Molecular Recognition in the Solid State as a Driving Force for Mechanochemical Formation of Apremilast Solvates and Cocrystals. Cryst. Growth Des. 2018, 18, 3959–3970. [Google Scholar] [CrossRef]
- Dudek, M.K.; Wielgus, E.; Paluch, P.; Śniechowska, J.; Kostrzewa, M.; Day, G.M.; Bujacz, G.D.; Potrzebowski, M.J. Understanding the Formation of Apremilast Cocrystals. Acta Crystallogr. B Struct. Sci. Cryst. Eng. Mater. 2019, 75, 803–814. [Google Scholar] [CrossRef] [PubMed]
- Jirát, J.; Babor, M.; Ridvan, L.; Skořepová, E.; Dušek, M.; Šoóš, M. Structure–Property Relations of a Unique and Systematic Dataset of 19 Isostructural Multicomponent Apremilast Forms. IUCrJ 2022, 9, 508–515. [Google Scholar] [CrossRef]
- Wang, F.-Y.; Zhang, Q.; Zhang, Z.; Gong, X.; Wang, J.-R.; Mei, X. Solid-State Characterization and Solubility Enhancement of Apremilast Drug–Drug Cocrystals. CrystEngComm 2018, 20, 5945–5948. [Google Scholar] [CrossRef]
- Wu, Y.-D.; Zhang, X.-L.; Liu, X.-H.; Xu, J.; Zhang, M.; Shen, K.; Zhang, S.-H.; He, Y.-M.; Ma, Y.; Zhang, A.-H. The Preparation, Characterization, Structure and Dissolution Analysis of Apremilast Solvatomorphs. Acta Crystallogr. C Struct. Chem. 2017, 73, 305–313. [Google Scholar] [CrossRef]
- Revathi, S.; Hakkim, F.L.; Ramesh Kumar, N.; Bakshi, H.A.; Sangilimuthu, A.Y.; Tambuwala, M.M.; Changez, M.; Nasef, M.; Krishnan, M.; Kayalvizhi, N. In Vivo Anti Cancer Potential of Pyrogallol in Murine Model of Colon Cancer. Asian Pac. J. Cancer Prev. 2019, 20, 2645–2651. [Google Scholar] [CrossRef] [PubMed]
- Wong, S.N.; Hu, S.; Ng, W.W.; Xu, X.; Lai, K.L.; Lee, W.Y.T.; Chow, A.H.L.; Sun, C.C.; Chow, S.F. Cocrystallization of Curcumin with Benzenediols and Benzenetriols via Rapid Solvent Removal. Cryst. Growth Des. 2018, 18, 5534–5546. [Google Scholar] [CrossRef]
- Sathisaran, I.; Dalvi, S.V. Crystal Engineering of Curcumin with Salicylic Acid and Hydroxyquinol as Coformers. Cryst. Growth Des. 2017, 17, 3974–3988. [Google Scholar] [CrossRef]
- Nijhawan, M.; Santhosh, A.; Babu, P.R.S.; Subrahmanyam, C.V.S. Solid state manipulation of lornoxicam for co-crystals—Physicochemical characterization. Drug Dev. Ind. Pharm. 2014, 40, 1163–1172. [Google Scholar] [CrossRef]
- Guo, C.; Zhang, Q.; Zhu, B.; Zhang, Z.; Ma, X.; Dai, W.; Gong, X.; Ren, G.; Mei, X. Drug–drug cocrystals provide significant improvements of drug properties in treatment with progesterone. Cryst. Growth Des. 2020, 20, 3053–3063. [Google Scholar] [CrossRef]
- Sanphui, P.; Goud, N.R.; Khandavilli, U.B.R.; Nangia, A. Fast Dissolving Curcumin Cocrystals. Cryst. Growth Des. 2011, 11, 4135–4145. [Google Scholar] [CrossRef]
- Rohlicek, J.; Skorepova, E.; Babor, M.; Cejka, J. CrystalCMP: An easy-to-use tool for fast comparison of molecular packing. J. Appl. Cryst. 2016, 49, 2172–2183. [Google Scholar] [CrossRef]
- Lide, D.R. CRC Handbook of Chemistry and Physics; CRC Press: Boca Raton, FL, USA, 2005; pp. 3–422. [Google Scholar]
- O’Neil, M.J. The Merck Index—An Encyclopedia of Chemicals, Drugs, and Biologicals; Royal Society of Chemistry: Cambridge, UK, 2013; p. 1482. [Google Scholar]
- Lide, D.R. CRC Handbook of Chemistry and Physics, 88th ed.; CRC Press: Boca Raton, FL, USA, 2007; pp. 3–36. [Google Scholar]
- Zhang, L.; Bandy, B.; Davison, A.J. Effects of metals, ligands and antioxidants on the reaction of oxygen with 1,2,4-benzenetriol. Free Radic. Biol. Med. 1996, 20, 495–505. [Google Scholar] [CrossRef] [PubMed]
- Bruker, S. SAINT; Bruker AXS Inc.: Madison, WI, USA, 2002. [Google Scholar]
- Sheldrick, G.M. SHELXT—Integrated Space-Group and Crystal-Structure Determination. Acta Crystallogr. A Found. Adv. 2015, 71, 3–8. [Google Scholar] [CrossRef] [PubMed]
- Altomare, A.; Cascarano, G.; Giacovazzo, C.; Guagliardi, A.; Burla, M.C.; Polidori, G.; Camalli, M. SIR92 a program for automatic solution of crystal structures by direct methods. J. Appl. Cryst. 1994, 27, 435. [Google Scholar] [CrossRef]
- Betteridge, P.W.; Carruthers, J.R.; Cooper, R.I.; Prout, K.; Watkin, D.J. CRYSTALS Version 12: Software for Guided Crystal Structure Analysis. J. Appl. Crystallogr. 2003, 36, 1487. [Google Scholar] [CrossRef]
- Cooper, R.I.; Thompson, A.L.; Watkin, D.J. CRYSTALS enhancements: Dealing with hydrogen atoms in refinement. J. Appl. Cryst. 2010, 43, 1100–1107. [Google Scholar] [CrossRef]
- Macrae, C.F.; Sovago, I.; Cottrell, S.J.; Galek, P.T.A.; McCabe, P.; Pidcock, E.; Platings, M.; Shields, G.P.; Stevens, J.S.; Towler, M.; et al. Mercury 4.0: From Visualization to Analysis, Design and Prediction. J. Appl. Crystallogr. 2020, 53, 226–235. [Google Scholar] [CrossRef] [PubMed]
- Degen, T.; Sadki, M.; Bron, E.; König, U.; Nénert, G. The HighScore suite. Powder Diffr. 2014, 29 (Suppl. S2), S13–S18. [Google Scholar] [CrossRef]
- Spackman, P.R.; Turner, M.J.; McKinnon, J.J.; Wolff, S.K.; Grimwood, D.J.; Jayatilaka, D.; Spackman, M.A. CrystalExplorer: A program for Hirshfeld surface analysis, visualization and quantitative analysis of molecular crystals. J. Appl. Cryst. 2021, 54, 1006–1011. [Google Scholar] [CrossRef] [PubMed]
- Sparkman, M.A.; Jayatilaka, D. Hirshfeld surface analysis. CrystEngComm 2009, 11, 19–32. [Google Scholar] [CrossRef]
- McKinnon, J.J.; Spackman, M.A.; Mitchell, A.S. Novel tools for visualizing and exploring intermolecular interactions in molecular crystals. Acta Cryts. B 2004, 60, 627–668. [Google Scholar] [CrossRef] [PubMed]








| Crystal Structure | APR:PHE | APR:CAT | APR:PYR | APR:HXQ |
|---|---|---|---|---|
| d, (O47···O50), Å | 2.713(4) | 2.609(4) | 2676(4) | 2.515(6) |
| <(O47–H··· O50), ˚ | 166(5) | 148 | 169 | 163 |
| d, (O50···O6), Å | 2.993(2) | 2.929(3) | 2.883(3) | 2.952(4) |
| <(O50–H··· O6), ˚ | 165(4) | 156 | 160 | 159 |
| d, (π–π) Å | 4.1187(11) | 4.1301(19) | 4.1255(17) | 4.127(2) |
| <(π–π), ˚ | 5.35(9) | 4.81(15) | 4.40(13) | 5.81(18) |
| API, Melting Point (°C) | Coformer, Melting Point (°C) | Solid Form, Melting Point (°C) |
|---|---|---|
| APR (156) | PHE (40) [22] | APR:PHE (145) |
| CAT (110) [23] | APR:CAT (141) | |
| PYR (126) [24] | APR:PYR (142) | |
| HXQ (139) [25] | APR:HXQ (127) |
| Contacts | APR:PHE | APR:CAT | APR:PYR | APR:HXQ |
|---|---|---|---|---|
| APR | ||||
| C···C, % | 2.4 | 2.6 | 2.5 | 2.5 |
| C···H/H···C, % | 9.2/6.2 (15.4) | 9.3/6.0 (15.3) | 8.8/6.0 (14.8) | 8.3/6.1 (14.4) |
| C···O/O···C, % | 1/0.4 (1.4) | 0.7/0.4 (1.1) | 1.3/0.4 (1.7) | 1.9/0.4 (2.3) |
| C···N/N···C, % | 0.4/0.8 (1.2) | 0.4/0.8 (1.2) | 0.3/0.8 (1.1) | 0.4/0.8 (1.2) |
| O···N/N···O, % | - | - | 0/0.2 | 0/0.3 |
| O···O, % | 0.1 | 0.1 | 0.1 | 0.1 |
| H···H, % | 42.1 | 43.2 | 42.5 | 41.7 |
| N···H/H···N, % | 0.3/0.1 (0.4) | 0.3/0.1 (0.4) | 0.1/0.1 (0.2) | 0.1/0.1 (0.2) |
| O···H/H···O, % | 16.9/20.1 (37.0) | 15.7/20.4 (36.1) | 16.5/20.4 (36.9) | 17.1/20.2 (37.3) |
| Coformer | PHE | CAT | PYR | HXQ |
| C···C, % | 8.3 | 8.5 | 8.1 | 8.4 |
| C···H/H···C, % | 6.1/11 (17.1) | 6.0/12.5 (18.5) | 5.5/10.9 (16.4) | 6.0/8.2 (14.2) |
| C···O/O···C, % | 1.0/4.1 (5.1) | 0.7/2.1 (2.8) | 0.8/4.7 (5.5) | 0.7/7.9 (8.6) |
| C···N/N···C, % | 2.7/0 (2.7) | 2.7/0 (2.7) | 2.7/0 (2.7) | 2.7/0 (2.7) |
| O···N/N···C, % | - | - | 1.2/0 (1.2) | 1.9/0 (1.9) |
| O···O, % | 0.2 | 0.5 | 0.1 | - |
| H···H, % | 38.6 | 52.0 | 43.2 | 34.9 |
| N···H/H···N, % | 0/1.7 (1.7) | 0/1.6 (1.6) | 0/0.5 (0.6) | - |
| O···H/H···O, % | 13.0/13.3 (26.3) | 11.9/1.5 (13.4) | 13.3/8.9 (22.2) | 16.9/12.4 (29.3) |
| Water | H2O | H2O | H2O | H2O |
| H···H, % | 38.8 | 40.1 | 41.1 | 46.8 |
| O···H/H···O, % | 28.3/32.9 (61.2) | 26.2/33.7 (59.9) | 27.0/31.9 (58.9) | 24.7/28.5 (53.2) |
| Slow Evaporation from Solution | Mortar-Pestle Grinding Method | Grinding Using the Planetary Ball Mill | |
|---|---|---|---|
| APR:PHE | ✗ | ✓ | ✗* |
| APR:CAT | ✗ | ✗ | ✓ |
| APR:PYR | ✗ | ✓ | ✓ |
| APR:HXQ | ✓ | ✓ | ✓ |
| APR:PHE·H2O | APR:CAT·H2O | APR:PYR·H2O | APR:HXQ | |
|---|---|---|---|---|
| CSD No. | 2,393,590 | 2,393,588 | 2,393,591 | 2,393,589 |
| Molecular Formula | (C22H24N2O7S) 0.5(C6H6O)0.5(H2O) | (C22H24N2O7S) 0.5(C6H6O2)0.5(H2O) | (C22H24N2O7S) 0.5(C6H6O3)0.5(H2O) | (C22H24N2O7S) 0.5(C6H6O3)0.5(H2O) |
| Mr, g mol−1 | 516.82 | 524.57 | 531.56 | 524.57 |
| Crystal system | Tetragonal | Tetragonal | Tetragonal | Tetragonal |
| Space group | P41212 | P41212 | P41212 | P41212 |
| a, Å | 12.9102(10) | 12.91040(14) | 12.8890(2) | 12.8833(2) |
| c, Å | 29.6214(6) | 29.6743(6) | 29.7498(8) | 29.9010(5) |
| V, Å3 | 4937.10(13) | 4946.07(15) | 4942.2(2) | 4962.95(18) |
| Z | 8 | 8 | 8 | 8 |
| ρcalc, g/cm3 | 1.390 | 1.409 | 1.431 | 1.404 |
| F000 | 2176 | 2208 | 2232 | 2228 |
| µCuKα, mm−1 | 1.623 | 1.644 | 1.670 | 1.663 |
| T, K | 180 | 180 | 180 | 180 |
| Crystal size, mm3 | 0.080 × 0.110 × 0.171 | 0.200 × 0.202 × 0.380 | 0.200 × 0.228 × 0.240 | 0.074 × 0.076 × 0.136 |
| θ range, ° | 3.73–72.22 | 3.73–70.07 | 0.97–72.16 | 3.74–68.27 |
| Data collected | 87,075 | 68,679 | 69,008 | 62,462 |
| Data obs., I > 2 σ(I) | 4777 | 4700 | 4911 | 4562 |
| Data/Restrains/Npar | 4866/9/344 | 4700/3/334 | 4911/45/343 | 4562/67/342 |
| R1 (I > 2 σ(I)) | 0.0293 | 0.0386 | 0.0338 | 0.0429 |
| wR1 (I > 2 σ(I)) | 0.0808 | 0.1125 | 0.0930 | 0.1149 |
| R | 0.0298 | 0.0389 | 0.0346 | 0.0446 |
| wR | 0.0815 | 0.1136 | 0.0938 | 0.1173 |
| GOF | 0.99 | 0.99 | 0.99 | 1.00 |
| Δρmin, Δρmax, e Å−3 | −0.21, 0.16 | −0.37, 0.78 | −0.35, 0.24 | −0.63, 0.34 |
| Flack’s x | 0.009(12) | 0.001(19) | 0.002(15) | 0.007(15) |
Disclaimer/Publisher’s Note: The statements, opinions and data contained in all publications are solely those of the individual author(s) and contributor(s) and not of MDPI and/or the editor(s). MDPI and/or the editor(s) disclaim responsibility for any injury to people or property resulting from any ideas, methods, instructions or products referred to in the content. |
© 2024 by the authors. Licensee MDPI, Basel, Switzerland. This article is an open access article distributed under the terms and conditions of the Creative Commons Attribution (CC BY) license (https://creativecommons.org/licenses/by/4.0/).
Share and Cite
Naumkina, Y.; Kratochvíl, B.; Korotkova, E.; Čejka, J. Apremilast Cocrystals with Phenolic Coformers. Molecules 2024, 29, 6060. https://doi.org/10.3390/molecules29246060
Naumkina Y, Kratochvíl B, Korotkova E, Čejka J. Apremilast Cocrystals with Phenolic Coformers. Molecules. 2024; 29(24):6060. https://doi.org/10.3390/molecules29246060
Chicago/Turabian StyleNaumkina, Yelizaveta, Bohumil Kratochvíl, Elena Korotkova, and Jan Čejka. 2024. "Apremilast Cocrystals with Phenolic Coformers" Molecules 29, no. 24: 6060. https://doi.org/10.3390/molecules29246060
APA StyleNaumkina, Y., Kratochvíl, B., Korotkova, E., & Čejka, J. (2024). Apremilast Cocrystals with Phenolic Coformers. Molecules, 29(24), 6060. https://doi.org/10.3390/molecules29246060

