Synergistic Effects Between Mixed Plastics and Their Impact on Pyrolysis Behavior and Pyrolysis Products
Abstract
1. Introduction
2. Results and Discussion
2.1. Characteristics of Waste Plastics
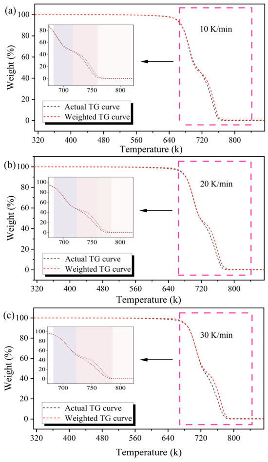
2.2. Pyrolysis Characteristics Analysis
2.3. Synergy Analysis of Mixed Plastics
2.4. Kinetic Analysis
2.5. Distribution and Proportion of Pyrolysis Products
2.6. GC-MS Analysis of Pyrolysis Oil and Formation Mechanism
3. Materials and Methods
3.1. Experimental Samples
3.2. Thermogravimetric Analysis (TGA)
3.3. Synergistic Effects of Mixed Plastics Pyrolysis
3.4. Calculation Formula of Kinetic Parameters
3.5. Pyrolysis Experiments
3.6. GC-MS Tests of Pyrolysis Oil
3.7. Fourier Transform Infrared Tests
4. Conclusions
Author Contributions
Funding
Institutional Review Board Statement
Informed Consent Statement
Data Availability Statement
Conflicts of Interest
References
- Nawaz, A.; Haddad, H.; Shah, M.A.; Uddin, S.; Hossain, M.M.; Razzak, S.A. Fueling sustainability: Co-pyrolysis of microalgae biomass and waste plastics for renewable energy and waste mitigation. Biomass Bioenergy 2024, 187, 107303. [Google Scholar] [CrossRef]
- Schirmeister, C.G.; Mülhaupt, R. Closing the carbon loop in the circular plastics economy. Macromol. Rapid Commun. 2022, 43, 2200247. [Google Scholar] [CrossRef]
- Jin, Z.; Yin, L.; Chen, D.; Jia, Y.; Yuan, J.; Hu, Y. Co-pyrolysis characteristics of typical components of waste plastics in a falling film pyrolysis reactor. Chin. J. Chem. Eng. 2018, 26, 2176–2184. [Google Scholar] [CrossRef]
- Wang, C.; Liu, Y.; Chen, W.Q.; Zhu, B.; Qu, S.; Xu, M. Critical review of global plastics stock and flow data. J. Ind. Ecol. 2021, 25, 1300–1317. [Google Scholar] [CrossRef]
- Siddiqui, M.N.; Redhwi, H.H. Pyrolysis of mixed plastics for the recovery of useful products. Fuel Process. Technol. 2009, 90, 545–552. [Google Scholar] [CrossRef]
- Ullah, F.; Zhang, L.; Ji, G.; Irfan, M.; Ma, D.; Li, A. Experimental analysis on products distribution and characterization of medical waste pyrolysis with a focus on liquid yield quantity and quality. Sci. Total Environ. 2022, 829, 154692. [Google Scholar] [CrossRef]
- Achilias, D.; Roupakias, C.; Megalokonomos, P.; Lappas, A.; Antonakou, Ε. Chemical recycling of plastic wastes made from polyethylene (LDPE and HDPE) and polypropylene (PP). J. Hazard. Mater. 2007, 149, 536–542. [Google Scholar] [CrossRef]
- Gu, F.; Guo, J.; Zhang, W.; Summers, P.A.; Hall, P. From waste plastics to industrial raw materials: A life cycle assessment of mechanical plastic recycling practice based on a real-world case study. Sci. Total Environ. 2017, 601, 1192–1207. [Google Scholar] [CrossRef]
- Passamonti, F.J.; Sedran, U. Recycling of waste plastics into fuels. LDPE conversion in FCC. Appl. Catal. B Environ. 2012, 125, 499–506. [Google Scholar] [CrossRef]
- Faisal, F.; Rasul, M.; Jahirul, M.; Schaller, D. Pyrolytic conversion of waste plastics to energy products: A review on yields, properties, and production costs. Sci. Total Environ. 2023, 861, 160721. [Google Scholar] [CrossRef]
- Mangesh, V.; Padmanabhan, S.; Tamizhdurai, P.; Ramesh, A. Experimental investigation to identify the type of waste plastic pyrolysis oil suitable for conversion to diesel engine fuel. J. Clean. Prod. 2020, 246, 119066. [Google Scholar] [CrossRef]
- Mirkarimi, S.; Bensaid, S.; Chiaramonti, D. Conversion of mixed waste plastic into fuel for diesel engines through pyrolysis process: A review. Appl. Energy 2022, 327, 120040. [Google Scholar] [CrossRef]
- Sharuddin, S.D.A.; Abnisa, F.; Daud, W.M.A.W.; Aroua, M.K. A review on pyrolysis of plastic wastes. Energy Convers. Manag. 2016, 115, 308–326. [Google Scholar] [CrossRef]
- Williams, P.T.; Slaney, E. Analysis of products from the pyrolysis and liquefaction of single plastics and waste plastic mixtures. Resour. Conserv. Recycl. 2007, 51, 754–769. [Google Scholar] [CrossRef]
- Jahirul, M.; Rasul, M.; Schaller, D.; Khan, M.; Hasan, M.; Hazrat, M. Transport fuel from waste plastics pyrolysis—A review on technologies, challenges and opportunities. Energy Convers. Manag. 2022, 258, 115451. [Google Scholar] [CrossRef]
- López, A.; De Marco, I.; Caballero, B.; Laresgoiti, M.; Adrados, A. Influence of time and temperature on pyrolysis of plastic wastes in a semi-batch reactor. Chem. Eng. J. 2011, 173, 62–71. [Google Scholar] [CrossRef]
- Sharma, B.K.; Moser, B.R.; Vermillion, K.E.; Doll, K.M.; Rajagopalan, N. Production, characterization and fuel properties of alternative diesel fuel from pyrolysis of waste plastic grocery bags. Fuel Process. Technol. 2014, 122, 79–90. [Google Scholar] [CrossRef]
- Tröger, N.; Richter, D.; Stahl, R. Effect of feedstock composition on product yields and energy recovery rates of fast pyrolysis products from different straw types. J. Anal. Appl. Pyrolysis 2013, 100, 158–165. [Google Scholar] [CrossRef]
- Gala, A.; Catalán-Martínez, D.; Guerrero, M.; Serra, J.M. Simulation-assisted design of a catalytic hydrogenation reactor for plastic pyrolysis fuels. Fuel 2021, 287, 119400. [Google Scholar] [CrossRef]
- Rahman, M.H.; Bhoi, P.R.; Menezes, P.L. Pyrolysis of waste plastics into fuels and chemicals: A review. Renew. Sustain. Energy Rev. 2023, 188, 113799. [Google Scholar] [CrossRef]
- Jiang, X.; Zhu, B.; Zhu, M. An Overview on Recycling of Waste Poly (Vinyl Chloride). Green Chem. 2023, 25, 6971–7025. [Google Scholar] [CrossRef]
- Ballice, L. Classification of volatile products evolved during temperature-programmed co-pyrolysis of low-density polyethylene (LDPE) with polypropylene (PP). Fuel 2002, 81, 1233–1240. [Google Scholar] [CrossRef]
- Koo, J.-K.; Kim, S.-W.; Seo, Y.-H. Characterization of aromatic hydrocarbon formation from pyrolysis of polyethylene-polystyrene mixtures. Resour. Conserv. Recycl. 1991, 5, 365–382. [Google Scholar] [CrossRef]
- Li, D.; Lei, S.; Wang, P.; Zhong, L.; Ma, W.; Chen, G. Study on the pyrolysis behaviors of mixed waste plastics. Renew. Energy 2021, 173, 662–674. [Google Scholar] [CrossRef]
- Singh, R.K.; Ruj, B.; Sadhukhan, A.K.; Gupta, P. A TG-FTIR investigation on the co-pyrolysis of the waste HDPE, PP, PS and PET under high heating conditions. J. Energy Inst. 2020, 93, 1020–1035. [Google Scholar] [CrossRef]
- Wu, J.; Chen, T.; Luo, X.; Han, D.; Wang, Z.; Wu, J. TG/FTIR analysis on co-pyrolysis behavior of PE, PVC and PS. Waste Manag. 2014, 34, 676–682. [Google Scholar] [CrossRef]
- Krishna, J.J.; Korobeinichev, O.P.; Vinu, R. Isothermal fast pyrolysis kinetics of synthetic polymers using analytical Pyroprobe. J. Anal. Appl. Pyrolysis 2019, 139, 48–58. [Google Scholar] [CrossRef]
- Zhu, H.; He, D.; Duan, H.; Yin, H.; Chen, Y.; Chao, X.; Zhang, X.; Gong, H. Study on coupled combustion behaviors and kinetics of plastic pyrolysis by-product for oil. Energy 2023, 262, 125452. [Google Scholar] [CrossRef]
- Xu, F.; Wang, B.; Yang, D.; Hao, J.; Qiao, Y.; Tian, Y. Thermal degradation of typical plastics under high heating rate conditions by TG-FTIR: Pyrolysis behaviors and kinetic analysis. Energy Convers. Manag. 2018, 171, 1106–1115. [Google Scholar] [CrossRef]
- Li, J.; Ye, X.; Burra, K.G.; Lu, W.; Wang, Z.; Liu, X.; Gupta, A.K. Synergistic effects during co-pyrolysis and co-gasification of polypropylene and polystyrene. Appl. Energy 2023, 336, 120750. [Google Scholar] [CrossRef]
- Burra, K.; Gupta, A. Kinetics of synergistic effects in co-pyrolysis of biomass with plastic wastes. Appl. Energy 2018, 220, 408–418. [Google Scholar] [CrossRef]
- Shahid, A.; Ishfaq, M.; Ahmad, M.S.; Malik, S.; Farooq, M.; Hui, Z.; Batawi, A.H.; Shafi, M.E.; Aloqbi, A.A.; Gull, M. Bioenergy potential of the residual microalgal biomass produced in city wastewater assessed through pyrolysis, kinetics and thermodynamics study to design algal biorefinery. Bioresour. Technol. 2019, 289, 121701. [Google Scholar] [CrossRef] [PubMed]
- Xie, W.; Su, J.; Zhang, X.; Li, T.; Wang, C.; Yuan, X.; Wang, K. Investigating kinetic behavior and reaction mechanism on autothermal pyrolysis of polyethylene plastic. Energy 2023, 269, 126817. [Google Scholar] [CrossRef]
- Hadigheh, S.; Wei, Y.; Kashi, S. Optimisation of CFRP composite recycling process based on energy consumption, kinetic behaviour and thermal degradation mechanism of recycled carbon fibre. J. Clean. Prod. 2021, 292, 125994. [Google Scholar] [CrossRef]
- Aboulkas, A.; El Bouadili, A. Thermal degradation behaviors of polyethylene and polypropylene. Part I: Pyrolysis kinetics and mechanisms. Energy Convers. Manag. 2010, 51, 1363–1369. [Google Scholar] [CrossRef]
- Özsin, G.; Pütün, A.E. Insights into pyrolysis and co-pyrolysis of biomass and polystyrene: Thermochemical behaviors, kinetics and evolved gas analysis. Energy Convers. Manag. 2017, 149, 675–685. [Google Scholar] [CrossRef]
- Akhtar, J.; Amin, N.S. A review on operating parameters for optimum liquid oil yield in biomass pyrolysis. Renew. Sustain. Energy Rev. 2012, 16, 5101–5109. [Google Scholar] [CrossRef]
- Zhang, Y.; Fu, Z.; Wang, W.; Ji, G.; Zhao, M.; Li, A. Kinetics, product evolution, and mechanism for the pyrolysis of typical plastic waste. ACS Sustain. Chem. Eng. 2021, 10, 91–103. [Google Scholar] [CrossRef]
- Nisar, J.; Ali, G.; Shah, A.; Iqbal, M.; Khan, R.A.; Anwar, F.; Ullah, R.; Akhter, M.S. Fuel production from waste polystyrene via pyrolysis: Kinetics and products distribution. Waste Manag. 2019, 88, 236–247. [Google Scholar] [CrossRef]
- Park, K.-B.; Jeong, Y.-S.; Guzelciftci, B.; Kim, J.-S. Two-stage pyrolysis of polystyrene: Pyrolysis oil as a source of fuels or benzene, toluene, ethylbenzene, and xylenes. Appl. Energy 2020, 259, 114240. [Google Scholar] [CrossRef]
- Wang, K.; Shan, T.; Li, B.; Zheng, Y.; Xu, H.; Wang, C.; Tian, X. Study on pyrolysis characteristics, kinetics and thermodynamics of waste tires catalytic pyrolysis with low-cost catalysts. Fuel 2024, 356, 129644. [Google Scholar] [CrossRef]
- Pan, J.; Jiang, H.; Qing, T.; Zhang, J.; Tian, K. Transformation and kinetics of chlorine-containing products during pyrolysis of plastic wastes. Chemosphere 2021, 284, 131348. [Google Scholar] [CrossRef] [PubMed]
- Shan, T.; Bian, H.; Wang, K.; Li, Z.; Qiu, J.; Zhu, D.; Wang, C.; Tian, X. Study on pyrolysis characteristics and kinetics of mixed waste plastics under different atmospheres. Thermochim. Acta 2023, 722, 179467. [Google Scholar] [CrossRef]
- Yousef, S.; Eimontas, J.; Striūgas, N.; Zakarauskas, K.; Praspaliauskas, M.; Abdelnaby, M.A. Pyrolysis kinetic behavior and TG-FTIR-GC–MS analysis of metallised food packaging plastics. Fuel 2020, 282, 118737. [Google Scholar] [CrossRef]
- Mishra, R.K.; Sahoo, A.; Mohanty, K. Pyrolysis kinetics and synergistic effect in co-pyrolysis of Samanea saman seeds and polyethylene terephthalate using thermogravimetric analyser. Bioresour. Technol. 2019, 289, 121608. [Google Scholar] [CrossRef]





| Samples | Industrial Analysis (%) | Ultimate Analysis (%) | |||||||
|---|---|---|---|---|---|---|---|---|---|
| Ash | VM | M | FC | C | H | O | N | S | |
| PS | 0.04 | 99.92 | 0.00 | 0.04 | 92.44 | 7.20 | 0.36 | - | - |
| PE | 0.01 | 99.92 | 0.03 | 0.04 | 85.79 | 13.82 | 0.39 | - | - |
| PS/PE | 0.03 | 99.92 | 0.02 | 0.03 | 89.12 | 10.50 | 0.38 | - | - |
| Samples | Heating Rate (K/min) | Ts (K) | Tf (K) | Tm (K) | (dα/dt)Max (%/Min) | Quality of Residue (%) |
|---|---|---|---|---|---|---|
| PE | 10 | 728.05 | 748.05 | 757.45 | 30.05 | 0.30 |
| 20 | 744.05 | 749.75 | 761.35 | 57.93 | 0.30 | |
| 30 | 748.85 | 753.15 | 765.15 | 82.74 | 0.30 | |
| PS | 10 | 667.65 | 688.45 | 702.25 | 30.37 | 0.14 |
| 20 | 680.65 | 696.75 | 716.75 | 54.84 | 0.14 | |
| 30 | 687.75 | 704.95 | 724.05 | 77.95 | 0.14 | |
| PS/PE | 10 | 668.75 | 691.75 | 737.65 | 14.35 | 0.20 |
| 20 | 683.05 | 703.75 | 751.75 | 28.64 | 0.20 | |
| 30 | 696.55 | 710.45 | 757.45 | 43.16 | 0.20 |
| Conversion | FWO | KAS | Starink | |||
|---|---|---|---|---|---|---|
| Eα | R2 | Eα | R2 | Eα | R2 | |
| 0.1 | 234.7 | 0.9987 | 234.6 | 0.9986 | 234.9 | 0.9988 |
| 0.2 | 243.4 | 0.9991 | 244.2 | 0.9991 | 244.1 | 0.9993 |
| 0.3 | 255.1 | 0.9996 | 255.3 | 0.9994 | 256.2 | 0.9994 |
| 0.4 | 251.7 | 0.9999 | 251.3 | 0.9999 | 252.6 | 0.9999 |
| 0.5 | 253.4 | 0.9999 | 253.2 | 0.9999 | 253.5 | 0.9999 |
| 0.6 | 255.8 | 0.9999 | 256.5 | 0.9998 | 256.8 | 0.9996 |
| 0.7 | 250.2 | 0.9998 | 251.6 | 0.9996 | 251.5 | 0.9996 |
| 0.8 | 252.5 | 0.9994 | 252.9 | 0.9994 | 253.2 | 0.9994 |
| 0.9 | 249.0 | 0.9990 | 249.2 | 0.9989 | 249.5 | 0.9988 |
| average | 249.5 | 0.9995 | 249.9 | 0.9994 | 250.3 | 0.9994 |
| Conversion | FWO | KAS | Starink | |||
|---|---|---|---|---|---|---|
| Eα | R2 | Eα | R2 | Eα | R2 | |
| 0.1 | 189.4 | 0.9989 | 188.9 | 0.9987 | 189.4 | 0.9986 |
| 0.2 | 192.2 | 0.9990 | 191.8 | 0.9994 | 191.6 | 0.9992 |
| 0.3 | 193.5 | 0.9993 | 193.1 | 0.9995 | 192.7 | 0.9995 |
| 0.4 | 196.4 | 0.9996 | 195.2 | 0.9996 | 196.2 | 0.9997 |
| 0.5 | 198.3 | 0.9999 | 198.1 | 0.9999 | 197.7 | 0.9999 |
| 0.6 | 200.5 | 0.9999 | 199.7 | 0.9999 | 200.3 | 0.9999 |
| 0.7 | 198.5 | 0.9997 | 198.2 | 0.9999 | 197.6 | 0.9999 |
| 0.8 | 199.2 | 0.9994 | 199.6 | 0.9996 | 198.4 | 0.9997 |
| 0.9 | 197.0 | 0.9994 | 197.6 | 0.9995 | 196.8 | 0.9993 |
| average | 196.1 | 0.9995 | 195.8 | 0.9996 | 195.6 | 0.9995 |
| Conversion | FWO | KAS | Starink | |||
|---|---|---|---|---|---|---|
| Eα | R2 | Eα | R2 | Eα | R2 | |
| 0.1 | 191.1 | 0.9996 | 190.6 | 0.999 | 191.6 | 0.9992 |
| 0.2 | 203.6 | 0.9996 | 203 | 0.9992 | 203.1 | 0.9994 |
| 0.3 | 207.1 | 0.9999 | 206.4 | 0.9996 | 206.8 | 0.9998 |
| 0.4 | 210.4 | 0.9999 | 209.3 | 0.9998 | 209.5 | 0.9999 |
| 0.5 | 214.9 | 0.9999 | 214.5 | 0.9999 | 214.6 | 0.9998 |
| 0.6 | 229.5 | 0.9999 | 229.0 | 0.9999 | 229.2 | 0.9998 |
| 0.7 | 224.3 | 0.9997 | 223.2 | 0.9999 | 223.8 | 0.9999 |
| 0.8 | 225.4 | 0.9998 | 224.8 | 0.9999 | 225.0 | 0.9997 |
| 0.9 | 221.6 | 0.9996 | 221.1 | 0.9998 | 221.3 | 0.9998 |
| average | 214.2 | 0.9998 | 213.5 | 0.9997 | 213.9 | 0.9997 |
| Samples | Pyrolysis Oil (g) | Percentage (%) | Pyrolysis Gas (g) | Percentage (%) | Residue (g) | Percentage (%) |
|---|---|---|---|---|---|---|
| PE | 15.41 | 77.05 | 4.53 | 22.65 | 0.06 | 0.30 |
| PS | 17.33 | 86.65 | 2.63 | 13.15 | 0.04 | 0.20 |
| Actual data | ||||||
| PS/PE | 17.96 | 89.80 | 2.00 | 10.00 | 0.04 | 0.20 |
| Weighted data | ||||||
| PS/PE | 16.37 | 81.85 | 3.58 | 17.90 | 0.05 | 0.25 |
Disclaimer/Publisher’s Note: The statements, opinions and data contained in all publications are solely those of the individual author(s) and contributor(s) and not of MDPI and/or the editor(s). MDPI and/or the editor(s) disclaim responsibility for any injury to people or property resulting from any ideas, methods, instructions or products referred to in the content. |
© 2024 by the authors. Licensee MDPI, Basel, Switzerland. This article is an open access article distributed under the terms and conditions of the Creative Commons Attribution (CC BY) license (https://creativecommons.org/licenses/by/4.0/).
Share and Cite
Li, Y.; Kang, S.; Han, W.; Yin, F. Synergistic Effects Between Mixed Plastics and Their Impact on Pyrolysis Behavior and Pyrolysis Products. Molecules 2024, 29, 6059. https://doi.org/10.3390/molecules29246059
Li Y, Kang S, Han W, Yin F. Synergistic Effects Between Mixed Plastics and Their Impact on Pyrolysis Behavior and Pyrolysis Products. Molecules. 2024; 29(24):6059. https://doi.org/10.3390/molecules29246059
Chicago/Turabian StyleLi, Yong, Shengming Kang, Wenwen Han, and Fengfu Yin. 2024. "Synergistic Effects Between Mixed Plastics and Their Impact on Pyrolysis Behavior and Pyrolysis Products" Molecules 29, no. 24: 6059. https://doi.org/10.3390/molecules29246059
APA StyleLi, Y., Kang, S., Han, W., & Yin, F. (2024). Synergistic Effects Between Mixed Plastics and Their Impact on Pyrolysis Behavior and Pyrolysis Products. Molecules, 29(24), 6059. https://doi.org/10.3390/molecules29246059

