Next Article in Journal
The Amination of Waste Newsprint Paper with Various Aminating Agents (Ammonia Water, Ethylenediamine, and Diethylenetriamine) to Improve the Sorption Efficiency of Anionic Dyes
Next Article in Special Issue
Synthesis, Structure and Biological Activity of 2-Methyl-5-nitro-6-phenylnicotinohydrazide-Based Hydrazones
Previous Article in Journal
Development of Zn-CoS@Ni(OH)2 Heterostructured Nanosheets for High-Performance Supercapacitors
Previous Article in Special Issue
Synthesis and Antimicrobial Activity of (E)-1-Aryl-2-(1H-tetrazol-5-yl)acrylonitrile Derivatives via [3+2] Cycloaddition Reaction Using Reusable Heterogeneous Nanocatalyst under Microwave Irradiation
 
 
Font Type:
Arial Georgia Verdana
Font Size:
Aa Aa Aa
Line Spacing:
Column Width:
Background:
Article

Licochalcone A-Inspired Chalcones: Synthesis and Their Antiproliferative Potential in Prostate Cancer Cells

by
Roxana Gonzalez Dorado
1,
Esveidy Isabel Oceguera Nava
1,
Guanglin Chen
1,
Qiang Zhang
2,
Guangdi Wang
2 and
Qiao-Hong Chen
1,*
1
Department of Chemistry & Biochemistry, California State University, Fresno, CA 93740, USA
2
Department of Chemistry and RCMI Cancer Research Center, Xavier University of Louisiana, New Orleans, LA 70125, USA
*
Author to whom correspondence should be addressed.
Molecules 2024, 29(24), 6023; https://doi.org/10.3390/molecules29246023
Submission received: 31 October 2024 / Revised: 30 November 2024 / Accepted: 19 December 2024 / Published: 20 December 2024
(This article belongs to the Special Issue Synthesis of Bioactive Compounds: Volume II)

Abstract

Prostate cancer remains a significant global health concern, prompting ongoing exploration of novel therapeutic agents. Licochalcone A, a natural product in the chalcone family isolated from licorice root, is characterized by its enone structure and demonstrates antiproliferative activity in the micromolar range across various cell lines, including prostate cancer. Building on our prior success in enhancing curcumin’s antiproliferative potency by replacing the substituted phenol with a 1-alkyl-1H-imizadol-2-yl moiety, we applied a similar approach to design a new class of licochalcone A-inspired chalcones. The synthesis of these target chalcones involved key [3,3]-sigmatropic rearrangement of aryl prenyl ethers and Claisen–Schmidt condensations, yielding three derivative series. These compounds were evaluated for antiproliferative activity in both androgen receptor (AR)-positive and AR-null prostate cancer cell models using WST-1 cell proliferation assay. Systematic evaluation of licochalcone A across four prostate cancer cell lines indicated a modest advantage over enzalutamide, an FDA-approved AR antagonist, in suppressing 22Rv1 cell proliferation. Interestingly, three ester derivatives by replacing the phenol next to the carbonyl with an alkoxide demonstrated similar antiproliferative potency to licochalcone A in both AR-positive and AR-negative prostate cancer cell lines. This suggests that the phenol moiety on licochalcone A may be a promising site for chemical manipulations to enhance anti-prostate cancer activity. Among the synthesized chalcones, nine derivatives showed improved selectivity for AR-positive LNCaP and 22RV1 cells relative to AR-negative PC-3 and DU145 cells, surpassing licochalcone A in selectivity. Additionally, the antiproliferative potency was highly dependent on the R group attached to the imidazole. Most of the derivatives showed antiproliferative potency against androgen receptor-positive LNCaP and 22Rv1 cells, comparable to that of enzalutamide and licochalcone A. These findings suggest that optimization of licochalcone A-inspired chalcones as potential anti-prostate cancer agents warrants further investigation.

1. Introduction

Prostate cancer remains a significant health issue, representing an estimated 29% of all new cancer diagnoses in American men in 2024. In the United States alone, around 299,000 new cases of prostate cancer are expected, leading to over 35,000 deaths this year [1]. Of particular concern is the 3% annual increase in prostate cancer incidence since 2014 [1]. Castration-resistant prostate cancer (CRPC) represents an advanced, lethal form of prostate cancer that continues to progress despite extremely low levels of serum androgens [2]. The androgen receptor (AR) signaling pathway, activated by androgens, is the primary driver of prostate cancer development and progression [3]. AR remains a promising therapeutic target for CRPC, as the disease’s progression is largely driven by the reactivation of AR signaling [2]. As a ligand-dependent transcription factor, AR regulates genes associated with prostate cancer growth and metastasis [4]. This insight led to the design and FDA approval of three second-generation non-steroidal AR antagonists: enzalutamide [5], apalutamide [6], and darolutamide [7]. Additionally, proxalutamide, a novel AR antagonist, has recently advanced to late-stage clinical trials [8]. These four AR antagonists are notable for their impact on patient survival, enhanced binding affinity to the AR ligand-binding domain (LBD), and increased specificity for AR over other steroid hormone receptors. However, resistance to these drugs remains a significant challenge, often due to AR gene amplification, mutations in the LBD, and the emergence of AR splice variants lacking the LBD. Given that most resistance mechanisms focus on the LBD, developing drugs that target other functional domains of AR offers a promising approach for treating lethal CRPC. For instance, targeting the intrinsically disordered yet constitutively active N-terminal (NTD) of AR could circumvent some of these resistance mechanisms [9]. The AR NTD is essential for the transcriptional activity of both full-length AR and AR variants lacking the LBD, making it an attractive yet challenging drug target. Therefore, pursuing novel AR antagonists that specifically target the NTD represents a promising alternative strategy for overcoming resistance to current FDA-approved AR antagonists [10]. Due to the intrinsically disordered nature of the AR NTD, rational structure-based drug design is challenging for developing AR NTD antagonists. However, natural products present a promising source of potential antagonists, as demonstrated by their historical success in drug discovery [11].
Licochalcone A (1, Figure 1) is a naturally occurring compound originally isolated from licorice root (Glycyrrhiza species), one of the oldest and most widely used traditional medicinal plants globally. Structurally, licochalcone A (1) is part of a large group of natural compounds known as chalcones (1, 3-diaryl-2-propen-1-one), characterized by a central three-carbon α,β-unsaturated ketone (enone) linker and two terminal aromatic rings. Chalcones are recognized as a privileged scaffold in medicinal chemistry due to their diverse biological activities [12].
PC-SPES is a herbal mixture formerly marketed as a complementary treatment for prostate cancer that includes extracts from Glycyrrhiza uralensis, the source of licochalcone A. Screening of the bioactivities of PC-SPES component herbs revealed that extracts from G. uralensis could suppress prostate cancer cell proliferation and reduce the expression of the androgen receptor and prostate-specific antigen [13]. Further purification of G. uralensis extracts led to the isolation and characterization of licochalcone A [14].
Notably, licochalcone A (1), as an oxygenated chalcone derived from PC-SPES composition herb licorice root, demonstrates a broad spectrum of biological activities [14,15,16]. Additionally, Glycyrrhiza root has been shown to decrease serum testosterone in men [14,17,18]. Licochalcone A exhibits antiproliferative effects in the micromolar range across several cancer cell lines, including prostate cancer. Specifically, it demonstrates significant antiproliferative activity in both androgen receptor-positive LNCaP [19] and androgen receptor-negative PC-3 prostate cancer cell line [20]. When PC-3 cells were treated with 25 μM licochalcone A for two to three days, it resulted in 55–83% inhibition of PC-3 cell proliferation [20]. However, only a few studies have reported on the in vitro antiproliferative activities of licochalcone A in prostate cancer cell models, with no systematic exploration of structure–activity relationships or in vivo antitumor efficacy. This paper aims to increase the selectivity of licochalcone A (1) in suppressing androgen receptor-positive prostate cancer cell proliferation through targeted chemical modifications. Additionally, it will investigate its structure–activity relationships and antiproliferative potency across four prostate cancer cell lines.

2. Results and Discussion

2.1. Design and Retrosynthetic Analysis of Licochalcone A-Inspired Chalcones

2.1.1. Design of Licochalcone A-Inspired Chalcones

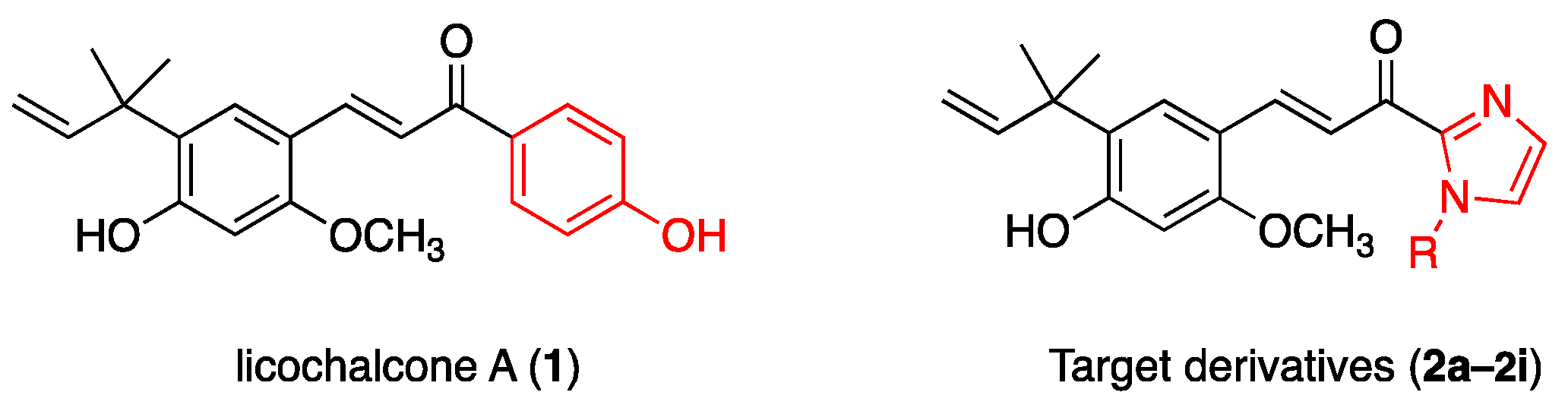
Building on our previous success in enhancing the antiproliferative potency of curcumin by substituting the phenol moiety with a 1-alkyl-1H-imizadol-2-yl group [21], we applied this strategy to design a new series of licochalcone-inspired chalcones. 1-Alkyl-1H-imizadol-2-yl moiety has been established as a promising bioisotere for the phenol moiety in curcumin in prostate cancer cell models [21]. Consequently, our initial goal was to synthesize a series of chalcones with the general chemical structure (2a2i) depicted in Figure 1.

2.1.2. Retrosynthetic Analysis of Licochalcone A-Inspired Chalcones

As outlined in Figure 2, the [3,3]-sigmatropic rearrangement of an aryl prenyl ether in chalcones 3a3i and the Claisen–Schmidt condensation of aldehyde 4 and ketone 5a5i were identified as the key reactions in the synthetic strategy for the target chalcones. The [3,3]-sigmatropic rearrangement is crucial for introducing the same substituents on the aromatic ring adjacent to the double bound in licochalcone A. Meanwhile, the Claisen–Schmidt condensation is essential for constructing the α,β-unsaturated ketone moiety that constitutes the backbone of the chalcone structure.

2.2. Synthesis and Antiproliferation Evaluation of Chalcones 3a3i

2.2.1. Synthesis of Chalcones

Chalcones 3a3i, with an isoprenyloxy group, were synthesized following the sequence outlined in Scheme 1. In this process, 1-alkyl-1H-imidazole-2-carboxaldehydes (6a6i) were first converted into 1-(1-alkyl-1H-imidazol-2-yl)ethanones via a Grignard reaction, followed by oxidation using Dess–Martin periodinane. Subsequently, the aldol condensation of these 1-(1-alkyl-1H-imidazol-2-yl)ethanones (5a5i) with 2-methoxy-4-[3-methyl-2-buten-1-yl]oxy]benzaldehyde (4) produced the desired chalcones 3a3i.

2.2.2. Antiproliferative Evaluation of Licochalcone A and Chalcones 3a3i

To begin investigating the structure–activity relationship of licochalcone A-inspired chalcones, the antiproliferative potency of these chalcones (3a3i) and parent licochalcone A (1) was evaluated in both androgen receptor-positive (LNCaP and 22RV1) and androgen receptor-negative (PC-3 and DU145) prostate cancer cell lines. In addition to licochalcone A, enzalutamide, a current FDA-approved androgen receptor antagonist, was included as a positive control. The WST-1 cell proliferation assay was chosen for this study due to the water solubility and stability of its tetrazolium dye [22,23]. The IC50 values were calculated from concentration–response (% inhibition) curves generated using five different concentrations (100 µM, 50 µM, 25 µM, 12.5 µM, and 6.25 µM) of each compound, tested across four prostate cancer cell lines. The curves were fitted using a nonlinear regression model, and data from three independent experiments were used for each cell line. Reported IC50 values are presented as mean ± standard deviation.
The preliminary data are summarized in Table 1. Licochalcone A demonstrates comparable potency across all four prostate cancer cell lines, with IC50 values ranging from 15.73 to 23.35 μM. Notably, licochalcone A exhibits slightly greater potency against the 22Rv1 cell line, which lacks a ligand-binding domain and androgen responsiveness.
Among the chalcones in this series, six derivatives (3d, 3e, 3f, 3g, 3h, and 3i) displayed similar antiproliferative activity to licochalcone A in androgen receptor-positive LNCaP and 22RV1 cells. However, these compounds exhibited lower antiproliferative activity than licochalcone A in androgen receptor-negative PC-3 and DU145 cells, resulting in greater selectivity for androgen receptor-positive cells over androgen receptor-negative cells.

2.3. Synthesis of Esters 810 via Clasen Rearrangement of Chalcones 3a3i

Heating chalcones 3c and 3g at 160 °C in a sealed tube resulted in the expected [3,3]-sigmatropic rearrangement of the aryl prenyl ether portion. However, the desired imidazole moiety was not observed in product 8 (Scheme 2). The NMR data indicated the absence of the 1-alkylimidazole moiety and the presence of an ethoxy group. Additionally, the 13C NMR data confirmed the presence of an ester carbonyl group instead of a ketone carbonyl. The HMBC spectrum showed the correlation signal between the CH2 of the ethyl group and the ester carbonyl carbon. The chemical structure was further confirmed by the 2D-NMR spectra and HRMS.
It is believed that the reaction proceeds via nucleophilic attack of ethanol on the ketone carbonyl carbon, followed by reformation of the pi bond and elimination of the imidazole moiety as a leaving group under the high temperature. Similarly, heating 3c and 3a under PrOH:H2O (4:1) and MeOH:H2O (4:1, v/v), respectively, afforded esters 9 and 10 (Scheme 2).
Interestingly, the three esters 810 demonstrated similar antiproliferative potency to licochalcone A (1) in both androgen receptor-positive and androgen receptor-negative prostate cancer cell lines (Table 2 and Figure 3). This suggests that the phenol moiety next to the carbonyl group on licochalcone A (1) may serve as an effective site for chemical manipulations to develop more potent anti-prostate cancer agents.

2.4. Synthesis and Antiproliferative Evaluation of Chalcones 13a13i

Since the imidazole moiety in chalcones 3a3i cannot withstand the high temperatures required for Claisen condensation, we reconsidered the synthetic approach. Instead, 2-methoxy-4-[(3-methyl-2-buten-1-yl)oxy]benzaldehyde (4), an aryl prenyl ether, underwent a [3,3]-sigmatropic rearrangement to yield the desired aldehyde 11 at 160 °C in a sealed tube, following a previously reported procedure [24]. This reaction yielded the desired aldehyde 11 with a 47% yield based on recovered starting material. However, attempts to perform an aldol condensation of aldehyde 11 with 1-(1-alkyl-1H-imidazol-2-yl)ethenones (5a5i) were unsuccessful (Scheme 3). We attribute this failure to the presence of the phenolic hydroxyl group. To address this, 5-(1,1-dimethyl-2-propen-1-yl)-4-hydroxy-2-methoxybenzaldehyde (11) was methylated using dimethylsulfate in the presence of potassium carbonate, yielding 12 [25]. A series of chalcones (13a13i) were then successfully synthesized via aldol condensation of aldehyde (12) and 1-(1-alkyl-1H-imidazol-2-yl)ethenones (5a5i), mediated by potassium hydroxide (Scheme 4).
The antiproliferative potency of this series is highly dependent on the R group on the imidazole ring (Table 3). For example, derivatives 13a and 13g, which contain a methyl and an isopentyl group, respectively, exhibit IC50 values above 100 μM across all four tested prostate cancer cell lines. In contrast, the other seven derivatives in this series display antiproliferative potency against androgen receptor-positive LNCaP and 22Rv1 cells, comparable to that of enzalutamide and licochalcone A. Three derivatives (13b, 13f, and 13i) demonstrate significant selectivity in suppressing AR-positive LNCaP and 22Rv1 cell proliferation over AR-negative PC-3 and 22Rv1 prostate cancer proliferation (Table 3).

3. Materials and Methods

3.1. General Procedures

IR spectra were measured on a Nicolet Nexus 470 FTIR spectrophotometer (Thermo Nicolet, Waltham, MA, USA). HRMS data were obtained using an Orbitrap mass spectrometer (Thermo Scientific, Waltham, MA, USA) with electrospray ionization (ESI). NMR spectra were recorded on a Bruker Fourier 300 spectrometer (Bruker, Billerica, MA, USA) and a 600 MHz JEOL NMR spectrometer (JOEL, Tokyo, Japan) in CDCl3. Chemical shifts are recorded in ppm, referenced to the respective solvent peaks, with coupling constants given in Hz. The multiplicity of each signal in the 1H NMR spectra is described as singlet (s), doublet (d), doublet of doublets (dd), quartet (q), or multiplet (m). The solvent peaks were calibrated as 7.26 ppm for the 1H NMR spectrum and 77.16 ppm for the 13C NMR spectrum. THF and dichloromethane were purified using the PureSolv MD 7 Solvent Purification System from (Innovative Technologies, Herndon, VA, USA). All other reagents and solvents were purchased from commercial sources and used without further purification. Silica gel column chromatography was performed with silica gel (32–63 μm). Preparative thin-layer chromatography (PTLC) separations were conducted on silica gel 60 GF254 plates (EMD Millipore Corporation, Berlington, MA, USA). Licochalcone A (98%) was purchased from AmBeed (Arlington Heights, IL, USA). 1-Alkyl-1H-imidazole-2-carboxaldehydes (6a6i) were synthesized from 1H-imidazole-2-carboxaldehyde following the previously described procedure [21]. 1-Methyl-1H-imidazole-2-carboxaldehyde was purchased from Fisher Scientific (Portland, OR, USA). All NMR spectra and high-resolution mass spectra were included in Supplementary Materials.

3.2. Synthesis of 1-(1-Alkyl-1H-imidazole-2-yl)ethanol (7a7i)

Methylmagnesium bromide (1M, 5.25 mL) was added dropwise to a solution of 1-alkyl-1H-imidazole-2-carboxaldehyde (2.53 mmol) in THF (0.21 mL) at 0 °C under argon. The subsequent reaction mixture was allowed to stir for 12 h at room temperature under argon. The reaction completion was monitored by TLC prior to being quenched with sodium bicarbonate (15 mL). The mixture was extracted with ethyl acetate (20 mL × 3), and the combined organic layers were dried over anhydrous sodium sulfate and concentrated on the rotary evaporator. The crude product was subjected to PTLC purification eluting with 5% methanol in dichloromethane (v/v) to yield the respective 1-(1-alkyl-1H-imidazole-2-yl)ethanol (7a7i). Their physical and spectral data are summarized below.

3.2.1. 1-(1-Methyl-1H-imidazole-2-yl)ethanol (7a)

Yield, 68%; light yellow oil. 1H NMR (300 MHz, CDCl3) δ 6.80 (d, J = 1.2 Hz, 1H, imidazole H), 6.76 (d, J = 1.2 Hz, 1H, imidazole H), 4.87 (q, J = 6.7 Hz, 1H, CHCH3), 3.97 (s, 1H, OH), 3.69 (s, 3H, NCH3), 1.54 (d, J = 6.7 Hz, 3H, CHCH3). 13C NMR (75 MHz, CDCl3) δ 150.20, 126.17, 121.59, 62.53, 33.05, 21.89.

3.2.2. 1-(1-Ethyl-1H-imidazole-2-yl)ethanol (7b)

Yield, 53%; light yellow oil. 1H NMR (300 MHz, CDCl3) δ 6.79 (d, J = 1.2 Hz, 1H, imidazole H), 6.76 (d, J = 1.2 Hz, 1H, imidazole H), 4.82 (q, J = 6.6 Hz, 1H, CHCH3), 4.15–3.91 (m, 2H, CH2CH3), 1.51 (d, J = 6.9 Hz, 3H, CH3CH), 1.35 (t, J = 7.3 Hz, 3H, CH2CH3). 13C NMR (75 MHz, CDCl3) δ 149.75, 126.46, 119.19, 62.39, 40.70, 22.03, 16.40.

3.2.3. 1-(1-Propyl-1H-imidazole-2-yl)ethanol (7c)

Yield, 72%; light yellow oil. 1H NMR (300 MHz, CDCl3) δ 6.88 (d, J = 1.2 Hz, 1H, imidazole H), 6.82 (d, J = 1.2 Hz, 1H, imidazole H), 4.88 (q, J = 6.6 Hz, 1H, CHCH3), 4.06–3.83 (m, 2H, NCH2), 1.88–1.67 (m, 2H, CH2), 1.58 (d, J = 6.6 Hz, 3H, CH3CH), 0.93 (t, J = 7.4 Hz, 3H, CH2CH3). 13C NMR (75 MHz, CDCl3) δ 150.00, 126.43, 119.86, 62.35, 47.55, 24.36, 22.41, 11.17.

3.2.4. 1-(1-Butyl-1H-imidazole-2-yl)ethanol (7d)

Yield, 37%; light yellow oil. 1H NMR (300 MHz, CDCl3) δ 6.86 (d, J = 1.2 Hz, 1H, imidazole H), 6.82 (d, J = 1.2 Hz, 1H, imidazole H), 4.87 (q, J = 6.6 Hz, 1H, CHCH3), 4.10–3.86 (m, 2H, NCH2), 1.73 (quintet, J = 7.5 Hz, 2H, CH2CH2CH2), 1.56 (d, J = 6.6 Hz, 3H, CH3CH), 1.34 (sextet, J = 7.5 Hz, 2H, CH2CH2CH3), 0.93 (t, J = 7.3 Hz, 3H, CH2CH3). 13C NMR (75 MHz, CDCl3) δ 150.01, 126.30, 119.83, 62.32, 45.78, 33.13, 22.39, 19.92, 13.68.

3.2.5. 1-(1-secButyl-1H-imidazole-2-yl)ethanol (7e)

Yield, 73%; colorless solid. 1H NMR (300 MHz, CDCl3) δ 6.94 (d, J = 1.5 Hz, 1H, imidazole H), 6.88 (d, J = 1.5 Hz, 1H, imidazole H), 4.91 (q, J = 6.6 Hz, 1H, CHCH3), 4.48–4.24 (m, 1H, NCH), 1.88–1.68 (m, 2H, CH2CH3), 1.58 (d, J = 6.6 Hz, 3H, CH3CH), 1.40 (d, J = 6.6 Hz, 3H, CH3CH), 0.83 (t, J = 8.3 Hz, 3H, CH2CH3). 13C NMR (75 MHz, CDCl3) δ 149.97, 126.82, 115.92, 62.65, 52.98, 30.69, 22.83, 21.95, 10.72.

3.2.6. 1-(1-Isobutyl-1H-imidazole-2-yl)ethanol (7f)

Yield, 76%; colorless oil. 1H NMR (300 MHz, CDCl3) δ 6.91 (d, J = 1.2 Hz, 1H, imidazole H), 6.81 (d, J = 1.2 Hz, 1H, imidazole H), 4.86 (q, J = 6.6 Hz, 1H, CHCH3), 3.83 (dd, J = 14.1, 7.8 Hz, 1H, NCH2), 3.71 (dd, J = 13.8, 7.2 Hz, 1H, NCH2), 3.30 (br.s, 1H, OH), 2.16–1.96 [m, 1H, CH(CH3)2], 1.60 (d, J = 6.6 Hz, 3H, CH3CH), 0.93 (0.91) [d, J = 6.6 Hz, 6H, CH(CH3)2]. 13C NMR (75 MHz, CDCl3) δ 150.28, 126.66, 120.28, 62.27, 53.29, 29.99, 22.59, 20.00.

3.2.7. 1-(1-Isopentyl-1H-imidazole-2-yl)ethanol (7g)

Yield, 73%; light yellow oil. 1H NMR (300 MHz, CDCl3) δ 6.79 (s, 2H, imidazole H), 4.83 (q, J = 6.6 Hz, 1H, CH3CH), 4.09–3.86 (m, 2H, NCH2), 1.72–1.57 (m, 3H, NCH2CH2CH), 1.53 (d, J = 6.6 Hz, 3H, CHCH3), 0.91 [d, J = 6.3 Hz, 6H, CH(CH3)2]. 13C NMR (75 MHz, CDCl3) δ 149.95, 126.41, 119.66, 62.32, 44.31, 39.99, 25.80, 22.36, 22.21.

3.2.8. 1-[1-(Pentyl-2-yl)-1H-imidazole-2-yl]ethanol (7h)

Yield, 74%; colorless oil. 1H NMR (300 MHz, CDCl3) δ 6.83 (s, 2H, imidazole H), 4.84 (q, J = 6.6 Hz, 1H, CHCH3), 4.51–4.39 (m, 2H, NCH and OH), 1.79–1.57 (m, 2H), 1.53 (d, J = 6.6 Hz, 3H, CH3CH), 1.33 (d, J = 6.9 Hz, 3H, CH3CH), 1.30–1.01 (m, 2H, CH2), 0.89–0.79 (m, 3H, CH3). 13C NMR (75 MHz, CDCl3) δ 149.91, 126.81, 115.77, 62.60, 51.29, 39.76, 22.35, 22.31, 19.47, 13.81.

3.2.9. 1-[1-(Pentan-3-yl)-1H-imidazole-2-yl]ethanol (7i)

Yield, 77%; light yellow solid. 1H NMR (300 MHz, CDCl3) δ 6.95 (d, J = 1.5 Hz, 1H, imidazole H), 6.83 (d, J = 1.2 Hz, 1H, imidazole H), 4.87 (q, J = 6.6 Hz, 1H, CHCH3), 4.15–3.99 (m, 1H, NCH), 1.89–1.61 (m, 4H, 2 x CH2CH3), 1.59 (d, J = 6.6 Hz, 3H, CH3CH), 0.86–0.72 (m, 6H, 2 × CH2CH3). 13C NMR (75 MHz, CDCl3) δ 150.81, 126.85, 115.81, 62.37, 59.05, 29.05, 22.74, 10.59.

3.3. Synthesis of 1-(1-Alkyl-1H-imidazol-2-yl)ethenone (5a5i)

Dess–Martin periodinane (1.65 mmol) was added to a solution of 1-(1-alkyl-1H-imidazole-2-yl)ethanol (7a7i, 1.09 mmol) in dichloromethane (11.8 mL) at room temperature. The reaction mixture was stirred at room temperature for 30 min before a second batch of Dess–Martin periodinane (1.65 mmol) was added. The mixture was then stirred at room temperature overnight and quenched with sodium thiosulfate (10 mL) and sodium bicarbonate (10 mL). The mixture was extracted with dichloromethane (20 mL × 3), and the combined organic extracts were dried over anhydrous sodium sulfate and concentrated using a rotary evaporator. The crude product was subjected to PTLC purification using 3% methanol in dichloromethane as the eluent to yield the desired 1-(1-alkyl-1H-imidazol-2-yl)ethenone (5a-5i). Their physical and spectral data are summarized below.

3.3.1. 1-(1-Methyl-1H-imidazol-2-yl)ethenone (5a)

Yield, 88%; light yellow syrup. 1H NMR (300 MHz, CDCl3) δ 7.12 (s, 1H, imidazole H), 7.01 (s, 1H, imidazole H), 3.98 (s, 3H, NCH3), 2.64 (s, 3H, C(O)CH3). 13C NMR (75 MHz, CDCl3) δ 190.57, 143.10, 128.94, 126.95, 27.25, 27.19.

3.3.2. 1-(1-Ethyl-1H-imidazol-2-yl)ethenone (5b)

Yield, 57%; light yellow syrup. 1H NMR (300 MHz, CDCl3) δ 7.08 (d, J = 1.2 Hz, 1H, imidazole H), 7.04 (d, J = 0.9 Hz, 1H, imidazole H), 4.36 (q, J = 7.2 Hz, 2H, NCH2), 2.60 (s, 3H, C(O)CH3), 1.34 (t, J = 7.2 Hz, 3H, CH2CH3). 13C NMR (75 MHz, CDCl3) δ 190.38, 142.51, 129.19, 125.25, 43.79, 27.39, 16.39.

3.3.3. 1-(1-Propyl-1H-imidazol-2-yl)ethenone (5c)

Yield, 69%; colorless syrup. 1H NMR (300 MHz, CDCl3) δ 7.12 (d, J = 1.0 Hz, 1H, imidazole H), 7.04 (d, J = 1.0 Hz, 1H, imidazole H), 4.32 (t, J = 7.3 Hz, 2H, NCH2), 2.63 (s, 3H, C(O)CH3), 1.76 (sextet, J = 7.4 Hz, 2H, CH2), 0.89 (t, J = 7.5 Hz, 3H, CH2CH3). 13C NMR (75 MHz, CDCl3) δ 190.40, 142.64, 129.02, 126.01, 50.27, 27.50, 24.30, 10.93.

3.3.4. 1-(1-Butyl-1H-imidazol-2-yl)ethenone (5d)

Yield, 40%; light yellow syrup. 1H NMR (300 MHz, CDCl3) δ 7.13 (d, J = 1.0 Hz, 1H, imidazole H), 7.05 (d, J = 1.0 Hz, 1H, imidazole H), 4.36 (t, J = 7.4 Hz, 2H, NCH2), 2.65 (s, 3H, C(O)CH3), 1.73 (quintet, J = 7.4 Hz, 2H, CH2), 1.33 (sextet, J = 7.5 Hz, 2H, CH2), 0.93 (t, J = 7.3 Hz, 3H, CH2CH3). 13C NMR (75 MHz, CDCl3) δ 190.47, 142.71, 129.21, 125.85, 48.53, 47.67, 33.11, 27.49, 19.71.

3.3.5. 1-(1-secButyl-1H-imidazol-2-yl)ethenone (5e)

Yield, 79%; light yellow syrup. 1H NMR (300 MHz, CDCl3) δ 7.17 (d, J = 0.9 Hz, 1H, imidazole H), 7.12 (d, J = 1.2 Hz, 1H, imidazole H), 5.36 (sextet, J = 6.9 Hz, 1H, NCH), 2.61 (s, 3H, C(O)CH3), 1.69 (quintet, J = 7.4 Hz, 2H, CHCH2CH3), 1.35 (d, J = 7.4Hz, 3H, CHCH3), 0.77 (t, J = 7.5 Hz, 3H, CH2CH3). 13C NMR (75 MHz, CDCl3) δ 190.95, 142.88, 129.66, 121.38, 54.38, 30.76, 27.95, 21.53, 10.36.

3.3.6. 1-(1-Isobutyl-1H-imidazol-2-yl)ethenone (5f)

Yield, 76%; light yellow syrup. 1H NMR (300 MHz, CDCl3) δ 7.12 (d, J = 0.9 Hz, 1H, imidazole H), 7.02 (d, J = 1.2 Hz, 1H, imidazole H), 4.17 (d, J = 7.5 Hz, 2H, NCH2CH), 2.64 (s, 3H, C(O)CH3), 2.14–1.94 [m, 1H, CH(CH3)2], 0.88 [d, J = 6.9 Hz, 6H, CH(CH3)2]. 13C NMR (75 MHz, CDCl3) δ 190.50, 142.81, 128.89, 126.58, 55.80, 29.87, 27.57, 19.74.

3.3.7. 1-(1-Isopentyl-1H-imidazol-2-yl)ethenone (5g)

Yield, 75%; light yellow syrup. 1H NMR (300 MHz, CDCl3) δ 7.10 (d, J = 0.9 Hz, 1H, imidazole H), 7.04 (d, J = 0.9 Hz, 1H, imidazole H), 4.35 (t, J = 7.3 Hz, 2H, NCH2CH2), 2.62 (s, 3H, C(O)CH3), 1.68–1.47 (m, 3H, NCH2CH2CH), 0.91 [d, J = 6.3 Hz, 6H, CH(CH3)2]. 13C NMR (75 MHz, CDCl3) δ 190.35, 142.59, 129.07, 125.76, 47.18, 39.98, 27.45, 25.68, 22.34.

3.3.8. 1-[1-(Pentan-2-yl)-1H-imidazol-2-yl]ethenone (5h)

Yield, 74%; light yellow syrup. 1H NMR (300 MHz, CDCl3) δ 7.19 (d, J = 1.2 Hz, 1H, imidazole H), 7.13 (d, J = 0.9 Hz, 1H, imidazole H), 5.48 (sextet, J = 6.9 Hz, 1H, NCH), 2.63 (s, 3H, C(O)CH3), 1.76–1.53 (m, 2H, CH2), 1.36 (d, J = 6.9 Hz, 3H, CHCH3), 1.26–0.96 (m, 2H, CH2), 0.84 (t, J = 7.2 Hz, 3H, CH2CH3). 13C NMR (75 MHz, CDCl3) δ 190.93, 142.77, 129.68, 121.37, 52.79, 39.89, 27.94, 22.02, 19.13, 13.66.

3.3.9. 1-[1-(Pentan-3-yl)-1H-imidazol-2-yl]ethenone (5i)

Yield, 67%; light yellow syrup. 1H NMR (300 MHz, CDCl3) δ 7.19 (d, J = 1.1 Hz, 1H, imidazole H), 7.16 (d, J = 1.1 Hz, 1H, imidazole H), 5.42–5.26 (m, 1H, NCH), 2.66 (s, 3H, C(O)CH3), 1.90–1.54 (m, 4H, 2 × CH2CH3), 0.75 (t, J = 7.5 Hz, 6H, 2 × CH2CH3). 13C NMR (75 MHz, CDCl3) δ 190.96, 143.47, 129.64, 121.34, 60.02, 29.05, 28.22, 10.23.

3.4. Synthesis of (E)-3(2-Methoxy-4-[(3-methyl-2-buten-1-yl)oxy]phenyl-1-(1-alkyl-1H-imidazol-2-yl)-2-propen-1-one (3a3i)

Potassium hydroxide (0.67 mmol) and 2-methoxy-4-[(3-methyl-2-buten-1-yl)oxy]benzaldehyde (4, 0.67 mmol) were sequentially added to a solution of 1-(1-alkyl-1H-imidazol-2-yl)ethenone (5a5i, 0.335 mmol) in ethanol (3.35 mL). The reaction was stirred at room temperature for 12 h and monitored by TLC for completion, after which it was quenched with water (5 mL). The resulting mixture was extracted with ethyl acetate (5 mL × 3). The combined organic layers were dried over anhydrous sodium sulfate and concentrated in vacuo. The crude product was purified by multiple PTLC runs, eluting with 1% methanol in dichloromethane and hexane/ethyl acetate (4:1, v/v), to yield the desired chalcones 3a–3i. Their physical and spectral properties are summarized below.

3.4.1. (E)-3-(2-Methoxy-4-[(3-methyl-2-buten-1-yl)oxy]phenyl-1-(1-methyl-1H-imidazol-2-yl)-2-propen-1-one (3a)

Yield, 59%; bright yellow oil. 1H NMR (300 MHz, CDCl3) δ 8.18 (d, J = 16.1 Hz, 1H, trans-vinylic H), 7.99 (d, J = 16.0 Hz, 1H, trans-vinylic H), 7.72 (d, J = 8.6 Hz, 1H, aromatic H), 7.21 (d, J = 1.0 Hz, 1H, imidazole H), 7.05 (d, J = 1.0 Hz, 1H, imidazole H), 6.52 (dd, J = 8.6, 2.4 Hz, 1H, aromatic H), 6.46 (d, J = 2.3 Hz, 1H, aromatic H), 5.51–5.46 (m, 1H, vinylic H), 4.54 (d, J = 6.9 Hz, 2H, OCH2), 4.09 (s, 3H), 3.87 (s, 3H), 1.78(s, 3H, CH3), 1.75 (s, 3H, CH3). 13C NMR (75 MHz, CDCl3) δ 180.71, 162.60, 160.40, 144.04, 138.98, 130.38, 130.24, 128.44, 126.87, 120.06, 119.07, 117.04, 105.94, 99.04, 64.98, 55.67, 36.61, 25.94, 18.31. IR (film) νmax: 3110, 2926, 1651, 1580, 1501 cm−1. HRMS: m/z calculated for C19H23N2O3 [M + H]+: 327.1709. Found: 327.1715.

3.4.2. (E)-3-(2-Methoxy-4-[(3-methyl-2-buten-1-yl)oxy]phenyl-1-(1-ethyl-1H-imidazol-2-yl)-2-propen-1-one (3b)

Yield, 57%; bright yellow oil. 1H NMR (300 MHz, CDCl3) δ 8.19 (d, J = 16.0 Hz, 1H, trans-vinylic H), 8.02 (d, J = 16.0 Hz, 1H, trans-vinylic H), 7.74 (d, J = 8.6 Hz, 1H, aromatic H), 7.23 (d, J = 1.0 Hz, 1H, imidazole H), 7.12 (d, J = 1.0 Hz, 1H, imidazole H), 6.52 (dd, J = 8.6, 2.4 Hz, 1H, aromatic H), 6.46 (d, J = 2.3 Hz, 1H, aromatic H), 5.55–5.42 (m, 1H, vinylic H), 4.54 (d, J = 7.2 Hz, 2H, OCH2), 4.54 (q, J = 7.2 Hz, 2H, NCH2CH3), 3.87 (s, 3H, OCH3), 1.80 (s, 3H, CH3), 1.75 (s, 3H, CH3), 1.46 (t, J = 7.2 Hz, 3H, CH2CH3). 13C NMR (75 MHz, CDCl3) δ 180.41, 162.58, 160.38, 143.38, 138.97, 134.54, 130.18, 128.51, 125.01, 120.32, 119.08, 117.07, 106.02, 99.05, 64.98, 55.71, 44.15, 25.84, 18.21, 16.54. IR (film) νmax: 3106, 2871, 2934, 1651, 1578, 1500 cm−1. HRMS: m/z calculated for C20H25N2O3 [M + H]+: 341.1865. Found: 341.1873.

3.4.3. (E)-3-(2-Methoxy-4-[(3-methyl-2-buten-1-yl)oxy]phenyl-1-(1-propyl-1H-imidazol-2-yl)-2-propen-1-one (3c)

Yield, 69%; bright yellow oil. 1H NMR (300 MHz, CDCl3) δ 8.17 (d, J = 16.2 Hz, 1H, trans-vinylic H), 8.01 (d, J = 15.9 Hz, 1H, trans-vinylic H), 7.71 (d, J = 8.7 Hz, 1H, aromatic H), 7.20 (d, J = 0.9 Hz, 1H, imidazole H), 7.09 (d, J = 0.9 Hz, 1H, imidazole H), 6.52 (dd, J = 8.4, 2.4 Hz, 1H, aromatic H), 6.47 (d, J = 2.4 Hz, 1H, aromatic H), 5.67–5.41 (m, 1H, vinylic H), 4.55 (d, J = 6.9 Hz, 2H, OCH2), 4.45 (t, J = 7.2 Hz, 2H, NCH2CH2), 3.86 (s, 3H, OCH3), 1.87 (sextet, J = 7.5 Hz, 2H, NCH2CH2CH3), 1.80 (s, 3H, CH3), 1.75 (s, 3H, CH3), 0.95 (t, J = 7.5 Hz, 3H, CH2CH3). 13C NMR (151 MHz, CDCl3) δ 180.64, 162.61, 160.43, 138.92, 132.22, 130.25, 128.67, 125.92, 120.48, 119.20, 117.20, 106.07, 104.83, 99.09, 65.05, 55.63, 50.62, 25.91, 24.57, 18.30, 11.10. IR (film) νmax: 3105, 2965, 2933, 2875, 1651, 1607, 1578, 1500 cm−1. HRMS: m/z calculated for C21H27N2O3 [M + H]+: 355.2022. Found: 355.2029.

3.4.4. (E)-3-(2-Methoxy-4-[(3-methyl-2-buten-1-yl)oxy]phenyl-1-(1-butyl-1H-imidazol-2-yl)-2-propen-1-one (3d)

Yield, 41%; bright yellow oil. 1H NMR (300 MHz, CDCl3) δ 8.17 (d, J = 16.2 Hz, 1H, trans-vinylic H), 8.00 (d, J = 16.2 Hz, 1H, trans-vinylic H), 7.70 (d, J = 8.7 Hz, 1H, aromatic H), 7.19 (d, J = 0.9 Hz, 1H, imidazole H), 7.08 (d, J = 0.9 Hz, 1H, imidazole H), 6.51 (dd, J = 8.7, 2.4 Hz, 1H, aromatic H), 6.46 (d, J = 2.4 Hz, 1H, aromatic H), 5.69–5.37 (m, 1H, vinylic H), 4.54 (d, J = 6.9 Hz, 2H, OCH2), 4.48 (t, J = 7.4 Hz, 2H, NCH2CH2), 3.86 (s, 3H, OCH3), 1.85–1.74 (overlapped, 2H, NCH2CH2CH2), 1.80 (s, 3H, CH3), 1.75 (s, 3H, CH3), 1.37 (sextet, J = 7.5 Hz, 2H, CH2CH2CH3), 0.94 (t, J = 7.4 Hz, 3H, CH2CH3). 13C NMR (75 MHz, CDCl3) δ 180.95, 162.55, 160.42, 144.02, 139.05, 138.60, 130.24, 129.12, 126.04, 120.63, 119.25, 117.27, 106.02, 99.10, 65.09, 55.73, 48.87, 33.44, 25.98, 19.96, 18.35, 13.82. IR (film) νmax: 3106, 2958, 2931, 2872, 1651, 1607, 1579, 1501 cm−1. HRMS: m/z calculated for C22H29N2O3 [M + H]+: 369.2178. Found: 369.2187.

3.4.5. (E)-3-(2-Methoxy-4-[(3-methyl-2-buten-1-yl)oxy]phenyl-1-(1-secbutyl-1H-imidazol-2-yl)-2-propen-1-one (3e)

Yield, 27%; bright yellow oil. 1H NMR (300 MHz, CDCl3) δ 8.17 (d, J = 16.2 Hz, 1H, trans-vinylic H), 8.03 (d, J = 16.2 Hz, 1H, trans-vinylic H), 7.72 (d, J = 8.4 Hz, 1H, aromatic H), 7.24 (s, 2H, imidazole H), 6.52 (dd, J = 8.7, 2.4 Hz, 1H, aromatic H), 6.47 (d, J = 2.4 Hz, 1H, aromatic H), 5.63 (sextet, J = 6.9 Hz, 1H, NCH), 5.56–5.42 (m, 1H, vinylic H), 4.55 (d, J = 6.9 Hz, 2H, OCH2), 3.87 (s, 3H, OCH3), 1.85–1.71 (overlapped, 2H, CH2CH3), 1.81 (s, 3H, CH3), 1.74 (s, 3H, CH3), 1.46 (d, J = 6.9 Hz, 3H, CHCH3), 0.86 (t, J = 7.4 Hz, 3H, CH2CH3). IR (film) νmax: 3106, 2966, 2933, 2876, 1651, 1577, 1501 cm−1. HRMS: m/z calculated for C22H29N2O3 [M + H]+: 369.2178. Found: 369.2188.

3.4.6. (E)-3-(2-Methoxy-4-[(3-methyl-2-buten-1-yl)oxy]phenyl-1-(1-isobutyl-1H-imidazol-2-yl)-2-propen-1-one (3f)

Yield, 38%; bright yellow oil. 1H NMR (300 MHz, CDCl3) δ 8.17 (d, J = 16.1 Hz, 1H, trans-vinylic H), 8.02 (d, J = 16.1 Hz, 1H, trans-vinylic H), 7.71 (d, J = 8.6 Hz, 1H, aromatic H), 7.20 (d, J = 1.0 Hz, 1H, imidazole H), 7.06 (d, J = 1.0 Hz, 1H, imidazole H), 6.52 (dd, J = 8.6, 2.4 Hz, 1H, aromatic H), 6.46 (d, J = 2.3 Hz, 1H, aromatic H), 5.55–5.42 (m, 1H, vinylic H), 4.54 (d, J = 7.1 Hz, 2H, OCH2), 4.29 (d, J = 7.3 Hz, 2H, NCH2CH), 3.86 (s, 3H, OCH3), 2.22–2.09 [m, 1H, CH2CH(CH3)2], 1.80 (s, 3H, CH3), 1.75 (s, 3H, CH3), 0.92 [d, J = 6.7 Hz, 6H, CH(CH3)2]. 13C NMR (75 MHz, CDCl3) δ 180.80, 162.60, 160.45, 143.94, 139.02, 138.78, 130.20, 128.60, 126.57, 120.55, 119.22, 117.22, 106.02, 99.07, 65.08, 56.18, 30.02, 26.02, 25.94, 19.90, 18.40. IR (film) νmax: 3106, 2933, 2871, 1651, 1607, 1579, 1500 cm−1. HRMS: m/z calculated for C22H29N2O3 [M + H]+: 369.2178. Found: 369.2186.

3.4.7. (E)-3-(2-Methoxy-4-[(3-methyl-2-buten-1-yl)oxy]phenyl-1-(1-isopentyl-1H-imidazol-2-yl)-2-propen-1-one (3g)

Yield, 93%; bright yellow oil. 1H NMR (300 MHz, CDCl3) δ 8.18 (d, J = 16.2 Hz, 1H, trans-vinylic H), 8.01 (d, J = 15.9 Hz, 1H, trans-vinylic H), 7.71 (d, J = 8.7 Hz, 1H, aromatic H), 7.20 (d, J = 0.9 Hz, 1H, imidazole H), 7.09 (d, J = 0.9 Hz, 1H, imidazole H), 6.51 (dd, J = 8.6, 2.3 Hz, 1H, aromatic H), 6.46 (d, J = 2.4 Hz, 1H, aromatic H), 5.54–5.43 (m, 1H, vinylic H), 4.54 (d, J = 6.9 Hz, 2H, OCH2), 4.49 (t, J = 8.1 Hz, 2H, NCH2CH2), 3.86 (s, 3H, OCH3), 1.80 (s, 3H, CH3), 1.75 (s, 3H, CH3), 1.73–1.68 [overlapped, 3H, CH2CH(CH3)2], 0.97 [d, J = 6.6 Hz, 6H, CH2CH(CH3)2]. 13C NMR (75 MHz, CDCl3) δ 180.63, 162.48, 160.33, 143.70, 138.89, 138.66, 130.14, 128.86 125.65, 120.46, 119.12, 117.13, 105.93, 98.99, 64.96, 55.57, 47.42, 40.14, 25.88, 25.82, 22.43, 18.22. IR (film) νmax: 3105, 2955, 2931, 2869, 1651, 1607, 1580, 1501 cm−1. HRMS: m/z calculated for C23H31N2O3 [M + H]+: 383.2335. Found: 383.2342.

3.4.8. (E)-3-(2-Methoxy-4-[(3-methyl-2-buten-1-yl)oxy]phenyl-1-[1-(pentan-2-yl)-1H-imidazol-2-yl]-2-propen-1-one (3h)

Yield, 72%; bright yellow oil. 1H NMR (300 MHz, CDCl3) δ 8.16 (d, J = 15.9 Hz, 1H, trans-vinylic H), 8.02 (d, J = 15.9 Hz, 1H, trans-vinylic H), 7.71 (d, J = 8.4 Hz, 1H, aromatic H), 7.25 (d, J = 1.2 Hz, 1H, imidazole H), 7.23 (d, J = 1.2 Hz, 1H, imidazole H), 6.52 (dd, J = 8.4, 2.4 Hz, 1H, aromatic H), 6.46 (d, J = 2.4 Hz, 1H, aromatic H), 5.75 (sextet, J = 6.9 Hz, 1H, NCH), 5.54–5.42 (m, 1H, vinylic H), 4.54 (d, J = 6.9 Hz, 2H, OCH2), 3.86 (s, 3H, OCH3), 1.80 (s, 3H, CH3), 1.75 (s, 3H, CH3), 1.74–1.62 (m, 2H, CHCH2CH2), 1.44 (d, J = 6.9 Hz, 3H, CHCH3), 1.33–1.17 (m, 2H, CH2CH2CH3), 0.88 (t, J = 7.7 Hz, 3H, CH2CH3).13C NMR (75 MHz, CDCl3) δ 181.26, 162.55, 160.41, 144.03, 139.01, 138.73, 130.26, 129.53, 121.23, 121.15, 119.24, 117.29, 106.03, 99.11, 65.08, 55.70, 53.03, 40.13, 25.96, 22.23, 19.37, 18.37, 13.89. IR (film) νmax: 3105, 2960, 2931, 2872, 1651, 1607, 1577, 1502 cm−1. HRMS: m/z calculated for C23H31N2O3 [M + H]+: 383.2335. Found: 383.2344.

3.4.9. (E)-3-(2-Methoxy-4-[(3-methyl-2-buten-1-yl)oxy]phenyl-1-(1-(pentan-3-yl)-1H-imidazol-2-yl)-2-propen-1-one (3i)

Yield, 92%; bright yellow oil. 1H NMR (300 MHz, CDCl3) δ 8.16 (d, J = 15.9 Hz, 1H, trans-vinylic H), 8.03 (d, J = 15.9 Hz, 1H, trans-vinylic H), 7.71 (d, J = 8.7 Hz, 1H, aromatic H), 7.26 (d, J = 1.2 Hz, 1H, imidazole H), 7.19 (d, J = 1.2 Hz, 1H, imidazole H), 6.52 (dd, J = 8.4, 2.4 Hz, 1H, aromatic H), 6.46 (d, J = 2.4 Hz, 1H, aromatic H), 5.63–5.52 (m, 1H, NCH), 5.52–5.43 (m, 1H, vinylic H), 4.54 (d, J = 6.9 Hz, 2H, OCH2), 3.86 (s, 3H, OCH3), 1.96–1.62 (m, 4H, 2 × CH2CH3), 1.80 (s, 3H, CH3), 1.75 (s, 3H, CH3), 0.81 (t, J = 7.4 Hz, 6H, 2 × CH2CH3). 13C NMR (75 MHz, CDCl3) δ 181.29, 162.55, 160.40, 144.84, 139.02, 138.75, 130.23, 129.65, 121.23, 121.19, 119.21, 117.25, 106.03, 99.11, 65.06, 60.20, 55.71, 29.25, 26.00, 18.33, 10.46. IR (film) νmax: 3105, 2965, 2933, 2876, 1652, 1579, 1502 cm−1. HRMS: m/z calculated for C23H31N2O3 [M + H]+: 383.2335. Found: 383.2345.

3.5. Claisen Rearrangement of (E)-3(2-Methoxy-4-[(3-methyl-2-buten-1-yl)oxy]phenyl-1-(1-alkyl-1H-imidazol-2-yl)-2-propen-1-one

3.5.1. Conversion of Chalcones 3c and 3g to Ester 8

Chalcone 3c (28 mg) or chalcone 3g (28 mg) was dissolved in ethanol and water (5 mL, 4:1 v/v) in a sealed tube. The solution was heated at 160 °C overnight and then allowed to cool to room temperature. After cooling, the mixture was diluted with brine (10 mL) and extracted with dichloromethane (5 mL × 3). The combined organic layers were dried over anhydrous sodium sulfate and concentrated under reduced pressure to yield ester 8 as a yellow-green syrup in 95% yield. 1H NMR (300 MHz, CDCl3) δ 7.89 (d, J = 16.2 Hz, 1H, trans-vinylic H), 7.38 (s, 1H), 6.45 (d, J = 15.6 Hz, 1H, trans-vinylic H), 6.42 (s, 1H), 6.22 (br.s, 1H, OH), 6.18 (dd, J = 18.0, 10.8 Hz, 1H, vinylic H), 5.37 (dd, J = 18.0, 0.9 Hz, 1H, vinylic H), 5.33 (dd, J = 10.2, 0.9 Hz, 1H, vinylic H), 4.25 (q, J = 7.2 Hz, 2H, OCH2CH3), 3.84 (s, 3H, OCH3), 1.43 (s, 6H, 2 × CH3), 1.33 (t, J = 7.2 Hz, 3H, OCH2CH3). 13C NMR (75 MHz, CDCl3) δ 168.17 (C), 159.14 (C), 158.04 (C), 147.95 (CH), 140.61 (CH), 127.89 (CH), 124.50 (C), 116.08 (C), 116.06 (C), 114.10 (CH2), 101.17 (CH), 60.30 (CH2), 55.68 (CH3), 39.89 (C), 27.22 (CH3), 14.56 (CH3). C, CH, CH2, and CH3 were assigned based on DEPT. IR (film) νmax: 3342, 2964, 1702, 1678, 1600, 1504, 1463, 1156 cm−1. HRMS: m/z calculated for C17H23O4 [M + H]+: 291.1596. Found: 291.1593.

3.5.2. Conversion of Chalcone 3c to Ester 9

Chalcone 3c was converted to ester 9 under the Claisen rearrangement conditions using 1-propanol–water (4:1 v/v) as solvent. Yield: 26%; Yellow-green syrup. 1H NMR (300 MHz, CDCl3) δ 7.90 (d, J = 16.2 Hz, 1H, trans-vinylic H), 7.38 (s, 1H, aromatic H), 6.46 (d, J = 16.2 Hz, 1H, trans-vinylic H), 6.42 (s, 1H, aromatic H), 6.22 (br.s., 1H, OH), 6.18 (dd, J = 17.7, 10.5 Hz, 1H, vinylic H), 5.38 (dd, J = 17.7, 0.9 Hz, 1H, vinylic H), 5.34 (dd, J = 10.5, 0.9 Hz, 1H, vinylic H), 4.15 (t, J = 6.9 Hz, 2H, OCH2CH2CH3), 3.84 (s, 3H, OCH3), 1.73 (sextet, J = 7.2 Hz, 2H, OCH2CH2CH3), 1.43 (s, 6H, 2 × CH3), 0.99 (t, J = 7.2 Hz, 3H, OCH2CH2CH3). 13C NMR (75 MHz, CDCl3) δ 168.30, 159.12, 158.02, 147.96, 140.62, 127.75, 124.43, 116.05, 115.95, 114.18, 101.20, 66.00, 55.81, 39.88, 27.24, 22.31, 10.61. IR (film) νmax: 3325, 2964, 1703, 1676, 1600, 1504, 1446, 1158 cm−1. HRMS: m/z calculated for C18H25O4 [M + H]+: 305.1753. Found: 305.1749.

3.5.3. Conversion of Chalcone 3a to Ester 10

Chalcone 3a was converted to ester 10 under the Claisen rearrangement conditions using methanol–water (4:1 v/v) as solvent. Yield: 36%; Yellow-green syrup. 1H NMR (300 MHz, CDCl3) δ 7.90 (d, J = 15.9 Hz, 1H, trans-vinylic H), 7.37 (s, 1H, aromatic H), 6.46 (d, J = 15.9 Hz, 1H, trans-vinylic H), 6.42 (s, 1H), 6.23 (br.s., 1H, OH), 6.17 (dd, J = 17.7, 10.5 Hz, 1H, vinylic H), 5.38 (dd, J = 17.7, 0.9 Hz, 1H, vinylic H), 5.34 (dd, J = 10.5, 1.2 Hz, 1H, vinylic H), 3.84 (s, 3H, OCH3), 3.79 (s, 3H, OCH3), 1.42 (s, 6H, 2 × CH3). 13C NMR (75 MHz, CDCl3) δ 168.61, 159.16, 158.10, 147.92, 140.94, 127.76, 124.46, 115.94, 115.48, 114.19, 101.22, 55.83, 51.77, 39.87, 27.22. IR (film) νmax: 3329, 2964, 1702, 1682, 1604, 1506, 1446, 1290, 1165. HRMS: m/z calculated for C16H21O4 [M + H]+: 277.1440. Found: 277.1435.

3.6. Synthesis of 5-(1,1,-Dimethyl-2-propen-1-yl)-4-hydroxy-2-methoxybenzaldehyde (11)

2-Methoxy-4-[(3-methyl-2-buten-1-yl)oxy]benzaldehyde (4, 696 mg, 3.16 mmol) was dissolved in ethanol and water (50 mL, 4:1 v/v) in a sealed tube. The solution was heated at 169 °C for three days and then allowed to cool to room temperature. After cooling, the mixture was diluted with brine (100 mL) and extracted with dichloromethane (50 mL × 3). The combined organic layers were dried over anhydrous sodium sulfate and concentrated in vacuo. The crude product was purified by PTLC using 2% methanol in dichloromethane as the eluent, yielding 170 mg of the Claisen rearrangement product as a pale-yellow wax in 24% yield alongside 338 mg of the starting material. The yield, based on recovered starting material, is 47%. The 1H NMR data are consistent with those previously reported in the literature [24].

3.7. Synthesis of Aldehyde 12 via Methylation of Aldehyde 11

A three-neck round bottom flask was charged with 5-(1,1,-dimethyl-2-propen-1-yl)-4-hydroxy-2-methoxybenzaldehyde (11, 56 mg, 0.254 mmol) and potassium carbonate (72 mg, 0.52 mmol). The flask was evacuated three times under argon before acetone (2 mL) was added. The reaction mixture was refluxed for 15 min, after which dimethylsulfate (64 uL, 0.68 mmol) was added via a needle. The mixture was then refluxed for an additional 4 h, with completion monitored by TLC. After cooling to room temperature, saturated ammonium chloride (5 mL) was added to quench the reaction. The resulting mixture was extracted with ethyl acetate (5 mL × 3), and the combined organic layers were washed with brine (3 mL), dried over anhydrous sodium sulfate, and concentrated in vacuo. The crude product was purified by PTLC using hexane/ethyl acetate as the eluent, yielding the desired aldehyde 12 as an off-white powder in 96% yield. 1H NMR (300 MHz, CDCl3) δ 10.29 (s, 1H, aldehyde H), 7.77 (s, 1H, aromatic H), 6.40 (s, 1H, aromatic H), 6.10 (dd, J = 17.4, 10.5 Hz, 1H, vinylic H), 4.93 (dd, J = 10.8, 1.2 Hz, 1H, vinylic H), 4.89 (dd, J = 17.4, 1.2 Hz, 1H, vinylic H), 3.92 (s, 3H, OCH3), 3.87 (s, 3H, OCH3), 1.42 (s, 6H, 2 × CH3). 13C NMR (75 MHz, CDCl3) δ 188.70, 164.90, 162.89, 147.57, 129.49, 127.66, 117.54, 110.31, 95.29, 55.91, 55.52, 40.15, 27.52.

3.8. Synthesis of Chalcones 13a13i

Potassium hydroxide (0.18 mmol) was added to a solution of 1-(1-alkyl-1H-imidazol-2-yl)ethenone (5a5i, 0.083 mmol) in ethanol (0.5 mL). The solution was stirred for 10 min before a solution of aldehyde 12 (0.67 mmol) in ethanol (0.5 mL) was added. The reaction was stirred at room temperature overnight and monitored by TLC for completion, after which it was quenched with water (5 mL). The resulting mixture was extracted with ethyl acetate (5 mL × 3). The combined organic layers were dried over anhydrous sodium sulfate and concentrated in vacuo. The crude product was purified by multiple PTLC runs, eluting with hexane/ethyl acetate (4:1, v/v), to yield the desired chalcones 13a13i. Their physical and spectral properties are summarized below.

3.8.1. Chalcone 13a

Yield: 98%; yellow syrup. 1H NMR (300 MHz, CDCl3) δ 8.17 (d, J = 16.2 Hz, 1H, trans-vinylic H), 7.95 (d, J = 16.2 Hz, 1H, trans-vinylic H), 7.61 (s, 1H, aromatic H), 7.18 (d, J = 1.2 Hz, 1H, imidazole H), 7.04 (d, J = 1.2 Hz, 1H, imidazole H), 6.41 (s, 1H, aromatic H), 6.14 (dd, J = 17.4, 10.8 Hz, 1H, vinylic H), 4.93 (dd, J = 10.8, 1.2 Hz, 1H, vinylic H), 4.90 (dd, J = 17.4, 1.2 Hz, 1H, vinylic H), 4.06 (s, 3H, NCH3), 3.89 (s, 3H, OCH3), 3.83 (s, 3H, OCH3), 1.44 (s, 6H, 2 × CH3). 13C NMR (151 MHz, CDCl3) 181.08, 161.78, 159.35, 147.86, 144.29, 139.72, 129.16, 128.72, 128.14, 126.84, 120.02, 115.64, 110.07, 95.97, 55.79, 55.28, 40.11, 36.48, 27.57. IR (film) νmax: 3079, 2961, 2837, 1651, 1579, 1498, 1274 cm−1. HRMS: m/z calculated for C20H25N2O3 [M + H]+: 341.1865. Found: 341.1870.

3.8.2. Chalcone 13b

Yield: 93%; yellow syrup. 1H NMR (300 MHz, CDCl3) δ 8.18 (d, J = 16.2 Hz, 1H, trans-vinylic H), 7.98 (d, J = 15.9 Hz, 1H, trans-vinylic H), 7.62 (s, 1H, aromatic H), 7.21 (s, 1H, imidazole H), 7.11 (s, 1H, imidazole H), 6.42 (s, 1H), aromatic H), 6.14 (dd, J = 17.4, 10.8 Hz, 1H, vinylic H), 4.93 (dd, J = 10.8, 1.2 Hz, 1H, vinylic H), 4.91 (dd, J = 17.4, 1.2 Hz, 1H, vinylic H), 4.53 (q, J = 7.2 Hz, 2H, NCH2CH3), 3.90 (s, 3H, OCH3), 3.84 (s, 3H, OCH3), 1.45 (t, J = 7.2 Hz, 3H, CH2CH3)1.44 (s, 6H, 2 × CH3). 13C NMR (151 MHz, CDCl3) δ 180.94, 161.71, 159.31, 147.87, 143.77, 139.52, 129.14, 129.02, 128.10, 125.13, 120.27, 115.70, 110.06, 95.97, 55.78, 55.28, 44.07, 40.11, 27.57, 16.66. IR (film) νmax: 2966, 2837, 1652, 1581, 1499, 1408 cm−1. HRMS: m/z calculated for C21H27N2O3 [M + H]+: 355.2021. Found: 355.2027.

3.8.3. Chalcone 13c

Yield: 72%; yellow syrup. 1H NMR (300 MHz, CDCl3) δ 8.20 (d, J = 15.9 Hz, 1H, trans-vinylic H), 8.04 (d, J = 15.9 Hz, 1H, trans-vinylic H), 7.66 (s, 1H, aromatic H), 7.26 (d, J = 1.2 Hz, 1H, imidazole H), 7.12 (d, J = 1.2 Hz, 1H, imidazole H), 6.42 (s, 1H, aromatic H), 6.15 (dd, J = 17.1, 10.5 Hz, 1H, vinylic H), 4.94 (dd, J = 10.8, 1.2 Hz, 1H, vinylic H), 4.91 (dd, J = 17.1, 1.2 Hz, 1H, vinylic H), 4.47 (t, J = 7.5 Hz, 2H, NCH2CH2), 3.92 (s, 3H, OCH3), 3.85 (s, 3H, OCH3), 1.86 (sextet, J = 7.5 Hz, 2H, CH2CH2CH3), 1.45 (s, 6H, 2 x CH3), 0.95 (t, J = 7.5 Hz, 3H, CH2CH3). 13C NMR (151 MHz, CDCl3) δ 180.40, 162.02, 159.58, 147.93, 143.29, 140.36, 129.31, 128.49, 127.96, 125.80, 120.08, 115.70, 110.11, 95.96, 55.86, 55.34, 50.83, 40.19, 27.65, 24.60, 11.13. IR (film) νmax: 2964, 2875, 1652, 1581, 1499, 1407, 1275 cm−1. HRMS: m/z calculated for C22H29N2O3 [M + H]+: 369.2178. Found: 369.2184.

3.8.4. Chalcone 13d

Yield: 52%; yellow-green syrup. 1H NMR (300 MHz, CDCl3) δ 8.20 (d, J = 15.9 Hz, 1H, trans-vinylic H), 8.03 (d, J = 15.9 Hz, 1H, trans-vinylic H), 7.64 (s, 1H, aromatic H), 7.24 (d, J = 0.9 Hz, 1H, imidazole H), 7.11 (d, J = 1.2 Hz, 1H, imidazole H), 6.42 (s, 1H, aromatic H), 6.14 (dd, J = 17.4, 10.8 Hz, 1H, vinylic H), 4.93 (dd, J = 10.8, 1.5 Hz, 1H, vinylic H), 4.91 (dd, J = 17.4, 1.5 Hz, 1H, vinylic H), 4.49 (t, J = 7.5 Hz, 2H, NCH2), 3.91 (s, 3H, OCH3), 3.85 (s, 3H, OCH3), 1.86—1.76 (m, 2H, CH2), 1.45 (s, 6H, 2 × CH3), 1.41—1.31 (m, 2H, CH2), 0.94 (t, J = 7.2 Hz, 3H, CH3). 13C NMR (75 MHz, CDCl3) δ 180.83, 161.98, 159.55, 147.93, 143.23, 140.33, 129.20, 128.56, 128.37, 125.72, 119.97, 115.60, 110.11, 95.80, 55.71, 55.44, 49.09, 40.16, 33.35, 27.65, 19.91, 13.77. IR (film) νmax: 2960, 2873, 1652, 1583, 1499, 1277, 1024 cm−1. HRMS: m/z calculated for C23H31N2O3 [M + H]+: 383.2334. Found: 383.2334.

3.8.5. Chalcone 13e

Yield: 84%; yellow syrup. 1H NMR (300 MHz, CDCl3) δ 8.19 (d, J = 15.9 Hz, 1H, trans-vinylic H), 8.04 (d, J = 15.9 Hz, 1H, trans-vinylic H), 7.65 (s, 1H, aromatic H), 7.29 (d, J = 1.2 Hz, 1H, imidazole H), 7.26 (d, J = 1.2 Hz, 1H, imidazole H), 6.42 (s, 1H, aromatic H), 6.15 (dd, J = 17.1, 10.8 Hz, 1H, vinylic H), 5.63 (Sextet, J = 6.9 Hz, 1H, NCH), 4.94 (dd, J = 10.8, 1.2 Hz, 1H, vinylic H), 4.91 (dd, J = 17.4, 1.2 Hz, 1H, vinylic H), 3.92 (s, 3H, OCH3), 3.85 (s, 3H, OCH3), 1.87—1.72 (m, 2H, CH2), 1.46 (d, J = 6.9 Hz, 3H, CHCH3), 1.45 (s, 6H, 2 × CH3), 0.85 (t, J = 7.2 Hz, 3H, CH2CH3). 13C NMR (75 MHz, CDCl3) δ 180.84, 161.94, 159.50, 147.93, 143.52, 140.28, 129.18, 128.47, 128.33, 121.04, 120.52, 115.63, 110.09, 95.90, 55.40, 54.88, 54.82, 40.15, 30.98, 27.63, 21.68, 10.55. IR (film) νmax: 3079, 2964, 1652, 1580, 1499, 1403, 1389, 1275, 1025 cm−1. HRMS: m/z calculated for C23H31N2O3 [M + H]+: 383.2334. Found: 383.2340.

3.8.6. Chalcone 13f

Yield: 98%; yellow syrup. 1H NMR (300 MHz, CDCl3) δ 8.20 (d, J = 15.9 Hz, 1H, trans-vinylic H), 8.07 (d, J = 15.9 Hz, 1H, trans-vinylic H), 7.66 (s, 1H, aromatic H), 7.28 (s, 1H, imidazole H), 7.09 (S, 1H, imidazole H), 6.42 (s, 1H, aromatic H), 6.15 (dd, J = 17.1, 10.8 Hz, 1H, vinylic H), 4.94 (dd, J = 10.8, 1.2 Hz, 1H, vinylic H), 4.91 (dd, J = 17.4, 1.2 Hz, 1H, vinylic H), 4.32 (d, J = 7.5 Hz, 2H, NCH2), 3.93 (s, 3H, OCH3), 3.85 (s, 3H, OCH3), 2.23–2.09 (m, 1H, CH), 1.46 (s, 6H, 2 × CH3), 0.93 [d, 6H, CH(CH3)2].13C NMR (75 MHz, CDCl3) δ 179.95, 162.15, 159.68, 147.87, 142.81, 140.83, 129.25, 128.60, 127.33, 126.38, 119.80, 115.49, 110.08, 95.82, 56.39, 55.87, 55.25, 40.14, 30.00, 27.58, 19.83. IR (film) νmax: 3079, 2960, 2871, 1650, 1580, 1498, 1406, 1273, 1021 cm−1. HRMS: m/z calculated for C23H31N2O3 [M + H]+: 383.2334. Found: 383.2341.

3.8.7. Chalcone 13g

Yield: 76%; yellow-green syrup. 1H NMR (300 MHz, CDCl3) δ 8.18 (d, J = 15.9 Hz, 1H, trans-vinylic H), 8.00 (d, J = 15.9 Hz, 1H, trans-vinylic H), 7.62 (s, 1H, aromatic H), 7.21 (d, J = 1.2 Hz, 1H, imidazole H), 7.10 (d, J = 0.9 Hz, 1H, imidazole H), 6.42 (s, 1H, aromatic H), 6.14 (dd, J = 17.4, 10.8 Hz, 1H, vinylic H), 4.94 (dd, J = 10.8, 1.5 Hz, 1H, vinylic H), 4.91 (dd, J = 17.4, 1.5 Hz, 1H, vinylic H), 4.50 (t, J = 7.5 Hz, 2H, N-CH2), 3.91 (s, 3H, OCH3), 3.85 (s, 3H, OCH3), 1.75–1.60 (m, 3H), 1.14 (s, 6H, 2 × CH3), 0.97 (d, J = 6.3 Hz, 6H, 2 × CH3). 13C NMR (75 MHz, CDCl3) δ 180.83, 161.76, 159.38, 147.91, 143.71, 139.74, 129.08, 128.69, 128.19, 125.78, 120.21, 115.63, 110.11, 95.92, 56.22, 55.65, 47.57, 40.23, 40.13, 27.62, 25.92, 22.53. IR (film) νmax: 2959, 2871, 1653, 1585, 1499, 1277 cm−1. HRMS: m/z calculated for C24H33N2O3 [M + H]+: 397.2491. Found: 397.2490.

3.8.8. Chalcone 13h

Yield: 68%; yellow syrup. 1H NMR (300 MHz, CDCl3) δ 8.18 (d, J = 15.9 Hz, 1H, trans-vinylic H), 8.01 (d, J = 15.9 Hz, 1H, trans-vinylic H), 7.62 (s, 1H, aromatic H), 7.25 (s, 2H, imidazole H), 6.42 (s, 1H, aromatic H), 6.15 (dd, J = 17.4, 10.8 Hz, 1H, vinylic H), 5.72 (sextet, J = 8.1 Hz, 1H, NCH), 4.94 (dd, J = 10.8, 1.5 Hz, 1H, vinylic H), 4.91 (dd, J = 17.4, 1.5 Hz, 1H, vinylic H), 3.91 (s, 3H, OCH3), 3.85 (s, 3H, OCH3), 1.79–1.66 (m, 2H, CH2CH2CH3), 1.45 (s, 6H, 2 × CH3), 1.45 (d, J = 6.9 Hz, 3H, CH3CH), 1.31–1.15 (m, 2H, CH2CH2CH3), 0.89 (t, J = 7.2 Hz, 3H, CH2CH2CH3). 13C NMR (75 MHz, CDCl3) δ 181.27, 161.77, 159.37, 147.96, 143.90, 139.74, 129.12, 128.34, 128.13, 121.09, 120.76, 115.71, 110.11, 95.86, 55.69, 55.44, 53.04, 40.15, 27.64, 27.57, 22.26, 19.36, 13.84. IR (film) νmax: 3079, 2960, 2932, 2872, 1652, 1580, 1499, 1456, 1437, 1403, 1276 cm−1. HRMS: m/z calculated for C24H33N2O3 [M + H]+: 397.2491. Found: 397.2496.

3.8.9. Chalcone 13i

Yield: 85%; yellow syrup. 1H NMR (300 MHz, CDCl3) δ 8.17 (d, J = 16.2 Hz, 1H, trans-vinylic H), 8.02 (d, J = 16.2 Hz, 1H, trans-vinylic H), 7.62 (s, 1H, aromatic H), 7.27 (d, J = 0.9 Hz, 1H, imidazole H), 7.20 (d, J = 0.9 Hz, 1H, imidazole H), 6.42 (s, 1H, aromatic H), 6.14 (dd, J = 17.1, 10.8 Hz, 1H, vinylic H), 5.60–5.51 (m, 1H, NCH), 4.93 (dd, J = 10.8, 1.2 Hz, 1H, vinylic H), 4.91 (dd, J = 17.1, 1.2 Hz, 1H, vinylic H), 3.90 (s, 3H, OCH3), 3.84 (s, 3H, OCH3), 1.90–1.63 (m, 4H, 2 × CH2), 1.44 (s, 6H, 2 × CH3), 0.80 (t, J = 7.5 Hz, 6H, 2 × CH2CH3). 13C NMR (75 MHz, CDCl3) δ 181.45, 161.70, 159.30, 147.95, 147.82, 144.88, 139.52, 129.07, 128.23, 128.02, 121.12, 115.69, 110.09, 95.95, 60.20, 55.92, 55.42, 40.13, 29.26, 27.63, 10.40. IR (film) νmax: 2965, 2935, 2877, 1654, 1584, 1500, 1459, 1291 cm−1. HRMS: m/z calculated for C24H33N2O3 [M + H]+: 397.2491. Found: 397.2495.

3.9. Cell Culture

All prostate cancer cell lines were obtained from the American Type Culture Collection (ATCC, Manassas, VA, USA). PC-3, LNCaP, and 22Rv1 cells were cultured in RPMI-1640 medium supplemented with 10% FBS and 1% penicillin/streptomycin. DU145 cells were cultured in Eagle’s Minimum Essential Medium (EMEM) with 10% FBS and 1% penicillin/streptomycin. All cultures were maintained at 37 °C in a humidified environment with 5% carbon dioxide.

3.10. WST-1 Cell Proliferation Assay

PC-3, DU145, and LNCaP cells were seeded in 96-well plates at a density of 3200 cells per well in 100 µL of culture medium. The 22Rv1 cells were seeded at a higher density of 6400 cells per well in 100 µL of culture medium. After 16 h of incubation, the cells were treated with enzalutamide or licochalcone A (as positive controls) or synthesized derivatives at five different concentrations for 3 days. An equal volume of DMSO (0.25% in medium) was used as the vehicle control. The cells were further incubated in a CO2 incubator at 37 °C for three days.
Following treatment, 10 µL of the WST-1 cell proliferation reagent (Cayman Chemical Company, Ann Arbor, MI, USA) was added to each well. The plates were gently mixed on an orbital shaker for 1 min, then incubated for an additional 3 h at 37 °C. Absorbance was measured at 430 nm using a microplate reader (Synergy HT, BioTek, Winooski, VT, USA). The IC50 value, defined as the concentration required to inhibit cell proliferation by 50%, was calculated based on at least five different doses of each compound. Each IC50 value represents the average from triplicate experiments, which were statistically significant and reproducible.

3.11. Statistical Analysis

Data are expressed as mean ± standard derivation from the specified number of experiments. Statistical differences between treatment and control groups were assessed using Student’s t-test during the data analysis phase, with significance set at p < 0.05.

4. Conclusions

As part of our ongoing research to search for new anti-prostate cancer agents, this study chose naturally occurring licochalcone A as a lead compound. By drawing from our previous success in modifying curcumin, we synthesized three series derivatives through a targeted synthetic strategy involving [3,3]-sigmatropic rearrangement and Claisen–Schmidt condensation. Systematic evaluation of these derivatives revealed key trends in their structure–-activity relationships:
  • Chalcones Series 3a3i: Among this series, six chalcone derivatives (3d, 3e, 3f, 3g, 3h, and 3i) demonstrated antiproliferative activity similar to licochalcone A in androgen receptor-positive LNCaP and 22Rv1 cells. However, these compounds exhibited minimal activity in androgen receptor-negative PC-3 and DU145 cells, even at concentrations up to 100 µM. This suggests that modifications to the chalcone scaffold may enhance specificity toward androgen receptor-positive cells, likely by improving interactions with the androgen receptor or related signaling pathways.
  • Ester Series 810: The ester derivatives (810) demonstrated similar potency to licochalcone A in both androgen receptor-positive and androgen receptor-negative prostate cancer cell lines, suggesting that this modification does not significantly alter the compound’s broad-spectrum efficacy. These results highlight the phenol moiety adjacent to the carbonyl group in licochalcone A as a promising site for chemical modification.
  • Chalcone Series 13a13g: The antiproliferative potency of this series confirmed that the phenol moiety adjacent to the carbonyl group in licochalcone A can be replaced by the substituted imidazole moiety. The potency of these derivatives was highly dependent on the structure of the R group on the imidazole ring. For example, compounds 13a and 13g, with methyl and isopentyl groups, respectively, exhibited IC50 values above 100 µM across all four tested prostate cancer cell lines, indicating reduced activity. In contrast, seven other derivatives in this series exhibited strong antiproliferative activity in AR-positive LNCaP and 22Rv1 cells, comparable to or greater than licochalcone A and enzalutamide. Notably, derivatives 13b, 13f, and 13i showed significant selectivity, suppressing AR-positive cell proliferation while exhibiting less effect on androgen receptor-negative PC-3 and DU145 cells. These findings underscore the critical role of the R groups on the imidazole ring in optimizing both the antiproliferative potency and selectivity of these compounds.
The observed selectivity and potency of certain chalcone derivatives highlight the potential for developing more effective anti-prostate cancer agents by optimizing the structure of licochalcone A. Future work will focus on refining these derivatives and investigating their in vivo efficacy, paving the way for novel therapeutic options to overcome the resistance to current treatments. Additionally, the observed selective antiproliferative activity of the licochalcone A analogs in AR-positive versus AR-negative cells suggests that the androgen receptor may be a potential target. However, future investigation is needed to confirm this hypothesis, particularly through techniques such as Western blotting and surface plasma resonance.

Supplementary Materials

The NMR spectra and high-resolution mass spectra can be downloaded at: https://www.mdpi.com/article/10.3390/molecules29246023/s1.

Author Contributions

Conceptualization, Q.-H.C., E.I.O.N. and R.G.D.; data collection and interpretation, R.G.D., E.I.O.N., G.C., Q.Z., G.W. and Q.-H.C.; writing, Q.-H.C. and R.G.D.; writing—review and editing, R.G.D., E.I.O.N., G.C., Q.Z., G.W. and Q.-H.C. All authors have read and agreed to the published version of the manuscript.

Funding

This work was partially supported by the NIH RCMI Program at the Xavier University of Louisiana through Grant G12MD007595 (G. Wang). R.G. Dorado and E.O. Nava were supported by (i) the CSU-Fresno Bridge to Doctorate Program funded by the NIH under Grant# T32GM137948; (ii) the CSU-Fresno NIH RISE Program funded by the NIH through R25GM131956; and (iii) the American Society of Pharmacognosy Summer Research Fellowship. The 600 MHz NMR spectrometer was funded by NSF MRI (1919908).

Institutional Review Board Statement

Not applicable.

Informed Consent Statement

Not applicable.

Data Availability Statement

All critical data have been included in the Supplementary Materials.

Acknowledgments

We would like to thank the Department of Chemistry and Biochemistry and the College of Science and Mathematics at California State University, Fresno (CSU—Fresno), for their administrative support. We extend our gratitude to Douglas Kliewer and Mackenzie Jackson from the Department of Chemistry and Biochemistry at CSU-Fresno for their assistance in the use and maintenance of various instruments. We also thank Saeed Amer and Krish Krishnan from the Department of Chemistry and Biochemistry at CSU-Fresno for their assistance in the use of the 600 MHz NMR spectrometer.

Conflicts of Interest

The authors declare no conflicts of interest.

References

  1. Siegel, R.L.; Giaquinto, A.N.; Jemal, A. Cancer Statistics, 2024. CA Cancer J. Clin. 2024, 74, 12–19. [Google Scholar] [CrossRef] [PubMed]
  2. Harris, W.P.; Mostaghel, E.A.; Nelson, P.S.; Montgomery, B. Androgen deprivation therapy: Progress in understanding mechanisms of resistance and optimizing androgen depletion. Nat. Clin. Pract. Urol. 2009, 6, 76–85. [Google Scholar] [CrossRef] [PubMed]
  3. Heinlein, C.A.; Chang, C. Androgen receptor in prostate cancer. Endoc. Rev. 2004, 25, 276–308. [Google Scholar] [CrossRef] [PubMed]
  4. Tan, M.E.; Li, J.; Xu, H.E.; Melcher, K.; Yong, E.-I. Androgen receptor: Structure, role in prostate cancer and drug discovery. Acta Pharmacol. Sin. 2015, 36, 2–23. [Google Scholar] [CrossRef]
  5. Tran, C.; Ouk, S.; Clegg, N.J.; Chen, Y.; Watson, P.A.; Arora, V.; Wongvipat, J.; Smith-Jones, P.M.; Yoo, N.; Kwon, A.; et al. Development of a Second-Generation Antiandrogen for Treatment of Advanced Prostate Cancer. Science 2009, 324, 787–790. [Google Scholar] [CrossRef] [PubMed]
  6. Smith, M.R.; Saad, F.; Chowdhury, S.; Oudard, S.; Hadaschik, B.; Graff, J.N.; Olmos, D.; Mainwaring, P.N.; Lee, J.Y.; Uemura, H.; et al. Apalutamide Treatment and Metastasis-free Survival in Prostate Cancer. N. Engl. J. Med. 2018, 378, 1408–1418. [Google Scholar] [CrossRef] [PubMed]
  7. Fizazi, K.; Shore, N.; Tammela, T.L.; Ulys, A.; Vjaters, E.; Polyakov, S.; Jievaltas, M.; Luz, M.; Alekseev, B.; Kuss, I.; et al. Darolutamide in nonmetastatic, castration-resistant prostate cancer. N. Engl. J. Med. 2019, 380, 1235–1346. [Google Scholar] [CrossRef] [PubMed]
  8. Zhou, T.; Qin, S.; Xu, W.; Tang, S.; Chen, G.; Li, S.; Hou, J.; Gao, X.; Shi, G.; Sun, Z.; et al. Proxalutamide in metastatic castration-resistant prostate cancer: Primary analysis of a multicenter, randomized, open-label, phase 2 trial. Int. J. Cancer 2023, 153, 792–802. [Google Scholar] [CrossRef] [PubMed]
  9. Elshan, N.G.R.D.; Rettig, M.; Jung, M.E. Molecules Targeting the Androgen Receptor (AR) Signaling Axis Beyond the AR-Ligand Binding Domain. Med. Res. Rev. 2019, 39, 910–960. [Google Scholar] [CrossRef]
  10. Ji, Y.; Zhang, R.; Han, X.; Zhou, J. Targeting the N-terminal domain of the androgen receptor: The effective approach in therapy of CRPC. Eur. J. Med. Chem. 2023, 247, 115077. [Google Scholar] [CrossRef] [PubMed]
  11. Newman, D.J.; Cragg, G.M. Natural products as sources of new drugs over the nearly four decades from 01/1981 to 09/2019. J. Nat. Prod. 2020, 83, 770–803. [Google Scholar] [CrossRef] [PubMed]
  12. Zhuang, C.; Zhang, W.; Sheng, C.; Zhang, W.; Xing, C.; Miao, Z. Chalcone: A privileged structure in medicinal chemistry. Chem. Rev. 2017, 117, 7762–7810. [Google Scholar] [CrossRef] [PubMed]
  13. Hsieh, T.C.; Wu, J.M. Mechanism of action of herbal supplement PC-SPES: Elucidation of effects of individual herbs of PC-SPES on proliferation and prostate specific gene expression in androgen-dependent LNCaP cells. Int. J. Oncol. 2002, 20, 583–588. [Google Scholar] [CrossRef]
  14. Rafi, M.M.; Vastano, B.C.; Zhu, N.; Ho, C.T.; Ghai, G.; Rosen, R.T.; Gallo, M.A.; DiPaola, R.S. Novel polyphenol molecule isolated from licorice root (Glycyrrhiza glabra) induces apoptosis, G2/M cell cycle arrest, and Bcl-2 phosphorylation in tumor cell lines. J. Agric. Food Chem. 2002, 50, 677–684. [Google Scholar] [CrossRef] [PubMed]
  15. Sovak, M.; Seligson, A.L.; Konas, M.; Hajduchm, M.; Dolezal, M.; Machala, M.; Nagourney, R. Herbal composition PC-SPES for management of prostate cancer: Identification of active principles. J. Natl. Cancer Inst. 2002, 94, 1275–1281. [Google Scholar] [CrossRef]
  16. Rafi, M.M.; Rosen, R.T.; Vassil, A.; Ho, C.T.; Zhang, H.; Ghai, G.; Lambert, G.; DiPaola, R.S. Modulation of bcl-2 and cytotoxicity by licochalcone-A, a novel estrogenic flavonoid. Anticancer Res. 2000, 20, 2653–2658. [Google Scholar]
  17. Armanini, D.; Bonanni, G.; Palermo, M. Reduction of serum testosterone in men by licorice. N. Engl. J. Med. 1999, 341, 1158. [Google Scholar] [CrossRef] [PubMed]
  18. Armanini, D.; Fiore, C.; Mattarello, M.J.; Bielenberg, J.; Palermo, M. History of the endocrine effects of licorice. Exp. Clin. Endocrinol. Diabetes 2002, 110, 257–261. [Google Scholar] [CrossRef] [PubMed]
  19. Yo, Y.T.; Shieh, G.S.; Hsu, K.F.; Wu, C.L.; Shiau, A.L. Licorice and licochalcone-A induce autophagy in LNCaP prostate cancer cells by suppression of Bcl-2 expression and the mTOR pathway. J. Agric. Food Chem. 2009, 57, 8266–8273. [Google Scholar] [CrossRef]
  20. Fu, Y.; Hseih, T.-C.; Guo, J.; Kunicki, J.; Lee, M.Y.W.T.; Darzynkiewicz, Z.; Joseph, M. Licochalcone-A, a novel flavomoid isolated from licorice root (Glycyrrhiza glabra), causes G2 and late-G1 arrests in androgen-independent PC-3 prostate cancer cells. Biochem. Biophys. Res. Commun. 2004, 322, 263–270. [Google Scholar] [CrossRef]
  21. Wang, R.; Chen, C.; Zhang, X.; Zhang, C.; Zhong, Q.; Chen, G.; Zhang, Q.; Zheng, S.; Wang, G.; Chen, Q.-H. Structure-activity relationship and pharmacokinetic studies of 1,5-diheteroarylpenta-1,4-dien-3-ones: A class of promising curcumin-based anticancer agents. J. Med. Chem. 2015, 58, 4713–4726. [Google Scholar] [CrossRef]
  22. Koyanagi, M.; Kawakabe, S.; Arimura, Y. A comparative study of colorimetric cell proliferation assays in immune cells. Cytotechnology 2016, 68, 1489–1498. [Google Scholar] [CrossRef]
  23. Stockert, J.C.; Horobin, R.W.; Colombo, L.L.; Blazquez-Castro, A. Tetrazolium salts and formazan products in cell biology: Viability assessment, fluorescence imaging, and labeling perspectives. Acta Histochem. 2018, 120, 159–167. [Google Scholar] [CrossRef] [PubMed]
  24. Jeon, J.-H.; Kim, M.R.; Jun, J.-G. Concise synthesis of licochalcone A through water-accelerated [3,3]-sigmatropic rearrangement of an aryl prenyl ether. Synthesis 2011, 370–376. [Google Scholar] [CrossRef]
  25. Vue, B.; Zhang, S.; Vignau, A.; Chen, G.; Zhang, X.; Diaz, W.; Zhang, Q.; Zheng, S.; Wang, G.; Chen, Q.-H. O-Aminoalkyl-O-trimethyl-2,3-dehydrosilybins: Synthesis and in vitro effects towards prostate cancer cells. Molecules 2018, 23, 3142. [Google Scholar] [CrossRef] [PubMed]
Figure 1. Chemical structures of licochalcone A (1) and target derivatives (2a2i). 2a, R = methyl; 2b, R = ethyl; 2c, R = propyl; 2d, R = butyl; 2e, R = secbutyl; 2f, R = isobutyl; 2g, R = isopentyl; 2h, R = pentan-2-yl; 2i, R = pentan-3-yl.
Figure 1. Chemical structures of licochalcone A (1) and target derivatives (2a2i). 2a, R = methyl; 2b, R = ethyl; 2c, R = propyl; 2d, R = butyl; 2e, R = secbutyl; 2f, R = isobutyl; 2g, R = isopentyl; 2h, R = pentan-2-yl; 2i, R = pentan-3-yl.
Molecules 29 06023 g001
Figure 2. Retrosynthetic analysis of target chalcones 2a2i.
Figure 2. Retrosynthetic analysis of target chalcones 2a2i.
Molecules 29 06023 g002
Scheme 1. Synthesis of chalcones 3a3i
Scheme 1. Synthesis of chalcones 3a3i
Molecules 29 06023 sch001
Scheme 2. Claisen rearrangement of chalcones 3a, 3c, and 3g.
Scheme 2. Claisen rearrangement of chalcones 3a, 3c, and 3g.
Molecules 29 06023 sch002
Figure 3. Comparison of IC50 values of ester derivatives 810 and licochalcone A (1) in prostate cancer cell lines.
Figure 3. Comparison of IC50 values of ester derivatives 810 and licochalcone A (1) in prostate cancer cell lines.
Molecules 29 06023 g003
Scheme 3. Attempt to synthesize chalcones 2a2i.
Scheme 3. Attempt to synthesize chalcones 2a2i.
Molecules 29 06023 sch003
Scheme 4. Synthesis of chalcones 13a13i. 5a and 13a, R = methyl; 5b and 13b, R = ethyl; 5c and 13c, R = propyl; 5d and 13d, R = butyl; 5e and 13e, R = secbutyl; 5f and 13f, R = isobutyl; 5g and 13g, R = isopentyl; 5h and 13h, R = pentan-2-yl; 5i and 13i, R = pentan-3-yl.
Scheme 4. Synthesis of chalcones 13a13i. 5a and 13a, R = methyl; 5b and 13b, R = ethyl; 5c and 13c, R = propyl; 5d and 13d, R = butyl; 5e and 13e, R = secbutyl; 5f and 13f, R = isobutyl; 5g and 13g, R = isopentyl; 5h and 13h, R = pentan-2-yl; 5i and 13i, R = pentan-3-yl.
Molecules 29 06023 sch004
Table 1. Antiproliferative activities of chalcones 3a3i against prostate cancer cell lines.
Table 1. Antiproliferative activities of chalcones 3a3i against prostate cancer cell lines.
CompoundsIC50 (µM) 1
PC-3 2DU145 2LNCaP 322Rv1 3
3a>100>100>100>100
3b27.56 ± 1.2127.59 ± 2.2113.82 ± 0.6424.57 ± 2.18
3c>100>10027.04 ± 1.81>100
3d>100>10021.52 ± 3.9920.14 ± 0.57
3e>100>10025.48 ± 3.6936.77 ± 2.72
3f>100>10021.26 ± 2.9421.68 ± 2.48
3g>100>10041.88 ± 4.3733.97 ± 1.20
3h>100>10023.99 ± 2.0122.21 ± 0.46
3i>100>10013.74 ± 2.3521.70 ± 0.74
Enzalutamide>10036.43 ± 1.3421.75 ± 4.3767.54 ± 1.41
Licochalcone A15.73 ± 1.3223.35 ± 1.4122.04 ± 2.2817.97 ± 2.23
1 IC50 represents the half-maximal inhibitory concentration, determined using the WST-1 cell proliferation assay after a 3-day exposure. The data are presented as mean ± standard deviation. 2 Human AR-negative prostate cancer cell line. 3 Human AR-positive prostate cancer cell line.
Table 2. Antiproliferative activities of esters 810 against prostate cancer cell lines.
Table 2. Antiproliferative activities of esters 810 against prostate cancer cell lines.
CompoundsIC50 (µM) 1
PC-3 2DU145 2LNCaP 322Rv1 3
823.33 ± 1.7826.19 ± 1.1417.97 ± 1.1124.09 ± 2.23
920.89 ± 0.6125.06 ± 1.3712.77 ± 1.4021.11 ± 0.90
1021.85 ± 1.3820.57 ± 1.8612.83 ± 1.1921.88 ± 1.83
Enzalutamide>10036.43 ± 1.3421.75 ± 4.3767.54 ± 1.41
Licochalcone A15.73 ± 1.3223.35 ± 1.4122.04 ± 2.2817.97 ± 2.23
1 IC50 represents the half-maximal inhibitory concentration, determined using the WST-1 cell proliferation assay after a 3-day exposure. The data are presented as mean ± standard deviation. 2 Human AR-negative prostate cancer cell line. 3 Human AR-positive prostate cancer cell line.
Table 3. Antiproliferative activities of chalcones 13a13i against prostate cancer cell lines.
Table 3. Antiproliferative activities of chalcones 13a13i against prostate cancer cell lines.
CompoundsIC50 (µM) 1
PC-3 2DU145 2LNCaP 322Rv1 3
13a>100>100>100>100
13b>100>10028.13 ± 3.2414.78 ± 0.57
13c43.86 ± 1.4933.87 ± 3.0720.51 ± 2.4139.46 ± 1.69
13d52.12 ± 2.8847.03 ± 4.1518.33 ± 2.6952.19 ± 2.90
13e54.05 ± 6.0054.72 ± 2.3018.90 ± 0.1731.27 ± 2.50
13f>100>10018.60 ± 1.7133.25 ± 1.44
13g>100>100>100>100
13h47.05 ± 7.4686.24 ± 1.429.76 ± 1.6128.85 ± 1.87
13i>10074.03 ± 0.599.43 ± 2.2528.42 ± 1.91
Enzalutamide>10036.43 ± 1.3421.75 ± 4.3767.54 ± 1.41
Licochalcone A15.73 ± 1.3223.35 ± 1.4122.04 ± 2.2817.97 ± 2.23
1 IC50 represents the half-maximal inhibitory concentration, determined using the WST-1 cell proliferation assay after a 3-day exposure. The data are presented as mean ± standard deviation. 2 Human AR-negative prostate cancer cell line. 3 Human AR-positive prostate cancer cell line.
Disclaimer/Publisher’s Note: The statements, opinions and data contained in all publications are solely those of the individual author(s) and contributor(s) and not of MDPI and/or the editor(s). MDPI and/or the editor(s) disclaim responsibility for any injury to people or property resulting from any ideas, methods, instructions or products referred to in the content.

Share and Cite

MDPI and ACS Style

Dorado, R.G.; Oceguera Nava, E.I.; Chen, G.; Zhang, Q.; Wang, G.; Chen, Q.-H. Licochalcone A-Inspired Chalcones: Synthesis and Their Antiproliferative Potential in Prostate Cancer Cells. Molecules 2024, 29, 6023. https://doi.org/10.3390/molecules29246023

AMA Style

Dorado RG, Oceguera Nava EI, Chen G, Zhang Q, Wang G, Chen Q-H. Licochalcone A-Inspired Chalcones: Synthesis and Their Antiproliferative Potential in Prostate Cancer Cells. Molecules. 2024; 29(24):6023. https://doi.org/10.3390/molecules29246023

Chicago/Turabian Style

Dorado, Roxana Gonzalez, Esveidy Isabel Oceguera Nava, Guanglin Chen, Qiang Zhang, Guangdi Wang, and Qiao-Hong Chen. 2024. "Licochalcone A-Inspired Chalcones: Synthesis and Their Antiproliferative Potential in Prostate Cancer Cells" Molecules 29, no. 24: 6023. https://doi.org/10.3390/molecules29246023

APA Style

Dorado, R. G., Oceguera Nava, E. I., Chen, G., Zhang, Q., Wang, G., & Chen, Q.-H. (2024). Licochalcone A-Inspired Chalcones: Synthesis and Their Antiproliferative Potential in Prostate Cancer Cells. Molecules, 29(24), 6023. https://doi.org/10.3390/molecules29246023

Article Metrics

Back to TopTop