Aggregation-Induced Emission-Active Cyanostilbene-Based Liquid Crystals: Self-Assembly, Photophysical Property, and Multiresponsive Behavior
Abstract
1. Introduction
2. Results and Discussion
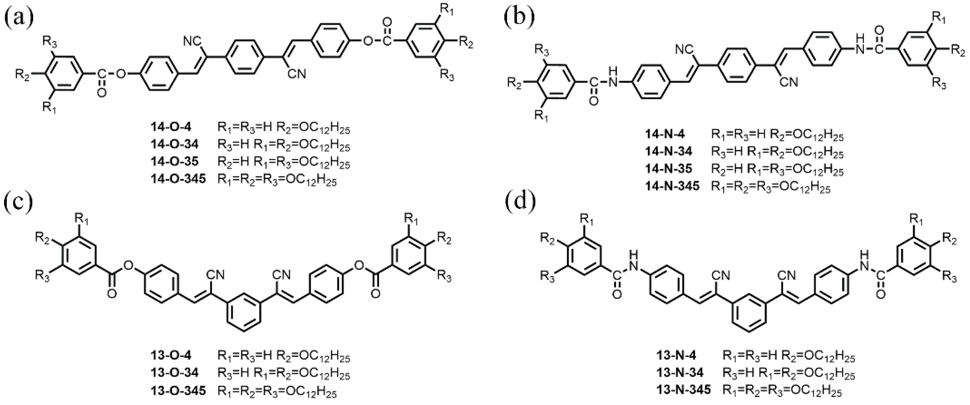
2.1. Synthesis and Characterization
2.2. Liquid Crystalline Behaviors
2.3. Photophysical Properties
2.4. Thermochromic and Photochromic Fluorescence Response
3. Experimental Section
3.1. Materials and Methods
3.2. Synthesis of Compounds
3.2.1. Synthesis of Linear and Bent-Shaped Ester Compounds
3.2.2. Synthesis of Linear and Bent-Shaped Amide Compounds
4. Conclusions
Supplementary Materials
Author Contributions
Funding
Data Availability Statement
Conflicts of Interest
References
- Wang, Y.F.; Shi, J.W.; Chen, J.H.; Zhu, W.G.; Baranoff, E. Recent progress in luminescent liquid crystal materials: Design, properties and application for linearly polarised emission. J. Mater. Chem. C 2015, 3, 7993–8005. [Google Scholar] [CrossRef]
- Uchida, J.; Soberats, B.; Gupta, M.; Kato, T. Advanced functional liquid crystals. Adv. Mater. 2022, 34, 2109063. [Google Scholar] [CrossRef] [PubMed]
- Kato, T.; Uchida, J.; Ichikawa, T.; Sakamoto, T. Functional liquid crystals towards the next generation of materials. Angew. Chem. Int. Edit. 2018, 57, 4355–4371. [Google Scholar] [CrossRef] [PubMed]
- Yamane, S.; Tanabe, K.; Sagara, Y.; Kato, T. Stimuli-responsive photoluminescent liquid crystals. In Liquid Crystals: Materials Design and Self-Assembly; Tschierske, C., Ed.; Springer: Berlin/Heidelberg, Germany, 2012; Volume 318, pp. 395–405. [Google Scholar]
- Bisoyi, H.K.; Li, Q. Liquid crystals: Versatile self-organized smart soft materials. Chem. Rev. 2022, 122, 4887–4926. [Google Scholar] [CrossRef]
- Li, X.; Yang, H.; Zheng, P.; Lin, D.M.; Zhang, Z.J.; Kang, M.M.; Wang, D.; Tang, B.Z. Aggregation-induced emission materials: A platform for diverse energy transformation and applications. J. Mater. Chem. A 2023, 11, 4850–4875. [Google Scholar] [CrossRef]
- Zhao, Z.; Zhang, H.; Lam, J.W.Y.; Tang, B.Z. Aggregation-induced emission: New vistas at the aggregate level. Angew. Chem. Int. Ed. 2020, 59, 9888–9907. [Google Scholar] [CrossRef]
- Zhang, H.K.; Zhao, Z.; Turley, A.T.; Wang, L.; McGonigal, P.R.; Tu, Y.J.; Li, Y.Y.; Wang, Z.Y.; Kwok, R.T.K.; Lam, J.W.Y.; et al. Aggregate science: From structures to properties. Adv. Mater. 2020, 32, 2001457. [Google Scholar] [CrossRef]
- Mei, J.; Leung, N.L.C.; Kwok, R.T.K.; Lam, J.W.Y.; Tang, B.Z. Aggregation-Induced Emission: Together we shine, united we soar! Chem. Rev. 2015, 115, 11718–11940. [Google Scholar] [CrossRef]
- Hong, Y.; Lam, J.W.Y.; Tang, B.Z. Aggregation-induced emission. Chem. Soc. Rev. 2011, 40, 5361–5388. [Google Scholar] [CrossRef]
- An, B.K.; Kwon, S.K.; Jung, S.D.; Park, S.Y. Enhanced emission and its switching in fluorescent organic nanoparticles. J. Am. Chem. Soc. 2002, 124, 14410–14415. [Google Scholar] [CrossRef]
- An, B.K.; Gierschner, J.; Park, S.Y. π-Conjugated cyanostilbene derivatives: A unique self-assembly motif for molecular nanostructures with enhanced emission and transport. Acc. Chem. Res. 2012, 45, 544–554. [Google Scholar] [CrossRef] [PubMed]
- Zhu, L.L.; Zhao, Y.L. Cyanostilbene-based intelligent organic optoelectronic materials. J. Mater. Chem. C 2013, 1, 1059–1065. [Google Scholar] [CrossRef]
- Gierschner, J.; Park, S.Y. Luminescent distyrylbenzenes: Tailoring molecular structure and crystalline morphology. J. Mater. Chem. C 2013, 1, 5818–5832. [Google Scholar] [CrossRef]
- Martinez-Abadia, M.; Gimenez, R.; Ros, M.B. Self-assembled α-cyanostilbenes for advanced functional materials. Adv. Mater. 2018, 30, 1704161. [Google Scholar] [CrossRef]
- Lin, S.Y.; Gutierrez-Cuevas, K.G.; Zhang, X.F.; Guo, J.B.; Li, Q. Fluorescent photochromic α-cyanodiarylethene molecular switches: An emerging and promising class of functional diarylethene. Adv. Funct. Mater. 2021, 31, 2007957. [Google Scholar] [CrossRef]
- Mahalingavelar, P.; Kanvah, S. α-Cyanostilbene: A multifunctional spectral engineering motif. Phys. Chem. Chem. Phys. 2022, 24, 23049–23075. [Google Scholar] [CrossRef]
- Afrin, A.; Swamy, P.C.A. Symphony of light: AIE and MFC in carbazole-based cyanostilbenes. J. Mater. Chem. C 2024, 12, 1923–1944. [Google Scholar] [CrossRef]
- He, X.; Wei, P. Recent advances in tunable solid-state emission based on α-cyanodiarylethenes: From molecular packing regulation to functional development. Chem. Soc. Rev. 2024, 53, 6636–6653. [Google Scholar] [CrossRef]
- Shen, Y.H.; Yao, K.; Li, H.; Xu, Z.R.; Quan, Y.W.; Cheng, Y.X. Strong CPL-active liquid crystal materials induced by intermolecular hydrogen-bonding interaction and a chirality induction mechanism. Soft Matter 2022, 18, 477–481. [Google Scholar] [CrossRef]
- Jiang, Q.; Ruan, H.; Sun, C.C.; Wang, T.; Zhang, Y.P.; Qiu, Y.; Wang, H.; Liao, Y.G.; Xie, X.L. Two-color cholesteric liquid crystalline gels for reversible writing and erasing information encryption. Macromol. Rapid Comm. 2023, 44, 220915. [Google Scholar] [CrossRef]
- Kunzelman, J.; Kinami, M.; Crenshaw, B.R.; Protasiewicz, J.D.; Weder, C. Oligo(p-phenylene vinylene)s as a “New” class of piezochromic fluorophores. Adv. Mater. 2008, 20, 119–122. [Google Scholar] [CrossRef]
- Aoki, H.; Mihara, T.; Koide, N. Synthesis and thermal properties of twin dimers containing cyanostilbene groups as a mesogenic group. Mol. Cryst. Liq. Cryst. 2004, 408, 53–70. [Google Scholar] [CrossRef]
- Fang, Z.M.; Zou, K.S.; Wu, C.C. Novel cholesterol-based liquid crystalline dimers: The α-cyanostilbene group served as a photofluorophore and mesogenic moiety. Liq. Cryst. 2020, 47, 1473–1486. [Google Scholar] [CrossRef]
- Bao, R.; Pan, M.; Qiu, J.J.; Liu, C.M. Synthesis and characterization of six-arm star-shaped liquid crystalline cyclotriphosphazenes. Chin. Chem. Lett. 2010, 21, 682–685. [Google Scholar] [CrossRef]
- Martinez-Abadia, M.; Varghese, S.; Milian-Medina, B.; Gierschner, J.; Gimenez, R.; Blanca Ros, M. Bent-core liquid crystalline cyanostilbenes: Fluorescence switching and thermochromism. Phys. Chem. Chem. Phys. 2015, 17, 11715–11724. [Google Scholar] [CrossRef]
- Martinez-Abadia, M.; Robles-Hernandez, B.; Villacampa, B.; de la Fuente, M.R.; Gimenez, R.; Ros, M.B. Cyanostilbene bent-core molecules: A route to functional materials. J. Mater. Chem. C 2015, 3, 3038–3048. [Google Scholar] [CrossRef]
- Martinez-Abadia, M.; Robles-Hernandez, B.; de la Fuente, M.R.; Gimenez, R.; Ros, M.B. Photoresponsive cyanostilbene bent-core liquid crystals as new materials with light-driven modulated polarization. Adv. Mater. 2016, 28, 6586–6591. [Google Scholar] [CrossRef]
- Cao, X.J.; Li, W.; Li, J.H.; Zou, L.; Liu, X.W.; Ren, X.K.; Yu, Z.Q. Controlling the balance of photoluminescence and photothermal effect in cyanostilbene-based luminescent liquid crystals. Chin. J. Chem. 2022, 40, 902–910. [Google Scholar] [CrossRef]
- Liang, Y.R.; Liu, X.T.; Hu, X.N.; Li, X.H.; Liu, N.N.; Xiao, Y.L. Terminal halogen-containing rod-like liquid crystals: Synthesis, self-assembly, photophysical and mechanochromism properties. Spectrochim. Acta A 2024, 320, 124626. [Google Scholar] [CrossRef]
- Liu, Z.G.; Liu, X.T.; Shen, B.Y.; Liang, Y.R.; Zhang, S.B.; Hu, X.N.; Zhang, R.L.; Xiao, Y.L. The influence of positional isomerism of a cyano group of pyrene-based rod-like mesogens on mesomorphism, dual-state emission and multiple applications. Tetrahedron 2024, 162, 134092. [Google Scholar] [CrossRef]
- Lu, H.B.; Zhang, S.N.; Ding, A.X.; Yuan, M.; Zhang, G.Y.; Xu, W.; Zhang, G.B.; Wang, X.H.; Qiu, L.Z.; Yang, J.X. A luminescent liquid crystal with multistimuli tunable emission colors based on different molecular packing structures. New J. Chem. 2014, 38, 3429–3433. [Google Scholar] [CrossRef]
- Mihara, T.; Ito, M.; Koide, N. Synthesis and thermal properties of twin dimers containing cyanostilbene derivatives as a mesogenic group. Mol. Cryst. Liq. Cryst. 2004, 419, 69–86. [Google Scholar] [CrossRef]
- Martinez-Abadia, M.; Varghese, S.; Gimenez, R.; Ros, M.B. Multiresponsive luminescent dicyanodistyrylbenzenes and their photochemistry in solution and in bulk. J. Mater. Chem. C 2016, 4, 2886–2893. [Google Scholar] [CrossRef]
- Koo, J.; Jang, J.; Oh, M.; Kim, M.; Hyeong, J.; Lim, S.I.; Cao, Y.; Tran, D.T.; Park, S.; Jeong, K.U. Cyanostilbene-based AIEgen smart film: Optical switching by engineering molecular packing structure and molecular conformation through thermal and photoinduced monotropic phase transition. Adv. Opt. Mater. 2022, 10, 2200405. [Google Scholar] [CrossRef]
- Yoon, S.J.; Kim, J.H.; Kim, K.S.; Chung, J.W.; Heinrich, B.; Mathevet, F.; Kim, P.; Donnio, B.; Attias, A.J.; Kim, D.; et al. Mesomorphic organization and thermochromic luminescence of dicyanodistyrylbenzene-based phasmidic molecular disks: Uniaxially aligned hexagonal columnar liquid crystals at room temperature with enhanced fluorescence emission and semiconductivity. Adv. Funct. Mater. 2012, 22, 61–69. [Google Scholar] [CrossRef]
- Park, J.W.; Nagano, S.; Yoon, S.J.; Dohi, T.; Seo, J.; Seki, T.; Park, S.Y. High contrast fluorescence patterning in cyanostilbene-based crystalline thin films: Crystallization-induced mass flow via a photo-triggered phase transition. Adv. Mater. 2014, 26, 1354–1359. [Google Scholar] [CrossRef]
- Mu, B.; Zhao, Y.; Li, X.; Quan, X.H.; Tian, W. Enhanced conductivity and thermochromic luminescence in hydrogen bond-stabilized columnar liquid crystals. ACS Appl. Mater. Interfaces 2020, 12, 9637–9645. [Google Scholar] [CrossRef]
- Zhang, D.L.; Liu, Y.T.; Gao, H.F.; Chang, Q.; Cheng, X.H. α-Cyanostilbene and fluorene based bolaamphiphiles: Synthesis, self-assembly, and AIEE properties with potential as white-light emissive materials and light-emitting liquid crystal displays. J. Mater. Chem. C 2020, 8, 17474–17481. [Google Scholar] [CrossRef]
- Mu, B.; Zhang, Z.L.; Quan, X.H.; Hao, X.N.; Tian, W. Perylene bisimide-based luminescent liquid crystals with tunable solid-State light emission. ACS Appl. Mater. Interfaces 2021, 13, 57786–57795. [Google Scholar] [CrossRef]
- Pang, Y.D.; Xiao, Y.L.; Liu, X.T.; Zuo, R.Z.; Li, N.N.; Jiang, Z.L. Synthesis and characterization of α-cyanostilbene-based bent-core hexacatenar mesogens with different central groups. Tetrahedron 2021, 96, 132384. [Google Scholar] [CrossRef]
- Wang, R.Q.; Chen, S.B.; Chen, Q.R.; Guo, H.Y.; Yang, F.F. Porphyrin with circularly polarized luminescence in aggregated states. Dyes Pigment. 2021, 190, 109332. [Google Scholar] [CrossRef]
- Xiao, Y.L.; Liu, X.T.; He, Q.Y.; He, X.; Zhang, D.X. Synthesis and self-assembly of benzothiadiazole-cored α-cyanostilbene hexacatenar mesogens. Soft Mater. 2020, 18, 499–507. [Google Scholar] [CrossRef]
- Zuo, R.Z.; Wang, S.W.; Pang, Y.D.; Xiao, Y.L.; Jiang, Z.L. Synthesis and characterization of AIE-active and photo-active α-cyanostilbene-containing carbazole-based hexacatenars. Dyes Pigment. 2021, 188, 109153. [Google Scholar] [CrossRef]
- Liu, X.T.; Zuo, R.Z.; Li, N.N.; Pang, Y.D.; Jiang, Z.L.; Xiao, Y.L. First biscyanovinyl diphenylfluorenone-based hexacatenars: Synthesis, liquid crystal and photophysical properties. Phase Transit. 2021, 94, 245–255. [Google Scholar] [CrossRef]
- Xiao, Y.L.; Liu, X.T.; Li, N.N.; Pang, Y.D.; Zheng, Z. Central condensed ring changes for manipulating the self-assembly and photophysical behaviors of cyanostilbene-based hexacatenars. J. Mol. Liq. 2022, 364, 120029. [Google Scholar] [CrossRef]
- Chen, Y.Q.; Li, Y.C.; Liang, Y.R.; Liu, X.T.; Xiao, Y.L. The effect of the number of cyanostilbene building blocks on the self-assembly and photophysical property of pyrene-based liquid crystals. Tetrahedron 2023, 149, 133742. [Google Scholar] [CrossRef]
- Bala, I.; Kaur, H.; Maity, M.; Yadav, R.A.K.; De, J.; Gupta, S.P.; Jou, J.H.; Pandey, U.K.; Pal, S.K. Electroluminescent aggregation-induced emission-active discotic liquid crystals based on alkoxy cyanostilbene-functionalized benzenetricarboxamide with ambipolar charge transport. ACS Appl. Electron. Mater. 2022, 4, 1163–1174. [Google Scholar] [CrossRef]
- Zhao, H.M.; Cheng, X.H. Fluorene thiophene α-cyanostilbene hexacatenar-generating LCs with hexagonal columnar phases and gels with helical morphologies as well as a light-emitting LC display. Int. J. Mol. Sci. 2023, 24, 9337. [Google Scholar] [CrossRef]
- Feng, H.Y.; He, Y.; Yang, W.Q.; Wang, S.; Feng, Y.S. A novel strategy for constructing fluorescent liquid crystals with diphenylacrylonitrile groups derivatives based on thiazolo 5,4-d thiazole core. J. Mol. Struct. 2023, 1274, 134582. [Google Scholar] [CrossRef]
- Gao, T.Z.; Liang, Y.R.; Liu, N.N.; Wen, X.R.; Liu, X.T.; Gao, H.F.; Xiao, Y.L. The influence of positional isomerism of terminal alkyl chains on mesomorphic and photophysical behavior of unsymmetric α-cyanostilbene-based tetracatenars. J. Fluoresc. 2023, 34, 2057–2064. [Google Scholar] [CrossRef]
- Liang, Y.R.; Gao, T.Z.; Hu, X.N.; Liu, N.N.; Liu, X.T.; Gao, H.F.; Xiao, Y.L. The effect of fluorination on the liquid crystal and optical behaviors of amphiphilic cyanostilbene-based mesogens. J. Mol. Struct. 2024, 1298, 137060. [Google Scholar] [CrossRef]
- Ding, W.; Chen, S.B.; Du, X.Y.; Cheng, X.H. A self-assembled aza-BODIPY linked dicyanostilbenzene with a large Stokes shift, AIE, mechanochromism and singlet oxygen yield. J. Mol. Liq. 2022, 363, 119906. [Google Scholar] [CrossRef]
- Liu, X.T.; Li, N.N.; Pang, Y.D.; Li, S.H.; Xiao, Y.L. Synthesis, self-assembly and photophysical properties of AIEE-active triphenylamine-based discotic liquid crystals. J. Iran. Chem. Soc. 2022, 19, 4411–4421. [Google Scholar] [CrossRef]
- Lin, L.B.; Guo, H.Y.; Fanga, X.T.; Yang, F.F. Novel AIE columnar liquid crystals: The influence of the number of diphenylacrylonitrile groups on the mesomorphic and fluorescence properties. Rsc Adv. 2017, 7, 20172–20177. [Google Scholar] [CrossRef]
- Gupta, R.K.; Pathak, S.K.; De, J.; Pal, S.K.; Achalkumar, A.S. Room temperature columnar liquid crystalline self-assembly of acidochromic, luminescent, star-shaped molecules with cyanovinylene chromophores. J. Mater. Chem. C 2018, 6, 1844–1852. [Google Scholar] [CrossRef]
- Chen, S.B.; Jiang, S.J.; Qiu, J.B.; Guo, H.Y.; Yang, F.F. Dual-responding circularly polarized luminescence based on mechanically and thermally induced assemblies of cyano-distyrylbenzene hydrogen bonding liquid crystals. Chem. Commun. 2020, 56, 7745–7748. [Google Scholar] [CrossRef]
- Zeng, C.Y.; Hu, P.; Wang, B.Q.; Fang, W.Y.; Zhao, K.Q. Cyanostilbene bridged triphenylene dyad stimuli-responsive discotic liquid crystal: Synthesis, properties and applications. Chin. J. Org. Chem. 2023, 43, 3287–3296. [Google Scholar] [CrossRef]
- Liang, Y.R.; Liu, X.T.; Pu, Y.; Zhang, R.L.; Zhou, L.M.; Xiao, Y.L. Synthesis, LC self-assembly and photophysical behavior of stimuli responsive cyanostilbene-based hexacatenar mesogens with multicolour switching. J. Lumin. 2023, 262, 119977. [Google Scholar] [CrossRef]
- Ren, Y.M.; Zhang, R.L.; Yan, C.; Wang, T.Y.; Cheng, H.F.; Cheng, X.H. Self-assembly, AIEE and mechanochromic properties of amphiphilic α-cyanostilbene derivatives. Tetrahedron 2017, 73, 5253–5259. [Google Scholar] [CrossRef]
- Zhao, J.; Chi, Z.H.; Zhang, Y.; Mao, Z.; Yang, Z.Y.; Ubba, E.; Chi, Z.G. Recent progress in the mechanofluorochromism of cyanoethylene derivatives with aggregation-induced emission. J. Mater. Chem. C 2018, 6, 6327–6353. [Google Scholar] [CrossRef]
- Chung, J.W.; You, Y.; Huh, H.S.; An, B.K.; Yoon, S.J.; Kim, S.H.; Lee, S.W.; Park, S.Y. Shear- and UV-induced fluorescence switching in stilbenic π-dimer crystals powered by reversible [2+2] cycloaddition. J. Am. Chem. Soc. 2009, 131, 8163–8172. [Google Scholar] [CrossRef] [PubMed]
- Ping, X.N.; Pan, J.J.; Peng, X.; Yao, C.Y.; Li, T.; Feng, H.; Qian, Z.S. Recent advances in photoresponsive fluorescent materials based on [2+2] photocycloaddition reactions. J. Mater. Chem. C 2023, 11, 7510–7525. [Google Scholar] [CrossRef]
- Huang, Y.J.; Ning, L.J.; Zhang, X.M.; Zhou, Q.; Gong, Q.Y.; Zhang, Q.C. Stimuli-fluorochromic smart organic materials. Chem. Soc. Rev. 2024, 53, 1090–1166. [Google Scholar] [CrossRef] [PubMed]
- Li, P.Y.; Wang, J.X.; Li, P.F.; Lai, L.M.; Yin, M.Z. Minor alkyl modifications for manipulating the fluorescence and photomechanical properties in molecular crystals. Mater. Chem. Front. 2021, 5, 1355–1363. [Google Scholar] [CrossRef]
- Wang, Y.; Shang, H.; Li, B.; Jiang, S. Reversible luminescence “off-on” regulation based on tunable photodimerization via crystal-to-cocrystal transformation. J. Mater. Chem. C 2022, 10, 734–741. [Google Scholar] [CrossRef]
- Mu, B.; Zhang, Z.L.; Hao, X.N.; Ma, T.S.; Tian, W. Positional Isomerism-Mediated Copolymerization Realizing the Continuous Luminescence Color-Tuning of Liquid-Crystalline Polymers. Macromolecules 2022, 55, 5332–5341. [Google Scholar] [CrossRef]
- Davis, R.; Kumar, N.S.S.; Abraham, S.; Suresh, C.H.; Rath, N.P.; Tamaoki, N.; Das, S. Molecular packing and solid-state fluorescence of alkoxy-cyano substituted diphenylbutadienes: Structure of the luminescent aggregates. J. Phys. Chem. C 2008, 112, 2137–2146. [Google Scholar] [CrossRef]








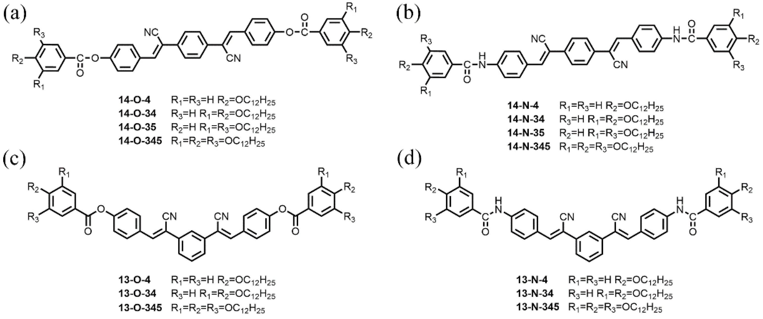
| Compound | T/°C [∆H/kJ·mol−1)] |
|---|---|
| 14-O-35 | Cr 80 [20.69] Iso (Iso 74 [13.29] Cr) |
| 14-O-345 | Cr 112 [20.78] Iso (Iso 103 [21.07] Cr) |
| 14-N-35 | Cr 210 [34.88] Iso (Iso 200 [36.04] Cr) |
| 14-N-345 | Cr 185 [28.19] Iso (Iso 180 [4.01] M174 [24.01] Cr) |
| 13-O-4 | Cr1 113 [12.54] Cr2 135 [21.08] SmC 165 [18.07] Iso (Iso 163 [17.01] SmC 100 [11.94] Cr) |
| 13-O-34 | Cr 107 [34.87] Colh 115 # Iso (Iso 110 # Colh 91 [48.91] Cr) |
| 13-O-345 | Cr 44 [12.56] Colh 65 [2.30] Iso (Iso 60 [2.43] Colh 40 [10.75] Cr) |
| 13-N-4 | Cr 165 SmC 238 [25.21] Iso (Iso 228 [25.42] SmC 160 # Cr) |
| 13-N-34 | Cr 121 Colh 164 [0.81] Iso (Iso 160 # Colh 112 [1.96] Cr) |
| 13-N-345 | Colh 125 [1.14] Iso (Iso 115 [0.94] Colh) |
Disclaimer/Publisher’s Note: The statements, opinions and data contained in all publications are solely those of the individual author(s) and contributor(s) and not of MDPI and/or the editor(s). MDPI and/or the editor(s) disclaim responsibility for any injury to people or property resulting from any ideas, methods, instructions or products referred to in the content. |
© 2024 by the authors. Licensee MDPI, Basel, Switzerland. This article is an open access article distributed under the terms and conditions of the Creative Commons Attribution (CC BY) license (https://creativecommons.org/licenses/by/4.0/).
Share and Cite
Li, B.; Zhang, J.; Wang, J.; Chen, X. Aggregation-Induced Emission-Active Cyanostilbene-Based Liquid Crystals: Self-Assembly, Photophysical Property, and Multiresponsive Behavior. Molecules 2024, 29, 5811. https://doi.org/10.3390/molecules29235811
Li B, Zhang J, Wang J, Chen X. Aggregation-Induced Emission-Active Cyanostilbene-Based Liquid Crystals: Self-Assembly, Photophysical Property, and Multiresponsive Behavior. Molecules. 2024; 29(23):5811. https://doi.org/10.3390/molecules29235811
Chicago/Turabian StyleLi, Bian, Junde Zhang, Juan Wang, and Xiaofang Chen. 2024. "Aggregation-Induced Emission-Active Cyanostilbene-Based Liquid Crystals: Self-Assembly, Photophysical Property, and Multiresponsive Behavior" Molecules 29, no. 23: 5811. https://doi.org/10.3390/molecules29235811
APA StyleLi, B., Zhang, J., Wang, J., & Chen, X. (2024). Aggregation-Induced Emission-Active Cyanostilbene-Based Liquid Crystals: Self-Assembly, Photophysical Property, and Multiresponsive Behavior. Molecules, 29(23), 5811. https://doi.org/10.3390/molecules29235811

