Impact of Alkyl Spacer and Side Chain on Antimicrobial Activity of Monocationic and Dicationic Imidazolium Surface-Active Ionic Liquids: Experimental and Theoretical Insights
Abstract
1. Introduction
2. Results and Discussion
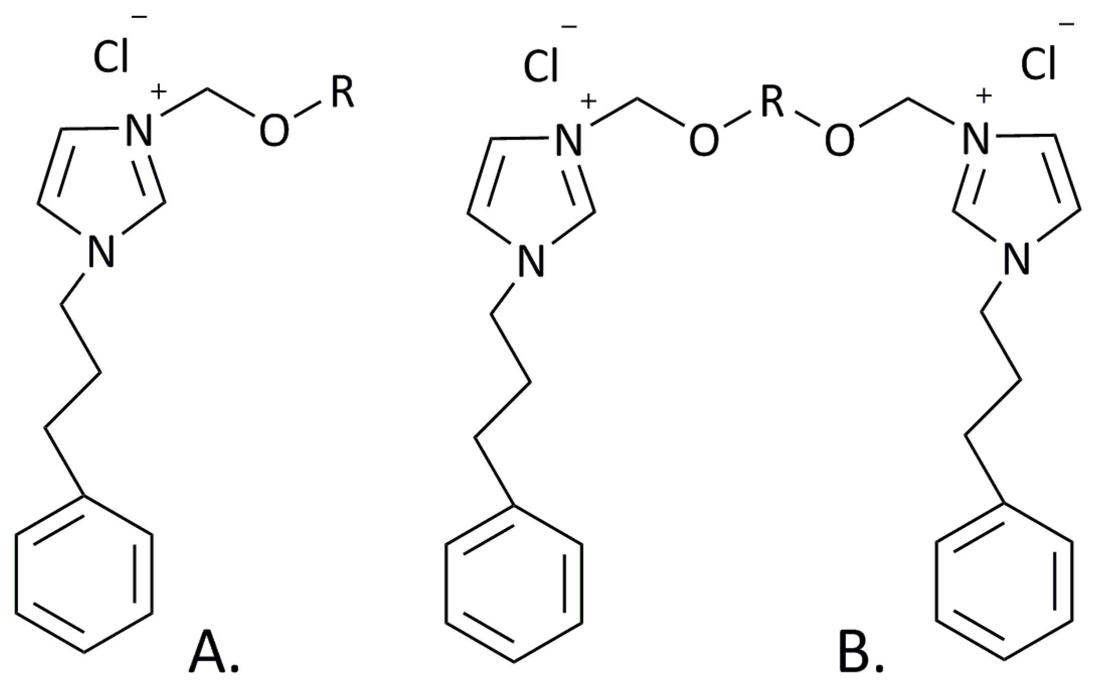
2.1. Synthesis
- Preparation of 3-alkoxymethyl-1-(3-phenylpropyl) imidazolium chlorides (Scheme 1A)
- Preparation of 3,3′-[α,ω-(dioxaalkane)]bis [1-(3-phenylpropyl)imidazolium] chlorides (Scheme 1B)
2.2. Thermal Analysis
2.3. Surface Properties
2.4. Atomic Force Microscopy (AFM) Analysis
2.5. Antimicrobial Properties
3. Materials and Methods
3.1. Thermal Analysis
3.2. Surface Activity
- R is the gas constant;
- T is the absolute temperature.
- γ0 is the surface tension of the pure water;
- b and a are empirical constants;
- c is the SAIL concentration.
- R is the gas constant;
- T is the absolute temperature;
- C is the concentration of salts.
- NA is the Avogadro number.
3.3. Atomic Force Microscopy (AFM)
3.4. Antimicrobial Activity
- Microbial Strains
- Determination of Minimum Inhibitory Concentration (MIC)
4. Conclusions
Supplementary Materials
Author Contributions
Funding
Institutional Review Board Statement
Informed Consent Statement
Data Availability Statement
Conflicts of Interest
References
- Buettner, C.S.; Cognigni, A.; Schröder, C.; Bica-Schröder, K. Surface-Active Ionic Liquids: A Review. J. Mol. Liq. 2022, 347, 118160. [Google Scholar] [CrossRef]
- Wojcieszak, M.; Lewandowska, A.; Marcinkowska, A.; Pałkowski, Ł.; Karolak, M.; Skrzypczak, A.; Syguda, A.; Materna, K. Evaluation of Antimicrobial Properties of Monocationic and Dicationic Surface-Active Ionic Liquids. J. Mol. Liq. 2023, 374, 121300. [Google Scholar] [CrossRef]
- Chlebicki, J.; Węgrzyńska, J.; Wilk, K.A. Surface-Active, Micellar, and Antielectrostatic Properties of Bis-Ammonium Salts. J. Colloid Interface Sci. 2008, 323, 372–378. [Google Scholar] [CrossRef] [PubMed]
- Asghar, M.N.; Nadeem, M.; Sohail, M.; Khan, A.M.; Sharif, M.S. Surface-Active Ionic Liquids as Drug Carriers: A Physico-Chemical Study. Chem. Phys. 2024, 583, 112303. [Google Scholar] [CrossRef]
- Kashapov, R.R.; Razuvayeva, Y.S.; Ziganshina, A.Y.; Mukhitova, R.K.; Sapunova, A.S.; Voloshina, A.D.; Zakharova, L.Y. Self-Assembling and Biological Properties of Single-Chain Dicationic Pyridinium-Based Surfactants. Colloids Surf. B Biointerfaces 2019, 175, 351–357. [Google Scholar] [CrossRef]
- Ali, M.K.; Moshikur, R.M.; Goto, M. Surface-Active Ionic Liquids for Medical and Pharmaceutical Applications. In Application of Ionic Liquids in Drug Delivery; Springer: Singapore, 2021. [Google Scholar]
- Kaur, A.; Singh, G.; Mehta, S.K.; Singh, S.; Kang, T.S. Aromatic Salt Induced Modulations in Micellization Behavior of Amide Functionalized Surface-Active Ionic Liquids: The Role of Cationic Head Group. J. Mol. Liq. 2024, 407, 125219. [Google Scholar] [CrossRef]
- Čobanov, I.; Šarac, B.; Medoš, Ž.; Tot, A.; Vraneš, M.; Gadžurić, S.; Bešter-Rogač, M. Cation Isomerism Effect on Micellization of Pyridinium Based Surface-Active Ionic Liquids. J. Mol. Liq. 2021, 337, 116353. [Google Scholar] [CrossRef]
- Fan, T.; Chen, C.; Fan, T.; Liu, F.; Peng, Q. Novel Surface-Active Ionic Liquids Used as Solubilizers for Water-Insoluble Pesticides. J. Hazard. Mater. 2015, 297, 340–346. [Google Scholar] [CrossRef]
- El Seoud, O.A.; Pires, P.A.R.; Abdel-Moghny, T.; Bastos, E.L. Synthesis and Micellar Properties of Surface-Active Ionic Liquids: 1-Alkyl-3-Methylimidazolium Chlorides. J. Colloid Interface Sci. 2007, 313, 296–304. [Google Scholar] [CrossRef]
- Sintra, T.E.; Vilas, M.; Martins, M.; Ventura, S.P.M.; Ferreira, A.I.M.C.L.; Santos, L.M.N.B.F.; Gonçalves, F.J.M.; Tojo, E.; Coutinho, J.A.P. Synthesis and Characterization of Surface-Active Ionic Liquids Used in the Disruption of Escherichia coli Cells. ChemPhysChem 2019, 20, 727–735. [Google Scholar] [CrossRef]
- Baltazar, Q.Q.; Chandawalla, J.; Sawyer, K.; Anderson, J.L. Interfacial and Micellar Properties of Imidazolium-Based Monocationic and Dicationic Ionic Liquids. Colloids Surf. A Physicochem. Eng. Asp. 2007, 302, 150–156. [Google Scholar] [CrossRef]
- Nacham, O.; Martín-Pérez, A.; Steyer, D.J.; Trujillo-Rodríguez, M.J.; Anderson, J.L.; Pino, V.; Afonso, A.M. Interfacial and Aggregation Behavior of Dicationic and Tricationic Ionic Liquid-Based Surfactants in Aqueous Solution. Colloids Surf. A Physicochem. Eng. Asp. 2015, 469, 224–234. [Google Scholar] [CrossRef]
- Shirota, H.; Mandai, T.; Fukazawa, H.; Kato, T. Comparison between Dicationic and Monocationic Ionic Liquids: Liquid Density, Thermal Properties, Surface Tension, and Shear Viscosity. J. Chem. Eng. Data 2011, 56, 2453–2459. [Google Scholar] [CrossRef]
- Frizzo, C.P.; Bender, C.R.; Gindri, I.M.; Salbego, P.R.S.; Villetti, M.A.; Martins, M.A.P. Anion Effect on the Aggregation Behavior of the Long-Chain Spacers Dicationic Imidazolium-Based Ionic Liquids. Colloid Polym. Sci. 2015, 293, 2901–2910. [Google Scholar] [CrossRef]
- Łuczak, J.; Jungnickel, C.; Łącka, I.; Stolte, S.; Hupka, J. Antimicrobial and Surface Activity of 1-Alkyl-3-Methylimidazolium Derivatives. Green Chem. 2010, 12, 593–601. [Google Scholar] [CrossRef]
- Garcia, M.T.; Ribosa, I.; Perez, L.; Manresa, A.; Comelles, F. Micellization and Antimicrobial Properties of Surface-Active Ionic Liquids Containing Cleavable Carbonate Linkages. Langmuir 2017, 33, 6511–6520. [Google Scholar] [CrossRef]
- Florio, W.; Becherini, S.; D’Andrea, F.; Lupetti, A.; Chiappe, C.; Guazzelli, L. Comparative Evaluation of Antimicrobial Activity of Different Types of Ionic Liquids. Mater. Sci. Eng. C 2019, 104, 109907. [Google Scholar] [CrossRef]
- Gilmore, B.F.; Andrews, G.P.; Borberly, G.; Earle, M.J.; Gilea, M.A.; Gorman, S.P.; Lowry, A.F.; McLaughlin, M.; Seddon, K.R. Enhanced Antimicrobial Activities of 1-Alkyl-3-Methyl Imidazolium Ionic Liquids Based on Silver or Copper Containing Anions. New J. Chem. 2013, 37, 873–876. [Google Scholar] [CrossRef]
- Qin, J.; Guo, J.; Xu, Q.; Zheng, Z.; Mao, H.; Yan, F. Synthesis of Pyrrolidinium-Type Poly(Ionic Liquid) Membranes for Antibacterial Applications. ACS Appl. Mater. Interfaces 2017, 9, 10504–10511. [Google Scholar] [CrossRef]
- Ziembowicz, F.I.; Bender, C.R.; Frizzo, C.P.; Martins, M.A.P.; de Souza, T.D.; Kloster, C.L.; Garcia, I.T.S.; Villetti, M.A. Thermodynamic Insights into the Binding of Mono- and Dicationic Imidazolium Surfactant Ionic Liquids with Methylcellulose in the Diluted Regime. J. Phys. Chem. B 2017, 121, 8385–8398. [Google Scholar] [CrossRef]
- Bender, C.R.; Vicente, F.A.; Kuhn, B.L.; Frizzo, C.P.; Villetti, M.A.; Carvalho, P.J. Effect of Dicationic Ionic Liquids on Cloud Points of Tergitol Surfactant and the Formation of Aqueous Micellar Two-Phase Systems. J. Mater. Sci. 2021, 56, 12171–12182. [Google Scholar] [CrossRef]
- Kim, K.; Kim, S. Effect of Alkyl-Chain Length of Imidazolium Based Ionic Liquid on Ion Conducting and Interfacial Properties of Organic Electrolytes. J. Ind. Eng. Chem. 2015, 26, 136–142. [Google Scholar] [CrossRef]
- Hussain, S.M.S.; Mahboob, A.; Kamal, M.S. Influence of Lipophilic Tail and Linker Groups on the Surface and Thermal Properties of the Synthesized Dicationic Surfactants for Oilfield Applications. J. Mol. Liq. 2020, 319, 114172. [Google Scholar] [CrossRef]
- Hussain, S.M.S.; Kamal, M.S.; Solling, T.; Murtaza, M.; Fogang, L.T. Surface and Thermal Properties of Synthesized Cationic Poly(Ethylene Oxide) Gemini Surfactants: The Role of the Spacer. RSC Adv. 2019, 9, 30154–30163. [Google Scholar] [CrossRef] [PubMed]
- De, S.; Aswal, V.K.; Goyal, P.S.; Bhattacharya, S. Role of Spacer Chain Length in Dimeric Micellar Organization. Small Angle Neutron Scattering and Fluorescence Studies. J. Phys. Chem. 1996, 100, 11664–11671. [Google Scholar] [CrossRef]
- Laschewsky, A.; Wattebled, L.; Arotçaréna, M.; Habib-Jiwan, J.-L.; Rakotoaly, R.H. Synthesis and Properties of Cationic Oligomeric Surfactants. Langmuir 2005, 21, 7170–7179. [Google Scholar] [CrossRef]
- Laschewsky, A.; Lunkenheimer, K.; Rakotoaly, R.H.; Wattebled, L. Spacer Effects in Dimeric Cationic Surfactants. Colloid Polym. Sci. 2005, 283, 469–479. [Google Scholar] [CrossRef]
- Kaczerewska, O.; Brycki, B.; Ribosa, I.; Comelles, F.; Garcia, M.T. Cationic Gemini Surfactants Containing an O-Substituted Spacer and Hydroxyethyl Moiety in the Polar Heads: Self-Assembly, Biodegradability and Aquatic Toxicity. J. Ind. Eng. Chem. 2018, 59, 141–148. [Google Scholar] [CrossRef]
- Hordyjewicz-Baran, Z.; Woch, J.; Kuliszewska, E.; Zimoch, J.; Libera, M.; Dworak, A.; Trzebicka, B. Aggregation Behavior of Anionic Sulfonate Gemini Surfactants with Dodecylphenyl Tails. Colloids Surf. A Physicochem. Eng. Asp. 2015, 484, 336–344. [Google Scholar] [CrossRef]
- Zhu, D.-Y.; Cheng, F.; Chen, Y.; Jiang, S.-C. Preparation, Characterization and Properties of Anionic Gemini Surfactants with Long Rigid or Semi-Rigid Spacers. Colloids Surf. A Physicochem. Eng. Asp. 2012, 397, 1–7. [Google Scholar] [CrossRef]
- Wang, H.; Wang, J.; Zhang, S.; Xuan, X. Structural Effects of Anions and Cations on the Aggregation Behavior of Ionic Liquids in Aqueous Solutions. J. Phys. Chem. B 2008, 112, 16682–16689. [Google Scholar] [CrossRef] [PubMed]
- Kamboj, R.; Bharmoria, P.; Chauhan, V.; Singh, G.; Kumar, A.; Singh, S.; Kang, T.S. Effect of Cationic Head Group on Micellization Behavior of New Amide-Functionalized Surface Active Ionic Liquids. Phys. Chem. Chem. Phys. 2014, 16, 26040–26050. [Google Scholar] [CrossRef] [PubMed]
- Singh, G.; Singh, G.; Kang, T.S. Micellization Behavior of Surface Active Ionic Liquids Having Aromatic Counterions in Aqueous Media. J. Phys. Chem. B 2016, 120, 1092–1105. [Google Scholar] [CrossRef] [PubMed]
- Ma, H.; Ke, H.; Wang, T.; Xiao, J.; Du, N.; Yu, L. Self-Assembly of Imidazolium-Based Surface Active Ionic Liquids in Aqueous Solution: The Role of Different Substituent Group on Aromatic Counterions. J. Mol. Liq. 2017, 240, 556–563. [Google Scholar] [CrossRef]
- Rani, S.; Bagchi, D.; Pal, U.; Kumari, M.; Sharma, M.; Bera, A.; Shabir, J.; Pal, S.K.; Saha-Dasgupta, T.; Mozumdar, S. The Role of Imidazolium-Based Surface-Active Ionic Liquid to Restrain the Excited-State Intramolecular H-Atom Transfer Dynamics of Medicinal Pigment Curcumin: A Theoretical and Experimental Approach. ACS Omega 2020, 5, 25582–25592. [Google Scholar] [CrossRef]
- Łuczak, J.; Hupka, J.; Thöming, J.; Jungnickel, C. Self-Organization of Imidazolium Ionic Liquids in Aqueous Solution. Colloids Surf. A Physicochem. Eng. Asp. 2008, 329, 125–133. [Google Scholar] [CrossRef]
- Wojcieszak, M.; Lewandowska, A.; Marcinkowska, A.; Pałkowski, Ł.; Karolak, M.; Skrzypczak, A.; Syguda, A.; Putowska, A.; Materna, K. Effect of Ether Chain and Isomerism on Surface and Antimicrobial Activity of Mono- and Dicationic Imidazolium-Based Surface-Active Ionic Liquids. J. Mol. Liq. 2024, 411, 125725. [Google Scholar] [CrossRef]
- Pernak, J.; Sobaszkiewicz, K.; Foksowicz-Flaczyk, J. Ionic Liquids with Symmetrical Dialkoxymethyl-Substituted Imidazolium Cations. Chem.-Eur. J. 2004, 10, 3479–3485. [Google Scholar] [CrossRef]
- Wojcieszak, M.; Syguda, A.; Karolak, M.; Pałkowski, Ł.; Materna, K. Quaternary Ammonium Salts Based on Caprylic Acid as Antimicrobial and Surface-Active Agents. RSC Adv. 2023, 13, 34782–34797. [Google Scholar] [CrossRef]
- Wojcieszak, M.; Kaczmarek, D.K.; Krzyźlak, K.; Siarkiewicz, A.; Klejdysz, T.; Materna, K. Surface Properties of Dicationic Ionic Liquids and Correlation with Biological Activity. Tenside Surfactants Deterg. 2022, 59, 294–304. [Google Scholar] [CrossRef]
- Fernández-Castro, B.; Méndez-Morales, T.; Carrete, J.; Fazer, E.; Cabeza, O.; Rodríguez, J.R.; Turmine, M.; Varela, L.M. Surfactant Self-Assembly Nanostructures in Protic Ionic Liquids. J. Phys. Chem. B 2011, 115, 8145–8154. [Google Scholar] [CrossRef] [PubMed]
- Rosen, M.J. Surfactants and Interfacial Phenomena; John Wiley & Sons, Inc.: Hoboken, NJ, USA, 2004. [Google Scholar]
- Szutkowski, K.; Kołodziejska, Ż.; Pietralik, Z.; Zhukov, I.; Skrzypczak, A.; Materna, K.; Kozak, M. Clear Distinction between CAC and CMC Revealed by High-Resolution NMR Diffusometry for a Series of Bis-Imidazolium Gemini Surfactants in Aqueous Solutions. RSC Adv. 2018, 8, 38470–38482. [Google Scholar] [CrossRef] [PubMed]
- Yuli, I.; Tzafrir, I.; Salama, P. Compatibility Investigation of Cationic Surfactants with Anionic Species. Cosmetics 2023, 10, 45. [Google Scholar] [CrossRef]
- Khatua, D.; Gupta, A.; Dey, J. Characterization of Micelle Formation of Dodecyldimethyl-N-2-Phenoxyethylammonium Bromide in Aqueous Solution. J. Colloid Interface Sci. 2006, 298, 451–456. [Google Scholar] [CrossRef]
- Yoshimura, T.; Yoshida, H.; Ohno, A.; Esumi, K. Physicochemical Properties of Quaternary Ammonium Bromide-Type Trimeric Surfactants. J. Colloid Interface Sci. 2003, 267, 167–172. [Google Scholar] [CrossRef]
- Ren, C.; Wang, F.; Zhang, Z.; Nie, H.; Li, N.; Cui, M. Synthesis, Surface Activity and Aggregation Behavior of Gemini Imidazolium Surfactants 1,3-Bis(3-Alkylimidazolium-1-Yl) Propane Bromide. Colloids Surf. A Physicochem. Eng. Asp. 2015, 467, 1–8. [Google Scholar] [CrossRef]
- Ao, M.; Xu, G.; Zhu, Y.; Bai, Y. Synthesis and Properties of Ionic Liquid-Type Gemini Imidazolium Surfactants. J. Colloid Interface Sci. 2008, 326, 490–495. [Google Scholar] [CrossRef]
- Gao, S.; Song, Z.; Zhu, D.; Lan, F.; Jiang, Q. Synthesis, Surface Activities, and Aggregation Behavior of Phenyl-Containing Carboxybetaine Surfactants. RSC Adv. 2018, 8, 33256–33268. [Google Scholar] [CrossRef]
- Xie, Y.; Li, J.; Li, Z.; Sun, T.; Wang, Y.; Qu, G. The Adsorption and Aggregation Properties of Dendritic Cationic Tetrameric Surfactants. RSC Adv. 2018, 8, 36015–36024. [Google Scholar] [CrossRef]
- Brycki, B.; Szulc, A.; Koenig, H.; Kowalczyk, I.; Pospieszny, T.; Górka, S. Effect of the Alkyl Chain Length on Micelle Formation for Bis(N-Alkyl-N,N-Dimethylethylammonium)Ether Dibromides. Comptes Rendus Chim. 2019, 22, 386–392. [Google Scholar] [CrossRef]
- Menger, F.M.; Keiper, J.S.; Azov, V. Gemini Surfactants with Acetylenic Spacers. Langmuir 2000, 16, 2062–2067. [Google Scholar] [CrossRef]
- Devinsky, F.; Lacko, I.; Mlynarčik, D.; Račanský, V.; Krasnec, L. Relationship Between Critical Micelle Concentrations and Minimum Inhibitory Concentrations for Some Non-Aromatic Quaternary Ammonium Salts and Amine Oxides. Tenside Surfactants Deterg. 1985, 22, 10–15. [Google Scholar] [CrossRef]
- Aiad, I.A.; Tawfik, S.M.; El-Shafie, M.; Rhman, A.L.A. 4-Aminoantipyrine Derived Cationic Surfactants: Synthesis, Characterization, Surface Activity and Screening for Potential Antimicrobial Activities. Egypt. J. Pet. 2018, 27, 327–334. [Google Scholar] [CrossRef]
- Wang, X.; Liu, J.; Yu, L.; Jiao, J.; Wang, R.; Sun, L. Surface Adsorption and Micelle Formation of Imidazolium-Based Zwitterionic Surface Active Ionic Liquids in Aqueous Solution. J. Colloid Interface Sci. 2013, 391, 103–110. [Google Scholar] [CrossRef]
- Asadov, Z.H.; Huseynova, S.M.; Ahmadova, G.A.; Rahimov, R.A.; Sharbatov, S.U.; Zubkov, F.I.; Jafarova, R.A. Synthesis, Colloidal-Chemical and Petroleum Collecting Properties of New Counterion Coupled Gemini Surfactants Based on Hexadecylbis(2-Hydroxypropyl)Amine and Dicarboxylic Acids. J. Dispers. Sci. Technol. 2019, 41, 2063–2071. [Google Scholar] [CrossRef]
- Ríos, H.E.; González-Navarrete, J.; Peña, M.L.; Sagredo, C.D.; Urzúa, M.D. Adsorption of Poly-2-(Dimethylamino) Ethylmethacrylate-N-Alkyl Quaternized at the Water/Chloroform Interface. Colloids Surf. A Physicochem. Eng. Asp. 2010, 364, 61–66. [Google Scholar] [CrossRef]
- Perinelli, D.R.; del Bello, F.; Vitali, L.A.; Nabissi, M.; Cespi, M.; Quaglia, W.; Aguzzi, C.; Lupetti, V.; Giangrossi, M.; Bonacucina, G. Dual Function Surfactants for Pharmaceutical Formulations: The Case of Surface Active and Antibacterial 1-Tolyl Alkyl Biguanide Derivatives. Int. J. Pharm. 2024, 661, 124388. [Google Scholar] [CrossRef]
- Banjare; Kumar, M. Interfacial and Thermodynamic Approach of Surfactants with α-Chymotrypsin and Trypsin: A Comparative Study. Indian J. Chem.-Section A 2020, 59, 1128–1135. [Google Scholar] [CrossRef]
- Feng, D.; Zhang, Y.; Chen, Q.; Wang, J.; Li, B.; Feng, Y. Synthesis and Surface Activities of Amidobetaine Surfactants with Ultra-Long Unsaturated Hydrophobic Chains. J. Surfactants Deterg. 2012, 15, 657–661. [Google Scholar] [CrossRef]
- Menger, F.M.; Littau, C.A. Gemini Surfactants: A New Class of Self-Assembling Molecules. J. Am. Chem. Soc. 1993, 115, 10083–10090. [Google Scholar] [CrossRef]
- Singh, L.K.; Priyanka; Singh, V.; Katiyar, D. Design, Synthesis and Biological Evaluation of Some New Coumarin Derivatives as Potential Antimicrobial Agents. Med. Chem. 2015, 11, 128–134. [Google Scholar] [CrossRef] [PubMed]
- Zhao, X.; An, D.; Ye, Z. A Comprehensive Study on the Synthesis and Micellization of Disymmetric Gemini Imidazolium Surfactants. J. Surfactants Deterg. 2016, 19, 681–691. [Google Scholar] [CrossRef]
- Pham-Truong, T.N.; Ghilane, J.; Randriamahazaka, H. CHAPTER 8: Redox-Active Immobilized Ionic Liquids. In Polymerized Ionic Liquids; RSC Smart Materials; Royal Society of Chemistry: Cambridge, UK, 2018; Volume 2018. [Google Scholar]
- Moshikur, R.M.; Chowdhury, R.; Wakabayashi, R.; Tahara, Y.; Moniruzzaman, M.; Goto, M. Characterization and Cytotoxicity Evaluation of Biocompatible Amino Acid Esters Used to Convert Salicylic Acid into Ionic Liquids. Int. J. Pharm. 2018, 546, 31–38. [Google Scholar] [CrossRef]
- Wu, T.; Li, W.; Chen, M.; Zhou, Y.; Zhang, Q. Estimation of Ionic Liquids Toxicity against Leukemia Rat Cell Line IPC-81 Based on the Empirical-like Models Using Intuitive and Explainable Fingerprint Descriptors. Mol. Inform. 2020, 39, 2000102. [Google Scholar] [CrossRef] [PubMed]
- Balgavý, P.; Devínsky, F. Cut-off Effects in Biological Activities of Surfactants. Adv. Colloid. Interface Sci. 1996, 66, 23–63. [Google Scholar] [CrossRef]
- Vallapa, N.; Wiarachai, O.; Thongchul, N.; Pan, J.; Tangpasuthadol, V.; Kiatkamjornwong, S.; Hoven, V.P. Enhancing Antibacterial Activity of Chitosan Surface by Heterogeneous Quaternization. Carbohydr. Polym. 2011, 83, 868–875. [Google Scholar] [CrossRef]
- CLSI Clinical and Laboratory Standards Institute (CLSI). Performance Standards for Antimicrobial Susceptibility Testing, 30th ed.; CLSI Supplement M100; CLSI: Wayne, PA, USA, 2020. [Google Scholar]








| TGA | DSC | ||||||||
|---|---|---|---|---|---|---|---|---|---|
| Abbreviation | T5% (°C) | T10% (°C) | T50% (°C) | T90% (°C) | R (%) | Tg (°C) | Tcc (°C) | Tm (°C) | Tc (°C) |
| MONOCATIONIC SAILs | |||||||||
| MI7-SAIL | 124.1 | 149.8 | 238.6 | 270.5 | 1.0 | - | - | −13.1 | −33.3 |
| MI8-SAIL | 143.2 | 176.8 | 235.1 | 270.3 | 1.8 | −19 | - | 19.8 | −1.0/−2.3/−8.5/−22.9/−46.3 |
| MI9-SAIL | 143.0 | 170.2 | 239.3 | 270.3 | 1.7 | −28.8 | - | 9.1 | −15.1/−25.0 |
| MI10-SAIL | 152.2 | 178.3 | 236.0 | 275.8 | 1.9 | −35.2 | −13.3 | −1.4/7.6/19.4 | −4.3/−6.0/−8.4/−11.0/−20.0 |
| MI12-SAIL | 182.0 | 204.2 | 246.8 | 290.1 | 2.8 | −26.7 | −11.0 | 9.2/20.6/31.0 | 9.6/−11.0 |
| DICATIONIC SAILs | |||||||||
| DI7-SAIL | 179.8 | 210.4 | 264.1 | 447.7 | 9.0 | −42.5 | - | - | - |
| DI8-SAIL | 198.2 | 220.0 | 275.0 | 439.2 | 7.6 | −40.2 | - | - | - |
| DI9-SAIL | 186.2 | 212.0 | 281.1 | 450.4 | 9.2 | −39.4 | 7.3 | 37.5/50.9 | - |
| DI10-SAIL | 192.9 | 218.7 | 278.0 | 415.8 | 5.6 | −35.3 | - | 18.2/31.2/46.8/57.8 | 18.6 |
| DI12-SAIL | 192.1 | 215.9 | 284.0 | 428.1 | 5.3 | −29.0 | - | 16.3/41.3/63.2/70.9 | 37.6/6.4 |
| Abbreviation | CMC (mmol L−1) | pC20 | γCMC (mN m−1) | CA (°) | Γmax × 106 (mol m−2) | Amin × 1019 (m2) | ΔG0ads (kJ m−1) |
|---|---|---|---|---|---|---|---|
| MONOCATIONIC SAILs | |||||||
| MI7-SAIL | 38.54 | 2.63 | 31.9 | 54.42 | 4.28 | 3.88 | −15.2 |
| MI8-SAIL | 6.77 | 3.29 | 29.8 | 44.38 | 3.64 | 4.56 | −23.9 |
| MI9-SAIL | 6.13 | 3.06 | 31.3 | 49.89 | 4.34 | 3.83 | −21.6 |
| MI10-SAIL | 3.03 | 3.17 | 32.6 | 55.75 | 4.72 | 3.53 | −22.2 |
| MI12-SAIL | 1.32 | 3.79 | 33.6 | 57.79 | 3.64 | 4.56 | −26.8 |
| DICATIONIC SAILs | |||||||
| DI7-SAIL | 47.35 | 2.28 | 38.6 | 73.61 | 2.41 | 6.89 | −24.5 |
| DI8-SAIL | 12.06 | 2.37 | 43.0 | 72.21 | 3.15 | 5.27 | −19.0 |
| DI9-SAIL | 8.44 | 2.89 | 41.6 | 69.48 | 2.75 | 6.05 | −20.1 |
| DI10-SAIL | 0.85 | 3.54 | 44.2 | 68.52 | 3.99 | 4.16 | −26.4 |
| DI12-SAIL | 0.28 | 3.87 | 46.8 | 62.31 | 4.53 | 3.66 | −23.7 |
| BAC | 4.29 a | 3.23 a | 36.5 a | 67.90 a | −27.03 a | ||
| DDAC | 1.69~2.00 b | 4.13 a | 27.1 a | 41.03 a | −32.31 a | ||
| DomphB | 1.78 c | 36.5 c | |||||
| C10TAB | 67.00 d | 40.0 d | |||||
| C12TAB | 15.00 d | 33.2–39.0 d | |||||
| MIC (mmol L−1) | ||||||
|---|---|---|---|---|---|---|
| Abbreviation | G(+) Bacteria | G(−) Bacteria | Fungi | |||
| S. aureus | E. faecalis | P. aeruginosa | E. coli | K. pneumoniae | C. albicans | |
| MONOCATIONIC SAILs | ||||||
| MI7-SAIL | 0.114 | 0.228 | 3.562 | 0.228 | 1.767 | 0.228 |
| MI8-SAIL | 0.014 | 0.027 | 1.699 | 0.110 | 1.699 | 0.027 |
| MI9-SAIL | 0.026 | 0.026 | 1.636 | 0.106 | 0.422 | 0.053 |
| MI10-SAIL | 0.013 | 0.013 | 1.578 | 0.051 | 0.789 | 0.025 |
| MI12-SAIL | 0.012 | 0.024 | 5.937 | 0.380 | 2.969 | 0.024 |
| DICATIONIC SAILs | ||||||
| DI7-SAIL | 0.066 | 0.066 | 4.155 | 0.066 | 1.030 | 0.017 |
| DI8-SAIL | 0.032 | 0.032 | 4.061 | 0.032 | 4.061 | 0.016 |
| DI9-SAIL | 0.016 | 0.032 | 1.985 | 0.032 | 0.985 | 0.016 |
| DI10-SAIL | 0.482 | 0.031 | 1.942 | 0.016 | 0.963 | 0.016 |
| DI12-SAIL | 0.015 | 0.015 | 0.923 | 0.015 | 0.461 | 0.007 |
| BAC | 0.028 | 0.014 | 1.765 | 0.057 | 0.456 | 0.014 |
| DDAC | 0.004 | 0.007 | 0.856 | 0.014 | 0.856 | 0.007 |
Disclaimer/Publisher’s Note: The statements, opinions and data contained in all publications are solely those of the individual author(s) and contributor(s) and not of MDPI and/or the editor(s). MDPI and/or the editor(s) disclaim responsibility for any injury to people or property resulting from any ideas, methods, instructions or products referred to in the content. |
© 2024 by the authors. Licensee MDPI, Basel, Switzerland. This article is an open access article distributed under the terms and conditions of the Creative Commons Attribution (CC BY) license (https://creativecommons.org/licenses/by/4.0/).
Share and Cite
Wojcieszak, M.; Zięba, S.; Dubis, A.T.; Karolak, M.; Pałkowski, Ł.; Marcinkowska, A.; Skrzypczak, A.; Putowska, A.; Materna, K. Impact of Alkyl Spacer and Side Chain on Antimicrobial Activity of Monocationic and Dicationic Imidazolium Surface-Active Ionic Liquids: Experimental and Theoretical Insights. Molecules 2024, 29, 5743. https://doi.org/10.3390/molecules29235743
Wojcieszak M, Zięba S, Dubis AT, Karolak M, Pałkowski Ł, Marcinkowska A, Skrzypczak A, Putowska A, Materna K. Impact of Alkyl Spacer and Side Chain on Antimicrobial Activity of Monocationic and Dicationic Imidazolium Surface-Active Ionic Liquids: Experimental and Theoretical Insights. Molecules. 2024; 29(23):5743. https://doi.org/10.3390/molecules29235743
Chicago/Turabian StyleWojcieszak, Marta, Sylwia Zięba, Alina T. Dubis, Maciej Karolak, Łukasz Pałkowski, Agnieszka Marcinkowska, Andrzej Skrzypczak, Alicja Putowska, and Katarzyna Materna. 2024. "Impact of Alkyl Spacer and Side Chain on Antimicrobial Activity of Monocationic and Dicationic Imidazolium Surface-Active Ionic Liquids: Experimental and Theoretical Insights" Molecules 29, no. 23: 5743. https://doi.org/10.3390/molecules29235743
APA StyleWojcieszak, M., Zięba, S., Dubis, A. T., Karolak, M., Pałkowski, Ł., Marcinkowska, A., Skrzypczak, A., Putowska, A., & Materna, K. (2024). Impact of Alkyl Spacer and Side Chain on Antimicrobial Activity of Monocationic and Dicationic Imidazolium Surface-Active Ionic Liquids: Experimental and Theoretical Insights. Molecules, 29(23), 5743. https://doi.org/10.3390/molecules29235743

