Impacts of Vinyl Group on the Diffusion and Thermal Properties of Branched Silicon-Containing Arylacetylene Resins by Molecular Dynamics Simulations
Abstract
1. Introduction
2. Simulation Details
3. Result and Discussion
3.1. Free Volume
3.2. Diffusion Ability
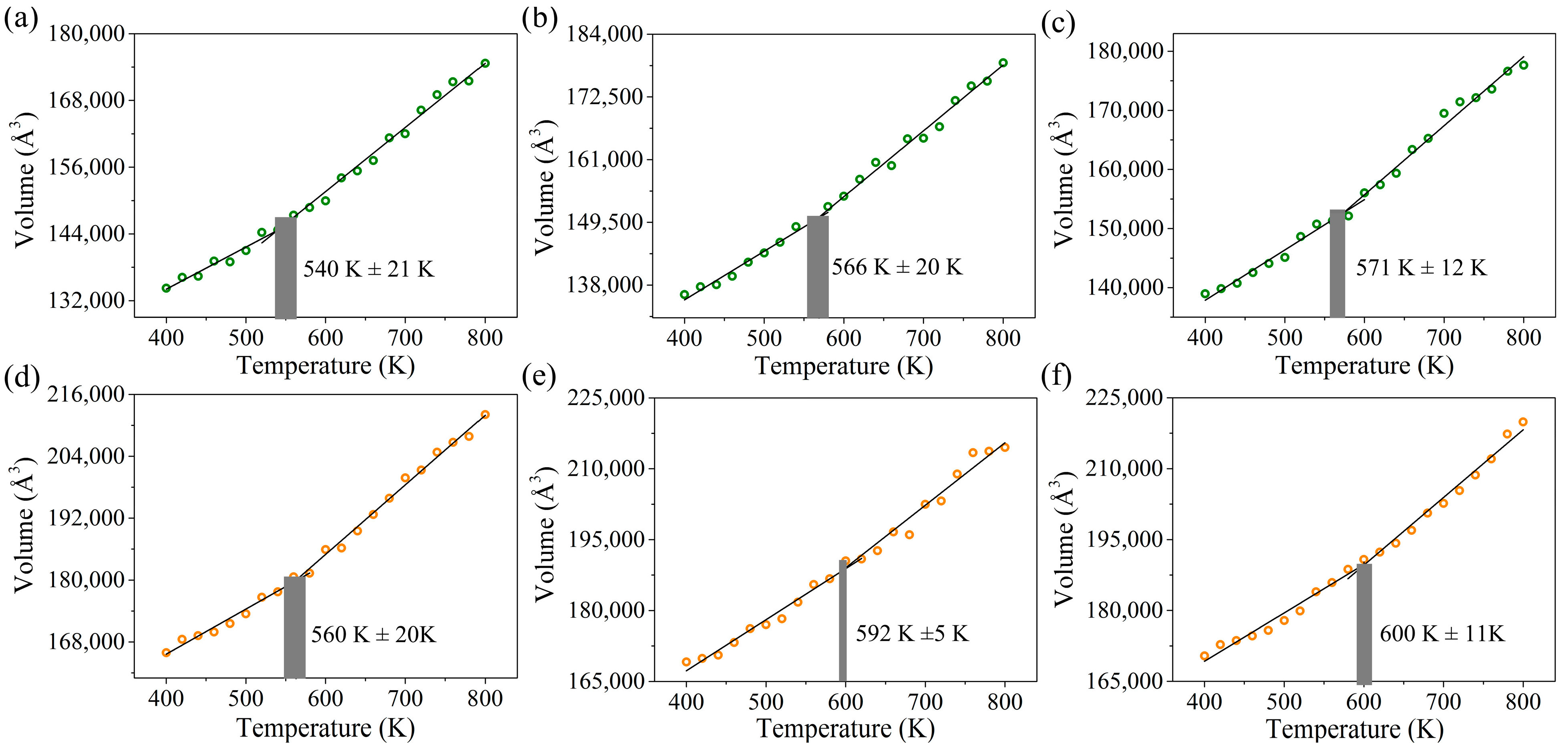
3.3. Thermal Performance
3.4. Molecular Properties and Interactions
3.5. Comprehensive Comparison of Performance
4. Conclusions
Author Contributions
Funding
Institutional Review Board Statement
Informed Consent Statement
Data Availability Statement
Conflicts of Interest
References
- Qi, Y.; Weng, Z.; Kou, Y.; Li, J.; Cao, Q.; Wang, J.; Zhang, S.; Jian, X. Facile synthesis of bio-based tetra-functional epoxy resin and its potential application as high-performance composite resin matrix. Compos. Part B Eng. 2021, 214, 108749. [Google Scholar] [CrossRef]
- Gu, H.; Gao, C.; Du, A.; Guo, Y.; Zhou, H.; Zhao, T.; Naik, N.; Guo, Z. An overview of high-performance phthalonitrile resins: Fabrication and electronic applications. J. Mater. Chem. C 2022, 10, 2925–2937. [Google Scholar] [CrossRef]
- Zhou, Z.X.; Li, Y.; Zhong, J.; Luo, Z.; Gong, C.R.; Zheng, Y.Q.; Peng, S.; Yu, L.M.; Wu, L.; Xu, Y. High-performance cyanate ester resins with interpenetration networks for 3D printing. ACS Appl. Mater. Interfaces 2020, 12, 38682–38689. [Google Scholar] [CrossRef] [PubMed]
- Itoh, M.; Iwata, K.; Ishikawa, J.-I.; Sukawa, H.; Kimura, H.; Okita, K. Various silicon-containing polymers with Si(H)−C≡C units. J. Polym. Sci. A Polym. Chem. 2001, 39, 2658–2669. [Google Scholar] [CrossRef]
- Ogasawara, T.; Ishikawa, T.; Itoh, M.; Abe, T.; Yokota, R.; Ando, M. Carbon fiber reinforced composites with newly developed silicon containing polymer MSP. Adv. Compos. Mater. 2001, 10, 319–327. [Google Scholar] [CrossRef]
- Ling, Z.; Zhu, J.; Cai, C.; Lin, J.; Wang, L.; Du, L. Highly heat-resistant branched silicon-containing arylacetylene resins with low curing temperature. Polym. Int. 2021, 70, 1595–1603. [Google Scholar] [CrossRef]
- Ma, M.; Gong, C.; Li, C.; Yuan, Q.; Huang, F. The synthesis and properties of silicon-containing arylacetylene resins with rigid-rod 2,5-diphenyl-[1,3,4]-oxadiazole moieties. Eur. Polym. J. 2021, 143, 110192. [Google Scholar] [CrossRef]
- Ma, M.; Li, C.; Liu, X.; Yuan, Q.; Huang, F. Synthesis and properties of a silicon-containing arylacetylene resin with 2,6-diphenoxypyridine unit. ChemistrySelect 2020, 5, 1146–1152. [Google Scholar] [CrossRef]
- Li, J.; Gong, C.; Lv, S.; Huang, F. Effects of side alkoxy groups on the arylacetylene unit on properties of poly(silylene arylacetylene)s. Eur. Polym. J. 2021, 160, 110774. [Google Scholar] [CrossRef]
- Li, C.; Luo, J.; Ma, M.; Tang, J.; Yuan, Q.; Huang, F. Synthesis and properties of sulfur-contained poly(silylene arylacetylene)s. J. Polym. Sci. Part A Polym. Chem. 2019, 57, 2324–2332. [Google Scholar] [CrossRef]
- Liu, X.; Ma, M.; Li, J.; Gong, C.; Qiao, Z.; Huang, F. Investigation of poly(dimethylsilylene ethynylenealkylphenylenmethylenealkylphenyleneethynylene). Polym. Technol. Mater. 2022, 61, 1153–1165. [Google Scholar] [CrossRef]
- Gong, C.; Lv, S.; Liu, S.; Yuan, Q.; Tang, J.; Huang, F. Synchronous improvement in mechanical properties and dielectric performance of poly(Silylene arylether arylacetylene) by introducing trifluoromethyl groups. J. Polym. Sci. 2024, 62, 4289–4301. [Google Scholar] [CrossRef]
- Li, C.; Han, G.; Ma, M.; Tang, J.; Huang, F. Synthesis and properties of poly(silylene bis(ethynylphenoxy)diphenylsulfone). Polym. Bull. 2023, 80, 349–363. [Google Scholar] [CrossRef]
- Ma, M.; Liu, X.; Li, C.; Qiao, Z.; Yuan, Q.; Huang, F. Effects of pendant side groups on the properties of the silicon-containing arylacetylene resins with 2,5-diphenyl-[1,3,4]-oxadiazole moieties. RSC Adv. 2021, 11, 19656–19665. [Google Scholar] [CrossRef]
- Huang, Y.; Deng, S.; Liu, Z. Star-shaped silicon-containing arylacetylene resin based on a one-pot synthesis using zinc powder catalysis with improved processing and thermal properties. J. Appl. Polym. Sci. 2019, 136, 48248. [Google Scholar] [CrossRef]
- Lv, S.; Gong, C.; Wang, C.; Wan, L.; Yuan, Q.; Huang, F. Heat-resistant dendritic poly(methylsilane arylacetylene) with attractive mechanical properties enhanced via higher curing temperature. ACS Appl. Polym. Mater. 2024, 6, 8651–8658. [Google Scholar] [CrossRef]
- Liu, S.; Yan, Y.; Xu, Y.; Yang, C.; Fan, Y.; Xu, J. Effects of cross-linking degree and characteristic components on mechanical properties of highly cross-linked phenolic resins: A molecular dynamics simulation study. Ind. Eng. Chem. Res. 2023, 62, 10069–10079. [Google Scholar] [CrossRef]
- Wang, Y.; Du, B.; Kong, X.; Li, X. Effects of cross-linked networks on dielectric properties of epoxy resins based on molecular dynamics. J. Appl. Polym. Sci. 2024, 141, e55104. [Google Scholar] [CrossRef]
- Patil, S.U.; Shah, S.P.; Olaya, M.; Deshpande, P.P.; Maiaru, M.; Odegard, G.M. Reactive molecular dynamics simulation of epoxy for the full cross-linking process. ACS Appl. Polym. Mater. 2021, 3, 5788–5797. [Google Scholar] [CrossRef]
- Xing, X.; Niu, X.; Liu, Y.; Yang, C.; Wang, S.; Li, Y.; Jing, X. In-depth understanding on the early stage of phenolic resin thermal pyrolysis through ReaxFF-molecular dynamics simulation. Polym. Degrad. Stab. 2021, 186, 109534. [Google Scholar] [CrossRef]
- Tarefder, R.A.; Arisa, I. Molecular dynamic simulations for determining change in thermodynamic properties of asphaltene and resin because of aging. Energy Fuels 2011, 25, 2211–2222. [Google Scholar] [CrossRef]
- Zhang, X.; Han, C.; Zhou, X.; Otto, F.; Zhang, F. Characterizing the diffusion and rheological properties of aged asphalt binder rejuvenated with Bio-Oil based on molecular dynamic simulations and laboratory experimentations. Molecules 2021, 26, 7080. [Google Scholar] [CrossRef] [PubMed]
- Zhao, Y.; Kikugawa, G.; Huang, Z.; Li, Y. Length effect of short base resin on thermomechanical properties of crosslinked epoxy resin via molecular dynamics simulation. Int. J. Heat Mass Transf. 2024, 225, 125400. [Google Scholar] [CrossRef]
- Rahnamoun, A.; Van Duin, A.C.T. Reactive molecular dynamics simulation on the disintegration of Kapton, POSS polyimide, amorphous silica, and Teflon during atomic oxygen impact using the Reaxff reactive force-field method. J. Phys. Chem. A 2014, 118, 2780–2787. [Google Scholar] [CrossRef] [PubMed]
- Chen, L.; Yi, Y.; Lan, H.; Wu, J.; Yang, J.; Wu, S.; Yang, W.; Lu, Z.; Peng, Q. Dielectric properties of benzocyclobutene-based resin: A molecular dynamics study. J. Phys. Chem. B 2024, 128, 340–349. [Google Scholar] [CrossRef]
- Zhao, Y.; Kikugawa, G.; Shirasu, K.; Kawagoe, Y.; Okabe, T. Constructing and characterizing various multi-component crosslinked epoxy resins based on molecular dynamics simulations with a curing reaction model. Polymer 2024, 297, 126817. [Google Scholar] [CrossRef]
- Zheng, F.; Wan, K.; Huang, F.; Niu, B.; Shi, Y.; Wei, D.; Zhang, Y.; Long, D. Assessing pyrolysis behavior of silicon-containing arylacetylene resin via experiments and ReaxFF MD simulations. J. Anal. Appl. Pyrolysis 2022, 164, 105528. [Google Scholar] [CrossRef]
- Jin, C.; Wang, F.; Zhu, Y.; Deng, S.; Qi, H.; Du, L. Thermal oxidation behavior and mechanisms for silicon-containing arylacetylene resins: Experimental and reactive force field molecular dynamics simulations. ACS Appl. Polym. Mater. 2024, 6, 1962–1972. [Google Scholar] [CrossRef]
- Li, H.; Zhu, W. Effects of π-π interactions on the rheological and heat-resistant behaviors of silicon-containing arylacetylene resins: A molecular dynamics simulation. J. Mol. Liq. 2024, 409, 125499. [Google Scholar] [CrossRef]
- Zhu, J.; Chu, M.; Chen, Z.; Wang, L.; Lin, J.; Du, L. Rational design of heat-resistant polymers with low curing energies by a materials genome approach. Chem. Mater. 2020, 32, 4527–4535. [Google Scholar] [CrossRef]
- Zhang, S.; Du, S.; Wang, L.; Lin, J.; Du, L.; Xu, X.; Gao, L. Design of silicon-containing arylacetylene resins aided by machine learning enhanced materials genome approach. Chem. Eng. J. 2022, 448, 137643. [Google Scholar] [CrossRef]
- Materials Studio, version 7.0; Accelrys Software Inc.; Dassault Systèmes: San Diego, CA, USA.
- Sun, H. Compass: An ab initio force-field optimized for condensed-phase applications—Overview with details on alkane and benzene compounds. J. Phys. Chem. B 1998, 102, 7338–7364. [Google Scholar] [CrossRef]
- Jiao, W.; Liu, W.; Yang, F.; Jiang, L.; Jiao, W.; Wang, R. Improving the interfacial strength of carbon fiber/vinyl ester resin composite by self-migration of acrylamide: A molecular dynamics simulation. Appl. Surf. Sci. 2018, 454, 74–81. [Google Scholar] [CrossRef]
- White, R.P.; Lipson, J.E.G. Polymer free volume and its connection to the glass transition. Macromolecules 2016, 49, 3987–4007. [Google Scholar] [CrossRef]
- Jagarlapudi, S.S.; Cross, H.S.; Das, T.; Goddard, W.A. Thermomechanical properties of nontoxic plasticizers for polyvinyl chloride predicted from molecular dynamics simulations. ACS Appl. Mater. Interfaces 2023, 15, 24858–24867. [Google Scholar] [CrossRef]
- Ahmadi, M.; Clarke, M.; Chen, Z. The effect of bitumen molecular fractions on diffusivity and rheology of bitumen under high-temperature conditions: Molecular dynamics (MD) simulation study. Can. J. Chem. Eng. 2023, 101, 1150–1161. [Google Scholar] [CrossRef]
- Cho, D.; Drzal, L.T. Characterization, properties, and processing of LaRCTM PETI-5 as a high-temperature sizing Material. I. FTIR studies on imidization and phenylethynyl end-group reaction behavior. J. Appl. Polym. Sci. 2000, 76, 190–200. [Google Scholar] [CrossRef]
- Connell, J.W.; Smith, J.G.; Hergenrother, P.M. Oligomers and polymers containing phenylethynyl groups. J. Macromol. Sci. Polym. Rev. 2000, 40, 207–230. [Google Scholar] [CrossRef]
- Chen, Z.; Wang, L.; Lin, J.; Du, L. Theoretical study on thermal curing mechanism of arylethynyl-containing resins. Phys. Chem. Chem. Phys. 2020, 22, 6468–6477. [Google Scholar] [CrossRef]
- Chowdhury, S.C.; Elder, R.M.; Sirk, T.W.; Gillespie, J.W. Epoxy resin thermo-mechanics and failure modes: Effects of cure and cross-linker length. Compos. Part B Eng. 2020, 186, 107814. [Google Scholar] [CrossRef]
- Sun, Q.; Feng, Y.; Guo, J.; Wang, C. High performance epoxy resin with ultralow coefficient of thermal expansion cured by conformation-switchable multi-functional agent. Chem. Eng. J. 2022, 450, 138295. [Google Scholar] [CrossRef]
- Zhao, Y.; Truhlar, D.G. The M06 suite of density functionals for main group thermochemistry, thermochemical kinetics, noncovalent interactions, excited states, and transition elements: Two new functionals and systematic testing of four M06-class functionals and 12 other function. Theor. Chem. Acc. 2008, 120, 215–241. [Google Scholar] [CrossRef]
- Lu, T.; Chen, Q. Interaction region Indicator (IRI): A simple real space function clearly revealing both chemical bonds and weak interactions. Chem.-Methods 2021, 1, 231–239. [Google Scholar] [CrossRef]
- Lu, T.; Chen, F. Multiwfn: A multifunctional wavefunction analyzer. J. Comput. Chem. 2012, 33, 580–592. [Google Scholar] [CrossRef]
- Humphrey, W.; Dalke, A.; Schulten, K. VMD: Visual molecular dynamics. J. Mol. Graph. 1996, 14, 33–38. [Google Scholar] [CrossRef]
- Lu, T.; Chen, Q. Simple, efficient, and universal energy decomposition analysis method based on dispersion-corrected density functional theory. J. Phys. Chem. A 2023, 127, 7023. [Google Scholar] [CrossRef]











| Systems | Substituent | Number of Atoms | ρ (g/cm3) | ||
|---|---|---|---|---|---|
| R1 | R2 | R3 | |||
| BSA0 | + | + | + | 10,000 | 1.067 |
| BSA1 | + | + | − | 10,400 | 1.059 |
| BSA2 | + | − | − | 10,800 | 1.053 |
| SSA0 | + | + | + | 12,200 | 1.079 |
| SSA1 | + | + | − | 12,600 | 1.071 |
| SSA2 | + | − | − | 13,000 | 1.070 |
| Models | V0 (Å3) | Vf (Å3) | FFV (%) | FFV Growth Rate (%) |
|---|---|---|---|---|
| BSA0 | 107,889.00 ± 92.12 | 22,415.87 ± 92.11 | 17.20 ± 0.22 | 7.30 ± 1.42 |
| BSA1 | 109,649.15 ± 77.89 | 22,223.40 ± 77.09 | 16.86 ± 0.10 | 7.97 ± 0.85 |
| BSA2 | 111,089.49 ± 65.75 | 22,207.40 ± 65.34 | 16.66 ± 0.05 | 8.03 ± 0.32 |
| SSA0 | 134,187.28 ± 72.15 | 28,513.16 ± 72.27 | 17.52 ± 0.13 | 5.92 ± 0.65 |
| SSA1 | 136,285.50 ± 34.01 | 28,235.89 ± 34.01 | 17.16 ± 0.03 | 6.94 ± 0.13 |
| SSA2 | 137,061.64 ± 27.34 | 27,991.85 ± 27.35 | 16.72 ± 0.02 | 7.57 ± 0.11 |
| Resins | D (×10−8 cm/s2) | D0 (×10−4 cm/s2) | Ea (kJ/mol) | ||||
|---|---|---|---|---|---|---|---|
| 400 K | 500 K | 600 K | 700 K | 800 K | |||
| BSA0 | 6.90 ± 0.39 | 15.78 ± 0.11 | 34.50 ± 0.41 | 75.80 ± 0.08 | 140.1 ± 1.95 | 0.23 ± 0.14 | 19.89 ± 2.17 |
| BSA1 | 7.48 ± 0.04 | 17.47 ± 0.05 | 48.47 ± 0.20 | 94.90 ± 1.77 | 144.4 ± 1.75 | 0.29 ± 0.05 | 20.26 ± 0.38 |
| BSA2 | 7.97 ± 0.63 | 19.62 ± 0.16 | 49.85 ± 0.09 | 109.4 ± 1.02 | 159.7 ± 1.23 | 0.33 ± 0.12 | 20.52 ± 2.48 |
| SSA0 | 5.10 ± 0.68 | 9.92 ± 0.91 | 21.87 ± 0.03 | 40.90 ± 0.10 | 68.50 ± 0.58 | 0.08 ± 0.01 | 17.35 ± 0.93 |
| SSA1 | 5.48 ± 0.04 | 9.72 ± 0.20 | 22.13 ± 0.15 | 44.18 ± 0.56 | 75.13 ± 1.99 | 0.09 ± 0.002 | 17.58 ± 0.08 |
| SSA2 | 5.62 ± 0.62 | 11.75 ± 0.3 | 23.15 ± 0.07 | 48.42 ± 3.26 | 85.70 ± 0.05 | 0.10 ± 0.01 | 17.94 ± 0.66 |
| ΔE_int (MD) | ΔE_int (DFT) | Average Difference (%) | |
|---|---|---|---|
| BSA0 | −20.29 | −18.34 | 5.05 |
| BSA1 | −21.35 | −19.10 | 5.56 |
| BSA2 | −21.78 | −19.36 | 5.88 |
| SSA0 | −23.04 | −19.88 | 7.36 |
| SSA1 | −23.16 | −21.02 | 4.84 |
| SSA2 | −25.37 | −21.67 | 7.87 |
| ΔE_els | ΔE_xrep | ΔE_orb | ΔE_disp | |
|---|---|---|---|---|
| BSA0 | −12.64 | 32.46 | −5.03 | −33.13 |
| BSA1 | −14.01 | 35.34 | −5.63 | −34.80 |
| BSA2 | −14.32 | 37.1 | −5.68 | −36.47 |
| SSA0 | −13.79 | 36.18 | −5.46 | −36.82 |
| SSA1 | −14.19 | 38.77 | −6.07 | −39.54 |
| SSA2 | −14.93 | 40.06 | −6.37 | −40.03 |
Disclaimer/Publisher’s Note: The statements, opinions and data contained in all publications are solely those of the individual author(s) and contributor(s) and not of MDPI and/or the editor(s). MDPI and/or the editor(s) disclaim responsibility for any injury to people or property resulting from any ideas, methods, instructions or products referred to in the content. |
© 2024 by the authors. Licensee MDPI, Basel, Switzerland. This article is an open access article distributed under the terms and conditions of the Creative Commons Attribution (CC BY) license (https://creativecommons.org/licenses/by/4.0/).
Share and Cite
Li, H.; Sun, Z.; Yang, L.; Zhu, W. Impacts of Vinyl Group on the Diffusion and Thermal Properties of Branched Silicon-Containing Arylacetylene Resins by Molecular Dynamics Simulations. Molecules 2024, 29, 5737. https://doi.org/10.3390/molecules29235737
Li H, Sun Z, Yang L, Zhu W. Impacts of Vinyl Group on the Diffusion and Thermal Properties of Branched Silicon-Containing Arylacetylene Resins by Molecular Dynamics Simulations. Molecules. 2024; 29(23):5737. https://doi.org/10.3390/molecules29235737
Chicago/Turabian StyleLi, Hui, Zijian Sun, Lei Yang, and Weihua Zhu. 2024. "Impacts of Vinyl Group on the Diffusion and Thermal Properties of Branched Silicon-Containing Arylacetylene Resins by Molecular Dynamics Simulations" Molecules 29, no. 23: 5737. https://doi.org/10.3390/molecules29235737
APA StyleLi, H., Sun, Z., Yang, L., & Zhu, W. (2024). Impacts of Vinyl Group on the Diffusion and Thermal Properties of Branched Silicon-Containing Arylacetylene Resins by Molecular Dynamics Simulations. Molecules, 29(23), 5737. https://doi.org/10.3390/molecules29235737

