Glycine-Based [3+2] Cycloaddition for the Synthesis of Pyrrolidine-Containing Polycyclic Compounds
Abstract
1. Introduction
2. Intermolecular [3+2] Cycloadditions
3. Intramolecular Cycloadditions
4. Double Intermolecular [3+2] Cycloadditions
4.1. Double Cycloadditions for Tetracyclic Pyrrolizidines
4.2. Double Cycloaddition for Bispiro[Oxindole-Pyrrolidine]s
5. Cyclization and Intramolecular Cycloaddition Reactions
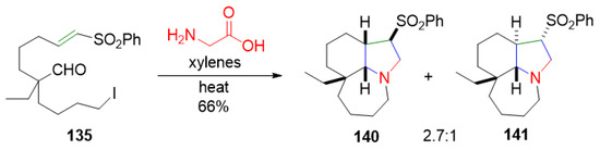
5.1. Synthesis of Aspidosperma Alkaloids
5.2. Synthesis Tricyclic Core of Meloscine and Scandine
5.3. Synthesis Tricyclic Core of Stemona Alkaloids
5.4. Synthesis of Bridged Tricyclic Core of Daphniphyllum Alkaloids
6. Conclusions
Author Contributions
Funding
Conflicts of Interest
References
- Ha, H.J. Recent advances in synthesizing and utilizing nitrogen-containing heterocycles. Front. Chem. 2023, 11, 1279418. [Google Scholar] [CrossRef] [PubMed]
- Feng, J.; Geng, W.C.; Jiang, H.; Wu, B. Recent advances in biocatalysis of nitrogen-containing heterocycles. Biotechnol. Adv. 2022, 54, 107813. [Google Scholar] [CrossRef]
- Poyraz, S.; Dondas, H.A.; Dondas, N.Y.; Sansano, J.M. Recent insights about pyrrolidine core skeletons in pharmacology. Front. Pharmacol. 2023, 14, 1239658. [Google Scholar] [CrossRef] [PubMed]
- Lamkadem, M.; Melhaoui, A.; Mimouni, J.; Fontonge, R. Cytotoxic effect and electrophysiologic activity of (R)-bgugaine, an alkylpyrrolidine alkaloid against MRC-5 fibroblasts. Toxicon 2001, 39, 485–490. [Google Scholar] [CrossRef] [PubMed]
- Tsuda, M.; Sasaki, M.; Mugishima, T.; Komatsu, K.; Sone, T.; Tanaka, M.; Mikami, Y.; Kobayashi, J. Scalusamides A−C new pyrrolidine alkaloids from the marine-derived fungus Penicillium citrinum. J. Nat. Prod. 2005, 68, 273–276. [Google Scholar] [CrossRef] [PubMed]
- Dharuman, S.; Palanivel, A.K.; Vankar, Y.D. An easy route to synthetic analogues of radicamine B, codonopsine and codonopsinine from d-mannitol. Org. Biomol. Chem. 2014, 12, 4983–4998. [Google Scholar] [CrossRef]
- Petri, L.G.; Raimondi, M.V.; Spano, V.; Holl, R.; Barraja, P.; Montalbano, A. Pyrrolidine in drug discovery: A versatile scaffold for novel biologically active compounds. Top Curr. Chem. 2021, 379, 34. [Google Scholar] [CrossRef]
- Tong, L.Y.; Deng, Y.B.; Du, W.H.; Zhou, W.Z.; Liao, X.Y.; Jiang, X. Clemastine promotes differentiation of oligodendrocyte progenitor cells through the activation of ERK1/2 via muscarinic receptors after spinal cord injury. Front. Pharmacol. 2022, 13, 914153. [Google Scholar] [CrossRef]
- Chen, Y.; Sheng, J.; Tang, X.; Zhao, Y.; Zhu, S.; Liu, Q. Clemastine rescues chemotherapy-induced cognitive impairment by improving white matter integrity. Neuroscience 2022, 484, 66–79. [Google Scholar] [CrossRef]
- Ettinger, U.; Kumari, V.; Zachariah, E.; Galea, A.; Crawford, T.J.; Corr, P.J.; Taylor, D.; Das, M.; Sharma, T. Effects of procyclidine on eye movements in schizophrenia. Neuropsychopharmacology 2003, 28, 2199–2208. [Google Scholar] [CrossRef]
- Li, W.; Yang, X.; Chen, Q.; Wang, Z.; Duan, Y.; Chen, L. Monitoring levetiracetam concentration in saliva during pregnancy is stable and feasible. CNS Neurosci. Ther. 2024, 30, e14827. [Google Scholar] [CrossRef] [PubMed]
- Wei, Y.L.; Lei, Y.Q.; Ye, Z.J.; Zhuang, X.D.; Zhu, L.P.; Wang, X.R.; Cao, H. Effects of bepridil on early cardiac development of zebrafish. Cell Tissue Res. 2023, 391, 375–391. [Google Scholar] [CrossRef] [PubMed]
- Conte, M.S. Buflomedil in peripheral arterial disease: Trials and tribulations. Circulation 2008, 117, 717–719. [Google Scholar] [CrossRef] [PubMed][Green Version]
- Manescalchi, F.; Nardi, A.R.; Savoia, D. Reductive amination of 1,4- and 1,5-dicarbonyl compounds with (S)-valine methyl ester. Synthesis of (S)-2-phenylpyrrolidine and (S)-2-phenylpiperidine. Tetrahedron Lett. 1994, 35, 2775–2778. [Google Scholar] [CrossRef]
- Liu, Y.; Diao, H.; Hong, G.; Edward, J.; Zhang, T.; Yang, G.; Yang, B.M.; Zhao, Y. Iridium-catalyzed enantioconvergent borrowing hydrogen annulation of racemic 1,4-diols with amines. J. Am. Chem. Soc. 2023, 145, 5007–5016. [Google Scholar] [CrossRef]
- Carballo, R.M.; Purino, M.; Ramirez, M.A.; Martin, V.S.; Padron, J.I. Iron(III)-catalyzed consecutive aza-Cope−Mannich cyclization: Synthesis of trans-3,5-dialkyl pyrrolidines and 3,5-dialkyl-2,5-dihydro-1H-pyrroles. Org. Lett. 2010, 12, 5334–5337. [Google Scholar] [CrossRef]
- Hou, G.H.; Xie, J.H.; Yan, P.C.; Zhou, Q.L. Iridium-catalyzed asymmetric hydrogenation of cyclic enamines. J. Am. Chem. Soc. 2009, 131, 1366–1367. [Google Scholar] [CrossRef]
- Pantaine, L.R.E.; Milligan, J.A.; Matsui, J.K.; Kelly, C.B.; Molander, G.A. Photoredox radical/polar crossover enables construction of saturated nitrogen heterocycles. Org. Lett. 2019, 21, 2317–2321. [Google Scholar] [CrossRef]
- Michael, F.E.; Cochran, B.M. Room temperature palladium-catalyzed intramolecular hydroamination of unactivated alkenes. J. Am. Chem. Soc. 2006, 128, 4246–4247. [Google Scholar] [CrossRef]
- Saito, S.; Tsubogo, T.; Kobayashi, S. Chiral calcium complexes as Brønsted base catalysts for asymmetric addition of α-amino acid derivatives to α, β-unsaturated carbonyl compounds. J. Am. Chem. Soc. 2007, 129, 5364–5365. [Google Scholar] [CrossRef]
- Chen, Z.; Zhong, W.; Liu, S.; Zou, T.; Zhang, K.; Gong, C.; Guo, W.; Kong, F.; Nie, L.; Hu, S.; et al. Highly stereodivergent synthesis of chiral C4-ester-quaternary pyrrolidines: A strategy for the total synthesis of spirotryprostatin A. Org. Lett. 2023, 25, 3391–3396. [Google Scholar] [CrossRef] [PubMed]
- Zhang, X.; Ma, X.; Zhang, W. Decarboxylative 1,3-dipolar cycloaddition of amino acids for the synthesis of heterocyclic compounds. Beilstein J. Org. Chem. 2023, 19, 1677–1693. [Google Scholar] [CrossRef] [PubMed]
- Zhang, W.; Yi, W.-B. Pot, Atom, and Step Economy (PASE) Synthesis. In Springerbriefs in Green Chemistry for Sustainability; Springer: Berlin/Heidelberg, Germany, 2019. [Google Scholar]
- Wiesner, J. Regulatory perspectives of pyrrolizidine alkaloid contamination in herbal medicinal products. Planta Med. 2022, 88, 118–124. [Google Scholar] [CrossRef] [PubMed]
- Ziarani, M.G.; Jamasbi, N.; Mohajer, F. Recent advances on the synthesis of natural pyrrolizidine alkaloids: Alexine, and its stereoisomers. Nat. Prod. Bioprospect. 2022, 12, 3. [Google Scholar] [CrossRef]
- Al-Subaie, S.F.A.; Alowaifeer, M.; Mohamed, M.E. Pyrrolizidine alkaloid extraction and analysis: Recent updates. Foods 2022, 11, 3873. [Google Scholar] [CrossRef]
- Zhang, J.; Morris-Natschke, S.L.; Ma, D.; Shang, X.F.; Yang, C.J.; Liu, Y.Q.; Lee, K.H. Biologically active indolizidine alkaloids. Med. Res. Rev. 2021, 41, 928–960. [Google Scholar] [CrossRef]
- Michael, J.P. Indolizidine and quinolizidine alkaloids. Nat. Prod. Rep. 2008, 25, 139–165. [Google Scholar] [CrossRef]
- Klochkov, S.; Neganova, M. Unique indolizidine alkaloid securinine is a promising scaffold for the development of neuroprotective and antitumor drugs. RSC Adv. 2021, 11, 19185–19195. [Google Scholar] [CrossRef]
- Donohoe, T.J.; Thomas, R.E.; Cheeseman, M.D.; Rigby, C.L.; Bhalay, G.; Linney, I.D. Flexible strategy for the synthesis of pyrrolizidine alkaloids. Org. Lett. 2008, 10, 3615–3618. [Google Scholar] [CrossRef]
- Kauloorkar, S.V.; Jha, V.; Jogdand, G.; Kumar, P. A stereoselective approach to indolizidine and pyrrolizidine alkaloids: Total synthesis of (−)-lentiginosine, (−)-epi-lentiginosine and (−)-dihydroxypyrrolizidine. Org. Biomol. Chem. 2014, 12, 4454–4460. [Google Scholar] [CrossRef]
- Abels, F.; Lindemann, C.; Koch, E.; Schneider, C. A general organocatalytic approach toward the enantioselective total synthesis of indolizidine based alkaloids. Org. Lett. 2012, 14, 5972–5975. [Google Scholar] [CrossRef] [PubMed]
- Angle, S.R.; Kim, M. A general approach to 3-n-butyl-5-alkylindolizidines: total synthesis of (−)-indolizidine 195B. J. Org. Chem. 2007, 72, 8791–8796. [Google Scholar] [CrossRef] [PubMed]
- Davis, F.A.; Yang, B. Asymmetric synthesis of α-substituted β-amino ketones from sulfinimines (N-sulfinyl imines). synthesis of the indolizidine alkaloid (−)-223A. J. Am. Chem. Soc. 2005, 127, 8398–8407. [Google Scholar] [CrossRef] [PubMed]
- Lertpibulpanya, D.; Marsden, S.P. Concise access to indolizidine and pyrroloazepine skeleta via intramolecular Schmidt reactions of azido 1,3-diketones. Org. Biomol. Chem. 2006, 4, 3498–3504. [Google Scholar] [CrossRef] [PubMed]
- Coldham, I.; Jana, S.; Watson, L.; Pilgram, C.D. Cascade cyclization intermolecular dipolar cycloaddition by multi-component couplings—Synthesis of indolizidines and pyrrolizidines. Tetrahedron Lett. 2008, 49, 5408–5410. [Google Scholar] [CrossRef]
- Burrell, A.J.; Coldham, I.; Watson, L.; Oram, N.; Pilgram, C.D.; Martin, N.G. Stereoselective formation of fused tricyclic amines from acyclic aldehydes by a cascade process involving condensation, cyclization, and dipolar cycloaddition. J. Org. Chem. 2009, 74, 2290–2300. [Google Scholar] [CrossRef]
- Yu, W.; Deng, Y.; Sloman, D.; Li, D.; Liu, K.; Fradera, X.; Lesburg, C.A.; Martinot, T.; Doty, A.; Ferguson, H.; et al. Discovery of IDO1 inhibitors containing a decahydroquinoline, decahydro-1, 6-naphthyridine, or octahydro-1H-pyrrolo [3, 2-c] pyridine scaffold. Bioorg. Med. Chem. Lett. 2021, 49, 128314. [Google Scholar] [CrossRef]
- Fuertes, M.J.; Kaur, J.; Deb, P.; Cooperman, B.S.; Smith, A.B., III. Design, synthesis, and evaluation of octahydropyranopyrrole-based inhibitors of mammalian ribonucleotide reductase. Bioorganic Med. Chem. Lett. 2005, 15, 5146–5149. [Google Scholar] [CrossRef]
- Pappoppula, M.; Aponick, A. Enantioselective total synthesis of (−)-martinellic acid. Angew. Chem. Int. Ed. Engl. 2015, 54, 15827–15830. [Google Scholar] [CrossRef]
- Haarr, M.B.; Sydnes, M.O. Synthesis of the hexahydropyrrolo-[3,2-c]-quinoline core structure and strategies for further elaboration to martinelline, martinellic acid, incargranine B, and seneciobipyrrolidine. Molecules 2021, 26, 341. [Google Scholar] [CrossRef]
- Che, J.; Ma, C.; Lu, J.; Chen, B.; Shi, Q.; Jin, X.; Song, R.; Xu, F.; Gan, L.; Li, J.; et al. Discovery of seneciobipyrrolidine derivatives for the amelioration of glucose homeostasis disorders through 4E-BP1/Akt/AMPK signaling activation. Eur. J. Med. Chem. 2022, 228, 113954. [Google Scholar] [CrossRef] [PubMed]
- Habermann, J.; Capito, E.; Mdel, F.R.; Koch, U.; Narjes, F. Discovery of pentacyclic compounds as potent inhibitors of hepatitis C virus NS5B RNA polymerase. Bioorg. Med. Chem. Lett. 2009, 19, 633–638. [Google Scholar] [CrossRef] [PubMed]
- Marco, D.S.; Volpari, C.; Tomei, L.; Altamura, S.; Harper, S.; Narjes, F.; Koch, U.; Rowley, M.; Francesco, D.R.; Migliaccio, G.; et al. Interdomain communication in hepatitis C virus polymerase abolished by small molecule inhibitors bound to a novel allosteric site. J. Biol. Chem. 2005, 280, 29765–29770. [Google Scholar] [CrossRef] [PubMed]
- Ikegashira, K.; Oka, T.; Hirashima, S.; Noji, S.; Yamanaka, H.; Hara, Y.; Adachi, T.; Tsuruha, J.; Doi, S.; Hase, Y.; et al. Discovery of conformationally constrained tetracyclic compounds as potent hepatitis C virus NS5B RNA polymerase inhibitors. J. Med. Chem. 2006, 49, 6950–6953. [Google Scholar] [CrossRef] [PubMed]
- Hirashima, S.; Oka, T.; Ikegashira, K.; Noji, S.; Yamanaka, H.; Hara, Y.; Goto, H.; Mizojiri, R.; Niwa, Y.; Noguchi, T.; et al. Further studies on hepatitis C virus NS5B RNA-dependent RNA polymerase inhibitors toward improved replicon cell activities: Benzimidazole and structurally related compounds bearing the 2-morpholinophenyl moiety. Bioorg. Med. Chem. Lett. 2007, 17, 3181–3186. [Google Scholar] [CrossRef]
- Poornachandran, M.; Raghunathan, R. A novel entry into 1-methyl- and 1-aryl-octahydropyrrolo[3,4-b]pyrroles and their N-1–C-2 fused derivatives: Stereoselective synthesis via an intramolecular azomethine ylide cycloaddition reaction. Tetrahedron Lett. 2005, 46, 7197. [Google Scholar] [CrossRef]
- Silva, N.H.; Dahdah, A.; Blanch, E.W.; Hugel, H.M.; Maniam, S. Regioselective pyrrolizidine bis-spirooxindoles as efficient anti-amyloidogenic agents. Eur. J. Med. Chem. 2022, 240, 114566. [Google Scholar] [CrossRef]
- Rivas-Loaiza, J.A.; Baj, A.; Lopez, Y.; Witkowski, S.; Wojtkielewicz, A.; Morzycki, J.W. Synthesis of solanum alkaloid demissidine stereoisomers and analogues. J. Org. Chem. 2021, 86, 1575–1582. [Google Scholar] [CrossRef]
- Paniagua-Perez, R.; Madrigal-Bujaidar, E.; Reyes-Cadena, S.; Molina-Jasso, D.; Gallaga, J.P.; Silva-Miranda, A.; Velazco, O.; Hernandez, N.; Chamorro, G. Genotoxic and cytotoxic studies of beta-sitosterol and pteropodine in mouse. J. Biomed. Biotechnol. 2005, 2005, 242–247. [Google Scholar] [CrossRef]
- Ma, Y.M.; Miao, X.; Jia, B.; Sun, Z.Y.; Ma, S.Y.; Yan, C. Design, synthesis, antifungal evaluation, structure–activity relationship (SAR) study, and molecular docking of novel spirotryprostatin A derivatives. Molecules 2024, 29, 864. [Google Scholar] [CrossRef]
- Hu, J.; Niu, Z.X.; Wang, J.F. Recent advances in the total synthesis of spirotryprostatin alkaloids. Molecules 2024, 29, 1655. [Google Scholar] [CrossRef] [PubMed]
- Zhang, X.; Qiu, W.; Evans, J.; Kaur, M.; Jasinski, J.P.; Zhang, W. Double 1,3-dipolar cycloadditions of two nonstabilized azomethine ylides for polycyclic pyrrolidines. Org. Lett. 2019, 21, 2176–2179. [Google Scholar] [CrossRef] [PubMed]
- Zhang, X.; Qiu, W.; Murray, S.A.; Zhan, D.; Evans, J.; Jasinski, J.P.; Wang, X.; Zhang, W. Pseudo-five-component reaction for diastereoselective synthesis of butterfly shaped bispiro[oxindole-pyrrolidine]s. J. Org. Chem. 2021, 86, 17395–17403. [Google Scholar] [CrossRef]
- Li, J.; Ye, H.Y.; Zhang, Y. Cycloaddition/annulation strategies for the construction of multisubstituted pyrrolidines and their applications in natural product synthesis. Org. Chem. Front. 2018, 5, 864–892. [Google Scholar] [CrossRef]
- Coldham, I.; Burrell, A.J.; White, L.E.; Adams, H.; Oram, N. Highly efficient synthesis of tricyclic amines by a cyclization/cycloaddition cascade: Total syntheses of aspidospermine, aspidospermidine, and quebrachamine. Angew. Chem. Int. Ed. Engl. 2007, 46, 6159–6162. [Google Scholar] [CrossRef]
- Coldham, I.; Burrell, A.J.; Guerrand, H.D.; Watson, L.; Martin, N.G.; Oram, N. Synthesis of fused tricyclic amines unsubstituted at the ring-junction positions by a cascade condensation, cyclization, cycloaddition then decarbonylation strategy. Beilstein J. Org. Chem. 2012, 8, 107–111. [Google Scholar] [CrossRef]
- Burrell, A.J.; Watson, L.; Martin, N.G.; Oram, N.; Coldham, I. Synthesis of the core ring system of the stemona alkaloids by cascade condensation, cyclization, intramolecular cycloaddition. Org. Biomol. Chem. 2010, 8, 4530–4532. [Google Scholar] [CrossRef]
- Coldham, I.; Burrell, A.J.; Guerrand, H.D.; Oram, N. Cascade cyclization, dipolar cycloaddition to bridged tricyclic amines related to the daphniphyllum alkaloids. Org. Lett. 2011, 13, 1267–1269. [Google Scholar] [CrossRef]





































Disclaimer/Publisher’s Note: The statements, opinions and data contained in all publications are solely those of the individual author(s) and contributor(s) and not of MDPI and/or the editor(s). MDPI and/or the editor(s) disclaim responsibility for any injury to people or property resulting from any ideas, methods, instructions or products referred to in the content. |
© 2024 by the authors. Licensee MDPI, Basel, Switzerland. This article is an open access article distributed under the terms and conditions of the Creative Commons Attribution (CC BY) license (https://creativecommons.org/licenses/by/4.0/).
Share and Cite
Zhou, T.; Zhang, X.; Zhan, D.; Zhang, W. Glycine-Based [3+2] Cycloaddition for the Synthesis of Pyrrolidine-Containing Polycyclic Compounds. Molecules 2024, 29, 5726. https://doi.org/10.3390/molecules29235726
Zhou T, Zhang X, Zhan D, Zhang W. Glycine-Based [3+2] Cycloaddition for the Synthesis of Pyrrolidine-Containing Polycyclic Compounds. Molecules. 2024; 29(23):5726. https://doi.org/10.3390/molecules29235726
Chicago/Turabian StyleZhou, Tieli, Xiaofeng Zhang, Desheng Zhan, and Wei Zhang. 2024. "Glycine-Based [3+2] Cycloaddition for the Synthesis of Pyrrolidine-Containing Polycyclic Compounds" Molecules 29, no. 23: 5726. https://doi.org/10.3390/molecules29235726
APA StyleZhou, T., Zhang, X., Zhan, D., & Zhang, W. (2024). Glycine-Based [3+2] Cycloaddition for the Synthesis of Pyrrolidine-Containing Polycyclic Compounds. Molecules, 29(23), 5726. https://doi.org/10.3390/molecules29235726

