Synthesis of Antimicrobial Norlabdane Compounds with Rearranged Cycle B and Molecular Docking Studies
Abstract
1. Introduction
2. Results and Discussion
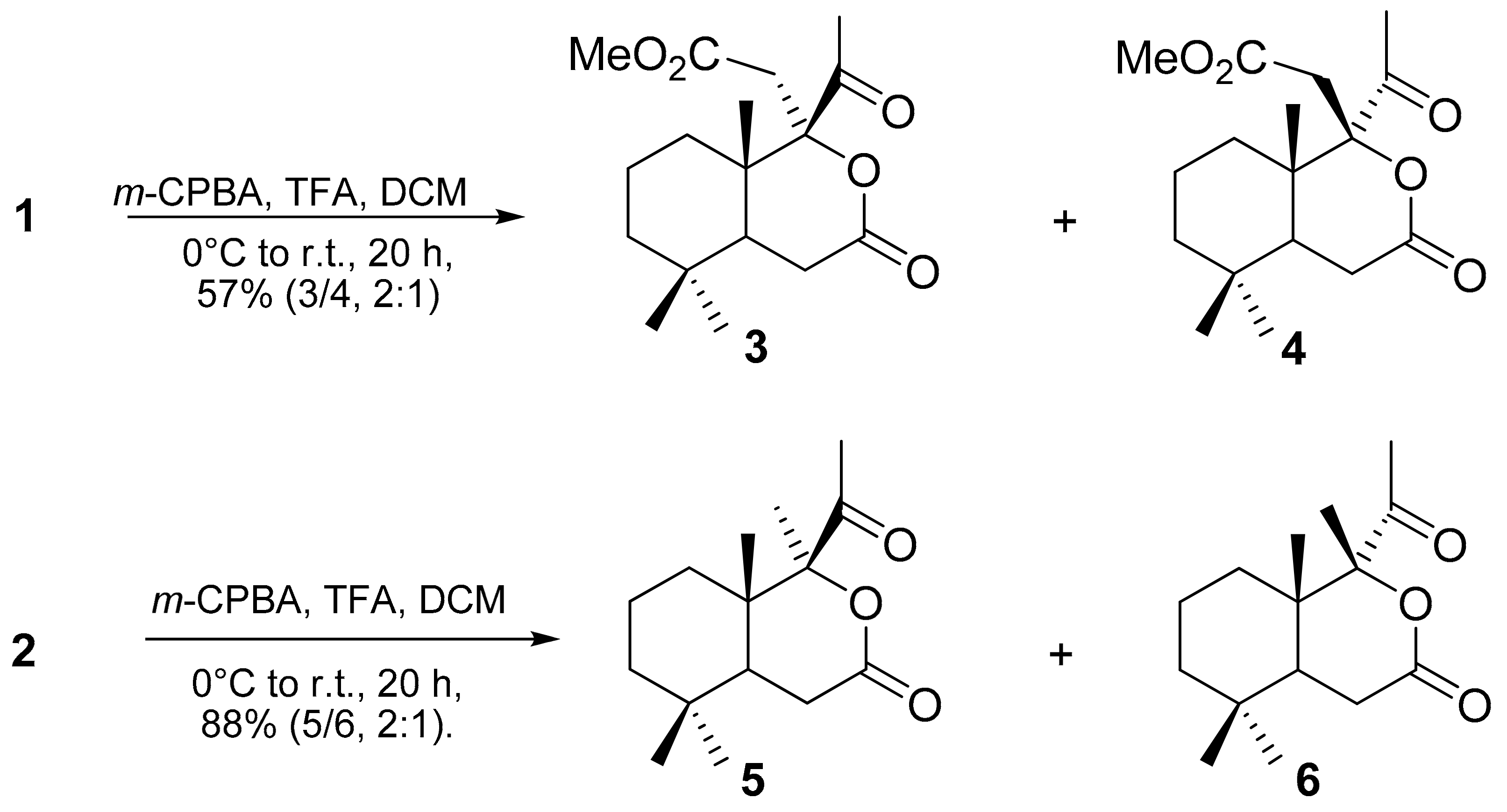
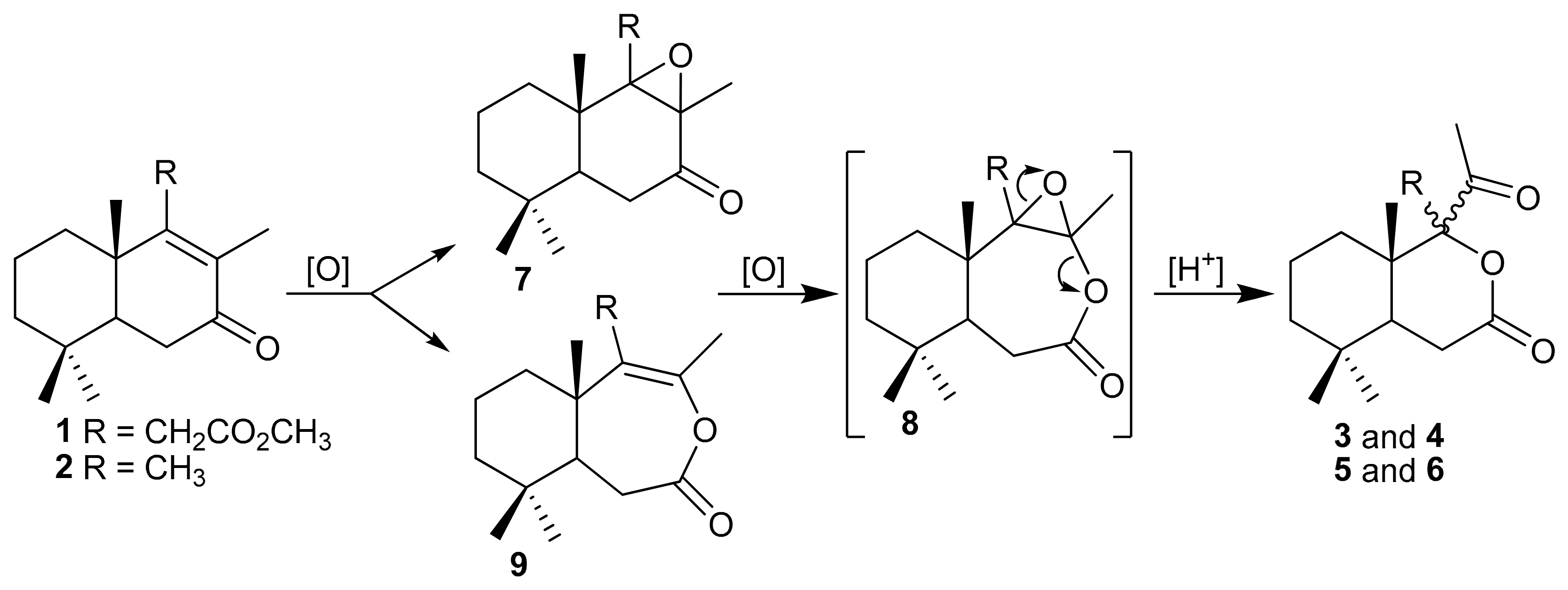
2.1. Synthesis
2.2. Single-Crystal X-Ray Diffraction Study
2.3. Antimicrobial Activity
2.4. DFT Study of the Structure of Compounds 3 and 4
2.5. Molecular Docking of Compounds 3 and 4
3. Materials and Methods
3.1. General Procedure of Baeyer–Villiger Oxidation of Ketones 1 and 2
3.2. Crystallographic Studies
3.3. Antifungal and Antibacterial Activity Assay
3.4. DFT Calculations
3.5. Molecular Docking
4. Conclusions
Supplementary Materials
Author Contributions
Funding
Institutional Review Board Statement
Informed Consent Statement
Data Availability Statement
Conflicts of Interest
References
- Fraga, B.M. Natural sesquiperpenpids. Nat. Prod. Rep. 2013, 30, 1226–1264. [Google Scholar] [CrossRef] [PubMed]
- Barrero, A.F.; Manzaneda, E.A.; Altarejos, J.; Salido, S.; Ramos, J.M.; Simmonds, M.S.J.; Blaney, W.M. Synthesis of biologically active drimanes and homodrimanes from (−)-sclareol. Tetrahedron 1995, 51, 7435–7450. [Google Scholar] [CrossRef]
- Koltsa, M.N.; Mironov, G.N.; Malinovskii, S.T.; Vlad, P.F. Synthesis of drim-8(9)-en-7-one, drima-5,8(9)-dien-7-one and their 11,12-dibromo derivatives from norambreinolide. Russ. Chem. Bull. 1996, 45, 208–214. [Google Scholar] [CrossRef]
- D’Ambrosio, M.; Guerriero, A.; Deharo, E.; Debitus, C.; Munoz, V.; Pietra, F. New Types of Potentially Antimalarial Agents: Epidioxy-substituted norditerpene and norsesterpenes from the marine sponge Diacarnus levii. Helv. Chim. Acta 1998, 81, 1285–1292. [Google Scholar] [CrossRef]
- Vlad, P.F.; Popa, D.P.; Gorincioi, E.K.; Coltsa, M.N.; Mironov, G.N. Synthesis of 11-hydroxydrim-8(9)-en-7-one and 11,12-dihydroxydrim-8(9)-en-7-one from drim-8(9)-en-7-one. Russ. Chem. Bull. 2000, 49, 98–101. [Google Scholar] [CrossRef]
- Vlad, P.F.; Gorincioi, E.K.; Coltsa, M.N. Synthesis of 5,6-dehydro-7-oxoisodrimenin from drim-8-en-7-one. Russ. Chem. Bull. 2003, 52, 502–504. [Google Scholar] [CrossRef]
- Vlad, P.F.; Aryku, A.N.; Ciocarlan, A.G. Synthesis of (+)-drim-9(11)-en-8-ol from sclareol. Russ. Chem. Bull. 2004, 53, 443–446. [Google Scholar] [CrossRef]
- Vlad, P.F.; Coltsa, M.N.; Aricu, A.N.; Ciocarlan, A.G.; Gorincioi, E.C.; Edu, C.G.; Deleanu, C. Photooxidative dehydrogenation of Δ8-drimen-and Δ8-11-homodrimen-7-ones into α,α′-dienones. Russ. Chem. Bull. 2006, 55, 703–707. [Google Scholar] [CrossRef]
- Vlad, P.F.; Ciocarlan, A.G.; Coltsa, M.N.; Baranovsky, A.V.; Khripach, N.B. Synthesis of drim-7,9(11)-diene and its hydroxylated derivatives. Synth. Commun. 2008, 38, 3960–3972. [Google Scholar] [CrossRef]
- Vlad, P.F.; Edu, K.; Koltsa, M.N.; Chocyrlan, A.; Nikolescu, A.; Delyanu, K. Enantioselective synthesis of 11-homodrim-7-en-9α,12,13-triol. Chem. Nat. Compd. 2011, 47, 574–578. [Google Scholar] [CrossRef]
- Ciocarlan, A.; Aricu, A.; Lungu, L.; Edu, C.; Barba, A.; Shova, S.; Mangalagiu, I.I.; D’Ambrosio, M.; Nicolescu, A.; Deleanu, C.; et al. Synthesis of novel tetranorlabdane derivatives with unprecedented carbon skeleton. Synlett 2017, 28, 565–571. [Google Scholar] [CrossRef]
- Aricu, A.; Ciocarlan, A.; Lungu, L.; Shova, S.; Zbancioc, G.; Mangalagiu, I.I.; D’Ambrosio, M.; Vornicu, N. Synthesis, antibacterial, and antifungal activities of new drimane sesquiterpenoids with azaheterocyclic units. Med. Chem. Res. 2016, 25, 2316–2323. [Google Scholar] [CrossRef]
- Lungu, L.; Cucicova, C.; Blaja, S.; Ciocarlan, A.; Dragalin, I.; Barba, A.; Vornicu, N.; Geana, E.-I.; Mangalagiu, I.I.; Aricu, A. Synthesis of homodrimane sesquiterpenoids earing 1,3-benzothiazole unit and their antimicrobial activity evaluation. Molecules 2022, 27, 5082. [Google Scholar] [CrossRef] [PubMed]
- Lungu, L.; Blaja, S.; Cucicova, C.; Ciocarlan, A.; Barba, A.; Kulcițki, V.; Shova, S.; Vornicu, N.; Geana, E.-I.; Mangalagiu, I.I.; et al. Synthesis and antimicrobial activity evaluation of homodrimane sesquiterpenoids with a benzimidazole Unit. Molecules 2023, 28, 933. [Google Scholar] [CrossRef]
- Secara, E. Synthesis of new drimane and homodrimane lactams by beckmann rearrangement of some ketoximes. Chem. J. Mold. 2016, 11, 50–54. [Google Scholar] [CrossRef]
- Aasen, A.J.; Vogt, C.H.G.; Enzel, C.R. Tobaco Chemistry. 28. Structure and synthesis of drim-8-en-7-one, a new tobacco constituent. Acta Chem. Scand. 1975, B29, 51–55. [Google Scholar] [CrossRef][Green Version]
- Vlad, P.F.; Vorob’eva, E.A. Synthesis of drim-8-en-7-one. Chem. Nat. Compd. 1983, 19, 139–141. [Google Scholar] [CrossRef]
- Ciocarlan, A.; Lungu, L.; Blaja, S.; Dragalin, I.; Aricu, A. The use of some non-conventional methods in chemistry of bicyclohomofarnesenic methyl esters. Chem. J. Mold. 2020, 15, 69–77. [Google Scholar] [CrossRef]
- Renz, M.; Meunier, B. 100 Years of Baeyer–Villiger Oxidations. Eur. J. Org. Chem. 1999, 4, 737–750. [Google Scholar] [CrossRef]
- Koch, S.S.C.; Chamberlin, A.R. Modified conditions for efficient Baeyer-Villiger oxidation with m-CPBA. Synth. Commun. 1989, 19, 829–833. [Google Scholar] [CrossRef]
- Mendelovich, M.; Glotter, E. Epoxidation and Baeyer–Villiger oxidation of γ-hydroxy-α,β-unsaturated ketones on exposure to m-chloroperbenzoic acid. J. Chem. Soc. Perkin Trans. 1 1992, 1, 1735–1740. [Google Scholar] [CrossRef]
- Rigaku Oxford Diffraction. CrysAlisPro Software System; Version 1.171.41.64; Rigaku Corporation: Oxford, UK, 2015. [Google Scholar]
- Sheldrick, G.M. SHELXT–Integrated space-group and crystal-structure determination. Acta Cryst. Sect. A 2015, 71, 3–8. [Google Scholar] [CrossRef] [PubMed]
- Sheldrick, G.M. Crystal structure refinement with SHELXL. Acta Cryst. Sect. C 2015, 71, 3–8. [Google Scholar] [CrossRef] [PubMed]
- Dolomanov, O.V.; Bourhis, L.J.; Gildea, R.J.; Howard, J.A.K.; Puschmann, H. OLEX2: A complete structure solution, refinement and analysis program. J. Appl. Crystallogr. 2009, 42, 339–341. [Google Scholar] [CrossRef]
- Russell, A.D. Antibiotic and biocide resistance in bacteria: Introduction. J. Appl. Microbiol. 2002, 92, 1S–3S. [Google Scholar] [CrossRef]
- Kiehlbauch, J.A.; Hannett, G.E.; Salfinger, M.; Archinal, W.; Monserrat, C.; Carlyn, C. Use of the national committee for clinical laboratory standards guidelines for disk diffusion susceptibility testing in New York State laboratories. J. Clin. Microbiol. 2000, 38, 3341–3348. [Google Scholar] [CrossRef] [PubMed] [PubMed Central]
- Neese, F.; Wennmohs, F.; Becker, U.; Riplinger, C. The ORCA quantum chemistry program package. J. Chem. Phys. 2020, 152, 224108. [Google Scholar] [CrossRef]
- Grimme, S.; Hansen, A.; Brandenburg, J.G.; Bannwarth, C. Dispersion-Corrected Mean-Field Electronic Structure Methods. Chem. Rev. 2016, 116, 5105–5154. [Google Scholar] [CrossRef]
- Forli, S.; Huey, R.; Pique, M.E.; Sanner, M.F.; Goodsell, D.S.; Olson, A. Computational protein-ligand docking and virtual drug screening with the AutoDock suite. J. Nat. Protoc. 2016, 11, 905–919. [Google Scholar] [CrossRef]
- Trott, O.; Olson, A.J. AutoDock Vina: Improving the speed and accuracy of docking with a new scoring function, efficient optimization, and multithreading. J. Comput. Chem. 2010, 31, 455–461. [Google Scholar] [CrossRef]








| Sample | MIC (µg/mL) | ||||
|---|---|---|---|---|---|
| Aspergillus niger | Penicillium frequentans | Alternaria alternate | Bacillus polymyxa | Pseudomonas aeruginosa | |
| 1/2 | >128 | >128 | >128 | >128 | >128 |
| 3/4 | 0.064 (±0.035) | 0.064 (±0.035) | 0.064 (±0.035) | 2.0 (±0.060) | 2.0 (±0.060) |
| Caspofungin * | 0.38 | 0.38 | 0.38 | - | - |
| Kanamycin * | - | - | - | 2.0 | 2.0 |
| Compound | Calculated Binding Energy (kcal/mol) | |||
|---|---|---|---|---|
| E. coli DNA Girase, 1KZN | P. aeruginosa FabZ, 1U1Z | C. albicans Dihidrofolate Reductase, 3QLS | E. coli MurB, 2Q85 | |
| 3 | −6.6 | −7.7 | −6.7 | −7.1 |
| 4 | −6.2 | −7.7 | −6.4 | −6.4 |
| Caspofungin | −6.1 | −7.3 | −7.7 | −6.8 |
| Kanamycin | −6.8 | −8.0 | −7.6 | −8.1 |
| Protein | Compound 3 | Compound 4 | ||
|---|---|---|---|---|
| Type of Bonding | Amino Acid Residues | Type of Bonding | Amino Acid Residues | |
| 3QLS | Hydrogen bond | ASN5 ~2.3 Å | Hydrogen bond | ASN5 ~2.2 Å and ~2.8 Å |
| ASN83 ~2.9 Å | ASN83 ~2.8 Å | |||
| SER95 ~2.7 Å | SER94 ~2.1 Å | |||
| SER98 ~2.3 Å | SER98 ~2.4 Å | |||
| Carbon–hydrogen bond | PRO4 ~3.5 Å | Carbon-hydrogen bond | GLU82 ~3.6 Å | |
| SER95 ~3.7 Å | ||||
| Hydrophobic (alkyl) | ARG108 ~4.5 Å | |||
| 2Q85 | Hydrogen bond | ARG159 ~2.6 Å and ~1.8 Å | Hydrogen bond | ARG159 ~2.8 ÅSER229 ~2.2 Å |
| SER229 ~2.4 Å | ||||
| ASN233 ~2.0 Å | ||||
| Hydrophobic (alkyl) | ALA124 ~4.2 Å | Hydrophobic (alkyl) | LEU218 ~4.4 Å | |
| Carbon-hydrogen bond | PHE231 ~3.5 Å | |||
| GLU325 ~3.5 Å | ||||
| 1U1Z | Hydrogen bond | TYR15 ~2.4 Å and ~2.5 Å | Hydrogen bond | TYR15 ~2.0 Å and ~1.9 Å |
| Carbon–hydrogen bond | TYR15 ~3.7 Å | Carbon-hydrogen bond | PRO44 ~3.6 Å | |
| Hydrophobic (Pi-alkyl) | TYR15 ~5.3 Å | Hydrophobic (Pi-alkyl) | TYR15 ~5.6 Å | |
| 1KZN | Hydrogen bond | ARG76 ~3.0 Å | Hydrogen bond | ASN46 ~2.0 ÅTHR165 ~2.4 Å |
| ARG136 ~3.0 Å | ||||
| THR165 ~2.4 Å | ||||
| Hydrophobic (alkyl) | ILE78 ~5.1 Å | Carbon-hydrogen bond | ILE78 ~3.4 Å | |
| ILE90 ~5.0 Å | PRO79 ~3.3 Å | |||
Disclaimer/Publisher’s Note: The statements, opinions and data contained in all publications are solely those of the individual author(s) and contributor(s) and not of MDPI and/or the editor(s). MDPI and/or the editor(s) disclaim responsibility for any injury to people or property resulting from any ideas, methods, instructions or products referred to in the content. |
© 2024 by the authors. Licensee MDPI, Basel, Switzerland. This article is an open access article distributed under the terms and conditions of the Creative Commons Attribution (CC BY) license (https://creativecommons.org/licenses/by/4.0/).
Share and Cite
Ciocarlan, A.; Lungu, L.; Shova, S.; Vornicu, N.; Bolocan, N.; Kulcitki, V.; Aricu, A. Synthesis of Antimicrobial Norlabdane Compounds with Rearranged Cycle B and Molecular Docking Studies. Molecules 2024, 29, 5714. https://doi.org/10.3390/molecules29235714
Ciocarlan A, Lungu L, Shova S, Vornicu N, Bolocan N, Kulcitki V, Aricu A. Synthesis of Antimicrobial Norlabdane Compounds with Rearranged Cycle B and Molecular Docking Studies. Molecules. 2024; 29(23):5714. https://doi.org/10.3390/molecules29235714
Chicago/Turabian StyleCiocarlan, Alexandru, Lidia Lungu, Sergiu Shova, Nicoleta Vornicu, Natalia Bolocan, Veaceslav Kulcitki, and Aculina Aricu. 2024. "Synthesis of Antimicrobial Norlabdane Compounds with Rearranged Cycle B and Molecular Docking Studies" Molecules 29, no. 23: 5714. https://doi.org/10.3390/molecules29235714
APA StyleCiocarlan, A., Lungu, L., Shova, S., Vornicu, N., Bolocan, N., Kulcitki, V., & Aricu, A. (2024). Synthesis of Antimicrobial Norlabdane Compounds with Rearranged Cycle B and Molecular Docking Studies. Molecules, 29(23), 5714. https://doi.org/10.3390/molecules29235714

