Preparation and Piezocatalytic Performance of γ-AlON Particles for Dye-Pollutant Degradation Under Ultrasonic Vibration
Abstract
1. Introduction
2. Results and Discussion
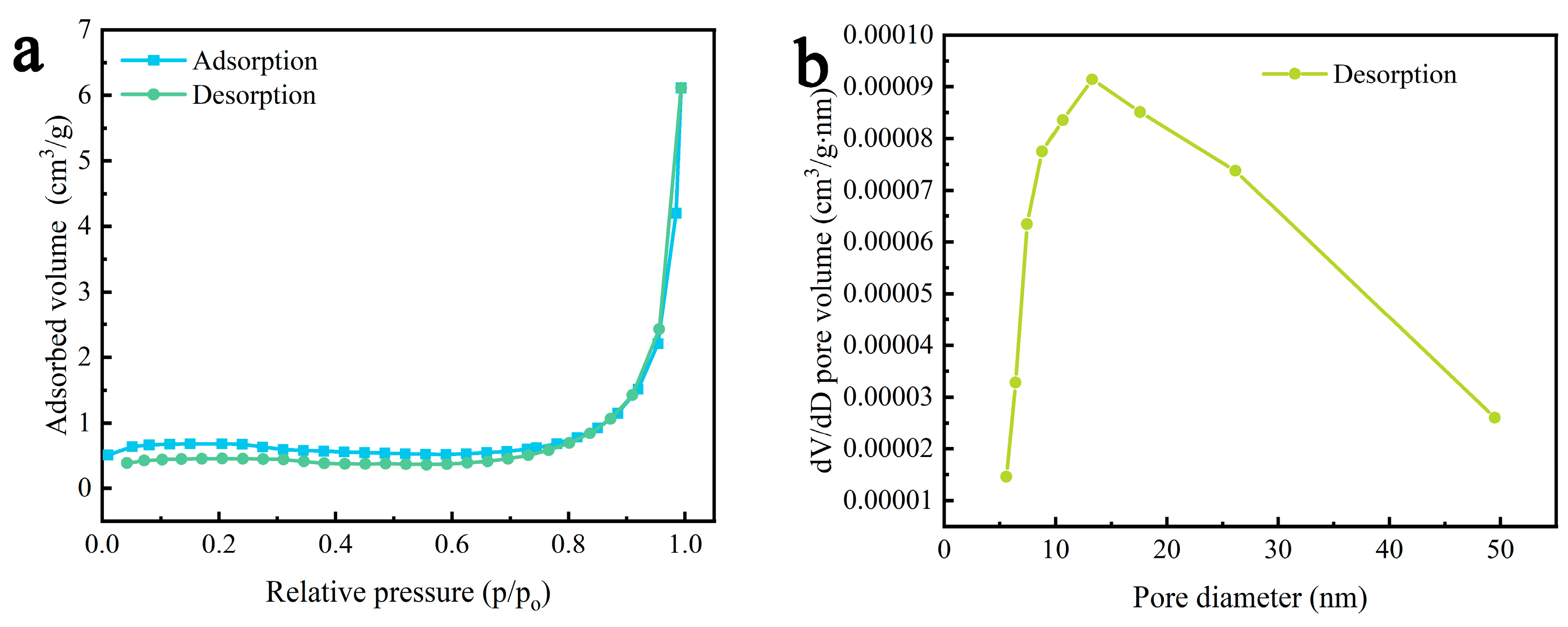
2.1. Properties of γ-AlON Particles
2.2. Piezocatalytic Degradation of Dye Pollutants
2.3. Piezocatalytic Mechanism of γ-AlON Particles
3. Material and Methods
3.1. Catalyst Preparation
3.2. Piezocatalytic Experiments
3.3. Characterisation
4. Conclusions
Author Contributions
Funding
Institutional Review Board Statement
Informed Consent Statement
Data Availability Statement
Conflicts of Interest
References
- Remoundou, K.; Koundouri, P. Environmental Effects on Public Health: An Economic Perspective. Int. J. Environ. Res. Public Health. 2009, 6, 2160–2178. [Google Scholar] [CrossRef] [PubMed]
- Boretti, A.; Rosa, L. Reassessing the projections of the World Water Development Report. NPJ Clean Water 2019, 2, 15. [Google Scholar] [CrossRef]
- Wang, K.; Han, C.; Li, J.; Qiu, J.; Sunarso, J.; Liu, S. The Mechanism of Piezocatalysis: Energy Band Theory or Screening Charge Effect? Angew. Chem. 2022, 134, e202110429. [Google Scholar] [CrossRef]
- Ma, J.; Ren, J.; Jia, Y.; Wu, Z.; Chen, L.; Haugen, N.O.; Huang, H.; Liu, Y. High efficiency bi-harvesting light/vibration energy using piezoelectric zinc oxide nanorods for dye decomposition. Nano Energy 2019, 62, 376–383. [Google Scholar] [CrossRef]
- Hu, Z.; Dong, W.; Dong, Z.; Li, P.; Bao, Q.; Cao, T. Enhancement of the piezocatalytic properties of BaTiO3 dendrite by annealing modulation. J. Alloys Compd. 2023, 965, 171339. [Google Scholar] [CrossRef]
- Sun, Q.; Xue, G.; Zhou, X.; Luo, H.; Zhou, K.; Zhang, D. Research progress in piezoelectric degradation of organic pollutants. Trans. Nonferrous Met. Soc. China 2021, 31, 1997–2013. [Google Scholar] [CrossRef]
- Hu, Z.; Dong, W.; Bao, Q.; Li, P. Preparation and piezocatalytic properties of Rubik′s Cube-like nano-microstructure BaTiO3. Chin. J. Inorg. Chem. 2023, 39, 475–484. [Google Scholar] [CrossRef]
- Ning, J.; Kang, Z.; Qin, N.; Chen, M.; Wu, J.; Bao, D. Boosting piezocatalytic performance of perovskite BiFeO3 with controlled oxygen vacancies. J. Alloys Compd. 2024, 978, 173370. [Google Scholar] [CrossRef]
- Zhu, W.; Wang, C.; Hui, W.; Huang, X.; Yang, C.; Liang, Y. Intrinsically morphological effect of perovskite BaTiO3 boosting piezocatalytic uranium extraction efficiency and mechanism investigation. J. Hazard. Mater. 2023, 455, 131578. [Google Scholar] [CrossRef]
- Ma, W.; Du, M.; Li, H.; Wang, Y.; Han, Z.; Chen, C.; Zhang, S.; Han, Q.; Li, Y.; Fang, J.; et al. The binary piezoelectric synergistic effect of KNbO3/MoS2 heterojunction for improving photocatalytic performance. J. Alloys Compd. 2023, 960, 170669. [Google Scholar] [CrossRef]
- Ning, X.; Hao, A.; Cao, Y.; Lv, N.; Jia, D. Boosting piezocatalytic performance of Ag decorated ZnO by piezo-electrochemical synergistic coupling strategy. Appl. Surf. Sci. 2021, 566, 150730. [Google Scholar] [CrossRef]
- Sharma, A.; Bhardwaj, U.; Kushwaha, H. ZnO hollow pitchfork: Coupled photo-piezocatalytic mechanism for antibiotic and pesticide elimination. Catal. Sci. Technol. 2022, 12, 812–822. [Google Scholar] [CrossRef]
- Lu, L.; Ding, W.; Liu, J.; Yang, B. Flexible PVDF based piezoelectric nanogenerators. Nano Energy 2020, 78, 105251. [Google Scholar] [CrossRef]
- Wang, J.; Liang, Y.; Wang, Z.; Huo, B.; Liu, C.; Chen, X.; Xu, H.; Li, D.; Zhu, Z.; Wang, Y.; et al. High efficiently degradation of organic pollutants via low-speed water flow activation of Cu2O@MoS2/PVDF modified pipeline with piezocatalysis performance. Chem. Eng. J. 2023, 458, 141409. [Google Scholar] [CrossRef]
- Hu, Z.; Wu, Z.; Han, C.; He, J.; Ni, Z.; Chen, W. Two-dimensional transition metal dichalcogenides: Interface and defect engineering. Chem. Soc. Rev. 2018, 47, 3100–3128. [Google Scholar] [CrossRef]
- Hu, K.; Wang, R.; Maimaitituersun, M.; Sun, H.; Liu, X.; Zhang, Y. Synergetic piezo-photocatalytic effect in ultrathin Bi2WO6 nanosheets for decomposing organic dye. J. Mater. Sci. Mater. Electron. 2022, 33, 9845–9857. [Google Scholar] [CrossRef]
- Pan, M.; Liu, S.B.; Pan, B.; Chew, J. Directionally tailoring the macroscopic polarization of piezocatalysis for hollow zinc sulfide on dual-doped graphene. Nano Energy 2021, 88, 106312. [Google Scholar] [CrossRef]
- Hu, C.; Chen, F.; Wang, Y.; Tian, N.; Ma, T.; Zhang, Y.; Huang, H. Exceptional cocatalyst-free photo-enhanced piezocatalytic hydrogen evolution of carbon nitride nanosheets from strong in-plane polarization. Adv. Mater. 2021, 33, 2101751. [Google Scholar] [CrossRef]
- Zhang, C.; Lei, D.; Xie, C.; Hang, X.; He, C.; Jiang, H. Piezo-Photocatalysis over Metal-Organic Frameworks: Promoting Photocatalytic Activity by Piezoelectric Effect. Adv. Mater. 2021, 33, 2106308. [Google Scholar] [CrossRef]
- Zheng, H.; Wang, Y.; Liu, J.; Wang, J.; Yan, K.; Zhu, K. Recent advancements in the use of novel piezoelectric materials for piezocatalytic and piezo-photocatalytic applications. Appl. Catal. B Environ. 2024, 341, 123335. [Google Scholar] [CrossRef]
- Liang, Z.; Yan, C.; Rtimi, S.; Bandara, J. Piezoelectric materials for catalytic/photocatalytic removal of pollutants: Recent advances and outlook. Appl. Catal. B Environ. 2018, 241, 256–269. [Google Scholar] [CrossRef]
- Tu, S.; Guo, Y.; Zhang, Y.; Hu, C.; Zhang, T.; Ma, T.; Huang, H. Piezocatalysis and Piezo-Photocatalysis: Catalysts Classification and Modification Strategy, Reaction Mechanism, and Practical Application. Adv. Funct. Mater. 2020, 30, 2005158. [Google Scholar] [CrossRef]
- McCauley, J.; Patel, P.; Chen, M.; Gilde, G.; Strassburger, E.; Paliwal, B.; Ramesh, K.; Dandekar, D. AlON: A brief history of its emergence and evolution. J. Eur. Ceram. Soc. 2009, 29, 223–236. [Google Scholar] [CrossRef]
- Wu, J.; Wang, Z.; Hu, Z.; Liu, X.; Tan, D.; Dai, Y.; Geng, D. Recent progress and challenges of transparent AlON ceramics. Trans. Nonferrous Met. Soc. China 2023, 33, 653–667. [Google Scholar] [CrossRef]
- Tabary, P.; Servant, C. Thermodynamic reassessment of the AlN-Al2O3 system. Calphad 1998, 22, 179–201. [Google Scholar] [CrossRef]
- Tu, B.; Wang, H.; Liu, X.; Wang, W.; Fu, Z. First-Principles Study on Site Perference of Aluminum Vacancy and Nitrogen Atoms in γ-AlON. J. Am. Ceram. Soc. 2013, 96, 1937–1943. [Google Scholar] [CrossRef]
- Du, X.; Yao, S.; Jin, X.; Long, Y.; Liang, B.; Li, W. Photocatalytic properties of aluminum oxynitride (AlON). Mater. Lett. 2015, 161, 72–74. [Google Scholar] [CrossRef]
- Wang, P.; Li, X.; Fan, S.; Chen, X.; Qin, M.; Long, D.; Tade, M.; Liu, S. Impact of oxygen vacancy occupancy on piezo-catalytic activity of BaTiO3 nanobelt. Appl. Catal. B Environ. 2020, 279, 119340. [Google Scholar] [CrossRef]
- Kang, Z.; Lin, E.; Qin, N.; Wu, J.; Yuan, B.; Bao, D. Effect of oxygen vacancies and crystal symmetry on piezocatalytic properties of Bi2WO6 ferroelectric nanosheets for wastewater decontamination. Environ. Sci. Nano 2021, 8, 1376–1388. [Google Scholar] [CrossRef]
- Dai, J.; Shao, N.; Zhang, S.; Zhao, Z.; Long, Y.; Zhao, S.; Li, S.; Zhao, C.; Zhang, Z.; Liu, W. Enhanced piezocatalytic activity of Sr0.5Ba0.5Nb2O6 nanostructures by engineering surface oxygen vacancies and self-generated heterojunctions. ACS Appl. Mater. Interfaces 2021, 13, 7259–7267. [Google Scholar] [CrossRef]
- Li, H.; Min, P.; Song, N.; Zhang, A.; Zhou, J.; Xian, H.; Liu, H.; Fang, J. Rapid synthesis of AlON powders by low temperature solid-state reaction. Ceram. Int. 2019, 45, 8188–8194. [Google Scholar] [CrossRef]
- Bandyopadhyay, S.; Rixecker, G.; Aldinger, F.; Pal, S.; Mukherjee, K.; Maiti, H.S. Effect of reaction parameters on γ-AlON formatio from Al2O3 and AlN. J. Am. Ceram. Soc. 2010, 85, 1010–1012. [Google Scholar] [CrossRef]
- Wang, Y.; Li, Q.; Huang, S.; Cheng, X.; Hou, P.; Wang, Y.; Chen, G.; Yi, S. Preparation and properties of AlON powders. Ceram. Int. 2018, 44, 471–476. [Google Scholar] [CrossRef]
- Sun, X.; Zeng, D.; Gui, H.; Jin, K.; Shan, Y.; Xu, J.; Li, J. Study on one-step fast CRN mechanism for preparing fine AlON powder using carbon coated γ-Al2O3/C precursor. Ceram. Int. 2024, 50, 31060–31070. [Google Scholar] [CrossRef]
- Yang, J.; Zhang, H.; Li, Y.; Xu, W.; Zhou, Y.; Mao, H. AlON transparent ceramics from powders synthesized by improved direct nitridation. Ceram. Int. 2023, 49, 35991–36001. [Google Scholar] [CrossRef]
- Sabaghi, V.; Davar, F.; Taherian, M. Ultrasonic-assisted preparation of AlON from alumina/carbon core-shell nanoparticle. Ceram. Int. 2019, 45, 3350–3358. [Google Scholar] [CrossRef]
- Vlaev, L.; Damyanov, D.; Mohamed, M. Infrared spectroscopy study of the nature and reactivity of a hydrate coverage on the surface of γ-Al2O3. Colloids Surf. 1989, 36, 427–437. [Google Scholar] [CrossRef]
- Li, M.; Gu, L.; Li, T.; Hao, S.; Tan, F.; Chen, D.; Zhu, D.; Xu, Y.; Sun, C.; Yang, Z. TiO2-Seeded Hydrothermal Growth of Spherical BaTiO3 Nanocrystals for Capacitor Energy-Storage Application. Crystals 2020, 10, 202. [Google Scholar] [CrossRef]
- Wang, W.; Wang, Q.; Shen, Z.; Meng, X.; Gao, E.; Jiang, X.; Miao, J.; Yao, S.; Wu, Z.; Li, J.; et al. Metal-modified CeO2 nanobelts for catalytic oxidation of ethyl acetate: Roles of surface lattice oxygen and hydrolysis behaviors. Sep. Purif. Technol. 2024, 349, 127862. [Google Scholar] [CrossRef]
- Rosenberger, L.; Baird, R.; Mccullen, E.; Auner, G.; Shreve, G. XPS analysis of aluminum nitride films deposited by plasma source molecular beam epitaxy. Surf. Interface Anal. 2008, 40, 1254–1261. [Google Scholar] [CrossRef]
- Kuang, X.; Zhang, H.; Wang, G.; Cui, L.; Zhu, C.; Jin, L.; Sun, R.; Han, J. AlN films prepared on 6H-SiC substrates under various sputtering pressures by RF reactive magnetron sputtering. Appl. Surf. Sci. 2012, 263, 62–68. [Google Scholar] [CrossRef]
- Alevli, M.; Ozgit, C.; Donmez, I.; Biyikli, N. Structural properties of AlN films deposited by plasma-enhanced atomic layer deposition at different growth temperatures. Phys. Status Solidi (A) 2012, 209, 266–271. [Google Scholar] [CrossRef]
- Cheng, L.; Feng, M.; Sun, Y.; Zhou, Z.; Xu, Z. Synthesis and characterization of two-dimensional lead-free (K, Na)NbO3 micro/nano piezoelectric structures. J. Adv. Ceram. 2020, 9, 27–34. [Google Scholar] [CrossRef]
- Du, S.; Sui, M.; Guo, Y.; Tian, Y.; Lv, X.; Qi, X. MoS2/SrTiO3 composite for piezocatalysis and piezocatalytic activation of peroxymonosulfate for efficient degradation of sulfamethoxazole. J. Water Process. Eng. 2024, 60, 105120. [Google Scholar] [CrossRef]
- Zhang, S.; Yu, H.; Zhu, X.; Sang, X.; Li, Y.; Fu, J.; Zhang, Y.; Ye, W. Highly Efficient Piezocatalytic Activity of Poly(tetrafluoroethylene) for Large-Scale Organic Wastewater Purification. ACS Appl. Polym. Mater. 2023, 5, 3585–3594. [Google Scholar] [CrossRef]
- Yang, Y.; Wu, M.; Zheng, C.; Xu, J.; Xu, Z.; Li, X.; Lou, X.; Wu, D.; Liu, X.; Pennycook, S.; et al. Atomic-scale fatigue mechanism of ferroelectric tunnel junctions. Sci. Adv. 2022, 7, eabh2716. [Google Scholar] [CrossRef] [PubMed]
- Yuan, B.; Wu, J.; Qin, N.; Lin, E.; Bao, D. Enhanced Piezocatalytic Performance of (Ba,Sr)TiO3 Nanowires to Degrade Organic Pollutants. ACS Appl. Nano Mater. 2018, 1, 5119–5127. [Google Scholar] [CrossRef]
- Ling, J.; Wang, K.; Wang, Z.; Huang, H.; Zhang, G. Enhanced piezoelectric-induced catalysis of SrTiO3 nanocrystal with well-defined facets under ultrasonic vibration. Ultrason. Sonochem. 2020, 61, 104819. [Google Scholar] [CrossRef]
- Chen, T.; Zhu, Z.; Chen, F.; Hu, C.; Huang, H. Low-valence B-site cation substitution triggering polarization and oxygen vacancy enhancement for elevating piezocatalytic activity on Bi2MoO6. Appl. Surf. Sci. 2023, 616, 156467. [Google Scholar] [CrossRef]
- Qin, Y.; Zhu, M.; Tang, Y.; Chen, X.; Wang, F.; Fan, X. Strong alternating piezoelectric field enhanced the piezocatalytic degradation of carbamazepine by a 3-chromophore material Cd4BiO(BO3)3 coupled ultrasound in water. Chem. Eng. J. 2023, 469, 143911. [Google Scholar] [CrossRef]
- Yin, G.; Fu, C.; Zhang, F.; Wu, T.; Hao, S.; Wang, C.; Song, Q. Piezocatalytic degradation of organic dyes and production of H2O2 with hydroxyapatite. J. Alloys Compd. 2023, 937, 168382. [Google Scholar] [CrossRef]
- Wu, Z.; Zhu, Z.; Ma, J.; Zhou, M.; Wu, Z.; You, H.; Zhang, H.; Li, N.; Wang, F. High piezo-photocatalysis of BaTiO3 nanofibers for organic dye decomposition. Surf. Interfaces 2024, 48, 104308. [Google Scholar] [CrossRef]
- Fu, H.; Li, S.; Lin, Y.; Wu, X.; Lin, T.; Zhao, C.; Gao, M.; Lin, C. Enhancement of piezo-photocatalytic activity in perovskite (Bi0.2Na0.2Ba0.2K0.2La0.2)TiO3 oxides via high entropy induced lattice distortion and energy band reconfiguration. Ceram. Int. 2024, 50, 9159–9168. [Google Scholar] [CrossRef]
- Lin, E.; Kang, Z.; Wu, J.; Huang, R.; Qin, N.; Bao, D. BaTiO3 nanocubes/cuboids with selectively deposited Ag nanoparticles: Efficient piezocatalytic degradation and mechanism. Appl. Catal. B Environ. 2021, 285, 119823. [Google Scholar] [CrossRef]
- Hu, Z.; Dong, W.; Dong, Z.; Li, P.; Bao, Q.; Cao, T. Facile fabrication of tetragonal phase single-crystalline BaTiO3 terrace-like dendrite by a simple solvothermal method and its piezocatalytic properties. Mater. Chem. Phys. 2023, 293, 126911. [Google Scholar] [CrossRef]
- Liang, X.; Shi, X.; Zou, X.; Wang, Z.; Cheng, Z. Synergetic degradation of organic dyes and Cr(vi) by the piezocatalytic BZT-xBCT. New. J. Chem. 2022, 46, 9184–9194. [Google Scholar] [CrossRef]
- Zhang, Y.; Shen, G.; Sheng, C.; Zhang, F.; Fan, W. The effect of piezo-photocatalysis on enhancing the charge carrier separation in BaTiO3/KNbO3 heterostructure photocatalyst. Appl. Surf. Sci. 2021, 562, 150164. [Google Scholar] [CrossRef]
- Singh, R.; Ali, M.; Sharma, K.; Dhyani, P.; Goyal, C.; Tripathi, C.; Guin, D. Ultrasound-Activated Piezocatalytic Degradation of RhB, Ofloxacin, and E. coli by BaTiO3/CuO Nanocompositess. J. Environ. Chem. Eng, 2024; in press. [Google Scholar] [CrossRef]
- Guo, D.; Wu, Z.; Shu, X.; Wu, W.; Zhu, G.; Peng, B. Strongly piezocatalytic dye decomposition of sol-gel synthesized PZT film. Ceram. Int. 2024, 50, 2514–2520. [Google Scholar] [CrossRef]
- Liu, D.; Jin, C.; Shan, F. Synthesizing BaTiO3 nanostructures to explore morphological influence, kinetics, and mechanism of piezocatalytic dye degradation. ACS Appl. Mater. Interfaces 2020, 12, 17443–17451. [Google Scholar] [CrossRef]
- Hu, Z.; Dong, W.; Bao, Q.; Li, P. Low-temperature synthesis of tetragonal BaTiO3 for piezacatalysis. J. Inorg. Chem. 2024, 40, 857–866. [Google Scholar] [CrossRef]
- Cheng, T.; Gao, W.; Gao, H.; Wang, S.; Yi, Z.; Wang, X.; Yang, H. Piezocatalytic degradation of methylene blue, tetrabromobisphenol A and tetracycline hydrochloride using Bi4Ti3O12 with different morphologies. Mater. Res. Bull. 2021, 141, 111350. [Google Scholar] [CrossRef]
- Wang, Y.; Wen, X.; Jia, Y.; Huang, M.; Wang, F.; Zhang, X.; Bai, Y.; Yuan, G.; Wang, Y. Piezo-catalysis for nondestructive tooth whitening. Nat. Commun. 2020, 11, 1328. [Google Scholar] [CrossRef] [PubMed]
- Liang, F.; Chen, Z.; Lu, Z.; Wang, X. Piezoelectric-enhanced photocatalytic performance of porous carbon nitride nanosheets. J. Colloid Interface Sci. 2023, 630, 191–203. [Google Scholar] [CrossRef] [PubMed]
- Wu, J.; Qin, N.; Bao, D. Effective enhancement of piezocatalytic activity of BaTiO3 nanowires under ultrasonic vibration. Nano Energy 2018, 45, 44–51. [Google Scholar] [CrossRef]
- Zhu, D.; Zhou, J.; Zheng, J.; Huo, T.; Dai, Y.; Wu, J. Preparation of transparent AlON ceramics with controlled shapes by a novel spontaneous coagulation casting and pressureless sintering method. Ceram. Int. 2024, 50, 22373–22380. [Google Scholar] [CrossRef]













| Piezocatalyst | Dye | Initial Concentration (mg/L) | Degradation Ratio (%) | Time (min) | K (min−1) | Ref. |
|---|---|---|---|---|---|---|
| BT/CuO nanocomposite | RhB MO | 5 10 | 98.4 65.3 | 120 | 3 × 10−2 8 × 10−3 | [58] |
| 15%Ag-ZnO | MO | 10 | 90.5 | 120 | 19.58 × 10−3 | [11] |
| PZT | RhB | 5 | 90.33 | 180 | no result | [59] |
| BaTiO3 nanocubes BaTiO3 nanoparticles | RhB | 10 | ~64 ~68 | 150 | 7.6 × 10−3 10.3 × 10−3 | [60] |
| BaTiO3 | MB MO | 5 | 54.1 88.9 | 180 | 4.451 × 10−3 10.84 × 10−3 | [61] |
| Bi4Ti3O12 | MB | 5 | 67 | 150 | 7.01 × 10−3 | [62] |
| γ-AlON | RhB MO MB | 10 | 78.06 67.74 74.29 | 120 | 13.35 × 10−3 10.79 × 10−3 12.09 × 10−3 | This work |
Disclaimer/Publisher’s Note: The statements, opinions and data contained in all publications are solely those of the individual author(s) and contributor(s) and not of MDPI and/or the editor(s). MDPI and/or the editor(s) disclaim responsibility for any injury to people or property resulting from any ideas, methods, instructions or products referred to in the content. |
© 2024 by the authors. Licensee MDPI, Basel, Switzerland. This article is an open access article distributed under the terms and conditions of the Creative Commons Attribution (CC BY) license (https://creativecommons.org/licenses/by/4.0/).
Share and Cite
Zhu, D.; Wang, Y.; Xiao, L.; Dai, Y.; Wu, J. Preparation and Piezocatalytic Performance of γ-AlON Particles for Dye-Pollutant Degradation Under Ultrasonic Vibration. Molecules 2024, 29, 5698. https://doi.org/10.3390/molecules29235698
Zhu D, Wang Y, Xiao L, Dai Y, Wu J. Preparation and Piezocatalytic Performance of γ-AlON Particles for Dye-Pollutant Degradation Under Ultrasonic Vibration. Molecules. 2024; 29(23):5698. https://doi.org/10.3390/molecules29235698
Chicago/Turabian StyleZhu, Dan, Yanyan Wang, Le Xiao, Yu Dai, and Jian Wu. 2024. "Preparation and Piezocatalytic Performance of γ-AlON Particles for Dye-Pollutant Degradation Under Ultrasonic Vibration" Molecules 29, no. 23: 5698. https://doi.org/10.3390/molecules29235698
APA StyleZhu, D., Wang, Y., Xiao, L., Dai, Y., & Wu, J. (2024). Preparation and Piezocatalytic Performance of γ-AlON Particles for Dye-Pollutant Degradation Under Ultrasonic Vibration. Molecules, 29(23), 5698. https://doi.org/10.3390/molecules29235698

