Synthesis and Investigation of the Properties of a Branched Phthalonitrile Containing Cyclotriphosphazene
Abstract
1. Introduction
2. Results and Discussion
2.1. Structure of CTP–PN
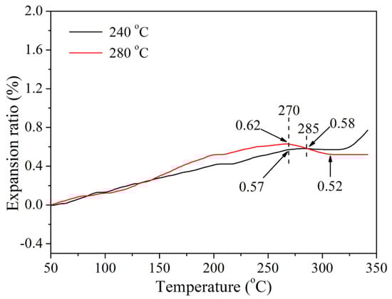
2.2. CTP–PN Curing Reaction and Processability
2.3. Structure of Cured CTP–PN
2.4. Fracture Morphology of Cured CTP–PN
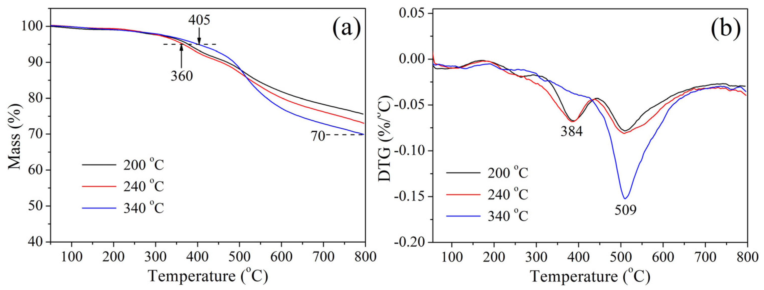
2.5. Thermal Stability of Cured CTP–PN
2.6. Thermomechanical Properties of Cured CTP–PN
2.7. Thermal Decomposition Analysis of Cured CTP–PN
3. Materials and Methods
3.1. Materials
3.2. Preparation of CTP–PN
3.3. Preparation of Cured CTP–PN
3.4. Characterizations
4. Conclusions
Author Contributions
Funding
Data Availability Statement
Conflicts of Interest
References
- Wu, M.; Jia, L.; Lu, S.; Qin, Z.; Wei, S.; Yan, R. Interfacial performance of high-performance fiber-reinforced composites improved by cold plasma treatment: A review. Surf. Interfaces 2021, 24, 101077. [Google Scholar]
- Bulgakov, B.A.; Sulimov, A.V.; Babkin, A.V.; Afanasiev, D.V.; Solopchenko, A.V.; Afanaseva, E.S.; Kepman, A.V.; Avdeev, V.V. Flame-retardant carbon fiber reinforced phthalonitrile composite for high-temperature applications obtained by resin transfer molding. Mendeleev Commun. 2017, 27, 257–259. [Google Scholar] [CrossRef]
- Gu, H.; Gao, C.; Du, A.; Guo, Y.; Zhou, H.; Zhao, T.; Naik, N.; Guo, Z. An overview of high-performance phthalonitrile resins: Fabrication and electronic applications. J. Mater. Chem. C 2022, 10, 2925–2937. [Google Scholar] [CrossRef]
- Phua, E.J.R.; Liu, M.; Cho, B.; Liu, Q.; Amini, S.; Hu, X.; Gan, C.L. Novel high temperature polymeric encapsulation material for extreme environment electronics packaging. Mater. Des. 2018, 141, 202–209. [Google Scholar] [CrossRef]
- Chen, R.; Hu, J.; Li, G.; Zhang, J.; Lian, X.; Wang, B. Comprehensive performance of high-temperature-resistant and low-dielectric-coefficient phthalonitrile resin. ACS Appl. Polym. Mater. 2024, 6, 2856–2867. [Google Scholar] [CrossRef]
- Wang, Z.-L.; Zhou, X.; Zheng, K.; Guo, Y.; Wang, J.; Liu, W.-B.; Zhou, H.; Zhao, T. Simultaneously enhancing heat resistance and mechanical performance for phthalonitrile through in-situ formation of inorganic protective layer derived from low melting point oxide. Compos. Part A Appl. Sci. Manuf. 2023, 174, 107740. [Google Scholar] [CrossRef]
- Laskoski, M.; Dominguez, D.D.; Keller, T.M. Synthesis and properties of a bisphenol A based phthalonitrile resin. J. Polym. Sci. Pol. Chem. 2005, 43, 4136–4143. [Google Scholar] [CrossRef]
- Keller, T.M.; Price, T.R. Amine-cured bisphenol-linked phthalonitrile resins. J. Polym. Sci. Pol. Chem. 2006, 18, 931–937. [Google Scholar] [CrossRef]
- Jia, Z.; Zhang, X.; Wang, X.; Zhao, T.; Chen, X.; Wu, M.; Rong, J.; Jia, D.; Yu, X.; Zhang, Q. Structural design and synthesis of naphthalene-containing phthalonitrile polymer with excellent processability and high temperature properties. J. Polym. Sci. 2023, 61, 2292–2302. [Google Scholar] [CrossRef]
- Ji, S.; Yuan, P.; Hu, J.; Sun, R.; Zeng, K.; Yang, G. A novel curing agent for phthalonitrile monomers: Curing behaviors and properties of the polymer network. Polymer 2016, 84, 365–370. [Google Scholar] [CrossRef]
- Weng, Z.; Hu, Y.; Qi, Y.; Zhang, S.; Liu, C.; Wang, J.; Jian, X. Enhanced properties of phthalonitrile resins under lower curing temperature via complex curing agent. Polym. Adv. Technol. 2020, 31, 233–239. [Google Scholar] [CrossRef]
- Qi, Y.; Weng, Z.; Song, C.; Hu, Y.; Liu, X.; Wang, J.; Zhang, S.; Liu, C.; Jian, X. Deep eutectic solvent for curing of phthalonitrile resin: Lower the curing temperature but improve the properties of thermosetting. High Perform. Polym. 2021, 33, 538–545. [Google Scholar] [CrossRef]
- Weng, Z.-H.; Qi, Y.; Zong, L.-S.; Liu, C.; Wang, J.-Y.; Jian, X.-G. Multiple-SO3H functioned ionic liquid as efficient curing agent for phthalonitrile-terminated poly(phthalazinone ether nitrile). Chin. Chem. Lett. 2017, 28, 1069–1073. [Google Scholar] [CrossRef]
- Yang, W.; Qi, J.; Tan, W.; Zhu, Z.; He, X.; Zeng, K.; Hu, J.; Yang, G. Study on aromatic nitrile-based resins containing both phthalonitrile and dicyanoimidazole groups. Polymer 2022, 255, 125118. [Google Scholar] [CrossRef]
- Ren, D.; Xu, M.; Chen, S.; Xu, X.; Zhang, S.; Han, M.; Liu, X. Curing reaction and properties of a kind of fluorinated phthalonitrile containing benzoxazine. Eur. Polym. J. 2021, 159, 110715. [Google Scholar] [CrossRef]
- Li, Z.; Guo, Y.; Wang, G.; Xu, S.; Han, Y.; Liu, X.; Luo, Z.; Ye, L.; Zhou, H.; Zhao, T. Preparation and characterization of a self-catalyzed fluorinated novolac-phthalonitrile resin. Polym. Adv. Technol. 2018, 29, 2936–2942. [Google Scholar] [CrossRef]
- Chaussoy, N.; Brandt, D.; Gerad, J.-F. Phthalonitrile functionalized resoles-use of 2,3-dicyanohydroquinone as a versatile monomer for resins with very high thermal stability. Polym. Degrad. Stabil. 2023, 214, 110420. [Google Scholar] [CrossRef]
- Lei, W.; Wang, D.; Li, Y.; Li, K.; Liu, Q.; Wang, P.; Feng, W.; Liu, Q.; Yang, X. High temperature resistant polymer foam based on bi-functional benzoxazine-phthalonitrile resin. Polym. Degrad. Stabil. 2022, 201, 110003. [Google Scholar] [CrossRef]
- Wang, T.; Shi, C.-Y.; Dayo, A.Q.; Guo, Z.-Y.; Wang, J.; Wang, Y.; Gorar, A.A.K.; Qiu, J.; Liu, W.-B. Synthesis and properties of novel self-catalytic phthalonitrile monomers with aliphatic chain and their copolymerization with multi-functional fluorene-based benzoxazine monomers. Eur. Polym. J. 2021, 161, 110862. [Google Scholar] [CrossRef]
- Yuan, P.; Liu, Y.; Zeng, K.; Yang, G. Synthesis and characterization of a new imide compound containing phthalonitrile and phenylethynyl end-groups. Des. Monomers Polym. 2015, 18, 343–349. [Google Scholar] [CrossRef]
- Yuan, P.; Ji, S.; Hu, J.; Hu, X.; Zeng, K.; Yang, G. Systematic study on highly efficient thermal synergistic polymerization effect between alicyclic imide moiety and phthalonitrile: Scope, Properties and Mechanism. Polymer 2016, 102, 266–280. [Google Scholar] [CrossRef]
- Liu, Z.; Liu, Y.; Peng, W.; Lu, Z.; Liang, B.; Liu, Y.; Li, C.; Hu, J.; Zeng, K.; Yang, G. New model phthalonitrile resin system based on self-promoted curing reaction for exploring the mechanism of radical promoted-polymerization effect. J. Appl. Polym. Sci. 2019, 136, 48134. [Google Scholar] [CrossRef]
- Hu, J.; Pu, Y.; Zhou, R.; He, X.; Zeng, K.; Yang, G. Self-curing phthalonitrile resin with disulfide bond as the curing group. ACS Appl. Polym. Mater. 2023, 5, 9027–9036. [Google Scholar] [CrossRef]
- Weng, Z.; Song, L.; Qi, Y.; Li, J.; Cao, Q.; Liu, C.; Zhang, S.; Wang, J.; Jian, X. Natural magnolol derivatives as platform chemicals for bio-based phthalonitrile thermoset: Achieving high performances without an external curing agent. Polymer 2021, 226, 123814. [Google Scholar] [CrossRef]
- Brown, L.C.; Richardson, T.J.; Lusk, C.F.; Weise, N.K.; Laskoski, M. Preparation and properties of bisphenol A polyetherketoneketone based phthalonitrile resins. J. Appl. Polym. Sci. 2024, 141, e55080. [Google Scholar] [CrossRef]
- Gao, M.; Li, T.; Kong, W.; Sun, X.; Liu, L.; Li, B.; Song, Y.; Liu, M. Novel liquid phthalonitrile monomers towards high performance resin. Eur. Polym. J. 2023, 191, 112027. [Google Scholar] [CrossRef]
- Zu, Y.; Li, G.; Zong, L.; Qiao, L.; Wang, J.; Jian, X. Branched phenyl-s-triazine moieties to enhance thermal properties of phthalonitrile thermosets. Polym. Int. 2018, 67, 189–196. [Google Scholar] [CrossRef]
- Zu, Y.; Zhang, F.; Chen, D.; Zong, L.; Wang, J.; Jian, X. Wave-transparent composites based on phthalonitrile resins with commendable thermal properties and dielectric performance. Polymer 2020, 198, 122490. [Google Scholar] [CrossRef]
- Kong, W.; Sun, J.; Gao, M.; Li, T.; Liu, M.; Song, Y. High-performance boron-containing phthalonitrile resins. Polym. Chem. 2023, 14, 2317–2325. [Google Scholar] [CrossRef]
- Lee, J.J.C.; Chua, M.H.; Wang, S.; Qu, Z.; Zhu, Q.; Xu, J. Cyclotriphosphazene: A versatile building block for diverse functional materials. Chem. Asian J. 2024, 19, e202400357. [Google Scholar] [CrossRef]
- Usri, S.N.K.; Jamain, Z.; Makmud, M.Z.H. A Review on synthesis, structural, flame retardancy and dielectric properties of hexasubstituted cyclotriphosphazene. Polymers 2021, 13, 2916. [Google Scholar] [CrossRef] [PubMed]
- Wang, D.; Xu, X.; Qiu, Y.; Wang, J.; Meng, L. Cyclotriphosphazene based materials: Structure, functionalization and applications. Prog. Mater. Sci. 2024, 142, 101232. [Google Scholar] [CrossRef]
- Kireev, V.V.; Bilichenko, Y.V.; Borisov, R.S.; Mu, J.; Kuznetsov, D.A.; Eroshenko, A.V.; Filatov, S.N.; Sirotin, I.S. Synthesis of bisphenol A based phosphazene-containing epoxy resin with reduced viscosity. Polymers 2019, 11, 1914. [Google Scholar] [CrossRef] [PubMed]
- Ma, H.X.; Qiu, J.J.; Liu, C.M. Low melting point, high thermal stable branched benzoxazines resin derived from mixed-substituted phosphazene core. Express Polym. Lett. 2020, 14, 220–234. [Google Scholar] [CrossRef]
- Zhao, F.; Liu, R.; Yu, X.; Naito, K.; Qu, X.; Zhang, Q. A high temperature polymer of phthalonitrile-substituted phosphazene with low melting point and good thermal stability. J. Appl. Polym. Sci. 2015, 132, 42606. [Google Scholar] [CrossRef]
- Chen, Z.; Peng, C.; Li, S.; Wu, Z.; Sun, T. The influence of phthalonitrile monomer containing oxazine ring on the properties of epoxy/amine system: Curing behavior and thermal stability. J. Appl. Polym. Sci. 2024, 141, e56115. [Google Scholar] [CrossRef]
- Yang, G.; Wu, W.-H.; Wang, Y.-H.; Jiao, Y.-H.; Lu, L.-Y.; Qu, H.-Q.; Qin, X.-Y. Synthesis of a novel phosphazene-based flame retardant with active amine groups and its application in reducing the fire hazard of Epoxy Resin. J. Hazard. Mater. 2019, 366, 78–87. [Google Scholar] [CrossRef]
- Jamain, Z.; Khairuddean, M.; Guan-Seng, T.; Rahman, A.B.A. Synthesis, characterisation and mesophase transition of hexasubstituted cyclotriphosphazene molecules with schiff base and Azo linking units and determination of their fire retardant properties. Macromol. Res. 2021, 29, 331–341. [Google Scholar] [CrossRef]
- Wei, X.; Zhang, G.; Zhou, L.; Li, J. Synthesis and characterization of hydrophobic amino-based polyphosphazene microspheres with different morphologies via two strategies. Appl. Surf. Sci. 2017, 419, 744–752. [Google Scholar] [CrossRef]
- Wang, H.; Hu, H.; Peng, Q. A facile one-step in-situ template strategy on the synthesis of cyclophosphazene-based amino-linked porous polymer and efficient removal of iodine. Micropor. Mesopor. Mat. 2021, 323, 111249. [Google Scholar] [CrossRef]
- Huang, X.; Wei, W.; Wei, H.; Li, Y.; Gu, X.; Tang, X. Preparation of heat-moisture resistant epoxy resin based on phosphazene. J. Appl. Polym. Sci. 2013, 130, 248–255. [Google Scholar] [CrossRef]
- Kumar, D.; Choudhary, V. Studies on crosslinking and thermal behavior of phthalonitrile end-capped imide monomer in presence of aromatic amines. J. Appl. Polym. Sci. 2018, 135, 46151. [Google Scholar] [CrossRef]
- Bansiwal, J.K.; Singh, A.S.; Patro, T.U.; Bag, D.S. Synthesis and thermal analysis of silicon-containing bis-phthalonitrile resin with enhanced solubility. J. Therm. Anal. Calorim. 2023, 148, 383–392. [Google Scholar] [CrossRef]
- Wang, T.; Wang, Z.-L.; Dayo, A.Q.; Shi, C.-Y.; Liu, H.-B.; Pan, Z.-C.; Gorar, A.A.K.; Wang, J.; Zhou, H.; Liu, W.-B. Synthesis and properties of a novel autocatalytic phthalonitrile monomer and its copolymerization with multi-functional fluorene-based benzoxazine monomers. J. Appl. Polym. Sci. 2022, 139, e52193. [Google Scholar] [CrossRef]
- Wang, T.; Dayo, A.Q.; Wang, Z.-L.; Lu, H.-M.; Shi, C.-Y.; Pan, Z.-C.; Wang, J.; Zhou, H.; Liu, W.-B. Novel self-promoted phthalonitrile monomer with siloxane segments: Synthesis, curing kinetics, and thermal properties. New J. Chem. 2022, 46, 4072–4081. [Google Scholar] [CrossRef]
- Yang, X.-L.; Li, K.; Xu, M.-Z.; Liu, X.-B. Designing a phthalonitrile/benzoxazine blend for the advanced GFRP composite materials. Chin. J. Polym. Sci. 2018, 36, 106–112. [Google Scholar] [CrossRef]
- Keller, T.M.; Dominguez, D.D. High temperature resorcinol-based phthalonitrile polymer. Polymer 2005, 46, 4614–4618. [Google Scholar] [CrossRef]
- Wang, J.; Hu, J.; Zeng, K.; Yang, G. Preparation of self-promoted hydroxy-containing phthalonitrile resins by an in situ reaction. RSC Adv. 2015, 5, 105038–105046. [Google Scholar] [CrossRef]
- Amarnath, N.; Appavoo, D.; Lochab, B. Eco-friendly halogen-free flame retardant cardanol polyphosphazene polybenzoxazine networks. ACS Sustain. Chem. Eng. 2018, 6, 389–402. [Google Scholar] [CrossRef]
- Appavoo, D.; Amarnath, N.; Lochab, B. Cardanol and eugenol sourced sustainable non-halogen flame retardants for enhanced stability of renewable polybenzoxazines. Front. Chem. 2020, 8, 711. [Google Scholar] [CrossRef]
- Liu, J.; Zhang, X.; Liu, S.; Le, C.I. Char structure and charring mechanism of phosphazene-based epoxy resin during combustion. Polym. Degrad. Stabil. 2022, 200, 109927. [Google Scholar] [CrossRef]
- Zhang, H.; Li, M.; Wang, C.; Huang, G.; Liu, M.; Sun, J.; Fang, Q. A highly heat-resistant phthalocyanine resin based on a bio-based anethole. Eur. Polym. J. 2021, 157, 110645. [Google Scholar] [CrossRef]
- Xu, G.-R.; Xu, M.-J.; Li, B. Synthesis and characterization of a novel epoxy resin based on cyclotriphosphazene and its thermal degradation and flammability performance. Polym. Degrad. Stabil. 2014, 109, 240–248. [Google Scholar] [CrossRef]
- Zeng, J.; Xie, W.; Zhou, H.; Zhao, T.; Xu, B.B.; Jiang, Q.; Algadi, H.; Zhou, Z.; Gu, H. Nitrogen-doped graphite-like carbon derived from phthalonitrile resin with controllable negative magnetoresistance and negative permittivity. Adv. Compos. Hybrid Mater. 2023, 6, 64. [Google Scholar] [CrossRef]
- Sun, B.; Shi, W.; Zhang, Q.; Huang, K.; Zhu, Y.; Xie, Z. Diphenolic acid/furfurylamine-based, semi-biopolyamide/cyclophosphazene covalent composite: Preparation and application in Pb(II) probing and dye adsorption. J. Polym. Sci. 2024, 62, 2961–2974. [Google Scholar] [CrossRef]
- Fang, Y.; Miao, J.; Yang, X.; Zhu, Y.; Wang, G. Fabrication of polyphosphazene covalent triazine polymer with excellent flame retardancy and smoke suppression for epoxy resin. Chem. Eng. J. 2020, 385, 123830. [Google Scholar] [CrossRef]
- He, Z.J.; Liu, J.H.; Liu, S.H.; Zhang, X.Q.; Lei, C.H. A facile approach for grafting bi-functional groups terminated branched polyphosphazene on carbon fibers. Express Polym. Lett. 2020, 14, 962–969. [Google Scholar] [CrossRef]
- Liang, B.; Wang, J.; Hu, J.; Li, C.; Li, R.; Liu, Y.; Zeng, K.; Yang, G. TG-MS-FTIR study on pyrolysis behavior of phthalonitrile resin. Polym. Degrad. Stabil. 2019, 169, 108954. [Google Scholar] [CrossRef]
- Guo, H.; Chen, Z.; Zhang, J.; Yang, X.; Zhao, R.; Liu, X. Self-promoted curing phthalonitrile with high glass transition temperature for advanced composites. J. Polym. Res. 2012, 19, 9918. [Google Scholar] [CrossRef]











| No. | Curing Procedures |
|---|---|
| 1 | CTP–PN monomer |
| 2 | 200 °C/2 h |
| 3 | 200 °C/2 h–220 °C/2 h |
| 4 | 200 °C/2 h–220 °C/2 h–240 °C/2 h |
| 5 | 200 °C/2 h–220 °C/2 h–240 °C/2 h–260 °C/2 h |
| 6 | 200 °C/2 h–220 °C/2 h–240 °C/2 h–260 °C/2 h–280 °C/2 h |
| 7 | 200 °C/2 h–220 °C/2 h–240 °C/2 h–260 °C/2 h–280 °C/2 h–300 °C/2 h |
| 8 | 200 °C/2 h–220 °C/2 h–240 °C/2 h–260 °C/2 h–280 °C/2 h–300 °C/2 h–320 °C/2 h |
| 9 | 200 °C/2 h–220 °C/2 h–240 °C/2 h–260 °C/2 h–280 °C/2 h–300 °C/2 h–320 °C/2 h–340 °C/2 h |
| Cured CTP–PN | Td5%/°C | Tmax1/°C | Tmax2/°C | Char Yield at 800 °C |
|---|---|---|---|---|
| Cured at 200 °C | 360 | 384 | 509 | 75.6% |
| Cured at 240 °C | 376 | 380 | 509 | 72.8% |
| Cured at 340 °C | 405 | − | 509 | 70.0% |
Disclaimer/Publisher’s Note: The statements, opinions and data contained in all publications are solely those of the individual author(s) and contributor(s) and not of MDPI and/or the editor(s). MDPI and/or the editor(s) disclaim responsibility for any injury to people or property resulting from any ideas, methods, instructions or products referred to in the content. |
© 2024 by the authors. Licensee MDPI, Basel, Switzerland. This article is an open access article distributed under the terms and conditions of the Creative Commons Attribution (CC BY) license (https://creativecommons.org/licenses/by/4.0/).
Share and Cite
Ren, D.; Fan, Z.; Zhang, J.; Xu, Y.; Tang, X.; Xu, M. Synthesis and Investigation of the Properties of a Branched Phthalonitrile Containing Cyclotriphosphazene. Molecules 2024, 29, 5668. https://doi.org/10.3390/molecules29235668
Ren D, Fan Z, Zhang J, Xu Y, Tang X, Xu M. Synthesis and Investigation of the Properties of a Branched Phthalonitrile Containing Cyclotriphosphazene. Molecules. 2024; 29(23):5668. https://doi.org/10.3390/molecules29235668
Chicago/Turabian StyleRen, Dengxun, Zexu Fan, Jiaqu Zhang, Yi Xu, Xianzhong Tang, and Mingzhen Xu. 2024. "Synthesis and Investigation of the Properties of a Branched Phthalonitrile Containing Cyclotriphosphazene" Molecules 29, no. 23: 5668. https://doi.org/10.3390/molecules29235668
APA StyleRen, D., Fan, Z., Zhang, J., Xu, Y., Tang, X., & Xu, M. (2024). Synthesis and Investigation of the Properties of a Branched Phthalonitrile Containing Cyclotriphosphazene. Molecules, 29(23), 5668. https://doi.org/10.3390/molecules29235668

