Abstract
In our recent work, we revisited C–H and C–C bond activation in rhodium (I) complexes of pincer ligands PCP, PCN, PCO, POCOP, and SCS. Our findings indicated that an η3-Csp2Csp3H agostic intermediate acts as a common precursor to both C–C and C–H bond activation in these systems. We explore the electronic structure and bonding nature of these precleavage complexes using electron density and molecular orbital analyses. Using NBO, IBO, and ESI-3D methods, the bonding in the η3-CCH agostic moiety is depicted by two three-center agostic bonds: Rh–Csp2–Csp3 and Rh–Csp3–H, with all three atoms datively bound to Rh(I). IBO analysis specifically highlights the involvement of three orbitals (CC→Rh and CH→Rh σ donation, plus Rh→CCH π backdonation) in both C–C and C–H bond cleavages. NCIPLOT and QTAIM analyses highlight anagostic (Rh–H) or β-agostic (Rh–Csp2–H) interactions and the absence of Rh–Csp3 interactions. QTAIM molecular graphs suggest bond path instability under dynamic conditions due to the nearness of line and ring critical points. Several low-frequency and low-force vibrational modes interconvert various bonding patterns, reinforcing the dynamic η3-CCH agostic nature. The kinetic preference for C–H bond breaking is attributed to the smaller reduced mass of C–H vibrations compared to C–C vibrations.
1. Introduction
Understanding the mechanisms underlying the activation of strong C–H and C–C bonds by transition metals is a fundamental subject of interest in organometallic chemistry. The preliminary coordination of the substrate is a mandatory step in these reactions, often determining the kinetics and overall directions of the processes [1]. Agostic complexes are typical intermediates in C–H bond activation. Initially defined as complexes involving covalent interactions between a C–H group and a transition metal [2], the term “agostic” now encompasses various types of interactions [3], which are more generally defined as complexes in which the distortion of an organometallic moiety brings an appended C–H bond into close vicinity with the metal center [4]. Historically, the existence of agostic bonding was primarily inferred from structural and, less frequently, spectroscopic considerations. Depending on the location of the interacting C–H bond relative to the metal center, agostic interactions can be classified as α, β, γ, etc. A special case of agostic complexes—anagostic complexes—are characterized by relatively long M⋅⋅⋅H distances (≈2.3–2.9 Å) and large M⋅⋅⋅H–C bond angles (≈110–170°) [5,6,7]. In contrast, typical α-agostic bonds have shorter M⋅⋅⋅H distances (1.8–2.3 Å) and smaller M⋅⋅⋅H–C bond angles (90–130°) [3]. Aliphatic C–H α-agostic complexes are rare and quite unstable [8,9] with the metal–hydrogen interaction being the primary contributor to the bonding [10]. More stable complexes involve C-bonding with unsaturated (Csp2) atoms [11,12]. β-agostic complexes, the most common class of agostic complexes [3,4,13,14], are usually characterized by strong metal–C and metal–H bonding [3,13]. The formation of agostic metal–CC complexes is much rarer and typically involves at least one unsaturated (sp, sp2) [15,16,17,18] or highly strained C atom [1,19,20]. α,β-CCC agostic bonding has been observed in metallacyclobutanes with electron-deficient metals [14] and in metal–benzyl complexes [21].
A deeper understanding of agostic interactions necessitates the application of electronic structure methods. In quantum chemistry, a molecule is represented as electron density in the potential field of embedded nuclei. Therefore, many general chemical concepts, such as atoms and bonds, lack an unambiguous meaning and become subject to definition [22,23,24]. However, concepts such as bonding, bond order, ionicity, and electron population are still widely used to predict or explain chemical properties and reaction mechanisms [25]. In order to root these concepts in quantum chemistry, one needs to split the electron density into atomic contributions. Such partitioning can be defined in terms of atomic and molecular orbitals (Hilbert space) or by dividing the three-dimensional space of electronic charge distribution into atomic basins (real space). Techniques such as natural bond orbital (NBO) [26] and charge decomposition analysis (CDA) [27], widely used to characterize the nature of agostic bonding, are based on wave function (MO) analysis. More recently, agostic bonding has been examined using the quantum theory of atoms in molecules (QTAIM) [28] and electron localization function (ELF) [29,30,31] methods, which analyze the topology of electron density and provide a physically sound basis for defining atoms and bonds in a molecule [32]. Different partitioning schemes may lead to qualitatively different conclusions [33].
Depending on the number of electrons involved in metal–H–C bonding, hydrogen bonds are three-center-four-electron (3c–4e), agostic bonds are three-center-two-electron (3c–2e), while anagostic bonds are largely electrostatic with no electron sharing [34,35]. The delocalization of C–H bonding electrons into a vacant orbital on the metal is identified as the major driving force for agostic bonding in electron-deficient metals [34]. The existence of a vacant MO on the metal is a mandatory condition for agostic interaction in these complexes [36,37]. Agostic bonding in late transition-metal complexes is traditionally described in terms of the Dewar–Chatt–Duncanson (DCD) model [38,39,40,41]. Recent computational studies showed that noncovalent interactions play an extremely important role in agostic interaction [42,43]. Thus, the DLPNO-CCSD(T) calculations by Neese et al., followed by energy decomposition, showed that London dispersion forces are key driving forces in agostic complexes [44,45]. The significant role of hyperconjugation was highlighted by Lin et al. based on VB studies [46]. Thus, the nature of agostic bonding requires further elucidation [13,19] and the development of a common view based on different approximations.
Rhodium (I) complexes with pincer ligands exhibit various types of agostic interactions [47]. The simplest and weakest bonding that allows hydrocarbon coordination is anagostic Rh–H–Csp3 interaction [48]. Aromatic hydrocarbons tend to form agostic Rh–Csp2–H complexes [39,49], featuring both CH → metal donation and backdonation, resulting in C–H bond activation. However, κ1–H and κ1–C bonding patterns are also found in metal–Csp2H interactions in pincer complexes [50,51,52,53,54]. While investigating the reaction between the cationic Rh(I) precursor [Rh(cyclooctene)2(acetone)2]BF4 and a thiophosphoryl-based, SCS-type pincer ligand, computational evidence was found for a reaction intermediate featuring a novel η3–C–C–H agostic interaction [39]. This intermediate serves as a common entry point to both Cipso−CMe bond cleavage, observed experimentally, and Csp3−H bond cleavage, which was not observed [55]. Reexamining the detailed mechanism of Csp2–Csp3 and Csp3–H oxidative addition in tridentate Rh(I) complexes with different pincer ligands, shown in Scheme 1, revealed that a common η3-agosticagostic intermediate precedes both cleavage reactions in all these systems [56]. The architecture of these complexes, with an arene backbone, two ligating side-arms in meta positions, and an alkyl moiety situated between those arms, keeps both Csp2–Csp3 and Csp3–H bonds in close proximity to the metal center. However, the nature of bonding in such specific agostic structures is not fully understood. In this work, we examine the nature of bonding in the η3-agostic Rh(I) complexes with and without ancillary ligands using wave function and electron density analyses. Such a combined approach is often applied to interpret complex bonding situations [50,57,58,59,60].
Scheme 1.
Pincer ligands studied in the present work.
2. Results
2.1. Geometries of the η3-Agostic Complexes
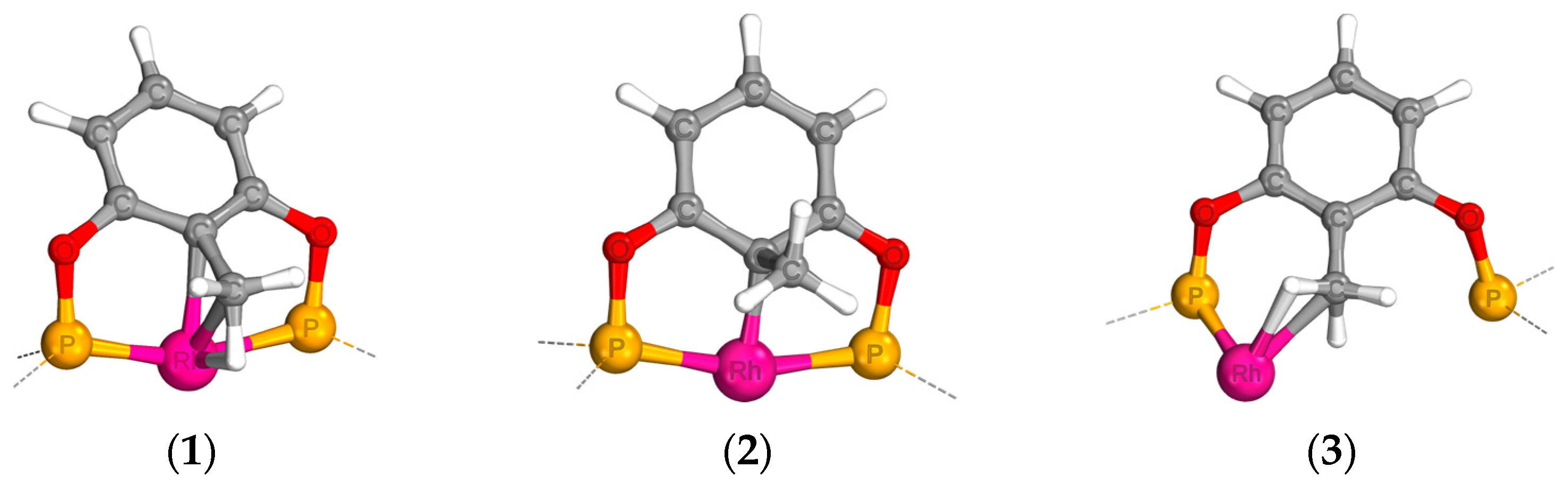
The typical structure of the Rh(I) η3-Cipso–CMe−H agostic complex (1) is representatively shown in Figure 1 for the Rh–POCOP system. Alongside the η3-agostic complexes, precleavage complexes with nearly identical free energy, characterized by metal–arene interactions in a κ–Cipso (or η2-Cipso–Cortho) configuration with no involvement of the methyl group (2) and notably less stable η2-CMe−H agostic complexes with no participation of the arene ring (3) could be found as local minima in several systems, especially in the absence of ancillary ligands [56]. In the absence of ancillary ligands, η3-agostic complexes are often stabilized by additional Rh bonding with an H atom of the p-tBu arm. Selected optimized geometric parameters of the various η3-agostic pincer complexes in the absence and in the presence of ancillary ligands are compiled in Table S1 in the Supplementary Materials. In the absence of ancillary ligands, the Rh–H bond length in these complexes varies from 1.66 Å in Rh–SCS to 1.91 Å in Rh–PCN, characteristic of agostic or even for covalent bonding. Methanol coordination slightly reduces the Rh–H bond length in the PCN, PCO, and SCS complexes, yet increases it in the PCP and POCOP complexes. The coordination of electron-withdrawing ligands, ethylene, and CO, elongates the Rh–H bond by 0.11–0.38 and 0.20–0.50 Å, respectively. The Rh–Cipso and Rh–Csp3 distances fall in the ranges of 2.16–2.42 and 2.10–2.63 Å, respectively, in comparison with the typical covalent Rh–Csp2 and Rh–Csp3 bond lengths of 2.04 and 2.11 Å [61] and η2 CC agostic bonds of 2.35–2.39 Å in the Rh–cyclopropane complexes [62]. The Rh–Csp3 bond lengths generally change in line with the Rh–H distances upon coordination of the ancillary ligands, whereas Rh–Cipso bond lengths change in the opposite direction in the presence of methanol and show much smaller and less systematic response to the presence of electron-withdrawing ligands. Thus, C2H4 and CO ligands increase the Rh–Csp3 bond length by 0.17–0.44 Å, whereas the Rh–Cipso bond length increases by up to 0.24 Å, and in several systems, it even slightly decreases.
Figure 1.
Typical types of precleavage pincer complexes, as represented by the POCOP-Rh system. Hydrogen atoms and alkyl groups not involved in bonding with Rh have been omitted for clarity. The exact structure of the POCOP pincer ligand is detailed in Scheme 1. (1) η3-Cipso–CMe−H agostic (2) κ–Cipso (3) η2-CMe–H agostic.
The bond angles Rh–Cipso–Csp3 (ranging from 64.0° in Rh–PCP to 83.9° in Rh–PCO–CO) and Rh–Csp3–H (from 49.1° in Rh–PCP to 57.4° in Rh–POCOP–MeOH) suggest the formation of agostic structures. In most complexes (except for Rh–PCO–MeOH, Rh–POCOP–MeOH, and Rh–SCS–C2H4), the dihedral angles Rh–Cipso–Csp3–H show only minor deviation from planarity.
2.2. Electron Density Analysis
2.2.1. NCIPLOT
NCIPLOT approach [63,64,65] is a tool that allows for the visualization and qualitative representation of non-covalent interactions (NCI). It is based on the analysis of the reduced density gradient, derived from the density ρ(r) and its first derivative ∇ρ(r). This method is a good starting point to probe the nature of agostic bonding since it allows us to identify and analyze unexpected NCIs, such as weak ionic bonds, hydrogen bonds, and van der Waals interactions (so-called closed-shell interactions), in which ∇ρ(r) ≠ 0.
The 2D plots of the reduced density gradient versus the electron density multiplied by the sign of the second Hessian eigenvalue are shown in Figure 2a and Figure S1 in the Supplementary Materials. These plots display the existence of strong attractive (blue), strong repulsive (red), and weak (green) noncovalent interactions, each represented by several spikes in the corresponding area. The visual representation of 3D isosurfaces (Figure 2b and Figure S1) reveals that various interactions, including van der Waals interactions with the methyl groups of the pincer ligand arms, contribute to the NCI plots.
Figure 2.
Two-dimensional NCI plot of the reduced density gradient versus the electron density multiplied by the sign of the second Hessian eigenvalue (a) and gradient isosurfaces (b) for Rh–SCS–C2H4 complex (spro = 0.5 with a ρ(r) = 0.10 cutoff). The colors are on a blue–green–red scale according to values of sign(λ2)ρ. The electron density was analyzed within a radius of 3.0 Å around Rh atom. Hydrogen atoms and alkyl groups not involved in bonding with Rh have been omitted for clarity. The exact structure of the SCS pincer ligand is shown in Scheme 1.
In the absence of ancillary ligands and with electron-donating methanol, most η3-agostic Rh complexes do not exhibit NCIs between the Csp2Csp3H group and the metal atom. In the presence of ethylene and CO, the Rh–H and Rh–Cipso interactions are attractive (colored blue) for all the complexes, whereas Rh–Csp3 interactions are mostly repulsive. The red ring of the reduced density gradient isosurface is visible around the Rh bonds with the pincer ligand arms, with the only exception being the Rh–P bond in Rh–PCO complexes. This may be attributed to π repulsion between occupied Rh d orbitals and the orbitals of the ligating atoms.
2.2.2. QTAIM
QTAIM analysis provides a rigorous mathematical framework to define atoms and bonds within a molecule, focusing on the properties of critical points on the electron density, ρ(r), where ∇ρ(r) = 0, i.e., the points with an NCI index s(ρ) = 0. The bonding nature in QTAIM is mainly inferred from bond critical points (bcp) and ring critical points (rcp). The bcp, or (3,−1) critical point, is located along the path of maximum electron density, which connects two nuclei and represents the point where the electron density reaches a minimum along the bond path but is maximal in the perpendicular directions. At the bcp, the Laplacian of electron density ∇2ρ is positive for closed-shell interactions and negative for covalent bonds. These critical points are typically surrounded by low-valued isosurfaces, analyzed by NCIPLOT. The rcp, or (3,+1) critical point, represents a saddle point with the minimum electron density within the ring surface and a maximum in the perpendicular direction. The term “bond critical point” has traditionally been used in QTAIM. However, recent studies suggest that bond paths and bcps can appear in situations where chemical bonding is not expected based on fundamental chemical concepts, nor is it confirmed by experimental or other theoretical methods [66,67,68,69]. Conversely, a bcp may be absent even in cases where significant electron density sharing between two atoms is observed [70,71,72]. For this reason, the term “line critical point” (lcp) is being increasingly recommended in the literature [73,74]. In this manuscript, the terms “bond critical point (bcp)” and “line critical point (lcp)” are used interchangeably, both referring to the same (3,−1) critical point. Similarly, “bond path” is used interchangeably with “line path”. The relationship between bonding in η3-agostic complexes and the presence of the line path and lcp will be discussed in detail.
The atomic charges on Rh in the η3-agostic Rh pincer complexes (Table S2) show a total charge transfer from the pincer ligands to the Rh(I) cation, ranging from 0.54 to 0.84 electrons. The electron donation strength decreases in the following order: POCOP > PCP > PCO > PCN > SCS. The transferred electron density primarily comes from P atoms of PCP, PCN, and PCO, from S atoms of SCS, and from the aromatic ring of the POCOP ligand. The Cipso, CMe, and HMe atoms acquire up to 0.07, 0.10, and 0.04 electrons, respectively, upon bonding with Rh. In only the PCO and SCS complexes, HMe atoms are slightly more positively charged than in the free pincer ligands.
Previous QTAIM studies of agostic late transition metal alkyl complexes revealed only two bcps, indicating Rh–Cipso and Rh–H bonds, with an absence of Rh–CMe bonding [38]. This absence was attributed to the atomic basins of the Cipso and HMe atoms spreading around the Rh basin and inhibiting the formation of a bcp between Rh and CMe. The molecular graphs obtained in our calculations (Figure 3 and Figure S2) typically display bcps for two Rh bonds with the ligand arms, Rh–Cipso, Rh–H, and Rh bonds with possible ancillary ligands, while Rh–CMe bcps are absent in all studied η3-agostic complexes. An exception is the Rh–POCOP–MeOH complex, which does not involve any Rh–H bonding, and several complexes (Rh–PCP, Rh–PCO, Rh–PCO–MeOH, and Rh–SCS–MeOH) do not exhibit the Rh–Cipso bcp.
Figure 3.
Typical molecular graph of η3-agostic complex Rh–PCN–C2H4 showing line paths (solid atom-colored lines) with line critical points (small green spheres) and ring paths (dashed blue lines) with ring critical points (rcp, small blue spheres). Hydrogen atoms and alkyl groups not involved in bonding with Rh are omitted for clarity. The exact structure of the PCN pincer ligand is shown in Scheme 1.
Phosphorus atoms of the ligand arms form the strongest bonds with Rh, indicated by low potential energy density (V) and high electron delocalization index (DI) in Table S3, while S and O atoms are bound much weaker. The contribution of the bond between Rh and the ligand arms to the topological charge on Rh (q(A|B) values in Table S3) shows that P atoms act as electron donors, while more electronegative N, S, and O atoms have an electron-withdrawing effect. The strongest Rh–Cipso bonds are found in Rh–SCS and Rh–POCOP–MeOH complexes. The charge flow in Rh–Cipso bond streams from Rh to the aromatic ring; therefore, π acceptor ligands C2H4 and CO weaken the Rh–Cipso interaction. The electron density at the Rh–H lcp ranges from 0.04 to 0.12 a.u., slightly higher than usual for agostic bonds (0.04–0.05 a.u.). The Laplacian of electron density (0.13–0.27 a.u.) matches the expected range for agostic bonding (0.15–0.25 a.u.) [28]. The positive Laplacian values indicate closed-shell interactions between Rh and all the ligands (Figure 4, Figure S3 and Table S3).
Figure 4.
Typical Laplacian of the electron density distribution in η3 Rh–PCP complexes with ethylene (left) and CO (right) in the Rh–Cipso–CMe plane. Dashed lines represent negative values.
Both C–H and C–C bonds weaken upon the formation of η3-agostic complexes (more positive V and smaller DI, Table S3). The CO and ethylene ligands destabilize Rh bonds with the pincer ligands in the η3-agostic complexes while methanol slightly stabilizes Rh–H bonding. The only exception is the Rh–POCOP complex, in which methanol coordination facilitates Rh–Cipso bonding on the penalty of Rh–H bond breaking. The Rh–H line path lengths (LPL) are notably longer than the geometric path lengths (GPL) (by up to 0.21 Å in the Rh–PCO–CO complex). The curvature of the line paths is in proximity to the hydrogen atom, whereas the lcp-Rh part of the line paths is straight (Figure 5b–d). Together with slightly positive charges on the hydrogen atoms, it excludes the hydride nature of the Rh–H bond [75,76,77].
Figure 5.
Molecular graphs illustrating the bonding patterns of the η3-agostic moiety in Rh–PCP (a), Rh–PCP–MeOH (b), Rh–POCOP (c), and Rh–PCO–CO (d) η3-agostic complexes.
The ring critical point (rcp) is a saddle-shaped critical point that is opposite to the lcp. The close proximity of the rcp and lcp serves as an indicator of structural instability within the molecular structure, for even a slight geometric perturbation can lead to the merger and nullification of the rcp and lcp [28,78,79]. In Figure 3, an assortment of rcp types observed in the η3-agostic complexes is illustrated. Specifically, rcp1 corresponds to a six-membered aromatic ring, whereas the Rh atom partakes in the generation of five-membered rings in conjunction with the phenyl and ligand arms P/S (rcp2) and P/S/N/O (rcp3). A distinctive hallmark of η3-agostic bonding is the presence of a four-membered ring, represented by rcp4. Additionally, an ethylene ligand forms a three-membered ring with Rh, denoted by rcp5. Selected QTAIM properties of these rcps in the η3-agostic Rh complexes are collected in Table S4.
The distances between rcp and its neighboring Rh–P, as well as Rh–Cipso bcps within the five-membered rings, encompass a range of 1.1 to 1.2 Å (Table S5). The distances to the Rh–S bcp are marginally greater, extending up to 1.34 Å. In contrast, distances to Rh–N and Rh–O bcp’s exhibit diminution, approximating 1.0 Å and 0.9 Å, respectively, in agreement with the Rh–N and, especially, Rh–O arm opening frequently observed in experiments. The separation between rcp4 and its adjacent Rh–C and Rh–H bond critical points is notably shorter (Table 1 and Table S5). The rcp4-bcpRh–H distance in Rh–PCO–CO is as small as 0.01 Å; in several complexes bcp and rcp coalesce, and the agostic ring structure disappears. The position of rcp4 relative to bcpRh–C and bcpRh–H is controlled by pincer and ancillary ligands. For instance, rcp4 is located closer to bcpRh–H in Rh–PCN complexes in the absence of ancillary ligands and in the presence of electron-withdrawing ethylene and CO. However, the presence of methanol prompts its migration towards bcpRh–C. In Rh–POCOP, rcp4 is in proximity to the Rh–C bond critical point; its relocation in the vicinity of bcpRh–H is observed in the presence of C2H4 and CO, whereas the coordination of an electron-donating MeOH leads to the disappearance of bcpRh–H. Illustrative examples are shown in Figure 5. The importance of structural instability for understanding the nature of bonding in η3-agostic complexes will be discussed below.
Table 1.
Distances (Å) between ring critical point rcp4 and its nearby Rh–Cipso and Rh–H bond critical points in η3-agostic Rh(I) complexes.
2.2.3. Electron Sharing Indices in 3D (ESI-3D)
The sharing of electron density is the primary force that binds atoms together. Consequently, electron sharing indexes (ESI) and the closely related concept of bond order are naturally used as a measure of bond strength. Various computational schemes based on different atomic partitions have been suggested, tracing back to the works of Coulson [80], Mulliken [81], Mayer [82,83,84,85], and Wiberg [86]. Most of these schemes rely on Hilbert space partitioning and encounter drawbacks when applied with correlated computational methods and large basis sets. An alternative approach involves the spatial atomic partition of exchange-correlation density using, for example, schemes of Bader [87] or Hirshfeld [88]. In this study, we employed the ESI-3D approach of Matito et al. [89,90,91] to determine bond orders of regular and multicenter bonds from the real-space QTAIM partitioning of electron density. In this scheme, two-center indexes (2c-ESI) coincide with delocalization indexes DI in Bader’s theory, provided a line critical point (lcp) exists between the two atoms. Thus, ESI-3D allows the examination of electron delocalization between atoms that lack a line path in QTAIM as well as among groups of three or more atoms. The ESI-3D method was recently used to distinguish between three-center (3c) agostic, anagostic, and hydrogen bonds [35]. Hydrogen bonds were found to have 3c-ESI values lower than 0.005, anagostic interactions between 0.005 and 0.040, and agostic interactions had 3c-ESI values higher than 0.040. It was demonstrated that bcps are absent for complexes with 3c-ESI values in the range of 0.025–0.050 [35].
Our calculated 4c-ESIs for the Rh–Cipso–CMe–H ring and 3c-ESIs for the Rh–Cipso–H (β-agostic) bond are negligibly small, indicating the absence of cyclic electron delocalization in the η3-agostic rhodium complexes (Table S6). On the other hand, three-center indexes for Rh–Cipso–CMe (0.033–0.075) and Rh–CMe–H (0.045–0.112) bonds fall into the range of agostic bonding [27]. Only two complexes, Rh–PCN–CO and Rh–PCO–CO, display Rh–CMe–H bonding in the anagostic range with 3c-ESIs of 0.001 and 0.037, respectively. The two-center indexes indicate the quite strong bonding of Cipso, CMe, and H atoms with Rh (2c-ESIs vary in the ranges of 0.266–0.636, 0.090–0.547, and 0.128–0.462, respectively). Notably, all three atoms show comparable 2c-ESI values. The only complex for which the Rh–H interaction is much weaker (2c-ESI = 0.051) is Rh–POCOP–MeOH, the same complex that lacked Rh–H interaction in the QTAIM analysis (vide supra). Complexes for which the Rh–Cipso bond is absent in QTAIM do not necessarily have small 2c-ESI values for this bond. Thus, ESI-3D calculations represent the η3-agostic bonding as two η2 agostic units, Rh–Cipso–CMe and Rh–CMe–H, in contrast to QTAIM showing formally β-agostic Cipso–H bonding in most complexes.
2.3. Molecular Orbital (MO) Analysis
2.3.1. NBO
Natural bond orbital (NBO) analysis is one of the most widely used methods for interpreting many-electron wavefunctions in terms of chemical bonding concepts [92,93,94,95]. NBO analysis breaks down the electron density in a molecule into electron-pair bonding units derived from an idealized Lewis structure. In the context of non-covalent forces, NBO analysis employs second-order perturbation theory to quantify the strength of donor-acceptor interactions between occupied and virtual orbitals. Natural population analysis (NPA), based on the atomic decomposition of natural bond orbitals, allows for the evaluation of atomic charges.
NPA charges on selected atoms and groups in the η3-agostic Rh(I) complexes are collected in Table S7. The charges on the ligating atoms of the uncoordinated pincer ligands qualitatively agree with the QTAIM results; p-atoms are strongly positively charged, S, N, and O atoms maintain negative charges, and Cipso atoms are nearly neutral. The C–H bonds in the methyl group are represented as ionic, with atomic charges of −1.0 and +0.3 on the C and H atoms, respectively, contrasting with QTAIM results, which show negligible charges on these atoms (Table S2). Agostic bonding decreases the positive charge on hydrogen by about 0.1 electron and simultaneously reduces the negative charge on CMe by about 0.35 electron. In contrast, a significant positive NBO atomic charge of the agostic hydrogen atom is distinctive for η2 agostic complexes [96]. The Rh atomic charges in the η3-agostic complexes show even stronger deviations between QTAIM and NBO results: in the former case, they range from 0.16 to 0.48, while in the latter case, Rh atoms often exhibit negative charges of up to −0.25. Moreover, compared to QTAIM, NPA overestimates the donation ability of ancillary ligands. For example, CO appears to be as strong an electron donor as methanol, and ethylene shows virtually zero total electron transfer, whereas both ligands maintain negative charges, with CO being a stronger withdrawing group than ethylene in QTAIM. Despite such significant differences, both computational schemes show similar alterations in atomic charges across most of the series of similar complexes.
The calculated Wiberg bond indexes (WBI) indicate a slight weakening of the Csp2– Csp3 bond and a notable weakening of the Csp3–H bond upon the formation of most η3-agostic complexes (Table S8). The strongest activation was observed in the Rh–SCS–MeOH complex, where the C–H bond order drops to 0.50 compared to 0.91 in free SCS. Significant WBIs were found for the Rh–Cipso and Rh–H bonds in most complexes. The largest values of 0.63 and 0.40, respectively, were found in Rh–SCS–MeOH. The smallest Rh–H bond order of 0.04 was found in Rh–POCOP–MeOH, the only complex lacking the Rh–H bond critical point (bcp) in QTAIM. However, several other complexes (Rh–PCO–CO, Rh–PCN–CO, and Rh–POCOP–C2H4) had similarly small Rh–H bond orders. The smallest Rh–Cipso WBI of 0.09 was found in Rh–PCP, the complex that lacks the Rh–Cipso bcp in QTAIM. However, other complexes without an Rh–Cipso bcp have quite large WBI values, including Rh–SCS–MeOH with the largest Rh–Cipso bond order. The NBO results correlate better with ESI-3D than with QTAIM particularly, showing significant Rh–CMe bond orders (0.09–0.32).
Lewis-like transition metal complexes tend to form hypervalent bonds [97]. Indeed, in the PCP, POCOP, and SCS complexes, NBO analysis reveals the presence of three-center, four-electron P/S-Rh–P/S bonds, where bonding Rh–P/S interactions are accompanied by antibonding orbitals composed of occupied Rh 4dx2-y25s and P/S 3s3px atomic orbitals (with Rh–P/S bonds oriented close to the x-axis direction). For example, in the Rh–SCS–C2H4 complex shown in Figure 2b, this antibonding orbital has an occupancy of 0.46 electrons. These interactions likely account for the red rings surrounding the Rh–P/S bonds in the NCIPLOT.
Neither covalent nor three-center bonds between the Rh atom and any Csp3–H or Csp2–Csp3 bond were found by NBO analysis. However, second-order perturbative analysis in the NBO basis reveals numerous dative interactions of Rh with C–C and C–H bonds, as well as with individual Csp2, Csp3, and H atoms of the η3-agostic moiety (Table S9). For instance, the dative interaction in the Rh–SCS complex consists of σC–C → Rh 5s and σC–H → Rh 5s stabilizing contributions of 11.46 and 45.27 kcal/mol, respectively. Additionally, there are weaker (0.6–1.1 kcal/mol) donations from σC–C to virtual Rh 5p and 5d orbitals and numerous donations from σC–H to the Rh virtual orbitals (up to 11 kcal/mol in strength), resulting in a total stabilization from C–C and C–H donations estimated to be 16.13 and 130.88 kcal/mol, respectively. Charge transfer in the opposite direction includes two Rh 4d → σ*C–C interactions with stabilization energies of 0.68 and 4.50 kcal/mol and two Rh 4d → σ*C–H interactions contributing 20.74 and 3.04 kcal/mol. Furthermore, NBO analysis reveals backdonation from Rh to each atom of the η3 moiety. Similar interactions were found in most studied complexes. In the presence of ancillary ligands, these contributions tend to diminish, but additional dative interactions appear in several complexes. Thus, σC–C → Rh donation disappears, and σC–H → Rh significantly drops in all carbonyl complexes, and this electron density is mostly transferred to σ*Rh–C(CO) orbitals. A more complex picture was observed in the presence of an ethylene ligand. The best Lewis structures found for Rh–PCP–C2H4 and Rh–SCS–C2H4 are single units with notable σC–C → σ*Rh–C(C2H4) (6.7 kcal/mol), σC–H → σ*Rh–C(C2H4) (21.3–22.2 kcal/mol), and Rh–CC2H4 → σ*C–H (7.8 kcal/mol) stabilizing interactions. For the other three complexes, the Lewis structures found by NBO analysis treat the ethylene ligand as an independent unit with no interaction with the η3-agostic unit. To maintain consistency in analyzing the electronic structure of the olefinic complexes, the ethylene ligand was defined as an independent unit in Rh–PCP–C2H4 (Table S9). However, we were unable to determine a reasonable Lewis structure for the Rh–SCS–C2H4 complex with an independent ethylene unit. For the other complexes, these Lewis structures exhibit minor stabilization from donation (3.5–6.1 kcal/mol) and backdonation (1.1–6.2 kcal/mol) between Rh and C–C bonds, significant stabilization by Rh → Cipso interactions (20.0–27.6 kcal/mol), and, in most cases, by σC–H → Rh electron transfers (2.4–18.2 kcal/mol). Nevertheless, the primary stabilization in these complexes stems from the exceptionally strong πC–C → Rh and Rh → π*C–C interactions between Rh and ethylene (74.4–217.1 and 67.2–82.4 kcal/mol, respectively).
One major issue with NBO analysis is that it often fails to find a correct Lewis structure for transition metal complexes with unusual bonding. In a proper natural Lewis structure, bonding (Lewis) orbitals with two-electron occupancy are complemented by formally empty antibonding (non-Lewis) orbitals. Occupancies of the antibonding orbitals reveal deviations from an idealized localized Lewis structure. Noncovalent agostic interactions are inherently inconsistent with traditional Lewis structures, making NBO tools less applicable to agostic complexes. We found up to 0.4 electron holes in the Lewis orbitals and more than 0.5 electron occupancy of several antibonding orbitals. This leads to unrealistic negative charges on Rh(I) in some complexes (Table S7) and extremely high energy terms in the second-order perturbation theory analysis (Table S9). Energy values higher than 50 kcal/mol (highlighted in Table S9) suggest that Lewis structures do not accurately describe the density matrix. These findings clearly show that NBO analysis is not very effective for interpreting the electronic structure of η3-agostic complexes.
2.3.2. IBO
The Intrinsic bond orbitals (IBO) scheme by Knezia et al. [98,99] employs an intrinsic minimal basis to accurately represent the occupied molecular orbitals (MOs) of a previously computed SCF wave function. This method does not rely on the molecule’s Lewis structure and is mostly free from empirical input. It enables atomic partitioning in Hilbert space, unaffected by the basis set, and adheres to trends in electronegativities. This approach clearly differentiates between σ and π orbitals and has been effectively used to analyze bonding in terms of donor–acceptor interactions [100].
The calculated IBO atomic charges (Table S9) in the η3-agostic Rh complexes show a qualitative correlation with the topological charges (Table S2). Quantitatively, IBO and QTAIM charges may differ significantly, particularly for P, N, and O atoms of the pincer ligand arms. The agostic C–H bond appears to be much more polar in the IBO scheme (with charges ranging from −0.387 to −0.438 on Csp3 and from 0.109 to 0.157 on H), whereas QTAIM finds the C–H bond almost nonpolar. Wiberg bond indexes (WBI) on the IBO basis (Table S10) exhibit similar qualitative trends to the ESI-3D two-center indexes. Thus, all three atoms of the agostic moiety are bonded to Rh(I), with WBI values falling in the range 0.109–0.379 for Rh–Csp2, 0.047–0.354 for Rh–Csp3, and 0.037–0.279 for Rh–H. Moreover, both methods indicate that the Rh–Csp3 bond is stronger than the Rh–Csp2 bond in several complexes, especially in the absence of ancillary ligands and in the presence of methanol. Quantitatively, the WBI values in the IBO basis are 0.1–0.24 smaller than the corresponding ESI 2c indexes.
Analysis of the intrinsic bond orbitals (Table 2) reveals both σ donation and π backdonation between Rh and the pincer ligand arms. Weaker electron donation from the highly electronegative O arm of the PCO ligand is compensated by increased P→Rh electron transfer in Rh–PCO. Some release of electron density occurs due to Rh→P backdonation, whereas N, O, and S atoms show no electron-withdrawing ability. The IBO analysis supports the η3 nature of the complexes (Table 2). Indeed, weak mixing of the Rh d orbitals with the occupied Cipso–CMe and CMe–H σ orbitals, which have comparable contributions from Cipso, CMe, and H atoms, was observed in all η3 complexes. Additionally, all three atoms participate in weak mixing with occupied Rh d orbitals in all the complexes except for PCN. Furthermore, some phenyl → Rh electron transfer was identified in the systems showing Rh–Cipso bonding in QTAIM analysis, such as Rh–POCOP, Rh–PCN, and Rh–SCS η3-agostic complexes.
Table 2.
Composition of intrinsic bond orbitals (IBO) responsible for dative interactions in η3-agostic Rh(I) complexes in the absence of ancillary ligands.
The key orbitals involved in the agostic bonding are influenced by the ancillary ligands: the ligand→Rh σ donation slightly weakens the interaction of σ C–H and σ C–C orbitals with Rh, whereas weak Rh→CCH backdonation (Table 2) that transforms into Rh→Cipso or Rh→H bonding orbitals in the dissociation products virtually disappears due to stronger Rh→C2H4 or Rh→CO π backdonation. That raises the activation barriers for both oxidative addition reactions in the presence of ethylene and CO [56].
3. Discussion
This paper employs a variety of computational techniques to examine the electronic structure and bonding interactions in η3-agostic Rh(I) complexes. It is noteworthy that different methods offer varied perspectives on the nature of η3-agostic bonding. The atomic charges calculated by these methods show significant differences. For instance, the QTAIM method assigns charges ranging from 0.16 to 0.48 on rhodium, while IBO assigns slightly lower charges from 0.14 to 0.40. Conversely, NBO assigns negative charges as low as −0.25 on the metal in some complexes. Among the atoms of the pincer ligand arms, P, N, and O display the largest quantitative variations in charges across these methods. For example, the nitrogen atom in the Rh–PCN agostic complex shows charges of −1.00 in QTAIM, −0.39 in NBO, and −0.21 in IBO. Regarding the CMe–H bonds, QTAIM suggests they are almost nonpolar, IBO indicates slight polarity (charges on CMe from −0.39 to −0.44 and on H from 0.11 to 0.16), and NBO suggests high polarity (charges on CMe from −0.62 to −0.67 and on H from 0.22 to 0.28).
All computational methods agree that the bonding between Rh(I) and the ligands is dative. From the geometric considerations, one might expect a four-center Rh–Cipso–CMe–H bonding similar to that in allyl complexes, yet calculated 4c-ESI values are negligible. In contrast, NBO, IBO, and ESI-3D analyses suggest the presence of two three-center agostic bonds: Rh–Cipso–CMe and Rh–CMe–H, with all three atoms bonded to Rh(I). Unfortunately, the NBO method, showing non-physical negative charges on Rh(I) and high energy terms in second-order perturbation theory analysis, along with significant occupancies of antibonding orbitals indicating deviations from idealized Lewis structures, may not suitably interpret the electronic structure of η3-agostic complexes. IBO, proving valuable, reveals both σ donation and π backdonation between Rh and the agostic moiety. Three of these orbitals make the main contribution to the transformation of Rh(I) η3-agostic complexes leading to both C–C and C–H bond cleavage products (Figure 6).
Figure 6.
Typical changes in the energy levels of the key IBOs along the C–C and C–H bond cleavage reaction pathways in Rh–PCN systems (see Scheme 1 for the exact structure of the PCN pincer ligand).
Using QTAIM, a different portrayal emerges, highlighting the presence of Rh–Cipso and Rh–H bonds but not Rh–CMe. This aligns with the NCIPLOT findings of attractive densities around Rh–Cipso and Rh–H bonds and weak repulsive interactions around Rh–Csp3 bonds. Classical Bader’s theory suggests the necessity of a line path and an associated line critical point (lcp) for bonding. However, this one-to-one relationship has recently been questioned (see above), particularly because molecular graphs can be unstable due to zero-point nuclear vibrations [73,74]. Such instability may be seen as a sign of a weak bond appearing or disappearing with slight geometrical changes during molecular vibrations. The molecular graphs of η3-agostic Rh complexes, showing adjacent lcp and rcp, indicate such a dynamic instability of a line path in dynamic conditions. Following several low-frequency and low-force vibrational modes in these complexes has demonstrated the transient formation and dissolution of Rh–Cipso, Rh–CMe, and Rh–H line paths. Figure 5 exemplifies this dynamic, illustrating how thermal vibrations in the Rh–SCS η3-agostic complex cause line paths to appear and disappear. The molecular graph of the complex in its optimized geometry depicts a κ2–CipsoH bonding mode (Figure 7a). The low-frequency vibrational mode, with a frequency of 147 cm−1 and force constant of 0.068 mDyne/Å, results in the disruption of the Rh–Cipso bond (Figure 7d). The η2-CMeH bonding pattern, formed under another low-frequency and low-force vibrational mode (Figure 7e), is marked by a distinctly concave Rh–CMe line path, which is 0.31 Å longer than the geometric bond distance. This shape is indicative of σ-donation from a σ-bonding orbital and backdonation into a σ*-orbital [101]. Notably, the QTAIM atomic charge on Rh in this non-equilibrium state is +0.51, compared to +0.46 in the ground state (Table S2), suggesting that σC–H to Rh and Rh to CMe electron transfers might facilitate virtually non-activated C–H bond cleavage (Figure 7f). The η2-CipsoCMe bonding pattern emerging from another low frequency and low force vibrational mode (Figure 7b) closely mimics the molecular graph of the transition state for C–C bond cleavage (Figure 7c). Similar multiple dynamic molecular graphs behavior was observed in other η3-agostic complexes (Figure S4). Complexes lacking Rh–Cipso or Rh–H bonds in the ground state have low-frequency and low-force vibrational modes leading to its formation.
Figure 7.
Molecular graphs of the η3-agostic moiety in Rh–SCS complex in the equilibrium geometry (a), in selected nonequilibrium geometries along low-frequency vibrational modes (b,d,e), in transition state for C–C bond cleavage TSC–C (c) and in metastable C–H cleavage product PC–H (f). Vibrational frequencies ν in cm−1, force constant fc in mDyne/Å, relative energies ΔE with respect to the η3-agostic complex in the equilibrium geometry at the PBE0/TZVPP level of theory in kcal/mol.
These results lead to three key conclusions. First, although Rh–CMe lcps are absent in all studied complexes and the lcps for Rh–Cipso and Rh–H bonds vanish in several complexes at the ground state, all three bonds are readily formed and dissociated under room temperature vibrations. This suggests that there is no direct relation between the presence of lcp and the existence of a chemical bond in η3-agostic Rh complexes in equilibrium geometry. The bonding in the common intermediates leading to C–C and C–H bond cleavages can be characterized as a dynamic η3 C–C–H agostic bond. The influence of the dynamic motion on the nature of chemical bonds is now recognized in both theoretical and experimental chemistry [102,103]. Second, the kinetic preference for C–H bond cleavage is defined by the dynamic behavior of the precleavage η3-agostic intermediate and can be attributed to the lower reduced mass of C–H compared to C–C vibrations. Third, the energy difference between agostic and non-agostic structures, or the barrier height for methyl rotation, is traditionally viewed as an indicator of agostic bond strength [14,44]. However, our calculations show a dynamic equilibrium between Rh–Cipso, Rh–CMe, and Rh–H bonds, rendering such measurements of bond strength irrelevant. In fact, the breaking of the Rh–H bond is usually offset by the formation or strengthening of Rh–C bonds, leading to a minimal energy difference between the η3 and κ1/2 structures (1 and 2 in Figure 1).
4. Computational Methodology
Geometry optimizations and evaluation of harmonic frequencies were carried out using the GAUSSIAN16 package [104]. All computations were performed in the gas phase utilizing the hybrid density functional PBE0 [105], and included Grimme’s empirical dispersion correction [106,107] with the Becke–Johnson damping function [108,109,110], combined with the def2-TZVPP basis set [111].
The choice of density functional is critical for accurately representing agostic bonds [112,113]. Functionals that do not adhere to the uniform electron gas (UEG) limit, particularly those based on LYP correlation, have been shown to fail in optimizing agostic structures [112,114]. Additionally, correctly describing dynamic correlation is essential. The PBE0 functional belongs to a group of functionals that effectively represent agostic bonding. Density functional theory (DFT) posits that the electron density of the ground state uniquely determines the energies, properties, and chemical behavior of molecules. However, in practice, density functional approximations (DFAs) are parameterized to reproduce energy characteristics—such as reaction and atomization energies, activation barrier heights, and weak interactions—most accurately. Consequently, a DFA’s performance in energy calculations does not necessarily translate to accurate modeling of density-based properties [115]. This issue has been extensively discussed in the literature. It has been demonstrated that, as one ascends the Jacob’s ladder of DFAs, the performance in both energy- and density-based properties generally improves, although extensively parameterized methods may show poor performance for density-based properties [116]. The hybrid PBE0 method used in this study was developed non-empirically and ranks as one of the best performers for QTAIM [112,115].
To comprehend the electronic structure and bonding in the pincer complexes discussed herein, we employed a combination of electron density and molecular orbital (MO) analyses. The NCIPLOT4 program [117] was used for the initial qualitative analysis of the electron density. A density cutoff of ρ(r) = 0.1 a.u. was applied, and the 3D images were created for an isosurface value of s = 0.5 and colored in the [−0.1, 0.1] a.u. sign(λ2)ρ range. The electron density was analyzed within a radius of 3.0 Å around Rh atom. The AIMAll program [118] was employed for calculations using quantum theory of atoms in molecules (QTAIM). The Electron Sharing Indexes Program for 3D Molecular Space Partition (ESI-3D) [89] was used to calculate two- and multi-centered bond orders in the QTAIM molecular space partition. Natural bond orbital (NBO) analysis was performed using NBO 7.0 program [119]. The IboView software version 20211019 [120] was used for intrinsic bond orbital (IBO) calculations, geometric structure, and molecular orbital (MO) representations. The IBO exponent ρ = 2 was used for orbital localization. The orbitals are shown as isosurfaces enclosing 80% of the orbital’s total electron density.
5. Conclusions
This study aimed to elucidate the detailed electronic structure and the nature of bonding in η3-CCH agostic rhodium complexes, which serve as a common intermediate to both C–C and C–H bond cleavages. The core findings emerged from QTAIM, ESI-3D, and IBO analyses, while NCIPLOT and NBO analyses provided additional insights. Our research established that the bonding within the η3-CCH agostic moiety is best described as consisting of two three-center agostic bonds: Rh–Cipso–CMe and Rh–CMe–H, with all participating atoms forming dative bonds to Rh(I). QTAIM analysis distinctively highlights the presence of the anagostic (Rh–H) or β-agostic (Rh–Cipso–H) boding patterns in the ground state. However, thermal vibrations within these complexes can induce the formation and dissolution of bond (line) paths and bond (line) critical points for Rh–Cipso, Rh–CMe, and Rh–H, illustrating the dynamic nature of η3-agostic bonding as perceived through classical QTAIM. Collectively, the different computational techniques each contribute valuable insights, but their integrated use offers a more comprehensive understanding of the bonding dynamics in these intricate molecular systems.
Supplementary Materials
The following information can be downloaded at: https://www.mdpi.com/article/10.3390/molecules29204788/s1: (1) Selected optimized geometric parameters, NCIPLOT, QTAIM, ESI-3D, NBO and IboView data. (2) The XYZ coordinates (in Å) for pincer ligands and their agostic complexes with Rh(I), both with and without ancillary ligands, in their optimized geometries.
Funding
The author was supported by the Ministry of Immigrant Absorption.
Institutional Review Board Statement
Not applicable.
Informed Consent Statement
Not applicable.
Data Availability Statement
Raw data underlying the present study are shared as Supplementary Materials. Additional information can be obtained from the author upon reasonable request.
Acknowledgments
The author thanks Gershom (Jan) Martin for providing access to computational resources on the Faculty of Chemistry’s HPC facility CHEMFARM.
Conflicts of Interest
The author declares no conflict of interest.
References
- Murakami, M.; Ishida, N. Fundamental Reactions to Cleave Carbon–Carbon σ-Bonds with Transition Metal Complexes. In Cleavage of Carbon-Carbon Single Bonds by Transition Metals; Murakami, M., Murakami, M., Eds.; Springer: Berlin/Heidelberg, Germany, 2016. [Google Scholar] [CrossRef]
- Brookhart, M.; Green, M.L.H. Carbon-hydrogen-transition metal bonds. J. Organomet. Chem. 1983, 250, 395–408. [Google Scholar] [CrossRef]
- Clot, E.; Eisenstein, O. Agostic Interactions from a Computational Perspective: One Name, Many Interpretations. In Principles and Applications of Density Functional Theory in Inorganic Chemistry II. Structure and Bonding; Mingos, D.M.P., Ed.; Springer: Berlin/Heidelberg, Germany, 2004; Volume 113. [Google Scholar] [CrossRef]
- Scherer, W.; McGrady, G.S. Agostic Interactions in d0 Metal Alkyl Complexes. Angew. Chem. Int. Ed. 2004, 43, 1782–1806. [Google Scholar] [CrossRef] [PubMed]
- Brookhart, M.; Green, M.L.H.; Parkin, G. Agostic interactions in transition metal compounds. Proc. Natl. Acad. Sci. USA 2007, 104, 6908–6914. [Google Scholar] [CrossRef] [PubMed]
- Komiya, N.; Hosokawa, T.; Adachi, J.; Inoue, R.; Kawamorita, S.; Naota, T. Regiospecific Remote Pt–H Interactions in Oligomethylene-Vaulted (N^C^N)-Pincer PtII Complexes. Eur. J. Inorg. Chem. 2018, 2018, 4771–4778. [Google Scholar] [CrossRef]
- Fang, R.-Q.; Yuan, H.-K.; Wang, X.-L.; Zhu, H.-L. Anagostic C-H⋅⋅⋅Ni interaction and DFT calculation of bis(μ-N,O-((E)-2-((cyclohexylmethylimino)methyl)phenol)–nickel(II) complex. Inorg. Nano-Met. Chem. 2017, 47, 756–760. [Google Scholar] [CrossRef]
- Lersch, M.; Tilset, M. Mechanistic Aspects of C−H Activation by Pt Complexes. Chem. Rev. 2005, 105, 2471–2526. [Google Scholar] [CrossRef]
- Sakaki, S. Theoretical Studies of CH σ-Bond Activation and Related Reactions by Transition-Metal Complexes. In Theoretical Aspects of Transition Metal Catalysis Topics in Organometallic Chemistry; Frenking, G., Ed.; Springer: Berlin/Heidelberg, Germany, 2005; Volume 12, pp. 31–78. [Google Scholar] [CrossRef]
- Crabtree, R.H.; Holt, E.M.; Lavin, M.; Morehouse, S.M. Inter- vs. Intramolecular C-H Activation: A C-H-Ir Bridge in [IrH2(Mq)L2]BF4 and a C-H + M → C-M-H Reaction Trajectory. Inorg. Chem. 1985, 24, 1986–1992. [Google Scholar] [CrossRef]
- Findlater, M.; Cartwright-Sykes, A.; White, P.S.; Schauer, C.K.; Brookhart, M. Role of Coordination Geometry in Dictating the Barrier to Hydride Migration in d6 Square-Pyramidal Iridium and Rhodium Pincer Complexes. J. Am. Chem. Soc. 2011, 133, 12274–12284. [Google Scholar] [CrossRef]
- Walter, M.D.; White, P.S.; Schauer, C.K.; Brookhart, M. Stability and Dynamic Processes in 16VE Iridium(III) Ethyl Hydride and Rhodium(I) σ-Ethane Complexes: Experimental and Computational Studies. J. Am. Chem. Soc. 2013, 135, 15933–15947. [Google Scholar] [CrossRef]
- Lein, M. Characterization of agostic interactions in theory and computation. Coord. Chem. Rev. 2009, 253, 625–634. [Google Scholar] [CrossRef]
- Suresh, C.H. Nature of α,β-CCC agostic bonding in metallacyclobutanes. J. Organomet. Chem. 2006, 691, 5366–5374. [Google Scholar] [CrossRef]
- Vigalok, A.; Milstein, D. Advances in metal chemistry of quinonoid compounds: New types of interactions between metals and aromatics. Acc. Chem. Res. 2001, 34, 798–807. [Google Scholar] [CrossRef] [PubMed]
- Jaffart, J.; Etienne, M.; Reinhold, M.; McGrady, J.E.; Maseras, F. An unprecedented α-C–C agostic interaction in a cyclopropyl tris(pyrazolyl)boratoniobium complex. Chem. Commun. 2003, 876–877. [Google Scholar] [CrossRef] [PubMed]
- Jaffart, J.; Cole, M.L.; Etienne, M.; Reinhold, M.; McGrady, J.E.; Maseras, F. C–H and C–C agostic interactions in cycloalkyl tris(pyrazolyl)boratoniobium complexes. Dalton Trans. 2003, 21, 4057–4064. [Google Scholar] [CrossRef]
- Gandelman, M.; Shimon, L.J.W.; Milstein, D. C-C versus C-H Activation and versus Agostic C-C Interaction Controlled by Electron Density at the Metal Center. Chem. Eur. J. 2003, 9, 4295–4300. [Google Scholar] [CrossRef]
- Harvey, B.G.; Ernst, R.D. Transition-Metal Complexes with (C–C)→M Agostic Interactions. Eur. J. Inorg. Chem. 2017, 2017, 1205–1226. [Google Scholar] [CrossRef]
- Etienne, M.; Weller, A.S. Intramolecular C–C agostic complexes: C–C sigma interactions by another name. Chem. Soc. Rev. 2014, 43, 242–259. [Google Scholar] [CrossRef] [PubMed]
- Trost, B.M.; Czabaniuk, L.C. Structure and Reactivity of Late Transition Metal η3-Benzyl Complexes. Angew. Chem. Int. Ed. 2014, 53, 2826–2851. [Google Scholar] [CrossRef]
- Mulliken, R.S. Molecular scientists and molecular science: Some reminiscences. J. Chem. Phys. 1965, 43, S2–S11. [Google Scholar] [CrossRef]
- Ruedenberg, K. Atoms and Bonds in Molecules as Synergisms of Interactions between Electrons and Nuclei. J. Chem. Phys. 2022, 157, 210901. [Google Scholar] [CrossRef]
- Mayer, I. Bond order and valence indices: A personal account. J. Comput. Chem. 2007, 28, 204–221. [Google Scholar] [CrossRef] [PubMed]
- Frenking, G.; Krapp, A. Unicorns in the world of chemical bonding models. J. Comput. Chem. 2007, 28, 15–24. [Google Scholar] [CrossRef]
- Weinhold, F.; Landis, C.R. Valency and Bonding: A Natural Bond Orbital Donor–Acceptor Perspective; Cambridge University Press: Cambridge, UK, 2005. [Google Scholar]
- Dapprich, S.; Frenking, G. Investigation of Donor—Acceptor Interactions: A Charge Decomposition Analysis Using Fragment Molecular Orbitals. J. Phys. Chem. 1995, 99, 9352–9362. [Google Scholar] [CrossRef]
- Popelier, P.; Logothetis, G. Characterization of an agostic bond on the basis of the electron density. J. Organomet. Chem. 1998, 555, 101–111. [Google Scholar] [CrossRef]
- Silvi, B.; Savin, A. Classification of chemical bonds based on topological analysis of electron localization functions. Nature 1994, 371, 683–686. [Google Scholar] [CrossRef]
- Silvi, B.; Fourré, I.; Alikhani, M. The Topological Analysis of the Electron Localization Function. A Key for a Position Space Representation of Chemical Bonds. Monatshefte Für Chem./Chem. Mon. 2005, 136, 855–879. [Google Scholar] [CrossRef]
- Zins, E.-L.; Silvi, B.; Alikhani, M.E. Activation of C–H and B–H bonds through agostic bonding: An ELF/QTAIM insight. Phys. Chem. Chem. Phys. 2015, 17, 9258–9281. [Google Scholar] [CrossRef]
- Pendás, Á.M.; Contreras-García, J. Topological Approaches to the Chemical Bond; Spinger: Geneva, Switzerland, 2023. [Google Scholar] [CrossRef]
- Frenking, G.; Nikolaus Fröhlich, N. The Nature of the Bonding in Transition-Metal Compounds. Chem. Rev. 2000, 100, 717–774. [Google Scholar] [CrossRef]
- Kubas, G.J. Metal Dihydrogen and σ-Bond Complexes: Structure, Theory and Reactivity; Kluwer Academic Publishers: New York, NY, USA, 2001. [Google Scholar]
- García-Rodeja, Y.; Feixas, F.; Matito, E.; Solà, M. Three-Centre Electron Sharing Indices (3c-ESIs) as a Tool to Differentiate among (an)Agostic Interactions and Hydrogen Bonds in Transition Metal Complexes. Phys. Chem. Chem. Phys. 2022, 24, 29333–29337. [Google Scholar] [CrossRef]
- Ramakrishnan, S.; Jemmis, E.D. Origin of β-agostic interaction in d0 transition metal alkyl complexes: Influence of ligands. J. Organomet. Chem. 2018, 865, 37–44. [Google Scholar] [CrossRef]
- Xu, B.; Wang, Q.; Wang, X. Understanding the agostic bonding for group 4 metal methylidene complexes: A DFT approach. Comput. Theor. Chem. 2011, 976, 36–41. [Google Scholar] [CrossRef]
- Scherer, W.; Herz, V.; Brück, A.; Hauf, C.; Reiner, F.; Altmannshofer, S.; Leusser, D.; Stalke, D. The Nature of β-Agostic Bonding in Late-Transition-Metal Alkyl Complexes. Angew. Chem. Int. Ed. 2011, 50, 2845–2849. [Google Scholar] [CrossRef] [PubMed]
- Scherer, W.; Herz, V.; Hauf, C. On the Nature of β-Agostic Interactions: A Comparison Between the Molecular Orbital and Charge Density Picture. In Electron Density and Chemical Bonding, I. Structure and Bonding; Stalke, D., Ed.; Springer: Berlin/Heidelberg, Germany, 2012; Volume 146. [Google Scholar] [CrossRef]
- Mebs, S.; Kalläne, S.I.; Braun, T. Hapticity of asymmetric rhodium-allyl compounds in the light of real-space bonding indicators. Z. Für Krist.—Cryst. Mater. 2018, 233, 615–626. [Google Scholar] [CrossRef]
- Montag, M.; Efremenko, I.; Cohen, R.; Shimon, L.J.W.; Leitus, G.; Diskin-Posner, Y.; Ben-David, Y.; Salem, H.; Martin, J.-M.L.; Milstein, D. Effect of CO on the Oxidative Addition of Arene C-H Bonds by Cationic Rhodium Complexes. Chem. Eur. J. 2010, 16, 328–353. [Google Scholar] [CrossRef]
- Hamdaoui, M.; Djukic, J.-P. Noncovalent Interactions in Key Metal-centred Catalytic Intermediates: Structure–Electronic Relationship. In Noncovalent Interactions in Catalysis; Mahmudov, Kamran, T., Eds.; RSC Catalysis Series; The Royal Society of Chemistry: London, UK, 2019; pp. 579–607. [Google Scholar]
- Escudero, J.; Besset, T. Non-Covalent Interactions in Transition Metal-Catalyzed Para-Selective CH Functionalization of Arenes. In Advances in Organometallic Chemistry; Pérez, P.J., Ed.; Academic Press: Cambridge, MA, USA, 2023; Volume 80, pp. 77–91. [Google Scholar] [CrossRef]
- Lu, Q.; Neese, F.; Bistoni, G. Formation of Agostic Structures Driven by London Dispersion. Angew. Chem. Int. Ed. 2018, 57, 4760–4764. [Google Scholar] [CrossRef]
- Lu, Q.; Neese, F.; Bistoni, G. London Dispersion Effects in the Coordination and Activation of Alkanes in σ-Complexes: A Local Energy Decomposition Study. Phys. Chem. Chem. Phys. 2019, 21, 11569–11577. [Google Scholar] [CrossRef]
- Lin, X.; Wu, W.; Mo, Y. Agostic Interactions in Early Transition-Metal Complexes: Roles of Hyperconjugation, Dispersion, and Steric Effect. Chem. Eur. J. 2019, 25, 6591–6599. [Google Scholar] [CrossRef]
- Zhou, C.; Huang, M.-H.; Huang, K.-W. Rhodium Pincer Complexes: Coordination, Reactivity and Catalysis. In Comprehensive Coordination Chemistry III; Constable, E.C., Parkin, G., Que, L., Jr., Eds.; Elsevier: Amsterdam, The Netherlands, 2021; pp. 43–107. [Google Scholar] [CrossRef]
- Montag, M.; Efremenko, I.; Cohen, R.; Leitus, G.; Shimon, L.J.W.; Diskin-Posner, Y.; Ben-David, Y.; Martin, J.M.L.; Milstein, D. The impact of weak C-H⋯Rh interactions on the structure and reactivity of trans-[Rh(CO)2(phosphine)2]+: An experimental and theoretical examination. Chem. Eur. J. 2008, 14, 8183–8194. [Google Scholar] [CrossRef] [PubMed]
- Sajjad, M.A.; Harrison, J.A.; Nielson, A.J.; Schwerdtfeger, P. NBO Orbital Interaction Analysis for the Ambiphilic Metal–Ligand Activation/Concerted Metalation Deprotonation (AMLA/CMD) Mechanism Involved in the Cyclopalladation Reaction of N,N-Dimethylbenzylamine with Palladium Acetate. Organometallics 2018, 37, 3659–3669. [Google Scholar] [CrossRef]
- Lepetit, C.; Poater, J.; Alikhani, M.E.; Silvi, B.; Canac, Y.; Contreras-García, J.; Solà, M.; Chauvin, R. The Missing Entry in the Agostic–Anagostic Series: Rh(I)–η1-C Interactions in P(CH)P Pincer Complexes. Inorg. Chem. 2015, 54, 2960–2969. [Google Scholar] [CrossRef]
- Harrison, J.A.; Nielson, A.J.; Sajjad, M.A.; Saunders, G.C.; Schwerdtfeger, P. Steric and Electronic Manipulation of the Anagostic Interaction in 1-Tetralone Oxime and Imine Complexes of Rhodium(I). Eur. J. Inorg. Chem. 2016, 2016, 64–77. [Google Scholar] [CrossRef]
- Nielson, A.J.; Harrison, J.A.; Sajjad, M.A.; Schwerdtfeger, P. Electronic and Steric Manipulation of the Preagostic Interaction in Isoquinoline Complexes of Rh(I). Eur. J. Inorg. Chem. 2017, 2017, 2255–2264. [Google Scholar] [CrossRef]
- Arif Sajjad, M.A.; Harrison, J.A.; Nielson, A.J.; Schwerdtfeger, P. Interplay of Steric and Electronic Effects on the Bonding Components in Aromatic Ring Agostic Interactions. Organometallics 2017, 36, 4231–4237. [Google Scholar] [CrossRef]
- Poverenov, E.; Milstein, D. Noninnocent Behavior of PCP and PCN Pincer Ligands of Late Metal Complexes. In Organometallic Pincer Chemistry; van Koten, G., Milstein, D., Eds.; Springer Verlag: Berlin/Heidelberg, Germany, 2013; Volume 40, pp. 21–47. [Google Scholar] [CrossRef]
- Montag, M.; Efremenko, I.; Diskin-Posner, Y.; Ben-David, Y.; Martin, J.M.L.; Milstein, D. Exclusive C–C Oxidative Addition in a Rhodium Thiophosphoryl Pincer Complex and Computational Evidence for an η3-C–C–H Agostic Intermediate. Organometallics 2012, 31, 505–512. [Google Scholar] [CrossRef]
- Efremenko, I.; Montag, M. Revisiting C–C and C–H Bond Activation in Rhodium Pincer Complexes: Thermodynamics and Kinetics Involving a Common Agostic Intermediate. Organometallics 2022, 41, 2379–2393. [Google Scholar] [CrossRef]
- Cortés-Guzmán, F.; Bader, R.F.W. Complementarity of QTAIM and MO theory in the study of bonding in donor–acceptor complexes. Coord. Chem. Rev. 2005, 249, 633–662. [Google Scholar] [CrossRef]
- Finger, M.; Reinhold, J. Energy Density Distribution in Bridged Cobalt Complexes. Inorg. Chem. 2003, 42, 8128–8130. [Google Scholar] [CrossRef]
- Kluge, O.; Finger, M.; Reinhold, J. Orbital Contributions to the Molecular Charge and Energy Density Distributions in Co2(CO)8. Inorg. Chem. 2005, 44, 6494–6496. [Google Scholar] [CrossRef]
- Reinhold, J.; Kluge, O.; Mealli, C. Integration of Electron Density and Molecular Orbital Techniques to Reveal Questionable Bonds: The Test Case of the Direct Fe−Fe Bond in Fe2(CO)9. Inorg. Chem. 2007, 46, 7142–7147. [Google Scholar] [CrossRef]
- Jiao, Y.; Evans, M.E.; Morris, J.; Brennessel, W.W.; Jones, W.D. Rhodium–Carbon Bond Energies in Tp′Rh(CNneopentyl)(CH2X)H: Quantifying Stabilization Effects in M–C Bonds. J. Am. Chem. Soc. 2013, 135, 6994–7004. [Google Scholar] [CrossRef]
- Brayshaw, S.K.; Sceats, E.L.; Green, J.C.; Weller, A.S. C–C σ complexes of rhodium. Proc. Nat. Acad. Sci. USA 2007, 104, 6921–6926. [Google Scholar] [CrossRef] [PubMed]
- Johnson, E.R.; Keinan, S.; Mori-Sanchez, P.; Contreras-Garcia, J.; Cohen, A.J.; Yang, W. Revealing Noncovalent Interactions. J. Am. Chem. Soc. 2010, 132, 6498–6506. [Google Scholar] [CrossRef] [PubMed]
- Contreras-Garcia, J.; Johnson, E.R.; Keinan, S.; Chaudret, R.; Piquemal, J.-P.; Beratan, D.N.; Yang, W.J. NCIPLOT: A Program for Plotting Noncovalent Interaction Regions. Chem. Theory Comput. 2011, 7, 625–632. [Google Scholar] [CrossRef]
- Laplaza, R.; Peccati, F.; Boto, R.A.; Quan, C.; Carbone, A.; Piquemal, P.; Maday, Y.; Contreras-García, J. NCIPLOT and the analysis of noncovalent interactions using the reduced density gradient. Wiley Interdiscip. Rev. Comput. Mol. Sci. 2021, 11, e1497. [Google Scholar] [CrossRef]
- Poater, J.; Solà, M.; Bickelhaupt, F.M. Hydrogen–Hydrogen Bonding in Planar Biphenyl, Predicted by Atoms-In-Molecules Theory, Does Not Exist. Chem. Eur. J. 2006, 12, 2889–2895. [Google Scholar] [CrossRef]
- Grimme, S.; Mück-Lichtenfeld, C.; Erker, G.; Kehr, G.; Wang, H.; Beckers, H.; Willner, H. When Do Interacting Atoms Form a Chemical Bond? Spectroscopic Measurements and Theoretical Analyses of Dideuteriophenanthrene. Angew. Chem. Int. Ed. 2009, 48, 2592–2595. [Google Scholar] [CrossRef] [PubMed]
- Hazrah, A.S.; Nanayakkara, S.; Seifert, N.A.; Kraka, E.; Jäger, W. Structural study of 1- and 2-naphthol: New insights into the non-covalent H–H interaction in cis-1-naphthol. Phys. Chem. Chem. Phys. 2022, 24, 3722–3732. [Google Scholar] [CrossRef]
- Jabłoński, M. Bader’s Topological Bond Path Does Not Necessarily Indicate Stabilizing Interaction—Proof Studies Based on the Ng@[3n]cyclophane Endohedral Complexes. Molecules 2023, 28, 6353. [Google Scholar] [CrossRef]
- Farrugia, L.J.; Evans, C.; Tegel, M. Chemical Bonds without “Chemical Bonding”? A Combined Experimental and Theoretical Charge Density Study on an Iron Trimethylenemethane Complex. J. Phys. Chem. A 2006, 110, 7952–7961. [Google Scholar] [CrossRef]
- Mousavi, M.; Frenking, G. Bonding Analysis of Trimethylenemethane (TMM) Complexes [(CO)3M–TMM] (M. = Fe, Ru, Os, Rh+). Absence of Expected Bond Paths. J. Organomet. Chem. 2013, 748, 2–7. [Google Scholar] [CrossRef]
- Lane, J.R.; Contreras-García, J.; Piquemal, J.P.; Miller, B.J.; Kjaergaard, H.G. Are Bond Critical Points Really Critical for Hydrogen Bonding? J. Chem. Theory Comput. 2013, 9, 3263–3266. [Google Scholar] [CrossRef] [PubMed]
- Shahbazian, S. Why Bond Critical Points Are Not “Bond” Critical Points. Chem. Eur. J. 2018, 24, 5401–5405. [Google Scholar] [CrossRef] [PubMed]
- Foroutan-Nejad, C.; Shahbazian, S.; Marek, R. Toward a Consistent Interpretation of the QTAIM: Tortuous Link between Chemical Bonds, Interactions, and Bond/Line Paths. Chem. Eur. J. 2014, 20, 10140–10152. [Google Scholar] [CrossRef]
- Jabłoński, M. QTAIM-Based Comparison of Agostic Bonds and Intramolecular Charge-Inverted Hydrogen Bonds. J. Phys. Chem. A 2015, 119, 4993–5008. [Google Scholar] [CrossRef]
- Jabłoński, M. Geometry- and QTAIM-Based Comparison of Intramolecular Charge-Inverted Hydrogen Bonds, M···(H–Si) “Agostic Bond”, and M···(η2-SiH) σ Interactions. J. Phys. Chem. A 2015, 119, 11384–11396. [Google Scholar] [CrossRef]
- Jabłoński, M. Comparative study of geometric and QTAIM-based differences between XH⋯Y intramolecular charge-inverted hydrogen bonds, M1⋯(HX) agostic bonds and M2⋯(η2-XH) σ interactions (X=Si, Ge; Y=Al, Ga; M1=Ti, Co; M2=Mn, Fe, Cr). Comp. Theor. Chem. 2016, 1096, 54–65. [Google Scholar] [CrossRef]
- Castillo, N.; Matta, C.; Boyd, R. The first example of a cage critical point in a single ring: A novel twisted α-helical ring topology. Chem. Phys. Lett. 2005, 409, 265–269. [Google Scholar] [CrossRef]
- Rzepa, H.S.; Allan, C.S.M. Racemization of Isobornyl Chloride via Carbocations: A Nonclassical Look at a Classic Mechanism. J. Chem. Educ. 2010, 87, 221–228. [Google Scholar] [CrossRef]
- Coulson, C.A. The electronic structure of some polyenes and aromatic molecules. VII. Bonds of fractional order by the molecular orbital method. Proc. R. Soc. Lond. Ser. A. Math. Phys. Sci. 1939, 169, 413–428. [Google Scholar] [CrossRef]
- Mulliken, R.S. Electronic Population Analysis on LCAO–MO Molecular Wave Functions. J. Chem. Phys. 1955, 23, 2338–2343. [Google Scholar] [CrossRef]
- Mayer, I. Charge, bond order and valence in the AB initio SCF theory. Chem. Phys. Lett. 1983, 97, 270–274. [Google Scholar] [CrossRef]
- Mayer, I. Bond order and valence: Relations to Mulliken’s population analysis. Int. J. Quantum Chem. 1984, 26, 151–154. [Google Scholar] [CrossRef]
- Mayer, I. On bond orders and valences in the Ab initio quantum chemical theory. Int. J. Quantum Chem. 1986, 29, 73–84. [Google Scholar] [CrossRef]
- Mayer, I. Bond orders and valences from ab initio wave functions. Int. J. Quantum Chem. 1986, 29, 477–483. [Google Scholar] [CrossRef]
- Wiberg, K. Application of the pople-santry-segal CNDO method to the cyclopropylcarbinyl and cyclobutyl cation and to bicyclobutane. Tetrahedron 1968, 24, 1083–1096. [Google Scholar] [CrossRef]
- Bader, R.F.W.; Stephens, M.E. Spatial localization of the electronic pair and number distributions in molecules. J. Am. Chem. Soc. 1975, 97, 7391–7399. [Google Scholar] [CrossRef]
- Hirshfeld, F.L. Bonded-atom fragments for describing molecular charge densities. Theor. Chem. Acc. 1977, 44, 129–138. [Google Scholar] [CrossRef]
- Matito, E. ESI-3D: Electron Sharing Indices Program for 3D Molecular Space Partitioning; Institute of Computational chemistry and Catalysis (IQCC), University of Girona: Catalonia, Spain, 2006; Courtesy of Eduard Matito; Available online: https://quantchemdev.github.io/resources.html (accessed on 26 May 2023).
- Matito, E.; Duran, M.; Solá, M. The aromatic fluctuation index (FLU): A new aromaticity index based on electron delocalization. J. Chem. Phys. 2005, 122, 014109. [Google Scholar] [CrossRef] [PubMed]
- Matito, E.; Solá, M.; Salvador, P.; Duran, M. Electron Sharing Indexes at the Correlated Level. Application to Aromaticity Measures. Faraday Discuss. 2007, 135, 325–345. [Google Scholar] [CrossRef]
- Weinhold, F.; Glendening, E.D. Comment on “Natural Bond Orbitals and the Nature of the Hydrogen Bond”. J. Phys. Chem. A 2018, 122, 724–732. [Google Scholar] [CrossRef]
- Pudasaini, B.; Janesko, B.G. Agostic Interactions in Nickel(II) Complexes: Trans Influence of Ancillary Ligands on the Strength of the Bond. Organometallics 2014, 33, 84–93. [Google Scholar] [CrossRef]
- Debnath, T.; Ash, T.; Banu, T.; Das, A.K. Investigation of agostic interaction through NBO analysis and its impact on β-hydride elimination and dehydrogenation: A DFT approach. Theor. Chem. Acc. 2016, 135, 1–14. [Google Scholar] [CrossRef]
- Thakur, T.S.; Desiraju, G.R. Theoretical investigation of C–H⋯M interactions in organometallic complexes: A natural bond orbital (NBO) study. J. Mol. Struct. THEOCHEM 2007, 810, 143–154. [Google Scholar] [CrossRef]
- Barthes, C.; Lepetit, C.; Canac, Y.; Duhayon, C.; Zargarian, D.; Chauvin, R. P(CH)P Pincer Rhodium(I) Complexes: The Key Role of Electron-Poor Imidazoliophosphine Extremities. Inorg. Chem. 2013, 52, 48–58. [Google Scholar] [CrossRef] [PubMed]
- Weinhold, F.; Landis, C.R. Natural Bond Orbitals and Extensions of Localized Bonding Concepts. Chem. Educ. Res. Pract. Eur. 2001, 2, 91–104. [Google Scholar] [CrossRef]
- Knizia, G. Intrinsic atomic orbitals: An unbiased bridge between quantum theory and chemical concepts. J. Chem. Theory Comput. 2013, 9, 4834–4843. [Google Scholar] [CrossRef]
- Knizia, G.; Klein, J.E.M.N. Electron flow in reaction mechanisms—Revealed from first principles. Angew. Chem. Int. Ed. 2015, 54, 5518–5522. [Google Scholar] [CrossRef]
- Klein, J.E.M.N.; Havenith, R.W.A.; Knizia, G. The Pentagonal-Pyramidal Hexamethylbenzene Dication: Many Shades of Coordination Chemistry at Carbon. Chem. Eur. J. 2018, 24, 12340–12345. [Google Scholar] [CrossRef]
- Macchi, P.; Proserpio, D.M.; Sironi, A. Experimental Electron Density Studies for Investigating the Metal π-Ligand Bond: The Case of Bis(1,5-cyclooctadiene)nickel. J. Am. Chem. Soc. 1998, 120, 1447–1455. [Google Scholar] [CrossRef]
- Ball, P. Beyond the bond. Nature 2011, 469, 26–28. [Google Scholar] [CrossRef]
- Benítez, F.J.; Gutiérrez-Oliva, S.; Herrera, B.; Toro-Labbé, A. Basis Electronic Activity of Molecular Systems. A Theory of Bond Reactivity. J. Phys. Chem. A 2024, 128, 1902–1912. [Google Scholar] [CrossRef] [PubMed]
- Frisch, M.J.; Trucks, G.W.; Schlegel, H.B.; Scuseria, G.E.; Robb, M.A.; Cheeseman, J.R.; Scalmani, G.; Barone, V.; Petersson, G.A.; Nakatsuji, H.; et al. Gaussian 16, Revision C.01; Gaussian, Inc.: Wallingford, CT, USA, 2019. [Google Scholar]
- Perdew, J.P.; Burke, K.; Ernzerhof, M. Generalized Gradient Approximation Made Simple. Phys. Rev. Lett. 1996, 77, 3865. [Google Scholar] [CrossRef] [PubMed]
- Grimme, S.; Antony, J.; Ehrlich, S.; Krieg, H. A consistent and accurate ab initio parametrization of density functional dispersion correction (DFT-D) for the 94 elements H-Pu. J. Chem. Phys. 2010, 132, 154104–154119. [Google Scholar] [CrossRef]
- Grimme, S.; Ehrlich, S.; Goerigk, L. Effect of the damping function in dispersion corrected density functional theory. J. Comput. Chem. 2011, 32, 1456–1465. [Google Scholar] [CrossRef] [PubMed]
- Becke, A.D.; Johnson, E.R. A density-functional model of the dispersion interaction. J. Chem. Phys. 2005, 122, 154101. [Google Scholar] [CrossRef] [PubMed]
- Johnson, E.R.; Becke, A.D. A post-Hartree-Fock model of intermolecular interactions. J. Chem. Phys. 2006, 123, 024101. [Google Scholar] [CrossRef]
- Johnson, E.R.; Becke, A.D. A post-Hartree-Fock model of intermolecular interactions: Inclusion of higher-order corrections. J. Chem. Phys. 2006, 124, 174104. [Google Scholar] [CrossRef]
- Weigend, F.; Ahlrichs, R. Balanced basis sets of split valence, triple zeta valence and quadruple zeta valence quality for H to Rn: Design and assessment of accuracy. Phys. Chem. Chem. Phys. 2005, 7, 3297–3305. [Google Scholar] [CrossRef]
- Pantazis, D.A.; McGrady, J.E.; Maseras, F.; Etienne, M. Critical Role of the Correlation Functional in DFT Descriptions of an Agostic Niobium Complex. J. Chem. Theory Comput. 2007, 3, 1329–1336. [Google Scholar] [CrossRef]
- Tognetti, V.; Joubert, L. On the Influence of Density Functional Approximations on Some Local Bader’s Atoms-in-Molecules Properties. J. Phys. Chem. A 2011, 115, 5505–5515. [Google Scholar] [CrossRef]
- Pantazis, D.A.; McGrady, J.E.; Besora, M.; Maseras, F.; Etienne, M. On the Origin of α- and β-Agostic Distortions in Early-Transition-Metal Alkyl Complexes. Organometallics 2008, 27, 1128–1134. [Google Scholar] [CrossRef]
- Medvedev, M.G.; Bushmarinov, I.S.; Sun, J.; Perdew, J.P.; Lyssenko, K.A. Density functional theory is straying from the path toward the exact functional. Science 2017, 355, 49–52. [Google Scholar] [CrossRef] [PubMed]
- Brémond, É.; Tognetti, V.; Chermette, H.; Sancho-García, J.C.; Joubert, L.; Adamo, C. Electronic Energy and Local Property Errors at QTAIM Critical Points While Climbing Perdew’s Ladder of Density-Functional Approximations. J. Chem. Theory Comput. 2022, 18, 293–308. [Google Scholar] [CrossRef] [PubMed]
- Boto, R.A.; Peccati, F.; Laplaza, R.; Quan, C.; Carbone, A.; Piquemal, J.-P.; Maday, Y.; Contreras-Garcia, J. NCIPLOT4: A New Step towards a Fast Quantification of Noncovalent Interactions. Available online: https://github.com/juliacontrerasgarcia/nciplot. (accessed on 10 August 2024).
- Keith, T.A. AIMAll version 19.10.12; TK Gristmill Software: Overland Park, KS, USA, 2019. [Google Scholar]
- Glendening, E.D.; Badenhoop, J.K.; Reed, A.E.; Carpenter, J.E.; Bohmann, J.A.; Morales, C.M.; Karafiloglou, P.; Landis, C.R.; Weinhold, F. NBO 7; Theoretical Chemistry Institute, University of Wisconsin: Madison, WI, USA, 2018; Available online: https://nbo7.chem.wisc.edu (accessed on 23 January 2022).
- Knizia, G. IboView v.20211019-RevA. Available online: http://www.iboview.org/ (accessed on 23 January 2022).
Disclaimer/Publisher’s Note: The statements, opinions and data contained in all publications are solely those of the individual author(s) and contributor(s) and not of MDPI and/or the editor(s). MDPI and/or the editor(s) disclaim responsibility for any injury to people or property resulting from any ideas, methods, instructions or products referred to in the content. |
© 2024 by the author. Licensee MDPI, Basel, Switzerland. This article is an open access article distributed under the terms and conditions of the Creative Commons Attribution (CC BY) license (https://creativecommons.org/licenses/by/4.0/).















