Ceria-Catalysed Production of Dimethyl Carbonate from Methanol and CO2: Effect of Using a Dehydrating Agent Combined with a Solid Cocatalyst
Abstract
1. Introduction
2. Results and Discussion
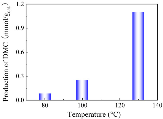
2.1. Effect of Reaction Temperature
2.2. Selection of the Dehydrating Agent
2.3. Selection of a Second Catalyst
2.4. Comparison of the Performances of Different Cerias
3. Materials and Methods
3.1. Materials
3.2. Characterization
3.3. Catalytic Evaluation
4. Conclusions
Author Contributions
Funding
Institutional Review Board Statement
Informed Consent Statement
Data Availability Statement
Acknowledgments
Conflicts of Interest
References
- Li, L.; Liu, W.; Chen, R.; Shang, S.; Zhang, X.; Wang, H.; Zhang, H.; Ye, B.; Xie, Y. Atom-Economical Synthesis of Dimethyl Carbonate from CO2: Engineering Reactive Frustrated Lewis Pairs on Ceria with Vacancy Clusters. Angew. Chem. Int. Ed. 2022, 61, e202214490. [Google Scholar] [CrossRef] [PubMed]
- Lee, K.M.; Jang, J.H.; Balamurugan, M.; Kim, J.E.; Jo, Y.I.; Nam, K.T. Redox-Neutral Electrochemical Conversion of CO2 to Dimethyl Carbonate. Nat. Energy 2021, 6, 733–741. [Google Scholar] [CrossRef]
- Zhang, M.; Xu, Y.; Williams, B.L.; Xiao, M.; Wang, S.; Han, D.; Sun, L.; Meng, Y. Catalytic Materials for Direct Synthesis of Dimethyl Carbonate (DMC) from CO2. J. Clean. Prod. 2021, 279, 123344. [Google Scholar] [CrossRef]
- Tan, H.Z.; Wang, Z.Q.; Xu, Z.N.; Sun, J.; Xu, Y.P.; Chen, Q.S.; Chen, Y.; Guo, G.C. Review on the Synthesis of Dimethyl Carbonate. Catal. Today 2018, 316, 2–12. [Google Scholar] [CrossRef]
- Tamboli, A.H.; Chaugule, A.A.; Kim, H. Catalytic Developments in the Direct Dimethyl Carbonate Synthesis from Carbon Dioxide and Methanol. Chem. Eng. J. 2017, 323, 530–544. [Google Scholar] [CrossRef]
- Kumar, P.; Srivastava, V.C.; Štangar, U.L.; Mušič, B.; Mishra, I.M.; Meng, Y. Recent Progress in Dimethyl Carbonate Synthesis Using Different Feedstock and Techniques in the Presence of Heterogeneous Catalysts. Catal. Rev. 2021, 63, 363. [Google Scholar] [CrossRef]
- Modak, A.; Bhanja, P.; Dutta, S.; Chowdhury, B.; Bhaumik, A. Catalytic Reduction of CO2 into Fuels and Fine Chemicals. Green Chem. 2020, 22, 4002–4033. [Google Scholar] [CrossRef]
- Shi, D.; Heyte, S.; Capron, M.; Paul, S. Catalytic Processes for the Direct Synthesis of Dimethyl Carbonate from CO2 and Methanol: A Review. Green Chem. 2022, 24, 1067–1089. [Google Scholar] [CrossRef]
- Zhu, D.; Liu, H.; Huang, Y.; Luo, X.; Mao, Y.; Liang, Z. Study of Direct Synthesis of DMC from CO2 and Methanol on CeO2: Theoretical Calculation and Experiment. Ind. Eng. Chem. Res. 2022, 61, 10804. [Google Scholar] [CrossRef]
- Liu, B.; Li, C.; Zhang, G.; Yao, X.; Chuang, S.S.C.; Li, Z. Oxygen Vacancy Promoting Dimethyl Carbonate Synthesis from CO2 and Methanol over Zr-Doped CeO2 Nanorods. ACS Catal. 2018, 8, 10446–10456. [Google Scholar] [CrossRef]
- Honda, M.; Tamura, M.; Nakagawa, Y.; Tomishige, K. Catalytic CO2 Conversion to Organic Carbonates with Alcohols in Combination with Dehydration System. Catal. Sci. Technol. 2014, 4, 2830–2845. [Google Scholar] [CrossRef]
- Huo, L.; Wang, L.; Li, J.; Pu, Y.; Xuan, K.; Qiao, C.; Yang, H. Cerium Doped Zr-based Metal-organic Framework as Catalyst for Direct Synthesis of Dimethyl Carbonate from CO2 and Methanol. J. CO2 Util. 2023, 68, 102352. [Google Scholar] [CrossRef]
- Wang, S.; Zhao, L.; Wang, W.; Zhao, Y.; Zhang, G.; Ma, X.; Gong, J. Morphology Control of Ceria Nanocrystals for Catalytic Conversion of CO2 with Methanol. Nanoscale 2013, 5, 5582–5588. [Google Scholar] [CrossRef]
- Unnikrishnan, P.; Darbha, S. Direct Synthesis of Dimethyl Carbonate from CO2 and Methanol over CeO2 Catalysts of Different Morphologies. J. Chem. Sci. 2016, 128, 957–965. [Google Scholar] [CrossRef]
- Tian, L.; Tan, Z.; Wang, Q.; Liao, Y.; Chou, J.; Wu, J.; Liu, G.; Peng, Y. Cerium Coordination-dependent Surface Intermediates Regulate Activity in Dimethyl Carbonate Synthesis from CO2 and Methanol. Appl. Catal. B Environ. 2023, 336, 122914. [Google Scholar] [CrossRef]
- Al-Darwish, J.; Senter, M.; Lawson, S.; Rezaei, F.; Rownaghi, A.A. Ceria Nanostructured Catalysts for Conversion of Methanol and Carbon Dioxide to Dimethyl Carbonate. Catal. Today 2019, 350, 120–126. [Google Scholar] [CrossRef]
- Zhang, M.; Xiao, M.; Wang, S.; Han, D.; Lu, Y.; Meng, Y. Cerium Oxide-Based Catalysts Made by Template-Precipitation for the Dimethyl Carbonate Synthesis from Carbon Dioxide and Methanol. J. Clean. Prod. 2015, 103, 847–853. [Google Scholar] [CrossRef]
- Kang, K.H.; Joe, W.; Lee, C.H.; Kim, M.; Kim, D.B.; Jang, B.; Song, I.K. Direct Synthesis of Dimethyl Carbonate from Methanol and Carbon Dioxide over CeO2(X)-ZnO(1-X) Nano-Catalysts. J. Nanosci. Nanotechnol. 2013, 13, 8116–8120. [Google Scholar] [CrossRef] [PubMed]
- Kumar, P.; Srivastava, V.C.; Gläser, R.; With, P.; Mishra, I.M. Active Ceria-Calcium Oxide Catalysts for Dimethyl Carbonate Synthesis by Conversion of CO2. Powder Technol. 2017, 309, 13–21. [Google Scholar] [CrossRef]
- Kumar, P.; With, P.; Srivastava, V.C.; Gläser, R.; Mishra, I.M. Conversion of Carbon Dioxide along with Methanol to Dimethyl Carbonate over Ceria Catalyst. J. Environ. Chem. Eng. 2015, 3, 2943–2947. [Google Scholar] [CrossRef]
- Honda, M.; Tamura, M.; Nakagawa, Y.; Sonehara, S.; Suzuki, K.; Fujimoto, K.I.; Tomishige, K. Ceria-Catalyzed Conversion of Carbon Dioxide into Dimethyl Carbonate with 2-Cyanopyridine. ChemSusChem 2013, 6, 1341–1344. [Google Scholar] [CrossRef] [PubMed]
- Wang, S.P.; Zhou, J.J.; Zhao, S.Y.; Zhao, Y.J.; Ma, X. Bin Enhancements of Dimethyl Carbonate Synthesis from Methanol and Carbon Dioxide: The In-Situ Hydrolysis of 2-Cyanopyridine and Crystal Face Effect of Ceria. Chin. Chem. Lett. 2015, 26, 1096–1100. [Google Scholar] [CrossRef]
- Bansode, A.; Urakawa, A. Continuous DMC Synthesis from CO2 and Methanol over a CeO2 Catalyst in a Fixed Bed Reactor in the Presence of a Dehydrating Agent. ACS Catal. 2014, 4, 3877–3880. [Google Scholar] [CrossRef]
- Honda, M.; Tamura, M.; Nakagawa, Y.; Nakao, K.; Suzuki, K.; Tomishige, K. Organic Carbonate Synthesis from CO2 and Alcohol over CeO2 with 2-Cyanopyridine: Scope and Mechanistic Studies. J. Catal. 2014, 318, 95–107. [Google Scholar] [CrossRef]
- Stoian, D.; Bansode, A.; Medina, F.; Urakawa, A. Catalysis under Microscope: Unraveling the Mechanism of Catalyst De- and Re-Activation in the Continuous Dimethyl Carbonate Synthesis from CO2 and Methanol in the Presence of a Dehydrating Agent. Catal. Today 2017, 283, 2–10. [Google Scholar] [CrossRef]
- Stoian, D.; Medina, F.; Urakawa, A. Improving the Stability of CeO2 Catalyst by Rare Earth Metal Promotion and Molecular Insights in the Dimethyl Carbonate Synthesis from CO2 and Methanol with 2-Cyanopyridine. ACS Catal. 2018, 8, 3181–3193. [Google Scholar] [CrossRef]
- Honda, M.; Suzuki, A.; Noorjahan, B.; Fujimoto, K.I.; Suzuki, K.; Tomishige, K. Low Pressure CO2 to Dimethyl Carbonate by the Reaction with Methanol Promoted by Acetonitrile Hydration. Chem. Commun. 2009, 30, 4596–4598. [Google Scholar] [CrossRef]
- Honda, M.; Kuno, S.; Sonehara, S.; Fujimoto, K.I.; Suzuki, K.; Nakagawa, Y.; Tomishige, K. Tandem Carboxylation-hydration Reaction System from Methanol, CO2 and Benzonitrile to Dimethyl Carbonate and Benzamide Catalyzed by CeO2. ChemCatChem 2011, 3, 365–370. [Google Scholar] [CrossRef]
- Tomishige, K.; Kunimori, K. Catalytic and Direct Synthesis of Dimethyl Carbonate Starting from Carbon Dioxide Using CeO2-ZrO2 Solid Solution Heterogeneous Catalyst: Effect of H2O Removal from the Reaction System. Appl. Catal. A Gen. 2002, 237, 103–109. [Google Scholar] [CrossRef]
- Saada, R.; Kellici, S.; Heil, T.; Morgan, D.; Saha, B. Greener Synthesis of Dimethyl Carbonate Using a Novel Ceria-Zirconia Oxide/Graphene Nanocomposite Catalyst. Appl. Catal. B Environ. 2015, 168–169, 353–362. [Google Scholar] [CrossRef]
- Choi, J.C.; Kohno, K.; Ohshima, Y.; Yasuda, H.; Sakakura, T. Tin- or Titanium-Catalyzed Dimethyl Carbonate Synthesis from Carbon Dioxide and Methanol: Large Promotion by a Small Amount of Triflate Salts. Catal. Commun. 2008, 9, 1630–1633. [Google Scholar] [CrossRef]
- Stoian, D.C.; Taboada, E.; Llorca, J.; Molins, E.; Medina, F.; Segarra, A.M. Boosted CO2 Reaction with Methanol to Yield Dimethyl Carbonate over Mg–Al Hydrotalcite-Silica Lyogels. Chem. Commun. 2013, 49, 5489–5491. [Google Scholar] [CrossRef]
- Cai, Q.; Lu, B.; Guo, L.; Shan, Y. Studies on Synthesis of Dimethyl Carbonate from Methanol and Carbon Dioxide. Catal. Commun. 2009, 10, 605–609. [Google Scholar] [CrossRef]
- Kabra, S.K.; Turpeinen, E.; Keiski, R.L.; Yadav, G.D. Direct Synthesis of Dimethyl Carbonate from Methanol and Carbon Dioxide: A Thermodynamic and Experimental Study. J. Supercrit. Fluids 2016, 117, 98–107. [Google Scholar] [CrossRef]
- Hong, S.T.; Park, H.S.; Lim, J.S.; Lee, Y.W.; Anpo, M.; Kim, J.D. Synthesis of Dimethyl Carbonate from Methanol and Supercritical Carbon Dioxide. Res. Chem. Intermed. 2006, 32, 737–747. [Google Scholar] [CrossRef]
- Fu, Y.; Zhu, H.; Shen, J. Thermal Decomposition of Dimethoxymethane and Dimethyl Carbonate Catalyzed by Solid Acids and Bases. Thermochim. Acta 2005, 434, 88–92. [Google Scholar] [CrossRef]
- Derouane, E.G.; Védrine, J.C.; Ramos Pinto, R.; Borges, P.M.; Costa, L.; Lemos, M.A.N.D.A.; Lemos, F.; Ramôa Ribeiro, F. The Acidity of Zeolites: Concepts, Measurements and Relation to Catalysis: A Review on Experimental and Theoretical Methods for the Study of Zeolite Acidity. Catal. Rev.-Sci. Eng. 2013, 55, 454–515. [Google Scholar] [CrossRef]
- Lotero, E.; Liu, Y.; Lopez, D.E.; Suwannakarn, K.; Bruce, D.A.; Goodwin, J.G. Synthesis of Biodiesel via Acid Catalysis. Ind. Eng. Chem. Res. 2005, 44, 5353–5363. [Google Scholar] [CrossRef]
- Sasidharan, M.; Kumar, R. Transesterification over Various Zeolites under Liquid-Phase Conditions. J. Mol. Catal. A Chem. 2004, 210, 93–98. [Google Scholar] [CrossRef]
- Hunger, J.; Beta, I.A.; Böhlig, H.; Ling, C.; Jobic, H.; Hunger, B. Adsorption Structures of Water in NaX Studied by DRIFT Spectroscopy and Neutron Powder Diffraction. J. Phys. Chem. B 2006, 110, 342–353. [Google Scholar] [CrossRef]
- Joos, L.; Swisher, J.A.; Smit, B. Molecular Simulation Study of the Competitive Adsorption of H2O and CO2 in Zeolite 13X. Langmuir 2013, 29, 15936–15942. [Google Scholar] [CrossRef] [PubMed]









| Samples | NH3 Absorption (μmol/m2) a | CO2 Absorption (μmol/m2) b | ||||||
|---|---|---|---|---|---|---|---|---|
| Weak (<200 °C) | Moderate (200–400 °C) | Strong (>400 °C) | Total | Weak (<200 °C) | Moderate (200–400 °C) | Strong (>400 °C) | Total | |
| CeO2 | 0.2 | 0.8 | 2.9 | 3.9 | 1.0 | 1.5 | 1.1 | 3.6 |
| HSA-5 | 0 | 5.3 | 7.0 | 12.3 | 0.2 | 1.9 | 3.0 | 5.1 |
| HSA-20 | 0.2 | 1.6 | 2.3 | 4.1 | 0.8 | 1.6 | 0.9 | 3.3 |
| Entry | Catalyst | Dehydrating Agent | Temp. (°C) | Time (h) | DMC Production (mmol/gcat.) | Ref. |
|---|---|---|---|---|---|---|
| 1 | CeO2-ZrO2 | DMP | 110 | 140 | 13.8 | [29] |
| 2 | CeO2 | Benzonitrile | 150 | 24 | 48.2 | [28] |
| 3 | CeO2 | Acetonitrile | 150 | 24 | 24 | [27] |
| 4 | Ce-Zr oxide/graphene | TMM | 110 | 24 | 51.6 | [30] |
| 5 | CeO2 | 2-cyanopyridine | 120 | 12 | 138 | [21] |
| 6 | HSA-5 | TMM | 130 | 48 | 199.5 | This work |
Disclaimer/Publisher’s Note: The statements, opinions and data contained in all publications are solely those of the individual author(s) and contributor(s) and not of MDPI and/or the editor(s). MDPI and/or the editor(s) disclaim responsibility for any injury to people or property resulting from any ideas, methods, instructions or products referred to in the content. |
© 2024 by the authors. Licensee MDPI, Basel, Switzerland. This article is an open access article distributed under the terms and conditions of the Creative Commons Attribution (CC BY) license (https://creativecommons.org/licenses/by/4.0/).
Share and Cite
Shi, D.; Heyte, S.; Capron, M.; Paul, S. Ceria-Catalysed Production of Dimethyl Carbonate from Methanol and CO2: Effect of Using a Dehydrating Agent Combined with a Solid Cocatalyst. Molecules 2024, 29, 5663. https://doi.org/10.3390/molecules29235663
Shi D, Heyte S, Capron M, Paul S. Ceria-Catalysed Production of Dimethyl Carbonate from Methanol and CO2: Effect of Using a Dehydrating Agent Combined with a Solid Cocatalyst. Molecules. 2024; 29(23):5663. https://doi.org/10.3390/molecules29235663
Chicago/Turabian StyleShi, Dichao, Svetlana Heyte, Mickaël Capron, and Sébastien Paul. 2024. "Ceria-Catalysed Production of Dimethyl Carbonate from Methanol and CO2: Effect of Using a Dehydrating Agent Combined with a Solid Cocatalyst" Molecules 29, no. 23: 5663. https://doi.org/10.3390/molecules29235663
APA StyleShi, D., Heyte, S., Capron, M., & Paul, S. (2024). Ceria-Catalysed Production of Dimethyl Carbonate from Methanol and CO2: Effect of Using a Dehydrating Agent Combined with a Solid Cocatalyst. Molecules, 29(23), 5663. https://doi.org/10.3390/molecules29235663

