Design, Synthesis, Structural Insights, Tyrosinase Inhibition, and Sun Protection Factor of New Thiosemicarbazone Derivatives
Abstract
1. Introduction
2. Results and Discussion
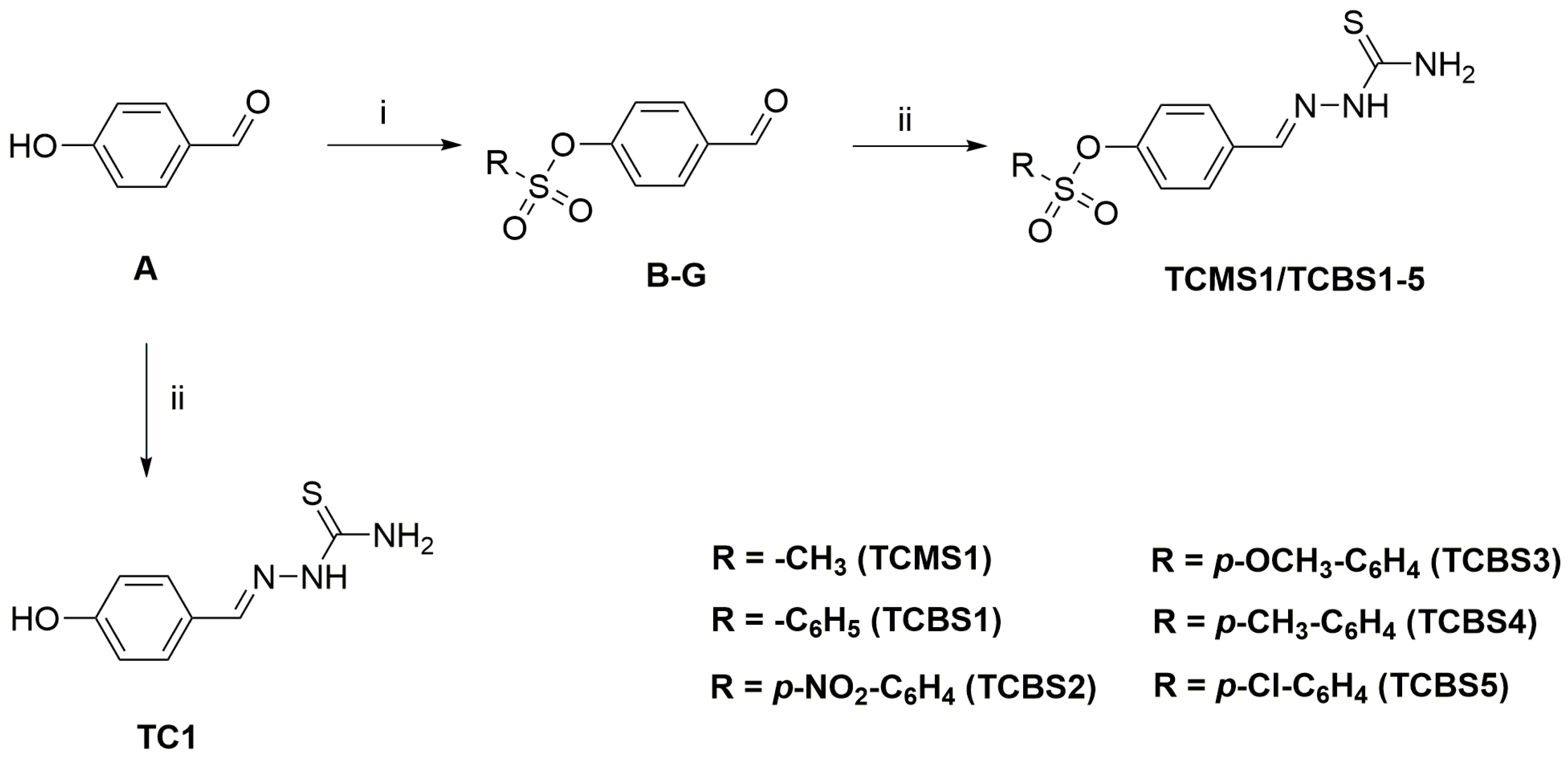
2.1. Synthesis and Chemical Characterisation
2.2. Crystal Structure
2.3. Hirshfeld Surface
2.4. Molecular Descriptors
2.5. Tyrosinase Inhibition
2.6. Antioxidant Activity
2.7. Sun Protection Factor
2.8. Copper Chelation Studies
2.9. Cytotoxicity Analysis
2.10. Molecular Docking
3. Materials and Methods
3.1. Chemicals
3.2. Instrumentation Techniques
3.3. General Procedure for the Synthesis of Intermediates B–G
3.4. General Procedure for the Synthesis of Target Compounds TC1, TCMS1, TCBS1-5
3.5. Crystal Structure
3.6. Hirshfeld Analysis
3.7. Molecular Descriptors
3.8. Tyrosinase Inhibition Assay
3.9. Antioxidant Assays
3.9.1. DPPH
3.9.2. ABTS
3.10. Sun Protection Factor (SPF)
3.11. Copper Chelation Studies
3.12. Cell Viability Assay
3.13. Docking Calculations
3.14. Statistical Analysis
4. Conclusions
Supplementary Materials
Author Contributions
Funding
Institutional Review Board Statement
Informed Consent Statement
Data Availability Statement
Acknowledgments
Conflicts of Interest
References
- Lobana, T.S. Activation of C-H Bonds of Thiosemicarbazones by Transition Metals: Synthesis, Structures and Importance of Cyclometallated Compounds. RSC Adv. 2015, 5, 37231–37274. [Google Scholar] [CrossRef]
- Gupta, S.; Singh, N.; Khan, T.; Joshi, S. Thiosemicarbazone Derivatives of Transition Metals as Multi-Target Drugs: A Review. Results Chem. 2022, 4, 100459. [Google Scholar] [CrossRef]
- Hałdys, K.; Latajka, R. Thiosemicarbazones with Tyrosinase Inhibitory Activity. MedChemComm 2019, 10, 378–389. [Google Scholar] [CrossRef] [PubMed]
- Li, J.; Feng, L.; Liu, L.; Wang, F.; Ouyang, L.; Zhang, L.; Hu, X.; Wang, G. Recent Advances in the Design and Discovery of Synthetic Tyrosinase Inhibitors. Eur. J. Med. Chem. 2021, 224, 113744. [Google Scholar] [CrossRef] [PubMed]
- Peng, Z.; Wang, G.; Zeng, Q.H.; Li, Y.; Liu, H.; Wang, J.J.; Zhao, Y. A Systematic Review of Synthetic Tyrosinase Inhibitors and Their Structure-Activity Relationship. Crit. Rev. Food Sci. Nutr. 2021, 62, 4053–4094. [Google Scholar] [CrossRef] [PubMed]
- Zolghadri, S.; Bahrami, A.; Hassan Khan, M.T.; Munoz-Munoz, J.; Garcia-Molina, F.; Garcia-Canovas, F.; Saboury, A.A. A Comprehensive Review on Tyrosinase Inhibitors. J. Enzym. Inhib. Med. Chem. 2019, 34, 279–309. [Google Scholar] [CrossRef]
- Ledwoń, P.; Goldeman, W.; Hałdys, K.; Jewgiński, M.; Calamai, G.; Rossowska, J.; Papini, A.M.; Rovero, P.; Latajka, R. Tripeptides Conjugated with Thiosemicarbazones: New Inhibitors of Tyrosinase for Cosmeceutical Use. J. Enzym. Inhib. Med. Chem. 2023, 38, 2193676. [Google Scholar] [CrossRef]
- Hosseinpoor, H.; Moghadam Farid, S.; Iraji, A.; Askari, S.; Edraki, N.; Hosseini, S.; Jamshidzadeh, A.; Larijani, B.; Attarroshan, M.; Pirhadi, S.; et al. Anti-Melanogenesis and Anti-Tyrosinase Properties of Aryl-Substituted Acetamides of Phenoxy Methyl Triazole Conjugated with Thiosemicarbazide: Design, Synthesis and Biological Evaluations. Bioorganic Chem. 2021, 114, 104979. [Google Scholar] [CrossRef]
- Slominski, A.; Tobin, D.J.; Shibahara, S.; Wortsman, J. Melanin Pigmentation in Mammalian Skin and Its Hormonal Regulation. Physiol. Rev. 2004, 84, 1155–1228. [Google Scholar] [CrossRef]
- De Luca, L.; Germanò, M.P.; Fais, A.; Pintus, F.; Buemi, M.R.; Vittorio, S.; Mirabile, S.; Rapisarda, A.; Gitto, R. Discovery of a New Potent Inhibitor of Mushroom Tyrosinase (Agaricus Bisporus) Containing 4-(4-Hydroxyphenyl)Piperazin-1-Yl Moiety. Bioorg. Med. Chem. 2020, 28, 115497. [Google Scholar] [CrossRef] [PubMed]
- Era, B.; Floris, S.; Sogos, V.; Porcedda, C.; Piras, A.; Medda, R.; Fais, A.; Pintus, F. Anti-Aging Potential of Extracts from Washingtonia Filifera Seeds. Plants 2021, 10, 151. [Google Scholar] [CrossRef]
- Baber, M.A.; Crist, C.M.; Devolve, N.L.; Patrone, J.D. Tyrosinase Inhibitors: A Perspective. Molecules 2023, 28, 5762. [Google Scholar] [CrossRef]
- Haudecoeur, R.; Gouron, A.; Dubois, C.; Lightbody, M. Investigation of Binding-Site Homology between Mushroom and Bacterial Tyrosinases by Using Aurones as Effectors. ChemBioChem 2014, 15, 1325–1333. [Google Scholar] [CrossRef]
- Fogal, S.; Carotti, M.; Giaretta, L.; Lanciai, F.; Nogara, L.; Bubacco, L.; Bergantino, E. Human Tyrosinase Produced in Insect Cells: A Landmark for the Screening of New Drugs Addressing Its Activity. Mol. Biotechnol. 2015, 57, 45–57. [Google Scholar] [CrossRef]
- Mann, T.; Gerwat, W.; Batzer, J.; Eggers, K.; Scherner, C.; Wenck, H. Inhibition of Human Tyrosinase Requires Molecular Motifs Distinctively Different from Mushroom Tyrosinase. J. Investig. Dermatol. 2018, 138, 1601–1608. [Google Scholar] [CrossRef]
- Chandarajoti, K.; Kara, J.; Suwanhom, P.; Nualnoi, T.; Puripattanavong, J.; Lee, V.S.; Tipmanee, V. Synthesis and Evaluation of Coumarin Derivatives on Antioxidative, Tyrosinase Inhibitory Activities, Melanogenesis, and in Silico Investigations. Sci. Rep. 2024, 14, 5535. [Google Scholar] [CrossRef]
- Soares, M.A.; Almeida, M.A.; Marins-Goulart, C.; Chaves, O.A.; Echevarria, A.; de Oliveira, M.C.C. Thiosemicarbazones as Inhibitors of Tyrosinase Enzyme. Bioorg. Med. Chem. Lett. 2017, 27, 3546–3550. [Google Scholar] [CrossRef]
- Hałdys, K.; Goldeman, W.; Jewgiński, M.; Wolińska, E.; Anger-Góra, N.; Rossowska, J.; Latajka, R. Halogenated Aromatic Thiosemicarbazones as Potent Inhibitors of Tyrosinase and Melanogenesis. Bioorg. Chem. 2020, 94, 103419. [Google Scholar] [CrossRef]
- Hosseinpoor, H.; Iraji, A.; Edraki, N.; Pirhadi, S.; Attarroshan, M.; Khoshneviszadeh, M.; Khoshneviszadeh, M. A Series of Benzylidenes Linked to Hydrazine-1-Carbothioamide as Tyrosinase Inhibitors: Synthesis, Biological Evaluation and Structure—Activity Relationship. Chem. Biodivers. 2020, 17, e2000285. [Google Scholar] [CrossRef]
- Yi, W.; Cao, R.H.; Chen, Z.Y.; Yu, L.; Ma, L.; Song, H.C. Design, Synthesis and Biological Evaluation of Hydroxy- or Methoxy-Substituted Phenylmethylenethiosemicarbazones as Tyrosinase Inhibitors. Chem. Pharm. Bull. 2009, 57, 1273–1277. [Google Scholar] [CrossRef] [PubMed]
- Lee, K.C.; Thanigaimalai, P.; Sharma, V.K.; Kim, M.S.; Roh, E.; Hwang, B.Y.; Kim, Y.; Jung, S.H. Structural Characteristics of Thiosemicarbazones as Inhibitors of Melanogenesis. Bioorg. Med. Chem. Lett. 2010, 20, 6794–6796. [Google Scholar] [CrossRef] [PubMed]
- Kaur, R.; Kumar, R.; Dogra, N.; Yadav, A.K. Design, Synthesis, Biological Evaluations and in Silico Studies of Sulfonate Ester Derivatives of 2-(2-Benzylidenehydrazono)Thiazolidin-4-One as Potential α-Glucosidase Inhibitors. J. Mol. Struct. 2022, 1247, 131266. [Google Scholar] [CrossRef]
- Tokalı, F.S.; Taslimi, P.; Tüzün, B.; Karakuş, A.; Sadeghian, N.; Gulçin, İ. Synthesis of New Carboxylates and Sulfonates Containing Thiazolidin-4-One Ring and Evaluation of Inhibitory Properties against Some Metabolic Enzymes. J. Iran. Chem. Soc. 2023, 20, 2631–2642. [Google Scholar] [CrossRef]
- Cao, S.; Wang, D.; Cheng, R.; Shi, W.; Zhang, Q.; Zeng, H.; Chen, J.; Zhang, E.Q.; Zeng, H.; Chen, J. Spectrochimica Acta Part A: Molecular and Biomolecular Spectroscopy Modulation of the Lipophilicity and Molecular Size of Thiosemicarbazone Inhibitors to Regulate Tyrosinase Activity. Spectrochim. Acta Part A Mol. Biomol. Spectrosc. 2022, 281, 121590. [Google Scholar] [CrossRef] [PubMed]
- Leblanc, M.; Gonzalez-sarr, A.; Beckford, F.A.; Mbarushimana, P.C.; Seeram, N.P. Coordination Chemistry of Polyaromatic Thiosemicarbazones 2: Synthesis and Biological Activity of Zinc, Cobalt, and Copper Complexes of 1-(Naphthalene-2-Yl) Ethanone Thiosemicarbazone. Int. J. Inorg. Chem. 2011, 2011, 624756. [Google Scholar] [CrossRef]
- Schäfer, M.; Drayß, M.; Springer, A.; Zacharias, P.; Meerholz, K. Radical Cations in Electrospray Mass Spectrometry: Formation of Open-Shell Species, Examination of the Fragmentation Behaviour in ESI-MSn and Reaction Mechanism Studies by Detection of Transient Radical Cations. Eur. J. Org. Chem. 2007, 31, 5162–5174. [Google Scholar] [CrossRef]
- Iftikhar, I.; Brajter-Toth, A. Solution or Gas Phase? Oxidation and Radical Formation in Electrospray Ionization Mass Spectrometry (ESI MS). Electroanalysis 2015, 27, 2872–2881. [Google Scholar] [CrossRef]
- Morand, K.; Talbo, G.; Mann, M. Oxidation of Peptides during Electrospray Ionization. Rapid Commun. Mass Spectrom. 1993, 7, 738–743. [Google Scholar] [CrossRef]
- Sojo, L.E.; Chahal, N.; Keller, B.O. Oxidation of Catechols during Positive Ion Electrospray Mass Spectrometric Analysis: Evidence for in-Source Oxidative Dimerization. Rapid Commun. Mass Spectrom. 2014, 28, 2181–2190. [Google Scholar] [CrossRef]
- Hao, C.; March, R.E. Electrospray Ionization Tandem Mass Spectrometric Study of Salt Cluster Ions: Part 2—Salts of Polyatomic Acid Groups and of Multivalent Metals. J. Mass Spectrom. 2001, 36, 509–521. [Google Scholar] [CrossRef]
- Masuri, S.; Cadoni, E.; Cabiddu, M.G.; Isaia, F.; Demuru, M.G.; Morán, L.; Morán, L.; Bucek, D.; Vanhara, P.; Vanhara, P.; et al. The First Copper(Ii) Complex with 1,10-Phenanthroline and Salubrinal with Interesting Biochemical Properties. Metallomics 2020, 12, 891–901. [Google Scholar] [CrossRef] [PubMed]
- Etter, M.C.; MacDonald, J.C.; Bernstein, J. Graph-Set Analysis of Hydrogen-Bond Patterns in Organic Crystals. Acta Cryst. 1990, B46, 256–262. [Google Scholar] [CrossRef] [PubMed]
- Spackman, M.A.; Jayatilaka, D. Hirshfeld Surface Analysis. Cryst. Eng. Comm. 2009, 11, 19–32. [Google Scholar] [CrossRef]
- Mckinnon, J.J.; Fabbiani, F.P.A.; Spackman, M.A. Hirshfeld Surface Analysis 2007. Cryst. Growth Des. 2007, 7, 55–76. [Google Scholar]
- McKinnon, J.J.; Spackman, M.A.; Mitchell, A.S. Novel Tools for Visualizing and Exploring Intermol ecular Interactions in Molecular Crystals. Acta Cryst. 2004, B60, 627–668. [Google Scholar] [CrossRef] [PubMed]
- Luo, Y.; Wu, G.; Mao, S.; Sun, B. Inorganica Chimica Acta Complexation of Different Metals with a Novel N-Donor Bridging Receptor and Hirshfeld Surfaces Analysis. Inorganica Chim. Acta 2013, 397, 1–9. [Google Scholar] [CrossRef]
- Şahin, S.; Dege, N. Hirshfeld Surface, ADMET, Boiled-Egg Model Properties and Molecular Docking Studies with Human Cyclophilin D (CypD) of a Schiff Base Methanimine. Polyhedron 2021, 205, 115320. [Google Scholar] [CrossRef]
- Allali, M.; Dege, N.; Karrouchi, K.; Benchat, N. Synthesis, Spectroscopy, Crystal Structure, TGA/DTA Study, DFT and Molecular Docking Investigations of (E)-4-(4-Methylbenzyl)-6-Styrylpyridazin-3(2H)-One. J. Mol. Struct. 2021, 1228, 129435. [Google Scholar] [CrossRef]
- Yuan, F.; Zhang, R.; Qiao, C.; Luo, X.; Zhou, C. Series of Ln-Metal Organic Frameworks: Photocatalytic Performance and Hirshfeld Surface Analyses. J. Mol. Struct. 2022, 1251, 131956. [Google Scholar] [CrossRef]
- Pinto, C.B.; Dos Santos, L.H.R.; Rodrigues, B.L. Understanding Metal—Ligand Interactions in Coor-Dination Polymers Using Hirshfeld Surface Analysis Research Papers. Crystallogr. Sect. C Struct. Chem. 2019, 75, 707–716. [Google Scholar] [CrossRef]
- Turner, M.J.; Grabowsky, S.; Jayatilaka, D.; Spackman, M.A. Accurate and E Ffi Cient Model Energies for Exploring Intermolecular Interactions in Molecular Crystals. J. Phys. Chem. Lett. 2014, 5, 4249–4255. [Google Scholar] [CrossRef] [PubMed]
- Dege, N.; Asam, M.; Onur, R.; Doğan, E.; Ağar, T.; Waseem, M. Theoretical and Experimental Approaches of New Schiff Bases: Efficient Synthesis, X-Ray Structures, DFT, Molecular Modeling and ADMET Studies. J. Iran. Chem. Soc. 2021, 18, 2345–2368. [Google Scholar] [CrossRef]
- Turner, M.J.; Mckinnon, J.J.; Jayatilaka, D.; Spackman, M.A. Visualisation and Characterisation of Voids in Crystalline Materials. CrystEngComm 2011, 13, 1804. [Google Scholar] [CrossRef]
- Irrou, E.; Elmachkouri, A.; Mazzah, A.; Ho, T. Crystal Structure, Hirshfeld Surface and Crystal Void Analysis, Intermolecular Interaction Energies, DFT Calculations and Energy Frameworks of 2H-Benzo[b][1,4]Thiazin-3(4H)-One 1, 1-Dioxide. Acta Cryst. 2023, 3, 1037–1043. [Google Scholar] [CrossRef] [PubMed]
- Lipinski, C.A.; Lombardo, F.; Dominy, B.W.; Feeney, P.J. Experimental and Computational Approaches to Estimate Solubility and Permeability in Drug Discovery and Development Settings. Adv. Drug Deliv. Rev. 2012, 64, 4–17. [Google Scholar] [CrossRef]
- Ertl, P.; Rohde, B.; Selzer, P. Fast Calculation of Molecular Polar Surface Area as a Sum of Fragment-Based Contributions and Its Application to the Prediction of Drug Transport Properties. J. Med. Chem. 2000, 43, 3714–3717. [Google Scholar] [CrossRef]
- Pajouhesh, H.; Lenz, G.R. Medicinal Chemical Properties of Successful Central Nervous System Drugs. NeuroRX 2005, 2, 541–553. [Google Scholar] [CrossRef]
- Matos, M.J.; Varela, C.; Vilar, S.; Hripcsak, G.; Borges, F.; Santana, L.; Uriarte, E.; Fais, A.; Di Petrillo, A.; Pintus, F.; et al. Design and Discovery of Tyrosinase Inhibitors Based on a Coumarin Scaffold. RSC Adv. 2015, 5, 94227–94235. [Google Scholar] [CrossRef]
- Rajnochová Svobodová, A.; Gabrielová, E.; Michaelides, L.; Kosina, P.; Ryšavá, A.; Ulrichová, J.; Zálešák, B.; Vostálová, J. UVA-Photoprotective Potential of Silymarin and Silybin. Arch. Dermatol. Res. 2018, 310, 413–424. [Google Scholar] [CrossRef]
- Han, B.; Weatherley, A.J.; Mumford, K.; Bolan, N.; He, J.Z.; Stevens, G.W.; Chen, D. Modification of Naturally Abundant Resources for Remediation of Potentially Toxic Elements: A Review. J. Hazard. Mater. 2022, 421, 126755. [Google Scholar] [CrossRef]
- Masuri, S.; Cabiddu, M.G.; Moráň, L.; Vesselá, T.; Bartosik, M.; Havel, J.; Meloni, F.; Cadoni, E.; Vaňhara, P.; Pivetta, T. Ternary Copper(Ii) Complexes of 1,10-Phenanthroline and Coumarin-Based Oxylacetates as pro-Apoptotic UPR CHOP Inducers. New J. Chem. 2023, 47, 15125–15136. [Google Scholar] [CrossRef]
- Moráň, L.; Pivetta, P.; Masuri, S.; Vašíčková, K.; Walter, F.; Prehn, J.; Elkalaf, M.; Trnka, J.; Havel, J.; Vaňhara, P. Mixed Copper(Ii)–Phenanthroline Complexes Induce Cell Death of Ovarian Cancer Cells by Evoking the Unfolded Protein Response. Metallomics 2019, 11, 1481–1489. [Google Scholar] [CrossRef] [PubMed]
- Sîrbu, A.; Palamarciuc, O.; Babak, M.V.; Lim, J.M.; Ohui, K.; Enyedy, E.A.; Shova, S.; Darvasiová, D.; Rapta, P.; Ang, W.H.; et al. Copper(Ii) Thiosemicarbazone Complexes Induce Marked ROS Accumulation and Promote Nrf2-Mediated Antioxidant Response in Highly Resistant Breast Cancer Cells. Dalton Trans. 2017, 46, 3833–3847. [Google Scholar] [CrossRef] [PubMed]
- Mutlu Gençkal, H.; Erkisa, M.; Alper, P.; Sahin, S.; Ulukaya, E.; Ari, F. Mixed Ligand Complexes of Co(II), Ni(II) and Cu(II) with Quercetin and Diimine Ligands: Synthesis, Characterization, Anti-Cancer and Anti-Oxidant Activity. J. Biol. Inorg. Chem. 2020, 25, 161–177. [Google Scholar] [CrossRef]
- Masuri, S.; Era, B.; Pintus, F.; Cadoni, E.; Cabiddu, M.G.; Fais, A.; Pivetta, T. Hydroxylated Coumarin-Based Thiosemicarbazones as Dual Antityrosinase and Antioxidant Agents. Int. J. Mol. Sci. 2023, 24, 1678. [Google Scholar] [CrossRef]
- Ismaya, W.T.; Rozeboom, H.J.; Weijn, A.; Mes, J.J.; Fusetti, F.; Wichers, H.J.; Dijkstra, B.W. Crystal Structure of Agaricus Bisporus Mushroom Tyrosinase: Identity of the Tetramer Subunits and Interaction with Tropolone. Biochemistry 2011, 50, 5477–5486. [Google Scholar] [CrossRef]
- Roselan, M.A.; Zakaria, N.; Faujan, N.H.; Mohammad Latif, M.A.; Mohd Faudzi, S.M.; Ab Hadi, H.; Ashari, S.E. In Vitro Cytotoxicity Assay, Mushroom Tyrosinase Inhibitory Activity and Release Analysis of Kojic Monooleate Nanodelivery System and in Silico Molecular Docking Study against 2Y9X Target Enzyme. J. Drug Deliv. Sci. Technol. 2021, 66, 102764. [Google Scholar] [CrossRef]
- Singh, L.R.; Chen, Y.L.; Xie, Y.Y.; Xia, W.; Gong, X.W.; Hider, R.C.; Zhou, T. Functionality Study of Chalcone-Hydroxypyridinone Hybrids as Tyrosinase Inhibitors and Influence on Anti-Tyrosinase Activity. J. Enzym. Inhib. Med. Chem. 2020, 35, 1562–1567. [Google Scholar] [CrossRef]
- Alizadeh, N.; Hossein, M.; Iraji, A.; Yazzaf, R.; Moazzam, A. Bioorganic Chemistry Evaluating the Effects of Disubstituted 3-Hydroxy-1H-Pyrrol-2(5H)-One Analog as Novel Tyrosinase Inhibitors. Bioorg. Chem. 2022, 126, 105876. [Google Scholar] [CrossRef]
- Hałdys, K.; Goldeman, W.; Anger-Góra, N.; Rossowska, J.; Latajka, R. Monosubstituted Acetophenone Thiosemicarbazones as Potent Inhibitors of Tyrosinase: Synthesis, Inhibitory Studies, and Molecular Docking. Pharmaceuticals 2021, 14, 74. [Google Scholar] [CrossRef]
- Pivetta, T.; Masuri, S.; Cabiddu, M.G.; Caltagirone, C.; Pintus, A.; Massa, M.; Isaia, F.; Cadoni, E. A Novel Ratiometric and Turn-on Fluorescent Coumarin-Based Probe for Fe(Iii). New J. Chem. 2019, 43, 12032–12041. [Google Scholar] [CrossRef]
- Niedermeyer, T.H.J.; Strohalm, M. MMass as a Software Tool for the Annotation of Cyclic Peptide Tandem Mass Spectra. PLoS ONE 2012, 7, e0044913. [Google Scholar] [CrossRef] [PubMed]
- Strohalm, M.; Kavan, D.; Novák, P.; Volný, M.; Havlíček, V. MMass 3: A Cross-Platform Software Environment for Precise Analysis of Mass Spectrometric Data. Anal. Chem. 2010, 82, 4648–4651. [Google Scholar] [CrossRef]
- Denziel, R.; Ajamian, A. Inhibitors of Histone Deacetylase and Prodrugs Thereof 2008. United. States Patent US 8,796,330, 5 August 2014. [Google Scholar]
- Da Silva, J.B.P.; Navarro, D.M.D.A.F.; Da Silva, A.G.; Santos, G.K.N.; Dutra, K.A.; Moreira, D.R.; Ramos, M.N.; Espíndola, J.W.P.; De Oliveira, A.D.T.; Brondani, D.J.; et al. Thiosemicarbazones as Aedes Aegypti Larvicidal. Eur. J. Med. Chem. 2015, 100, 162–175. [Google Scholar] [CrossRef]
- Sheldrick, G.M. SHELXT—Integrated Space-Group and Crystal-Structure Determination. Acta Crystallogr. Sect. A Found. Crystallogr. 2015, 71, 3–8. [Google Scholar] [CrossRef]
- Dolomanov, O.V.; Bourhis, L.J.; Gildea, R.J.; Howard, J.A.K.; Puschmann, H. OLEX2: A Complete Structure Solution, Refinement and Analysis Program. J. Appl. Crystallogr. 2009, 42, 339–341. [Google Scholar] [CrossRef]
- Yi, W.; Wu, X.; Cao, R.; Song, H.; Ma, L. Biological Evaluations of Novel Vitamin C Esters as Mushroom Tyrosinase Inhibitors and Antioxidants. Food Chem. 2009, 117, 381–386. [Google Scholar] [CrossRef]
- Sayre, R.M.; Po Ha Gin, P.; Levee, G.J.; Marlowe, E. A Comparison of in Vivo and in Vitro Testing of Sunscreening Formulas. Photochem. Photobiol. 1979, 29, 559–566. [Google Scholar] [CrossRef]
- Pintus, F.; Floris, S.; Fais, A.; Era, B.; Kumar, A.; Gatto, G.; Uriarte, E.; Matos, M.J. Hydroxy-3-Phenylcoumarins as Multitarget Compounds for Skin Aging Diseases: Synthesis, Molecular Docking and Tyrosinase, Elastase, Collagenase and Hyaluronidase Inhibition, and Sun Protection Factor. Molecules 2022, 27, 6914. [Google Scholar] [CrossRef]
- Jones, G.; Willett, P.; Glen, R.C.; Leach, A.R.; Taylor, R. Development and Validation of a Genetic Algorithm for Flexible Docking. J. Mol. Bio. 1997, 267, 727–748. [Google Scholar] [CrossRef]
- Stewart, J.J.P. Optimization of Parameters for Semiempirical Methods I. Method. J. Comput. Chem. 1989, 10, 209–220. [Google Scholar] [CrossRef]
- Stewart, J.J.P. Optimization of Parameters for Semiempirical Methods II. Applications. J. Comput. Chem. 1989, 10, 221–264. [Google Scholar] [CrossRef]
- Neese, F. The ORCA Program System. WIREs Comput. Mol. Sci. 2012, 2, 73–78. [Google Scholar] [CrossRef]
- Neese, F. Software Update: The ORCA Program System—Version 5.0. Wiley Interdiscip. Rev. Comput. Mol. Sci. 2022, 12, e1606. [Google Scholar] [CrossRef]
- Adamo, C.; Barone, V. Toward Reliable Density Functional Methods without Adjustable Parameters: The PBE0 Model. J. Chem. Phys. 1999, 110, 6158–6170. [Google Scholar] [CrossRef]
- Weigend, F.; Ahlrichs, R.; Gmbh, F.K. Balanced Basis Sets of Split Valence, Triple Zeta Valence and Quadruple Zeta Valence Quality for H to Rn: Design and Assessment of Accuracy W. Phys. Chem. Chem. Phys. 2005, 7, 3297–3305. [Google Scholar] [CrossRef]
- Pettersen, E.F.; Goddard, T.D.; Huang, C.C.; Couch, G.S.; Greenblatt, D.M.; Meng, E.C.; Ferrin, T.E. UCSF Chimera—A Visualization System for Exploratory Research and Analysis. J. Comput. Chem. 2004, 25, 1605–1612. [Google Scholar] [CrossRef]
- Meng, E.C.; Goddard, T.D.; Pettersen, E.F.; Couch, G.S.; Pearson, Z.J.; Morris, J.H.; Ferrin, T.E. UCSF ChimeraX: Tools for Structure Building and Analysis. Protein Sci. 2023, 32, e4792. [Google Scholar] [CrossRef] [PubMed]
- Kyte, J.; Doolittle, R.F.; Diego, S.; Jolla, L. A Simple Method for Displaying the Hydropathic Character of a Protein. J. Mol. Biol. 1982, 157, 105–132. [Google Scholar] [CrossRef]








| Molecule | Tyrosinase Inhibitory Activity IC50 (µM) | Anti-Melanogenesis Activity IC50 (µM) | cLogP | References |
|---|---|---|---|---|
![]() | 0.84 1.9 | - | - | [17,18] |
![]() | 0.44 1.48 | - | - | [17,20] |
![]() | 1.9 | - | - | [19] |
![]() | - | >10 | 1.865 | [21] |
![]() | - | 1.1 | 3.039 | [21] |
![]() | - | >30 | 1.088 | [21] |
| TC1 | TCMS1 | TCBS1 | TCBS2 | TCBS3 | TCBS4 | TCBS5 | |
|---|---|---|---|---|---|---|---|
| miLogP a | 1.40 | 1.31 | 2.85 | 2.81 | 2.90 | 3.30 | 3.52 |
| TPSA (Å2) b | 70.64 | 93.79 | 93.79 | 139.61 | 103.02 | 93.79 | 93.79 |
| n-atoms c | 13 | 17 | 22 | 25 | 24 | 23 | 23 |
| MW (Da) | 195.25 | 273.34 | 335.41 | 380.41 | 365.44 | 349.44 | 369.86 |
| n-ON d | 4 | 5 | 5 | 7 | 6 | 5 | 5 |
| n-OHNH e | 4 | 3 | 3 | 3 | 3 | 3 | 3 |
| n-violations f | 0 | 0 | 0 | 0 | 0 | 0 | 0 |
| n-rotb g | 3 | 5 | 6 | 7 | 7 | 6 | 6 |
| volume (Å3) h | 166.87 | 215.83 | 270.68 | 294.01 | 296.23 | 287.24 | 284.22 |
| Compound | IC50 µM * |
|---|---|
| TC1 | 7.1 ± 0.2 a |
| TCMS1 | 1.6 ± 0.02 b |
| TCBS1 | 0.44 ± 0.03 b |
| TCBS2 | 0.66 ± 0.05 b |
| TCBS3 | 0.44 ± 0.01 b |
| TCBS4 | 0.44 ± 0.01 b |
| TCBS5 | 0.71 ± 0.02 b |
| Kojic acid | 18 ± 1 c [48] |
| Compound | DPPH (% I ± SD) | ABTS (% I ± SD) |
|---|---|---|
| TC1 | 74 ± 3 | 74 ± 1 |
| TCMS1 | 20 ± 2 | 42 ± 4 |
| TCBS1 | 26 ± 2 | 39 ± 1 |
| TCBS2 | 16 ± 2 | 25 ± 4 |
| TCBS3 | 33 ± 4 | 35 ± 1 |
| TCBS4 | 20 ± 1 | 30 ± 2 |
| TCBS5 | 32 ± 5 | 22 ± 2 |
| Compound | SPF * |
|---|---|
| TC1 | 11.0 ± 0.4 a,b |
| TCMS1 | 11 ± 2 a,b |
| TCBS1 | 11 ± 2 a,b |
| TCBS2 | 13 ± 2 a |
| TCBS3 | 10 ± 2 a,b |
| TCBS4 | 14 ± 2 a |
| TCBS5 | 11 ± 2 a,b |
| FA # | 7.5 ± 0.2 b |
| CA # | 6.6 ± 0.4 b |
| CI # | 2.0 ± 0.2 d |
Disclaimer/Publisher’s Note: The statements, opinions and data contained in all publications are solely those of the individual author(s) and contributor(s) and not of MDPI and/or the editor(s). MDPI and/or the editor(s) disclaim responsibility for any injury to people or property resulting from any ideas, methods, instructions or products referred to in the content. |
© 2024 by the authors. Licensee MDPI, Basel, Switzerland. This article is an open access article distributed under the terms and conditions of the Creative Commons Attribution (CC BY) license (https://creativecommons.org/licenses/by/4.0/).
Share and Cite
Masuri, S.; Era, B.; Pintus, F.; Floris, S.; Meloni, F.; Pettinau, F.; Podda, E.; Cabiddu, M.G.; Fais, A.; Pivetta, T. Design, Synthesis, Structural Insights, Tyrosinase Inhibition, and Sun Protection Factor of New Thiosemicarbazone Derivatives. Molecules 2024, 29, 5629. https://doi.org/10.3390/molecules29235629
Masuri S, Era B, Pintus F, Floris S, Meloni F, Pettinau F, Podda E, Cabiddu MG, Fais A, Pivetta T. Design, Synthesis, Structural Insights, Tyrosinase Inhibition, and Sun Protection Factor of New Thiosemicarbazone Derivatives. Molecules. 2024; 29(23):5629. https://doi.org/10.3390/molecules29235629
Chicago/Turabian StyleMasuri, Sebastiano, Benedetta Era, Francesca Pintus, Sonia Floris, Francesca Meloni, Francesca Pettinau, Enrico Podda, Maria Grazia Cabiddu, Antonella Fais, and Tiziana Pivetta. 2024. "Design, Synthesis, Structural Insights, Tyrosinase Inhibition, and Sun Protection Factor of New Thiosemicarbazone Derivatives" Molecules 29, no. 23: 5629. https://doi.org/10.3390/molecules29235629
APA StyleMasuri, S., Era, B., Pintus, F., Floris, S., Meloni, F., Pettinau, F., Podda, E., Cabiddu, M. G., Fais, A., & Pivetta, T. (2024). Design, Synthesis, Structural Insights, Tyrosinase Inhibition, and Sun Protection Factor of New Thiosemicarbazone Derivatives. Molecules, 29(23), 5629. https://doi.org/10.3390/molecules29235629







