A Ligand-Free Approach towards Coumarin Analogs via Natural Deep Eutectic Solvent-Mediated Suzuki–Miyaura Coupling
Abstract
1. Introduction
2. Results and Discussion
2.1. Optimization of the Reaction Protocol
2.2. Dynamic Light Scattering (DLS) of the PdNPs
2.3. TEM Analysis of the PdNPs
2.4. Deacetylation Reaction
2.5. Recyclability and Reusability of the NaDES
2.6. Broadening the Scope of the Reaction
2.7. Cytotoxic Activity
3. Materials and Methods
3.1. Chemicals and Instruments
3.2. General Procedure for the NADES Preparation
3.3. General Procedure for the Synthesis of 3-Aryl-6-Bromo-Coumarin Analogs (3a–3b)
- 6-bromo-3-phenyl-2H-chromen-2-one (3a). Based on the general procedure, phenylacetic acid (500.0 mg, 3.67 mmol) and 5-bromo-2-hydroxybenzaldehyde (775.0 mg, 3.86 mmol) are dissolved in 3.3 mL of acetic anhydride and 1.6 mL of triethylamine. A light brown solid is obtained (917.9 mg, 83% yield). Melting point 176–176 °C 1H NMR (600 MHz, CDCl3): δ (ppm) 7.72 (s, 1H), 7.69 (d, J = 7.2 Hz, 3H), 7.61 (dd, J = 9 Hz, J = 2.4 Hz, 1H), 7.47–7.42 (m, 3H), 7.25 (d, J = 9 Hz, 1H).
- 3-(4-acetyloxyphenyl)-6-bromo-4-methyl-2H-chromen-2-one (3b). Based on the general procedure, 4-hydroxy-phenylacetic acid (600.7 mg, 3.95 mmol) and 5-bromo-2-hydroxyacetophenone (891.4 mg, 4.15 mmol) are dissolved in 4.4 mL of acetic anhydride and 1.7 mL of triethylamine, under a nitrogen atmosphere. A yellow solid is obtained (802.1 mg, 54.4% yield). Melting point 186–187 °C, 1H NMR (600 MHz, CDCl3): δ (ppm) 7.79 (d, J = 2.4 Hz, 1H), 7.63 (dd, J = 9 Hz, J = 2.4 Hz, 1H), 7.31 (d, J = 8.4 Hz, 2H), 7.26 (d, J = 9 Hz, 1H), 7.20 (d, J = 8.4 Hz, 2H), 2.32 (s, 3H), 2.32 (s, 3H).
3.4. General Procedure for the of Synthesis of 3,6-Disubstituted Coumarin Analogs
- 3-(4-hydroxyphenyl)-4-methyl-6-phenyl-2H-chromen-2-one (4b). The compound was synthesized according to the general procedure (route B), starting from 3-(4-acetyloxyphenyl)-6-bromo-coumarin (3b) (111.1 mg, 0.30 mmol), phenylboronic acid (39.9 mg, 0.33 mmol), K2CO3 (51.1 mg, 0.37 mmol) and a catalytic amount of Pd(OAc)2 (1.7 mg, 0.0075 mmol) in 1.5 g NaDES. After flash column chromatography on silica gel (petroleum ether/ethyl acetate = 4:1), the product was obtained as an off-white powder (103.0 mg, 95% yield). Melting point >250 °C (decomp), 1H NMR (300 MHz, DMSO-d6): δ (ppm) 7.79 (s, 1H), 7.70 (d, J = 8.4 Hz, 1H), 7.58 (d, J = 7.5 Hz, 2H), 7.45–7.38 (m, 4H), 7.13 (d, J = 7.2 Hz, 2H), 6.92 (d, J = 7.8 Hz, 2H), 2.36 (s, 3H, CH3), 13C NMR (75 MHz, DMSO-d6): δ (ppm) 160.0, 157.3, 157.2, 151.4, 147.4, 139.1, 136.4, 131.4, 129.7, 129.0, 127.6, 126.9, 124.8, 123.7, 120.6, 118.4, 116.7, 114.9, HRMS calcd for C22H17O3 (M + H)+: m/z: 329.1099, found: 329.1171, HRMS calcd for C22H15O3 (M − H)−: m/z: 327.1099, found: 327.1019.
- 3-(4-hydroxyphenyl)-6-(4-methoxyphenyl)-4-methyl-2H-chromen-2-one (4c). The compound was synthesized according to the general procedure (route B), starting from 3-(4-acetyloxyphenyl)-6-bromo-coumarin (3b) (230.0 mg, 0.62 mmol), 4-methoxyphenylboronic acid (103.0 mg, 0.68 mmol), K2CO3 (106.4 mg, 0.77 mmol) and a catalytic amount of Pd(OAc)2 (3.6 mg, 0.016 mmol) in 3.1 g NaDES. The product was obtained as a white powder (222.2 mg, 66% yield). Melting point >250 °C (decomp), 1H NMR (300 MHz, DMSO-d6): δ (ppm) 9.62 (s, 1H, OH), 8.01 (d, J = 2.1 Hz, 1H), 7.91 (dd, J = 8.7 Hz, J = 2.1 Hz, 1H), 7.78 (d, J = 7.2 Hz, 2H), 7.53–7.48 (m, 3H), 7.40 (t, J = 7.8 Hz, 1H), 7.15 (d, J = 8.7 Hz, 2H), 6.85 (d, J = 8.7 Hz, 2H), 3.81 (s, 3H, OCH3), 2.38 (s, 3H, CH3), 13C NMR (75 MHz, DMSO-d6): δ (ppm) 160.0, 157.1, 151.4, 147.4, 139.1, 136.4 131.4, 129.8, 129.0, 127.7, 126.9, 126.6, 124.8, 123.7, 120.6, 116.7, 114.9, 16.6, HRMS calcd for C23H17O4 (M − H)−: m/z: 357.1205, found: 357.1126.
- 6-(2-fluorophenyl)-3-(4-hydroxyphenyl)-4-methyl-2H-chromen-2-one (4d). The compound was synthesized according to the general procedure (route B), starting from 3-(4-acetyloxyphenyl)-6-bromo-coumarin (3b) (41.4 mg, 0.13 mmol), 2-fluorophenylboronic acid (19.2 mg, 0.14 mmol), K2CO3 (22.1 mg, 0.16 mmol) and a catalytic amount of Pd(OAc)2 (0.7 mg, 0.0033 mmol) in 0.65 g NaDES. The product was obtained as a light yellow powder (34.0 mg, 71% yield). Melting point 253–254 °C, 1H NMR (300 MHz, DMSO-d6): δ (ppm) 9.63 (br, 1H), 7.93 (s, 1H), 7.79 (dt, J = 8.7 Hz, J = 1.8 Hz, 1H), 7.65 (td, J = 8.4 Hz, J = 1.8 Hz, 1H), 7.52 (d, J = 8.4 Hz, 1H), 7.47–7.43 (m, 1H), 7.38–7.32 (m, 2H), 7.15 (d, J = 8.4 Hz, 2H), 6.85 (d, J = 8.4 Hz, 2H), 2.33 (s, 3H, CH3), 13C NMR (75 MHz, DMSO-d6): δ (ppm) 160.0, 159.1 (d, J = 244.6 Hz), 157.2, 151.5, 147.2, 131.8 (d, J = 3.0 Hz), 131.4, 131.2, 131.0 (d, J = 3.1 Hz), 129.9 (d, J = 8.3 Hz), 127.2 (d, J = 13.0 Hz), 126.7, 126.0 (d, J = 2.4 Hz), 125.1 (d, J = 3.5 Hz), 124.8, 120.5, 116.4, 116.2 (d, J = 22.2 Hz), 114.9, 16.5, HRMS calcd for C22H14O3F (M − H)−: m/z: 345.3511, found: 345.0933.
- 6-(2-fluoropyridin-3-yl)-3-(4-hydroxyphenyl)-4-methyl-2H-chromen-2-one (4e). The compound was synthesized according to the general procedure (route B), starting from 3-(4-acetyloxyphenyl)-6-bromo-coumarin (3b) (100.0 mg, 0.27 mmol), 2-fluoropyridin-3yl-boronic acid (41.5 mg, 0.29 mmol), K2CO3 (45.6 mg, 0.33 mmol) and a catalytic amount of Pd(OAc)2 (1.5 mg, 0.0068 mmol) in 1.4 g NaDES. The product was obtained as a light yellow powder (91.4 mg, 95% yield). Melting point >250 °C (decomp), 1H NMR (300 MHz, DMSO-d6): δ (ppm) 9.63 (br, 1H), 8.28–8.21 (m, 2H), 8.01 (s, 1H), 7.86 (d, J = 8.7 Hz, 1H), 7.54 (d, J = 8.4 Hz, 1H), 7.52–7.49 (m, 1H), 7.15 (d, J = 8.4 Hz, 2H), 6.85 (d, J = 8.4 Hz, 2H), 2.34 (s, 3H, CH3), 13C NMR (75 MHz, DMSO-d6): δ (ppm) 159.9, 159.6 (d, J = 235.4 Hz), 157.2, 151.8, 147.1, 146.7 (d, J = 14.9 Hz), 141.7 (d, J = 4.0 Hz), 131.7 (d, J = 3.2 Hz), 131.4, 129.6 (d, J = 5.1 Hz), 126.8, 126.2, 124.7, 122.7 (d, J = 4.2 Hz), 122.0 (d, J = 28.2 Hz), 120.6, 116.6, 114.9, 30.7, HRMS calcd for C21H13O3NF (M − H)−: m/z: 348.0958, found: 348.0882.
- 6-(4-fluoropyridin-3-yl)-3-(4-hydroxyphenyl)-4-methyl-2H-chromen-2-one (4f). The compound was synthesized according to the general procedure, starting from 3-(4-acetyloxyphenyl)-6-bromo-coumarin (3b) (100.0 mg, 0.27 mmol), 4-fluoropyridin-3-ylboronic acid (41.5 mg, 0.29 mmol), K2CO3 (45.6 mg, 0.33 mmol) and a catalytic amount of Pd(OAc)2 (1.5 mg, 0.0068 mmol) in 1.4 g NaDES. After flash column chromatography on silica gel (petroleum ether/ethyl acetate = 7:3), the product was obtained as a dark yellow powder (63.7 mg, 68% yield). Melting point >250 °C (decomp), 1H NMR (300 MHz, DMSO-d6): δ (ppm) 9.64 (br, 1H), 8.67 (s, 1H), 8.40 (td, J = 7.8 Hz, J = 1.8 Hz, 1H), 8.07 (s, 1H), 7.95 (d, J = 8.4 Hz, 1H), 7.52 (d, J = 8.7 Hz, 1H), 7.31 (dd, J = 8.7 Hz, J = 2.4 Hz, 1H), 7.14 (d, J = 8.4 Hz, 2H), 6.85 (d, J = 8.4 Hz, 2H), 2.38 (s, 3H, CH3), 13C NMR (75 MHz, DMSO-d6): δ (ppm) 162.3 (d, J = 235.4 Hz), 160.0, 157.2, 151.8, 147.4, 145.7 (d, J = 15.2 Hz), 140.7 (d, J = 8.0 Hz), 133.3 (d, J = 4.4 Hz), 132.1, 131.4, 129.9, 126.8, 124.7, 124.2, 120.8, 117.0, 114.9, 109.7 (d, J = 37.5 Hz), 16.6, HRMS calcd for C21H15O3NF (M + H)+: m/z: 348.0958, found: 348.1030.
- 6-(2,4-difluoropyridin-3-yl)-3-(4-hydroxyphenyl)-4-methyl-2H-chromen-2-one (4g). The compound was synthesized according to the general procedure (route B), starting from 3-(4-acetyloxyphenyl)-6-bromo-coumarin (3b) (100.6 mg, 0.27 mmol), 2,4-difluoropyridin-3-ylboronic acid (47.1 mg, 0.30 mmol), K2CO3 (47.0 mg, 0.34 mmol) and a catalytic amount of Pd(OAc)2 (1.5 mg, 0.0068 mmol) in 1.4 g NaDES. After flash column chromatography (hexane/ethyl acetate = 3:1), the product was obtained as a light yellow powder (49.3 mg, 50% yield). Melting point >260 °C (decomp), 1H NMR (300 MHz, DMSO-d6): δ (ppm) 9.64 (br, 1H), 8.45 (d, J = 8.1 Hz, 1H), 8.01 (s, 1H), 7.84 (d, J = 7.2 Hz, 1H), 7.56 (d, J = 8.7 Hz, 1H), 7.35 (d, J = 7.2 Hz, 1H), 7.15 (d, J = 8.1 Hz, 2H), 6.85 (d, J = 8.1 Hz, 2H), 2.34 (s, 3H, CH3), HRMS calcd for C21H12F2NO3 (M − H)−: m/z: 364.0863, found: 364.0783.
- 3-(4-hydroxyphenyl)-6-(2-methoxypyrimidin-5-yl)-4-methyl-2H-chromen-2-one (4h). The compound was synthesized according to the general procedure (route B), starting from 6-bromo-3-(4-hydroxyphenyl)-coumarin (3b) (81.0 mg, 0.25 mmol), 2-methoxypyrimidine-5-boronic acid (41.8 mg, 0.27 mmol), K2CO3 (42.8 mg, 0.31 mmol) and a catalytic amount of Pd(OAc)2 (1.4 mg, 0.0063 mmol) in 1.3 g NaDES. The product was obtained as a dark yellow powder (56.7 mg, 63% yield). Melting point >250 °C (decomp), 1H NMR (300 MHz, DMSO-d6): δ (ppm) 9.62 (br, 1H), 9.05 (s, 2H), 8.10 (d, J = 2.1 Hz, 1H), 7.97 (dd, J = 8.7 Hz, J = 2.1 Hz, 1H), 7.54 (d, J = 8.7 Hz, 1H), 7.14 (d, J = 8.7 Hz, 2H), 6.85 (d, J = 8.7 Hz, 2H), 3.98 (s, 3H, OCH3), 2.38 (s, 3H, CH3), 13C NMR (150 MHz, DMSO-d6): δ (ppm) 164.9, 160.5, 157.8, 157.4, 152.0, 147.9, 131.8, 130.5, 129.8, 127.0, 126.9, 125.1, 123.9, 121.2, 117.4, 115.3, 55.2, 16.9, HRMS calcd for C21H15O4N2 (M − H)−: m/z: 359.3627, found: 359.1049.
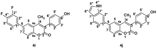
- 6-(3,4-difluorophenyl)-3-(4-hydroxyphenyl)-4-methyl-2H-chromen-2-one (4i). The compound was synthesized according to the general procedure (route B), starting from 6-bromo-3-(4-hydroxyphenyl)-coumarin (3b) (100.0 mg, 0.30 mmol), 3,4-difluorophenylboronic acid (52.1 mg, 0.33 mmol), K2CO3 (52.4 mg, 0.38 mmol) and a catalytic amount of Pd(OAc)2 (1.7 mg, 0.0075 mmol) in 1.5 g NaDES. The product was obtained as a brown powder (65.6 mg, 60% yield). Melting point >250 °C (decomp), 1H NMR (600 MHz, DMSO-d6): δ (ppm) 9.64 (br, 1H, OH), 8.03 (d, J = 1.8 Hz, H5), 7.95 (dd, J = 7.8 Hz, J = 1.8 Hz, 1H, H2″), 7.93 (dd, J = 9.0 Hz, J = 1.8 Hz, 1H, H7), 7.65 (br, 1H, H6″), 7.55 (q, J = 8.4 Hz, 1H, H5″), 7.50 (d, J = 9.0 Hz, 1H, H8), 7.13 (d, J = 7.2 Hz, 2H, H2′/H6′), 6.84 (d, J = 7.2 Hz, 2H, H3′/H5′), 2.38 (s, 3H, CH3), 13C NMR (150 MHz, DMSO-d6): δ (ppm) 160.1. 157.3, 151.8, 149.9 (dd, J = 244.1 Hz, J = 12.6 Hz), 149.3 (dd, J = 245.0 Hz, J = 12.6 Hz), 147.6, 136.7, 134.3, 131.6, 129.9, 126.8, 124.9, 124.1, 123.8 (dd, J = 6.5 Hz, J = 3.0 Hz), 120.7, 118.1 (d, J = 17.0 Hz), 116.9, 116.2 (dd, J = 17.7 Hz), 115.02, 16.7, HRMS calcd for C22H13O3F2 (M − H)−: m/z: 363.0911, found: 363.0832.
- 3-(4-hydroxyphenyl)-6-(1H-indol-6-yl)-4-methyl-2H-chromen-2-one (4j). The compound was synthesized according to the general procedure (route B), starting from 6-bromo-3-(4-hydroxyphenyl)-coumarin (3b) (60.0 mg, 0.18 mmol), 1H-indol-6-ylboronic acid (36.5 mg, 0.29 mmol), K2CO3 (31.8 mg, 0.23 mmol) and a catalytic amount of Pd(OAc)2 (1.0 mg, 0.0045 mmol) in 0.9 g NaDES. The product was obtained as a brown powder (45.8 mg, 69% yield). Melting point >250 °C (decomp), 1H NMR (600 MHz, DMSO-d6): δ (ppm), 11.20 (s, 1H, ΝH), 9.62 (s, 1H, OH), 8.00 (d, J = 2.1 Hz, 1H, H5), 7.92 (dd, J = 8.4 Hz, J = 2.1 Hz, 1H, H7), 7.73 (s, 1H, H2″), 7.65 (d, J = 8.1 Hz, 1H, H8″), 7.49 (d, J = 8.7 Hz, 1H, H8), 7.41–7.39 (m, 2H, H5″& H9″), 7.15 (d, J = 8.4 Hz, 2H, H2′/H6′), 6.85 (d, J = 8.7 Hz, 2H, H3′/H5′), 6.47 (br, H6″), 2.39 (s, 3H, 1H, CH3), 13C NMR (150 MHz, DMSO-d6): δ (ppm) 160.1, 157.1, 150.9, 147.5, 138.0, 136.5, 132.3, 131.5, 129.9, 127.3, 126.4, 126.4, 124.9, 123.4, 120.5, 120.5, 118.5, 116.6, 114.9, 109.7, 101.0, 16.6, HRMS calcd for C24H16O3N (Μ − 3H)−: m/z: 366.1365, found: 366.1130.
3.5. General Procedure for the Synthesis of 6-Bromo-3-(4-Hydroxyphenyl)-4-Methyl-Coumarin (5)
3.5.1. Conventional Heating
3.5.2. Ultrasound Irradiation
- 6-bromo-3-(4-hydroxyphenyl)-4-methyl-coumarin (5). The product is obtained as an off-white powder. Melting point >250 °C, 1H NMR (300 MHz, DMSO-d6): δ (ppm) 9.64 (s, 1H, OH), 7.97 (d, J = 2.4 Hz, 1H), 7.77 (dd, J = 8.7 Hz, J = 2.4 Hz, 1H), 7.39 (d, J = 8.7 Hz, 1H), 7.13 (d, J = 8.4 Hz, 2H), 6.83 (d, J = 8.4 Hz, 2H), 2.27 (s, 3H, CH3).
3.5.3. NaDES Recycling
3.5.4. 2D NMR Spectroscopy
3.5.5. High-Resolution Mass Spectrometry
3.6. General Procedure of the Synthesis and Characterization of the PdNPs
3.6.1. Determination of Particle Size, Polydispersity Index (PDI) and Zeta Potential
3.6.2. Transmission Electron Microscopy (TEM)
3.7. Cell Culture Conditions
3.8. Cell Viability Evaluation
4. Conclusions
Supplementary Materials
Author Contributions
Funding
Data Availability Statement
Acknowledgments
Conflicts of Interest
References
- Schuh, L.; Reginato, M.; Florêncio, I.; Falcao, L.; Boron, L.; Gris, E.F.; Mello, V.; Báo, S.N. From Nature to Innovation: The Uncharted Potential of Natural Deep Eutectic Solvents. Molecules 2023, 28, 7653. [Google Scholar] [CrossRef] [PubMed]
- Yeow, A.T.H.; Hayyan, A.; Hayyan, M.; Usman Mohd Junaidi, M.; Saleh, J.; Jefrey Basirun, W.; Roslan Mohd Nor, M.; Al Abdulmonem, W.; Zulhaziman, M.; Mohamed Zuki, F.; et al. A comprehensive review on the physicochemical properties of deep eutectic solvents. Results Chem. 2024, 7, 101378. [Google Scholar] [CrossRef]
- Prabhune, A.; Dey, R. Green and sustainable solvents of the future: Deep eutectic solvents. J. Mol. Liq. 2023, 379, 121676. [Google Scholar] [CrossRef]
- Azzouz, A.; Hayyan, M. Potential applications of deep eutectic solvents in nanotechnology: Part II. Chem. Eng. J. 2023, 468, 143563. [Google Scholar] [CrossRef]
- Farhang, M.; Akbarzadeh, A.R.; Rabbani, M.; Ghadiri, A.M. A retrospective-prospective review of Suzuki–Miyaura reaction: From cross-coupling reaction to pharmaceutical industry applications. Polyhedron 2022, 227, 116124. [Google Scholar] [CrossRef]
- Ding, G.; Hao, L.; Xu, H.; Wang, L.; Chen, J.; Li, T.; Tu, X.; Zhang, Q. Atomically dispersed palladium catalyses Suzuki–Miyaura reactions under phosphine-free conditions. Commun. Chem. 2020, 3, 43. [Google Scholar] [CrossRef]
- Mendes Da Silva, J.F.; Yepes Perez, A.F.; Pinto De Almeida, N. An efficient and new protocol for phosphine-free Suzuki coupling reaction using palladium-encapsulated and air-stable MIDA boronates in an aqueous medium. RSC Adv. 2014, 4, 28148–28155. [Google Scholar] [CrossRef]
- da Conceição Silva, A.; de Souza, A.L.F.; Antunes, O.A.C. Phosphine-free Suzuki cross-coupling reactions under ultrasound. J. Organomet. Chem. 2007, 692, 3104–3107. [Google Scholar] [CrossRef]
- Wolfson, A.; Dlugy, C. Palladium-catalyzed heck and suzuki coupling in glycerol. Chem. Pap. 2007, 61, 228–232. [Google Scholar] [CrossRef]
- Cravotto, G.; Orio, L.; Gaudino, E.C.; Martina, K.; Tavor, D.; Wolfson, A. Efficient Synthetic Protocols in Glycerol under Heterogeneous Catalysis. ChemSusChem 2011, 4, 1130–1134. [Google Scholar] [CrossRef]
- Monteiro, A.; Hussain, Z.; Eichler, T.; Leal, B. Pd-Catalyzed Suzuki-Miyaura Cross-Coupling Reaction in Glycerol Using KOH as Base and Glycerol-Triethanolamine Deep Eutectic Solvent under Inorganic Base-Free Conditions. J. Braz. Chem. Soc. 2024, 35, e20230197. [Google Scholar] [CrossRef]
- Imperato, G.; Höger, S.; Lenoir, D.; König, B. Low melting sugar–urea–salt mixtures as solvents for organic reactions—Estimation of polarity and use in catalysis. Green Chem. 2006, 8, 1051–1055. [Google Scholar] [CrossRef]
- D’Amico, F.; Papucci, C.; Franchi, D.; Reginato, G.; Taddei, M.; Mordini, A.; Zani, L.; Dessì, A.; Calamante, M. Pd-Catalyzed Miyaura Borylation and Telescopic Borylation/Suzuki-Miyaura Cross-Coupling Processes in Deep-Eutectic Solvents. J. Org. Chem. 2024, 89, 6991–7003. [Google Scholar] [CrossRef] [PubMed]
- Paris, J.; Telzerow, A.; Ríos-Lombardía, N.; Steiner, K.; Schwab, H.; Morís, F.; Gröger, H.; González-Sabín, J. Enantioselective One-Pot Synthesis of Biaryl-Substituted Amines by Combining Palladium and Enzyme Catalysis in Deep Eutectic Solvents. ACS Sustain. Chem. Eng. 2019, 7, 5486–5493. [Google Scholar] [CrossRef]
- Saavedra, B.; González-Gallardo, N.; Meli, A.; Ramón, D.J. A Bipyridine-Palladium Derivative as General Pre-Catalyst for Cross-Coupling Reactions in Deep Eutectic Solvents. Adv. Synth. Catal. 2019, 361, 3868–3879. [Google Scholar] [CrossRef]
- Νiakan, M.; Masteri-Farahani, M.; Karimi, S.; Shekaari, H. Hydrophilic role of deep eutectic solvents for clean synthesis of biphenyls over a magnetically separable Pd-catalyzed Suzuki-Miyaura coupling reaction. J. Mol. Liq. 2021, 324, 115078. [Google Scholar] [CrossRef]
- Pelliccioli, V.; Dilauro, G.; Grecchi, S.; Arnaboldi, S.; Graiff, C.; Perna, F.M.; Vitale, P.; Licandro, E.; Aliprandi, A.; Cauteruccio, S.; et al. Ligand-Free Suzuki–Miyaura Cross-Coupling Reactions in Deep Eutectic Solvents: Synthesis of Benzodithiophene Derivatives and Study of their Optical and Electrochemical Performance. Eur. J. Org. Chem. 2020, 2020, 6981–6988. [Google Scholar] [CrossRef]
- Delaye, P.O.; Pénichon, M.; Boudesocque-Delaye, L.; Enguehard-Gueiffier, C.; Gueiffier, A. Natural Deep Eutectic Solvents as Sustainable Solvents for Suzuki-Miyaura Cross-Coupling Reactions Applied to Imidazo-Fused Heterocycles. SynOpen 2018, 2, 306–311. [Google Scholar] [CrossRef]
- Dilauro, G.; García, S.M.; Tagarelli, D.; Vitale, P.; Perna, F.M.; Capriati, V. Ligand-Free Bioinspired Suzuki–Miyaura Coupling Reactions using Aryltrifluoroborates as Effective Partners in Deep Eutectic Solvents. ChemSusChem 2018, 11, 3495–3501. [Google Scholar] [CrossRef]
- Hooshmand, S.E.; Heidari, B.; Sedghi, R.; Varma, R.S. Recent advances in the Suzuki–Miyaura cross-coupling reaction using efficient catalysts in eco-friendly media. Green Chem. 2019, 21, 381–405. [Google Scholar] [CrossRef]
- Marset, X.; Khoshnood, A.; Sotorríos, L.; Gómez-Bengoa, E.; Alonso, D.A.; Ramón, D.J. Deep Eutectic Solvent Compatible Metallic Catalysts: Cationic Pyridiniophosphine Ligands in Palladium Catalyzed Cross-Coupling Reactions. ChemCatChem 2017, 9, 1269–1275. [Google Scholar] [CrossRef]
- Thiery, E.; Delaye, P.O.; Thibonnet, J.; Boudesocque-Delaye, L. Mechanochemical Suzuki-Miyaura Cross-Coupling with Natural Deep Eutectic Solvent as Liquid-Assisted Grinding Additive: Merging Two Fields for a Greener Strategy. Eur. J. Org. Chem. 2023, 26, e202300727. [Google Scholar] [CrossRef]
- Flores-Morales, V.; Villasana-Ruíz, A.P.; Garza-Veloz, I.; González-Delgado, S.; Martinez-Fierro, M.L. Therapeutic Effects of Coumarins with Different Substitution Patterns. Molecules 2023, 28, 2413. [Google Scholar] [CrossRef] [PubMed]
- Katopodi, A.; Tsotsou, E.; Iliou, T.; Deligiannidou, G.-E.; Pontiki, E.; Kontogiorgis, C.; Tsopelas, F.; Detsi, A. Synthesis, Bioactivity, Pharmacokinetic and Biomimetic Properties of Multi-Substituted Coumarin Derivatives. Molecules 2021, 26, 5999. [Google Scholar] [CrossRef]
- Kavetsou, E.; Katopodi, A.; Argyri, L.; Chainoglou, E.; Pontiki, E.; Hadjipavlou-Litina, D.; Chroni, A.; Detsi, A. Novel 3-aryl-5-substituted-coumarin analogues: Synthesis and bioactivity profile. Drug Dev. Res. 2020, 81, 456–469. [Google Scholar] [CrossRef]
- Roussaki, M.; Zelianaios, K.; Kavetsou, E.; Hamilakis, S.; Hadjipavlou-Litina, D.; Kontogiorgis, C.; Liargkova, T.; Detsi, A. Structural modifications of coumarin derivatives: Determination of antioxidant and lipoxygenase (LOX) inhibitory activity. Bioorg. Med. Chem. 2014, 22, 6586–6594. [Google Scholar] [CrossRef]
- Hamdy, A.M.; Khaddour, Z.; Al-Masoudi, N.A.; Rahman, Q.; Hering-Junghans, C.; Villinger, A.; Langer, P. Synthesis of arylated coumarins by Suzuki–Miyaura cross-coupling. Reactions and anti-HIV activity. Bioorg. Med. Chem. 2016, 24, 5115–5126. [Google Scholar] [CrossRef]
- Nam, N.N.; Do, H.D.K.; Trinh, K.T.L.; Lee, N.Y. Design Strategy and Application of Deep Eutectic Solvents for Green Synthesis of Nanomaterials. Nanomaterials 2023, 13, 1164. [Google Scholar] [CrossRef] [PubMed]
- Leal-Duaso, A.; Favier, I.; Pla, D.; Pires, E.; Gómez, M. Design of Glycerol-Based Solvents for the Immobilization of Palladium Nanocatalysts: A Hydrogenation Study. ACS Sustain. Chem. Eng. 2021, 9, 6875–6885. [Google Scholar] [CrossRef]
- Fievet, F.; Ammar-Merah, S.; Brayner, R.; Chau, F.; Giraud, M.; Mammeri, F.; Peron, J.; Piquemal, J.Y.; Sicard, L.; Viau, G. The polyol process: A unique method for easy access to metal nanoparticles with tailored sizes, shapes and compositions. Chem. Soc. Rev. 2018, 47, 5187–5233. [Google Scholar] [CrossRef]
- Liu, T.; Baek, D.R.; Kim, J.S.; Joo, S.W.; Lim, J.K. Green Synthesis of Silver Nanoparticles with Size Distribution Depending on Reducing Species in Glycerol at Ambient pH and Temperatures. ACS Omega 2020, 5, 16246–16254. [Google Scholar] [CrossRef] [PubMed]
- Datta, S.; Mahin, J.; Liberti, E.; Manasi, I.; Edler, K.J.; Torrente-Murciano, L. Role of the Deep Eutectic Solvent Reline in the Synthesis of Gold Nanoparticles. ACS Sustain. Chem. Eng. 2023, 11, 10242–10251. [Google Scholar] [CrossRef] [PubMed]
- Garg, G.; Foltran, S.; Favier, I.; Pla, D.; Medina-González, Y.; Gómez, M. Palladium nanoparticles stabilized by novel choline-based ionic liquids in glycerol applied in hydrogenation reactions. Catal. Today 2020, 346, 69–75. [Google Scholar] [CrossRef]
- Ponce, S.; Murillo, H.A.; Alexis, F.; Alvarez-Barreto, J.; Mora, J.R. Green Synthesis of Nanoparticles Mediated by Deep Eutectic Solvents and Their Applications in Water Treatment. Sustainability 2023, 15, 9703. [Google Scholar] [CrossRef]
- Atilhan, M.; Aparicio, S. Molecular Dynamics Simulations of Metal Nanoparticles in Deep Eutectic Solvents. J. Phys. Chem. C 2018, 122, 18029–18039. [Google Scholar] [CrossRef]
- Falcini, C.; de Gonzalo, G. Deep Eutectic Solvents as Catalysts in the Synthesis of Active Pharmaceutical Ingredients and Precursors. Catalysts 2024, 14, 120. [Google Scholar] [CrossRef]
- Karadendrou, M.A.; Kostopoulou, I.; Kakokefalou, V.; Tzani, A.; Detsi, A. L-Proline-Based Natural Deep Eutectic Solvents as Efficient Solvents and Catalysts for the Ultrasound-Assisted Synthesis of Aurones via Knoevenagel Condensation. Catalysts 2022, 12, 249. [Google Scholar] [CrossRef]
- Katopodi, A.; Safari, K.; Kalospyros, A.; Politopoulos, K.; Alexandratou, E.; Detsi, A. Preparation and characterization of solid lipid nanoparticles incorporating bioactive coumarin analogues as photosensitizing agents. Colloids Surf. B Biointerfaces 2023, 229, 113439. [Google Scholar] [CrossRef]








| Solvent * | Base | Catalyst (0.025 mol/mol Pd(II)/3b) | Yield (%) |
|---|---|---|---|
| Choline chloride/Glycerol = 1:2 | Na2CO3 | Pd(OAc)2 | 85 |
| Betaine/Glycerol = 1:2 | Na2CO3 | Pd(OAc)2 | 70 |
| Choline chloride/Glycerol = 1:2 | K2CO3 | Pd(OAc)2 | 95 |
| Choline chloride/Glycerol = 1:2 | K2CO3 | PdCl2 | 83 |
| Betaine/Glycerol = 1:2 | K2CO3 | Pd(OAc)2 | 71 |
| L-proline/Glycerol = 1:2 | K2CO3 | Pd(OAc)2 | traces |
| L-proline/Glycerol = 1:2 | K2CO3 | PdCl2 | traces |
| Glycerol | K2CO3 | Pd(OAc)2 | traces |
| Fructose/urea/H2O = 1:1.5:1 | K2CO3 | Pd(OAc)2 | No |
| Glucose/urea/H2O = 1:1.5:1 | K2CO3 | Pd(OAc)2 | No |
| Solvent | Average Hydrodynamic Diameter (nm) | PDI | ζ-Potential (mV) | Yield of 4b (%) |
|---|---|---|---|---|
| Choline chloride/Glycerol = 1:2 | 140.6 ± 14.8 | 0.343 ± 0.06 | −18.6 ± 2.5 | 82–95 |
| Betaine/Glycerol = 1:2 | 128.4 ± 40.0 | 0.476 ± 0.07 | −22.7 ± 2.5 | 70–71 |
| L-proline/Glycerol = 1:2 | 467.1 ± 54.3 | 0.634 ± 0.05 | −36.4 ± 4.9 | traces |
| Glycerol | 180 nm (25%) >1 μm (75%) | - | - | traces |
| Reaction Conditions | Solvent | Heating Method | Time | Yield (%) |
|---|---|---|---|---|
| i | ChCl/Gly = 1:2 | Conventional heating (90 °C) | 3 h | 79 |
| ii | ChCl/Gly = 1:2 | Ultrasound irradiation | 15 min | 73 |
| iii | Glycerol | Conventional heating (90 °C) | 3 h | 72 |
| iv | Glycerol | Ultrasound irradiation | 6 min | 92 |
| Position | 4i | 4j | ||
|---|---|---|---|---|
| δH, Multi. (J) | δc, Multi. (J) | δH, Multi. (J) | δc, Multi. (J) | |
| 1 | - | - | - | - |
| 2 | - | 160.1 | - | 160.2 |
| 3 | - | 126.8 | - | 126.4 |
| 4 | - | 147.5 | - | 147.6 |
| CH3 | 2.38 | 16.7 | 2.39 | 16.5 |
| 4a | - | 120.7 | - | 120.5 |
| 5 | 8.03, d (J = 1.8 Hz) | 124.1 | 8.01, d (J = 1.8 Hz) | 123.4 |
| 6 | - | 134.3 | - | 138.0 |
| 7 | 7.93, dd (J = 9.0 Hz, J = 1.8 Hz) | 125.0 | 7.92, dd (J = 8.4 Hz, J = 2.1 Hz) | 129.9 |
| 8 | 7.50, d (J = 9.0 Hz) | 116.9 | 7.50, d (J = 8.7 Hz) | 116.7 |
| 8a | - | 151.8 | - | 150.9 |
| 1′ | - | 129.9 | - | 124.9 |
| 2′/6′ | 7.13, d (J = 7.2 Hz) | 131.6 | 7.15, d (J = 8.4 Hz) | 131.5 |
| 3′/5′ | 6.84, d (J = 7.2 Hz) | 115.0 | 6.85, d (J = 8.4 Hz) | 114.9 |
| 4′ | 9.65, s (OH) | 157.3 | 9.63, s (OH) | 157.1 |
| 1″ | - | 136.8 | - | 132.3 |
| 2″ | 7.95, dd (J = 7.8 Hz, J = 1.8 Hz) | 116.2, d (2JC-F = 17.8 Hz) | 7.73, s | 109.7 |
| 3″ | - | 150.4, dd (JC-F = 89 Hz, 2JC-F = 12.5 Hz) | - | 136.5 |
| 4″ | - | 148.8, dd (JC-F = 89 Hz, 2JC-F = 12.5 Hz) | 11.19, s (NH) | - |
| 5″ | 7.55, dt (J = 8.4 Hz) | 118.1, d (2JC-F = 17 Hz) | 7.41–7.39, m | 126.4 |
| 6″ | 7.65 br | 123.8, dd (3JC-F = 6.5 Hz, 4JC-F = 3 Hz) | 6.47, br | 101.0 |
| 7″ | - | - | - | 127.3 |
| 8″ | - | - | 7.65, d (J = 8.1 Hz) | 120.5 |
| 9″ | - | - | 7.41–7.39, m | 118.5 |
| Compound | Structure | Cytotoxicity (%) (100 μM) |
|---|---|---|
| 3b | ![]() | 22.1 ± 5.5 |
| 5 | ![]() | 58.1 ± 1.0 |
| 4a | ![]() | 59.3 ± 1.4 |
| 4b | ![]() | 57.9 ± 0.7 |
| 4c | ![]() | 17.5 ± 1.7 |
| 4d | ![]() | No |
| 4e | ![]() | 36.4 ± 1.5 |
| 4f | ![]() | n.t. |
| 4g | ![]() | 69.9 ± 4.3 |
| 4h | ![]() | No |
| 4i | ![]() | 67.9 ± 0.3 |
| 4j | ![]() | 52.7 ± 2.5 |
Disclaimer/Publisher’s Note: The statements, opinions and data contained in all publications are solely those of the individual author(s) and contributor(s) and not of MDPI and/or the editor(s). MDPI and/or the editor(s) disclaim responsibility for any injury to people or property resulting from any ideas, methods, instructions or products referred to in the content. |
© 2024 by the authors. Licensee MDPI, Basel, Switzerland. This article is an open access article distributed under the terms and conditions of the Creative Commons Attribution (CC BY) license (https://creativecommons.org/licenses/by/4.0/).
Share and Cite
Katopodi, A.; Nikolaou, N.; Kakokefalou, V.; Alexandratou, E.; Matzapetakis, M.; Zervou, M.; Detsi, A. A Ligand-Free Approach towards Coumarin Analogs via Natural Deep Eutectic Solvent-Mediated Suzuki–Miyaura Coupling. Molecules 2024, 29, 4398. https://doi.org/10.3390/molecules29184398
Katopodi A, Nikolaou N, Kakokefalou V, Alexandratou E, Matzapetakis M, Zervou M, Detsi A. A Ligand-Free Approach towards Coumarin Analogs via Natural Deep Eutectic Solvent-Mediated Suzuki–Miyaura Coupling. Molecules. 2024; 29(18):4398. https://doi.org/10.3390/molecules29184398
Chicago/Turabian StyleKatopodi, Annita, Nikolaos Nikolaou, Vasiliki Kakokefalou, Eleni Alexandratou, Manolis Matzapetakis, Maria Zervou, and Anastasia Detsi. 2024. "A Ligand-Free Approach towards Coumarin Analogs via Natural Deep Eutectic Solvent-Mediated Suzuki–Miyaura Coupling" Molecules 29, no. 18: 4398. https://doi.org/10.3390/molecules29184398
APA StyleKatopodi, A., Nikolaou, N., Kakokefalou, V., Alexandratou, E., Matzapetakis, M., Zervou, M., & Detsi, A. (2024). A Ligand-Free Approach towards Coumarin Analogs via Natural Deep Eutectic Solvent-Mediated Suzuki–Miyaura Coupling. Molecules, 29(18), 4398. https://doi.org/10.3390/molecules29184398













