Synthesis and Physiochemical Properties of Sulphated Tamarind (Tamarindus indica L.) Seed Polysaccharide
Abstract
1. Introduction
2. Results
2.1. Sulphation Synthesis
2.1.1. Conductimetric Titration
2.1.2. Zeta Potential
2.1.3. FT-IR
2.2. Chemical and Physical Properties
2.2.1. Molecular Weight Distribution
2.2.2. Rheological Properties
2.3. Structural Properties of TSP, S-TSP and Their Enzymatically Hydrolysed Products
2.3.1. NMR Hydrolysed TSP
2.3.2. LC-MS of Enzymatically Hydrolysed TSP and S-TSP
2.3.3. NMR of Enzymatically Hydrolysed S-TSP
2.4. Mucoadhesion
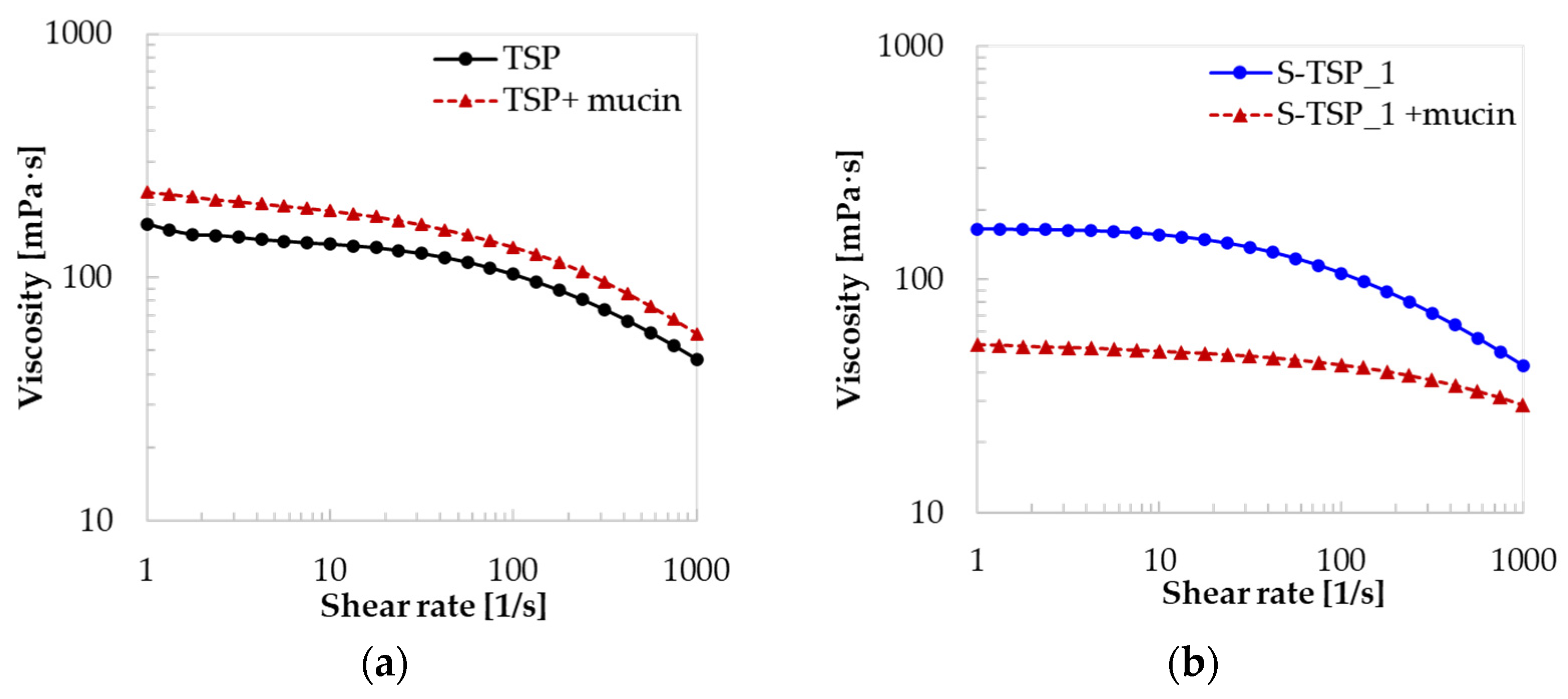
2.4.1. Rheology
2.4.2. Zeta Potential
3. Discussion
4. Materials and Methods
4.1. Materials
4.2. Methods
4.2.1. Sulphation Reaction
4.2.2. 1D and 2D NMR Analyses
4.2.3. FT-IR
4.2.4. Zeta Potential
4.2.5. Determining Degree of Sulphation Using Conductometric Titration
4.2.6. Molecular Weight Distribution by Size Exclusion Chromatography with Triple Detector Array (HP-SEC-TDA)
4.2.7. Rheology
4.2.8. Interaction with Mucin
4.2.9. Enzymatic Depolymerisation
4.2.10. LC/MS Analyses of Enzymatically Digested TSP and S-TSP
5. Conclusions
Supplementary Materials
Author Contributions
Funding
Institutional Review Board Statement
Informed Consent Statement
Data Availability Statement
Acknowledgments
Conflicts of Interest
References
- Shao, H.; Zhang, H.; Tian, Y.; Song, Z.; Lai, P.F.H.; Ai, L. Composition and Rheological Properties of Polysaccharide Extracted from Tamarind (Tamarindus indica L.) Seed. Molecules 2019, 24, 1218. [Google Scholar] [CrossRef] [PubMed]
- Shukla, A.K.; Bishnoi, R.S.; Kumar, M.; Fenin, V.; Jain, C.P. Applications of Tamarind seeds Polysaccharide-based copolymers in Controlled Drug Delivery: An overview. Asian J. Pharm. Pharmacol. 2018, 4, 23–30. [Google Scholar] [CrossRef]
- Ren, L.; Yang, Y.; Bian, X.; Li, X.; Wang, B.; Wang, D.; Su, D.; Liu, L.; Yu, D.; Guo, X.; et al. Physicochemical, Rheological, Structural, Antioxidant, and Antimicrobial Properties of Polysaccharides Extracted from Tamarind Seeds. J. Food Qual. 2022, 2022, 9788248. [Google Scholar] [CrossRef]
- Uccello-Barretta, G.; Nazzi, S.; Zambito, Y.; Di Colo, G.; Balzano, F.; Sansò, M. Synergistic interaction between TS-polysaccharide and hyaluronic acid: Implications in the formulation of eye drops. Int. J. Pharm. 2010, 395, 122–131. [Google Scholar] [CrossRef] [PubMed]
- Raj, V.; Lee, S. State-of-the-art progress on tamarind seed polysaccharide (Tamarindus indica) and its diverse potential applications, a review with insight. Carbohydr. Polym. 2024, 331, 121847. [Google Scholar] [CrossRef] [PubMed]
- Wang, Z.; Xie, J.; Shen, M.; Nie, S.; Xie, M. Sulfated modification of polysaccharides: Synthesis, characterization and bioactivities. Trends Food Sci. Technol. 2018, 74, 147–157. [Google Scholar] [CrossRef]
- Shi, D.; Sheng, A.; Chi, L. Glycosaminoglycan-Protein Interactions and Their Roles in Human Disease. Front. Mol. Biosci. 2021, 8, 639666. [Google Scholar] [CrossRef]
- Gandhi, N.S.; Mancera, R.L. The Structure of Glycosaminoglycans and their Interactions with Proteins. Chem. Biol. Drug Des. 2008, 72, 455–482. [Google Scholar] [CrossRef]
- Bedini, E.; Laezza, A.; Parrilli, M.; Iadonisi, A. A review of chemical methods for the selective sulfation and desulfation of polysaccharides. Carbohydr. Polym. 2017, 174, 1224–1239. [Google Scholar] [CrossRef]
- Ngo, D.-H.; Kim, S.-K. Sulfated polysaccharides as bioactive agents from marine algae. Int. J. Biol. Macromol. 2013, 62, 70–75. [Google Scholar] [CrossRef]
- Hans, N.; Malik, A.; Naik, S. Antiviral activity of sulfated polysaccharides from marine algae and its application in combating COVID-19: Mini review. Bioresour. Technol. Rep. 2021, 13, 100623. [Google Scholar] [CrossRef]
- Martins, A.; Alves, C.; Silva, J.; Pinteus, S.; Gaspar, H.; Pedrosa, R. Sulfated Polysaccharides from Macroalgae—A Simple Roadmap for Chemical Characterization. Polymers 2023, 15, 399. [Google Scholar] [CrossRef]
- Ray, B.; Schütz, M.; Mukherjee, S.; Jana, S.; Ray, S.; Marschall, M. Exploiting the Amazing Diversity of Natural Source-Derived Polysaccharides: Modern Procedures of Isolation, Engineering, and Optimization of Antiviral Activities. Polymers 2020, 13, 136. [Google Scholar] [CrossRef] [PubMed]
- Sonawane, S.; Bagul, M.; Arya, S. Tamarind seeds: Chemistry, technology, applications and health benefits: A review. Indian Food Ind. 2015, 34, 28–35. [Google Scholar]
- Kang, J.; Jia, X.; Wang, N.; Xiao, M.; Song, S.; Wu, S.; Li, Z.; Wang, S.; Cui, S.W.; Guo, Q. Insights into the structure-bioactivity relationships of marine sulfated polysaccharides: A review. Food Hydrocoll. 2022, 123, 107049. [Google Scholar] [CrossRef]
- Nguyen, M.T.H.; Van Tran, C.; De Tran, Q.; Kim, M.-S.; Jung, W.-K.; Nguyen, P.T.M. In vitro osteogenic activities of sulfated derivative of polysaccharide extracted from Tamarindus indica L. Biol. Chem. 2021, 402, 1213–1224. [Google Scholar] [CrossRef]
- Lang, P.; Masci, G.; Dentini, M.; Crescenzi, V.; Cooke, D.; Gidley, M.; Fanutti, C.; Reid, J. Tamarind seed polysaccharide: Preparation, characterisation and solution properties of carboxylated, sulphated and alkylaminated derivatives. Carbohydr. Polym. 1992, 17, 185–198. [Google Scholar] [CrossRef]
- Ladiè, R.; Cosentino, C.; Tagliaro, I.; Antonini, C.; Bianchini, G.; Bertini, S. Supramolecular Structuring of Hyaluronan-Lactose-Modified Chitosan Matrix: Towards High-Performance Biopolymers with Excellent Biodegradation. Biomolecules 2021, 11, 389. [Google Scholar] [CrossRef]
- Chawananorasest, K.; Saengtongdee, P.; Kaemchantuek, P. Extraction and Characterization of Tamarind (Tamarind indica L.) Seed Polysaccharides (TSP) from Three Difference Sources. Molecules 2016, 21, 775. [Google Scholar] [CrossRef]
- Blanco, A.; García-Abuín, A.; Gómez-Díaz, D.; Navaza, J. Physicochemical characterization of chitosan derivatives. CyTA J. Food 2013, 11, 190–197. [Google Scholar] [CrossRef]
- Zhang, H.; Zhao, T.; Wang, J.; Xia, Y.; Song, Z.; Ai, L. An amendment to the fine structure of galactoxyloglucan from Tamarind (Tamarindus indica L.) seed. Int. J. Biol. Macromol. 2020, 149, 1189–1197. [Google Scholar] [CrossRef] [PubMed]
- Huang, X.; Ai, C.; Yao, H.; Zhao, C.; Xiang, C.; Hong, T.; Xiao, J. Guideline for the extraction, isolation, purification, and structural characterization of polysaccharides from natural resources. Efood 2022, 3, e37. [Google Scholar] [CrossRef]
- Eisele, G.; Alekseeva, A.; Bertini, S.; Gardini, C.; Paganini, D.; Fonseca, E.C.M.; Guerrini, M.; Naggi, A. Further advances in identification of pentosan polysulfate monosaccharide composition by NMR. J. Pharm. Biomed. Anal. 2023, 235, 115672. [Google Scholar] [CrossRef] [PubMed]
- Arruda, I.R.; Albuquerque, P.B.; Santos, G.R.; Silva, A.G.; Mourão, P.A.; Correia, M.T.; Vicente, A.A.; Carneiro-Da-Cunha, M.G. Structure and rheological properties of a xyloglucan extracted from Hymenaea courbaril var. courbaril seeds. Int. J. Biol. Macromol. 2015, 73, 31–38. [Google Scholar] [CrossRef] [PubMed]
- Tuomivaara, S.T.; Yaoi, K.; O’Neill, M.A.; York, W.S. Generation and structural validation of a library of diverse xyloglucan-derived oligosaccharides, including an update on xyloglucan nomenclature. Carbohydr. Res. 2015, 402, 56–66. [Google Scholar] [CrossRef] [PubMed]
- Zhang; D. 2D NMR Characterization of Cellobiose Sulfate Hydrolyzed from Cellulose Nanocrystals. Master’s Thesis, Auburn University, Auburn, AL, USA, 2014.
- Nizzolo, S.; Esposito, E.; Ni, M.; Bertocchi, L.; Bianchini, G.; Freato, N.; Zanzoni, S.; Guerrini, M.; Bertini, S. A novel biomimetic probe for galectin-3 recognition: Chemical synthesis and structural characterization of a β-galactose branched sodium hyaluronate. Proteoglycan Res. 2024, 2, e19. [Google Scholar] [CrossRef]
- Ejaz, U.; Sohail, M.; Ghanemi, A. Cellulases: From Bioactivity to a Variety of Industrial Applications. Biomimetics 2021, 6, 44. [Google Scholar] [CrossRef]
- Sun, P.; Laurent, C.V.F.P.; Scheiblbrandner, S.; Frommhagen, M.; Kouzounis, D.; Sanders, M.G.; van Berkel, W.J.H.; Ludwig, R.; Kabel, M.A. Configuration of active site segments in lytic polysaccharide monooxygenases steers oxidative xyloglucan degradation. Biotechnol. Biofuels 2020, 13, 95. [Google Scholar] [CrossRef]
- Alekseeva, A.; Raman, R.; Eisele, G.; Clark, T.; Fisher, A.; Lee, S.L.; Jiang, X.; Torri, G.; Sasisekharan, R.; Bertini, S. In-depth structural characterization of pentosan polysulfate sodium complex drug using orthogonal analytical tools. Carbohydr. Polym. 2020, 234, 115913. [Google Scholar] [CrossRef]
- Gardini, C.; Bisio, A.; Mazzini, G.; Guerrini, M.; Naggi, A.; Alekseeva, A. Saturated tetrasaccharide profile of enoxaparin. An additional piece to the heparin biosynthesis puzzle. Carbohydr. Polym. 2021, 273, 118554. [Google Scholar] [CrossRef]
- London, J. Analysis of Complex Polysaccharides of Biological and Industrial Relevance via Nuclear Magnetic Resonance Spectroscopy: Structure, Modification and Protein Interactions; University of Liverpool: Liverpool, UK, 2022; Available online: https://livrepository.liverpool.ac.uk/3165135 (accessed on 21 May 2024).
- da Silva, A.C.C.; de Almeida, R.R.; Vidal, C.S.; Neto, J.F.C.; Sousa, A.C.d.C.; Martínez, F.N.A.; Pinheiro, D.P.; Sales, S.L.A.; Pessoa, C.; Denardin, J.C.; et al. Sulfated xyloglucan-based magnetic nanocomposite for preliminary evaluation of theranostic potential. Int. J. Biol. Macromol. 2022, 216, 520–527. [Google Scholar] [CrossRef] [PubMed]
- Madsen, F.; Eberth, K.; Smart, J.D. A rheological examination of the mucoadhesive/mucus interaction: The effect of mucoadhesive type and concentration. J. Control. Release 1998, 50, 167–178. [Google Scholar] [CrossRef] [PubMed]
- de Oliveira Cardoso, V.M.d.O.; Gremião, M.P.D.; Cury, B.S.F. Mucin-polysaccharide interactions: A rheological approach to evaluate the effect of pH on the mucoadhesive properties. Int. J. Biol. Macromol. 2020, 149, 234–245. [Google Scholar] [CrossRef] [PubMed]
- Uccello-Barretta, G.; Balzano, F.; Vanni, L.; Sansò, M. Mucoadhesive properties of tamarind-seed polysaccharide/hyaluronic acid mixtures: A nuclear magnetic resonance spectroscopy investigation. Carbohydr. Polym. 2013, 91, 568–572. [Google Scholar] [CrossRef] [PubMed]
- Graça, A.; Gonçalves, L.M.; Raposo, S.; Ribeiro, H.M.; Marto, J. Useful In Vitro Techniques to Evaluate the Mucoadhesive Properties of Hyaluronic Acid-Based Ocular Delivery Systems. Pharmaceutics 2018, 10, 110. [Google Scholar] [CrossRef]
- Menchicchi, B.; Fuenzalida, J.P.; Hensel, A.; Swamy, M.J.; David, L.; Rochas, C.; Goycoolea, F.M. Biophysical Analysis of the Molecular Interactions between Polysaccharides and Mucin. Biomacromolecules 2015, 16, 924–935. [Google Scholar] [CrossRef]
- Woertz, C.; Preis, M.; Breitkreutz, J.; Kleinebudde, P. Assessment of test methods evaluating mucoadhesive polymers and dosage forms: An overview. Eur. J. Pharm. Biopharm. 2013, 85, 843–853. [Google Scholar] [CrossRef]
- Yermak, I.M.; Davydova, V.N.; Kravchenko, A.O.; Chistyulin, D.A.; Pimenova, E.A.; Glazunov, V.P. Mucoadhesive properties of sulphated polysaccharides carrageenans from red seaweed families Gigartinaceae and Tichocarpaceae. Int. J. Biol. Macromol. 2020, 142, 634–642. [Google Scholar] [CrossRef]
- Bertini, S.; Fareed, J.; Madaschi, L.; Risi, G.; Torri, G.; Naggi, A. Characterization of PF4-Heparin Complexes by Photon Correlation Spectroscopy and Zeta Potential. Clin. Appl. Thromb. 2017, 23, 725–734. [Google Scholar] [CrossRef]
- York, W.S.; Harvey, L.K.; Guillen, R.; Alberhseim, P.; Darvill, A.G. Structural analysis of tamarind seed xyloglucan oligosaccharides using β-galactosidase digestion and spectroscopic methods. Carbohydr. Res. 1993, 248, 285–301. [Google Scholar] [CrossRef]
- Szilágyi, B.Á.; Mammadova, A.; Gyarmati, B.; Szilágyi, A. Mucoadhesive interactions between synthetic polyaspartamides and porcine gastric mucin on the colloid size scale. Colloids Surf. B Biointerfaces 2020, 194, 111219. [Google Scholar] [CrossRef] [PubMed]
- Yermak, I.M.; Davydova, V.N.; Volod’ko, A.V. Mucoadhesive Marine Polysaccharides. Mar. Drugs 2022, 20, 522. [Google Scholar] [CrossRef] [PubMed]
- Ferreira, L.M.; Cardoso, V.M.; Pedriz, I.d.S.; Souza, M.P.; Ferreira, N.N.; Chorilli, M.; Gremião, M.P.; Zucolotto, V. Understanding mucus modulation behavior of chitosan oligomers and dextran sulfate combining light scattering and calorimetric observations. Carbohydr. Polym. 2023, 306, 120613. [Google Scholar] [CrossRef] [PubMed]
- Lynch, C.; Kondiah, P.P.D.; Choonara, Y.E.; du Toit, L.C.; Ally, N.; Pillay, V. Advances in Biodegradable Nano-Sized Polymer-Based Ocular Drug Delivery. Polymers 2019, 11, 1371. [Google Scholar] [CrossRef]











| Sample | Temperature (°C) | TSP/SO3xPy Molar Ratio | TSP Concentration in DMF (mg/mL) | Sulphation Degree (DS) * | Zeta Potential (mV) |
|---|---|---|---|---|---|
| TSP | - | - | - | - | −0.70 ± 0.16 |
| S-TSP_1 | RT | 1:1 | 10 | 2 | −43.0 ± 1.02 |
| S-TSP_2 | RT | 1:2 | 10 | 3 | −47.4 ± 2.41 |
| S-TSP_3 | RT | 1:2 | 5 | 4 | −58.1 ± 3.12 |
| Sample | Mw (kDa) | Mn (kDa) | Pd (Mw/Mn) | [η] (dL/g) | Rh (nm) | a |
|---|---|---|---|---|---|---|
| TSP | 620 | 405 | 1.5 | 5.1 | 35 | 0.78 |
| S-TSP_1 | 750 | 485 | 1.5 | 3.8 | 34 | 0.82 |
| S-TSP_2 | 810 | 540 | 1.5 | 4.1 | 36 | 0.80 |
| S-TSP_3 | 1000 | 730 | 1.4 | 4.5 | 41 | 0.81 |
| Monosaccharide Residues | Chemical Shift (ppm) H/C | |||||
|---|---|---|---|---|---|---|
| 1 | 2 | 3 | 4 | 5 | 6 | |
| GlcNR | 4.55/105.2 | 3.33/75.7 | 3.51/78.2 | 3.51/72.1 | 3.69/77.0 | 3.77/68.5 |
| Glc-(Xyl) | 4.55/105.2 | 3.40/75.4 | 3.67/76.8 | 3.67/81.9 | 3.81/76.0 | 3.99–3.92/68.7 |
| Glc-(Xyl-Gal) | 4.55/105.2 | 3.40/75.4 | 3.67/76.8 | 3.67/82.6 | 3.89/76.1 | 3.95–3.91/69.4 |
| Glcα | 5.21/94.4 | 3.62/73.8 | 3.82/74.1 | 3.68/81.9 | 3.93/72.6 | 3.86/62.6 |
| Glcβ | 4.65/98.3 | 3.29/76.5 | 3.65/77.1 | 3.68/81.7 | 3.60/77.2 | 3.93–3.81/62.7 |
| Xyl-(Gal) | 5.16/101.4 | 3.66/82.7 | 3.90/74.6 | 3.71/72.1 | 3.71–3.56/63.9 | - |
| Xyl-(Glc) | 4.95/101.6 | 3.54/74.1 | 3.72/75.7 | 3.59/72.1 | 3.71–3.56/63.9 | - |
| Xyl-(GlcNR) | 4.93/100.9 | 3.54/74.1 | 3.72/75.7 | 3.63/72.1 | 3.71–3.56/63.9 | - |
| Gal | 4.55/107.2 | 3.60/73.8 | 3.65/75.1 | 3.91/71.3 | 3.67/77.7 | 3.77/63.7 |
| Sample | Zeta Potential (mV) |
|---|---|
| Mucin | −2.59 ± 0.13 |
| TSP | −0.70 ± 0.16 |
| TSP + mucin | −2.09 ± 0.15 |
| S-TSP_1 | −43.0 ± 1.02 |
| S-TSP_1 + mucin | −10.1 ± 0.75 |
Disclaimer/Publisher’s Note: The statements, opinions and data contained in all publications are solely those of the individual author(s) and contributor(s) and not of MDPI and/or the editor(s). MDPI and/or the editor(s) disclaim responsibility for any injury to people or property resulting from any ideas, methods, instructions or products referred to in the content. |
© 2024 by the authors. Licensee MDPI, Basel, Switzerland. This article is an open access article distributed under the terms and conditions of the Creative Commons Attribution (CC BY) license (https://creativecommons.org/licenses/by/4.0/).
Share and Cite
Ziliani, S.; Alekseeva, A.; Antonini, C.; Esposito, E.; Neggiani, F.; Sansò, M.; Guerrini, M.; Bertini, S. Synthesis and Physiochemical Properties of Sulphated Tamarind (Tamarindus indica L.) Seed Polysaccharide. Molecules 2024, 29, 5510. https://doi.org/10.3390/molecules29235510
Ziliani S, Alekseeva A, Antonini C, Esposito E, Neggiani F, Sansò M, Guerrini M, Bertini S. Synthesis and Physiochemical Properties of Sulphated Tamarind (Tamarindus indica L.) Seed Polysaccharide. Molecules. 2024; 29(23):5510. https://doi.org/10.3390/molecules29235510
Chicago/Turabian StyleZiliani, Sabrina, Anna Alekseeva, Carlo Antonini, Emiliano Esposito, Fabio Neggiani, Marco Sansò, Marco Guerrini, and Sabrina Bertini. 2024. "Synthesis and Physiochemical Properties of Sulphated Tamarind (Tamarindus indica L.) Seed Polysaccharide" Molecules 29, no. 23: 5510. https://doi.org/10.3390/molecules29235510
APA StyleZiliani, S., Alekseeva, A., Antonini, C., Esposito, E., Neggiani, F., Sansò, M., Guerrini, M., & Bertini, S. (2024). Synthesis and Physiochemical Properties of Sulphated Tamarind (Tamarindus indica L.) Seed Polysaccharide. Molecules, 29(23), 5510. https://doi.org/10.3390/molecules29235510

