(E)-2-Benzylidenecyclanones: Part XX—Reaction of Cyclic Chalcone Analogs with Cellular Thiols: Unexpected Increased Reactivity of 4-Chromanone- Compared to 1-Tetralone Analogs in Thia-Michael Reactions †
Abstract
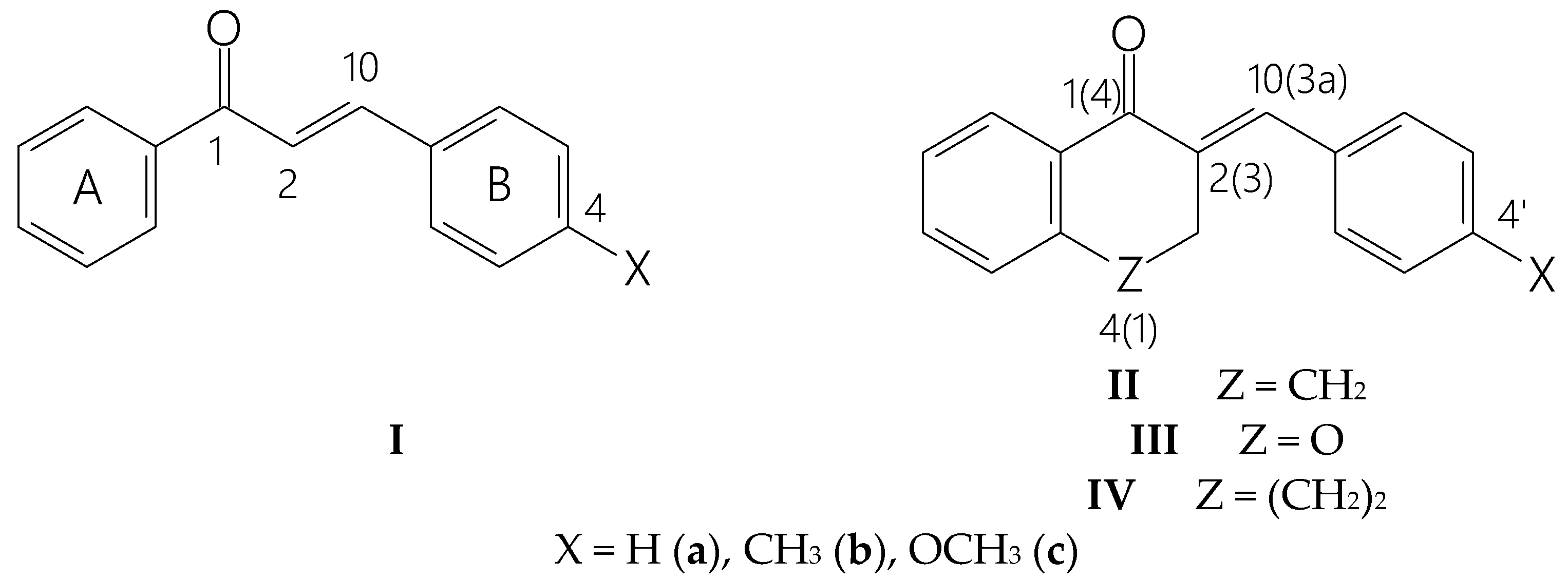
1. Introduction
2. Results
2.1. Reactions Under Slightly Basic (pH 8.0) Conditions
2.2. Reactions Under Slightly Acidic (pH 6.3) Conditions
2.3. Reactions Under Acidic (pH 3.2) Conditions
2.4. Molecular Modeling Analysis
3. Discussion
4. Materials and Methods
4.1. Chemicals and Reagents
4.2. Preparation of Solutions
4.3. RP-HPLC-UV Measurements
4.4. HPLC-MS Measurements
4.5. Molecular Modeling
5. Conclusions
Supplementary Materials
Author Contributions
Funding
Institutional Review Board Statement
Informed Consent Statement
Data Availability Statement
Acknowledgments
Conflicts of Interest
References
- Rozmer, Z.; Perjési, P. Naturally occurring chalcones and their biological activities. Phytochem. Rev. 2016, 15, 87–120. [Google Scholar] [CrossRef]
- Constantinescu, T.; Mihis, A.G. Two important anticancer mechanisms of natural and synthetic chalcones. Int. J. Mol. Sci. 2022, 23, 11595. [Google Scholar] [CrossRef] [PubMed]
- Rajendran, G.; Bhanu, D.; Aruchamy, B.; Ramani, P.; Pandurangan, N.; Bobba, K.N.; Oh, E.J.; Chung, H.Y.; Gangadaran, P.; Ahn, B.-C. Chalcone: A promising bioactive scaffold in medicinal chemistry. Pharmaceuticals 2022, 15, 1250. [Google Scholar] [CrossRef] [PubMed]
- Leite, F.F.; de Sousa, N.F.; de Oliveira, B.H.M.; Duarte, G.D.; Ferreira, M.D.L.; Scotti, M.T.; Filho, J.M.B.; Rodrigues, L.C.; de Moura, R.O.; Mendonça-Junior, F.J.B.; et al. Anticancer activity of chalcones and its derivatives: Review and in silico studies. Molecules 2023, 28, 4009. [Google Scholar] [CrossRef] [PubMed]
- Shalaby, M.A.; Rizk, S.A.; Fahim, A.M. Synthesis, reactions and application of chalcones: A systematic review. Org. Biomol. Chem. 2023, 21, 5317–5346. [Google Scholar] [CrossRef]
- Dimmock, J.R.; Kandepu, N.M.; Nazarali, A.J.; Kowalchuk, T.P.; Motaganahalli, N.; Quail, J.W.; Mykytiuk, P.A.; Audette, G.F.; Prasad, L.; Perjési, P.; et al. Conformational and quantitative structure−activity relationship study of cytotoxic 2-arylidenebenzocycloalkanones. J. Med. Chem. 1999, 42, 1358–1366. [Google Scholar] [CrossRef]
- Dimmock, J.R.; Zello, G.A.; Oloo, E.O.; Quail, J.W.; Kraatz, H.-B.; Perjési, P.; Aradi, F.; Takács-Novák, K.; Allen, T.M.; Santos, C.L.; et al. Correlations between cytotoxicity and topography of some 2-arylidenebenzocycloalkanones determined by X-ray crystallography. J. Med. Chem. 2002, 45, 3103–3111. [Google Scholar] [CrossRef]
- Perjési, P.; Das, U.; De Clercq, E.; Balzarini, J.; Kawase, M.; Sakagami, H.; Stables, J.P.; Loránd, T.; Rozmer, Z.; Dimmock, J.R. Design, synthesis and antiproliferative activity of some 3-benzylidene-2,3-dihydro-1-benzopyran-4-ones which display selective toxicity for malignant cells. Eur. J. Med. Chem. 2008, 43, 839–845. [Google Scholar] [CrossRef]
- Folmer, F.; Blasius, R.; Morceau, F.; Tabudravu, J.; Dicato, M.; Jaspars, M.; Diederich, M. Inhibition of TNFα-induced activation of nuclear factor ΚB by Kava (Piper methysticum) derivatives. Biochem. Pharmacol. 2006, 71, 1206–1218. [Google Scholar] [CrossRef]
- Laphanuwat, P.; Kongpetch, S.; Senggunprai, L.; Prawan, A.; Kukongviriyapan, V. Licochalcone A induces cholangiocarcinoma cell death via suppression of Nrf2 and NF-ΚB signaling pathways. Asian Pac. J. Cancer Prev. 2022, 23, 115–123. [Google Scholar] [CrossRef]
- de Freitas Silva, M.; Pruccoli, L.; Morroni, F.; Sita, G.; Seghetti, F.; Viegas, C.; Tarozzi, A. The Keap1/Nrf2-ARE pathway as a pharmacological target for chalcones. Molecules 2018, 23, 1803. [Google Scholar] [CrossRef] [PubMed]
- Egbujor, M.C.; Saha, S.; Buttari, B.; Profumo, E.; Saso, L. Activation of Nrf2 signaling pathway by natural and synthetic chalcones: A therapeutic road map for oxidative stress. Expert Rev. Clin. Pharmacol. 2021, 14, 465–480. [Google Scholar] [CrossRef] [PubMed]
- Zhuang, C.; Zhang, W.; Sheng, C.; Zhang, W.; Xing, C.; Miao, Z. Chalcone: A privileged structure in medicinal chemistry. Chem. Rev. 2017, 117, 7762–7810. [Google Scholar] [CrossRef] [PubMed]
- Gomes, M.N.; Muratov, E.N.; Pereira, M.; Peixoto, J.C.; Rosseto, L.P.; Cravo, P.V.L.; Andrade, C.H.; Neves, B.J. Chalcone derivatives: Promising starting points for drug design. Molecules 2017, 22, 1210. [Google Scholar] [CrossRef] [PubMed]
- Issaenko, O.A.; Amerik, A.Y. Chalcone-based small-molecule inhibitors attenuate malignant phenotype via targeting deubiquitinating enzymes. Cell. Cycle 2012, 11, 1804–1817. [Google Scholar] [CrossRef]
- Mahapatra, D.K.; Bharti, S.K.; Asati, V. Anti-cancer chalcones: Structural and molecular target perspectives. Eur. J. Med. Chem. 2015, 98, 69–114. [Google Scholar] [CrossRef]
- Ramalho, S.D.; Bernades, A.; Demetrius, G.; Noda-Perez, C.; Vieira, P.C.; Yu dos Santos, C.; da Silva, J.A.; de Moraes, M.O.; Mousinho, K.C. Synthetic chalcone derivatives as inhibitors of cathepsins K and B, and their cytotoxic evaluation. Chem. Biodivers. 2013, 10, 1999–2006. [Google Scholar] [CrossRef]
- Jackson, P.A.; Widen, J.C.; Harki, D.A.; Brummond, K.M. Covalent modifiers: A chemical perspective on the reactivity of α,β-unsaturated carbonyls with thiols via hetero-Michael addition reactions. J. Med. Chem. 2017, 60, 839–885. [Google Scholar] [CrossRef]
- Rücker, H.; Al-Rifai, N.; Rascle, A.; Gottfried, E.; Brodziak-Jarosz, L.; Gerhäuser, C.; Dick, T.P.; Amslinger, S. Enhancing the anti-inflammatory activity of chalcones by tuning the Michael acceptor site. Org. Biomol. Chem. 2015, 13, 3040. [Google Scholar] [CrossRef]
- Kozurkova, M.; Tomeckova, V. Interaction of Chalcone Derivatives with Important Biomacromolecules. In Chalcones and Their Synthetic Analogs; Nova Science Publishers, Inc.: Hauppauge, NY, USA, 2020; Chapter 4; pp. 95–133. [Google Scholar]
- Kenari, F.; Pintér, Z.; Molnár, S.; Borges, I.D.; Camargo, A.J.; Napolitano, H.B.; Perjési, P. (E)-2-Benzylidenecyclanones: Part XIX. Reaction of (E)-2-(4’-X-benzylidene)-1-tetralones with cellular thiols. Comparison of thiol reactivities of open-chain chalcones and their six- and seven-membered cyclic analogs. Int. J. Mol. Sci. 2024, 25, 7773. [Google Scholar] [CrossRef]
- Kenari, F.; Molnár, S.; Perjési, P. Reaction of chalcones with cellular thiols. The effect of the 4-substitution of chalcones and protonation state of the thiols on the addition process. Diastereoselective thiol addition. Molecules 2021, 26, 4332. [Google Scholar] [CrossRef] [PubMed]
- Costa, A.M.; Bosch, L.; Petit, E.; Vilarrasa, J. Computational study of the addition of methanethiol to 40+ Michael acceptors as a model for the bioconjugation of cysteines. J. Org. Chem. 2021, 86, 7107–7118. [Google Scholar] [CrossRef] [PubMed]
- Roseli, R.B.; Keto, A.B.; Krenske, E.H. Mechanistic aspects of thiol additions to Michael acceptors: Insights from computations. WIREs Comput. Mol. Sci. 2023, 13, e1636. [Google Scholar] [CrossRef]
- Arafet, K.; Serrano-Aparicio, N.; Lodola, A.; Mulholland, A.J.; Gonzalez, F.V.; Swiderek, K.; Moliner, V. Mechanism of inhibition of SARS-CoV-2 Mpro by N3 peptidyl Michael acceptor explained by QM/MM simulations and design of new derivatives with tunable chemical reactivity. Chem. Sci. 2021, 12, 1433–1444. [Google Scholar] [CrossRef] [PubMed]
- Aldini, G.; Altomare, A.; Baron, G.; Vistoli, G.; Carini, M.; Borsani, L.; Sergio, F. N-acetylcysteine as an antioxidant and disulphide breaking agent: The reasons why. Free Radic. Res. 2018, 52, 751–762. [Google Scholar] [CrossRef]
- Armstrong, R.N. Structure, catalytic mechanism, and evolution of the glutathione transferases. Chem. Res. Toxicol. 1997, 10, 2–18. [Google Scholar] [CrossRef]
- Mehta, N.V.; Degani, M.S. The expanding repertoire of covalent warheads for drug discovery. Drug Discov. Today 2023, 28, 1–39. [Google Scholar] [CrossRef]
- Roos, G.; Foloppe, N.; Messens, J. Understanding the pKa of redox cysteines: The key role of hydrogen bonding. Antioxid. Redox Signal. 2013, 18, 94–127. [Google Scholar] [CrossRef]
- Pinitglang, S.; Watts, A.B.; Patel, M.; Reid, J.D.; Noble, M.A.; Gul, S.; Bokth, A.; Naeem, A.; Patel, H.; Thomas, E.W.; et al. A classical enzyme active center motif lacks catalytic competence until modulated electrostatically. Biochemistry 1997, 36, 9968–9982. [Google Scholar] [CrossRef]
- Zhang, Z.Y.; Dixon, J.E. Active site labeling of the Yersinia protein tyrosine phosphatase: The determination of the pKa of the active site cysteine and the function of the conserved histidine 402. Biochemistry 1993, 32, 9340–9345. [Google Scholar] [CrossRef]
- Bulaj, G.; Kortemme, T.; Goldenberg, D.P. Ionization-reactivity relationships for cysteine thiols in polypeptides. Biochemistry 1998, 37, 8965–8972. [Google Scholar] [CrossRef] [PubMed]
- Kupcewicz, B.; Balcerowska-Czerniak, G.; Małecka, M.; Paneth, P.; Krajewska, U.; Rozalski, M. Structure–cytotoxic activity relationship of 3-arylideneflavanone and chromanone (E,Z isomers) and 3-arylflavones. Bioorg. Med. Chem. Lett. 2013, 23, 4102–4106. [Google Scholar] [CrossRef] [PubMed]
- Rohani, N.; Hao, L.; Alexis, M.S.; Joughin, B.A.; Krismer, K.; Moufarrej, M.; Soltis, A.; Lauffenburger, D.; Yaffe, M.B.; Burge, C.B.; et al. Acidification of tumor at stromal boundaries drives transcriptome alterations associated with aggressive phenotypes. Cancer Res. 2019, 79, 1952–1966. [Google Scholar] [CrossRef] [PubMed]
- Kenari, F.; Molnár, S.; Borges, I.D.; Napolitano, H.B.; Perjési, P. (E)-2-Benzylidenecyclanones: Part XVIII. Study the possible link between glutathione reactivity and cancer cell cytotoxic effects of some cyclic chalcone analogs a comparison of the reactivity of the open-chain and the seven-membered homologs. Int. J. Mol. Sci. 2023, 24, 8557. [Google Scholar] [CrossRef]
- LoPachin, R.M.; Gavin, T.; DeCaprio, A.; Barber, D.S. Application of the hard and soft, acids and bases (HSAB) theory to toxicant–target interactions. Chem. Res. Toxicol. 2012, 25, 239–251. [Google Scholar] [CrossRef]
- Perjési, P.; Linnanto, J.; Kolehmainen, E.; Ősz, E.; Virtanen, E. E-2-Benzylidenebenzocycloalkanones. IV. Studies on transmission of substituent effects on 13C NMR chemical shifts of E-2-(X-benzylidene)-1-tetralones, and -benzosuberones. Comparison with the 13C NMR data of chalcones and E-2-(X-benzylidene)-1-indanones. J. Mol. Struct. 2005, 740, 81–89. [Google Scholar] [CrossRef]
- Cheng, X.-M.; Huang, Z.-T.; Zheng, Q.-Y. Topochemical photodimerization of (E)-3-benzylidene-4-chromanone derivatives from β-type structures directed by halogen groups. Tetrahedron 2011, 67, 9093–9098. [Google Scholar] [CrossRef]
- Tóth, G.; Simon, A.; Lévai, A.; Kahlig, H.; Kalchhauser, H. 17O NMR studies on (E)-3-arylidenechromanone and -flavanones derivatives. Magn. Reson. Chem. 2001, 39, 463–465. [Google Scholar] [CrossRef]
- Valkonen, A.; Laihia, K.; Kolehmainen, E.; Kauppinen, R.; Perjési, P. Structural studies of seven homoisoflavonoids, six thiohomoisoflavonoids, and four structurally related compounds. Struct. Chem. 2012, 23, 209–217. [Google Scholar] [CrossRef]
- de Almeida, L.R.; Carvalho, P.S., Jr.; Napolitano, H.B.; Oliveira, S.S.; Camargo, A.J.; Figueredo, A.S.; de Aquino, G.L.B.; Carvalho-Silva, V.H. Contribution of directional dihydrogen interactions in the supramolecular assembly of single crystals: Quantum chemical and structural investigation of C17H17N3O2 azine. Cryst. Growth Des. 2017, 17, 5145–5153. [Google Scholar] [CrossRef]
- Chen, J.; Jiang, X.; Carroll, S.L.; Huang, J.; Wang, J. Theoretical and experimental investigation of thermodynamics and kinetics of thiol-Michael addition reactions: A case study of reversible fluorescent probes for glutathione imaging in single cells. Org. Lett. 2015, 17, 5978–5981. [Google Scholar] [CrossRef] [PubMed]
- Siddaiah, V.; Rao, C.V.; Venkateswarlu, S.; Krishnaraju, A.V.; Subbarajub, G.V. Synthesis, stereochemical assignments, and biological activities of homoisoflavonoids. Bioorg. Med. Chem. 2006, 14, 2545–2551. [Google Scholar] [CrossRef] [PubMed]
- Frisch, M.; Trucks, G.; Schlegel, H.; Scuseria, G.; Robb, M.; Cheeseman, J.; Scalmani, G.; Barone, V.; Petersson, G.; Nakatsuji, H. Gaussian 16 Revision C. 01. 2016; Gaussian Inc.: Wallingford, CT, USA, 2016. [Google Scholar]
- Zhao, Y.; Truhlar, D.G. The M06 suite of density functionals for main group thermochemistry, thermochemical kinetics, non-covalent interactions, excited states, and transition elements: Two new functionals and systematic testing of four M06-class functionals and 12 other functionals. Theor. Chem. Acc. 2008, 120, 215–241. [Google Scholar]
- Zhang, G.; Musgrave, C.B. Comparison of DFT methods for molecular orbital eigenvalue calculations. J. Phys. Chem. A 2007, 111, 1554–1562. [Google Scholar] [CrossRef] [PubMed]
- Weiner, P.K.; Langridge, R.; Blaney, J.M.; Schaefer, R.; Kollman, P.A. Electrostatic potential molecular surfaces. Proc. Natl. Acad. Sci. USA 1982, 79, 3754–3758. [Google Scholar] [CrossRef]
- Náray-Szabó, G.; Ferenczy, G.G. Molecular electrostatics. Chem. Rev. 1995, 95, 829–847. [Google Scholar] [CrossRef]
- Fukui, K. The role of frontier orbitals in chemical reactions (Nobel Lecture). Angew. Chem. Int. Ed. Engl. 1982, 21, 801–809. [Google Scholar] [CrossRef]
- Fukui, K. Role of frontier orbitals in chemical reactions. Science 1982, 218, 747–754. [Google Scholar] [CrossRef]
- Sanches-Neto, F.O.; Coutinho, N.D.; Aquilanti, V.; Silva, W.A.; Carvalho-Silva, V.H. Mechanism and kinetics of the degradation of nitazoxanide and hydroxychloroquine drugs by hydroxyl radicals: Theoretical approach to ecotoxicity. J. Braz. Chem. Soc. 2023, 34, 1119–1129. [Google Scholar] [CrossRef]
- Sanches-Neto, F.O.; Coutinho, N.D.; Palazzetti, F.; Carvalho-Silva, V.H. Temperature dependence of rate constants for the H(D) + CH4 reaction in gas and aqueous phase: Deformed transition-state theory study including quantum tunneling and diffusion effects. Struct. Chem. 2020, 31, 609–617. [Google Scholar] [CrossRef]
- Sanches-Neto, F.O.; Ramos, B.; Lastre-Acosta, A.M.; Teixeira, A.C.S.C.; Carvalho-Silva, V.H. Aqueous picloram degradation by hydroxyl radicals: Unveiling mechanism, kinetics, and ecotoxicity through experimental and theoretical approaches. Chemosphere 2021, 278, 130401. [Google Scholar] [CrossRef] [PubMed]
- Bader, R.F.W. Atoms in molecules. Acc. Chem. Res. 1985, 18, 9–15. [Google Scholar] [CrossRef]
- Matta, C.F.; Boyd, R.J. The Quantum Theory of Atoms in Molecules: From Solid State to DNA and Drug Design; Matta, C.F., Boyd, R.J., Eds.; John Wiley & Sons: Hoboken, NJ, USA, 2007. [Google Scholar]
- Lu, T.; Chen, F. Multiwfn: A multifunctional wavefunction analyzer. J. Comput. Chem. 2012, 33, 580–592. [Google Scholar] [CrossRef] [PubMed]
- Laidler, K.J.; Eyring, H.; Glasstone, S.; Laidler, K.J.; Eyring, H. The Theory of Rate Processes: The Kinetics of Chemical Reactions, Viscosity, Diffusion and Electrochemical Phenomena; Inc. McGraw-Hill Book Company, Ed.; McGraw-Hill: New York, NY, USA, 1941. [Google Scholar]
- Allen, C.F.H.; Humphlett, W.J. The thermal reversibility of the Michael reaction V. The effect of the structure of certain thiol adducts on cleavage. Can. J. Chem. 1966, 44, 2315–2321. [Google Scholar] [CrossRef]











| Compound | Molt 4/8 | CEM-T | L12010 |
|---|---|---|---|
| IIb | >500 | 460 | 161 |
| IIc | 9.41 | 8.84 | 44 |
| IIIb | 8.21 | 8.30 | 71.4 |
| IIIc | 13.8 | 25.5 | 67.3 |
| pH 3 | Compound | tR (E)-Isomer | Area Ratio 4 A315/A0 | tR (Z)-Isomer | tR 2 GSH-1 | Area GSH-1 | tR 2 GSH-2 | Area GSH-2 |
|---|---|---|---|---|---|---|---|---|
| 3.2 | IIIa | 16.6 | 0.36 | N.D. 5 | 12.9 | 5346 | 13.2 | 4021 |
| 3.2 | IIIb | 17.1 | 0.42 | N.D. 5 | 14.6 | 3748 | 14.8 | 3472 |
| 3.2 | IIIc | 16.6 | 0.44 | N.D. 5 | 12.9 | 2136 | 13.4 | 1712 |
| 6.3 | IIIa | 16.6 | 0.02 | N.D. 5 | 12.3 | 12,073 | 12.7 | 12,421 |
| 6.3 | IIIb | 17.1 | 0.03 | N.D. 5 | 14.5 | 8028 | 14.7 | 10,248 |
| 6.3 | IIIc | 16.6 | 0.03 | N.D. 5 | 13.0 | 9064 | 13.5 | 9315 |
| 8.0 | IIIa | 16.6 | 0.02 | N.D. 5 | 12.3 | 10,330 | 12.7 | 12,509 |
| 8.0 | IIIb | 17.0 | 0.03 | N.D. 5 | 14.4 | 5820 | 14.5 | 11,685 |
| 8.0 | IIIc | 16.6 | 0.03 | N.D. 5 | 13.2 | 7615 | 13.6 | 10,692 |
| pH 3 | Compound | tR (E)-Isomer | Area Ratio 4 A315/A0 | tR 2 (Z)-Isomer | tR NAC-1 | Area 2 NAC-1 | tR NAC-2 | Area 2 NAC-2 |
|---|---|---|---|---|---|---|---|---|
| 3.2 | IIIa | 16.7 | 0.262 | N.D. 5 | 15.1 | 9483 | N.D. | N.D. |
| 3.2 | IIIb | 17.2 | 0.267 | N.D. 5 | 15.9 | 6333 | N.D. | N.D. |
| 3.2 | IIIc | 16.7 | 0.315 | N.D. 5 | 15.2 | 8088 | N.D. | N.D. |
| 6.3 | IIIa | 16.7 | 0.025 | N.D. 5 | 15.2 | 10,347 | N.D. | N.D. |
| 6.3 | IIIb | 17.1 | 0.044 | N.D. 5 | 15.9 | 18,353 | N.D. | N.D. |
| 6.3 | IIIc | 16.7 | 0.054 | N.D. 5 | 15.0 | 3987 | 15.2 | 11,003 |
| 8.0 | IIIa | 16.6 | 0.017 | N.D. 5 | 15.0 | 20,271 | N.D. | N.D. |
| 8.0 | IIIb | 17.1 | 0.035 | N.D. 5 | 15.9 | 19,590 | N.D. | N.D. |
| 8.0 | IIIc | 16.7 | 0.038 | N.D. 5 | 15.1 | 8099 | 15.2 | 10,006 |
| Descriptor | Ia kcal·mol−1 | IIa kcal·mol−1 | IIIa kcal·mol−1 | IVa [35] kcal·mol−1 | CH3SH kcal·mol−1 | CH3S− kcal·mol−1 |
|---|---|---|---|---|---|---|
| EHOMO | −183.24 | −181.22 | −182.43 | −180.38 | −183.24 | −173.45 |
| ELUMO | −35.98 | −31.57 | −35.50 | −28.44 | −2.98 | 77.80 |
| ΔEHOMO-LUMO | 147.26 | 149.65 | 153.99 | 151.94 | 180.26 | 251.27 |
| Chemical Potential (μ) | −109.61 | −104.83 | −105.44 | −104.405 | −93.11 | 47.73 |
| Chemical Hardness (η) | 147.26 | 149.65 | 153.99 | 151.94 | −180.26 | −251.27 |
| Electrophilicity Index (ω) | 40.79 | 35.96 | 36.10 | 35.87 | −24.05 | 4.53 |
| IIa | IIIa | ||||||
|---|---|---|---|---|---|---|---|
| Atom | f− | f+ | Δf | Atom | f− | f+ | Δf |
| C1 | 0.011 | 0.098 | 0.087 | C4 | 0.004 | 0.093 | 0.089 |
| O(=C) | 0.053 | 0.114 | 0.060 | O(=C) | 0.039 | 0.111 | 0.072 |
| C7 | 0.029 | 0.060 | 0.032 | C3 | 0.013 | 0.038 | 0.025 |
| C10 | 0.062 | 0.082 | 0.020 | C3a | 0.043 | 0.086 | 0.043 |
| Compound [Reference] | δC1 *(C4 **) | δC2 *(C3 **) | δC10 *(C3a **) | Δ(δ(C10 */C3a **)-δ(C2 */C3 **)) |
|---|---|---|---|---|
| Ia [37] | 190.5 | 122.1 | 144.8 | 22.78 |
| IIa [37] | 187.9 | 135.4 | 136.6 | 1.2 |
| IIb [37] | 187.9 | 134.7 | 136.8 | 2.1 |
| IIc [37] | 187.8 | 133.5 | 136.6 | 3.1 |
| IIIa [38] | 182.4 | 131.1 | 136.1 | 5.0 |
| IIIa [39] | 181.3 | 131.6 | 136.9 | 5.3 |
| IIIb [40] | 182.2 | 130.1 | 137.5 | 7.4 |
| IIIc [40] | 182.1 | 128.9 | 137.2 | 8.3 |
| IVa [37] | 198.0 | 137.8 | 138.0 | 0.2 |
Disclaimer/Publisher’s Note: The statements, opinions and data contained in all publications are solely those of the individual author(s) and contributor(s) and not of MDPI and/or the editor(s). MDPI and/or the editor(s) disclaim responsibility for any injury to people or property resulting from any ideas, methods, instructions or products referred to in the content. |
© 2024 by the authors. Licensee MDPI, Basel, Switzerland. This article is an open access article distributed under the terms and conditions of the Creative Commons Attribution (CC BY) license (https://creativecommons.org/licenses/by/4.0/).
Share and Cite
Bognár, G.; Kenari, F.; Pintér, Z.; Borges, I.D.; Camargo, A.J.; Oliveira, H.C.B.; Sanches-Neto, F.O.; Carvalho-Silva, V.H.; Napolitano, H.B.; Perjési, P. (E)-2-Benzylidenecyclanones: Part XX—Reaction of Cyclic Chalcone Analogs with Cellular Thiols: Unexpected Increased Reactivity of 4-Chromanone- Compared to 1-Tetralone Analogs in Thia-Michael Reactions. Molecules 2024, 29, 5493. https://doi.org/10.3390/molecules29235493
Bognár G, Kenari F, Pintér Z, Borges ID, Camargo AJ, Oliveira HCB, Sanches-Neto FO, Carvalho-Silva VH, Napolitano HB, Perjési P. (E)-2-Benzylidenecyclanones: Part XX—Reaction of Cyclic Chalcone Analogs with Cellular Thiols: Unexpected Increased Reactivity of 4-Chromanone- Compared to 1-Tetralone Analogs in Thia-Michael Reactions. Molecules. 2024; 29(23):5493. https://doi.org/10.3390/molecules29235493
Chicago/Turabian StyleBognár, Gábor, Fatemeh Kenari, Zoltán Pintér, Igor D. Borges, Ademir J. Camargo, Heibbe C. B. Oliveira, Flávio Olimpio Sanches-Neto, Valter H. Carvalho-Silva, Hamilton B. Napolitano, and Pál Perjési. 2024. "(E)-2-Benzylidenecyclanones: Part XX—Reaction of Cyclic Chalcone Analogs with Cellular Thiols: Unexpected Increased Reactivity of 4-Chromanone- Compared to 1-Tetralone Analogs in Thia-Michael Reactions" Molecules 29, no. 23: 5493. https://doi.org/10.3390/molecules29235493
APA StyleBognár, G., Kenari, F., Pintér, Z., Borges, I. D., Camargo, A. J., Oliveira, H. C. B., Sanches-Neto, F. O., Carvalho-Silva, V. H., Napolitano, H. B., & Perjési, P. (2024). (E)-2-Benzylidenecyclanones: Part XX—Reaction of Cyclic Chalcone Analogs with Cellular Thiols: Unexpected Increased Reactivity of 4-Chromanone- Compared to 1-Tetralone Analogs in Thia-Michael Reactions. Molecules, 29(23), 5493. https://doi.org/10.3390/molecules29235493

